You are currently viewing a new version of our website. To view the old version click .
Sustainability
  • Article
  • Open Access

28 February 2023

Physiological, Morphological, and Biochemical Responses of Soybean [Glycine max (L.) Merr.] to Loquat (Eriobotrya japonica Lindl.) Leaf Extract Application on Pb-Contaminated Soil

and
1
Biology Department, Faculty of Science, King Khalid University, P.O. Box 9004, Abha 61413, Saudi Arabia
2
Research Center for Advanced Materials Science (RCAMS), King Khalid University, P.O. Box 9004, Abha 61413, Saudi Arabia
3
Department of Plant Protection, Faculty of Agriculture, Harran University, Şanlıurfa 63050, Turkey
*
Authors to whom correspondence should be addressed.
This article belongs to the Special Issue Integrated Crop Production Management (ICPM) in Sustainable Agriculture

Abstract

Lead (Pb) is a non-essential element; however, plants uptake it from soils rich in Pb. Soybean [Glycine max (L.) Merr.] is an important legume crop, and Pb toxicity exerts negative impacts on its growth and yield. This study investigated the role of foliar-applied loquat (Eriobotrya japonica Lindl.) leaf extract in improving the morphological, physiological, and biochemical traits of soybean plants under Pb toxicity. Soybean plants were exposed to four Pb concentrations (0, 200, 400, and 800 µg/L) and supplemented with 0% or 5% loquat leaf aqueous extract (EJLE). Data relating to pigments, proline, total soluble sugars, malondialdehyde (MDA), hydrogen peroxide (H2O2), non-enzymatic antioxidant, i.e., [ascorbic acid (AsA), glutathione (GSH), total phenolic contents (TPC), and total flavonoids content (TFC)] and enzymatic antioxidant, i.e., [superoxide dismutase (SOD), catalase (CAT), peroxidase (POD), ascorbate peroxidase (APX), and glutathione reductase (GR)] were recorded. Total chlorophyll contents and carotenoids were significantly decreased by Pb stress, while lycopene and anthocyanin contents were increased. Similarly, proline, total soluble sugars, MDA, H2O2, AsA, GSH, TPC, TFC, SOD, CAT, POD, APX, and GR were increased under Pb stress. Foliar spray of EJLE lowered MDA and H2O2 accumulation and increased the contents of chlorophylls, carotenoids, lycopene, anthocyanins, proline, total soluble sugars, and the antioxidant system. The increase in the activities of antioxidant enzymes lowered the adverse effects of Pb stress in soybean. Similarly, the application of EJLE lowered Pb accumulation in different plant parts compared to those receiving no EJLE. It is concluded that EJLE can improve the Pb tolerance of soybean plants by enhancing morphological, physiological, and biochemical traits. However, the actual mechanisms behind these improvements warrant further investigation.

1. Introduction

Environmental damage caused by heavy metal pollution is being observed globally []. Human activities are often regarded as the major cause of heavy metal pollution []. Wastewater discharge, overuse of fertilizers and pesticides in agriculture, and other anthropogenic activities are increasing the concentration of heavy metals in the rhizosphere []. The most dangerous inorganic pollutants are nonbiodegradable heavy metals, including arsenic (As), nickel (Ni), chromium (Cr), and lead (Pb) [,,]. Heavy metals in the soil suppress plant growth by inhibiting the uptake and movement of essential nutrients [,]. Intracellular accumulation of non-essential heavy metals such as Pb, cadmium (Cd), mercury (Hg), and silver (Ag) leads to the production of reactive oxygen species (ROS) [,,,].
Lead is a hazardous and non-biodegradable heavy metal often found in the Earth’s crust. It is the second-most dangerous metal after As [], posing serious threats to all life forms. The use of inorganic fertilizers and pesticides, mining, the burning of fossil fuels, the steel industry, atmospheric deposition, and electroplating contribute to heavy metal pollution []. Pb-acid batteries, Pb-based insecticides, mining, the use of fuels containing Pb, printing, and other anthropogenic activities are major sources of Pb pollution [].
Lead is a poisonous element that prevents plant growth and metabolism. Its toxicity reduces soil fertility, which decreases crop yields [,]. Pb toxicity significantly alters the morphological, physiological, and biochemical functions of crop plants []. Cell division, chlorophyll concentration, photosynthesis, the respiratory system, and cell membrane permeability are disrupted by Pb toxicity [,]. Higher Pb concentrations in the growth medium also cause oxidative stress through the production of excess ROS, including singlet oxygen, superoxide radicals, hydroperoxyl radicals, hydrogen peroxide, and hydroxyl radicals. Damage to DNA, oxidation of proteins and lipids, loss of cellular membranes, and ion leakage all arise from the activation of programmed cell death pathways in response to an excessive production of ROS that impairs the development and productivity of agricultural plants [].
Plants employ several defensive mechanisms that enable them to withstand the harmful effects of abiotic stressors, particularly heavy metals. These include enzymatic and non-enzymatic antioxidants. Superoxide dismutase (SOD), catalase (CAT), ascorbate peroxidase (APX), and glutathione reductase (GR) make up the enzymatic antioxidant system. Non-enzymatic antioxidants, such as ascorbate, glutathione, anthocyanin, and beta-carotene, also help to detoxify the harmful ROS [,,,]. The antioxidant defense system is essential for minimizing or eliminating Pb toxicity in plants.
Soybean (Glycine max L.) is commercially grown all over the world since it is a rich source of vegetable oil and protein []. Soybean seeds provide one of the most important and inexpensive sources of protein and vegetable oil. Therefore, soybean plays an essential role in human nutrition and animal production []. Soybean seeds include 35% protein, 20% edible oil, 35% carbohydrates (17% of which is dietary fiber), roughly 5% ash, and other vitamins and minerals [,,]. Soybean growth, yield, and quality are significantly impacted by abiotic stresses such as high temperatures, heavy metal toxicity, and drought []. Furthermore, plants tend to accumulate significant amounts of heavy metals from contaminated soils [], which impair their growth and productivity [,,,]. Several studies have indicated that heavy metals significantly suppress the growth and productivity of soybeans [,,]. Therefore, management methods that can improve soybean tolerance to Pb toxicity are needed.
Loquat (Eriobotrya japonica Lindl.) originated in southeast China and has grown across Asia, including India, Japan, and Korea [,]. Its leaves are useful for treating persistent illnesses such as headaches, phlegm, lower back discomfort, asthma, chronic bronchitis, and dysmenorrhea. They are also used as antipyretic, digestive, and diuretic agents. Additionally, loquat leaf extract has antiviral, anti-inflammatory, hyperglycemic, and tumorigenic properties []. Loquat leaves contain significant amounts of triterpenic acids, amygdalins, carotenoids, sesquiterpene glycosides, flavonoids, oleanolic acid, corosolic acid, ursolic acid, and maslinic acid [].
Although several biological functions of loquat leaf extract are known, it has rarely been used to improve the heavy metal tolerance of crop plants. Keeping in view the biological functions of loquat leaf extract, this study inferred its role in improving the Pb tolerance of soybeans. It was hypothesized that increasing Pb concentration will significantly suppress the growth of soybean and that the application of loquat leaf extract will reverse the adverse effects of Pb toxicity. The results would help improve soybean growth in Pb-contaminated soils.

