Abstract
This study delves into Consumer Social Responsibility (CnSR) within the fashion industry, with the goal of understanding consumers’ sustainable and responsible behavior across three major consumption stages: acquisition, utilization, and disposal. While “corporate” social responsibility (CSR) has been extensively studied in the literature, CnSR that sheds light on “individual consumers” has received less attention and is understudied. Using topic modeling, an unsupervised machine learning (ML) technique that uses natural language processing (NLP) in Python, this study analyzed textual data consisting of open-ended responses from 703 U.S. consumers. The analysis unveiled key aspects of CnSR in each of the consumption processes. The acquisition stage highlighted various ethical and sustainable considerations in purchasing and decision making. During the utilization phase, topics concerning sustainable and responsible product usage, environmentally conscious practices, and emotional sentiments emerged. The disposal stage identified a range of environmentally and socially responsible disposal practices. This study provides a solid and rich definition of CnSR from the perspective of individual consumers, paving the avenue for future research on sustainable consumption behaviors and inspiring the fashion industry to create goods and services that are in line with CnSR.
1. Introduction
In contemporary discourse on global responsibility, Corporate Social Responsibility (CSR) stands out, highlighting the essential role of corporations in endorsing sustainability through practices such as using environmentally friendly materials, ensuring equitable labor practices, and philanthropically supporting societal causes [1]. Despite the significant influence consumers now wield over CSR initiatives through their economic power and amplified voice [2], the spotlight has predominantly been placed on corporations, often overshadowing another equally vital agent of social responsibility—the consumer [3]. The notion of Consumer Social Responsibility (CnSR) was first introduced by Devinney et al. and is defined as “the conscious and deliberate choice to make certain consumption choices based on personal and moral beliefs” [4] (p. 3). This concept, posited as “the other CSR”, is not only juxtaposed with but also integral to CSR, underscoring the critical role consumers play in the successful implementation of CSR.
The global fashion industry vividly exemplifies the urgent need for sustainable CnSR. As one of the world’s largest consumer industries, fashion is concurrently one of the top polluters, contributing significantly to environmental degradation and waste [5]. The burgeoning trend of fast fashion exacerbates these problems, with rapid cycles of production and disposal leading to an unprecedented accumulation of waste, pollution, and exploitative labor practices. However, navigating the path to comprehensive CnSR is fraught with significant challenges. Despite a rising tide of awareness, a striking divide marked by limited information and a lack of transparency remains a formidable barrier. The enduring allure of unbridled consumerism further exacerbates these challenges and hinders the seamless integration of responsible consumption practices into global consumer behavior patterns.
While CSR initiatives reflect an organization’s commitments to societal and environmental sustainability, the impact and effectiveness of CSR are inextricably linked to the actions and sustainable choices of consumers [3]. For instance, Everlane’s “Keeping Earth Clean” initiative, which integrated recycled materials into their clothing lines, showcases how brands are adapting to consumer demands for sustainable fashion and its success with the consumer [6]. Another example is Freitag’s 2023 CSR campaign “We’re saying No to Black Friday”, which presents a compelling case of aligning CSR with CnSR [7]. This initiative, countering Black Friday with a free bag-borrowing program, responds directly to consumer concerns regarding mass consumption and advocates for more socially responsible practices. Consequently, a positive synergy between CSR and CnSR could emerge, indicating how these concepts can mutually reinforce and amplify each other’s impact.
However, CSR initiatives risk failure when they are merely superficial; genuine and deep engagement in CnSR is crucial, reflecting a more profound commitment beyond mere tokenism. For example, H&M, a well-known fast fashion brand, launched a garment collecting initiative, enabling consumers to return their old clothes to local H&M stores for recycling [8]. This initiative appeared to signal a shift toward sustainability, likely in response to consumer advocacy. However, it faced criticism and ultimately failed due to its inconsistency with the company’s fast fashion business model, exemplifying a disconnect between CSR commitments and consumer expectations. Therefore, CnSR underscores the necessity for businesses to foster authentic and congruent initiatives, ensuring that their sustainability efforts are not only responsive to consumer advocacy but are also deeply integrated with their core business strategies.
Aligning with the increasing importance of CnSR, this study investigates consumer beliefs and behaviors with respect to acquiring, utilizing, and disposing of goods and services in relation to CnSR. To explore this, this research employs topic modeling, an unsupervised machine learning technique that leverages natural language processing (NLP) in Python. This methodology is crucial, enabling the extraction of direct insights from consumer narratives, thereby grounding conclusions in empirical evidence. The analysis inductively discerns and articulates key themes defining CnSR throughout the consumer journey’s three stages. The ultimate goal of this research is to inform businesses and educational institutions about CnSR, thereby enhancing CSR commitments and policies that align with these principles. In pursuing this objective, this study endeavors to strengthen the connection between CSR and CnSR, thereby contributing to the cultivation of a more socially responsible global landscape. This alignment underscores this study’s relevance to sustainability, highlighting the integral role of consumer choices in shaping a more sustainable future in line with global CSR objectives.
2. Literature Overview
2.1. The Evolution of CnSR
Consumer Social Responsibility (CnSR) was initially defined as a consumer’s conscious and deliberate decision to make certain consumption choices driven by personal and moral beliefs [4]. As “the other CSR,” CnSR was characterized by two components: an “ethical” aspect concerning social elements in a company’s products and processes and a “consumerism” aspect acknowledging that consumer preferences partly drive ethical and social influences in markets [4]. CnSR manifests in various forms, including specific cause-related activities (protests, boycotts, and donations), purchasing or non-purchasing behaviors, and opinions opinions in market research [4].
As the concept evolved, it gained complexity; CnSR’s scope broadened from individual consumers (microlevel) to include families and consumption communities (mesolevel) and extended to broader societal actors like governments, corporations, NGOs, and IGOs (macro- and supramacro levels) [9]. Furthermore, scholarly inquiries into CnSR have delineated its underlying instrumental, relational, and moral motivations [9]. This expansion enriched the understanding of CnSR beyond individual actions, situating it within a wider societal context.
Further development of CnSR refocused on the microlevel, emphasizing the entire consumption journey [3]. This perspective underscored the consumer’s responsibility to avoid societal harm and proactively contribute to social good across all facets of behavior—acquisition, use, and disposal [3]. This approach aligns with contemporary concerns for a circular economy and broad societal welfare. However, prior to the early 2010s, the majority of research on CnSR primarily focused on deductively defining and conceptualizing the term, as indicated by the literature review. This body of work elucidates CnSR as a consumer-centric approach to social responsibility.
In the latter part of the 2010s, empirical studies began to delve into the dynamics of CnSR. Studies began to investigate the influence of consumer ethical beliefs and religiosity on CnSR [10], and the role of CnSR as a moderating factor between fast-food addiction and anti-consumption behavior was examined [11]. These investigations underscore the significant impact of individual characteristics on CnSR and its consequent effect on consumer behavior.
