Fractal Characterization of Brass Corrosion in Cavitation Field in Seawater
Abstract
1. Introduction
2. Materials and Methods
2.1. Materials
- -
- The reservoir (1) for the liquid;
- -
- The generator (8) that produces the ultrasounds, working at 220 V, 18 kHz, and 80, 120, or 180 W;
- -
- The piezoceramic transducer (7) that enters into oscillation as a response to the high-frequency signal received from the generator, producing the cavitation;
- -
- The control panel (9) used to select the ultrasound generator’s working regimen;
- -
- The cooler (11) utilized for keeping constant the liquid’s temperature;
- -
- The measurement electrodes employed for capturing the signal induced by cavitation in the experiments designed for this aim;
- -
- The acquisition data unit (14), which collects the electrical signal produced by the ultrasound cavitation;
- -
- The pump (3), which is switched on for experiments in the circulating liquid medium.
2.2. Methodology
- Set different sizes of the sides and determine the “cells” necessary to cover the object,
- Fit the least squares linear regression of the measured cells vs. the sizes of the sides in a log-log scale,
- Determine dbox as the slope of the line from the previous step.
- Plotting f(α) against α gets the multifractal spectrum.
- The multifractality strength can be evaluated by the singularity spectrum amplitude αmax − αmin. The multifractality’s strength increases with
3. Results and Discussion
3.1. Analysis of the Absolute Mass Loss Per Surface Curve
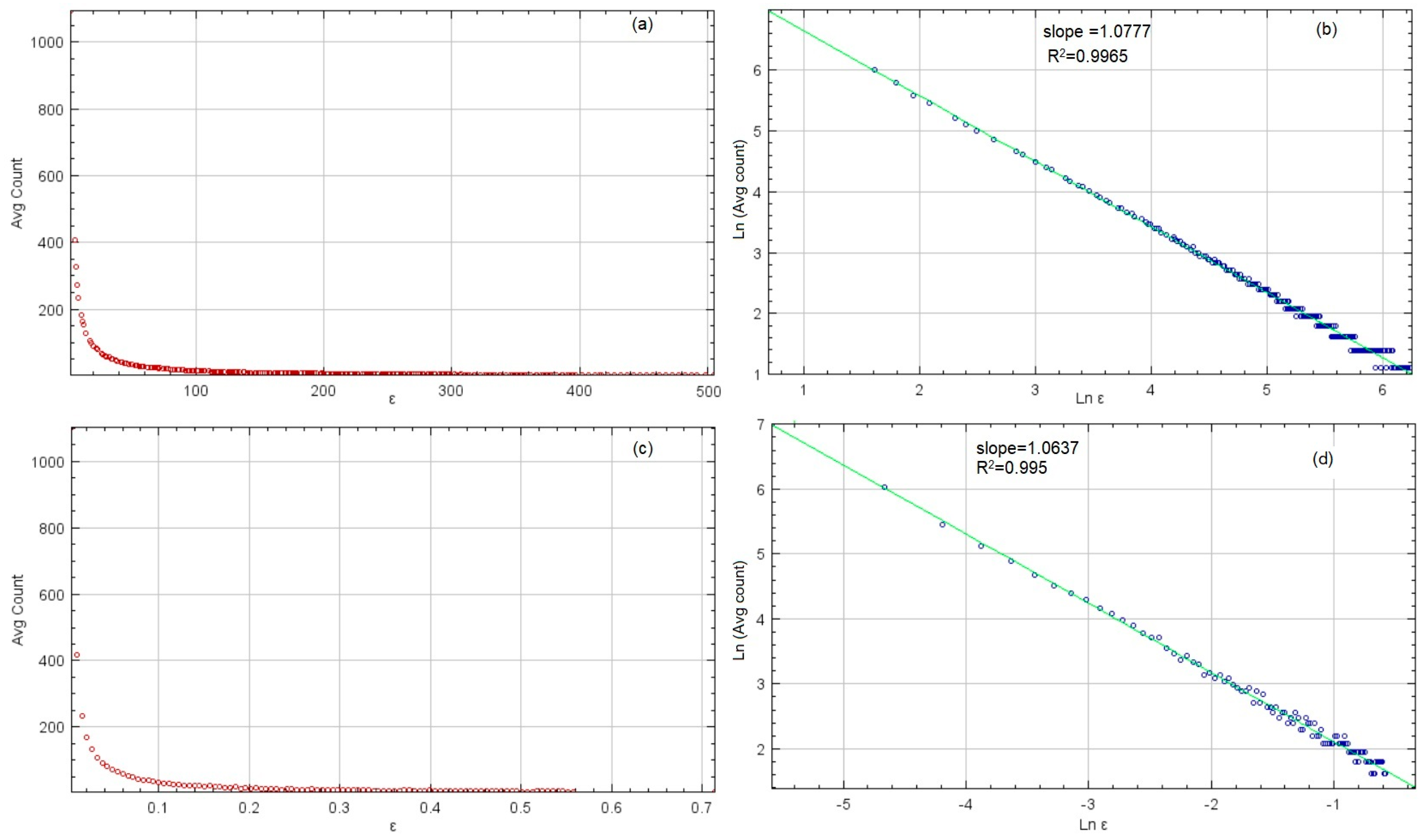
3.2. Fractal Analysis of the Sample Surface after Corrosion
4. Conclusions
Author Contributions
Funding
Institutional Review Board Statement
Informed Consent Statement
Data Availability Statement
Conflicts of Interest
References
- Flynn, H.G. Physics of acoustic cavitation in liquids. In Physical Acoustics; Mason, W.P., Ed.; Academic Press: New York, NY, USA, 1964; Volume 1, Part B; pp. 57–172. [Google Scholar]
- Bai, L.; Yan, J.; Zeng, Z.; Ma, Y. Cavitation in thin liquid layer: A review. Ultrason. Sonochem. 2020, 66, 105092. [Google Scholar] [CrossRef] [PubMed]
- Young, F.E. Cavitation; Mac Graw-Hill: Maidenhead, UK, 1989. [Google Scholar]
