Abstract
Excessive fine particulate matter (PM2.5) and ozone (O3) are invisible killers affecting our wellbeing and safety, which cause great harm to people’s health, cause serious healthcare and economic losses, and affect the sustainable development of the social economy. The effective evaluation of the impact of pollutants on the human body, the associated costs, and the reduction of regional compound air pollution is an important research direction. Taking Beijing–Tianjin–Hebei (BTH) as the research area, this study constructs a comprehensive model for measuring the healthcare costs of PM2.5 and O3 using the Environmental Benefits Mapping and Analysis Program (BenMAP) as its basis. First, this study establishes a health impact assessment model and calculates the number of people affected by PM2.5 and O3 exposure using the health impact function in the BTH region. Then, the willingness to pay (WTP) and cost of illness (COI) methods are used to estimate the healthcare costs inflicted by the two pollutants upon residents from 2018 to 2021. The calculation results show that the total healthcare costs caused by PM2.5 and O3 pollution in BTH accounted for 1%, 0.7%, 0.5%, and 0.3% of the regional GDP in 2018, 2019, 2020, and 2021, respectively. Based on the research results, to further reduce these high healthcare costs, we propose policy suggestions for PM2.5 and O3 control in the BTH region.
1. Introduction
With China’s rapid industrialisation, the consumption of coal, oil, and other energy sources has increased. Many pollutants, including PM2.5, O3, nitrogen oxide (NO), and sulphur dioxide (SO2), produced by the combustion of fossil fuels, are discharged into the air, which places a great burden on the atmospheric environment and seriously endangers the life, health, and quality of life of residents [1,2,3]. The government of China has placed great importance to this and carried out national environmental quality monitoring since 2010. After nearly ten years of air pollution control, the concentration of air pollutants in China has been declining, but it is still not ideal [4]. According to the Bulletin on the Ecological Environment of China in 2021 [5] issued by the Ministry of Ecology and Environment, only 64.3% of the cities in China will meet the environmental air quality standards in 2021. On days when the pollutant concentration in 339 cities exceeded the standard, the proportion of PM2.5 as the primary pollutant was 39.7%, O3 as the primary pollutant was 34.7%, PM10 as the primary pollutant was 25.2%, NO2 as the primary pollutant was 0.6%, and CO as the primary pollutant was less than 0.1%. PM2.5 and O3 are the two main pollutants of air pollution in China [6]. PM2.5 enters the human body through breathing and is considered to cause diseases in the respiratory, cardiovascular, and immune systems. O3 causes heart failure, myocardial infarction, and other diseases, increases hospitalisation and premature death rates, and harms human health [7,8]. Excessive emissions of PM2.5 and O3 would seriously damage the ecological environment and endanger human health while restricting the sustainable development of China’s social economy. Therefore, it is of great practical significance to strengthen the collaborative management of PM2.5 and O3 to improve air quality and enhance the health of residents.
The BTH region is one of the most polluted areas in China [9,10]. According to the Bulletin on the Ecological Environment of China, in 2021, the proportion of days with excellent air quality in 13 cities in the BTH region ranged from 60.3% to 79.2%, with an average of 67.2%. The average number of days exceeding the standard was 32.8%, of which 24.0% were labelled as having light pollution, 5.7% moderate pollution, 2% severe pollution, and 1.2% serious pollution. The BTH region still faces serious air pollution problems that restrict the coordinated development of the region and the construction of an ecological civilisation. Therefore, the Chinese government has placed considerable importance on the prevention and control of air pollution in the BTH region. In 2020, President Xi Jinping proposed strengthening ozone pollution control and promoting the coordinated control of PM2.5 and O3 in the 14th Five-Year Plan for National Economic and Social Development of the People’s Republic of China and the Outline of Vision Goals for 2035 [11]. Various regions have gradually paid attention to the problem of compound pollution and carried out related research and practice.
The health impact of air pollution has been widely concerned by academic circles and has achieved a series of research results [12,13,14]. For example, Mirzaei et al. [15] statistically analysed the PM2.5 concentration in Tehran from 2016 to 2018 and outlined the possible reasons why the PM2.5 concentration exceeded the WHO guidance level and estimated the number of deaths caused by ischemic heart disease and lung cancer using AirQ+ v.2.0 and BenMAP-CE. Cao et al. [16] quantified the long- and short-term effects of air pollution on the mental health of urban residents in China. Yang et al. [17] investigated the impact of exposure to PM2.5 on health and welfare in winter and summer in typical cities in northern China from 2013 to 2016. Moreover, they evaluated the economic losses and medical expenses of premature death caused by related diseases. Most existing studies take countries (such as the United States [18], Mexico [19], and East Africa [20]) and provinces [21,22] as research subjects to explore the impacts of atmospheric contamination on residents’ health. Moreover, the United States and European countries started studies on the health effects of air pollution and the formulation of pollution prevention and control policies early, achieving notable results.
At present, research on the BTH region in China has mainly focused on the impact of particulate matter on economic benefits, largely ignoring the healthcare costs associated with ozone exposure [23,24]. As for the assessment methods of the impacts on health, Bai et al. [25] divided the methods of accounting for the healthcare costs of air pollutants into dynamic and static models. The computable general equilibrium (CGE) model is a commonly used dynamic estimation method that reflects the internal relationships between social and economic systems and can calculate the cumulative effect of economic losses over time. Therefore, it has been gradually applied to assess the health effects caused by air pollution in recent years [26,27]. Compared with dynamic models, static models are the most used healthcare cost accounting methods because of their simpler calculations and stronger applicability. Static methods primarily include the value of a statistical life (VSL) method, willingness to pay (WTP), and cost of illness (COI). For example, Lu et al. [28] used VSL to calculate the adverse health effects and economic losses caused by pollutants based on the concentration data of particulate matter (PM10 and PM2.5) retrieved with satellites from 2004 to 2013. Qin et al. [29] used the cost of illness method to calculate the economic losses caused by PM in Wuhan, China.
Additionally, at present, the development of air quality assessment model systems is based on geographic information systems. The Environmental Benefits Mapping and Analysis Program (BenMAP) model is regarded as an effective tool for evaluating the health effects of one or more air pollutants [30,31]. The advantage of the BenMAP model is that it can take two pollutants as research objects and comprehensively evaluate the health impacts and corresponding economic losses on the exposed population, baseline incidence or mortality of diseases, health impact function, and value estimation model [32,33]. With scientific and comprehensive characteristics, this model has become a more advanced air pollution health assessment model in the world [34,35,36]. For example, Liang et al. [37] used BenMAP, an environmental benefit evaluation model developed by the US Environmental Protection Agency, to calculate avoidable all-cause mortality by rolling back the maximum 8 h daily average concentration of ozone to different values and used the WTP method to calculate the economic benefits brought about by controlling ozone concentration. Therefore, this study adopted BenMAP, an environmental benefit evaluation model developed by the US Environmental Protection Agency, to conduct a health impact assessment.
Overall, the existing research has made notable progress, but there is still much room for improvement. First, existing studies have focused on the impact of air pollutants on economic benefits, and there is less research on how they affect our health. Second, most existing studies focused on PM2.5 or O3, but collaborative investigations of these two closely related pollutants are lacking. Finally, most studies of PM2.5 and O3 focused on a national scale or single city, lacking the targeted research of key areas. To fill the gaps in existing research, this study uses the BenMAP model to evaluate the effects of PM2.5 and O3 on residents’ health in BTH according to the health impact function, further monetising and quantitatively estimating the long- and short-term health effects using the WTP method and cost of illness method, respectively, while also calculating the healthcare costs of residents caused by the pollution of the two pollutants. The calculated results intuitively demonstrate the economic impacts of PM2.5 and O3 pollution and provide a basis for proposing policies for PM2.5 and O3.
2. Data and Methods
2.1. Data Sources
2.1.1. Monitoring Data of PM2.5 and O3
The concentration data of PM2.5 and O3 used in this study comprised historical monitoring data from air quality monitoring stations in the BTH region from 2018 to 2021. There are 97 state-controlled monitoring stations with all available data in the BTH region, including 18 in Beijing; 21 in Tianjin; 12 in Shijiazhuang; 7 in Baoding; 6 in Handan; 5 in Zhangjiakou, Chengde, and Tangshan; 4 in Qinhuangdao, Cangzhou, and Xingtai; and 3 in Langfang and Hengshui. A distribution map of the air quality monitoring stations in the BTH region is shown in Figure 1.
Figure 1.
Distribution of air quality monitoring stations in Beijing–Tianjin–Hebei.
According to the concentration data of PM2.5 and O3 monitored by 97 state-controlled air quality monitoring stations in the Beijing–Tianjin–Hebei region from 2018 to 2021, we plotted a 2018–2021 distribution of PM2.5 and O3 concentrations in Beijing–Tianjin–Hebei based on BenMAP, respectively, as shown in Figure 2 and Figure 3.
Figure 2.
Distribution of PM2.5 concentration in Beijing–Tianjin–Hebei in 2018–2021.
Figure 3.
Distribution of O3 concentration in Beijing–Tianjin–Hebei in 2018–2021.
2.1.2. Population Data
The permanent residents living in the BTH region belong to the exposed population. Because of the large population flow in the BTH region, the permanent population can represent the resident population more effectively than the registered population. Therefore, the permanent residents living in the BTH region were taken as the exposed population. The data were obtained from the statistical yearbooks of Beijing, Tianjin, and Hebei from 2018 to 2021 [38,39,40].