CnSR, as defined in the literature to date, is a comprehensive concept that emphasizes the role of consumers in society as a whole through market choices. It differs from related concepts such as consumer ethics and sustainable consumption which, while interrelated and sharing a focus on ethical and responsible consumption, have distinct scopes and emphases. Specifically, consumer ethics is primarily concerned with the moral principles that guide individual consumption decisions, often within specific one-on-one dyadic relationships with other stakeholders [3]. In contrast, sustainable consumption is more narrowly focused on minimizing environmental impacts for the benefit of future generations [12]. This analysis concentrates on CnSR’s broader societal perspective, recognizing its evolution in three key stages: initial conceptualization, empirical investigation, and application in understanding the role of consumers in societal stewardship. This chronological development reflects an increasingly nuanced understanding of the consumer’s role in these broader contexts.
However, a critical element often overshadowed in previous explorations emerges: the consumer’s voice. Some previous studies used text mining to broadly explore sustainable consumption using consumers’ voices, utilizing platforms like Twitter and Sina Weibo [13,14]. One research study, analyzing tweets, identified key topics such as organic food, food waste, veganism, sustainable tourism, transport, and energy consumption through a Latent Dirichlet Allocation (LDA) model. Regardless, this approach, while insightful, broadly encapsulates sustainable consumption without a specific focus on CnSR in the context of fashion. Therefore, this research innovatively centers this voice, recognizing it as a pivotal force in shaping and navigating the complexities of CnSR in the fashion industry via the consumption journey. The multifaceted history and inherent complexity of CnSR underscore the need to integrate consumer perspectives for a more granular exploration and understanding of the multifaceted world of CnSR in today’s swiftly evolving landscape.
2.2. The Multifaceted Consumption Journey: Acquisition, Utilization, and Disposal
A thorough understanding of CnSR requires a comprehensive exploration of the entire consumer journey. This journey, which moves sequentially through the realms of acquisition, utilization, and disposal, lays the fundamental groundwork of the consumption process, with each phase playing a pivotal role in molding CnSR [3,11,15].
In the acquisition phase, the exploration begins at the inception of the consumer’s journey. This phase delves into the decision-making processes that precede a purchase. Consumers evaluate products using various parameters and information, including cost, quality, features, and availability, to reduce uncertainty [16]. Moving into the utilization phase, the analysis transitions to post-acquisition, focusing on how consumers engage with products. This phase is perceived as a process in which consumers derive satisfaction over time and based on the context in which the products are used [17]. Finally, the consumption journey concludes with the disposal phase. This occurs when consumers cease using a product that remains functional and later choose a disposal method, be it donating, gifting, selling, or ultimately discarding the product [18].
Despite existing research on these stages in the context of sustainable consumption, a comprehensive understanding of CnSR within these stages remains underexplored. Many studies, constrained by quantitative methodologies, fail to capture the intricate attitudes, emotions, and behaviors inherent in the concept of CnSR [15]. The distinctive nature of CnSR, which embodies not only environmental responsibility but also broader societal and ethical commitments, necessitates a deeper, more qualitative exploration. While sustainability and sustainable consumption predominantly focus on environmental aspects [12], CnSR encompasses a more extensive range, including societal well-being and ethical considerations, underlining the need to examine CnSR in the context of the entire consumption journey.
Therefore, this study aims to fill the existing gaps by delving into how consumers interpret and apply CnSR across the distinct stages of acquisition, utilization, and disposal. This comprehensive approach offers a robust understanding of the multifaceted journey so that businesses, educators, and policymakers can better tailor their strategies, curriculums, and initiatives to align with consumer perspectives and behaviors.
3. Methodology
In an effort to enhance the scholarly dialogue surrounding CnSR, this study adopts a novel methodological approach—machine-learning-based topic modeling with natural language processing. Departing from conventional qualitative methods, this research harnesses the computational power of unsupervised machine learning, specifically employing topic modeling. This epistemological departure enhances empirical robustness and mitigates biases inherent in manual thematic analyses [19]. Through the meticulous application of topic modeling, the primary goal of this novel approach is to systematically capture the multifaceted aspects of CnSR. A comprehensive research data processing flowchart, executed in three stages, is illustrated in Figure 1.
Figure 1.
Research data processing flowchart.
3.1. Data Collection
Data for this study were amassed from a meticulously constructed online questionnaire disseminated to a diverse group of 703 adult participants, all 18 years of age or older, in the United States (US). The nationwide US random sample was recruited in 2017 using a paid service from one of the largest data companies, Qualtrics.
The questionnaire was designed to garner insights into consumers’ perspectives on their social responsibility across various stages of consumption, specifically within the fashion industry. Therefore, the participants were first introduced to the concept of CnSR in the context of the fashion industry. Delving deeper into the participants’ understanding and practices of CnSR across different consumption stages, this study employed open-ended questions. The questions were framed as follows: Please take a moment to think about your consumption process—obtaining, use, and disposal. Then, describe actions that could be considered as efforts toward addressing Consumer Social Responsibility for each stage. (1) When obtaining goods and services, (2) When using goods and services, (3) When disposing of goods and services. The aim of these questions was to elicit detailed responses that revealed the participants’ attitudes and behaviors toward CnSR during the acquisition, utilization, and disposal of products.
The preference for employing open-ended questions emanated from the absence of an established framework within this emerging field of study, particularly due to their capacity to authentically encapsulate respondent perspectives [20]. The participants’ responses encompassed a spectrum of considerations ranging from inquiries about product origins and manufacturing processes in the acquisition phase to responsible disposal methods.
3.2. Data Preprocessing and Analysis
The amassed data underwent rigorous filtering and preprocessing to increase their pertinence and quality in accordance with the research objectives. This crucial preliminary step involved (a) transforming all text to lowercase to ensure uniformity, (b) removing irrelevant elements such as stop words, punctuation, numbers, and other non-essential data, (c) employing word tokenization, a technique that breaks down text into individual morphemes, turning it into the smallest units of meaning using advanced natural language processing (NLP), and (d) implementing stemming, lemmatization, and a synonym analysis to simplify and standardize the textual data.
After the initial preprocessing, a text frequency analysis was conducted to comprehend the frequency distribution of words associated with CnSR by each consumption stage using the “collections” module in Python’s standard library. Table 1 lists the top 20 keywords derived from the frequency analysis. In a concise summary, the predominant keywords for the acquisition stage included “good”, “company”, “look”, and “use”. For the utilization stage, the leading terms were “good”, “responsible”, “environmental”, and “purchase”. Lastly, for the disposal stage, the most frequent terms encompassed “recycle”, “donate”, “good”, “use”, and “environmental”.
Table 1.
Top 20 words associated with CnSR, categorized by consumption stage.
To provide an intuitive visual representation of the frequency data, word clouds were generated, utilizing the “wordcloud” library in Figure 2. In this visual representation, words with an augmented frequency appear in an amplified and bolded font, offering intuitive insights into the most salient terms within the dataset, thereby accentuating their significance in the context of CnSR-related discourse and analysis.
Figure 2.
CnSR word clouds by consumption stage.
3.3. Topic Modeling
3.3.1. Overview
Topic modeling utilizes algorithms to discern primary and latent themes within large, unstructured document collections, thereby organizing and analyzing them [21,22]. Although topic modeling can be applied to diverse data forms, such as genetic data and images [21], this study focuses specifically on its use with textual data, especially open-ended short-text responses.