- Rooney, J.A. Ultrasound: Its Chemical, Physical and Biological Effects, Suslick; VCH: New York, NY, USA, 1988. [Google Scholar]
- Bărbulescu, A.; Dumitriu, C.Ș. Modeling the Voltage Produced by Ultrasound in Seawater by Stochastic and Artificial Intelligence Methods. Sensors 2022, 22, 1089. [Google Scholar] [CrossRef] [PubMed]
- Dumitriu, C.S.; Dragomir, F.-L. Modeling the Signals Collected in Cavitation Field by Stochastic and Artificial Intelligence Methods. In Proceedings of the 2021 13th International Conference on Electronics, Computers and Artificial Intelligence (ECAI), Pitești, Romania, 1–3 July 2021; pp. 1–4. [Google Scholar] [CrossRef]
- Schüssler, A.; Exner, H.E. The corrosion of nickel-aluminium bronzes in seawater—I. Protective layer formation and the passivation mechanism. Corros. Sci. 1993, 3, 1793–1802. [Google Scholar] [CrossRef]
- Wharton, J.A.; Barik, R.C.; Kear, G.; Wood, R.J.K.; Stokes, K.R.; Walsh, F.C. The corrosion of nickel-aluminium bronze in seawater. Corros. Sci. 2005, 47, 3336–3367. [Google Scholar] [CrossRef]
- Wharton, J.A.; Stokes, K.R. The influence of nickel–aluminium bronze microstructure and crevice solution on the initiation of crevice corrosion. Electrochim. Acta 2008, 53, 2463–2473. [Google Scholar] [CrossRef]
- Basumatary, J.; Nie, M.; Wood, J.K. The synergistic effects of cavitation erosion-corrosion in ship propeller materials. J. Bio- Tribo-Corros. 2015, 1, 1–12. [Google Scholar] [CrossRef]
- Basumatary, J.; Wood, R.J.K. Synergistic effects of cavitation erosion and corrosion for nickel aluminium bronze with oxide film in 3.5% NaCl solution. Wear 2017, 376–377, 1286–1297. [Google Scholar] [CrossRef]
- Hamidah, I.; Solehudin, A.; Hamdani, A.; Hasanah, L.; Khairurrijal, K.; Kurniawan, T.; Mamat, R.; Maryanti, R.; Nandiyanto, A.B.D.; Belkheir, H. Corrosion of copper alloys in KOH, NaOH, NaCl, and HCl electrolyte solutions and its impact to the mechanical properties. Alex. Eng. J. 2021, 60, 2235–2243. [Google Scholar] [CrossRef]
- Alfantazi, A.M.; Ahmed, T.M.; Tromans, D. Corrosion behavior of copper alloys in chloride media. Mater. Des. 2009, 30, 2425–2430. [Google Scholar] [CrossRef]
- Bakhshandeh, H.R.; Allahkaram, S.R.; Zabihi, A.H. An investigation on cavitation-corrosion behavior of Ni/β-SiC nanocomposite coatings under ultrasonic field. Ultrason. Sonochem. 2019, 56, 229–239. [Google Scholar] [CrossRef]
