Pricing and Sales Effort Decisions in a Closed-Loop Supply Chain Considering the Network Externality of Remanufactured Product
Abstract
1. Introduction
1.1. Research Questions
- (1)
- What are the optimal pricing decisions and sales effort level under different models, i.e., no sales effort (Model N), the retailer exerting sales effort (Model R) and the OEM exerting sales effort (Model M)?
- (2)
- Comparing the three models, which is optimal for the OEM/retailer/entire CLSC?
- (3)
- How do the network externality, the consumers’ sensitivity of sales effort and the sales effort cost affect CLSC operations?
1.2. Novelty of Research Work
1.3. Flow of Study
2. Literature Review
2.1. Differential Pricing for New and Remanufactured Products in CLSCs
2.2. Network Externality in SCs
2.3. Sales Effort in CLSCs
2.4. Dual Sales Channel in CLSCs
3. Model Description, Notations, Assumptions and Demand Functions
3.1. Problem Description
3.2. Notations
3.3. Assumptions
- (1)
- (2)
- Each consumer only buys, at most, one copy of the product [43];
- (3)
- There are enough end-of-life products available for remanufacturing, and the decisions of the OEM and the retailer are not limited by the quantity of end-of-life products recycled [44];
- (4)
- The consumers’ sensitivity of sales effort level which we assume to be equal in two channels. As the advertising process in two channels is very similar and almost the same, we consider in this paper the scenario in which the sales effort effects on customers in the two channels are equal [31]. That is, ;
- (5)
- (6)
- For the simplicity of subsequent analysis, we assume that the market size is much larger than other parameters, except [47];
- (7)
- (8)
3.4. Demand Functions
4. Model Formulation and Solution
4.1. Model N (No Sales Effort)
4.2. Model R (Retailer Exerting Sales Effort)
4.3. Model M (OEM Exerting Sales Effort)
5. Model Analysis
- (1)
- ;
- (2)
- If , then , otherwise, ;
- (3)
- If , , if , , if , , otherwise, the marks are opposite;
- (4)
- ;
- (5)
- ;
- (6)
- .
- (1)
- Same effects: , , , , , , , , .
- (2)
- Different effects: , ; , .
- (1)
- , , ;
- (2)
- ; ; if , then , otherwise, ; ;
- (3)
- , , ;
- (4)
- .
- (1)
- , , ;
- (2)
- ; if , then , otherwise, ; if , then , otherwise, ; ;
- (3)
- , , ;
- (4)
- .
6. Numerical Analysis
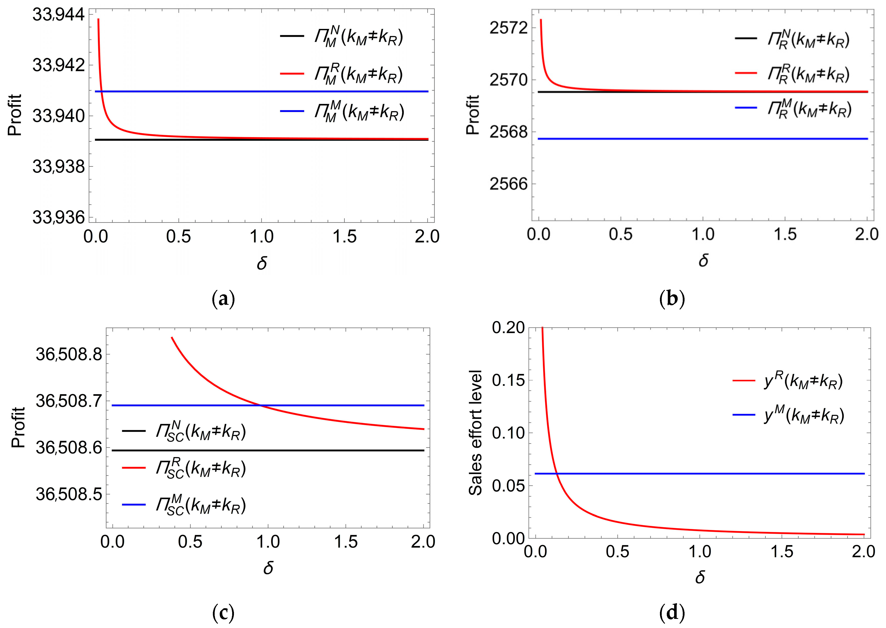
6.1. Comparison of Profits and Sales Effort Level When the OEM and Retailer with Different Sales Effort Cost Coefficient
6.2. Comparison of Profits and Sales Effort Level When Consumers with Different Sensitivity of Sales Effort to the OEM/Retailer Exerting Sales Effort
7. Conclusions and Managerial Insights
7.1. Conclusions
- (1)
- Compared with no sales effort, regardless of who exerts sales effort, the sale effort behavior can always improve the profits of the OEM and the entire CLSC. For the retailer, it can obtain more profit in Model R, so the OEM exerting sales effort can cause a loss for the retailer. Moreover, the sales effort can promote the sales of remanufactured products but cannibalize the new product market;