Latent Dirichlet Allocation (LDA) is a probabilistic model that efficiently identifies latent topics within textual documents. It works by assigning words to topics and vice versa based on the premise that documents contain multiple topics and topics comprise various words [23]. LDA stands out among other topic modeling methods [24], such as the Vector Space Model (VSM), Latent Semantic Indexing (LSI), and Probabilistic Latent Semantic Analysis (PLSA), due to its simplicity, modularity, and effectiveness [21,23], particularly when analyzing short-text data like online user-generated content and open-ended survey responses [19].
In this study, LDA is employed to analyze consumer attitudes and behaviors in the realm of CnSR. This approach allows us to uncover patterns and themes across different stages of consumption. We utilized the “gensim” library in Python, a widely recognized toolkit for its comprehensive range of topic modeling algorithms [25]. This was executed in the Google Colab computational environment. The forthcoming sections systematically delineate the procedural steps followed.
3.3.2. Perplexity and Coherence: Model Selection
The analytical trajectory further encompassed the creation of a term–document matrix, the deployment of topic modeling to cluster text documents based on latent topics, and the assignment of documents to corresponding topics. This was primarily achieved through the probabilistic generative model of the LDA algorithm [26]. However, since the researcher has the ability to select the topic count, the determination of the optimal number of topics in our topic modeling analysis represents a pivotal and intricate step [27]. In addressing this challenge, our study rigorously considered two fundamental quantitative diagnostic metrics: perplexity and coherence scores.
The perplexity score is a general indication of a model’s performance or the “goodness of fit” of the model to the data. A lower perplexity score suggests better accuracy in classifying topics, leading to a more accurate reflection of the underlying literature [23]. To strike an equilibrium between the number of topics and coherence score, this research applied the widely recognized “elbow technique” [28]. In contrast, the coherence score assumes a central role in the model assessment, serving as a crucial measure of topic relevance and informativeness. It evaluates how effectively the topics identified by a topic modeling algorithm capture meaningful themes from the data. This metric evaluates the frequency of co-occurrence among key terms within each topic, thereby facilitating the identification of the most salient and contextually significant information associated with each topic [23]. This approach entails plotting the coherence score against the number of topics and selecting the point on the curve at which the increase in coherence stabilizes, signifying an optimal number of topics that balances informativeness and manageability.
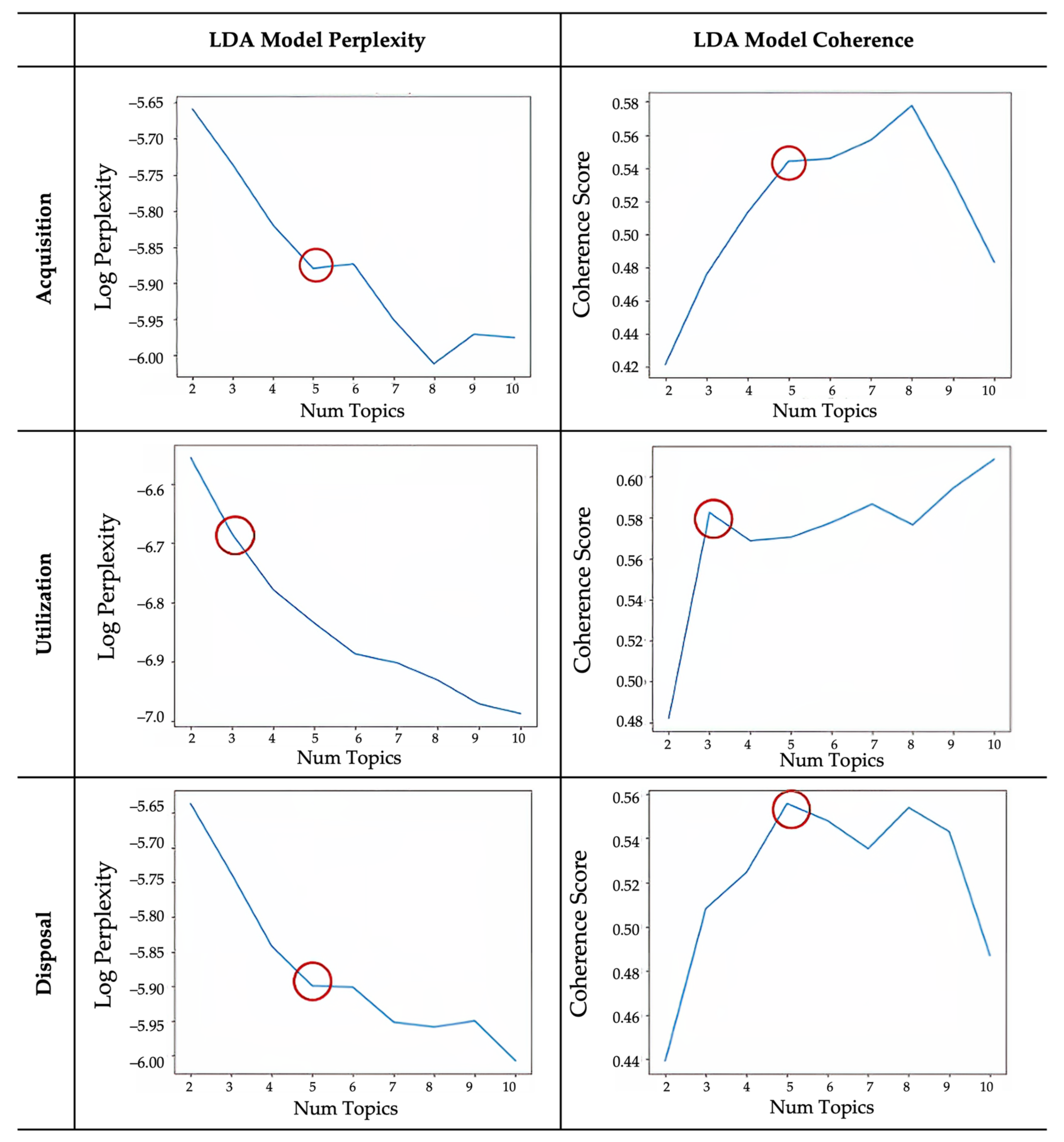
Within the framework of this research, we defined a semantically consistent topic model as one characterized by a lower perplexity score coupled with a higher coherence value. We judiciously applied this criterion to each of the three distinct stages, acquisition, utilization, and disposal, thereby ensuring the robustness and interpretability of our LDA-based model. In Figure 3, the LDA model’s perplexity and coherence graph are depicted, highlighting the number of topics. A red circle emphasizes the specific topic number selected for our analysis. For the acquisition stage, we determined the optimal number of topics to be five, marked by a perplexity score of −5.88 and a coherence score of 0.54, rounded for clarity. In the utilization stage, we identified three as the optimal number of topics, with a perplexity score of −6.67 and a coherence score of 0.58. Lastly, for the disposal stage, we established five as the optimal number of topics, reflecting a perplexity score of −5.90 and a coherence score of 0.56. These meticulously computed and rounded values serve to underscore the reliability and precision of our model, reaffirming our unwavering commitment to a rigorous methodological approach.
Figure 3.
LDA model’s perplexity and coherence graph with emphasized optimal topic number.
