Effect of Base Grouting on the Bearing Capacity of Bored Piles
Abstract
:1. Introduction
2. Background of the Project
3. Program of Grouting and Bidirectional Load Test
3.1. Program of Grouting
3.2. Program of the Bidirectional Load Test
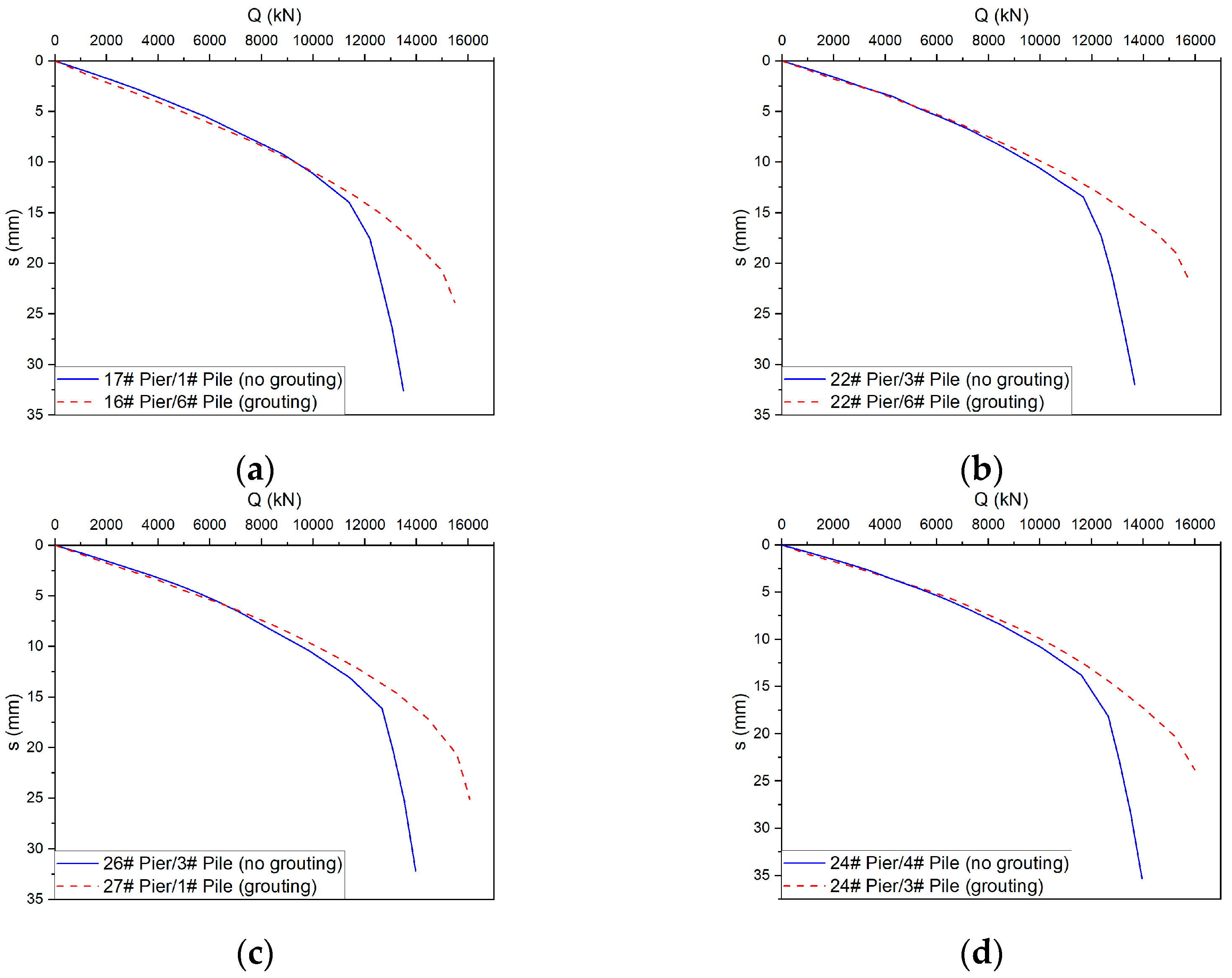
4. Results and Discussion
The Effect of Base Grouting on the Ultimate Bearing Capacity of Piles
5. Statistical Analysis
6. Conclusions
Author Contributions
Funding
Institutional Review Board Statement
Informed Consent Statement
Data Availability Statement
Conflicts of Interest
Appendix A
- Re is the end-bearing capacity of the pile;
- Pz is the axial force at the last recorded cross-section next to the end of the pile;
- qs is the side friction along the part of the pile between the last recorded cross-section and the end of the pile;
- Rf is the total side friction of the pile;
- Ru is the ultimate bearing capacity of the pile;
Appendix B
Appendix C
References
- Cheng, Y. Research on the Bearing Performance of the Super-Long and Large-Diameter Bored Pile; Southeaset University: Nanjing, China, 2005. [Google Scholar]
- Zhou, H. Numerical simulation of effects of mud cake and bottom sediment on bearing capacity of bored pile. Rock Soil Mech. 2007, 28, 956–960. [Google Scholar]
- Gong, W.; Lv, Z. Innovation of cast-in-place pile—Grouting at bottom. Ind. Constr. 1996, 26, 33–37. [Google Scholar]
- Huang, S.; Zhang, X.; Cao, H. Mechanism study on bored cast-in-place piles with post-grouting technology. Rock Soil Mech. 2004, 25, 251–254. [Google Scholar]
- Yao, H.; Chen, L. Stress Measurement for Jet Grouting Bored Cast-in-situ PIle and Analysis of Pile-soil Load Transfer Behavior. Rock Soil Mech. 1998, 19, 80–85. [Google Scholar]
- Zhang, Z.; Wu, S.; Bao, F. Study of mechanism and application on bored pile end grouting. Chin. J. Geotech. Eng. 1999, 21, 681–686. [Google Scholar]
- Zhu, C.; Xu, X.; Wang, X.; Xiong, F.; Tao, Z.; Lin, Y.; Chen, J. Experimental investigation on nonlinear flow anisotropy behavior in fracture media. Geofluids 2019, 2019, 1–9. [Google Scholar] [CrossRef]
- Kwaw, A.K.; Dou, Z.; Wang, J.; Zhang, X.; Chen, Y. Advancing the knowledge of solute transport in the presence of bound water in mixed porous media based on low-field nuclear magnetic resonance. J. Hydrol. 2023, 617, 129059. [Google Scholar] [CrossRef]
- Liang, X.; Tang, S.; Tang, C.; Hu, L.; Chen, F. Influence of water on the mechanical properties and failure behaviors of sandstone under triaxial compression. Rock Mech. Rock Eng. 2022. [Google Scholar] [CrossRef]