2.1.3. Health Effect Terminal
This study selected the health impact terminal based on an epidemiological study on the relationship between PM2.5, O3, and health in China. The selection criteria were as follows: only health impacts related to PM2.5 and O3 that were reported in China were selected. The relationship between pollutant concentration and health impacts can be quantitatively expressed using the exposure–response coefficient. Morbidity or mortality data for health terminals impacts can be obtained from relevant statistical yearbooks or reports in China.
2.1.4. Baseline Mortality and Morbidity Data
The relevant data came from the China Health Statistics Yearbook from 2019 to 2022 [41]. Because the corresponding mortality and morbidity data are not given for the prefecture-level cities in Hebei Province, the health impact data of 11 prefecture-level cities in Hebei Province were replaced by the data of Hebei Province.
2.1.5. Baseline Concentrations of PM2.5 and O3
The baseline concentration of pollutants refers to the minimum concentration of a pollutant that poses a threat to the health of residents. The baseline concentration of pollutants has an impact on the measurement results of the health impact and is an important variable in the health impact assessment model. In this study, the primary concentration (35 μg/m3) in China’s Ambient Air Quality Standard (GB3095-2012) [42] and primary concentration (100 μg/m3) of O3_8 h were used as the baseline thresholds for PM2.5 and O3, respectively.
2.1.6. Exposure Reaction Coefficient
The exposure–response coefficient (β), which can be gained from the studies on epidemiology in China, is a key factor in health impact assessment and reveals the quantitative relationship between the change in pollutant concentration and terminal morbidity or mortality of population health [43,44]. Considering the differences in race, sex, incidence rate, and other parameters of the target population in domestic and foreign research, this paper used the Meta method to carry out statistical analysis on the results of domestic epidemiological studies when determining the β value. In addition, this paper selected the exposure–response coefficient according to the following principles: ① select the literature published from 2015 to 2022 with BTH as the research object, followed by the literature in North China and areas with a similar pollution status to the BTH region; ② select research results under the single pollution model; ③ determine the average morbidity or mortality and 95% confidence interval (or standard error) of health impact terminals. We selected 29 articles using the CNki, WanFang Data, Web of Science, PubMed, and other platforms. The selected literature covered a wide range of fields, and the publication dates of the studies were close to 2018 [45,46,47,48,49]. See Table 1 and Table 2 for details.
Table 1.
Exposure–response coefficient of long-term health impact terminal.
Table 2.
Exposure–response coefficient of short-term health impact terminal.
2.2. Research Method
2.2.1. Construction of Health Impact Assessment Model
To quantitatively characterise the impact of pollutants on human health, this study estimated the number of premature deaths and morbidity caused by PM2.5 and O3 pollution by constructing a health impact function including the exposure–response coefficient. The exposure–response coefficient is derived from cohort studies in epidemiology, revealing the impact of long-term exposure on human health. A standard health impact function should contain the following four components: excessive concentration of pollutants, population exposure level, baseline incidence of health terminal, and exposure–response coefficient. The linear logarithmic health impact function constructed in this study is as follows:
In Formula (1), ΔPop refers to the health impact caused by an excessive concentration of pollutants (person) (increase in the number of patients or deaths), β represents the exposure–response coefficient, ΔQ refers to the excessive concentration of air pollutants, incidence represents the baseline incidence of each health terminal (i.e., mortality and morbidity), and Pop refers to the exposure level of the population (person) (i.e., the number of permanent residents in the BTH region at the end of the year, in this paper).
2.2.2. Long-Term Healthcare Cost Calculation Model
This study used the value of a statistical life (VSL) method to estimate the healthcare costs of death terminals caused by pollutant exposure. VSL stands for economic value, and it is calculated in investigations and studies to evaluate individuals’ willingness to pay (WTP) for reducing the risk of mortality [50]. It is mainly determined by gross national product and consumer price index, and it increases with an increase in residents’ income. The health benefit of total deaths in year i was calculated using Equations (2) and (3).
where Ei represents the healthcare cost of all health terminals in i year, Ed,i is the healthcare cost of a health terminal in year i, ΔPopd,i is the influence of pollutant concentration change on the health terminal population in year i, and ed,i is the unit economic loss of the health terminal in year i, that is, the VSL value corresponding to each health terminal.
This study first estimated the statistical life value of Beijing residents in the target year according to Beijing’s GDP and CPI from 2018 to 2021, and the calculation formula used is outlined in Equation (4).
where VSLbj,i is the VSL value (CNY 10,000) of Beijing in year i, VSLbj,k is the VSL value of Beijing residents in year K, %ΔP and %ΔG are the growth rate of CPI and GDP in Beijing from year K to i, respectively, and α is the income elasticity coefficient. This paper took α as 0.8. Owing to the different economic levels and residents’ ideas in Tianjin and Hebei, the VSL of residents differed by location. Therefore, this study calculated the VSL values of residents in other cities in the BTH region using the benefit conversion method. The basic calculation formula used is outlined in Equation (5).
where VSLn,i is the VSL value (CNY 10,000) of BTH city n in year i, VSLbj,i is the VSL value of Beijing in year i, In,i is the per capita disposable income of BTH city n in year i, Ibj,i is the per capita disposable income of Beijing, and e is income elasticity (generally taking e value as 1). Table 3 lists the calculated VSL values for the BTH region in each year.
Table 3.
VSL value of BTH from 2018 to 2021 (CNY 10,000).
2.2.3. Short-Term Healthcare Cost Calculation Model
The disease cost method is often used to estimate the additional cost of treating chronic diseases caused by excessive pollutant concentrations. This study used this method to estimate two health terminals, inpatient and outpatient, and the calculation formula is as follows:
where Ci,k is the hospitalisation or outpatient cost of health terminal k in year i, Cpi,k is the unit hospitalisation or outpatient cost of health terminal k in year i, GDPpi is the daily average of per capita GDP in year i, Tpi,k is the lost time d caused by the hospitalisation of health terminal k in year I, and the lost time caused by outpatient services was calculated as 0.5 d. ΔPopi,k is the influence of pollutant concentration changes on health impact terminal K in year i.
Because the relevant statistics do not distinguish the outpatient expenses of different diseases in detail and because single outpatient expenses are relatively small, this study did not distinguish them. This study considered the annual per capita outpatient expenses of Beijing, Tianjin, and Hebei in the China Health Statistics Yearbook from 2019 to 2022 as the outpatient expenses for respiratory and cardiovascular diseases (Table 4).
Table 4.
Average outpatient expenses and sick expenses in the BTH region from 2018 to 2021.
This study referred to previous estimation methods [51] to obtain hospitalisation expenses and lengths of stays. The average hospitalisation expenses and hospitalisation days for respiratory system diseases were replaced with the average medical expenses and average hospitalisation days for the main respiratory system diseases, such as bronchitis, pulmonary tuberculosis, and pulmonary heart disease. Similarly, the average hospitalisation expenses and days of cardiovascular system diseases were replaced with the average hospitalisation expenses and days of major cardiovascular diseases, such as congestive heart failure and myocardial infarction (Table 5).
Table 5.
Hospitalization expenses and days in BTH from 2018 to 2021.
According to the results of the fifth and sixth National Health Service Surveys, the average indirect outpatient expenses account for 5% of the per capita outpatient medical expenses, and the average indirect hospitalisation expenses account for 7% of the average hospitalisation expenses. Therefore, the unit outpatient expenses were 1.05 times the per capita outpatient medical expenses, and the unit hospitalization expenses were 1.07 times the per capita hospitalization medical expenses.