2. Materials and Methods

2.1. Experimental Site

The current study was conducted at the Research Center for Advanced Materials Science (RCAMS) at King Khalid University (KKU) during 2020–2021. Soybean seeds were collected from the Ministry of Agriculture in Abha. Healthy and viable seeds, after removing the damaged or discolored ones, were selected for the experiment. Selected seeds were thoroughly washed with distilled water and disinfected with a 5% sodium hypochlorite (NaOCl) solution (v/v) for 10 min. Afterwards, the seeds were again washed with distilled water and used in the experiments.
Different Pb concentrations (i.e., 0, 200, 400, and 800 µg L−1) were prepared by using Pb(NO3)2. The plants were exposed to these concentrations through mixing with the modified Hoagland nutrient solution []. Plants in the control treatment (0 µg L−1) received only the nutrient solution. Ten seeds were sown in 15 cm plastic pots filled with sand and perlite (1:1). The pots were placed in a greenhouse maintained at 20–25 °C and 16:8 h light and dark duration. The plants were irrigated every second day with modified Hoagland nutrient solution containing different Pb concentrations according to the treatments. Loquat aqueous leaf extract (EJLE) was applied to plants 10 days after emergence. Half of the plants were sprayed with 5% EJLE in each Pb concentration, whereas the remaining half were sprayed with distilled water. Each Pb concentration had 4 replications, and there were 10 pots in each replication for both EJLE concentrations. The plants were harvested at 20 days after emergence by carefully removing them from the pots, and data relating to different growth, biochemical attributes, and Pb uptake were recorded.

2.2. Preparation of Loquat Leaf Extract

Loquat leaves were washed with distilled water, dried at 60 °C in the oven, and milled into powder. The aqueous extract was prepared by mixing 5 g of leaf powder in 150 mL distilled water. The resultant mixture was heated in an oscillator for 90 min at 80 °C until the solution reduced to 100 mL. The extract was centrifuged at 4000 rpm for 20 min to exclude the contaminants. The resultant supernatant was regarded as 100% concentrated, stored at 4 °C, and used in the experiment. This supernatant was diluted to 5% with distilled water for the foliar spray in the experiment [].

2.3. Growth Traits and Pb Uptake

The harvested plants were divided into roots and shoots. The plants in each treatment were dried in an oven at 70 ± 5 °C and dry weights were recorded. The Pb contents in roots and shoots were quantified by digesting the dried samples in HClO4:HNO3 solution (1:5, v/v). The Pb concentration in the samples was measured on ICP-OES. Translocation factor was computed according to Malik et al. [].

2.4. Pigments

Different pigments were determined by collecting 0.2 g fresh leaf samples from each treatment. Acetone (80%, 4 mL) was used to extract these samples overnight, followed by homogenization. Afterwards, the samples were filtered, and 25 mL of acetone was added to increase the volume of the filtrates. Spectrophotometer (Optima 2100 DV, PerkinElmer, Rodgau, Germany) was used to record the absorbance of the filtrates at different wavelengths (663, 645, 480, and 537 nm). The method of Arnon [] was used to determine total chlorophyll contents, carotenoids, and anthocyanin. Likewise, the method of Ravelo-Pérez et al. [] was followed to determine lycopene contents.

2.5. Osmolytes

The method of Bates et al. [] was followed to determine proline contents. A total of 5 mL sulfosalicylic acid (3%) was used to homogenize the leaf samples. Next, 2 mL ninhydrin reagent and 2 mL glacial acetic acid were added to 2 mL leaf extract in a test tube. The mixture was heated at 90 °C for half hour, and the reaction terminated in an ice bath. A total of 5 mL toluene was added to the reaction mixture after it cooled. The mixture was vortexed for 15 s and kept at room temperature for 20 min in the dark so that the toluene layer would separate from the aqueous solution. The UV-1900 BMS (Malvern Panalytical GmbH, Kassel, Germany) spectrophotometer was used to measure the absorbance at 520 nm after collecting each toluene layer in a separate tube. Analytical-grade proline was used to create a standard curve calculated on a mg/g FW basis and to calculate the free proline concentration in each sample.
The method of Irigoyen [] was followed to extract and determine total soluble sugars. Fresh leaves (0.2 g) were homogenized in 5 mL of ethanol (96% v/v) after rinsing with 5 mL of ethanol (70% v/v). Afterwards, the samples were heated at 80 °C in a boiling water bath for 10 min. The extract was cooled, centrifuged at 4000× g for 10 min, and the supernatant was kept at 4 °C for measurement. Anthrone reagent [150 mg anthrone + 100 mL of sulfuric acid (72%, v/v)] was reacted with 3 mL ethanolic extract in a boiling water bath at 80 °C for 15 min to estimate total soluble sugar content. Once the mixture was cooled, absorbance at 625 nm was measured using a spectrophotometer (UV-1900 BMS, Thermo Fisher Scientific, Duisburg, Germany), and the total soluble sugars (mg/g FW) were determined using a glucose standard curve.

2.6. Stress Indicators

Malondialdehyde (MDA) contents were used to assess lipid peroxidation in plant tissues, as described by Zhang and Kirkham []. After homogenization in 5 mL TCA (0.1%), 0.25 g leaf sample was centrifuged at 6000× g for 15 min. The resulting aliquot (1 mL) was heated at 95 °C for 30 min, cooled in an ice bath, and centrifuged with 4 mL of thiobarbituric acid (TBA). Absorbance of the supernatant was recorded at 532 and 600 nm. The difference between 532 and 600 nm readings was recorded, and absorption coefficient of 155 mM L−1 was used to express the MDA level in micromoles per gram of dry weight (M/g FW).
The fresh leaves (50 mg) were homogenized in 3 mL of 50 mM phosphate regulator (KH2PO4/K2HPO4, pH 6.5) to extract H2O2. The extract (3 mL) was mixed with 1 mL titanium sulfate (0.1%), and 1 mL H2SO4 (20%), followed by centrifugation at 6000× g for 15 min. Then, absorbance was recorded at 410 nm and 0.28 µM L−1 coefficient was used to express H2O2 as µM/g FW [].

2.7. Ascorbic Acid

Ascorbic acid was extracted and determined from the leaves by following the methodology of Kampfenkel et al. []. Liquid nitrogen was used to homogenize leaf samples (1 g) before extraction with 10 mL TCA (5% w/v), followed by centrifugation (15,000× g) at 4 °C for 5 min. The concentration of AsA in the supernatant was immediately assayed after being transferred to a clean reaction vessel using 1 mL reaction mixture.

2.8. Glutathione, Total Phenolics, and Flavonoids

The amount of glutathione was measured in accordance with the methodology of Anderson []. Fresh leaves (0.5 g) were homogenized in 5% sulphosalicylic acid (2 mL) under cool temperature, followed by centrifugation (12,000× g) for 10 min. The absorbance was recorded at 412 nm to determine glutathione content. Folin–Ciocalteu reagent (0.75 mL) was used to estimate total phenolic contents []. Similarly, total flavonoids were recorded by following the method of Zhishen et al. [].

2.9. Activities of Antioxidant Enzymes

A spectrophotometer was employed to measure the activities of various antioxidant enzymes, i.e., SOD, CAT, POD, APX, and GR. The SOD activity was measured according to Zhang []. Similarly, the methodology of Aebi [] was followed to determine the activity of CAT, and the methodology of Zhou and Leul [] was followed to measure POD activity. The APX activity was recorded by employing the methodology of Nakano and Asada []. Likewise, GR activity was measured by following the methodology of Rao et al. [].

2.10. Statistical Analysis

The data on all of the recorded test were subjected to a normality test [], which indicated a normal distribution. Therefore, two-way analysis of variance (ANOVA) was employed to infer the significant differences among individual and interactive effects of Pb and EJLE concentrations []. Least-significant-difference post hoc test at 95% probability level was used to differentiate the means where ANOVA indicated significant differences among individual and interactive effects of Pb and EJLE concentrations. Lastly, principal component analysis was executed on the growth and biochemical attributes for the easier interpretation of the results. All statistical computations were performed using SPSS statistical software version 20.0 [].