3.3.3. Topic Selection and Labeling
Upon determining the optimal number of topics, we embarked on training the definitive model using the chosen topics. Subsequent to this, intertopic distance maps (IDMs), facilitated by the “pyLDAvis” library, were employed to illustrate the relationships amongst the topics within the model. IDMs graphically display topics as distinct clusters within a two-dimensional space, where spatial proximity implies topical similarity. This visual representation is crucial for validating the distinctness and relevance of the topics identified by the model, ensuring that they are not only statistically significant but also meaningfully different from each other. Thus, IDMs serve as an essential tool for interpreting and validating the results of topic modeling, offering a clear and intuitive understanding of the topic structure within the data.
The IDM interface is bifurcated into two main sections: a topic view to the left and bar charts of the top thirty prominent terms to the right. The former spatially delineates topics, using closeness as an indicator of similarity, while the latter showcases the most significant terms associated with the selected topics. Such visual representations not only aid in distinguishing the predominant terms for each topic but also elucidate the interplay and relevance of the topics [29].
Figure 4 (acquisition), Figure 5 (utilization), and Figure 6 (disposal) elucidate the IDMs for each consumption stage, graphically portraying the derived topics and the interconnectedness of their terms. Notably, the evident absence of total topic overlap across each stage, like the study’s outputs, implies minimal intertopic correlations, positioning each topic within a relatively unique research dimension. Therefore, beyond their visual interpretative utility, IDMs are instrumental for model validation, substantiating the model’s organized nature characterized by discrete clusters and unequivocal topic relationships devoid of overlapping nuances.
Figure 4.
Intertopic distance map (IDM) of LDA topic modeling—acquisition [30,31].
Figure 5.
IDM of LDA topic modeling—utilization [30,31].
Figure 6.
IDM of LDA topic modeling—disposal [30,31].
4. Results and Discussion
As previously explained in the rigorous procedure, topic modeling revealed consumers’ opinions on CnSR by identifying keywords generated through LDA-based algorithms. ML-based topic modeling within the context of the CnSR paradigm adopts a comprehensive approach, encompassing three pivotal stages: acquisition, utilization, and disposal. Table 2 serves as an informative visual aid, presenting a breakdown of these stages, including the topic number, topic name, a concise topic description, and the top 30 keywords, with significant terms highlighted. It is worth noting that the process of topic labeling underwent rigorous scrutiny and received validation from two experts in consumer science.
Table 2.
CnSR topic modeling by consumption stage.
Table 2 meticulously delineates a total of thirteen topics: five related to acquisition, three related to utilization, and five related to disposal. Each topic is accompanied by its respective set of prominent keywords, elucidating their relevance to the CnSR concept. This document analysis methodically unveils the critical facets of CnSR across all phases of the consumption process, starting with acquisition, progressing through utilization, and culminating in disposal. To better align with the scholarly nature of this study, this section proceeds to expand upon the outcomes derived from the topic modeling alongside an in-depth exploration of the definition, perception, and practices of CnSR.
The subsequent sections of this study delve into three core aspects: acquisition, utilization, and disposal. In these sections, this study will provide in-depth insights into the outcomes of our topic modeling analysis. Specifically, it will elucidate the significance of each topic within the context of CnSR and expand upon its relevance to sustainability, building upon prior research in this domain.
4.1. Acquisition
This section examines consumer perspectives on CnSR in the context of acquiring goods. Firstly, consumers are explicit about their preference for companies steadfast in their ethical moorings, marking a pronounced trend toward principled purchasing (Topic 1.1). Next, there is an observable inclination to delve deeper into the stories and histories associated with products, highlighting an era in which consumers yearn for meaningful connections with their sartorial choices (Topic 1.2). Moreover, durability emerges as a central theme. Here, the consumer’s lens is sharply focused on the longevity of fashion items, paired with a keen interest in the ethics of their creation (Topic 1.3). In a separate strand, local craftsmanship and indigenous resources take center stage, reflecting a consumer bias toward regional artistry and sustainable sourcing (Topic 1.4). Concluding the acquisition narrative, the dialogue spotlights the consumer’s adeptness at juxtaposing financial outlay with environmental stewardship, hinting at a sophisticated, multi-dimensional approach to fashion acquisition (Topic 1.5).
Topic 1.1: Company-Centric Selections for Conscious Fashion Choices. This topic emphasizes the importance of choosing companies that prioritize sustainability and ethical practices in the fashion industry. The process encompasses a thorough examination of corporate practices, favoring those entities that demonstrate a commitment to environmental stewardship. It also involves a critical evaluation of the sustainability of their sourcing methods and policies which extends to considerations of employee well-being and the adoption of in-house second-hand platforms. In line with the principle of prioritizing company-centric choices for conscious fashion decisions, consumers often rely on a company’s website as their foremost source of information to gauge its commitment to sustainability [32]. This consumer behavior reflects a growing awareness and desire among individuals to align their fashion choices with responsible and ethical business, exemplifying the significance of informed and conscientious decision-making in the realm of fashion consumption.
Topic 1.2: Story Behind the Label. This subject is about understanding the history and true value of a clothing item by investigating its label. The label can reveal a lot about a product’s origin, including where it was made, the conditions in which it was made, and the fairness of its price. It highlights the importance of supporting fair trade and being aware of the sourcing practices of the fashion industry. Consumers are encouraged to pay attention to the backstory of products to make informed choices. This perspective aligns with the findings of McKinsey’s report, wherein consumers are shown to actively scrutinize product labels as a primary source of information, marking it as the second most frequently utilized source, to gauge a brand’s commitment to sustainability [32].
Topic 1.3: Durability of Fashion Items. This topic underscores the significance of selecting fashion items characterized by extended longevity and ethical production, with an emphasis on the intrinsic attributes of the product. In the realm of apparel selection, the imperative lies in opting for superior quality, sourcing from recyclable materials, and ensuring ethical labor practices during production. Such a perspective further encompasses contemplation regarding a product’s end of life, evaluating its potential for recycling, reuse, or facile repair. This thematic focus resonates with Vitell’s assertion that the functional value, notably quality, serves as a pivotal determinant in sustainable consumer decision-making processes [3].
Topic 1.4: Local Craftsmanship and Resources. This theme underscores the significance of endorsing local artisans, manufacturers, and resources. In their product acquisition choices, consumers who prioritize locally sourced items achieve a dual impact: they curtail environmental implications, notably transportation-induced greenhouse gas emissions and the resource inefficiencies of large-scale production, while simultaneously supporting ethical labor practices and thereby bolstering the local economic landscape [33].
Topic 1.5: Cost–Impact Equilibrium. This section explores the concept of striking a balance between the financial costs and the environmental and social impacts of fashion consumption. Consumers recognize that a product’s price encompasses more than just its monetary value; it extends to its effects on society, the environment, and ethical considerations. While the pursuit of economic bargains is a natural inclination among consumers, they are increasingly aware of the wide-ranging consequences associated with such choices [34]. For instance, a product with an exceptionally low price may inadvertently reflect unjust labor practices or environmentally harmful methods, a characteristic often attributed to fast fashion. Conversely, it is vital to note that high fashion prices do not necessarily equate sustainability, illustrating the complexity of the fashion market. These dynamics prompt consumers to thoroughly assess the genuine cost of their fashion decisions, taking into account the resulting social and ecological impacts. This analytical approach aligns with the findings of previous research, where consumers acknowledged the interplay of price, quality, availability, and convenience as influential factors in their purchasing decisions, occasionally diverting their choices away from sustainable fashion alternatives [33].