3. Results and Discussion
3.1. Analysis of Health Impact Assessment Results in BTH
3.1.1. Health Effects of PM2.5
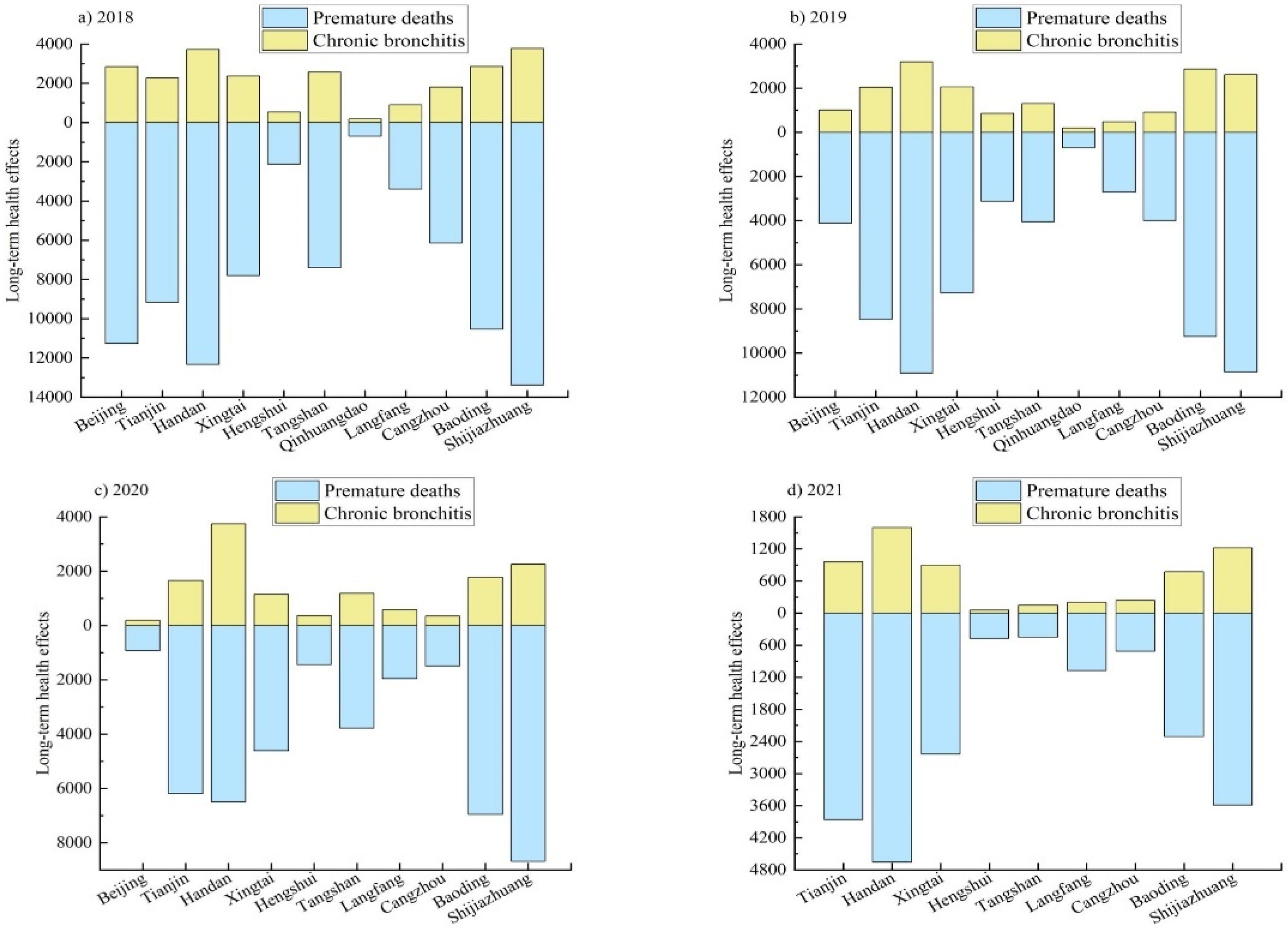
Figure 4 shows the long-term health effects of PM2.5 in BTH from 2018 to 2021. Shijiazhuang, Handan, Baoding, and Tianjin were the areas most affected by long-term exposure. In 2018, the number of people affected by long-term PM2.5 exposure was 108,100. With the continuous reduction in the PM2.5 concentration in 2019–2021, the number of people affected by negative long-term health effects in BTH decreased by 23.2%, 32.8%, and 53.6%, respectively, and the decline rate increased annually. The areas with the greatest decline in long-term health effects were Tangshan, Beijing, and Cangzhou. Based on the proportion of long-term health effects, the proportion of the two kinds of effects in each year was basically the same: patients with chronic bronchitis accounted for approximately 80%, and those who died prematurely accounted for 20%. Therefore, the long-term impact of PM2.5 on human health is mainly reflected in the onset of chronic bronchitis.
Figure 4.
Long-term health effects of PM2.5 in BTH from 2018 to 2021.
Table A1 shows the short-term health effects of PM2.5 in BTH from 2018 to 2021. The number of people affected by short-term health effects was greater than that affected by long-term health effects. In 2018, the number of people with short-term exposure in the BTH region was 3,564,100, which continually decreased from 2019 to 2021, with decreasing rates of 10.51%, 45.38%, and 54.06%, respectively. Short-term effects began to decline rapidly in 2020, which was related to a significant reduction in pollutant concentrations in 2020. From the perspective of the proportion of short-term health impacts, the number of outpatients was accounted for the most at approximately 93.2%, while hospitalisation accounted for 4.6% (hospitalisation mainly caused by respiratory system diseases) and asthma for 2.2%. From the perspective of cities, the areas most affected by long- and short-term exposure were Shijiazhuang, Handan, Beijing, and Baodin.
3.1.2. Health Effects of O3
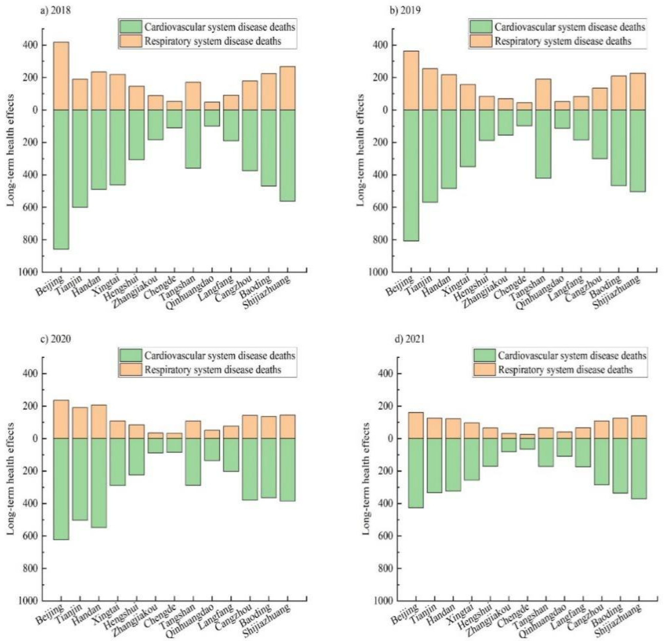
Figure 5 presents the long-term health effects of O3 in the BTH region from 2018 to 2021. The total number of regional deaths caused by O3 decreased annually, and the number of people affected by long-term health effects in 2018–2021 was 7391, 6717, 5673, and 4282, respectively. Among these, the death toll from cardiovascular disease accounted for approximately 68% of the long-term impact, which is the health impact most affected by ozone exposure, and excessive O3 concentrations increased the death rates correlated with cardiovascular diseases. From the perspective of cities, the cities most affected by long-term health effects were Beijing, Tianjin, Shijiazhuang, and Baoding, and their health effects accounted for more than 48% of the total health effects in BTH.
Figure 5.
Long-term health effects of O3 in BTH from 2018 to 2021.
Table A2 presents the short-term health effects of O3 in BTH from 2018 to 2021. The short-term health effect of O3 exposure decreased from 5,405,800 in 2018 to 3,225,300 in 2021, which is a decrease of 40.34%, reflecting the achievements of the BTH region in the treatment of O3. However, the short-term health effects of O3 exhibited an unbalanced distribution. Beijing, Tianjin, Shijiazhuang, and Handan were the most affected by short-term ozone exposure, and the health effects here accounted for approximately 50% of the total health effects in BTH. In contrast to the long-term health effects, among the short-term health effects of O3, respiratory system health terminals (including inpatient and outpatient services for respiratory system diseases) were the most affected, accounting for approximately 95% of the total short-term health effects. Therefore, in the short term, O3 mainly causes respiratory system diseases by acting on the human respiratory tract; oppositely, in the long term, O3 reacts with cells and tissues to affect the cardiovascular system.
3.2. Calculation of Healthcare Costs in BTH
3.2.1. Long-Term Healthcare Cost Calculation
- (1)
- Long-term Healthcare Costs of PM2.5
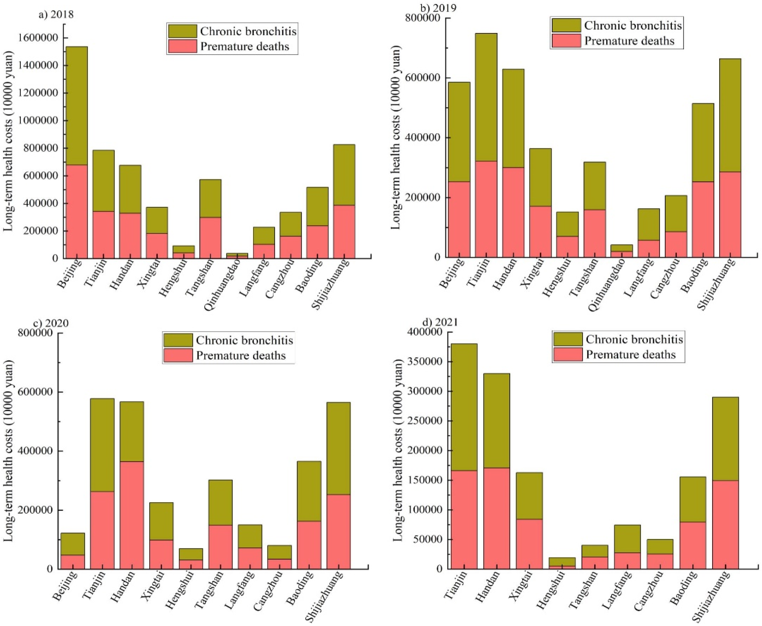
This study used the VSL value of BTH to estimate the economic impact of death. For chronic bronchitis, treatment is slow and affects people’s quality of life and spirit; therefore, it is difficult to estimate its healthcare cost through medical expenses such as hospitalisation and outpatient services. Referring to the recommendation of the World Bank [52], this study assumed that residents’ willingness to pay to avoid chronic bronchitis was equivalent to 32% of the local VSL. Figure 6 shows the long-term healthcare costs of PM2.5 exposure in BTH from 2018 to 2021.
Figure 6.
Long-term healthcare costs of PM2.5 exposure in 2018–2021 (CNY 10,000).
The healthcare cost attributed to long-term PM2.5 pollution in BTH showed a downward trend from 2018 to 2021. Regional healthcare costs decreased from CNY 59.775 billion in 2018 to CNY 15.023 billion in 2021 and as a proportion of GDP from 0.76% to 0.16%, which is a decrease of 79.3%. With the annual increase in VSL, healthcare costs continue to decrease; owing to the effective control of PM2.5, the number of patients who die prematurely and suffered from chronic bronchitis has decreased. The cities where the decline in healthcare costs is lower than the regional average decline are Tianjin, Handan, Xingtai, Langfang, Baoding, and Shijiazhuang, which are heavily polluted areas; therefore, they are the key areas for PM2.5 pollution control in the BTH region.
