Abstract
This research concentrated on the soil nematode communities inhabiting a reclaimed municipal waste landfill situated in Giedlarowa, southeastern Poland. The landfill, which was layered with natural soil in 2008 and cultivated with grass, served as the primary focus of the study. Samples for analysis were taken four times (October 2020 (Pf1), March 2021 (Pf2), October 2021 (Pf3), and March 2022 (Pf4)), with each time comprising three repetitions. The analysis was conducted employing microscopic examination, which enabled the identification of up to five trophic groups and species of plant-parasitic nematodes. During the assessment of nematode activity in the initial and subsequent growing seasons, it was found that Pratylenchus crenatus emerged as the predominant species among herbivorous nematodes in the plant-parasitic nematode (PPNs) community. Criconemoides informis, another nematode species, held a significant rank as well; their population during the third growing season formed the most substantial group among the PPN organisms dwelling in the soil. Nevertheless, interesting results were also obtained by populations of nematodes of the genus Hemicyclophora and Loofia, which were characterized by high densities. The analyzed soil environment showcased a C:N ratio spanning from 0.69 to 3.13. Furthermore, the soil samples exhibited variations in phosphorus content (P2O5), ranging from 4.02 mg/100 g to 10.09 mg/100 g. Criconemoides informis, Longidorus attenuates, Mesocriconema spp., and Bitylenchus maximus exhibited a positive correlation with soil mineral levels of calcium (Ca) and magnesium (Mg).
1. Introduction
Nematodes, as a highly abundant and diverse soil fauna, play a crucial role in integrating aboveground and belowground activities like decomposing soil organic matter and aiding plant production [1]. Their ecological significance lies in their incredibly diverse feeding preferences, allowing them to thrive in various habitats, and their pivotal role in the underground food web [2]. The consistent and interconnected response of free-living nematodes to shifts in soil microbial functions is evident in nematode trophic group ratios and functional indices [3]. Huang et al. [4] suggest their potential as superior indicators of soil food web health, quality, and fertility parameters. The presence and abundance of specific taxa are indicators of the complexity of the web at the trophic levels indicated by those taxa. Nematodes that feed on plants enhance the release of carbon-rich root secretions into the soil. This stimulates microbial growth, resulting in the escalated decomposition of soil organic matter.
Nematodes that prey on bacteria, fungi, and various organisms produce nutrient-rich excretions, surpassing their own metabolic requirements. These excretions primarily consist of plant-accessible organic and inorganic forms, elevating plant uptake capabilities [5]. Nematodes hold significance within the soil ecosystem due to their presence across all trophic levels. Species that endure over time tend to dominate in stable soil ecosystems.
Nematodes are frequently regarded as one of the most abundant groups within the animal kingdom. Despite their prevalence, they are also recognized as one of the least understood invertebrate taxa. Following Andrassy’s statement [6], it was indicated that there are between 5000 and 8000 nematode species. In their publication, Hugot et al. [7] cite data suggesting that the true count of nematode species might reach up to one million. This figure reflects the potential species richness of nematodes, highlighting that not all possibilities have been uncovered thus far. These tiny soil-dwelling creatures within the microfauna not only captivate nematology specialists worldwide but also inspire experts in other scientific domains to pursue new research endeavors. The subject appears incredibly intriguing and underexplored, prompting a growing number of research initiatives and publications on the influence of nematodes on the environment [8,9,10].
According to Ilieva-Makulec [11], nematodes serve as indicators or markers of the condition of soil. This assertion is supported by their essential function in the operation of soil and the consequent alterations in soil processes. These changes are particularly notable in their impact on primary production, which refers to the growth of plants and other primary producers in an ecosystem. In essence, the presence, abundance, and behavior of nematodes can provide valuable insights into the health and functioning of soil environments. The variety of nematode species found in soil is very important. This diversity reflects the different types of nematodes that inhabit soil ecosystems. Free-living nematodes play a crucial role in nutrient cycling within the soil. Their presence and activities contribute significantly to the flow and recycling of nutrients in soil ecosystems, which is essential for the health and productivity of terrestrial environments.
Parasitic nematodes, especially those belonging to the Criconema genus, exhibit a remarkable responsiveness to environmental disturbances, suggesting a heightened sensitivity to shifts in ecological conditions. Additionally, their population expansion is notably robust in soils characterized by dense plant cover and rich organic content, traits often found in natural vegetation. The complex interactions between parasitic nematodes, plants, and their environment offer valuable insights into the ecology and dynamics of these organisms within ecosystems [12,13,14,15].
Manzanilla-López and Marbán-Mendoza [16] emphasize the diverse responses of nematodes to disturbances, noting that while some species are highly sensitive to pollutants and chemical stressors, others exhibit significant tolerance. This variability underscores the importance of species richness and diversity in bioindication practices. Additionally, the composition and dynamics of nematode communities are influenced by various factors, including abiotic, biotic, and anthropogenic influences such as soil use, agricultural practices, fertilization methods, and pesticide use [17]. Given their abundance and varied sensitivity to environmental changes, nematodes play a crucial role as indicators of ecosystem health and disruptions.
Landfill reclamation refers to the process of restoring damaged or destroyed areas to make them usable and functional within the environment once more [18]. The reclamation of landfills as the final process of its operation is divided into two stages: technical reclamation, i.e., the preparation of conditions for biological reclamation, and biological reclamation, i.e., the introduction of specific plant species to the reclaimed area [19,20].
The reclamation of a landfill encompasses not just the application of planned technical and biological measures but also an ongoing series of activities. These continue until it is determined that the area is ready to be developed in line with its intended purpose. Continuous monitoring is essential during reclamation efforts. Its goal is to minimize adverse environmental impacts and ensure that the environmental outcomes align with the requirements stated in relevant legal regulations.
The composition of plant or soil cover (including plant species and their diversity) significantly influences soil nematode communities. Different plant species release distinct root exudates, which serve as food sources for nematodes. Diverse plant cover can support a wider range of nematode species, changing overall soil biodiversity [21].
Employing plant-parasitic nematodes as biological indicators offers numerous advantages. Their direct interaction with plants allows for the evaluation of plant health and soil quality, as their presence and abundance reflect underlying ecological conditions. Additionally, plant-parasitic nematodes demonstrate sensitivity to environmental changes and disturbances, making them effective indicators of ecosystem perturbations such as pollution or habitat degradation. Moreover, their unique feeding behaviors and life cycles enable them to respond to variations in soil conditions, thereby facilitating the assessment of soil fertility, contamination levels, and the dynamics of ecological succession.
The objective of the study was to employ nematological diagnostics, particularly the examination of plant-parasitic nematode fauna, as an indicator to evaluate the advancement of the landfill’s recultivation process. The study highlights that cover crops have lasting effects on soil nematode food webs, influencing community dynamics and soil health. The research hypothesis posits that employing nematofauna as a bioindicator offers a reliable method to evaluate the efficacy of undertaken reclamation activities aimed at restoring the soil’s usability within this environment.