3. Results

The individual and interactive effects of lead (Pb) and loquat leaf extract (EJLE) had significant effects on growth traits, pigment contents, Pb accumulation, and Pb translocation factor (Table 1).
Table 1. Analysis of variance for growth and pigment contents and Pb accumulation in roots and leaves of soybean plants grown under different Pb concentrations and foliar application of loquat leaf extract.
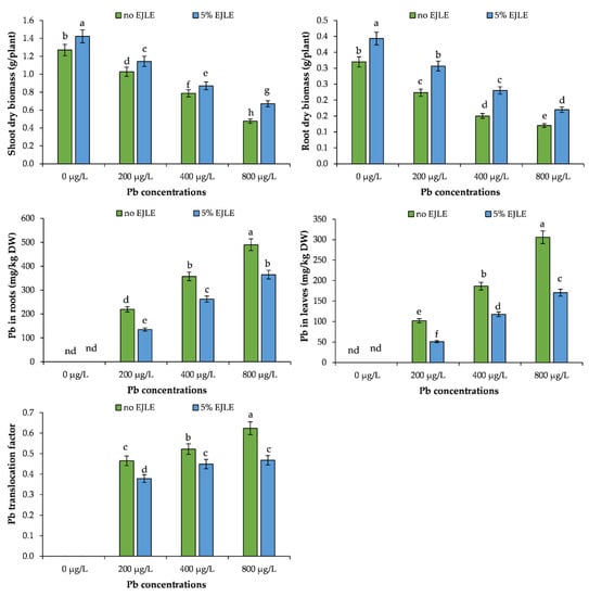
The shoot and root dry biomass were significantly decreased by increasing Pb concentrations. However, application of 5% EJLE significantly improved shoot and dry biomass under all Pb concentrations. The highest shoot and root dry biomass were noted under 0 µg Pb with 5% EJLE application, whereas plants exposed to 800 µg Pb concentrations without EJLE application produced the lowest shoot and root dry biomass. Application of 5% EJLE improved shoot dry biomass by 10.8%, 10.2%, 9.6%, and 28.9% under 0, 200, 400, and 800 µg Pb concentrations, respectively, compared to no ELJE application. Shoot dry biomass of the plants receiving no EJLE was decreased by 19.1%, 38.0%, and 62.4% under 200, 400, and 800 µg Pb concentrations, respectively. Similarly, this decrease was 19.7%, 38.9%, and 52.9% under 200, 400, and 800 µg Pb concentrations, respectively, in the plants treated with 5% ELJE (Figure 1).
Figure 1. Interactive effect of different lead and loquat leaf extract concentrations on root and shoot biomass, Pb accumulation in roots and leaves, and Pb translocation factor of soybean plants. The values of different traits are means ± standard errors of means (n = 4). Means with different letters are significantly different from each other.
Application of 5% EJLE improved root dry biomass by 18.6%, 27.2%, 34.8%, and 29.4% under 0, 200, 400, and 800 µg Pb concentrations, respectively, compared to no ELJE application. Root dry biomass of the plants receiving no EJLE was reduced by 30.2%, 53.1%, and 62.5% under 200, 400, and 800 µg Pb concentrations, respectively. On the other hand, this decrease was 22.0%, 41.5%, and 56.7% under 200, 400, and 800 µg Pb concentrations, respectively, for the plants supplemented with 5% ELJE (Figure 1).
The Pb accumulation in roots and leaves was significantly increased under increasing Pb concentration. Higher Pb accumulation was recorded in roots compared to shoots. The application of 5% EJLE significantly reduced Pb accumulation in roots and leaves. The application of 5% EJLE reduced Pb accumulation in roots by 62.6%, 36.3%, and 34.4% under 200, 400, and 800 µg Pb concentrations, respectively, compared to no ELJE application (Figure 1). In the same way, application of 5% EJLE reduced Pb accumulation in leaves by 100.1%, 58.5%, and 79.3% under 200, 400, and 800 µg Pb concentrations, respectively, compared to no ELJE supplementation (Figure 1).
The Pb translocation factor was increased with increasing Pb concentrations. The lowest translocation factor was noted for 0 µg Pb concentration with or without EJLE application, whereas 800 µg Pb concentration without EJLE application noted the highest translocation factor. The application of 5% EJLE reduced Pb translocation factor by 23.1%, 16.3%, and 33.4% under 200, 400, and 800 µg Pb concentrations, respectively, compared to no ELJE application. The translocation factor of the plants receiving no EJLE increased by 46.0%, 52.0%, and 62.0% under 200, 400, and 800 µg Pb concentrations, respectively. Similarly, this increase was 38.0%, 45.0%, and 47.0% under 200, 400, and 800 µg Pb concentrations, respectively, in the plants supplemented with 5% ELJE (Figure 1).
Different pigments, secondary metabolites, and stress indicators were significantly affected by individual and interactive effects of Pb and EJLE concentrations (Table 1 and Table 2).
Table 2. Analysis of variance for non-enzymatic antioxidants of soybean plants grown under different Pb concentrations and foliar application of loquat leaf extract.
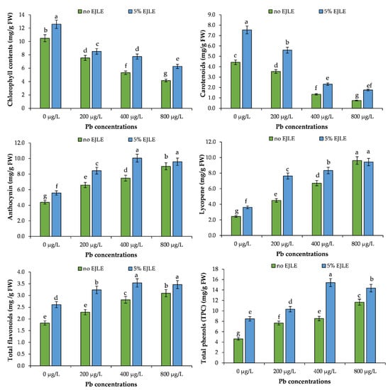
Increasing Pb concentrations significantly reduced total chlorophyll contents, carotenoids, anthocyanins, lycopene, flavonoids, and total phenols. However, application of 5% EJLE significantly improved these contents. The application of 5% EJLE increased carotenoids by 41.4%, 36.7%, 42.2%, and 57.7% under 0, 200, 400, and 800 µg Pb concentrations, respectively, compared to no ELJE application. Chlorophyll contents were improved by 16.7%, 11.5%, 31.3%, and 33.9% under 0, 200, 400, and 800 µg Pb concentrations, respectively, with the application of 5% EJLE compared to no ELJE application (Figure 2).
Figure 2. Interactive effect of different lead and loquat leaf extract concentrations on pigment contents and secondary metabolites of soybean plants. The values of different traits are means ± standard errors of means (n = 4). Means with different letters are significantly different from each other.
Likewise, application of 5% EJLE improved anthocyanins by 21.5%, 21.9%, 25.5, and 6.1% under 0, 200, 400, and 800 µg Pb concentrations, respectively, compared to no EJLE application. In the same manner, supplementation with 5% EJLE improved lycopene contents by 32.3%, 41.1%, and 19.5% under 0, 200, and 400 µg Pb concentrations, respectively, compared to no EJLE application. However, lycopene was reduced by 3.0% under 800 µg Pb concentration by 5% EJLE application compared to no application. The increase in flavonoids was 30.0%, 29.2%, 20.4%, and 10.6% under 0, 200, 400, and 800 µg Pb concentrations, respectively, with the application of 5% EJLE compared to no ELJE application. Similarly, application of 5% EJLE improved total phenols by 45.6%, 25.9%, 44.8%, and 18.7% under 0, 200, 400, and 800 µg Pb concentrations, respectively, compared to no EJLE application (Figure 2).