- Dumitriu, C.S.; Bărbulescu, A. Studies on the Copper Based Alloys Used in Naval Constructions-Modeling the Mass Loss in Different Media; Sitech: Craiova, Romania, 2007. (In Romanian) [Google Scholar]
- Peng, S.; Xu, J.; Li, Z.; Jiang, S.; Xie, Z.-H.; Munroe, P. Electrochemical noise analysis of cavitation erosion corrosion resistance of NbC nanocrystalline coating in a 3.5 wt% NaCl solution. Surf. Coat. Tech. 2021, 415, 127133. [Google Scholar] [CrossRef]
- Ivanov, I.V. Corrosion Resistant Materials in Food Industry; Editura Agro-Silvica: Bucharest, Romania, 1959. (In Romanian) [Google Scholar]
- Dumitriu, C.S. On the corrosion of two types of bronzes under cavitation. Ann. Dunarea Jos Univ. Galati Fascicle IX Metall. Mater. Sci. 2021, 4, 12–16. [Google Scholar] [CrossRef]
- Dumitriu, C.S.; Bărbulescu, A. Copper corrosion in ultrasound cavitation field. Ann. Dunarea Jos Univ. Galati Fascicle IX Metall. Mater. Sci. 2021, 3, 31–35. [Google Scholar] [CrossRef]
- Fortes-Patella, R.; Choffat, T.; Reboud, J.L.; Archer, A. Mass loss simulation in cavitation erosion: Fatigue criterion approach. Wear 2013, 300, 205–215. [Google Scholar] [CrossRef]
- Mandelbrot, B.B. Fractals, Form, Chance and Dimension; W. H. Freeman & Co. Ltd.: San Francisco, CA, USA, 1977. [Google Scholar]
- Bărbulescu, A.; Șerban, C. Statistical and multifractal analysis of rainfall of Romania. Int. J. Ecol. Econ. Stat. 2012, 25, 1–11. [Google Scholar]
- Burlando, P.; Menduni, G.; Rosso, R. (Eds.) Fractals, scaling and nonlinear variability in hydrology. J. Hydrol. 1996, 187, 1–264. [Google Scholar]
- Chen, G.; Cheng, Q. Fractal density modeling of crustal heterogeneity from the KTB deep hole. J. Geophys. Res. Solid Earth 2017, 122, 1919–1933. [Google Scholar] [CrossRef]
- Bărbulescu, A.; Dumitriu, C.S. Assessing the Fractal Characteristics of Signals in Ultrasound Cavitation. In Proceedings of the 25th International Conference on System Theory, Control and Computing, Iasi, Romania, 20–23 October 2021; ICSTCC 2021. [Google Scholar] [CrossRef]
- Sun, W.; Xu, G.; Gong, P.; Liang, S. Fractal analysis of remotely sensed images: A review of methods and applications. Int. J. Remote Sens. 2006, 27, 4963–4990. [Google Scholar] [CrossRef]