- (2)
- Long-term Healthcare Costs of O3
Figure 7 shows the long-term healthcare costs associated with O3 exposure in the BTH region from 2018 to 2021. According to the estimation results, regional healthcare costs decreased from CNY 9.064 billion in 2018 to CNY 5.975 billion in 2021, which is a decrease of 45.85%, being slightly lower than that of PM2.5. From the perspective of cities, Beijing, Xingtai, Hengshui, Zhangjiakou, and Tangshan fell below the regional average. Except for Xingtai, the healthcare costs of other heavily polluted cities decreased gradually. Among the deaths caused by the long-term exposure to O3, the healthcare costs of death from cardiovascular diseases were higher because the number of deaths from cardiovascular diseases was higher than that from respiratory diseases. Therefore, in the long term, O3 exposure is harmful to the human cardiovascular system and results in higher healthcare costs.
Figure 7.
Long-term healthcare costs of O3 exposure from 2018 to 2021 (CNY 10,000).
3.2.2. Short-Term Healthcare Cost Calculation
- (1)
- Short-term Healthcare Costs of PM2.5
Table A3 shows the short-term healthcare costs of PM2.5 exposure from 2018 to 2021. Short-term healthcare costs decreased from CNY 4.472 billion in 2018 to CNY 1.072 billion in 2021 and as a proportion of GDP from 0.06% to 0.01%, which is a decrease of 80%. Cities with a lower-than-average decline and more serious pollution were Handan, Xingtai, and Shijiazhuang, which were similar to those that were below the average regarding the short-term exposure healthcare costs of PM2.5. In terms of the composition of healthcare costs, the healthcare costs caused by respiratory system diseases accounted for approximately 75% of the total short-term healthcare costs, which was three times greater than the hospitalisation and outpatient expenses for cardiovascular diseases. Therefore, for long- and short-term health effects, PM2.5 pollution is more harmful to the human respiratory system, and its healthcare costs mainly come from the loss of life value and the treatment expenses of related diseases caused by deaths due to respiratory system diseases.
- (2)
- Short-term Healthcare Costs of O3
Table A4 shows the short-term healthcare costs associated with O3 exposure in the BTH region from 2018 to 2021. According to the estimation results, the short-term healthcare costs of O3 exposure were low and their proportion of the regional GDP was less than 0.05%. In contrast to long-term exposure, short-term exposure to O3 is harmful to the human respiratory system. O3 enters the human respiratory tract through breathing and reacts with the respiratory epithelium and surface liquid in a short time, causing respiratory system diseases, which in turn leads to an increase in the number of respiratory system outpatients.
3.2.3. Total Healthcare Costs of PM2.5 and O3 in BTH
By summing up the long-term and short-term healthcare costs of PM2.5 and O3 in the BTH region, we obtained the healthcare costs of the two pollutants from 2018 to 2021, as shown in Table 6.
Table 6.
Healthcare costs in BTH from 2018 to 2021 (CNY 100 million).
As shown in Table 6, the healthcare cost caused by PM2.5 in the BTH region decreased annually from CNY 64.246 billion in 2018 to CNY 16.095 billion in 2021, which is a decrease of 74.9%. The healthcare costs of O3 also decreased annually. In 2018–2021, the healthcare costs regarding ozone exposure decreased by only 33.3%, which is far lower than the healthcare costs of PM2.5. This is because the BTH region is mainly polluted by PM2.5, and the number of people affected by the long-term health effects of PM2.5 is higher. On the other hand, the number of people affected by the short-term health effects of O3 is higher, but the long-term healthcare costs are much higher than the short-term healthcare costs. In turn, PM2.5 healthcare costs in the BTH region are mainly caused by PM2.5 pollution, which are approximately 3.5 times greater than the healthcare costs caused by O3 pollution. Meanwhile, regarding the control of PM2.5 pollution, it is necessary to continue strengthening O3 pollution control. It is worth noting that the total healthcare costs caused by PM2.5 and O3 pollution in the BTH have shown a downward trend from 2018 to 2021. Regional healthcare costs decreased from CNY 77.085 billion in 2018 to CNY 24.652 billion in 2021, and as a proportion of the GDP from 0.98% to 0.26%. The BTH region has achieved remarkable results in the pollution control of PM2.5 and O3. To intuitively understand the changes in PM2.5 and O3 healthcare costs in the BTH region, a spatial distribution map of healthcare costs in the BTH region was drawn, as shown in Figure 8.
Figure 8.
Healthcare costs in the BTH region from 2018 to 2021 (CNY 100 million).
From the regional distribution of total healthcare costs, the central and southern parts of the BTH region (Beijing, Tianjin, Baoding, Shijiazhuang, Xingtai, and Handan) have the highest healthcare costs, whereas the northern parts (Zhangjiakou, Chengde, and Qinhuangdao) have the lowest healthcare costs. Beijing was the city with the highest healthcare costs in 2018–2019, mainly due to the high costs of medical treatment and VSL. In 2020–2021, the healthcare costs in Beijing dropped sharply because of the obvious effect of pollutant control, the concentrations of PM2.5 and O3 decreased, and the number of people affected by negative health effects decreased.
4. Conclusions and Policy Implications
Based on the domestic epidemiological research results, this study used BenMAP as the core method to assess the healthcare costs of residents caused by PM2.5 and O3 pollution in the BTH region from 2018 to 2021. The main conclusions are as follows:
- (1)
- From the results of the health impact assessment, the long-term exposure to PM2.5 in the BTH region led to an increase in the incidence of chronic bronchitis, while short-term exposure mainly affected the respiratory system. Moreover, O3 can easily cause people to suffer from respiratory diseases in the short term. However, looking at the results, O3 exposure led to higher mortality rates from cardiovascular diseases in the long term.
- (2)
- The calculation results of the healthcare costs showed that the healthcare costs caused by PM2.5 and O3 in the BTH region were CNY 77.1 billion in 2018, accounting for about 1% of the regional GDP in that year. With the improvement in pollution control, this proportion decreased annually and was 0.7%, 0.5%, and 0.3% in 2019–2021, respectively.
- (3)
- According to the types of pollutants, the healthcare costs caused by PM2.5 and O3 decreased each year. The healthcare costs of PM2.5 decreased from CNY 64.25 billion to CNY 16.1 billion, which is a decrease of 75%. The healthcare costs caused by O3 decreased from CNY 59 billion to CNY 24.7 billion, which is a decrease of 58%, being slightly lower than that of PM2.5.
Based on the above research conclusions and the governance status of the BTH region, this study proposes the following policy suggestions:
- (1)
- The fundamental solution to lower the healthcare costs of PM2.5 and O3 is to control them, including collaborative governance among three regional governments at the horizontal level; multi-party collaborative governance with joint participation of government, enterprises, and the public at the vertical level; and by basing the latter on the former. In addition, the ecological compensation mechanism should be further improved. Owing to its geographical proximity and the same atmospheric environment, BTH formed a cross-polluted area of PM2.5 and O3. To control the cross-border pollution of PM2.5 and O3, an ecological compensation mechanism should be established in which the Hebei Province would receive compensation, and Beijing and Tianjin should be the compensation parties. Beijing and Tianjin assisted Hebei through capital and technology for cleaner production, technological transformation, energy conservation, and consumption reduction to reduce the concentrations of PM2.5 and O3, seek out pollution sources, and prevent and control them from their root causes.
- (2)
- Improve ozone control measures. The BTH region should make full use of the regional advantages around the capital, make use of the rich scientific research resources in the region to carry out new technological research and development, establish a pollution source emission list, and optimise the statistical calculation method of precursor emissions. At the same time, it is necessary to further promote the application and popularization of new energy vehicles to reduce the emissions of PM2.5 and O3 in the transportation sector.
- (3)
- Improve pollution control laws and regulations. The Chinese municipal government should further improve the laws and regulations on ecological compensation in the BTH region to ensure smooth policy implementation. In the legislative process, the government should establish the relevant subjects for collaborative legislation. The local subject was the forerunner, the central subjects comprised overall planning and the governor, and the public were the subject of feedback evaluation.
This study evaluated the health effects of PM2.5 and O3 in the BTH region and quantified the health losses related to PM2.5 and O3, which are practically significant with regard to contributing to the atmospheric governance and health protection in the BTH region in China, and even the whole country. However, this study also has its limitations. First, when estimating the health effects of PM2.5 and O3, the same exposure–response coefficient was used for the same health terminal in the BTH region. However, due to the various reasons for the generation of various pollutants, the sensitivity of residents to pollutants was also different, so the coefficient likely varied from city to city. Therefore, determining how to develop an exposure–response coefficient that conforms to the local characteristics more accurately is an aim that needs to be focused on in future research. Secondly, due to the COVID-19 pandemic, the data in this paper that were related to inpatient and outpatient costs and days of hospitalization in 2020 and 2021 may be inflated in comparison to pandemic-free conditions. Establishing how to eliminate the effects of the COVID-19 pandemic will be our future research direction.
Author Contributions
Conceptualization, Y.H.; methodology, Y.H., Z.Z. and X.Q.; software, Z.Z. and M.W.; validation, K.C. and Y.H.; formal analysis, K.C. and Y.H.; investigation, J.Y. and M.W.; resources, X.Q.; data curation, J.Y.; writing—original draft preparation, Y.H. and J.Y.; writing—review and editing, K.C. and M.W.; visualization, J.Y.; supervision, X.Q.; funding acquisition, Y.H. All authors have read and agreed to the published version of the manuscript.