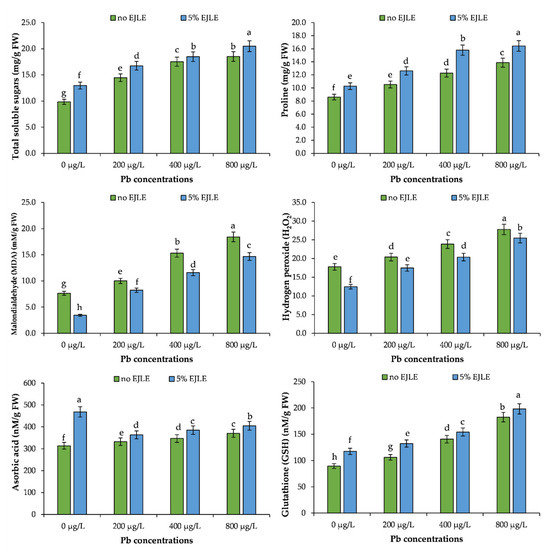
Total soluble sugars, proline, ascorbic acid, and glutathione were increased with increasing Pb concentration. The increase in these contents was higher with 5% EJLE application compared to no EJLE application. Similarly, MDA and H2O2 contents increased under higher Pb concentrations, and this increase was less in the plants sprayed with 5% EJLE compared with no application (Figure 3).
Figure 3. Interactive effect of different lead and loquat leaf extract concentrations on non-enzymatic antioxidants of soybean plants. The values of different traits are means ± standard errors of means (n = 4). Means with different letters are significantly different from each other.
The plants sprayed with 5% EJLE demonstrated an increase of 24.0%, 13.6%, 5.1%, and 9.6% in total soluble sugars under 0, 200, 400, and 800 µg Pb concentrations, respectively, compared to the plants receiving no EJLE. Similarly, proline increased by 16.3%, 16.5%, 22.2%, and 15.5% under 0, 200, 400, and 800 µg Pb concentrations, respectively, with 5% EJLE application compared with no application. Likewise, the increase in ascorbic acid with 5% EJLE application was 32.9%, 8.5%, 9.9%, and 8.5% under 0, 200, 400, and 800 µg Pb concentrations, respectively, compared to no EJLE application. In the same way, glutathione increased by 23.9%, 19.8%, 8.7%, and 8.0% under 0, 200, 400, and 800 µg Pb concentrations, respectively, with the application of 5% EJLE compared to its no application. The reduction caused by 5% EJLE in MDA contents was 122.5%, 21.5%, 32.0%, and 25.5% under 0, 200, 400, and 800 µg Pb concentrations, respectively, compared with no application. Similarly, H2O2 contents were reduced by 42.9%, 16.7%, 17.0%, and 9.0% under 0, 200, 400, and 800 µg Pb concentrations, respectively, with 5% EJLE application compared to no application of EJLE (Figure 3).
The activities of different antioxidant enzymes were significantly affected by individual and interactive effects of Pb and EJLE concentrations (Table 3).
Table 3. Analysis of variance for antioxidant enzymes’ activities of soybean plants grown under different Pb concentrations and foliar application of loquat leaf extract.
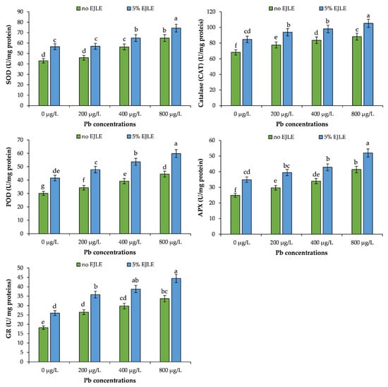
The activities of antioxidant enzymes increased under higher Pb concentrations, and this increase was higher in the plants sprayed with 5% EJLE compared to those receiving no EJLE (Figure 4). The highest activities of SOD, CAT, POD, APX, and GR enzymes were noted in the plants grown under 800 µg Pb concentration with the application of 5% EJLE, whereas the plants grown under 0 µg Pb concentration with no EJLE application recorded the lowest activities of these enzymes.
Figure 4. Interactive effect of different lead and loquat leaf extract concentrations on the activities of antioxidant enzymes in soybean plants. The values of different traits are means ± standard errors of means (n = 4). Means having different letters are significantly different from each other.
The CAT activity was improved by 19.5%, 17.3%, 14.8%, and 16.2% under 0, 200, 400, and 800 µg Pb concentrations, respectively, with 5% EJLE application compared with no application. Similarly, application of 5% EJLE increased SOD activity by 23.9%, 19.4%, 13.2%, and 12.8% under 0, 200, 400, and 800 µg Pb concentrations, respectively, compared with no application. Likewise, POD activity was improved by 27.6%, 28.2%, 26.8%, and 25.5% under 0, 200, 400, and 800 µg Pb concentrations, respectively, with the application of 5% EJLE compared with no application. In the same way, application of 5% EJLE increased APX activity by 28.6%, 24.6%, 20.5%, and 20.4% under 0, 200, 400, and 800 µg Pb concentrations, respectively, compared with no application. Similarly, GR activity was improved by 30.0%, 26.1%, 23.3%, and 24.3% under 0, 200, 400, and 800 µg Pb concentrations, respectively, with 5% EJLE application compared with no application (Figure 4).
The principal component analysis divided the traits into three distinct groups (Figure 5).
Figure 5. The biplot of the first two axes of principal component analysis executed on growth and biochemical traits of soybean plants grown under different Pb and loquat leaf extract concentrations. SDM = shoot dry biomass, RDM = root dry biomass, Chls = total chlorophylls, Antho = anthocyanins, Lyco = Lycopene, Pro = proline, TSS = total soluble sugars, MDA = malondialdehyde, H2O2 = Hydrogen peroxide, AsA = ascorbic acid, GSH = glutathione, TPC = total phenolic contents, TFC = total flavonoid contents, SOD = superoxide dismutase, CAT = catalase, POD = peroxidase, APX = ascorbate peroxidase, GR = glutathione reductase, PBR = Pb accumulation in roots, PBL = Pb accumulation in leaves, and TF = PB translocation factor.
The first group contained root and shoot dry biomass, total chlorophyll contents, and carotenoids grouped together with 0 and 200 µg Pb concentrations with 5% EJLE concentration. The second group had stress indicators, i.e., MDA and H2O2, Pb accumulation in roots and leaves, and Pb translocation factor, which were grouped together with 400 and 800 µg Pb concentrations with no EJLE application. The rest of the traits were in the third group, coupled with 400 and 800 µg Pb concentrations with the application of 5% EJLE (Figure 5). The results of the PCA revealed that the application of 5% EJLE lowered the production of stress indicators compared with no application. Similarly, the activities of antioxidant enzymes and non-enzymatic antioxidants were improved with the application of 5% EJLE. The PCA further revealed that the shoot and root dry biomass, chlorophyll contents and carotenoids were higher in the plants grown under no- and low Pb toxicity with the application of 5% EJLE (Figure 5).