- Huang, S.; Gong, W. Analysis on Bearing Behaviour of 1-Stage Super Long-Large Diameter Testing Piles in Sutong Bridg. Chin. J. Rock Mech. Eng. 2004, 23, 3370–3375. [Google Scholar]
- Huang, S.; Gong, W. Study on bearing behavior of super long–large diameter piles after grouting. Chin. J. Geotech. Eng. 2006, 28, 113–117. [Google Scholar]
- Huang, S.; Gong, W. Study on effect of base grouting on shaft friction of overlength large diameter pile. Rock Soil Mech. 2006, 27, 711–716. [Google Scholar]
- Dai, G.; Gong, W.; Cheng, Y.; Xue, G. Application of self-balanced testing and post grouting to large diameter and super-long piles Chin. J. Geotech. Eng. 2005, 27, 690–694. [Google Scholar]
- Zhang, F.; Gong, W.; Dai, G. Experimental research on the load transfer mechanism of super-long large diameter bored pile with the self-balanced load test method. Chin. J. Geotech. Eng. 2006, 28, 464–469. [Google Scholar]
- Huang, T.; Gong, W.; Dai, G. Research on Base Grouting Effects of Piles in Suramadu Strait Area of Indonesia. Chin. J. Rock Mech. Eng. 2011, 30, 3269–3274. [Google Scholar]
- Dai, G.; Wan, Z. Enhanced mechanism and load-settlement relationship of post-grouting piles. Chin. J. Geotech. Eng. 2017, 39, 2235–3344. [Google Scholar]
- Xu, Y.; Wan, Z.; Dai, G.; Gong, W.; Gao, L. Experimental study on long-term bearing behaviorsof base post-grouting bored piles. J. Build. Struct. 2021, 42, 139–146. [Google Scholar]
- Gong, W.; Dai, G.; Jiang, Y.; Xue, G. Theory and Practice of Self-balanced Loading Test for Pile Bearing Capacity. J. Build. Struct. 2002, 23, 82–88. [Google Scholar]
- Gong, W.; Jiang, Y.; Zhai, J. Self-balanced loading test for pile bearing capacity. Chin. J. Geotech. Eng. 2000, 22, 532–536. [Google Scholar]
- Dai, G.; Gong, W.; Xue, G.; Tong, X. Effect examination for a base post-grouted overlength drilling pile. Rock Soil Mech. 2006, 27, 849–852. [Google Scholar]
- Huang, S.; Gong, W. Test study and finite element analysis of bearing behavior of large diameter overlength piles after grouting. Rock Soil Mech. 2007, 28, 297–301. [Google Scholar]
- Zheng, K. Research and Application of Cast-in-place Pile Foundation Post Grouting Technology of Super-Tall Buiding in Beijing; Jilin University: Changchun, China, 2013. [Google Scholar]
- Ott, R.L.; Longnecker, M.T. An Introduction to Statistical Methods and Data Analysis; Cengage Learning: Boston, MA, USA, 2015. [Google Scholar]