2. Materials and Methods
2.1. Study Site
The study site is situated 1.5 km away from Giedlarowa in the Leżajsk commune, found in the northern part of the Podkarpackie Voivodship. The landfill is situated within the forest, approximately 700–1000 m away from the closest buildings. Its central coordinates are at a latitude of 50°13′31.8 N and a longitude of 22°21′27.2 E.
During 2007–2008, the municipal waste landfill underwent rehabilitation and modernization efforts. These initiatives led to the disposal of approximately 165.000 tons of waste and the modernization of the eastern part of the landfill, expanding its capacity to 94.000 tons. Technical methods were employed to address threats across an area spanning 2.8 hectares. Approximately 1.7 hectares of the landfill area were reclaimed, and the external surface of 1.1 hectares was modernized. A grass cover was utilized for greening the reclamation process.
2.2. Collecting Samples
Following established protocols, it is advisable to conduct soil sampling, preferably in the spring or autumn seasons. This timing helps ensure that the soil maintains a moist condition, avoiding extremes of being overly wet or dry. Additionally, it is crucial to ensure that the soil temperature remains above 10 degrees Celsius. In the experiment, soil samples for analysis were taken four times (October 2020 (Pf1), March 2021 (Pf2), October 2021 (Pf3), and March 2022 (Pf4)), each time comprising three repetitions. Each sample was taken from a depth of up to 40 cm per 1 m2, using 10 probes of 100 cm3 soil volume.
The landfill is situated on sloping terrain, which we divided into five distinct 1 m2 environmental sections. Among these, two sections were positioned outside of rip ditches (1, 5), while the remaining three were situated within the rip ditch areas (2, 3, 4). Rip ditches play a critical role in the effective management and operation of landfills, helping to mitigate environmental risks associated with water infiltration and runoff while promoting the long-term stability and integrity of the landfill site. Figure 1 depicts the specific soil sampling points earmarked for analysis.
Figure 1.
Sampling locations 1 and 5: locations outside the reclaimed landfill area; 2, 3, 4: sites within the reclaimed landfill area.
2.3. Nematodes Analysis
The analyses were conducted at the Research Institute of Horticulture in Skierniewice, Poland. A volume of 100 g of fresh soil was introduced into the beaker, and water was added to obtain a final volume of 500 mL. The soil was mixed and allowed to settle at the bottom of the beaker. Subsequently, the sediment suspension was decanted and transferred to a 100 mL tube for centrifugation at 2000× g (RCF) for 3 min. The supernatant was discarded, and the precipitate was resuspended using 80 mL of 1 molar sucrose solution.
The tubes were centrifuged once more for 2 min at 2000× g (RCF). The supernatant, containing nematodes, was filtered through a 25 μm sieve and washed three times by the water to remove sucrose from the nematode bodies. The extracted nematodes were then transferred to glass containers. To thermally kill the nematodes, 6% formalin was used at 90 °C, followed by fixation in an equal amount of water. The nematodes underwent a series of graded glycerine and ethanol solutions before being preserved on slides in anhydrous glycerine.
The isolated nematodes were moved to a fixation vessel containing an S1 solution (composed of 20 mL of 96% ethanol, 1 mL of glycerol, and 79 mL of distilled water). The vessels were placed in a desiccator with a thin layer of 96% ethanol and then transferred to an incubator set at 40 °C. After 24 h in the desiccator, the nematodes in the S1 liquid were subjected to the addition of S2 liquid (composed of 93 mL of 96% ethanol and 7 mL of glycerin), with a few drops of S2 liquid introduced hourly over 8 h. It is established that nematodes become saturated with glycerine after 24 h in the incubator [22].
For preparation on glass slides, nematodes embedded in glycerine were placed onto microscope slides containing drops of anhydrous glycerine, utilizing the paraffin ring method. The paraffin rings, melting at 50 degrees Celsius, provided protection for the nematodes during the process. Morphological characterization was employed for nematode identification. Nematodes were categorized into five trophic groups: plant-parasites, bacterivores, fungivores, omnivores, and predators, according to Yeates et al. [23]. They were identified to the species (for plant-parasites) and genus (for bacterivores, fungivores, predators, omnivores) levels using a PrimoStar 3 light microscope (Zeiss, Germany) and the diagnostic key of Brzeski [24] and Andrássy [6].
For calculation of ecological indices, soil nematodes were classified (based on their feeding habit and life history characteristics) to a colonizer-persister (cp) scale ranging from rank 1 (colonizers), typically associated with r-strategies, to rank 5 (persisters), generally associated with k-strategies. A generic formula for calculation of indices in the MI family is ∑vini/∑ni, where vi is the colonizer-persister (c-p) value assigned to taxon i, and ni is the number of nematodes in each of the taxa that meet the criteria [25,26]. Indicator guilds of soil food web condition (basal, structured, enriched) are designated, and weightings of the guilds along the structure and enrichment trajectories. Functional indices of the soil food web, namely the enrichment index (EI), EI = 100 × e/e + b, (e is nematode community enrichment component, b is basic component of the nematode community); the channel index (CI), CI = 100 × Fu2 × 0.8/Ba1 × 3.2 + Fu2 × 0.8 (Ba1 is the number of bacterivorous nematodes with rank c-p 1, Fu2 is the number of fungivorous nematodes with rank c-p 2); the structure index (SI), SI = 100 × s/s + b (s is the component of the complexity of nematode assemblages, b is the basic component of the nematode community); and the basal index (BI), BI = (Ba2 × 0.8) + (Fu2 × 0.8) (Ba1 is the number of bacterivorous nematodes with rank c-p 1, Fu2 is the number of fungivorous nematodes with rank c-p 2) [27] were calculated.
As these indices integrate the responses of nematode taxa from different trophic groups and with different life strategies, they can provide information on the nutrient status of the soil, changes in decomposition pathways in the soil food web, and maturity of an ecosystem. Shannon–Weaver’s Diversity index (H’), H’ = −∑Pi (lnPi) (Pi is the proportion of the genus divided by the total nematode abundance in the sample), as generic diversity indicator has also been calculated.
2.4. Soil Chemical Analysis
pH measurement was performed on a 1:10 substrate–water suspension using a 4221 pH meter (Hanna Instruments, Nusfalau, Romania). Total organic carbon (TOC) and total nitrogen content (Ntotal) were assessed using the dry combustion method with the Elementar Vario El Cube Analyzer (Elementar, GmbH Germany). The content of Ca, Mg, Zn, Cu, Cr, Ni, Pb, Cd, and Hg in the substrate samples was determined via the absorption spectrometric method using the Polarized Zeeman Atomic Absorption Spectrophotometer Hitachi Z-2000 models (Tokyo, Japan), following soil sample mineralization in 60% HNO3. Subsequently, 1 g dry soil samples were weighed in PTFE containers, to which 10 mL HNO3 was added. The microwave system (CEM Mars 5 Microwave Digestion System) was employed to prepare samples for Ca, Mg, Zn, Cu, Cr, Ni, Pb, and Cd analysis. The concentration of Hg in substrate samples was determined using the HYDRA-C Mercury Analyzer (Teledyne Instruments Leeman Labs Inc., Hudson, NH, USA). The Egnér–Riehm method was utilized to estimate the available phosphorus (P).