4. Discussion

Increasing Pb concentrations significantly suppressed the growth and biochemical attributes of soybean plants as hypothesized. Similarly, the application of 5% EJLE notably improved these traits, which also supported our hypothesis. Higher Pb accumulation was recorded in roots compared to leaves in the current study, whereas application of EJLE significantly lowered Pb accumulation in roots and leaves. The increased Pb accumulation significantly reduced root growth and pigment contents, and this decrease was higher under no application of EJLE. Plants readily absorb Pb from Pb-contaminated soils, with the greatest accumulation observed in roots, whereas other parts (stems, leaves, and seeds) accumulate lower amounts [,]. The main obstacles to Pb entry into cells are cell walls and membranes []. Phytochelatins may decrease Pb entry into the cells []. Several strategies have been tested in earlier studies to lower Pb accumulation in various plant species. The application of endogenous substances has been reported to mitigate the adverse effects of heavy metal on growth of different plant species [,,]. The combined application of asparagine and thiourea improved the Pb tolerance of wheat [].
Various phenolic acids are known to improve heavy metal tolerance of different plant species []. The EJLE is a phenolic compound; thus, it has considerable potential to improve the heavy metal tolerance of plants. The EJLE has metal chelating, DPPH and ABTS radical scavenging activities, and higher antioxidant enzyme activities []. The formation of the EJLE-Pb complex might have reduced Pb accumulation and increased soybean growth and biochemical attributes. However, this inference warrants further investigation. Unfortunately, there is no report relating to the role of EJLE in improving the heavy metal tolerance of crop plants. Thus, future studies must explore the chemical composition of EJLE and the actual mechanisms involved in the improved growth of plants with the application of EJLE.
Chlorophyll concentration is a key measure of a plant’s photosynthetic efficiency. Pb toxicity causes significant morphological and physiological changes in plants, including reduced photosynthesis, distributed nutrient uptake and water balance, and abrupt changes in the activates of essential enzymes []. Pb toxicity is known to decrease chlorophyll a and b, while it increases chlorophyll a:b ratio and chlorophyll degradation rate []. Reduced nutrient and water uptake may result in lower photosynthesis, which would result in slower plant development overall. Furthermore, elevated MDA levels and electrolyte leakage may damage chloroplast membranes and result in decreased accumulation of photosynthetic pigments under Pb stress. Increased Pb concentrations in the current study reduced total chlorophylls and carotenoids, whereas they increased lycopene and anthocyanin. Foliar application of 5% EJLE increased the contents of these pigments. The results of the current study are similar to the findings of Shu et al. [] who reported decreased photosynthetic pigments in Jatropa curcas under Pb stress. The reduced photosynthetic contents were linked with stomatal closure. Stomatal closure is a result of Pb interaction with guard cells or due to the early effects of Pb toxicity on roots and stems. Plants may shift their stomata in response to signals produced by the ABA under Pb stress []. The high redox potential of some heavy metals likely hinders the reductive steps in the production pathways of photosynthetic pigments, leading to a decrease in these pigments [].
The metabolism of plant cells frequently results in the production of reactive oxygen species (ROS). The oxidative damage, ultimately leading to cell death, is caused by an excessive quantity of ROS produced under heavy metals’ toxicity. Plants exposed to higher Pb concentrations produce significant amounts of ROS, which oxidize nucleic acids and proteins and degrade their structures []. Plants capable of producing higher phenolic compounds under heavy metal stress are regarded good candidates for phytoremediation []. These phenolic compounds may serve as antioxidants because their hydroxyl groups can donate hydrogen and react with ROS in the termination reaction, which breaks the cycle of producing new radicals. Phenolic compounds serve as significant antioxidants under stressful environments, and these are generated through the shikimic acid or phenyl propanoid pathways []. Loquat leaves are comprised of several active compounds with anti-inflammatory, anti-tumor, and antioxidant properties, including roseoside, procyanidin B-2, triterpene acids, chlorogenic acid, and flavonoids []. Production of osmolytes (i.e., proline and total soluble sugars) increased under Pb stress with the application of 5% EJLE. Plants producing more proline could resist lipid peroxidation and membrane alteration caused by Pb toxicity [,]. Several earlier studies have reported increased accumulation of osmolytes in plants under heavy metal stress, including Pb [,]. The increased proline in Pb-exposed seedlings might be linked with protein breakdown. Proline mitigates metal-induced oxidative stress because of its ability to scavenge ROS []. Higher production of proline and total soluble sugars with the application of 5% EJLE lowered ROS, which improved Pb tolerance of soybean plants.
The current study indicated that leaf MDA and H2O2 contents increased under Pb toxicity, while foliar application of 5% EJLE significantly reduced MDA and H2O2 contents. Plant extracts possessing bioactive compounds may serve as powerful antioxidants. The improved Pb tolerance of soybean plants through the application of 5% EJLE might be attributed to its high levels of phenolic (benzoic acid and hydroxycinnamic derivatives) and tocopherol components [].
Non-enzymatic antioxidant contents (i.e., AsA, GSH, TPC, and TFC) increased under Pb stress with the application of 5% EJLE. Due to electron donating abilities, TPCs serve as hydrogen donors, reducing agents, and singlet oxygen quenchers, in addition to imparting heavy metal tolerance []. The increased TPC in the current study can provide a mechanistic aid to soybean plants for improved Pb tolerance []. Similarly, the activity of antioxidant enzymes significantly increased under Pb stress with the application of 5% EJLE. The increased activity of these enzymes enhanced the tolerance of soybean plants to Pb toxicity. Improved activity of these enzymes shields plants from oxidative damage; hence, defending the photosynthetic apparatus []. Plants produce antioxidants such as proline, APX, glutathione, and GPX under Pb-induced oxidative stress to counteract the negative effects of ROS []. Antioxidant activity in plants is achieved by the production of ROS in the mitochondria through the membrane-coupled electron transport chain during oxidative phosphorylation []. Increased activity of antioxidant enzymes may have contributed to the reduced membrane leakage [] due to EJLE application, which preserved the membrane’s composition and ultrastructure. Reduced oxidative damage with EJLE application can be linked to the efficient functioning of the antioxidant defense system. Increased antioxidant enzyme activity can be linked to higher antioxidant potential of ELJE []. However, no earlier reports are available regarding the functioning of EJLE. Therefore, our results indicate that EJLE could impart Pb tolerance to soybean plants through enhanced activities of antioxidant enzymes. However, field studies exploring the underlying mechanisms of EJLE are needed to reach concrete conclusions. Moreover, future studies must analyze EJLE and test more concentrations of it to reach concrete conclusions.

5. Conclusions

This study indicated that Pb stress had negative effect on growth, total chlorophyll contents, and carotenoids in soybean plants, whereas it promoted lycopene and anthocyanin. Pb toxicity exhibited a significant induction effect on the proline, total soluble sugars, ascorbic acid, glutathione, total phenolic contents, total flavonoid contents, and activity of antioxidant enzymes (SOD, CAT, POD, APX, and GR). The toxicity of Pb to pigments, osmolytes, and the antioxidant system of soybean plants was significantly mitigated by foliar spray of 5% EJLE. The EJLE decreased MDA and H2O2 contents and promoted pigments, osmolyte contents, and the antioxidant system of soybean plants, thus reducing Pb toxicity. Foliar application of 5% EJLE could effectively improve the Pb tolerance of soybean plants. However, field studies exploring the underlying mechanisms of EJLE are needed to reach concrete conclusions.

Author Contributions

Conceptualization, A.K. and S.F.; methodology, A.K.; software, S.F.; validation, A.K. and S.F.; formal analysis, S.F.; investigation, A.K.; resources, A.K.; data curation, A.K.; writing—original draft preparation, S.F.; writing—review and editing, A.K.; visualization, A.K.; supervision, A.K.; project administration, A.K.; funding acquisition, A.K. All authors have read and agreed to the published version of the manuscript.

Funding

This work was supported by King Khalid University through the grant KKU/RCAMS/23 under the Research Center for Advance Materials (RCAMS) at King Khalid University, Saudi Arabia.

Institutional Review Board Statement

Not applicable.

Data Availability Statement

All data are within the manuscript.

Acknowledgments

This work was supported by the King Khalid University through a grant KKU/RCAMS/23 under the Research Center for Advance Materials (RCAMS) at King Khalid University, Saudi Arabia.

Conflicts of Interest

The authors declare no conflict of interest.