- Shaphiro, S.; Wilk, M. An analysis of variance test for normality. Biometrika 1965, 52, 591–611. [Google Scholar] [CrossRef]
- Zhai, Q.; Rahardjo, H.; Satyanaga, A. Variability in unsaturated hydraulic properties of residual soil in Singapore. Eng. Geol. 2016, 209, 21–29. [Google Scholar] [CrossRef]












| District Number | Description of the Strata | Depth Distributions of the Stratum |
|---|---|---|
| 1 | ① layer, loose plain fill | 2.40 m~0.02 m |
| ② layer, soft plastic silty clay mixed with silt | 0.02 m~−1.28 m | |
| ③1 layer, slight dense silt blended with silty clay | −1.28 m~−11.28 m | |
| ③1a layer, flow plastic muddy silty clay mixed with silt | −11.28 m~−21.28 m | |
| ③2 layer, slight dense to medium dense silty sand incorporated with silt | −21.28 m~−28.78 m | |
| ③2a layer, soft plastic silty clay interbedded with silty sand | −28.78 m~−41.88 m | |
| ④1 layer, soft plastic to flow plastic muddy silty clay | −41.88 m~−45.38 m | |
| ④2 layer, soft plastic silty clay blended with silty sand | −45.38 m~−47.60 m | |
| ④2a layer, medium dense silty sand blended with silty clay | −47.60 m~−49.40 m | |
| ④2b layer, medium or dense silty sand incorporated with silt | −49.40 m~−55.80 m | |
| ⑤ layer, dense fine sand | −55.80 m ~−65.91 m | |
| ⑤a layer, dense medium sand | −65.91 m~−85.00 m | |
| 2 | ①1 layer, slightly wet and plastic silty clay | 3.90 m~2.27 m |
| ①2 layer, flow plastic muddy silty clay | 2.27 m~−0.63 m | |
| ①2a layer, slightly wet and plastic silty clay | −0.63 m~−3.33 m | |
| ①2c layer, slight dense and very wet silt | −3.33 m~−12.33 m | |
| ①3 layer, slight dense and saturated silty sand | −12.33 m~−22.33 m | |
| ②3 layer, medium dense and saturated silty sand | −22.33 m~−32.60 m | |
| ②3a layer, wet and plastic silty clay mixed with silty | −32.60 m~−34.10 m | |
| ③2 layer, wet and plastic silty clay | −34.10 m~−41.13 m | |
| ③2c layer, medium dense and saturated silty sand | −41.13 m~−54.60 m | |
| ③3 layer, dense and saturated silty sand | −54.6 m~−65.00 m | |
| 3 | ①1 layer, plain fill | 3.60 m~0.65 m |
| ①2 layer, silty clay | 0.65 m~−2.85 m | |
| ①2c layer, silt | −2.85 m~−4.55 m | |
| ①3 layer, silt | −4.55 m~−11.35 m | |
| ②3 layer, silt sand | −11.35 m~−18.55 m | |
| ②3a layer, silty clay | −18.55 m~−36.40 m | |
| ③2 layer, clay | −36.40 m~−46.90 m | |
| ③2c layer, silty sand | −46.90 m~−60.00 m |
| District Number | Pile ID | Reference Bore Hole | Pile Length (m) | Bearing Stratum | Design Load (kN) | Grouting or Not | Quantities of Grout (t) |