Funding
This research was funded by the Basic Research Funds of China University of Mining and Technology (Beijing)-Fund for the Cultivation of Top-notch Innovative Talents for Doctoral Graduates (No. BBJ2023046).
Data Availability Statement
Data are available from the authors upon request.
Conflicts of Interest
Author Zhujun Zhu was employed by the company Shanxi Gemeng US-China Clean Energy R&D Center Co., Ltd. The remaining authors declare that the research was conducted in the absence of any commercial or financial relationships that could be construed as a potential conflict of interest.
Appendix A
Table A1.
Short-term health effects of PM2.5 in the BTH region from 2018 to 2021.
Table A1.
Short-term health effects of PM2.5 in the BTH region from 2018 to 2021.
| City | 2018 | Total | 2019 | Total | ||||||
|---|---|---|---|---|---|---|---|---|---|---|
| Asthma | Respiratory Diseases Hospitalizations | Cardiovascular Disease Hospitalizations | Outpatient Services | Asthma | Respiratory Diseases Hospitalizations | Cardiovascular Disease Hospitalizations | Outpatient Services | |||
| Beijing | 10,470 | 18,119 | 3318 | 430,382 | 462,289 | 3801 | 6548 | 1187 | 153,914 | 165,450 |
| Tianjin | 8555 | 14,832 | 2728 | 353,907 | 380,021 | 7895 | 13,680 | 2512 | 353,907 | 377,994 |
| Handan | 11,694 | 20,461 | 3839 | 498,840 | 534,834 | 10,298 | 17,979 | 3356 | 498,840 | 530,473 |
| Xingtai | 7349 | 12,815 | 2386 | 309,829 | 332,379 | 6846 | 11,925 | 2215 | 309,829 | 330,815 |
| Hengshui | 1967 | 3402 | 622 | 80,690 | 86,682 | 2918 | 5063 | 932 | 80,690 | 89,603 |
| Zhangjiakou | - | - | - | - | - | - | - | - | - | - |
| Chengde | - | - | - | - | - | - | - | - | - | - |
| Tangshan | 6957 | 12,109 | 2245 | 291,540 | 312,852 | 3767 | 6518 | 1193 | 291,540 | 303,017 |
| Qinhuangdao | 641 | 1104 | 200 | 25,980 | 27,925 | 646 | 1114 | 202 | 25,980 | 27,943 |
| Langfang | 3173 | 5505 | 1013 | 131,513 | 141,204 | 2516 | 4356 | 798 | 131,513 | 139,184 |
| Cangzhou | 5753 | 9996 | 1846 | 239,662 | 257,258 | 3724 | 6445 | 1180 | 239,662 | 251,011 |
| Baoding | 9949 | 17,364 | 3240 | 420,835 | 451,388 | 8675 | 15,085 | 2792 | 420,835 | 447,387 |
| Shijiazhuang | 12,666 | 22,138 | 4143 | 538,329 | 577,276 | 10,212 | 17,788 | 3304 | 538,329 | 569,633 |
| total | 79,174 | 137,846 | 25,581 | 3,321,507 | 3,564,107 | 61,300 | 102,554 | 18,966 | 3,006,793 | 3,189,614 |
| City | 2020 | Total | 2021 | Total | ||||||
| Asthma | Respiratory diseases hospitalizations | Cardiovascular disease hospitalizations | Outpatient services | Asthma | Respiratory diseases hospitalizations | Cardiovascular disease hospitalizations | Outpatient services | |||
| Beijing | 854 | 1468 | 265 | 34,359 | 36,946 | - | - | - | - | - |
| Tianjin | 5747 | 9934 | 1815 | 235,396 | 252,892 | 3567 | 6153 | 1119 | 145,047 | 155,886 |
| Handan | 6062 | 10,514 | 1935 | 251,099 | 269,610 | 4324 | 7480 | 1369 | 177,537 | 190,710 |
| Xingtai | 4298 | 7451 | 1370 | 177,705 | 190,824 | 2442 | 4218 | 769 | 99,710 | 107,140 |
| Hengshui | 1333 | 2302 | 419 | 54,361 | 58,415 | 435 | 750 | 136 | 17,578 | 18,899 |
| Zhangjiakou | - | - | - | - | - | - | - | - | - | - |
| Chengde | - | - | - | - | - | - | - | - | - | - |
| Tangshan | 3513 | 6076 | 1112 | 144,174 | 154,874 | 411 | 707 | 128 | 16,554 | 17,800 |
| Qinhuangdao | - | - | - | - | - | - | - | - | - | - |
| Langfang | 1812 | 3128 | 570 | 73,918 | 79,429 | 993 | 1710 | 310 | 40,205 | 43,217 |
| Cangzhou | 1379 | 2376 | 431 | 55,871 | 60,056 | 658 | 1132 | 205 | 26,529 | 28,523 |
| Baoding | 6484 | 11,233 | 2062 | 267,503 | 287,282 | 2130 | 3672 | 667 | 86,481 | 92,949 |
| Shijiazhuang | 8125 | 14,108 | 2603 | 337,847 | 362,683 | 3320 | 5730 | 1043 | 135,247 | 145,341 |
| total | 39,606 | 68,591 | 12,582 | 1,621,501 | 1,742,280 | 18,280 | 31,552 | 5745 | 744,889 | 800,466 |
Note: the concentrations of pollutants in cities without data in the table are lower than the first-class standard, and it is considered that the pollutants have no health effects on residents, that is, the number of people with adverse health effects is 0, and there are no healthcare costs (the same is applicable to the tables below).
Table A2.
Short-term health effects of O3 in the BTH region from 2018 to 2021.
Table A2.
Short-term health effects of O3 in the BTH region from 2018 to 2021.
| City | 2018 | Total | 2019 | Total | ||||
|---|---|---|---|---|---|---|---|---|
| Respiratory System Hospitalizations | Cardiovascular System Hospitalizations | Respiratory System Outpatients | Respiratory System Hospitalizations | Cardiovascular System Hospitalizations | Respiratory System Outpatients | |||
| Beijing | 18,066 | 3958 | 892,623 | 914,648 | 16,758 | 3670 | 827,596 | 848,024 |
| Tianjin | 12,651 | 2773 | 625,409 | 640,834 | 11,782 | 2581 | 582,180 | 596,544 |
| Handan | 10,301 | 2260 | 509,819 | 522,381 | 10,035 | 2201 | 496,514 | 508,750 |
| Xingtai | 9690 | 2129 | 480,314 | 492,133 | 7261 | 1592 | 359,120 | 367,973 |
| Hengshui | 6450 | 1419 | 320,002 | 327,871 | 3895 | 853 | 192,475 | 197,223 |
| Zhangjiakou | 3885 | 851 | 191,989 | 196,725 | 3217 | 704 | 158,843 | 162,764 |
| Chengde | 2351 | 514 | 115,994 | 118,859 | 2033 | 445 | 100,276 | 102,754 |
| Tangshan | 7546 | 1654 | 373,137 | 382,337 | 8725 | 1915 | 431,839 | 442,478 |
| Qinhuangdao | 2118 | 464 | 104,555 | 107,137 | 2347 | 514 | 115,867 | 118,727 |
| Langfang | 4034 | 884 | 199,315 | 204,233 | 3838 | 841 | 189,568 | 194,247 |
| Cangzhou | 7882 | 1729 | 389,966 | 399,577 | 6242 | 1367 | 308,383 | 315,993 |
| Baoding | 9862 | 2164 | 487,968 | 499,994 | 9685 | 2123 | 478,749 | 490,557 |
| Shijiazhuang | 11,814 | 2592 | 584,659 | 599,065 | 10,445 | 2290 | 516,476 | 529,211 |
| total | 106,649 | 23,392 | 5,275,751 | 5,405,792 | 96,263 | 21,097 | 4,757,884 | 4,875,244 |
| City | 2020 | Total | 2021 | Total | ||||
| Respiratory system hospitalizations | Cardiovascular system hospitalizations | Respiratory system outpatients | Respiratory system hospitalizations | Cardiovascular system hospitalizations | Respiratory system outpatients | |||
| Beijing | 12,789 | 2797 | 630,807 | 646,393 | 8752 | 1912 | 431,119 | 441,782 |
| Tianjin | 10,324 | 2260 | 509,749 | 522,333 | 6859 | 1499 | 338,109 | 346,467 |
| Handan | 11,206 | 2461 | 555,033 | 568,701 | 6637 | 1453 | 327,643 | 335,733 |
| Xingtai | 5932 | 1300 | 293,078 | 300,310 | 5238 | 1147 | 258,626 | 265,010 |
| Hengshui | 4599 | 1009 | 227,616 | 233,224 | 3529 | 773 | 174,361 | 178,663 |
| Zhangjiakou | 1828 | 399 | 90,068 | 92,295 | 1677 | 366 | 82,594 | 84,637 |
| Chengde | 1774 | 388 | 87,445 | 89,606 | 1362 | 298 | 67,116 | 68,776 |
| Tangshan | 5893 | 1290 | 291,014 | 298,197 | 3544 | 775 | 174,663 | 178,982 |
| Qinhuangdao | 2788 | 611 | 137,779 | 141,178 | 2248 | 492 | 110,974 | 113,714 |
| Langfang | 4154 | 910 | 205,150 | 210,214 | 3592 | 786 | 177,266 | 181,645 |
| Cangzhou | 7776 | 1706 | 384,776 | 394,257 | 5853 | 1282 | 289,140 | 296,275 |
| Baoding | 7474 | 1635 | 368,784 | 377,893 | 6882 | 1507 | 339,822 | 348,211 |
| Shijiazhuang | 7869 | 1722 | 388,445 | 398,037 | 7621 | 1668 | 376,127 | 385,415 |
| total | 84,405 | 18,489 | 4,169,743 | 4,272,637 | 63,794 | 13,957 | 3,147,559 | 3,225,310 |
Table A3.