2.5. Statistical Analysis
The results of nematode total number were analyzed with Shapiro–Wilk distribution normality test, and the homogeneity of variance was checked with the Laven’s test. When necessary, data were log(x + 1) transformed. Tukey’s honestly significant difference (HSD) was applied to identify significant differences in the variables between sites at p < 0.05. A canonical correspondence analysis (CCA) was used to relate the abundance of plant parasite species to environmental variables to identify the relationships between the nematodes and physical–chemical parameters. The package XLSTAT version 2019.2.2 was used to perform calculations [28].
3. Results and Discussion
The identified taxa encompassed nematodes exhibiting diverse feeding habits. These nematode types were categorized into five groups: 1. plant parasites (PPNs), 2. bacterivores, 3. fungivores, 4. omnivores, and 5. predators (Table 1).
Table 1.
Total number and abundance (ind/100 g soil) of five trophic groups of nematodes multiplied by number of samples taken together under five sampling sites (sampling period Pf1–Pf4).
The research identified a collective total of 16 species categorized as parasitic nematodes (PPNs): Pratylenchus crenatus, Criconemoides informis, Paratylenchus projectus, Mesocriconema curvatum, Loofia thienemanni, Helicotylenchus pseudorobustus, Hemicycliophora triangulum, Helicotylenchus digonicus, Bitylenchus maximus, Geocenamus quadrifer, Bitylenchus dubius, Merlinius nothus, Bitylenchus bryobius, Paratrichodorus pachydermus, Longidorus attenuatus, and Trichodorus cylindricus (Figure 2). Among them were the exceptionally rare B. bryobius and M. curvatum, alongside C. informis, typically found in natural meadows and pastures.
Figure 2.
Total abundance of the nematode community at the species level per 100 g soil observed at different collection times (A) October 2020 (Pf1), (B) March 2021 (Pf2), (C) October 2021 (Pf3), (D) March 2022 (Pf4), (n = 3).
Trichodorus cylindricus, Longidorus attenuatus, Criconemoides informis, Mesocriconema spp., Bitylenchus bryobius, and Bitylenchus maximus each exhibit statistically significant abundances, as evidenced by their respective p-values. T. cylindricus and L. attenuatus carry substantial weight with p-values of 0.001 and 0.002, respectively. Additionally, the abundances of C. informis and Mesocriconema spp. are marked by p-values of 0.045 and 0.027. Furthermore, the abundances of Bitylenchus bryobius and Bitylenchus maximus are denoted by p-values of 0.047 and 0.039, respectively (Table 2).
Table 2.
The total abundance of plant parasitic nematodes multiplied by number of samples taken together under five sampling sites (sampling period Pf1–Pf4).
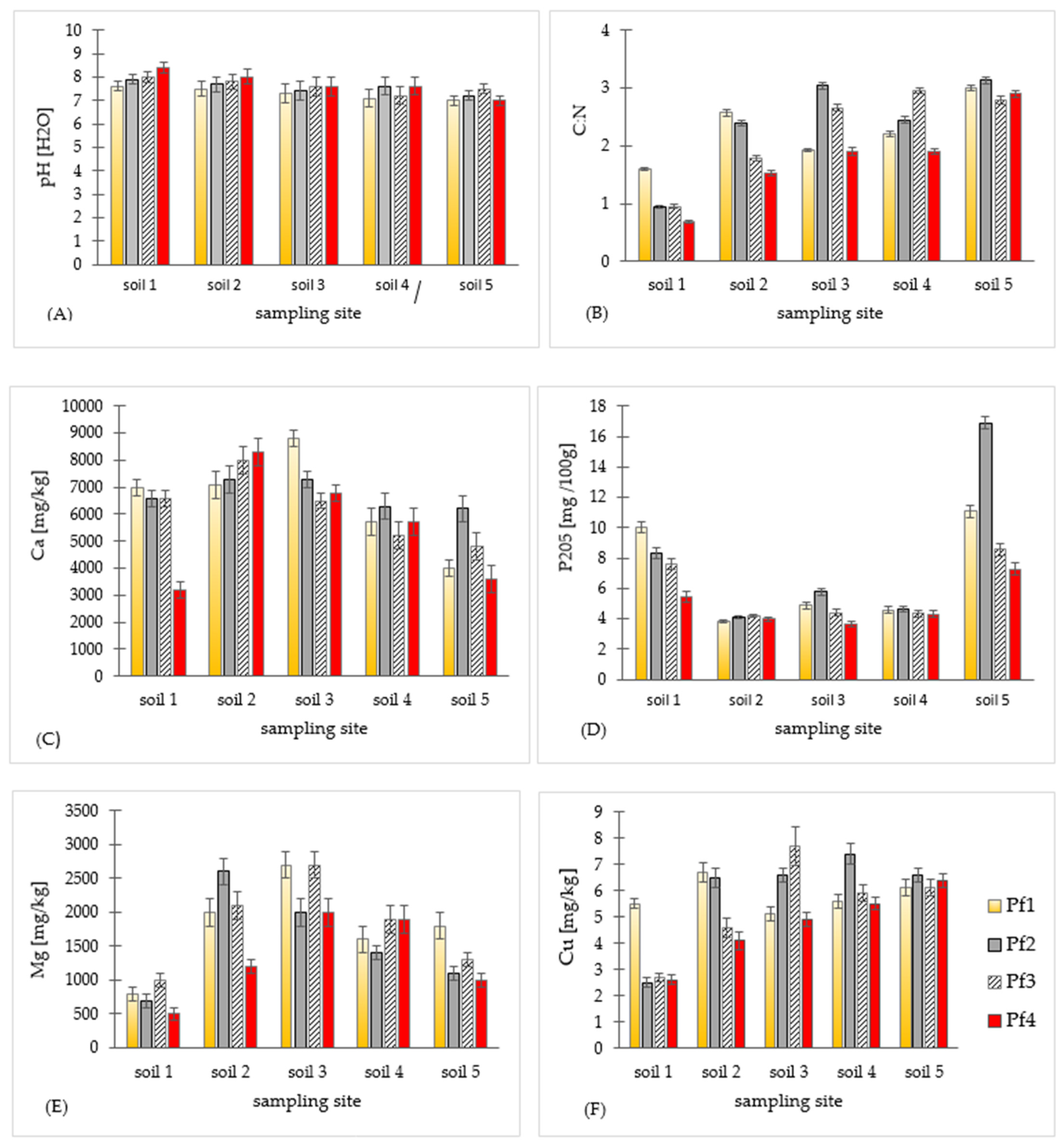
Simultaneous with the nematological examination, a soil chemical analysis was conducted. The pH analysis indicated neutral to slightly alkaline soil conditions (Figure 3A). The pH values ranged between 7.00 and 8.40. Soil 5 displayed the lowest pH value during the initial and final sampling (Pf1 and Pf4), while soil 1 recorded the highest pH value during the fourth sampling (Pf1). Wang et al. [29] highlighted the significant role of soil pH and its impact on plant-parasitic nematodes (PPNs). An acidic pH could be a contributing factor to the heightened abundance of PPNs. This phenomenon has been corroborated by other studies as well [30,31,32,33,34,35].
Figure 3.