|---|---|---|---|---|---|---|---|
| 1 | 107# Pier/4# Pile | QSZK28 | 67 | dense medium sand | 5700 | Non-grouting | — |
| 107# Pier/6# Pile | QSZK28 | 67 | dense medium sand | 5700 | Grouting | 4.1 | |
| 106# Pier/5# Pile | QSZK28 | 67 | dense medium sand | 5700 | Grouting | 4.1 | |
| 29# Pier/2# Pile | QSZK42 | 75 | dense medium sand | 7400 | Grouting | 4.9 | |
| 29# Pier/4# Pile | QSZK42 | 80 | dense medium sand | 8500 | Non-grouting | — | |
| 29# Pier/6# Pile | QSZK42 | 80 | dense medium sand | 8500 | Grouting | 4.9 | |
| 13# Pier/Left 1# Pile | QSZK40 | 65 | dense fine sand | 6000 | Non-grouting | — | |
| 13# Pier/Left 3# Pile | QSZK40 | 65 | dense fine sand | 6000 | Grouting | 4.1 | |
| 14# Pier/Left 2# Pile | QSZK40 | 63 | dense fine sand | 5500 | Grouting | 4.1 | |
| 2 | 12# Pier/1# Pile | ZK3036 | 60 | dense and silty sand | 5504 | Non-grouting | — |
| 12# Pier/6# Pile | ZK3036 | 60 | dense and silty sand | 5504 | Grouting | 4.1 | |
| 2# Pier/1# Pile | ZK3050 | 61 | dense and silty sand | 4218.3 | Non-grouting | — | |
| 2# Pier/3# Pile | ZK3050 | 61 | dense and silty sand | 4223 | Grouting | 3.3 | |
| 7# Pier/1# Pile | ZK3003 | 60 | dense and silty sand | 5426.7 | Non-grouting | — | |
| 8# Pier/6# Pile | ZK3003 | 60 | dense and silty sand | 5428.8 | Grouting | 4.1 | |
| 3 | 17# Pier/1# Pile | ZK6127 | 59 | silty sand | 5700 | Non-grouting | — |
| 22# Pier/3# Pile | ZK6127 | 57 | silty sand | 5670 | Non-grouting | — | |
| 16# Pier/1# Pile | ZK6160 | 57 | silty sand | 5670 | Grouting | 4.0 | |
| 22# Pier/6# Pile | ZK6160 | 57 | silty sand | 5670 | Grouting | 4.0 | |
| 26# Pier3# Pile | ZK3098 | 55 | silty sand | 5765 | Non-grouting | — | |
| 27# Pier/1# Pile | ZK3098 | 55 | silty sand | 5736 | Grouting | 4.0 | |
| 24# Pier/4# Pile | ZK6207 | 58 | silty sand | 5445 | Non-grouting | — | |
| 24# Pier/3# Pile | ZK6207 | 58 | silty sand | 5445 | Grouting | 4.0 |
| District | Pile ID | Designed Load (kN) | UBC Computed from Q-s Curve (kPa) | Percentage of Increase in UBC Due to Grouting |
|---|---|---|---|---|
| 1 | 107# Pier/4# Pile | 5700 | 13,743 | 0% |
| 107# Pier/6# Pile | 5700 | 15,556 | 13.19% | |
| 106# Pier/5# Pile | 5700 | 15,665 | 13.99% | |
| 29# Pier/4# Pile | 8500 | 23,618 | 0% | |
| 29# Pier/2# Pile | 7400 | 29,334 | 24.20% | |
| 29# Pier/6# Pile | 8500 | 32,451 | 37.40% | |
| 13# Pier/Left 1# Pile | 6000 | 13,518 | 0% | |
| 13# Pier/Left 3# Pile | 6000 | 15,312 | 13.27% | |
| 14# Pier/Left 2# Pile | 5500 | 15,381 | 13.78% | |
| 2 | 12# Pier/1# Pile | 5504 | 13,743 | 0% |