References

  1. Masindi, V.; Muedi, K.L. Environmental Contamination by Heavy Metals. In Heavy Metals; InTech: Jakarta Selatan, Indonesia, 2018. [Google Scholar]
  2. Vareda, J.P.; Valente, A.J.M.; Durães, L. Assessment of Heavy Metal Pollution from Anthropogenic Activities and Remediation Strategies: A Review. J. Environ. Manag. 2019, 246, 101–118. [Google Scholar] [CrossRef] [PubMed]
  3. Nagajyoti, P.C.; Lee, K.D.; Sreekanth, T.V.M. Heavy Metals, Occurrence and Toxicity for Plants: A Review. Environ. Chem. Lett. 2010, 8, 199–216. [Google Scholar] [CrossRef]
  4. Kaya, C.; Ugurlar, F.; Ashraf, M.; Alyemeni, M.N.; Bajguz, A.; Ahmad, P. The Involvement of Hydrogen Sulphide in Melatonin-Induced Tolerance to Arsenic Toxicity in Pepper (Capsicum annuum L.) Plants by Regulating Sequestration and Subcellular Distribution of Arsenic, and Antioxidant Defense System. Chemosphere 2022, 309, 136678. [Google Scholar] [CrossRef] [PubMed]
  5. Kaya, C.; Ugurlar, F.; Ashraf, M.; El-Sheikh, M.A.; Bajguz, A.; Ahmad, P. The Participation of Nitric Oxide in Hydrogen Sulphide-Mediated Chromium Tolerance in Pepper (Capsicum annuum L.) Plants by Modulating Subcellular Distribution of Chromium and the Ascorbate-Glutathione Cycle. Environ. Pollut. 2022, 313, 120229. [Google Scholar] [CrossRef] [PubMed]
  6. Ben Massoud, M.; Sakouhi, L.; Karmous, I.; Zhu, Y.; El Ferjani, E.; Sheehan, D.; Chaoui, A. Protective Role of Exogenous Phytohormones on Redox Status in Pea Seedlings under Copper Stress. J. Plant Physiol. 2018, 221, 51–61. [Google Scholar] [CrossRef]
  7. Kaya, C.; Ugurlar, F.; Farooq, S.; Ashraf, M.; Alyemeni, M.N.; Ahmad, P. Combined Application of Asparagine and Thiourea Improves Tolerance to Lead Stress in Wheat by Modulating AsA-GSH Cycle, Lead Detoxification and Nitrogen Metabolism. Plant Physiol. Biochem. 2022, 190, 119–132. [Google Scholar] [CrossRef]
  8. Bahmani, R.; Kim, D.; Modareszadeh, M.; Hwang, S. Cadmium Enhances Root Hair Elongation through Reactive Oxygen Species in Arabidopsis. Environ. Exp. Bot. 2022, 196, 104813. [Google Scholar] [CrossRef]
  9. Yang, L.; Yang, H.; Bian, Z.; Lu, H.; Zhang, L.; Chen, J. The Defensive Role of Endogenous H2S in Brassica rapa against Mercury-Selenium Combined Stress. Int. J. Mol. Sci. 2022, 23, 2854. [Google Scholar] [CrossRef]
  10. Akhoundnejad, Y.; Karakas, O.; Demirci, O. Response of Lettuce to Silver Nanoparticles Under Drought Conditions. Iran. J. Sci. Technol. Trans. A Sci. 2022, 46, 111–120. [Google Scholar] [CrossRef]
  11. Kabeer, R.; Sylas, V.P.; Praveen Kumar, C.S.; Thomas, A.P.; Shanthiprabha, V.; Radhakrishnan, E.K.; Baiju, K.R. Role of Heavy Metal Tolerant Rhizosphere Bacteria in the Phytoremediation of Cu and Pb Using Eichhornia crassipes (Mart.) Solms. Int. J. Phytoremediation 2022, 24, 1120–1132. [Google Scholar] [CrossRef]
  12. Ahmed, S.F.; Kumar, P.S.; Rozbu, M.R.; Chowdhury, A.T.; Nuzhat, S.; Rafa, N.; Mahlia, T.M.I.; Ong, H.C.; Mofijur, M. Heavy Metal Toxicity, Sources, and Remediation Techniques for Contaminated Water and Soil. Environ. Technol. Innov. 2022, 25, 102114. [Google Scholar] [CrossRef]
  13. Gottesfeld, P.; Were, F.H.; Adogame, L.; Gharbi, S.; San, D.; Nota, M.M.; Kuepouo, G. Soil Contamination from Lead Battery Manufacturing and Recycling in Seven African Countries. Environ. Res. 2018, 161, 609–614. [Google Scholar] [CrossRef]
  14. Zulfiqar, U.; Farooq, M.; Hussain, S.; Maqsood, M.; Hussain, M.; Ishfaq, M.; Ahmad, M.; Anjum, M.Z. Lead Toxicity in Plants: Impacts and Remediation. J. Environ. Manag. 2019, 250, 109557. [Google Scholar] [CrossRef]
  15. Chen, F.; Aqeel, M.; Maqsood, M.F.; Khalid, N.; Irshad, M.K.; Ibrahim, M.; Akhter, N.; Afzaal, M.; Ma, J.; Hashem, M.; et al. Mitigation of Lead Toxicity in Vigna Radiata Genotypes by Silver Nanoparticles. Environ. Pollut. 2022, 308, 119606. [Google Scholar] [CrossRef]
  16. Amari, T.; Ghnaya, T.; Abdelly, C. Nickel, Cadmium and Lead Phytotoxicity and Potential of Halophytic Plants in Heavy Metal Extraction. S. Afr. J. Bot. 2017, 111, 99–110. [Google Scholar] [CrossRef]
  17. Alamri, S.A.; Siddiqui, M.H.; Al-Khaishany, M.Y.Y.; Nasir Khan, M.; Ali, H.M.; Alaraidh, I.A.; Alsahli, A.A.; Al-Rabiah, H.; Mateen, M. Ascorbic Acid Improves the Tolerance of Wheat Plants to Lead Toxicity. J. Plant Interact. 2018, 13, 409–419. [Google Scholar] [CrossRef]
  18. Pratap, A.; Gupta, S.K.; Kumar, J.; Solanki, R.K. Soybean. In Technological Innovations in Major World Oil Crops; Springer New York: New York, NY, USA, 2012; Volume 1, pp. 293–321. [Google Scholar]
  19. Dixit, A.; Antony, J.I.; Sharma, N.K.; Tiwari, R.K. Soybean Constituents and Their Functional Benefits. In Opportunity, Challenge and Scope of Natural Products in Medicinal Chemistry; Research Signpost: Kerala, India, 2011; pp. 367–383. ISBN 9788130804484. [Google Scholar]
  20. Medic, J.; Atkinson, C.; Hurburgh, C.R. Current Knowledge in Soybean Composition. J. Am. Oil Chem. Soc. 2014, 91, 363–384. [Google Scholar] [CrossRef]
  21. Nikolić, Z.; Vasiljević, I.; Zdjelar, G.; Đorđević, V.; Ignjatov, M.; Jovičić, D.; Milošević, D. Detection of Genetically Modified Soybean in Crude Soybean Oil. Food Chem. 2014, 145, 1072–1075. [Google Scholar] [CrossRef] [PubMed]
  22. Bakhoum, G.S.; Badr, E.A.E.; Sadak, M.S.; Kabesh, M.O.; Amin, G.A. Improving Growth, Some Biochemical Aspects and Yield of Three Cultivars of Soybean Plant by Methionine Treatment Under Sandy Soil Condition. Int. J. Environ. Res. 2019, 13, 35–43. [Google Scholar] [CrossRef]
  23. Bilal, S.; Khan, A.L.; Shahzad, R.; Kim, Y.-H.; Imran, M.; Khan, M.J.; Al-Harrasi, A.; Kim, T.H.; Lee, I.-J. Mechanisms of Cr(VI) Resistance by Endophytic Sphingomonas Sp. LK11 and Its Cr(VI) Phytotoxic Mitigating Effects in Soybean (Glycine max L.). Ecotoxicol. Environ. Saf. 2018, 164, 648–658. [Google Scholar] [CrossRef] [PubMed]
  24. da Rosa Couto, R.; Faversani, J.; Ceretta, C.A.; Ferreira, P.A.A.; Marchezan, C.; Basso Facco, D.; Garlet, L.P.; Silva, J.S.; Comin, J.J.; Bizzi, C.A.; et al. Health Risk Assessment and Soil and Plant Heavy Metal and Bromine Contents in Field Plots after Ten Years of Organic and Mineral Fertilization. Ecotoxicol. Environ. Saf. 2018, 153, 142–150. [Google Scholar] [CrossRef] [PubMed]