Selected physico-chemical properties of reclaimed soil: pH (A), C:N (B), calcium (C), phosphorus (D), magnesium (E), copper (F) at five sampling sites (soil 1, soil 2, soil 3, soil 4) in four collection dates (October 2020 (Pf1), March 2021 (Pf2), October 2021 (Pf3), March 2022 (Pf4)) (n = 3).
The release of nitrogen during the decomposition of plant residue depends on the Carbon-to-Nitrogen Ratio (C:N) of the organic matter undergoing decomposition [36,37,38]. Conversely, when the ratio narrows, nitrogen mineralization intensifies but may not be readily utilized by plants. The examined soil environment displayed a C:N ratio spanning from 0.69 to 3.13, signaling a nitrogen deficiency in the soil (Figure 3B). In most soils, the C:N ratio in the humus layer typically ranges from 8 to 15. To address this, the landfill cover could benefit from the additional planting of clover or phacelia, as these plants possess the capacity to absorb nitrogen from the air and store it within their roots. The small share of bacterivorous nematodes, which usually feed on nitrogen-rich bacteria, was confirmed. It corresponds with previous research. Ferris et al. [39] studied environmental conditions favoring the development of bactericidal nematodes and proved that the number of these nematodes was an indicator of overall grazing activity and the rate of nitrogen mineralization from organic matter by soil fauna. The increased rate of nitrogen mineralization in the soil was associated with a greater number of nematodes feeding on microorganisms. Organic matter has the potential to influence the reproductive rate of nematodes [40]. Mokrini et al. [41] emphasized that organic matter was negatively correlated with PPN patterns in Saffron. Benjlil et al. [42] documented this observed trend. The accumulation of organic matter in soils leads to a notable reduction in nematode abundance [43,44]. Alternatively, soil organic matter contents were positively correlated with free-living nematodes [45], probably due to microbial community (bacteria and fungi) influence, which could significantly increase these nematode population abundances and contribute to plant growth [46,47]. Oteifa [48] showed that the input of nitrogen to the soil had drastically decreased the population of M. incognito.
The soil materials examined in our experiment showed variations in phosphorus content. Soil 2 demonstrated the lowest phosphorus (P2O5) level, averaging 4.02 mg/100 g, while soil 5 exhibited the highest, averaging 10.09 mg/100 g (Figure 3D). This disparity corresponded positively with the presence of Loofie thienemanii, as soil 5 harbored an average of 77.0 individuals per 100 g, whereas soil 2 contained an average of 7 individuals per 100 g.
However, in another study [49], phosphorus (P2O5) was found to be positively correlated with M. incognita, while an increase in Pratylenchus spp. abundance was observed, likely due to an increase in superphosphate application.
The confirmation of the soil’s neutral to slightly alkaline pH is corroborated by the presence of calcium (Ca) levels ranging from 3200 mg·kg−1 to 8800 mg·kg−1 and magnesium (Mg) levels from 500 mg·kg−1 to 2700 mg·kg−1 (Figure 3A,C,E). Calcium (Ca) substantially contributes to soil aggregation, promoting enhanced soil structure and thereby optimizing the arrangement of soil particles for improved water and air permeability. Magnesium (Mg) serves a critical role in chlorophyll formation, essential for the photosynthesis process. Elevated magnesium levels have the potential to augment the photosynthetic efficiency of plants. Soils maintaining a well-balanced ratio of magnesium and calcium facilitate plants in effectively managing stress. An association was observed between plant-parasitic nematodes (PPNs) and the soil mineral contents of calcium (Ca) and magnesium (Mg). Noteworthy disparities in the concentrations of calcium (Ca) and magnesium (Mg) were noted between soil samples 1 and 3, with soil 3 displaying the highest levels of both Mg and Ca among the sampled soils. Furthermore, a positive correlation was identified between plant-parasitic nematodes (PPNs) and the soil mineral contents of calcium (Ca) and magnesium (Mg). It was noted that as the concentration of these elements increased, there was a corresponding increase in the population of nematodes Criconemoides informis (p = 0.045), Longidorus attenuates (p = 0.002), Mesocriconema spp. (p = 0.027), and Bitylenchus maximus (p = 0.039).
The soil contained copper (Cu) within the range of 2.50–7.70 mg·kg−1. Changes in pH levels can greatly affect the availability of copper for plants. As the pH decreases, plants tend to absorb more copper. High soil pH levels coupled with intensive phosphorus fertilization have been observed to potentially immobilize copper. Georgieva et al. [50] noticed that soil minerals (Cu and Zn) had a negative impact on the nematode community structure, decreasing genus richness and maturity indices of free-living nematodes [3].
The examined soil material contained trace amounts of cadmium (Cd) below 0.3 mg· kg1, a metal known for its harmful effects on both the environment and human health. Lead (Pb) content generally remained below 0.8 mg·kg−1 but surpassed this threshold in specific locations (soil 3, soil 4, and soil 5), with values ranging from 8.6 mg·kg−1 to 11 mg·kg−1. Chromium (Cr) content varied between 18 mg·kg−1 and 50 mg·kg−1, while nickel (Ni) ranged from 6 mg·kg−1 to 12 mg·kg−1. Zinc (Zn) levels fluctuated between 11 mg·kg−1 and 50 mg·kg−1, and mercury (Hg) was detected at 0.03 mg·kg−1 (Table 3).
Table 3.
Content of microelements in the reclaimed soil at five sampling sites (soil 1–soil 5) in four collection dates (Pf1–Pf4) (mean ± SD) (n = 3).
Plant parasitic nematodes contribute significantly to nutrient cycling by impacting primary production and the diversity of plants.
Their categorization into ecological groups can be represented by employing the indices of their collections, which rely on a c-p value scale ranging from 1 to 5. The study’s average MI and PPI index values (approximately 3) and their proportions (Table 4) suggest a consistently stable soil environment within the reclaimed municipal waste landfill. This is evident in the abundance of specific groups and the elevated values of the Shannon index (H’), signifying a rich diversity within the nematode communities (Table 4).
Table 4.
Ecological indicators of nematodes across four growth cycles (mean ± SD) (n = 3).
Similar trends are also reflected in food web diagnostics. High values of SI obtained during the study correlate with the high degree of maturity of an ecosystem (Figure 4).
Figure 4.
Plots of enrichment vs. structure indices connected with five sampling sites (soil 1, soil 2, soil 3, soil 4, soil 5) in four collection dates (n = 3).
Habitats richer in organic matter and higher soil pH were favored by plant-parasitic nematodes of the species H. pseudorobustus and H. digonicus. In contrast, H. thienemanni and H. triangulum exhibited different responses, thriving more abundantly in locations with lower organic matter content (Figure 5).
Figure 5.
CCA biplot of prevailing nematode species and organic matter, pH, and P2O5 contents in the five locations in waste landfill in Giedlarowa (n = 3).
The combination of technical treatments alongside biological activities presents an opportunity to revitalize reclaimed areas, making them valuable for economic purposes once again. Landfill restoration, if executed with the right methods, can aid in reviving ecosystems and fostering biodiversity by reclaiming areas that were previously degraded or unusable. This approach can help restore habitats and create environments conducive to supporting diverse forms of life. Whenever feasible, it is important to seize opportunities for enhancing biodiversity, and proper techniques in landfill restoration can greatly aid in achieving this goal [51,52].