| 12# Pier/6# Pile | 5504 | 15,808 | 15.03% | |
| 2# Pier/1# Pile | 4218.3 | 10,794 | 0% | |
| 2# Pier/3# Pile | 4223 | 11,937 | 10.59% | |
| 7# Pier/1# Pile | 5426.7 | 13,923 | 0% | |
| 8# Pier/6# Pile | 5428.8 | 15,987 | 14.82% | |
| 3 | 17# Pier/1# Pile | 5700 | 13,496 | 0% |
| 16# Pier/6# Pile | 5710 | 15,485 | 14.74% | |
| 22# Pier/3# Pile | 5670 | 13,658 | 0% | |
| 22# Pier/6# Pile | 5670 | 15,786 | 15.58% | |
| 26# Pier/3# Pile | 5765 | 13,970 | 0% | |
| 27# Pier/1# Pile | 5736 | 16,067 | 15.01% | |
| 24# Pier/4# Pile | 5445 | 13,952 | 0% | |
| 24# Pier/3# Pile | 5445 | 15,995 | 14.64% |
| District | Pile ID | EBC (kN) | Percentage of Increase in EBC Due to Grouting |
|---|---|---|---|
| 1 | 107# Pier/4# Pile | 2203 | 0% |
| 107# Pier/6# Pile | 4905 | 122.65% | |
| 106# Pier/5# Pile | 4850 | 120.15% | |
| 29# Pier/4# Pile | 4642 | 0% | |
| 29# Pier/2# Pile | 10,962 | 136.15% | |
| 29# Pier/6# Pile | 11,100 | 139.12% | |
| 13# Pier/Left 1# Pile | 2366 | 0% | |
| 13# Pier/Left 3# Pile | 4946 | 109.04% | |
| 14# Pier/Left 2# Pile | 4827 | 104.02% | |
| 2 | 12# Pier/1# Pile | 2354 | 0% |
| 12# Pier/6# Pile | 4469 | 89.85% | |
| 2# Pier/1# Pile | 1701 | 0% | |
| 2# Pier/3# Pile | 3096 | 82.01% | |
| 7# Pier/1# Pile | 2189 | 0% | |
| 8# Pier/6# Pile | 4009 | 83.14% | |
| 3 | 17# Pier/1# Pile | 2338 | 0% |
| 16# Pier/6# Pile | 5002 | 113.94% | |
| 22# Pier/3# Pile | 2308 | 0% | |
| 22# Pier/6# Pile | 4713 | 104.20% | |
| 26# Pier/3# Pile | 2373 | 0% | |
| 27# Pier/1# Pile | 4786 | 101.69% | |
| 24# Pier/4# Pile | 2580 | 0% | |
| 24# Pier/3# Pile | 4982 | 93.10% |
| District | Pile ID | Reference Bore Hole | Quotient | Equivalent Quotient |
|---|---|---|---|---|
| 1 | 107# Pier/4# Pile (no grouting) | QSZK28 | 2.41 | 2.41 |
| 107# Pier/6# Pile (grouting) | QSZK28 | 2.73 | 2.73 | |
| 106# Pier/5# Pile (grouting) | QSZK28 | 2.75 | 2.75 | |
| 29# Pier/4# Pile (no grouting) | QSZK42 | 2.78 | 2.78 | |
| 29# Pier/2# Pile (grouting) | QSZK42 | 3.96 | 3.77 | |
| 29# Pier/6# Pile (grouting) | QSZK42 | 3.82 | 3.65 | |
| 13# Pier/Left 1# Pile (no grouting) | QSZK40 | 2.25 | 2.25 | |
| 13# Pier/Left 3# Pile (grouting) | QSZK40 | 2.55 | 2.55 | |
| 14# Pier/Left 2# Pile (grouting) | QSZK40 | 2.80 | 2.80 | |
| 2 | 12# Pier/1# Pile (no grouting) | ZK3036 | 2.50 | 2.50 |
| 12# Pier/6# Pile (grouting) | ZK3036 | 2.87 | 2.87 | |
| 2# Pier/1# Pile (no grouting) | ZK3050 | 2.56 | 2.56 | |
| 2# Pier/3# Pile (grouting) | ZK3050 | 2.83 | 2.89 | |