  25. Armendariz, A.L.; Talano, M.A.; Olmos Nicotra, M.F.; Escudero, L.; Breser, M.L.; Porporatto, C.; Agostini, E. Impact of Double Inoculation with Bradyrhizobium japonicum E109 and Azospirillum brasilense Az39 on Soybean Plants Grown under Arsenic Stress. Plant Physiol. Biochem. 2019, 138, 26–35. [Google Scholar] [CrossRef] [PubMed]
  26. Adeyemi, N.O.; Atayese, M.O.; Sakariyawo, O.S.; Azeez, J.O.; Abayomi Sobowale, S.P.; Olubode, A.; Mudathir, R.; Adebayo, R.; Adeoye, S. Alleviation of Heavy Metal Stress by Arbuscular Mycorrhizal Symbiosis in Glycine max (L.) Grown in Copper, Lead and Zinc Contaminated Soils. Rhizosphere 2021, 18, 100325. [Google Scholar] [CrossRef]
  27. Fu, Y.; Yuan, Q.; Lin, S.; Liu, W.; Du, G.; Zhao, L.; Zhang, Q.; Lin, D.-R.; Liu, Y.-T.; Qin, W.; et al. Physicochemical Characteristics and Biological Activities of Polysaccharides from the Leaves of Different Loquat (Eriobotrya japonica) Cultivars. Int. J. Biol. Macromol. 2019, 135, 274–281. [Google Scholar] [CrossRef] [PubMed]
  28. Dhiman, A.; Suhag, R.; Thakur, D.; Gupta, V.; Prabhakar, P.K. Current Status of Loquat (Eriobotrya japonica Lindl.): Bioactive Functions, Preservation Approaches, and Processed Products. Food Rev. Int. 2022, 38, 286–316. [Google Scholar] [CrossRef]
  29. Kim, H.H.; Heo, M.R.; Lee, S.; Yim, S.H. Validation of Analytical Method and Antioxidant Properties of Eriobotrya japonica Lindl. Leaf Extract According to Extraction Solvent. Korean J. Food Sci. Technol. 2019, 51, 301–308. [Google Scholar] [CrossRef]
  30. Hoagland, D.R.; Arnon, D.I. The Water-Culture Method for Growing Plants without Soil; California Agricultural Experiment Station: Berkeley, CA, USA, 1950; Volume 347. [Google Scholar]
  31. Rao, B.; Tang, R.-C. Green Synthesis of Silver Nanoparticles with Antibacterial Activities Using Aqueous Eriobotrya japonica Leaf Extract. Adv. Nat. Sci. Nanosci. Nanotechnol. 2017, 8, 015014. [Google Scholar] [CrossRef]
  32. Malik, R.N.; Husain, S.Z.; Nazir, I. Heavy Metal Contamination and Accumulation in Soil and Wild Plant Species from Industrial Area of Islamabad, Pakistan. Pak. J. Bot. 2010, 42, 291–301. [Google Scholar]
  33. Arnon, D. Copper Enzyme in Isolated Chloroplast and Chlorophyll Expressed in Terms of Mg per Gram. Plant Physiol. 1949, 24, 21–24. [Google Scholar]
  34. Ravelo-Pérez, L.M.; Hernández-Borges, J.; Rodríguez-Delgado, M.A.; Borges-Miquel, T. Spectrophotometric Analysis of Lycopene in Tomatoes and Watermelons: A Practical Class. Chem. Educ. 2008, 13, 11–13. [Google Scholar]
  35. Bates, L.S.; Waldren, R.P.; Teare, I.D. Rapid Determination of Free Proline for Water-Stress Studies. Plant Soil 1973, 39, 205–207. [Google Scholar] [CrossRef]
  36. Irigoyen, J.J.; Einerich, D.W.; Sánchez-Díaz, M. Water Stress Induced Changes in Concentrations of Proline and Total Soluble Sugars in Nodulated Alfalfa (Medicago sativa) Plants. Physiol. Plant. 1992, 84, 55–60. [Google Scholar] [CrossRef]
  37. Zhang, J.; Kirkham, M.B. Drought-Stress-Induced Changes in Activities of Superoxide Dismutase, Catalase, and Peroxidase in Wheat Species. Plant Cell Physiol. 1994, 35, 785–791. [Google Scholar] [CrossRef]
  38. Jana, S.; Choudhuri, M.A. Glycolate Metabolism of Three Submersed Aquatic Angiosperms: Effect of Heavy Metals. Aquat. Bot. 1981, 11, 67–77. [Google Scholar] [CrossRef]
  39. Kampfenkel, K.; Vanmontagu, M.; Inze, D. Extraction and Determination of Ascorbate and Dehydroascorbate from Plant Tissue. Anal. Biochem. 1995, 225, 165–167. [Google Scholar] [CrossRef]
  40. Anderson, M.E. Determination of Glutathione and Glutathione Disulfide in Biological Samples. In Methods in Enzymology; Academic Press: Cambridge, MA, USA, 1985; Volume 113, pp. 548–555. [Google Scholar]
  41. Velioglu, Y.S.; Mazza, G.; Gao, L.; Oomah, B.D. Antioxidant Activity and Total Phenolics in Selected Fruits, Vegetables, and Grain Products. J. Agric. Food Chem. 1998, 46, 4113–4117. [Google Scholar] [CrossRef]
  42. Zhishen, J.; Mengcheng, T.; Jianming, W. The Determination of Flavonoid Contents in Mulberry and Their Scavenging Effects on Superoxide Radicals. Food Chem. 1999, 64, 555–559. [Google Scholar] [CrossRef]
  43. Zhang, X.Z. The Measurement and Mechanism of Lipid Peroxidation and SOD, POD and CAT Activities in Biological System. In Research Methodology in Crop Physiology; Agriculture Press: Beijing, China, 1992; pp. 208–211. [Google Scholar]
  44. Aebi, H. Catalase in Vitro. In Methods in Enzymology; Academic Press: Cambridge, MA, USA, 1984; pp. 121–126. [Google Scholar]
  45. Zhou, W.; Leul, M. Uniconazole-Induced Tolerance of Rape Plants to Heat Stress in Relation to Changes in Hormonal Levels, Enzyme Activities and Lipid Peroxidation. Plant Growth Regul. 1999, 27, 99–104. [Google Scholar] [CrossRef]
  46. Nakano, Y.; Asada, K. Hydrogen Peroxide Is Scavenged by Ascorbate-Specific Peroxidase in Spinach Chloroplasts. Plant Cell Physiol. 1981, 22, 867–880. [Google Scholar] [CrossRef]
  47. Rao, M.V.; Paliyath, G.; Ormrod, D.P. Ultraviolet-B- and Ozone-Induced Biochemical Changes in Antioxidant Enzymes of Arabidopsis thaliana. Plant Physiol. 1996, 110, 125–136. [Google Scholar] [CrossRef]
  48. Shapiro, S.S.; Wilk, M.B. An Analysis of Variance Test for Normality (Complete Samples). Biometrika 1965, 52, 591–611. [Google Scholar] [CrossRef]
  49. Steel, R.G.D.; Torrie, J.H.; Dickey, D. Principles and Procedure of Statistics: A Biometrical Approach, 3rd ed.; McGraw HillBookCo. Inc.: New York, NY, USA, 1997; pp. 352–358. [Google Scholar]
  50. IBM SPSS Statistics for Windows; IBM Corp: Armonk, NY, USA, 2015.
  51. Sharma, P.; Dubey, R.S. Lead Toxicity in Plants. Braz. J. Plant Physiol. 2005, 17, 35–52. [Google Scholar] [CrossRef]
  52. Parrotta, L. Target or Barrier? The Cell Wall of Early- and Later-Diverging Plants vs Cadmium Toxicity: Differences in the Response Mechanisms. Front. Plant Sci. 2015, 6, 133. [Google Scholar] [CrossRef] [PubMed]