4.2. Utilization
This section investigates consumer perspectives and behaviors regarding the utilization phase of fashion products within the context of CnSR. One discernible trend captures the essence of consumer dedication: the meticulous care and maintenance they accord to their fashion items to ensure conscious use (Topic 2.1). Parallel to this, another narrative stands out which is centered on the revival and repair of clothing. Consumers today are increasingly looking toward repurposing fashion articles, giving them renewed purpose and deterring potential waste (Topic 2.2). Furthermore, a distinct emphasis on the specific methods consumers employ for cleaning their garments emerges. These intentional cleaning techniques do not simply address garment longevity; they symbolize a broader commitment to ecological responsibility, revealing a deeper layer of contemporary fashion consumption ethos (Topic 2.3).
Topic 2.1: Maximizing Garment Utility Through Conscious Use. This section emphasizes the pivotal role of conscientious garment use in extending utility. Such practices not only maintain clothing’s aesthetic and functional qualities; the narrative promotes the perception of clothing as a significant investment, with maintenance efforts correlated with longer usability. These practices not only extend the functional life of garments but also play a significant role in promoting sustainability by markedly reducing waste [35]. This subject fosters a culture of resourcefulness among consumers, encouraging the perception of potential in the obvious.
Topic 2.2: Breathing Life into Clothing Through Repair. This area of discussion probes into the notion that garments, even when damaged or slightly worn, need not be immediately relinquished. Consumers are encouraged to revitalize such clothing through practices of meticulous repair, such as mending tears or replacing buttons, and inventive reuse, such as repurposing or stylistic modification. Within a circular economy framework, the emphasis on the repairability of products is paramount [36]. The recent EU “right to repair” directive underscores this, potentially bolstering consumer choice and, in particular, contributing to product longevity and sustainable consumption [36].
Topic 2.3: Harmonizing Style and Longevity Through Thoughtful Cleaning. This segment emphasizes the pivotal role of considered cleaning methods in enhancing the durability of clothing. Decisions regarding cleaning frequency, methods, and detergent choices significantly influence the lifespan of garments [37]. For example, less frequent laundering, cold water washing, and gentle detergents preserve garments, while excessive washing and harsh chemicals expedite degradation, emphasizing the importance of maintaining clothing’s integrity without compromising its lifespan.
4.3. Disposal
Transitioning to the disposal phase within the CnSR paradigm, this section unveils the myriad pathways that consumers pursue, all converging on sustainable decisions at the end of a garment’s lifecycle. Initially, consumers are shown to extend the life of garments beyond their anticipated use, exemplifying an effort to delay their eventual disposal (Topic 3.3). This approach naturally progresses to the innovative realm of upcycling in which previously worn garments undergo a renaissance through creative redesign, fusing the principles of sustainability with the flair of artistry (Topic 3.4). The discourse then pivots to the altruistic act of bequeathing garments to new owners, ensuring these pieces maintain their utility through donation, thereby furthering both environmental conservation and societal welfare (Topic 3.2). In parallel, consumers champion a cyclical consumption ethos, vouching for the rebirth of garments through rigorous recycling, promoting their perpetual flow within the fashion circuit (Topic 3.1). The finding reaches its zenith by spotlighting the paramount ethical considerations linked to garment disposal, accentuating the imperativeness of eco-friendly choices as a garment nears the end of its journey (Topic 3.5).
Topic 3.1: Recycling Fashion for a Circular Wardrobe. This topic emphasizes the significance of recycling garments after their initial life cycle, promoting a circular and sustainable mode of fashion disposal. The emphasis is on the cyclical nature of clothing consumption, aiming to minimize waste and resource use. The practice advocates for responsibly recycling clothes, ensuring they are processed in a manner that makes them suitable for subsequent cycles of production and consumption. Moreover, this approach guarantees the consistent reuse and circulation of garments and related materials within a closed loop, preventing the otherwise inevitable journey to landfill. The highlighted approach in this topic aligns with the broader conversation about responsible disposal in previous CnSR research [10,38], which emphasizes recycling and the avoidance of unnecessary waste and litter.
Topic 3.2: Passing Fashion to New Hands through Donation. This discourse accentuates the crucial role of clothing donation in promoting sustainability and social welfare. It emphasizes the redistribution of apparel to various entities, such as thrift stores and charitable institutions. Such redistribution ensures the sustained utility of garments, mitigating the prevalent issue of indiscriminate clothing disposal in landfills. This practice significantly highlights multifaceted benefits that encompass both environmental and ethical dimensions [39]. The facilitated donation of garments actively diminishes waste, playing a critical role in environmental conservation, mirroring the advantages of recycling and further averting the environmental damage associated with clothing incineration. Concurrently, it offers robust support to marginalized communities. Moreover, clothing donation reinforces the availability of affordable apparel to individuals facing economic challenges, augmenting the societal resonance of this endeavor. By channeling clothing to local donation centers, consumers can indirectly help provide low-cost clothing options for those with limited financial means.
Topic 3.3: Prolonging Garment Life Prior to Disposal through Reuse. This topic explores strategies and practices aimed at extending the lifespan of garments, thereby reducing the frequency of disposal and prolonging the period in which clothes are reused. It highlights the importance of reusing clothing, whether by the original owner or another individual, as an effective method to diminish the swift accumulation of textile waste. Discussions within this area accentuate both environmental conservation and enhanced consumer consciousness in consumption. It further underlines the significance of extending the life of garments through judicious reuse practices prior to their eventual disposal, underscoring a commitment to sustainable and conscientious consumption patterns [40].
Topic 3.4: Upcycling Clothes from Old to Renewed. This topic addresses upcycling and delineates the art of transforming worn or outdated garments into renewed, functional pieces through repurposing or redesigning, which not only extends the life of a garment but also solidifies a commitment to sustainability [41]. Consumers utilize upcycling techniques such as personally customizing the upcycling process or leveraging existing upcycling services in the marketplace that extend beyond simply re-wearing garments in their original form. Regardless of the breadth and depth of upcycling employed, each effort makes a meaningful contribution to environmental responsibility within the consumer disposal stage. Therefore, this practice not only supports the burgeoning sustainable fashion ecosystem but also helps consumers keep clothing active and rejuvenated with added aesthetic and utility value [42].
Topic 3.5: Final-Stage Ethical Disposal of Garments. This topic critically addresses the end-of-life phase of garments. As the potential paths such as recycling, donation, or repurposing reach their limit, the critical importance of ethical disposal emerges. It emphasizes the need for a comprehensive understanding and implementation of environmentally and socially responsible disposal methods, ensuring the minimized contribution of garments to waste and ecological harm. This research insightfully delves into the final stages of garment life, highlighting an augmented consumer awareness concerning the ethical disposition of apparel. This finding resonates with the expanding dimensions of CnSR, extending beyond acquisition to include the aspect of responsible and conscious disposal. This alignment with the integrated frameworks is corroborated by scholarly contributions [38], further reinforcing the imperative for ethical disposal practices in the garment life cycle.