Short-term healthcare costs of PM2.5 exposure in 2018–2021 (CNY 100 million).
Table A3.
Short-term healthcare costs of PM2.5 exposure in 2018–2021 (CNY 100 million).
| Year | City | Asthma | Respiratory Disease Hospitalizations | Cardiovascular Disease Hospitalizations | Respiratory Outpatient Services | Cardiovascular Outpatient Services | Total | Proportion of GDP (%) |
|---|---|---|---|---|---|---|---|---|
| 2018 | Beijing | 1.612 | 2.359 | 0.707 | 1.825 | 1.540 | 8.043 | 0.024 |
| Tianjin | 1.317 | 1.791 | 0.560 | 1.001 | 0.845 | 5.514 | 0.041 | |
| Handan | 1.800 | 1.915 | 0.707 | 0.807 | 0.618 | 5.947 | 0.182 | |
| Xingtai | 1.132 | 1.193 | 0.435 | 0.483 | 0.408 | 3.650 | 0.187 | |
| Hengshui | 0.303 | 0.321 | 0.114 | 0.129 | 0.108 | 0.975 | 0.071 | |
| Zhangjiakou | - | - | - | - | - | - | - | |
| Chengde | - | - | - | - | - | - | - | |
| Tangshan | 1.071 | 1.315 | 0.438 | 0.570 | 0.481 | 3.875 | 0.062 | |
| Qinhuangdao | 0.099 | 0.110 | 0.038 | 0.045 | 0.038 | 0.328 | 0.022 | |
| Langfang | 0.489 | 0.571 | 0.194 | 0.241 | 0.203 | 1.679 | 0.056 | |
| Cangzhou | 0.886 | 0.979 | 0.344 | 0.404 | 0.341 | 2.953 | 0.090 | |
| Baoding | 1.532 | 1.674 | 0.599 | 0.692 | 0.584 | 5.080 | 0.144 | |
| Shijiazhuang | 1.950 | 2.208 | 0.778 | 0.930 | 0.785 | 6.652 | 0.124 | |
| total | 12.190 | 14.472 | 4.914 | 7.126 | 6.013 | 44.715 | 0.057 | |
| 2019 | Beijing | 0.598 | 0.853 | 0.253 | 0.680 | 0.574 | 2.957 | 0.008 |
| Tianjin | 1.242 | 1.652 | 0.516 | 0.891 | 0.752 | 5.052 | 0.036 | |
| Handan | 1.620 | 1.715 | 0.618 | 0.755 | 0.637 | 5.345 | 0.153 | |
| Xingtai | 1.077 | 1.110 | 0.404 | 0.481 | 0.406 | 3.478 | 0.164 | |
| Hengshui | 0.459 | 0.478 | 0.171 | 0.207 | 0.175 | 1.489 | 0.009 | |
| Zhangjiakou | - | - | - | - | - | - | - | |
| Chengde | - | - | - | - | - | - | - | |
| Tangshan | 0.593 | 0.708 | 0.233 | 0.326 | 0.275 | 2.134 | 0.031 | |
| Qinhuangdao | 0.102 | 0.111 | 0.038 | 0.048 | 0.041 | 0.339 | 0.021 | |
| Langfang | 0.396 | 0.452 | 0.153 | 0.202 | 0.170 | 1.372 | 0.043 | |
| Cangzhou | 0.586 | 0.631 | 0.220 | 0.278 | 0.234 | 1.950 | 0.054 | |
| Baoding | 1.365 | 1.454 | 0.517 | 0.615 | 0.519 | 4.470 | 0.118 | |
| Shijiazhuang | 1.607 | 1.774 | 0.620 | 0.795 | 0.671 | 5.467 | 0.094 | |
| total | 9.645 | 10.936 | 3.742 | 5.278 | 4.453 | 34.055 | 0.040 | |
| 2020 | Beijing | 0.137 | 0.199 | 0.062 | 0.175 | 0.148 | 0.722 | 0.002 |
| Tianjin | 0.925 | 1.175 | 0.391 | 0.790 | 0.667 | 3.947 | 0.028 | |
| Handan | 0.976 | 1.059 | 0.382 | 0.468 | 0.410 | 3.313 | 0.091 | |
| Xingtai | 0.692 | 0.734 | 0.268 | 0.334 | 0.028 | 2.309 | 0.105 | |
| Hengshui | 0.215 | 0.231 | 0.083 | 0.105 | 0.088 | 0.721 | 0.046 | |
| Zhangjiakou | - | - | - | - | - | - | - | |
| Chengde | - | - | - | - | - | - | - | |
| Tangshan | 0.565 | 0.705 | 0.237 | 0.338 | 0.285 | 2.130 | 0.030 | |
| Qinhuangdao | 0.000 | 0.000 | 0.000 | - | - | - | - | |
| Langfang | 0.292 | 0.334 | 0.116 | 0.155 | 0.131 | 1.029 | 0.031 | |
| Cangzhou | 0.222 | 0.247 | 0.087 | 0.113 | 0.096 | 0.764 | 0.021 | |
| Baoding | 1.043 | 1.117 | 0.405 | 0.510 | 0.430 | 3.505 | 0.089 | |
| Shijiazhuang | 1.307 | 1.477 | 0.525 | 0.690 | 0.582 | 4.582 | 0.077 | |
| total | 6.374 | 7,278 | 2.554 | 3.698 | 3.119 | 23.022 | 0.027 | |
| 2021 | Beijing | - | - | - | - | - | - | - |
| Tianjin | 0.599 | 0.727 | 0.241 | 0.496 | 0.419 | 2.483 | 0.016 | |
| Handan | 0.727 | 0.753 | 0.270 | 0.355 | 0.299 | 2.404 | 0.058 | |
| Xingtai | 0.410 | 0.416 | 0.150 | 0.192 | 0.162 | 1.330 | 0.055 | |
| Hengshui | 0.073 | 0.075 | 0.027 | 0.035 | 0.029 | 0.239 | 0.014 | |
| Zhangjiakou | - | - | - | - | - | - | - | |
| Chengde | - | - | - | - | - | - | - | |
| Tangshan | 0.069 | 0.082 | 0.027 | 0.041 | 0.034 | 0.253 | 0.003 | |
| Qinhuangdao | - | - | - | - | - | - | - | |
| Langfang | 0.167 | 0.183 | 0.063 | 0.086 | 0.073 | 0.572 | 0.016 | |
| Cangzhou | 0.110 | 0.118 | 0.041 | 0.056 | 0.047 | 0.372 | 0.009 | |
| Baoding | 0.358 | 0.365 | 0.131 | 0.173 | 0.146 | 1.173 | 0.029 | |
| Shijiazhuang | 0.558 | 0.600 | 0.210 | 0.284 | 0.240 | 1.892 | 0.029 | |
| total | 3.071 | 3.319 | 1.161 | 1.717 | 1.449 | 10.717 | 0.011 |
Table A4.
Short-term healthcare costs of O3 exposure in 2018–2021 (CNY 100 million).
Table A4.
Short-term healthcare costs of O3 exposure in 2018–2021 (CNY 100 million).