| 7# Pier/1# Pile (no grouting) | ZK3003 | 2.57 | 2.57 | |
| 8# Pier/6# Pile (grouting) | ZK3003 | 2.94 | 2.94 | |
| 3 | 17# Pier/1# Pile (no grouting) | ZK6127 | 2.37 | 2.37 |
| 16# Pier/6# Pile (grouting) | ZK6127 | 2.71 | 2.71 | |
| 22# Pier/3# Pile (no grouting) | ZK6160 | 2.41 | 2.41 | |
| 22# Pier/6# Pile (grouting) | ZK6160 | 2.78 | 2.78 | |
| 26# Pier/3# Pile (no grouting) | ZK3098 | 2.42 | 2.42 | |
| 27# Pier/1# Pile (grouting) | ZK3098 | 2.80 | 2.80 | |
| 24# Pier/4# Pile (no grouting) | ZK6207 | 2.56 | 2.56 | |
| 24# Pier/3# Pile (grouting) | ZK6207 | 2.94 | 2.94 |
| Variables | p Values |
|---|---|
| Vg1 * | 0.051 |
| Vn1 | 0.570 |
| Vg2 | 0.537 |
| Vn2 | 0.253 |
| Vg3 | 0.621 |
| Vn3 | 0.223 |
| Variables | Means | Sample Standard Deviation | Confidence Interval with the Significant Level of 0.1 | Results |
|---|---|---|---|---|
| Vg1 | 3.042 | 0.526 | [0.094, +∞] | Reject H0, and accept H1 |
| Vn1 | 2.480 | 0.272 | ||
| Vg2 | 2.900 | 0.036 | [0.310, +∞] | Reject H0, and accept H1 |
| Vn2 | 2.543 | 0.038 | ||
| Vg3 | 2.808 | 0.096 | [0.276, +∞] | Reject H0, and accept H1 |
| Vn3 | 2.440 | 0.083 |
Disclaimer/Publisher’s Note: The statements, opinions and data contained in all publications are solely those of the individual author(s) and contributor(s) and not of MDPI and/or the editor(s). MDPI and/or the editor(s) disclaim responsibility for any injury to people or property resulting from any ideas, methods, instructions or products referred to in the content. |
© 2023 by the authors. Licensee MDPI, Basel, Switzerland. This article is an open access article distributed under the terms and conditions of the Creative Commons Attribution (CC BY) license (https://creativecommons.org/licenses/by/4.0/).
Share and Cite
Wang, W.; Dai, G.; Wei, J.; Rahimi, A.; Zhai, Q. Effect of Base Grouting on the Bearing Capacity of Bored Piles. Sustainability 2023, 15, 4148. https://doi.org/10.3390/su15054148
Wang W, Dai G, Wei J, Rahimi A, Zhai Q. Effect of Base Grouting on the Bearing Capacity of Bored Piles. Sustainability. 2023; 15(5):4148. https://doi.org/10.3390/su15054148
Chicago/Turabian StyleWang, Weiguo, Guoliang Dai, Jiabei Wei, Arezoo Rahimi, and Qian Zhai. 2023. "Effect of Base Grouting on the Bearing Capacity of Bored Piles" Sustainability 15, no. 5: 4148. https://doi.org/10.3390/su15054148
APA StyleWang, W., Dai, G., Wei, J., Rahimi, A., & Zhai, Q. (2023). Effect of Base Grouting on the Bearing Capacity of Bored Piles. Sustainability, 15(5), 4148. https://doi.org/10.3390/su15054148