Reviving closed landfills is crucial to counterbalancing ecosystem disruptions, mitigating adverse environmental effects, and guaranteeing safe future utilization [53,54]. However well-contained a landfill may be, it remains a potential source of pollution not only during its operation but also for several years after its closure. Hence, continuous monitoring of the site for at least 30 years following its completion is crucial, as advocated in Koda’s publication [55]. Therefore, the execution of these activities should serve as the foundation for fostering the development and effective functioning of ecosystems, even amidst the challenging and prolonged process of reclamation. Evaluating the efficacy of ongoing reclamation efforts is paramount, serving as a fundamental tool to gauge the level of environmental transformation. This assessment provides crucial information about the direction of changes occurring in the surroundings, enabling the monitoring of the environmental condition. Across four observations conducted as part of the research, diverse communities of soil nematodes were identified and cataloged. During measurements of soil fauna activity in the initial and subsequent growing seasons, Pratylenchus crenatus emerged as the predominant species among herbivorous nematodes in the plant-parasitic nematodes.
Criconemoides informis also held a significant rank among nematodes, constituting the largest group of organisms inhabiting the soil during the third growing season.
However, intriguing findings emerged from the populations of Hemicyclophora nematodes, notable for their dense presence in medium clay soils within the vicinity of a reclaimed municipal waste landfill during the third soil sampling. Research studies [56,57,58,59] showcase the viability of utilizing data on nematode trophic group populations as indicators to evaluate soil health. Our research enables a comparison of changes in the population density of nematodes, particularly those belonging to parasitic families, with previous studies on the nematode fauna across various Polish natural soil types. These studies encompass peatlands covered with grasses and shrubs [13,14,60] as well as meadows, shrubbery, agricultural crops, horticulture [61], fauna in forest nurseries [62,63], paulownia [64], miscanthus [65], and Jerusalem artichoke [66].
The utilization of nematodes as bioindicators of soil ecosystem health began in the 1970s, providing valuable insights through traditional parameters such as species abundance and diversity [67,68,69].
The responses of nematodes to soil environmental changes hold substantial significance. Taxa that react to even slight environmental shifts are regarded as highly valuable and sought-after biological indicators. At the population level, reactions to anthropogenic stress might manifest as a decrease or increase in population size, alterations in age or sex structures, or fluctuations in population variability [70]. Crucial research examining the role of Criconematidae in natural settings was conducted by Matczyszyn [71]. Rare species of plant-parasitic nematodes belonging to the families Criconematodae and Hemicycliophorinae were predominantly collected in natural wet soils under grass and bush plants. The presence of these species in surveyed soil environments suggests that they may not be highly impacted by anthropogenic pressures such as chemicals, fertilizers, and agricultural treatments.
Research indicates that populations of parasitic nematodes can offer valuable insights into the direction of environmental changes occurring within an ecosystem. The heightened activity of these soil organisms in reclaimed areas not only signifies the enhancement of soil conditions dictating fertility but also underscores the potential use of nematodes as indicators to evaluate soil quality in altered areas and the progression of organic matter transformation.
In various studies, scientists have employed nematode communities as indicators to assess ecological processes and detect soil changes [3,57,72,73]. Qiaofang et al. [74] assert that both free-living nematodes and plant parasites play crucial roles as ecological indicators, facilitating nutrient cycling and serving as primary, secondary, and tertiary consumers within food webs. As stated by Ferris Sanchez-Moreno and Ferris [75], nematode community analysis is a worthwhile test to assess soil health. Employing plant-parasitic nematodes as biological indicators presents a method for evaluating soil health, environmental quality, and ecosystem integrity. Soil nematodes can simply reflect soil processes [76]. Their sensitivity to environmental changes, reliability, and the feasibility of monitoring make them effective tools for soil management and conservation efforts. Plant-parasitic nematode populations respond rapidly to environmental disturbances. They are highly sensitive to changes in soil conditions, including alterations in soil structure, organic matter content, and overall soil health. Therefore, their presence or absence can indicate the condition of the soil. Their abundance and diversity reflect the overall health of the soil ecosystem. Certain plant-parasitic nematode species are associated with specific soil types or environmental conditions [77]. The recovery of very rare nematode species, such as those belonging to the families Criconematidae and Hemicycliophoridae, from specific soil environments underscores the potential utility of plant-parasitic nematodes as indicators [76,78]. Their responses to environmental changes are well-documented, making them a dependable tool for assessing soil conditions.
4. Conclusions
The objective of the study was to employ nematological diagnostics, particularly the examination of plant-parasitic nematode fauna, as an indicator in the evaluation of the advancement of the landfill’s recultivation process. The research hypothesis posits that employing nematofauna as a bioindicator offers a reliable method to evaluate the efficacy of undertaken reclamation activities aimed at restoring the soil’s usability within this environment.
Among the findings, Pratylenchus crenatus emerged as a predominant species within the herbivorous nematodes, followed by Criconemoides informis, which notably increased in population during the third growing season. Moreover, the study observed high-density populations of nematodes from the Hemicyclophora and Loofia genera, offering valuable insights.
In summary, the diverse range of nematodes and their ability to adapt to changing environmental conditions establish them as reliable indicators of soil condition, in line with the principles of bioindication.
Author Contributions
Conceptualization, investigation, writing—original draft preparation A.Z.; methodology, investigation, and visualization, A.S. and D.K.; formal analysis, C.P. All authors have read and agreed to the published version of the manuscript.
Funding
This project is financed by the program of the Minister of Education and Science named “Regional Initiative of Excellence” in the years 2019–2023, project number 026/RID/2018/19, the amount of financing being PLN 9 542 500.00.
Institutional Review Board Statement
Not applicable.
Informed Consent Statement
Not applicable.
Data Availability Statement
Data are contained within the article.
Conflicts of Interest
The authors declare no conflicts of interest.
References
- Bardgett, R. The Biology of Soil: A Community and Ecosystem Approach; Biology of Habitats: Oxford, UK, 2005. [Google Scholar] [CrossRef]
- Freckman, D.W.; Ettema, C.H. Assessing nematode communities in agroecosystems of varying human intervention. Agric. Ecosyst. Environ. 1993, 45, 239–261. [Google Scholar] [CrossRef]
- Bongers, T.; Ferris, H. Nematode community structure as a bioindicator in environmental monitoring. Trends Ecol. Evol. 1999, 14, 224–228. [Google Scholar] [CrossRef] [PubMed]
- Huang, J.; Huang, T.; Chen, J.; Li, G.; Wang, Z.; Huo, N. Nematode Community Characteristics Indicate Soil Restoration under Different Revegetation Approaches in the Semiarid Area of the Chinese Loess Plateau. Forests 2023, 14, 1886. [Google Scholar] [CrossRef]
- Paul, E.A. Soil Microbiology, Ecology, and Biochemistry, 3rd ed.; Academic Press: Amsterdam, The Netherlands, 2007. [Google Scholar]
- Andrássy, I. Free-living Nematodes of Hungary (Nematoda errantia). In I. Pedozoolo-gia Hungarica, Taxonomic, Zoogeographic and Faunistic Studies on the Soil Animals, Seriesno. 3; Hungarian Natural History Museum and Systematic Zoology Research Group of the Hungarian Academy of Sciences: Budapest, Hungary, 2005; p. 518. Available online: https://books.google.pl/books/about/Free_living_Nematodes_of_Hungary.html?id=MjdMygAACAAJ&redir_esc=y (accessed on 1 December 2023).