- Nichita, M.-V.; Paun, M.-A.; Paun, V.-A.; Paun, V.-P. Pulmonary X-ray Images. A Fractal Analysis. AIP Conf. Proc. 2020, 2218, 050003. [Google Scholar] [CrossRef]
- Tanabe, N.; Sato, S.; Suki, B.; Hirai, T. Fractal Analysis of Lung Structure in Chronic Obstructive Pulmonary Disease. Front. Physiol. 2020, 11, 603197. [Google Scholar] [CrossRef]
- Updike, S.X.; Nowzari, H. Fractal analysis of dental radiographs to detect periodontitis-induced trabecular changes. J. Periodont. Res. 2008, 43, 658–664. [Google Scholar] [CrossRef]
- Kato, C.N.A.O.; Barra, S.G.; Tavares, N.P.K.; Amaral, T.M.P.; Brasileiro, C.B.; Mesquita, R.A.; Abreu, L.G. Use of fractal analysis in dental images: A systematic review. Dentomaxillofac. Radiol. 2020, 49, 20180457. [Google Scholar] [CrossRef]
- Parkinson, I.H.; Fazzalari, N.L. Methodological principles for fractal analysis of trabecular bone. J. Microsc. 2000, 198, 138–142. [Google Scholar] [CrossRef]
- Mandelbrot, B.B.; Passoja, D.E.; Paullay, A.J. Fractal character of fracture surfaces of metals. Nature 1984, 308, 721–722. [Google Scholar] [CrossRef]
- Shi, D.W.; Jiang, J.; Lung, C.W. Correlation between the scale-dependent fractal dimension of fracture surfaces and the fracture toughness. Phys. Rev. B Condens. Matter. 1996, 54, R17355–R17358. [Google Scholar] [CrossRef]
- Zhang, H.; Wei, D.-M. Estimation of fracture toughness, driving force, and fracture energy for fractal cracks using the method of imaginary smooth crack. Eng. Fract. Mech. 2010, 77, 621–630. [Google Scholar] [CrossRef][Green Version]
- Borodich, F.M. Fractals and fractal scaling in fracture mechanics. Int. J. Fract. 1999, 95, 239–259. [Google Scholar] [CrossRef]
- Ji, H.; Jiang, H.; Zhao, R.; Tian, Y.; Jin, X.; Jin, N.; Tong, J. Fractal Characteristics of Corrosion-Induced Cracks in Reinforced Concrete. Materials 2020, 13, 3715. [Google Scholar] [CrossRef]
- Zavdoveev, A.; Beygelzimer, Y.; Varyukhin, V.; Efros, B. Influence of Deformation on Fractal Dimension of Deformed Metals Structure. Available online: https://www.researchgate.net/publication/224871709_Influence_Of_Deformation_On_Fractal_Dimension_Of_Deformed_MetalsStructure (accessed on 19 August 2022).