5. Conclusions and Implications
5.1. Conclusions
The multifaceted themes of CnSR were meticulously dissected in this research, emerging as a principled framework in which consumers consciously intertwine ethical and sustainable practices at every stage of their engagement with products. This is manifested through a tripartite framework that includes (a) the acquisition of ethically produced and marketed garments from socially responsible brands; (b) utilization, which emphasizes the longevity of garment life through mindful use and maintenance; and (c) disposal, prioritizing closing the loop.
The acquisition phase involves a conscious selection of brands that embody sustainability and ethical practices from the outset. Consumers prioritize companies that align with CnSR principles, evaluating not just the product and its price but also the company’s alignment with these values. This approach is exemplified by the reaction to H&M’s superficial CSR initiatives in which consumers scrutinized the congruence between a company’s CSR actions and its overall brand ethos. Furthermore, consumers exhibit a preference for durable, repairable, and locally sourced fashion items, emphasizing local craftsmanship and resources. This preference extends to a detailed examination of product origins and the stories behind labels, reflecting a concern for fairness in production. Additionally, while cost is a consideration, consumers tend to balance it with the broader societal and environmental impacts of their purchases, striving for a cost–impact equilibrium.
During the utilization phase, consumers engage in practices that maximize the life of garments. This includes mindful usage to extend the utility of each item and informed cleaning practices that balance style with longevity. Aware that improper care can adversely affect both the appearance and durability of clothing, they adopt strategies like repairing minor damages and creatively reusing garments to prolong their lifespan. Central to this stage of CnSR is an emphasis on increasing the period of utilization, reflecting a socially responsible commitment as a consumer.
The disposal stage is defined by efforts to create a “closed loop” system. While our data were gathered in three distinct steps, consumers perceive the final stage as inherently connected to the first, thereby completing the cycle. Rather than immediately discarding items that are no longer trendy or in perfect condition, consumers increasingly consider extended usage, aiming to maximize each item’s life. They engage in practices like recycling and upcycling garments into creative new forms or donating them to stores or directly to others who may find value in them. Only when an item is deemed devoid of further utility or value does it reach the point of disposal, and even then, it is disposed of thoughtfully and responsibly. This approach embodies a consumer dedication to minimizing waste and fostering socially responsible consumption. It not only marks the end of one consumption cycle but also potentially initiates another, positioning the consumer as a producer in a new loop.
Utilizing machine learning and a topic modeling analysis, this study inductively extracts thirteen empirically grounded topics from consumer voices, shedding light on contemporary consumer perspectives and behaviors. Moreover, when compared to extant research on CnSR, consumer ethics, and sustainable consumption [3,9,10,33,38,42,43], this investigation not only enhances prevailing conceptualizations of CnSR but also intertwines with an assortment of scholarly frameworks, thereby shedding light on a consumer process, an aspect sometimes marginally addressed in certain studies [11,44].
Building upon comprehensive analyses, this research refines the definition of CnSR, framing it as the integration of ethical, social, and sustainable considerations throughout the entire consumption journey from the acquisition to utilization to disposal of products. This goes beyond merely reflecting the intrinsic, motivational philosophies of consumers. Instead, it encapsulates a deeper, more deliberate consumer-driven ethos in which individuals do not just act on inherent values but actively contemplate the broader implications of their decisions and actions. Specifically, within the fashion industry, CnSR is epitomized when consumers infuse ethical and sustainable considerations into every facet of their engagement with fashion products. This entails a judicious approach to product selection, mindful utilization, and conscientious disposition, all aligned with overarching principles of environmental conservation and societal welfare. Unlike prior definitions, this reconceptualization emphasizes the consumer’s proactive role in championing sustainability and ethical considerations.
5.2. Implications
This research pioneers the exploration of CnSR in the fashion industry, emphasizing often-overlooked consumer perspectives in sustainability dialogues. Through integrating genuine consumer insights with an extensive literature review, this study re-conceptualizes the CnSR framework. The identification of multiple consumer perceptions and behaviors illuminates the multifaceted nature of CnSR throughout the consumption process. This holistic approach ensures the centralization of consumer perspectives in CnSR research, bridging a notable gap in both theory and practice.
5.2.1. Managerial Implications
This study’s findings on CnSR delineate critical guidelines for business managers. Emphasizing transparency, business executives are encouraged to disclose product origins, craftsmanship, and intricate supply chain processes. One method is incorporating QR codes on product labels, as seen with Loro Piana’s the Gift of Kings® wool collections, which are certified by the Aura Blockchain Consortium. Responsibility extends beyond showcasing product features to emphasizing long-term quality, durability, and a brand’s societal commitment that surpasses its products. While championing transparency and ethical sourcing, brands must balance product pricing, ensuring affordability without compromising worker remuneration. Moreover, business managers can provide specific care guidelines and introduce repair services considering products after life, reminiscent of Levi’s tailor shop and Bottega Veneta’s warranty service. Embracing a circular model and take-back scheme, as exemplified by Patagonia, Reformation’s recycling program, and Gucci-UP’s upcycling initiative, underscores this sustainability commitment. This approach not only enhances consumer trust during an era of prevalent greenwashing, especially for those questioning the real-world impact of their choices, but also fosters brand loyalty by deepening consumers’ attachment, connection, and overall experience with the brand.
5.2.2. Educational Implications
Furthermore, at the core of these implications lies the pivotal role of CnSR in consumer education and empowerment. The findings can be used to develop educational materials and campaigns to raise consumer awareness about the impact of their choices, fostering a more informed and responsible consumer base. The gravitas of this implication is rooted in the transformative potential of an informed consumer base. When consumers are educated about the nuances of sustainable choices within the whole process by educational institutions, their consumption patterns shift, reflecting a more ethically cognizant behavior.
Furthermore, it can be integrated into business, marketing, and sustainability curriculums. Educators can use this study to teach about the evolving landscape of consumer behavior, especially in the context of social and environmental responsibility. This can foster a new generation of business professionals who prioritize CSR in their strategies, aligning them with the principles of CnSR.
5.2.3. Methodological Implications
This study represents a methodological milestone in CnSR research by employing machine learning-based topic modeling alongside NLP. This tech-driven approach provides a robust analytical framework, enabling the extraction of nuanced insights directly from consumer voices. Given the nascent stage of CnSR as a concept and its intricate nature, traditional empirical research methodologies, such as Likert scale surveys, present challenges in capturing the full scope and depth of CnSR accurately. Current measures and understandings of CnSR are predominantly derived from literature reviews which, while informative, may not fully encapsulate dynamic and evolving consumer perspectives. Recognizing this gap, this study turned to an innovative approach: collecting primary data from consumer responses, analyzing consumer voices directly through topic modeling, and offering a more genuine reflection of consumer attitudes and behaviors regarding CnSR, thus contributing a vital empirical dimension to the existing body of CnSR literature. This methodological advancement highlights the potential for aligning theory with practical, consumer-centric strategies, offering future researchers a roadmap for extracting deep insights in sustainable consumption studies.
5.3. Limitations and Future Research
The outcomes of this study provide insightful revelations on CnSR within the purview of the fashion sector. However, applying these insights to other domains, such as food, electronics, hospitality, tourism, and finance, demands circumspection. Consumer attitudes and expectations can exhibit marked variations across industries, underscoring the imperative for expansive research to comprehensively understand the breadth of CnSR across sectors.