- (2)
- OEM exerting sales effort is more favorable to improve the profits of the OEM and the entire CLSC, while the retailer prefers Model R. That is, the OEM and the retailer both prefer to exert sales effort by themselves. As the leader of the CLSC, OEM exerts higher sales effort level and Model M is more beneficial for remanufactured product sales and total market sales;
- (3)
- The stronger network externality of remanufactured product increases the sales of remanufactured product in both retail and direct channels, yet exacerbates the cannibalization to the new product market. The network externality can significantly improve the OEM and the entire CLSC’s profits, but is not beneficial to the retailer. The OEM is more motivated to exert more sales efforts with the increase in network externality;
- (4)
- The increase in consumers’ sensitivity of sales effort improves the total sales volume of the CLSC and causes less market volume of the new product. As the consumer’s sensitivity of sales effort becomes more intensive, the profits of the OEM and the entire CLSC can be improved. For the retailer, the impact of the consumer’s sensitivity of sales effort on its profit is correlated with the identity of who exerting the sales effort. With the consumer’s sensitivity of sales effort increasing, the retailer’s profit can be increased when the retailer exerts sales effort, but can be decreased when OEM exerts sales effort. In addition, the CLSC members would exert more sales effort with the increasing of the consumers’ sensitivity of sales effort;
- (5)
- Only when the cost advantage of the retailer exerting sales effort is much more obvious can OEM obtain higher profit when the retailer exerts sales effort, rather than OEM exerting sales effort. When consumers are more sensitive to a retailer’s sales effort, the retailer exerting sales effort is more effective at improving CLSC’s profit, while, on the contrary, the OEM exerting sales effort is beneficial for CLSC.
7.2. Theoretical and Practical Contributions
- (1)
- Theoretical Contributions
- (2)
- Practical Contributions
- Since the network externality of remanufactured product can improve the profits of the OEM/CLSC and promote the sales of remanufactured product, the OEM is motivated to improve the network externality of remanufactured product, thereby attracting more consumers to purchase remanufactured ones. For instance, the OEM can take advantage of consumers’ group psychology and Internet technology to improve the network externality of remanufactured product.
- The OEM should exert sales effort to attract more consumers to purchase remanufactured products, and then the OEM’s profit can be improved. For instance, the OEM can increase publicity by advertising, hiring green brand spokespeople, etc., to increase consumers’ environmental awareness and help them understand the benefits of remanufacturing activities.