- Dlouhý, I.; Strnadel, B. The effect of crack propagation mechanism on the fractal dimension of fracture surfaces in steel. Eng. Fracture Mech. 2008, 75, 726–738. [Google Scholar] [CrossRef]
- Li, W.; Wu, M.; Shi, T.; Yang, P.; Pan, Z.; Liu, W.; Liu, J.; Yang, X. Experimental Investigation of the Relationship between Surface Crack of Concrete Cover and Corrosion Degree of Steel Bar Using Fractal Theory. Fractal Fract. 2022, 6, 325. [Google Scholar] [CrossRef]
- Xu, Y.; Qian, C.; Pan, L.; Wang, B.; Lou, C. Comparing Monofractal and Multifractal Analysis of Corrosion Damage Evolution in Reinforcing Bars. PLoS ONE 2012, 7, e29956. [Google Scholar] [CrossRef]
- Davies, S.; Hall, P.J.R. Fractal analysis of surface roughness by using spatial data. Statist. Soc. B 1999, 61, 3–37. [Google Scholar] [CrossRef]
- Karolczak, P.; Kowalski, M.; Raszka, K. The application of fractal analysis to the description of brushed steel surfaces. J. Mach. Eng. 2020, 20, 99–115. [Google Scholar] [CrossRef]
- Kim, J.J.; Hwang, W.S. Evaluation of a fractal analysis technique for corrosion studies. Met. Mater. Int. 2012, 18, 783–789. [Google Scholar] [CrossRef]
- Songbo, R.; Song, G.; Chao, K.; Shenghui, Z.; Ying, G.; Gang, L.; Tao, Y.; Liqiong, Y. Fractal characteristic of corroded steel surface and application to the fracture analyses. Constr. Build. Mater. 2022, 340, 127759. [Google Scholar] [CrossRef]
- Zhang, H.; Xu, S.; Zhang, Z.; Nie, B.; Wang, L. Fracture analysis of corroded cold-formed thin steel plates based on actual morphology using micromechanical models. Constr. Build. Mater. 2021, 267, 120899. [Google Scholar] [CrossRef]
- Sarmiento, E.; Gonzalez-Rodriquez, J.G.; Urichurtu, J. Fractal Analysis of the Corrosion Inhibition of Carbon Steel in a Bromide Solution by Molybdates. ECS Trans. 2008, 15, 221. [Google Scholar] [CrossRef]
- García-Ochoa, E.; Corvo, F. Copper patina corrosion evaluation by means of fractal geometry using electrochemical noise (EN) and image analysis. Electrochem. Commun. 2010, 12, 826–830. [Google Scholar] [CrossRef]
- López, J.L.; Veleva, L. 2D-DFA as a tool for non-destructive characterisation of copper surface exposed to substitute ocean water. Phys. A Stat. Mech. Appl. 2022, 586, 126490. [Google Scholar] [CrossRef]
- Dumitriu, C.S.; Bărbulescu, A. Artificial intelligence models for the mass loss of copper-based alloys under the cavitation. Materials 2022, 15, 6695. [Google Scholar] [CrossRef]
- Jin, F.; Chiang, F.P. Nondestructive Evaluation of Corrosion by Fractal Geometry. Res. Nondestruct. Eval. 1996, 7, 229–238. [Google Scholar] [CrossRef]
- Vuidel, G.; Tannier, C. Fractalyse 3.0. User Manual. Available online: https://sourcesup.renater.fr/www/fractalyse/download/manual-en.pdf (accessed on 23 August 2022).
- Weisstein, E.W. Capacity Dimension. Available online: https://mathworld.wolfram.com/CapacityDimension.html (accessed on 23 August 2022).
- Baker, G.L.; Gollub, J.B. Chaotic Dynamics: An Introduction, 2nd ed.; Cambridge University Press: Cambridge, UK, 1996. [Google Scholar]
- Falconer, K. Fractal Geometry: Mathematical Foundations and Applications, 3rd ed.; John Wiley & Sons, Ltd.: Chichester, UK, 2014. [Google Scholar]
- Halsey, T.; Jensen, M.; Kadanoff, L.; Procaccia, I.; Shraiman, B.I. Fractal measures and their singularities: The characterization of strange sets. Phys. Rev. A 1986, 33, 1141–1151. [Google Scholar] [CrossRef] [PubMed]
- Ferraris, L.; Gabellani, S.; Parodi, U.; Rebora, N. Revisiting Multifractality in Rainfall Fields. J. Hydrometeorol. 2003, 4, 544–551. [Google Scholar] [CrossRef]
- Stanley, H.E.; Meakin, P. Multifractal phenomena in physics and chemistry. Nature 1998, 335, 405–409. [Google Scholar] [CrossRef]
- Hentschel, H.G.E.; Procaccia, I. The infinite number of generalized dimensions of fractals and strange attractors. Phys. D Nonlinear Phenom. 1983, 8, 435–444. [Google Scholar] [CrossRef]
- Fraclac for ImageJ. Available online: https://imagej.nih.gov/ij/plugins/fraclac/FLHelp/Introduction.htm (accessed on 23 November 2022).