- Hugot, J.P.; Baujard, P.; Morand, S. Biodiversity in helminthes and nematodes as a field of study: An overview. Nematology 2001, 3, 199–208. Available online: https://horizon.documentation.ird.fr/exl-doc/pleins_textes/pleins_textes_7/b_fdi_59-60/010026034.pdf (accessed on 1 December 2023). [CrossRef]
- Bardgett, R.D.; van der Putten, W.H. Belowground biodiversity and ecosystem functioning. Nature 2014, 515, 505–511. [Google Scholar] [CrossRef] [PubMed]
- van den Hoogen, J.; Geisen, S.; Routh, D.; Ferris, H.; Traunspurger, W.; Wardle, D.A.; de Goede, R.G.M.; Adams, B.J.; Ahmad, W.; Andriuzzi, W.S.; et al. Soil nematode abundance and functional group composition at a global scale. Nature 2019, 572, 194–198. [Google Scholar] [CrossRef]
- Biswal, D. Nematodes as Ghosts of Land Use Past: Elucidating the Roles of Soil Nematode Community Studies as Indicators of Soil Health and Land Management Practices. Appl. Biochem. Biotechnol. 2022, 194, 2357–2417. [Google Scholar] [CrossRef]
- Ilieva-Makulec, K. Soil nematodes in the Skaryszewki Park in Warsaw—Community density and diversity in two habitats. Stud. Ecol. Bioethicae 2015, 13, 119–133. [Google Scholar] [CrossRef]
- Caixeta, L.B.; Pereira, T.J.; Castañeda, E.N.; Cares, J.E. Nematode communities as indicators of the status of a soil ecosystem influencedby mining practices in Brazil. Nematology 2016, 18, 265–276. [Google Scholar] [CrossRef]
- Skwiercz, A.T. Occurrence of Plant Parasitic Nematodes in Peat Soils in Poland. Roczn. Nauk Rol. Ser. A 1987, 17, 337–343. Available online: https://www.researchgate.net/publication/266136747_Occurrence_of_plant_parasitic_nematodes_in_peat_soils_in_Poland_Roczn_Nauk_roln_seria_E_T17_2337-343 (accessed on 1 December 2023).
- Skwiercz, A.T. Plant Parasitic Nematodes in the Peat Soils in Poland. Part I. Biocenotic analyse. Rocz. Nauk Rol. Ser. E 1989, 19, 91–99. Available online: https://www.researchgate.net/publication/266136890_Plant_parasitic_nematodes_in_the_peat_soils_in_Poland_Part_I_Biocenotic_analyse_Roczn_Nauk_roln_E_191291-99 (accessed on 1 December 2023).
- Skwiercz, A.T. Plant Parasitic Nematodes in the Peat Soils in Poland. Part II. Frequency of occurrence and population density in different chemical properties of peat. Rocz. Nauk Rol. Ser. E 1989, 19, 101–111. Available online: https://pascal-francis.inist.fr/vibad/index.php?action=getRecordDetail&idt=6545303 (accessed on 1 December 2023).
- Manzanilla-López, R.H.; Marbán-Mendoza, N. Practical Plant Nematology; Biblioteca Básica de Agricultura: Guadalajara, Mexico, 2012; pp. 1–876. Available online: https://books.google.pl/books/about/Practical_Plant_Nematology.html?id=qguungEACAAJ&redir_esc=y (accessed on 1 December 2023).
- Zapałowska, A.; Skwiercz, A.T.; Kopeć, M. Fauna nicieni pasożytniczych jako wskaźnik antropopresji środowiska glebowego. In Technologiczno-Ekonomiczne Aspekty Rolnictwa; Uniwersytet Rzeszowski: Rzeszów, Poland, 2019; pp. 107–117. Available online: https://bazawiedzy.uwm.edu.pl/info/article/UWMea81863fce874cb7a252eac9d8014372/ (accessed on 1 December 2023).
- Landfill Reclamation. Available online: https://www.epa.gov/sites/default/files/2016-03/documents/land-rcl.pdf (accessed on 22 April 2024).
- Stachowski, P.; Kraczkowska, K.; Oliskiewicz-Krzywicka, A.; Rolbiecki, S.; Rolbiecki, R. Irrigation in the Reclamation of Municipal Waste Landfills. Rocz. Ochr. Sr. 2019, 21, 472–480. [Google Scholar]
- Majewski, K.A. The Reclamation of a Municipal Waste Landfill—Grudziądz Case Study. Civ. Environ. Eng. Rep. 2021, 31, 106–117. [Google Scholar] [CrossRef]
- Dietrich, P.; Cesarz, S.; Liu, T.; Roscher, C.; Eisenhauer, N. Effects of plant species diversity on nematode community composition and diversity in a long-term biodiversity experiment. Oecologia 2021, 197, 297–311. [Google Scholar] [CrossRef]
- van Bezooijen, J. Methods and Techniques for Nematology; Wageningen University: Wageningen, The Netherlands, 2006. [Google Scholar]
- Yeates, G.W.; Bongers, T.; De Goede, R.G.M.; Freckman, D.W.; Georgieva, S.S. Feedeing Habits in Soil Nematde Families and Genera An Outline for Soil Ecologists. J. Nematol. 1993, 25, 315–331. [Google Scholar]
- Brzeski, M.W. Nematodes of Tylenchinain Poland and Temperate Europe; Muzeum i Instytutu Zoologii: Warszawa, Poland, 1998; p. 397. Available online: https://miiz.waw.pl/pl/wydawnictwa/spis-artykulow/19-serie-wydawnicze-ksiki-dvd/597-nematodes (accessed on 1 December 2023).
- Bongers, T. The Maturity Index: An ecological measure of environmental disturbance based on nematode species composition. Oecologia 1990, 83, 14–19. [Google Scholar] [CrossRef]
- Bongers, T.; Goede, R.G.M.; Korthals, G.; Yeates, G.W. Proposed changes of c-p classification for nematodes. Russ. J. Nematol. 1995, 3, 61–62. Available online: https://www.russjnematology.com/Articles/rjn31/Bongers_c-p_classification.pdf (accessed on 1 December 2023).
- Ferris, H.; Bongers, T.; de Goede, R. A Framework for Soil Food Web Diagnostics: Extension of the Nematode Faunal Analysis Concept. Appl. Soil Ecol. 2001, 18, 13–29. [Google Scholar] [CrossRef]
- Addinsoft XLSTAT Statistical Software for Excel. 2020. Available online: https://www.xlstat.com (accessed on 1 December 2023).