Another limitation of this research is the temporal context of the data. Due to the dynamic nature of consumer attitudes, especially in areas of sustainability and social responsibility, the temporal limitation highlights the need for ongoing future research in this area to ensure that the insights remain relevant and reflect the current consumer climate.
While the incorporation of machine-learning-based topic modeling with NLP in this study presents an avant-garde approach, certain constraints arise from solely utilizing open-question responses to gather textual data. The quality and depth of insights derived from topic modeling significantly depend on the data set used. Thus, if data were sourced from detailed, long-form textual sources, such as in-depth social media interactions or comprehensive product reviews, the study could yield deeper insights. Future research might consider these avenues to potentially amplify the depth and breadth of consumer insights.
The exploration of CnSR from the perspective of consumers, a previously underexplored area, stands as the distinctive contribution of this research, promising to guide future academic inquiry and practical initiatives in the field of CnSR. This scholarly pursuit navigates the complex labyrinth of responsible consumption, seeking not just to explore but also to offer clear, actionable insights. It beckons future research to embrace diverse methodologies and broader consumer samples to enrich the understanding of CnSR, driving the development of effective and socially responsible business strategies and propelling the global society toward enhanced ecological equilibrium and societal welfare.
Author Contributions
Conceptualization, J.K.; methodology, J.K. and J.J.; software, J.J.; validation, J.K.; formal analysis, J.J.; investigation, J.K. and J.J.; resources, J.K.; data curation, J.J.; writing—original draft preparation, J.J.; writing—review and editing, J.K.; visualization, J.J.; supervision, J.K.; project administration, J.K. All authors have read and agreed to the published version of the manuscript.
Funding
This research received no external funding.
Institutional Review Board Statement
The study was conducted in accordance with the Declaration of Helsinki and approved by the Institutional Review Board of Texas State University (protocol code 2017257 on 15 November 2016).
Informed Consent Statement
Informed consent was obtained from all subjects involved in the study.
Data Availability Statement
The data are not publicly available due to privacy restrictions as the larger set of data is being used for other projects.
Conflicts of Interest
The authors declare no conflict of interest.
References
- Eisingerich, A.B.; MacInnis, D.J.; Whan Park, C. Do CSR Efforts That Focus on Helping the Environment Influence Brand Purchase More than Other Forms of CSR? J. Bus. Res. 2023, 168, 114240. [Google Scholar] [CrossRef]
- Kang, J.; Moreno, F. Driving Values to Actions: Predictive Modeling for Environmentally Sustainable Product Purchases. Sustain. Prod. Consum. 2020, 23, 224–235. [Google Scholar] [CrossRef]
- Vitell, S.J. A Case for Consumer Social Responsibility (CnSR): Including a Selected Review of Consumer Ethics/Social Responsibility Research. J. Bus. Ethics 2015, 130, 767–774. [Google Scholar] [CrossRef]
- Devinney, T.M.; Auger, P.; Eckhardt, G.; Birtchnell, T. The Other CSR: Consumer Social Responsibility. Leeds Univ. Bus. Sch. Res. Pap. Ser. 2006, 15, 1–12. [Google Scholar] [CrossRef]
- Kang, J.; Bissenbina, A.; Faria, A.A.; Jang, J. Psychological Ownership Rather than Material Consumption: Can Fashion Firms’ New Subscription Services Become an Environmentally Sustainable Business Strategy? Bus. Strategy Environ. 2023, in press. [Google Scholar] [CrossRef]
- Oh, H. 12 Recycled and Upcycled Fashion Brands for a More Eco-Conscious Closet. Seventeen. 2023. Available online: https://www.seventeen.com/fashion/celeb-fashion/g43390210/recycled-upcycled-clothing-brands/ (accessed on 5 December 2023).
- Baker, K. These Brands Want To Redefine Black Friday: “Don’t Buy. Just Borrow”. Good Good Good. 2023. Available online: https://www.goodgoodgood.co/articles/black-friday-alternatives (accessed on 2 December 2023).
- Faithfull, M. H&M Move into Textile-Sorting Could Be Huge Boost for Circular Economy. Forbes. 2023. Available online: https://www.forbes.com/sites/markfaithfull/2023/02/15/hm-move-into-textile-sorting-could-be-huge-boost-for-circular-economy/?sh=21851be13a32 (accessed on 7 December 2023).
- Caruana, R.; Chatzidakis, A. Consumer Social Responsibility (CnSR): Toward a Multi-Level, Multi-Agent Conceptualization of the “Other CSR”. J. Bus. Ethics 2014, 121, 577–592. [Google Scholar] [CrossRef]
- Arli, D.I.; Tjiptono, F. Consumer Ethics, Religiosity, and Consumer Social Responsibility: Are They Related? Soc. Responsib. J. 2018, 14, 302–320. [Google Scholar] [CrossRef]
- Farah, M.F.; Shahzad, M.F. Fast-Food Addiction and Anti-Consumption Behaviour: The Moderating Role of Consumer Social Responsibility. Int. J. Consum. Stud. 2020, 44, 379–392. [Google Scholar] [CrossRef]
- Goodland, R. The Concept of Environmental Sustainability. Annu. Rev. Ecol. Syst. 1995, 26, 1–24. [Google Scholar] [CrossRef]
- Brzustewicz, P.; Singh, A. Sustainable Consumption in Consumer Behavior in the Time of COVID-19: Topic Modeling on Twitter Data Using LDA. Energies 2021, 14, 5787. [Google Scholar] [CrossRef]
- Huang, H.; Long, R.; Chen, H.; Sun, K.; Li, Q. Exploring Public Attention about Green Consumption on Sina Weibo: Using Text Mining and Deep Learning. Sustain. Prod. Consum. 2022, 30, 674–685. [Google Scholar] [CrossRef]
- Singh, S.; Alok, S. Drivers of Repurchase Intention of Organic Food in India: Role of Perceived Consumer Social Responsibility, Price, Value, and Quality. J. Int. Food Agribus. Mark. 2022, 34, 246–268. [Google Scholar] [CrossRef]
- Dalman, M.D.; Min, J. Consumer Information Integration at Pre-Purchase: A Discrete Choice Experiment. In Handbook of Research on Organizational Transformations through Big Data Analytics; IGI Global: Hershey, PA, USA, 2015; pp. 287–299. ISBN 978-1-4666-7272-7. [Google Scholar]
- Kostecki, M. The Durable Use of Consumer Products: New Options for Business and Consumption; Springer: New York, NY, USA, 2013; ISBN 978-1-4757-2819-4. [Google Scholar]