7.3. Limitations
Author Contributions
Funding
Institutional Review Board Statement
Informed Consent Statement
Data Availability Statement
Acknowledgments
Conflicts of Interest
Appendix A
References
- Zheng, B.; Yang, C.; Yang, J.; Zhang, M. Dual-channel closed loop supply chains: Forward channel competition, power structures and coordination. Int. J. Prod. Res. 2017, 55, 3510–3527. [Google Scholar] [CrossRef]
- Zou, Z.-B.; Wang, J.-J.; Deng, G.-S.; Chen, H. Third-party remanufacturing mode selection: Outsourcing or authorization? Transp. Res. Part E Logist. Transp. Rev. 2016, 87, 1–19. [Google Scholar] [CrossRef]
- Guo, J.; He, L.; Gen, M. Optimal strategies for the closed-loop supply chain with the consideration of supply disruption and subsidy policy. Comput. Ind. Eng. 2019, 128, 886–893. [Google Scholar] [CrossRef]
- Abbey, J.D.; Meloy, M.G.; Guide, V.D.R.; Atalay, S. Remanufactured Products in Closed-Loop Supply Chains for Consumer Goods. Prod. Oper. Manag. 2015, 24, 488–503. [Google Scholar] [CrossRef]
- Abbey, J.D.; Kleber, R.; Souza, G.C.; Voigt, G. The Role of Perceived Quality Risk in Pricing Remanufactured Products. Prod. Oper. Manag. 2017, 26, 100–115. [Google Scholar] [CrossRef]
- Liu, Z.; Chen, J.; Diallo, C.; Venkatadri, U. Pricing and production decisions in a dual-channel closed-loop supply chain with (re)manufacturing. Int. J. Product. Econ. 2021, 232, 107935. [Google Scholar] [CrossRef]
- Mondal, C.; Giri, B.C. Pricing and used product collection strategies in a two-period closed-loop supply chain under greening level and effort dependent demand. J. Clean. Prod. 2020, 265, 121335. [Google Scholar] [CrossRef]
- Zhou, Q.; Yuen, K.F. Analyzing the Effect of Government Subsidy on the Development of the Remanufacturing Industry. Int. J. Environ. Res. Public Health 2020, 17, 3550. [Google Scholar] [CrossRef]
- Huang, Y.; Gokpinar, B.; Tang, C.S.; Yoo, O.S. Selling Innovative Products in the Presence of Externalities. Prod. Oper. Manag. 2018, 27, 1236–1250. [Google Scholar] [CrossRef]
- Ovchinnikov, A. Revenue and cost management for remanufactured products. Prod. Oper. Manag. 2011, 20, 824–840. [Google Scholar] [CrossRef]
- Hong, X.; Govindan, K.; Xu, L.; Du, P. Quantity and collection decisions in a closed-loop supply chain with technology licensing. Eur. J. Oper. Res. 2017, 256, 820–829. [Google Scholar] [CrossRef]
- Mondal, C.; Giri, B.C. Retailers’ competition and cooperation in a closed-loop green supply chain under governmental intervention and cap-and-trade policy. Oper. Res. 2020, 22, 859–894. [Google Scholar] [CrossRef]
- Hosseini-Motlagh, S.-M.; Johari, M.; Ebrahimi, S.; Rogetzer, P. Competitive channels coordination in a closed-loop supply chain based on energy-saving effort and cost-tariff contract. Comput. Ind. Eng. 2020, 149, 106763. [Google Scholar] [CrossRef]
- Zhang, H.; Wang, Z.; Hong, X.; Gong, Y.; Zhong, Q. Fuzzy closed-loop supply chain models with quality and marketing effort-dependent demand. Expert Syst. Appl. 2022, 207, 118081. [Google Scholar] [CrossRef]
- Maiti, T.; Giri, B.C. A closed loop supply chain under retail price and product quality dependent demand. J. Manuf. Syst. 2015, 37, 624–637. [Google Scholar] [CrossRef]
- Huang, Y.; Wang, Z. Pricing and production decisions in a closed-loop supply chain considering strategic consumers and technology licensing. Int. J. Prod. Res. 2018, 57, 2847–2866. [Google Scholar] [CrossRef]