- Wang, C.; Bruening, G.; Williamson, V.M. Determination of preferred pH for root-knot nematode aggregation using Pluronic F-127 gel. J. Chem. Ecol. 2009, 35, 1242–1251. [Google Scholar] [CrossRef]
- Norton, D.C. Abiotic soil factors and plant–parasitic nematode communities. J. Nematol. 1989, 21, 299–307. [Google Scholar]
- Cadet, P.; Thioulouse, J.; Albrecht, A. Relationships between ferrisol properties and the structure of plant-parasitic nematode communities on sugarcane in Martinique (French West Indies). Acta Oecologica 1994, 15, 767–780. [Google Scholar]
- Korthals, G.W.; Bongers, T.; Kammenga, J.E.; Alexiev, A.D.; Lexmond, T.M. Long-term effects of copper and pH on the nematode community in an agroecosystem. Environ. Toxicol. Chem. 1996, 15, 979–985. [Google Scholar]
- Neher, D.A. Nematode communities in organically and conventionally managed agricultural soils. J. Nematol. 1999, 31, 142–154. [Google Scholar]
- Mulder, C.; Zwart, D.D.; Van Wijnen, H.J.; Schouten, A.J.; Breure, A.M. Observational and simulated evidence of ecological shifts within the soil nematode community of agroecosystems under conventional and organic farming. Funct. Ecol. 2003, 17, 516–525. [Google Scholar] [CrossRef]
- Wang, K.H.; McSorley, R.; Gallaher, R.N. Relationship of soil management history and nutrient status to nematode community structure. Nematropica 2004, 34, 83–95. [Google Scholar]
- Boyd, C.E. Carbon-Nitrogen Ratio Management. 2009. Available online: https://www.globalseafood.org/advocate/carbon-nitrogen-ratio-management/ (accessed on 1 December 2023).
- Grzyb, A.; Wolna-Maruwka, A.; Niewiadomska, A. Environmental Factors Affecting the Mineralization of Crop Residues. Agronomy 2020, 10, 1951. [Google Scholar] [CrossRef]
- Qiao, N.; Xu, X.; Hu, Y.; Blagodatskaya, E.; Liu, Y.; Schaefer, D.; Kuzyakov, Y. Carbon and nitrogen additions induce distinct priming effects along an organic-matter decay continuum. Sci. Rep. 2016, 6, 19865. [Google Scholar] [CrossRef]
- Ferris, H.; Venette, R.C.; Scow, K. Soil management to enhance bacterivore and fungivore nematode populations and their nitrogen mineralisation function. Appl. Soil Ecol. 2004, 25, 19–35. [Google Scholar] [CrossRef]
- Widmer, T.L.; Mitkowski, N.A.; Abawi, G.S. Soil organic matter and management of plant-parasitic nematodes. J. Nematol. 2002, 34, 289–295. [Google Scholar] [PubMed]
- Mokrini, F.; Laasli, S.E.; Karra, Y.; El Aissami, A.; Dababat, A.A. Diversity and incidence of plant-parasitic nematodes associated with saffron (Crocus sativus L.) in Morocco and their relationship with soil physicochemical properties. Nematology 2019, 22, 87–102. [Google Scholar] [CrossRef]
- Benjlil, H.; Elkassemi, K.; Hamza, M.A.; Mateille, T.; Furze, J.N.; Cherifi, K.; Ferji, Z. Plant-parasitic nematodes parasitizing saffron in Morocco: Structuring drivers and biological risk identification. Appl. Soil Ecol. 2020, 147, 103362. [Google Scholar] [CrossRef]
- Hominick, B. Nematodes. In Proceedings of the International Workshop Tropical Soil Biology: Opportunities and Challenges for African Agriculture, Nairobi, Kenya, 14–23 March 1999. [Google Scholar]
- Qi, Y.; Hu, C. Soil nematode abundance in relation to diversity in different farming management system. World J. Agric. Sci. 2007, 3, 587–592. [Google Scholar]
- Barros, P.A.; Pedrosa, E.M.R.; de Oliveira Cardoso, M.S.; Rolim, M.M. Relationship between soil organic matter and nematodes in sugarcane fields. Semin. Ciências Agrárias 2017, 38, 551–560. [Google Scholar] [CrossRef]
- Papatheodorou, E.M.; Argyropoulou, M.D.; Stamou, G.P. The effects of large and small-scale differences in soil temperature and moisture on bacterial functional diversity and the community of bacterivorous nematodes. Appl. Soil Ecol. 2004, 25, 37–49. [Google Scholar] [CrossRef]
- Berry, S.; Cadet, P.; Spaull, V.W. Effect of certain cultural practices on nematode management in a small scale farming system. Proc. S. Afr. Sugar Technol. 2005, 79, 149–164. [Google Scholar]
- Oteifa, B.A. Nitrogen source of the host nutrition in relation to infection by a root-knot nematode, Meloidogyne incognita. Plant Dis. Rep. 1955, 39, 902–903. [Google Scholar]
- Yeates, G.W. Effect of fertiliser treatment and stocking rate on pasture nematode populations in a yellow-grey earth. N. Z. J. Agric. Res. 1976, 19, 405–408. [Google Scholar] [CrossRef]
- Georgieva, S.S.; McGrath, S.P.; Hooper, D.J.; Chambers, B.S. Nematode communities under stress: The long-term effects of heavy metals in soil treated with sewage sludge. Appl. Soil Ecol. 2002, 20, 27–42. [Google Scholar] [CrossRef]
- Camerini, G.; Groppali, R. Landfill restoration and biodiversity: A case of study in Northern Italy. Waste Manag. Res. 2014, 32, 782–790. [Google Scholar] [CrossRef] [PubMed]
- Keesstra, S.; Nunes, J.; Novara, A.; Finger, D.; Avelar, D.; Kalantari, Z.; Cerdà, A. The superior effect of nature based solutions in land management for enhancing ecosystem services. Sci. Total Environ. 2018, 610–611, 997–1009. [Google Scholar] [CrossRef]
- Chen, X.-W.; Wong, J.T.F.; Leung, A.O.W.; Ng, C.W.W.; Wong, M.H. Comparison of plant and bacterial communities between a subtropical landfill topsoil 15 years after restoration and a natural area. Waste Manag. 2017, 63, 49–57. [Google Scholar] [CrossRef]
- Vaverková, M.D.; Radziemska, M.; Bartoň, S.; Cerdà, A.; Koda, E. The use of vegetation as a natural strategy for landfill restoration. Land Degrad. Dev. 2018, 29, 3674–3680. [Google Scholar] [CrossRef]
- Koda, E. Geośrodowiskowe aspekty rekultywacji składowisk odpadów. Inżynieria Morska Geotech. 2009, 3, 134–151. Available online: https://yadda.icm.edu.pl/baztech/element/bwmeta1.element.baztech-article-BWM4-0020-0072 (accessed on 1 December 2023).
- Neher, D.A. Role of nematodes in soil health and their use as indicators. J. Nematol. 2001, 33, 161–168. Available online: https://www.ncbi.nlm.nih.gov/pmc/articles/PMC2620512/pdf/161.pdf (accessed on 1 December 2023).