- Cruz-Cárdenas, J.; Arévalo-Chávez, P. Consumer Behavior in the Disposal of Products: Forty Years of Research. J. Promot. Manag. 2018, 24, 617–636. [Google Scholar] [CrossRef]
- Albalawi, R.; Yeap, T.H.; Benyoucef, M. Using Topic Modeling Methods for Short-Text Data: A Comparative Analysis. Front. Artif. Intell. 2020, 3, 42. [Google Scholar] [CrossRef] [PubMed]
- Buenaño-Fernandez, D.; González, M.; Gil, D.; Luján-Mora, S. Text Mining of Open-Ended Questions in Self-Assessment of University Teachers: An LDA Topic Modeling Approach. IEEE Access 2020, 8, 35318–35330. [Google Scholar] [CrossRef]
- Blei, D.M. Probabilistic Topic Models. Commun. ACM 2012, 55, 77–84. [Google Scholar] [CrossRef]
- Vayansky, I.; Kumar, S.A.P. A Review of Topic Modeling Methods. Inf. Syst. 2020, 94, 101582. [Google Scholar] [CrossRef]
- Blei, D.M.; Ng, A.Y.; Jordan, M.I. Latent Dirichlet Allocation. J. Mach. Learn. Res. 2003, 3, 993–1022. [Google Scholar]
- Barde, B.V.; Bainwad, A.M. An Overview of Topic Modeling Methods and Tools. In Proceedings of the 2017 International Conference on Intelligent Computing and Control Systems (ICICCS), Madurai, India, 15–16 June 2017; pp. 745–750. [Google Scholar]
- Srinivasa-Desikan, B. Natural Language Processing and Computational Linguistics: A Practical Guide to Text Analysis with Python, Gensim, spaCy, and Keras; Packt Publishing Ltd.: Birmingham, UK, 2018; ISBN 1-78883-703-7. [Google Scholar]
- Ledolter, J.; VanderVelde, L.S. Analyzing Textual Information: From Words to Meanings Through Numbers; SAGE Publications: Thousand Oaks, CA, USA, 2021; Volume 188, ISBN 1-5443-9004-1. [Google Scholar]
- Hasan, M.; Rahman, A.; Karim, M.R.; Khan, M.S.I.; Islam, M.J. Normalized Approach to Find Optimal Number of Topics in Latent Dirichlet Allocation (LDA); Springer: Berlin/Heidelberg, Germany, 2021; pp. 341–354. [Google Scholar]
- Joshi, C.; Attar, V.Z.; Kalamkar, S.P. An Unsupervised Topic Modeling Approach for Adverse Drug Reaction Extraction and Identification from Natural Language Text. In Advances in Data and Information Sciences: Proceedings of ICDIS 2021; Springer: Berlin/Heidelberg, Germany, 2022; pp. 505–514. [Google Scholar]
- Mustak, M.; Salminen, J.; Plé, L.; Wirtz, J. Artificial Intelligence in Marketing: Topic Modeling, Scientometric Analysis, and Research Agenda. J. Bus. Res. 2021, 124, 389–404. [Google Scholar] [CrossRef]
- Chuang, J.; Manning, C.D.; Heer, J. Termite. Visualization Techniques for Assessing Textual Topic Models. In Proceedings of the 2012 International Working Conference on Advanced Visual Interfaces, Capri Island, Naples, Italy, 22–25 May 2012; pp. 74–77. [Google Scholar]
- Sievert, C.; Shirley, K. LDAvis: A Method for Visualizing and Interpreting Topics. In Proceedings of the 2014 Workshop on Interactive Language Learning, Visualization, and Interfaces, Baltimore, MD, USA, 27 June 2014; pp. 63–70. [Google Scholar]
- Albella, E.; Balchandani, A.; Cornbleet, N.; Lee, L. In Search of Fashion’s Sustainability Seekers. Available online: https://www.mckinsey.com/industries/retail/our-insights/in-search-of-fashions-sustainability-seekers (accessed on 19 October 2023).
- Lai, Z.; Henninger, C.E.; Alevizou, P.J. An Exploration of Consumers’ Perceptions Towards Sustainable Fashion—A Qualitative Study in the UK. In Sustainability in Fashion: A Cradle to Upcycle Approach; Henninger, C.E., Alevizou, P.J., Goworek, H., Ryding, D., Eds.; Springer International Publishing: Cham, Switzerland, 2017; pp. 81–101. ISBN 978-3-319-51253-2. [Google Scholar]
- Jeelani, H. What Goes into the Pricing of Sustainable Fashion? Available online: https://www.vogue.in/fashion/content/why-is-sustainable-fashion-expensive-the-cost-of-ethically-produced-garments (accessed on 19 October 2023).
- Glavič, P. Evolution and Current Challenges of Sustainable Consumption and Production. Sustainability 2021, 13, 9379. [Google Scholar] [CrossRef]
- Hernandez, R.J.; Miranda, C.; Goñi, J. Empowering Sustainable Consumption by Giving Back to Consumers the ‘Right to Repair’. Sustainability 2020, 12, 850. [Google Scholar] [CrossRef]
- Gwilt, A.; Rissanen, T. Shaping Sustainable Fashion: Changing the Way We Make and Use Clothes; Routledge: London, UK, 2012; ISBN 1-136-45445-4. [Google Scholar]
- Schlaile, M.P.; Klein, K.; Böck, W. From Bounded Morality to Consumer Social Responsibility: A Transdisciplinary Approach to Socially Responsible Consumption and Its Obstacles. J. Bus. Ethics 2018, 149, 561–588. [Google Scholar] [CrossRef]
- Fenitra, R.M.; Handriana, T.; Usman, I.; Hartani, N.; Premananto, G.C.; Hartini, S. Sustainable Clothing Disposal Behavior, Factor Influencing Consumer Intention toward Clothing Donation. Environment 2021, 28, 1–15. [Google Scholar]
- Soyer, M.; Dittrich, K. Sustainable Consumer Behavior in Purchasing, Using and Disposing of Clothes. Sustainability 2021, 13, 8333. [Google Scholar] [CrossRef]
- Janigo, K.A.; Wu, J.; DeLong, M. Redesigning Fashion: An Analysis and Categorization of Women’s Clothing Upcycling Behavior. Fash. Pract. 2017, 9, 254–279. [Google Scholar] [CrossRef]
- Wilson, M. When Creative Consumers Go Green: Understanding Consumer Upcycling. J. Prod. Brand Manag. 2016, 25, 394–399. [Google Scholar] [CrossRef]
- Mohr, L.A.; Webb, D.J.; Harris, K.E. Do Consumers Expect Companies to Be Socially Responsible? The Impact of Corporate Social Responsibility on Buying Behavior. J. Consum. Aff. 2001, 35, 45–72. [Google Scholar] [CrossRef]
- Mishra, A.K.; Bansal, R.; Maurya, P.K.; Kar, S.K.; Bakshi, P.K. Predicting the Antecedents of Consumers’ Intention toward Purchase of Mutual Funds: A Hybrid PLS-SEM-Neural Network Approach. Int. J. Consum. Stud. 2023, 47, 563–587. [Google Scholar] [CrossRef]
Disclaimer/Publisher’s Note: The statements, opinions and data contained in all publications are solely those of the individual author(s) and contributor(s) and not of MDPI and/or the editor(s). MDPI and/or the editor(s) disclaim responsibility for any injury to people or property resulting from any ideas, methods, instructions or products referred to in the content. |
© 2023 by the authors. Licensee MDPI, Basel, Switzerland. This article is an open access article distributed under the terms and conditions of the Creative Commons Attribution (CC BY) license (https://creativecommons.org/licenses/by/4.0/).