- Bouchaud, E. Scaling properties of cracks. J. Phys. Condens. Mater. 1997, 9, 4319–4344. [Google Scholar] [CrossRef]
- Bouchaud, E.; Bouchaud, J.P.; Fisher, D.S.; Ramanathan, S.; Rice, J.R. Can crack front waves explain the roughness of cracks? J. Mech. Phys. Solids 2002, 50, 1703–1725. [Google Scholar] [CrossRef]
- Dauskart, R.H.; Haubensak, F.; Ritchie, R.O. On the interpretation of the fractal character of fracture surfaces. Acta Metall. 1990, 38, 143–159. [Google Scholar] [CrossRef]
- Gokhale, A.M.; Underwood, E.E. A general method for estimation of fracture surface roughness: Part I. Theoretical aspects. Metall. Trans. A 1990, 21, 1193–1199. [Google Scholar] [CrossRef]
- Huang, Z.H.; Tian, J.F.; Wang, Z.G. A study of the slit island analysis as a method for measuring fractal dimension of fractured surface. Scripta Metall. Mater. 1990, 24, 967–972. [Google Scholar] [CrossRef]
- Imre, A.; Paykossy, T.; Nyikos, L. Electrochemical determination of the fractal dimension of fractured surfaces. Acta Metall. Mater. 1992, 40, 1819. [Google Scholar] [CrossRef]
- Jiang, X.G.; Chu, W.Y.; Hisao, C.M. Relationship between JIC and fractal value of fracture surface of ductile materials. Acta Metall. Mater. 1994, 42, 105–108. [Google Scholar] [CrossRef]
- Quevedo, R.; Lopez-G, C.; Aguilera, J.M.; Cadoche, L. Description of Food Surfaces and Microstructural Changes Using Fractal Image Texture Analysis. J. Food Eng. 2002, 53, 361–371. [Google Scholar] [CrossRef]
- Risovic, D.; Mahovic, S.; Poljacek, K.; Furic, M.; Gojo, M. Inferring fractal dimension of rough/porous surfaces—A comparison of SEM image analysis and electrochemical impedance spectroscopy methods. Appl. Surf. Sci. 2008, 255, 3063–3070. [Google Scholar] [CrossRef]











Disclaimer/Publisher’s Note: The statements, opinions and data contained in all publications are solely those of the individual author(s) and contributor(s) and not of MDPI and/or the editor(s). MDPI and/or the editor(s) disclaim responsibility for any injury to people or property resulting from any ideas, methods, instructions or products referred to in the content. |
© 2023 by the authors. Licensee MDPI, Basel, Switzerland. This article is an open access article distributed under the terms and conditions of the Creative Commons Attribution (CC BY) license (https://creativecommons.org/licenses/by/4.0/).
Share and Cite
Bărbulescu, A.; Dumitriu, C.Ș. Fractal Characterization of Brass Corrosion in Cavitation Field in Seawater. Sustainability 2023, 15, 3816. https://doi.org/10.3390/su15043816
Bărbulescu A, Dumitriu CȘ. Fractal Characterization of Brass Corrosion in Cavitation Field in Seawater. Sustainability. 2023; 15(4):3816. https://doi.org/10.3390/su15043816
Chicago/Turabian StyleBărbulescu, Alina, and Cristian Ștefan Dumitriu. 2023. "Fractal Characterization of Brass Corrosion in Cavitation Field in Seawater" Sustainability 15, no. 4: 3816. https://doi.org/10.3390/su15043816
APA StyleBărbulescu, A., & Dumitriu, C. Ș. (2023). Fractal Characterization of Brass Corrosion in Cavitation Field in Seawater. Sustainability, 15(4), 3816. https://doi.org/10.3390/su15043816