- Neher, D.A. Ecology of plant and free-living nematodes in natural and agricultural soil. Annu. Rev. Phytopathol. 2010, 48, 371–394. [Google Scholar] [CrossRef]
- Yeates, G.W.; Bongers, T. Nematode diversity in agroecosystems. In Invertebrate Biodiversity as Bioindicators of Sustainable Landscapes; Elsevier: Amsterdam, The Netherlands, 1999; pp. 113–135. [Google Scholar] [CrossRef]
- Yeates, G. Nematodes as soil indicators: Functional and biodiversity aspects. Biol. Fertil. Soils 2003, 37, 199–210. Available online: https://www.scirp.org/(S(lz5mqp453edsnp55rrgjct55))/reference/referencespapers.aspx?referenceid=743990 (accessed on 1 December 2023). [CrossRef]
- Dąbrowski, D. Nematofauna Rezerwatu Mszar w Olsztynie. Praca Inzynierska Wykonana w Uniwersytecie Warmińsko-Mazurskim w Olsztynie Pod Kierunkiem Dr Andrzeja T. Skwiercza. 2010. Available online: https://www.researchgate.net/publication/266374603_Nematofauna_rezerwatu_Mszar_w_Olsztynie_Praca_inzynierska_wykonana_pod_kierunkiem_dr_inz_Andrzeja_T_Skwiercza (accessed on 1 December 2023).
- Winiszewska, G.; Dmowska, E.; Chałańska, A.; Dobosz, R.; Kornobis, F.; Ilieva-Makulec, K.; Skwiercz, A.; Wolny, S.; Ishage, E. Nematodes associated with plant growth inhibition in the Wielkopolska region. J. Plant Prot. Res. 2012, 52, 440–446. [Google Scholar] [CrossRef]
- Dobies, T.; Kuźnicki, J. Nicienie (nematoda, tylenchida) w Szkółce Leśnej Nadleśnictwa Ełk [Nematodes (Nematoda, Tylenchida) in the nursery of the Ełk forest division]. Acta Sci. Pol. Silv. 2021, 20, 115–120. [Google Scholar] [CrossRef]
- Skwiercz, A.T. Nematodes (Nematoda) in Polish forests. I. Species inhabiting soils in nurseries. J. Plant Prot. Res. 2012, 52, 169–179. [Google Scholar] [CrossRef]
- Skwiercz, A.; Zapałowska, A.; Flis, Ł.; Koc-Jurczyk, J.; Jurczyk, Ł.; Litwińczuk, W.; Puchalski, C. Plant parasitic nematodes on Paulownia tomentosa in Poland. J. Hortic. Res. 2022, 30, 31–40. [Google Scholar] [CrossRef]
- Alasmary, Z.; Todd, T.; Hettiarachchi, G.M.; Stefanovska, T.; Pidlisnyuk, V.; Roozeboom, K.; Erickson, L.; Davis, L.; Zhukov, O. Effect of Soil Treatments and Amendments on the Nematode Community under Miscanthus Growing in a Lead Contaminated Military Site. Agronomy 2020, 10, 1727. [Google Scholar] [CrossRef]
- Zapałowska, A.; Skwiercz, A.T. Populations of parasitic nematodes colonizing Jerusalem artichoke (Helianthus tuberosus L.). Acta Soc. Bot. Pol. 2018, 87, 3578. [Google Scholar] [CrossRef]
- Yeates, G.W. The diversity of soil nematode faunas. Pedobiologia 1970, 10, 104–107. [Google Scholar] [CrossRef]
- Freckman, D.W. Bacterivorous nematodes and organic-matter decomposition. Agric. Ecosyst. Environ. 1988, 24, 195–217. [Google Scholar] [CrossRef]
- Wasilewska, L. Soil invertebrates as bioindicators, with special reference to soil-inhabiting nematodes. Russ. J. Nematol. 1997, 5, 113–126. [Google Scholar]
- Dynowska, M.; Ciecierska, H. Biologiczne Metody Oceny Stanu Środowiska. T. 1, Ekosystemy Lądowe. Olsztyn: Mantis. 2013. Available online: https://integro.bs.katowice.pl/32503350690/ksiazka/biologiczne-metody-oceny-stanu-srodowiska?bibFilter=3 (accessed on 1 December 2023).
- Matczyszyn, J.N. Nematodes in the Wild: Community Ecology and the Search for Cryptic Species within the Family Criconematidae. Ph.D. Dissertation, University of Nebraska–Lincoln, Lincoln, NE, USA, 2015. Available online: https://digitalcommons.unl.edu/dissertations/AAI22616431 (accessed on 1 December 2023).
- Stamou, G.P.; Argyropoulou, M.D.; Rodriguez-Polo, I.; Boutsis, G.; Kapagianni, P.; Papatheodorou, E.M. A Case Study of Nematode Communities’ Dynamics along Successional Paths in the Reclaimed Landfill. Diversity 2020, 12, 274. [Google Scholar] [CrossRef]
- Fitoussi, N.; Pen-Mouratov, S.; Steinberger, Y. Soil free-living nematodes as bio-indicators for assaying the invasive effect of the alien plant Heterotheca subaxillaris in a coastal dune ecosystem. Appl. Soil Ecol. 2016, 102, 1–9. [Google Scholar] [CrossRef]
- Lu, Q.; Liu, T.; Wang, N.; Dou, Z.; Wang, K.; Zuo, Y. A review of soil nematodes as biological indicators for the assessment of soil health. Front. Agr. Sci. Eng. 2020, 7, 275–281. [Google Scholar] [CrossRef]
- Sanchez-Moreno, S.; Ferris, H. Nematode ecology and soil health. In Plant Parasitic Nematodes in Subtropical and Tropical Agriculture, 3rd ed.; Sikora, R.A., Coyne, D., Hallmann, J., Timper, P., Eds.; CABI: Wallingford, UK, 2018; Chapter 3; pp. 62–86. [Google Scholar] [CrossRef]
- Wasilewska, L. Changes in the structure of the soil nematode community over long-term secondary grassland succession in drained fen peat. Appl. Soil Ecol. 2006, 32, 165–179. [Google Scholar] [CrossRef]
- Mateille, T.; Tavoillot, J.; Martiny, B.; Fargette, M. Importance of soil characteristics for plant-parasitic nematode communities in European coastal foredunes. Eur. J. Soil Biol. 2014, 64, 53–60. [Google Scholar] [CrossRef]
- Renčo, M.; Murín, J. Soil Nematode Assemblages in Natural European Peatlands of the Horná Orava Protected Landscape Area, Slovakia. Wetlands 2013, 33, 459–470. [Google Scholar] [CrossRef]
Disclaimer/Publisher’s Note: The statements, opinions and data contained in all publications are solely those of the individual author(s) and contributor(s) and not of MDPI and/or the editor(s). MDPI and/or the editor(s) disclaim responsibility for any injury to people or property resulting from any ideas, methods, instructions or products referred to in the content. |
© 2024 by the authors. Licensee MDPI, Basel, Switzerland. This article is an open access article distributed under the terms and conditions of the Creative Commons Attribution (CC BY) license (https://creativecommons.org/licenses/by/4.0/).