| City | 2018 | Total | Proportion of GDP (%) | 2019 | Total | Proportion of GDP (%) | ||||
|---|---|---|---|---|---|---|---|---|---|---|
| Respiratory System Hospitalizations | Cardiovascular System Hospitalizations | Respiratory System Outpatient Services | Respiratory System Hospitalizations | Cardiovascular System Hospitalizations | Respiratory System Outpatient Services | |||||
| Beijing | 2.353 | 0.844 | 6.978 | 10.174 | 0.031 | 2.228 | 0.817 | 6.740 | 9.785 | 0.028 |
| Tianjin | 1.527 | 0.569 | 3.262 | 5.359 | 0.040 | 1.324 | 0.531 | 2.935 | 4.791 | 0.034 |
| Handan | 0.982 | 0.416 | 1.521 | 2.920 | 0.090 | 0.977 | 0.425 | 1.586 | 2.989 | 0.086 |
| Xingtai | 0.902 | 0.388 | 1.382 | 2.672 | 0.137 | 0.691 | 0.305 | 1.108 | 2.105 | 0.099 |
| Hengshui | 0.609 | 0.260 | 0.940 | 1.809 | 0.131 | 0.376 | 0.165 | 0.607 | 1.148 | 0.076 |
| Zhangjiakou | 0.368 | 0.156 | 0.568 | 1.092 | 0.076 | 0.312 | 0.136 | 0.504 | 0.952 | 0.061 |
| Chengde | 0.227 | 0.095 | 0.353 | 0.675 | 0.049 | 0.201 | 0.087 | 0.326 | 0.614 | 0.042 |
| Tangshan | 0.820 | 0.323 | 1.344 | 2.487 | 0.039 | 0.972 | 0.393 | 1.676 | 3.040 | 0.044 |
| Qinhuangdao | 0.211 | 0.087 | 0.332 | 0.629 | 0.042 | 0.238 | 0.101 | 0.394 | 0.733 | 0.045 |
| Langfang | 0.418 | 0.169 | 0.672 | 1.260 | 0.042 | 0.405 | 0.168 | 0.681 | 1.254 | 0.039 |
| Cangzhou | 0.772 | 0.322 | 1.211 | 2.305 | 0.071 | 0.627 | 0.268 | 1.032 | 1.927 | 0.054 |
| Baoding | 0.951 | 0.400 | 1.479 | 2.830 | 0.080 | 0.931 | 0.409 | 1.498 | 2.838 | 0.075 |
| Shijiazhuang | 1.178 | 0.487 | 1.863 | 3.528 | 0.066 | 1.065 | 0.452 | 1.765 | 3.282 | 0.056 |
| total | 11.318 | 4.517 | 21.905 | 37.740 | 0.048 | 10.347 | 4.258 | 20.852 | 35.457 | 0.042 |
| City | 2020 | Total | Proportion of GDP (%) | 2021 | Total | Proportion of GDP (%) | ||||
| Respiratory system hospitalizations | Cardiovascular system hospitalizations | Respiratory system outpatient services | Respiratory system hospitalizations | Cardiovascular system hospitalizations | Respiratory system outpatient services | |||||
| Beijing | 1.783 | 0.652 | 5.939 | 8.328 | 0.023 | 1.284 | 0.473 | 4.164 | 5.921 | 0.015 |
| Tianjin | 1.221 | 0.487 | 3.155 | 4.862 | 0.035 | 0.869 | 0.341 | 2.133 | 3.343 | 0.021 |
| Handan | 1.128 | 0.486 | 1.982 | 3597 | 0.099 | 0.709 | 0.301 | 1.206 | 2.216 | 0.054 |
| Xingtai | 0.584 | 0.254 | 1.016 | 1.854 | 0.084 | 0.545 | 0.234 | 0.918 | 1.697 | 0.070 |
| Hengshui | 0.461 | 0.199 | 0.808 | 1.467 | 0.094 | 0.374 | 0.159 | 0.634 | 1.167 | 0.069 |
| Zhangjiakou | 0.184 | 0.079 | 0.322 | 0.585 | 0.037 | 0.178 | 0.076 | 0.302 | 0.556 | 0.032 |
| Chengde | 0.182 | 0.077 | 0.321 | 0.581 | 0.037 | 0.148 | 0.062 | 0.253 | 0.464 | 0.027 |
| Tangshan | 1.683 | 0.275 | 1.257 | 2.216 | 0.031 | 0.442 | 0.174 | 0.794 | 1.410 | 0.017 |
| Qinhuangdao | 0.292 | 0.123 | 0.521 | 0.936 | 0.056 | 0.250 | 0.104 | 0.431 | 0.785 | 0.043 |
| Langfang | 0.444 | 0.185 | 0.795 | 1.425 | 0.043 | 0.405 | 0.167 | 0.702 | 1.274 | 0.036 |
| Cangzhou | 0.809 | 0.343 | 1.438 | 2.590 | 0.070 | 0.647 | 0.270 | 1.116 | 2.034 | 0.049 |
| Baoding | 0.743 | 0.321 | 1.295 | 2.360 | 0.060 | 0.736 | 0.312 | 1.254 | 2.302 | 0.056 |
| Shijiazhuang | 0.824 | 0.347 | 1.463 | 2.634 | 0.044 | 0.845 | 0.352 | 1.457 | 2.653 | 0.041 |
| total | 9.294 | 3.828 | 20.313 | 33.435 | 0.039 | 7.433 | 3.026 | 15.364 | 25.823 | 0.027 |
References
- Rosana, A.; Thomas, C.; Alexander, G.; Tarik, B. Wildfire smoke impacts respiratory health more than fine particles from other sources: Observational evidence from Southern California. Nat. Commun. 2021, 12, 1493. [Google Scholar]
- Gao, Y.; Chen, Y.; Liu, G.; Zhang, J. Investigating the influence of meteorological factors on particulate matters: A case study based on path analysis. Energy Environ. 2019, 31, 479–491. [Google Scholar]
- Guan, Y.; Xiao, Y.; Wang, Y.; Zhang, N.; Chu, C. Assessing the health impacts attributable to PM2.5 and ozone pollution in 338 Chinese cities from 2015 to 2020. Environ. Pollut. 2021, 287, 117623. [Google Scholar] [CrossRef] [PubMed]
- Zhang, B.; Wu, B.; Liu, J. PM2.5 pollution-related health effects and willingness to pay for improved air quality: Evidence from China’s prefecture-level cities. J. Clean. Prod. 2020, 273, 122876. [Google Scholar] [CrossRef]
- Ministry of Ecology and Environment of the People’s Republic of China. Bulletin on the State of China’s Ecological Environment in 2021; Ministry of Ecology and Environment of the People’s Republic of China: Beijing, China, 2022. [Google Scholar]
- Xing, L.; Mao, X.; Duan, K. Impacts of urban–rural disparities in the trends of PM2.5 and ozone levels in China during 2013–2019. Atmos. Pollut. Res. 2022, 13, 101590. [Google Scholar] [CrossRef]
- Lyu, Y.; Wu, Z.; Wu, H.; Pang, X.; Qin, K.; Wang, B.; Ding, S.; Chen, D.; Chen, J. Tracking long-term population exposure risks to PM2.5 and ozone in urban agglomerations of China 2015–2021. Sci. Total Environ. 2023, 854, 158599. [Google Scholar] [CrossRef] [PubMed]
- Komal, S.; Catherine, S.; Brian, N.; Charles, C.; David, C.; Andreas, M.; Frank, D.; Masha, P.; Sarah, J.; Kazuhiko, I.; et al. ZIP Code-Level Estimation of Air Quality and Health Risk Due to Particulate Matter Pollution in New York City. Environ. Sci. Technol. 2022, 56, 7119–7130. [Google Scholar]
- Li, D.; Wu, Q.; Feng, J.; Wang, Y.; Wang, L.; Xu, Q.; Sun, Y.; Cao, K.; Cheng, H. The influence of anthropogenic emissions on air quality in Beijing-Tianjin-Hebei of China around 2050 under the future climate scenario. J. Clean. Prod. 2023, 388, 135927. [Google Scholar] [CrossRef]
- Shen, Y.; Zhao, H.; Zhao, C.; Dong, S.; He, K.; Xie, J.; Lv, M.; Yuan, C. Temporal responses of PM2.5-bound trace elements and health risks to air control policy in a typical northern city in China during 2016–2020. J. Clean. Prod. 2023, 408, 137165. [Google Scholar] [CrossRef]
- National Development and Reform Commission. The 14th Five-Year Plan for National Economic and Social Development of the People’s Republic of China and the Outline of the Long-Range Goals for 2035; National Development and Reform Commission: Beijing, China, 2021. [Google Scholar]
- Han, J.; Yang, Y.; Yang, X.; Wang, D.; Wang, X.; Sun, P. Exploring air pollution characteristics from spatio-temporal perspective: A case study of the top 10 urban agglomerations in China. Environ. Res. 2023, 224, 115512. [Google Scholar] [CrossRef]
- Macintyre, H.L.; Mitsakou, C.; Vieno, M.; Heal, M.R.; Heaviside, C.; Exley, K.S. Impacts of emissions policies on future UK mortality burdens associated with air pollution. Environ. Int. 2023, 174, 107862. [Google Scholar] [CrossRef] [PubMed]
- Xu, Z.; Shan, J. The effect of risk perception on willingness to pay for reductions in the health risks posed by particulate matter 2.5: A case study of Beijing, China. Energy Environ. 2018, 29, 1319–1337. [Google Scholar] [CrossRef]
- Mirzaei, A.; Tahriri, H.; Khorsandi, B. Comparison between AirQ+ and BenMAP-CE in estimating the health benefits of PM2.5 reduction. Air Qual. Atmos. Health 2021, 14, 807–815. [Google Scholar] [CrossRef]
- Cao, Z.; Zhou, J.; Li, M.; Huang, J.; Dou, D. Urbanites’ mental health undermined by air pollution. Nat. Sustain. 2023, 6, 470–478. [Google Scholar] [CrossRef]
- Yang, S.; Fang, D.; Chen, B. Human health impact and economic effect for PM2.5 exposure in typical cities. Appl. Energy 2019, 249, 316–325. [Google Scholar] [CrossRef]
- Cromar, K.; Gladson, L.; Gohlke, J.; Li, Y.; Tong, D.; Ewart, G. Adverse Health Impacts of Outdoor Air Pollution, Including from Wildland Fires, in the United States “Health of the Air”, 2018–2020. Ann. Am. Thorac. Soc. 2024, 21, 76–87. [Google Scholar] [CrossRef]
- Becerra-Pérez, L.A.; Ramos-Álvarez, R.A.; DelaCruz, J.J.; García-Páez, B.; Páez-Osuna, F.; Cedeño-Laurent, J.G.; Boldo, E. An Economic Analysis of the Environmental Impact of PM2.5 Exposure on Health Status in Three Northwestern Mexican Cities. Sustainability 2021, 13, 10782. [Google Scholar] [CrossRef]