- Zhao, J.; Wang, C.; Xu, L. Decision for pricing, service, and recycling of closed-loop supply chains considering different remanufacturing roles and technology authorizations. Comput. Ind. Eng. 2019, 132, 59–73. [Google Scholar] [CrossRef]
- Zhao, L.; Chang, J.; Du, J. Dynamics analysis on competition between manufacturing and remanufacturing in context of government subsidies. Chaos Solitons Fractals 2019, 121, 119–128. [Google Scholar] [CrossRef]
- Ma, P.; Gong, Y.; Mirchandani, P. Trade-in for remanufactured products: Pricing with double reference effects. Int. J. Product. Econ. 2020, 230, 107800. [Google Scholar] [CrossRef]
- Zhang, X.-M.; Li, Q.-W.; Liu, Z.; Chang, C.-T. Optimal pricing and remanufacturing mode in a closed-loop supply chain of WEEE under government fund policy. Comput. Ind. Eng. 2021, 151, 106951. [Google Scholar] [CrossRef]
- Katz, M.L.; Shapiro, C. Network Externalities, Competition, and Compatibility. Am. Econ. Rev. 1985, 75, 424–440. [Google Scholar]
- Candogan, O.; Bimpikis, K.; Ozdaglar, A. Optimal Pricing in Networks with Externalities. Oper. Res. 2012, 60, 883–905. [Google Scholar] [CrossRef]
- Liu, Z.; Li, M.; Kou, J. Selling information products: Sale channel selection and versioning strategy with network externality. Int. J. Product. Econ. 2015, 166, 1–10. [Google Scholar] [CrossRef]
- Xu, L.; Li, Y.; Govindan, K.; Yue, X. Return policy and supply chain coordination with network-externality effect. Int. J. Prod. Res. 2018, 56, 3714–3732. [Google Scholar] [CrossRef]
- Xu, B.; Yao, Z.; Tang, P. Pricing strategies for information products with network effects and complementary services in a duopolistic market. Int. J. Prod. Res. 2018, 56, 4243–4263. [Google Scholar] [CrossRef]
- Wang, H.; He, Y.; Ding, Q. The impact of network externalities and altruistic preferences on carbon emission reduction of low carbon supply chain. Environ. Sci. Pollut. Res. Int. 2022, 29, 66259–66276. [Google Scholar] [CrossRef] [PubMed]
- Xie, B.; Li, W.; Zhao, D.; Jiang, P.; Modak, N.M. Effects of Network Externalities and Recycling Channels on Closed-loop Supply Chain Operation Incorporating Consumers’ Dual Preferences. Math. Probl. Eng. 2022, 2022, 3347303. [Google Scholar] [CrossRef]
- Gao, J.; Han, H.; Hou, L.; Wang, H. Pricing and effort decisions in a closed-loop supply chain under different channel power structures. J. Clean. Prod. 2016, 112, 2043–2057. [Google Scholar] [CrossRef]
- Ma, P.; Li, K.W.; Wang, Z.-J. Pricing decisions in closed-loop supply chains with marketing effort and fairness concerns. Int. J. Prod. Res. 2017, 55, 6710–6731. [Google Scholar] [CrossRef]
- Sane Zerang, E.; Taleizadeh, A.A.; Razmi, J. Analytical comparisons in a three-echelon closed-loop supply chain with price and marketing effort-dependent demand: Game theory approaches. Environ. Dev. Sustain. 2018, 20, 451–478. [Google Scholar] [CrossRef]
- Taleizadeh, A.A.; Sane-Zerang, E.; Choi, T.-M. The Effect of Marketing Effort on Dual-Channel Closed-Loop Supply Chain Systems. IEEE Trans. Syst. Man. Cybern. 2018, 48, 265–276. [Google Scholar] [CrossRef]
- Li, X.; Wang, Q. A research on the closed-loop supply chain with sales effort under the government subsidy. Sci. Res. Manag. 2017, 38, 51–63. (In Chinese) [Google Scholar] [CrossRef]
- Li, X.; Wang, Q. An optimal decision research on closed-loop supply chain considering retailer’s service and fairness concern. Manag. Rev. 2019, 31, 228–239. (In Chinese) [Google Scholar] [CrossRef]