  53. Mishra, S.; Srivastava, S.; Tripathi, R.D.; Kumar, R.; Seth, C.S.; Gupta, D.K. Lead Detoxification by Coontail (Ceratophyllum demersum L.) Involves Induction of Phytochelatins and Antioxidant System in Response to Its Accumulation. Chemosphere 2006, 65, 1027–1039. [Google Scholar] [CrossRef] [PubMed]
  54. Bücker-Neto, L.; Paiva, A.L.S.; Machado, R.D.; Arenhart, R.A.; Margis-Pinheiro, M. Interactions between Plant Hormones and Heavy Metals Responses. Genet. Mol. Biol. 2017, 40, 373–386. [Google Scholar] [CrossRef]
  55. Vega, A.; Delgado, N.; Handford, M. Increasing Heavy Metal Tolerance by the Exogenous Application of Organic Acids. Int. J. Mol. Sci. 2022, 23, 5438. [Google Scholar] [CrossRef]
  56. Kim, S.-M.; Kim, T.-K.; Kang, M.-C.; Cha, J.Y.; Yong, H.I.; Choi, Y.-S. Effects of Loquat (Eriobotrya japonica Lindl.) Leaf Extract with or without Ascorbic Acid on the Quality Characteristics of Semi-Dried Restructured Jerky during Storage. Food Sci. Anim. Resour. 2022, 42, 566–579. [Google Scholar] [CrossRef] [PubMed]
  57. Dogan, M.; Karatas, M.; Aasim, M. Cadmium and Lead Bioaccumulation Potentials of an Aquatic Macrophyte Ceratophyllum demersum L.: A Laboratory Study. Ecotoxicol. Environ. Saf. 2018, 148, 431–440. [Google Scholar] [CrossRef] [PubMed]
  58. Shu, X.; Yin, L.; Zhang, Q.; Wang, W. Effect of Pb Toxicity on Leaf Growth, Antioxidant Enzyme Activities, and Photosynthesis in Cuttings and Seedlings of Jatropha curcas L. Environ. Sci. Pollut. Res. 2012, 19, 893–902. [Google Scholar] [CrossRef]
  59. Rucińska-Sobkowiak, R. Water Relations in Plants Subjected to Heavy Metal Stresses. Acta Physiol. Plant. 2016, 38, 257. [Google Scholar] [CrossRef]
  60. Chandra, R.; Kang, H. Mixed Heavy Metal Stress on Photosynthesis, Transpiration Rate, and Chlorophyll Content in Poplar Hybrids. For. Sci. Technol. 2016, 12, 55–61. [Google Scholar] [CrossRef]
  61. Yadav, S.K. Heavy Metals Toxicity in Plants: An Overview on the Role of Glutathione and Phytochelatins in Heavy Metal Stress Tolerance of Plants. S. Afr. J. Bot. 2010, 76, 167–179. [Google Scholar] [CrossRef]
  62. Vidal, C.; Ruiz, A.; Ortiz, J.; Larama, G.; Perez, R.; Santander, C.; Ferreira, P.A.A.; Cornejo, P. Antioxidant Responses of Phenolic Compounds and Immobilization of Copper in Imperata Cylindrica, a Plant with Potential Use for Bioremediation of Cu Contaminated Environments. Plants 2020, 9, 1397. [Google Scholar] [CrossRef]
  63. Ren, S.-C.; Sun, J.-T. Changes in Phenolic Content, Phenylalanine Ammonia-Lyase (PAL) Activity, and Antioxidant Capacity of Two Buckwheat Sprouts in Relation to Germination. J. Funct. Foods 2014, 7, 298–304. [Google Scholar] [CrossRef]
  64. Adhikari, A.; Adhikari, S.; Ghosh, S.; Azahar, I.; Shaw, A.K.; Roy, D.; Roy, S.; Saha, S.; Hossain, Z. Imbalance of Redox Homeostasis and Antioxidant Defense Status in Maize under Chromium (VI) Stress. Environ. Exp. Bot. 2020, 169, 103873. [Google Scholar] [CrossRef]
  65. Ashraf, U.; Kanu, A.S.; Mo, Z.; Hussain, S.; Anjum, S.A.; Khan, I.; Abbas, R.N.; Tang, X. Lead Toxicity in Rice: Effects, Mechanisms, and Mitigation Strategies—A Mini Review. Environ. Sci. Pollut. Res. 2015, 22, 18318–18332. [Google Scholar] [CrossRef] [PubMed]
  66. Sofy, M.R.; Seleiman, M.F.; Alhammad, B.A.; Alharbi, B.M.; Mohamed, H.I. Minimizing Adverse Effects of Pb on Maize Plants by Combined Treatment with Jasmonic, Salicylic Acids and Proline. Agronomy 2020, 10, 699. [Google Scholar] [CrossRef]
  67. Dezhban, A.; Shirvany, A.; Attarod, P.; Delshad, M.; Matinizadeh, M.; Khoshnevis, M. Cadmium and Lead Effects on Chlorophyll Fluorescence, Chlorophyll Pigments and Proline of Robinia pseudoacacia. J. For. Res. 2015, 26, 323–329. [Google Scholar] [CrossRef]
  68. Ben Rejeb, K.; Abdelly, C.; Savouré, A. How Reactive Oxygen Species and Proline Face Stress Together. Plant Physiol. Biochem. 2014, 80, 278–284. [Google Scholar] [CrossRef] [PubMed]
  69. Xu, H.; Chen, J. Commercial Quality, Major Bioactive Compound Content and Antioxidant Capacity of 12 Cultivars of Loquat (Eriobotrya japonica Lindl.) Fruits. J. Sci. Food Agric. 2011, 91, 1057–1063. [Google Scholar] [CrossRef]
  70. Kısa, D.; Elmastaş, M.; Öztürk, L.; Kayır, Ö. Responses of the Phenolic Compounds of Zea mays under Heavy Metal Stress. Appl. Biol. Chem. 2016, 59, 813–820. [Google Scholar] [CrossRef]
  71. Márquez-García, B.; Fernández-Recamales, M.Á.; Córdoba, F. Effects of Cadmium on Phenolic Composition and Antioxidant Activities of Erica Andevalensis. J. Bot. 2012, 2012, 936950. [Google Scholar] [CrossRef]
  72. Giannakoula, A.; Therios, I.; Chatzissavvidis, C. Effect of Lead and Copper on Photosynthetic Apparatus in Citrus (Citrus aurantium L.) Plants. The Role of Antioxidants in Oxidative Damage as a Response to Heavy Metal Stress. Plants 2021, 10, 155. [Google Scholar] [CrossRef] [PubMed]
  73. Thakur, S.; Singh, L.; Zularisam, A.W.; Sakinah, M.; Din, M.F.M. Lead Induced Oxidative Stress and Alteration in the Activities of Antioxidative Enzymes in Rice Shoots. Biol. Plant. 2017, 61, 595–598. [Google Scholar] [CrossRef]
  74. Turrens, J.F. Mitochondrial Formation of Reactive Oxygen Species. J. Physiol. 2003, 552, 335–344. [Google Scholar] [CrossRef]
  75. Rajput, V.D.; Harish; Singh, R.K.; Verma, K.K.; Sharma, L.; Quiroz-Figueroa, F.R.; Meena, M.; Gour, V.S.; Minkina, T.; Sushkova, S.; et al. Recent Developments in Enzymatic Antioxidant Defence Mechanism in Plants with Special Reference to Abiotic Stress. Biology 2021, 10, 267. [Google Scholar] [CrossRef] [PubMed]
Disclaimer/Publisher’s Note: The statements, opinions and data contained in all publications are solely those of the individual author(s) and contributor(s) and not of MDPI and/or the editor(s). MDPI and/or the editor(s) disclaim responsibility for any injury to people or property resulting from any ideas, methods, instructions or products referred to in the content.

Article Metrics

Citations

Article Access Statistics

Multiple requests from the same IP address are counted as one view.