- Baharane, V.; Shatalov, A.B. Assessment of the health impacts of air pollution exposure in East African countries. Environ. Monit. Assess. 2024, 196, 413. [Google Scholar] [CrossRef] [PubMed]
- Fu, J.; Fu, H.; Zhu, C.; Sun, Y.; Cao, H. Assessing the health risk impacts of urban green spaces on air pollution—Evidence from 31 China’s provinces. Ecol. Indic. 2024, 159, 111725. [Google Scholar] [CrossRef]
- Bian, Y.; Huang, X.; Lin, S.; Han, H.; Chen, J.; Lin, J.; Ye, X. PM2.5 air quality and health gains in the quest for carbon peaking: A case study of Fujian Province, China. Sci. Total Environ. 2024, 915, 170161. [Google Scholar] [CrossRef]
- Du, H.; Liu, H.; Zhang, Z. The unequal exchange of air pollution and economic benefits embodied in Beijing-Tianjin-Hebei’s consumption. Ecol. Econ. 2022, 195, 107394. [Google Scholar] [CrossRef]
- Xiao, Z.; Li, H.; Gao, Y. Analysis of the impact of the Beijing-Tianjin-Hebei coordinated development on environmental pollution and its mechanism. Environ. Monit. Assess. 2022, 194, 91. [Google Scholar] [CrossRef] [PubMed]
- Bai, R.; Lam, J.C.K.; Li, V.O.K. A review on health cost accounting of air pollution in China. Environ. Int. 2018, 120, 279–294. [Google Scholar] [CrossRef]
- Chen, Z.; Wang, F.; Liu, B.; Zhang, B. Short-Term and Long-Term Impacts of Air Pollution Control on China’s Economy. Environ. Manag. 2022, 70, 536–547. [Google Scholar] [CrossRef] [PubMed]
- Xie, Y.; Dai, H.; Zhang, Y.; Wu, Y.; Hanaoka, T.; Masui, T. Comparison of health and economic impacts of PM2.5 and ozone pollution in China. Environ. Int. 2019, 130, 104881. [Google Scholar] [CrossRef]
- Lu, X.; Lin, C.; Li, Y.; Yao, T.; Fung, J.C.H.; Lau, A.K.H. Assessment of health burden caused by particulate matter in southern China using high-resolution satellite observation. Environ. Int. 2017, 98, 160–170. [Google Scholar] [CrossRef] [PubMed]
- Qin, G.; Wang, X.; Wang, T.; Nie, D.; Li, Y.; Liu, Y.; Wen, H.; Huang, L.; Yu, C. Impact of Particulate Matter on Hospitalizations for Respiratory Diseases and Related Economic Losses in Wuhan, China. Front. Public Health 2022, 10, 797296. [Google Scholar] [CrossRef] [PubMed]
- Nguyen, T.H.; Nagashima, T.; Doan, Q.; Khan, A.; Niyogi, D. Source apportionment of PM2.5 and the impact of future PM2.5 changes on human health in the monsoon-influenced humid subtropical climate. Atmos. Pollut. Res. 2023, 14, 101777. [Google Scholar] [CrossRef]
- Rezazadeh, A.A.; Alizadeh, S.; Avami, A.; Kianbakhsh, A. Integrated analysis of energy-pollution-health nexus for sustainable energy planning. J. Clean. Prod. 2022, 356, 131824. [Google Scholar] [CrossRef]
- Sheng, L.; Qin, M.; Li, L.; Wang, C.; Gong, K.; Liu, T.; Li, J.; Hu, J. Impacts of emissions along the lower Yangtze River on air quality and public health in the Yangtze River delta, China. Atmos. Pollut. Res. 2022, 13, 101420. [Google Scholar] [CrossRef]
- Wang, C.; Wang, Y.; Shi, Z.; Sun, J.; Gong, K.; Li, J.; Qin, M.; Wei, J.; Li, T.; Kan, H.; et al. Effects of using different exposure data to estimate changes in premature mortality attributable to PM2.5 and O3 in China. Environ. Pollut. 2021, 285, 117242. [Google Scholar] [CrossRef] [PubMed]
- Kianizadeh, F.; Godini, H.; Moghimbeigi, A.; Hassanvand, M.S. Health and economic impacts of ambient air particulate matter (PM2.5) in Karaj city from 2012 to 2019 using BenMAP-CE. Environ. Monit. Assess. 2022, 194, 847. [Google Scholar] [CrossRef] [PubMed]
- Manojkumar, N.; Srimuruganandam, B. Spatio-temporal health benefits attributable to PM2.5 reduction in an Indian city. Int. J. Environ. Health Res. 2023, 33, 552–562. [Google Scholar] [CrossRef] [PubMed]
- Zheng, D.; Huang, X.; Guo, Y. Spatiotemporal variation of ozone pollution and health effects in China. Environ. Sci. Pollut. Res. 2022, 29, 57808–57822. [Google Scholar] [CrossRef] [PubMed]
- Liang, S.; Li, X.; Teng, Y.; Fu, H.; Chen, L.; Mao, J.; Zhang, H.; Gao, S.; Sun, Y.; Ma, Z.; et al. Estimation of health and economic benefits based on ozone exposure level with high spatial-temporal resolution by fusing satellite and station observations. Environ. Pollut. 2019, 255, 113267. [Google Scholar] [CrossRef] [PubMed]
- Beijing Municipal Bureau of Statistics. Beijing Statistical Yearbook; China Statistic Press: Beijing, China, 2022. [Google Scholar]
- Tianjin Bureau of Statistics. Tianjin Statistical Yearbook; China Statistic Press: Beijing, China, 2022. [Google Scholar]
- Hebei Bureau of Statistics. Hebei Statistical Yearbook; China Statistic Press: Beijing, China, 2022. [Google Scholar]
- National Health Commission of the People’s Republic of China. China Health Statistical Yearbook; Peking Union Medical College Press: Beijing, China, 2022. [Google Scholar]
- GB3095-2012; Ambient Air Quality Standards. Ministry of Ecology and Environment of the People’s Republic of China: Beijing, China, 2012. Available online: https://www.mee.gov.cn/ywgz/fgbz/bz/bzwb/dqhjbh/dqhjzlbz/201203/W020120410330232398521.pdf (accessed on 30 March 2024).
- Yang, W.; Wang, J.; Zhang, K.; Hao, Y. A novel air pollution forecasting, health effects, and economic cost assessment system for environmental management: From a new perspective of the district-level. J. Clean. Prod. 2023, 417, 138027. [Google Scholar] [CrossRef]
- Pope, I.C.A.; Dockery, D.W. Health effects of fine particulate air pollution: Lines that connect. J. Air Waste Manag. Assoc. 2006, 56, 709–742. [Google Scholar] [CrossRef] [PubMed]
- Chen, H.; Li, L.; Lei, Y.; Wu, S.; Yan, D.; Dong, Z. Public health effect and its economics loss of PM2.5 pollution from coal consumption in China. Sci. Total Environ. 2020, 732, 138973. [Google Scholar] [CrossRef] [PubMed]
- Di, Q.; Dai, L.; Wang, Y.; Zanobetti, A.; Choirat, C.; Schwartz, J.D.; Dominici, F. Association of Short-term Exposure to Air Pollution With Mortality in Older Adults. JAMA-J. Am. Med. Assoc. 2017, 318, 2446–2456. [Google Scholar] [CrossRef]
- Qu, Y.; Wang, T.; Cai, Y.; Wang, S.; Chen, P.; Li, S.; Li, M.; Yuan, C.; Wang, J.; Xu, S. Influence of Atmospheric Particulate Matter on Ozone in Nanjing, China: Observational Study and Mechanistic Analysis. Adv. Atmos. Sci. 2018, 35, 1381–1395. [Google Scholar] [CrossRef]
- Ren, Z.; Liu, X.; Liu, T.; Chen, D.; Jiao, K.; Wang, X.; Suo, J.; Yang, H.; Liao, J.; Ma, L. Effect of ambient fine particulates (PM2.5) on hospital admissions for respiratory and cardiovascular diseases in Wuhan, China. Resp. Res. 2021, 22, 128. [Google Scholar] [CrossRef] [PubMed]
- Zhang, Y.; Ding, Z.; Xiang, Q.; Wang, W.; Huang, L.; Mao, F. Short-term effects of ambient PM1 and PM2.5 air pollution on hospital admission for respiratory diseases: Case-crossover evidence from Shenzhen, China. Int. J. Hyg. Environ. Health 2020, 224, 113418. [Google Scholar] [CrossRef] [PubMed]
- Guan, Y.; Kang, L.; Wang, Y.; Zhang, N.; Ju, M. Health loss attributed to PM2.5 pollution in China’s cities: Economic impact, annual change and reduction potential. J. Clean. Prod. 2019, 217, 284–294. [Google Scholar] [CrossRef]
- Lall, R.; Ito, K.; Thurston, G. Distributed Lag Analyses of Daily Hospital Admissions and Source-Apportioned Fine Particle Air Pollution. Environ. Health Persp. 2011, 119, 455–460. [Google Scholar] [CrossRef] [PubMed]
- Sheehan, M.C.; Lam, J.; Navas-Acien, A.; Chang, H.H. Ambient air pollution epidemiology systematic review and meta-analysis: A review of reporting and methods practice. Environ. Int. 2016, 92–93, 647–656. [Google Scholar] [CrossRef] [PubMed]
Disclaimer/Publisher’s Note: The statements, opinions and data contained in all publications are solely those of the individual author(s) and contributor(s) and not of MDPI and/or the editor(s). MDPI and/or the editor(s) disclaim responsibility for any injury to people or property resulting from any ideas, methods, instructions or products referred to in the content. |
© 2024 by the authors. Licensee MDPI, Basel, Switzerland. This article is an open access article distributed under the terms and conditions of the Creative Commons Attribution (CC BY) license (https://creativecommons.org/licenses/by/4.0/).