- Duan, H.; Deng, S.; Song, H.; Xu, J. The impacts of sales efforts and mode of payment on the competition between agent and retailer. Omega 2021, 103, 102416. [Google Scholar] [CrossRef]
- Khorshidvand, B.; Soleimani, H.; Sibdari, S.; Seyyed Esfahani, M.M. Revenue management in a multi-level multi-channel supply chain considering pricing, greening, and advertising decisions. J. Retail. Consum. Serv. 2021, 59, 102425. [Google Scholar] [CrossRef]
- Xideng, Z.; Bing, X.; Fei, X.; Yu, L. Research on Quality Decisions and Coordination with Reference Effect in Dual-Channel Supply Chain. Sustainability 2020, 12, 2296. [Google Scholar] [CrossRef]
- Giri, B.C.; Chakraborty, A.; Maiti, T. Pricing and return product collection decisions in a closed-loop supply chain with dual-channel in both forward and reverse logistics. J. Manuf. Syst. 2017, 42, 104–123. [Google Scholar] [CrossRef]
- Gan, S.-S.; Pujawan, I.N.; Suparno; Widodo, B. Pricing decision for new and remanufactured product in a closed-loop supply chain with separate sales-channel. Int. J. Product. Econ. 2017, 190, 120–132. [Google Scholar] [CrossRef]
- Alizadeh-Basban, N.; Taleizadeh, A.A. A hybrid circular economy—Game theoretical approach in a dual-channel green supply chain considering sale’s effort, delivery time, and hybrid remanufacturing. J. Clean. Prod. 2020, 250, 119521. [Google Scholar] [CrossRef]
- Han, X.; Chen, Q. Sustainable supply chain management: Dual sales channel adoption, product portfolio and carbon emissions. J. Clean. Prod. 2021, 281, 125127. [Google Scholar] [CrossRef]
- Pal, B.; Sana, S.S. Game-theoretic analysis in an environment-friendly competitive closed-loop dual-channel supply chain with recycling. Oper. Manag. Res. 2022, 15, 627–646. [Google Scholar] [CrossRef]
- Zhou, Y.; Xiong, Y.; Jin, M. The entry of third-party remanufacturers and its impact on original equipment manufacturers in a two-period game-theoretic model. J. Clean. Prod. 2021, 279, 123635. [Google Scholar] [CrossRef]
- Yan, W.; Xiong, Y.; Xiong, Z.; Guo, N. Bricks vs. clicks: Which is better for marketing remanufactured products? Eur. J. Oper. Res. 2015, 242, 434–444. [Google Scholar] [CrossRef]
- Gao, P.; Du, J.; Nie, J.; Lu, Y. Impact of different power structure on technological innovation strategy of remanufacturing supply chain. Chin. J. Manag. 2016, 12, 1563–1570. (In Chinese) [Google Scholar] [CrossRef]
- Cai, J.; Dong, R.; Zeng, Z.; Hu, X. Supply chain competition models with strategic customers considering sales effort. Comput. Ind. Eng. 2022, 172, 108566. [Google Scholar] [CrossRef]
- Cao, X.; Zheng, B.; Wen, H. Pricing and coordination decision of the dual channel closed-loop supply chain considering the customer preference. Chin. J. Manag. Sci. 2015, 23, 107–117. (In Chinese) [Google Scholar] [CrossRef]
- Zhou, X.; Chen, K.; Wen, H.; Wang, S. Decisions and contract selection of closed-loop supply chain considering different competitive behaviors of retailers under government subsidy. Chin. J. Manag. Sci. 2022, 30, 176–188. (In Chinese) [Google Scholar] [CrossRef]
- Jiménez-Parra, B.; Rubio, S.; Vicente-Molina, M.-A. Key drivers in the behavior of potential consumers of remanufactured products: A study on laptops in Spain. J. Clean. Prod. 2014, 85, 488–496. [Google Scholar] [CrossRef]
- Chiang, W.-Y.K.; Chhajed, D.; Hess, J.D. Direct marketing, indirect profits A strategic analysis of dual-channel supply-chain design. Manag. Sci. 2003, 49, 1–20. [Google Scholar] [CrossRef]



| Research Paper | Discriminating Prices | Network Externality | Sales Effort | Dual Sales Channel | Game Theory |
|---|---|---|---|---|---|
| Zhou et al. [8] | ✓ | ✓ | Stackelberg | ||
| Xie et al. [27] | ✓ | ✓ | Stackelberg | ||
| Taleizadeh et al. [31] | ✓ | ✓ | Stackelberg | ||
| Gao et al. [28] | ✓ | Stackelberg/Nash | |||
| Ma et al. [29] | ✓ | Stackelberg | |||
| Li and Wang [32] | ✓ | ✓ | Stackelberg | ||
| Liu et al. [6] | ✓ | ✓ | Stackelberg | ||
| Zheng et al. [1] | ✓ | Stackelberg | |||
| Alizadeh-Basban and Taleizadeh [39] | ✓ | ✓ | Stackelberg/Nash | ||
| This paper | ✓ | ✓ | ✓ | ✓ | Stackelberg |
| Notations | Definitions |
|---|---|
| Indices | |
| Index of the product types (subscript): (new product), (remanufactured product in retail channel), (remanufactured product in direct channel) and (remanufactured product in both channels) | |
| Index of the CLSC members (subscript): (OEM), (retailer) and (the entire CLSC) | |
| Index of models (superscript): (no sales effort), (retailer exerting sales effort) (OEM exerting sales effort) | |
| Parameters | |
| Unit production cost for a new product | |
| The market size | |
| Consumer’s perceived value of a new product, a uniform distribution with the supporting range | |
| Consumer’s acceptance level of the remanufactured product sold by retail channel | |
| Consumer’s acceptance level of the remanufactured product sold by direct channel | |
| Sales effort cost coefficient when exerts sales effort () | |
| The strength of network externality | |
| Consumers’ sensitivity of sales effort when exerts sales effort () | |
| The demand of product under Model (, ) | |
| The profit of under Model (, ) | |
| Decision variables | |
| Sales effort level under Model () | |
| Wholesale price of the product under Model (, ) | |
| Sales price of product under Model (, ) |
Disclaimer/Publisher’s Note: The statements, opinions and data contained in all publications are solely those of the individual author(s) and contributor(s) and not of MDPI and/or the editor(s). MDPI and/or the editor(s) disclaim responsibility for any injury to people or property resulting from any ideas, methods, instructions or products referred to in the content. |
© 2023 by the authors. Licensee MDPI, Basel, Switzerland. This article is an open access article distributed under the terms and conditions of the Creative Commons Attribution (CC BY) license (https://creativecommons.org/licenses/by/4.0/).
Share and Cite
Hu, Y.; Meng, L.; Huang, Z. Pricing and Sales Effort Decisions in a Closed-Loop Supply Chain Considering the Network Externality of Remanufactured Product. Sustainability 2023, 15, 5771. https://doi.org/10.3390/su15075771
Hu Y, Meng L, Huang Z. Pricing and Sales Effort Decisions in a Closed-Loop Supply Chain Considering the Network Externality of Remanufactured Product. Sustainability. 2023; 15(7):5771. https://doi.org/10.3390/su15075771
Chicago/Turabian StyleHu, Yuqing, Lijun Meng, and Zuqing Huang. 2023. "Pricing and Sales Effort Decisions in a Closed-Loop Supply Chain Considering the Network Externality of Remanufactured Product" Sustainability 15, no. 7: 5771. https://doi.org/10.3390/su15075771
APA StyleHu, Y., Meng, L., & Huang, Z. (2023). Pricing and Sales Effort Decisions in a Closed-Loop Supply Chain Considering the Network Externality of Remanufactured Product. Sustainability, 15(7), 5771. https://doi.org/10.3390/su15075771

