Recycled-Textile-Waste-Based Sustainable Bricks: A Mechanical, Thermal, and Qualitative Life Cycle Overview
Abstract
1. Introduction
2. Materials and Methods
2.1. Materials
2.2. Testing
2.2.1. Mechanical Test
2.2.2. Thermal Conductivity Test
3. Results and Discussion
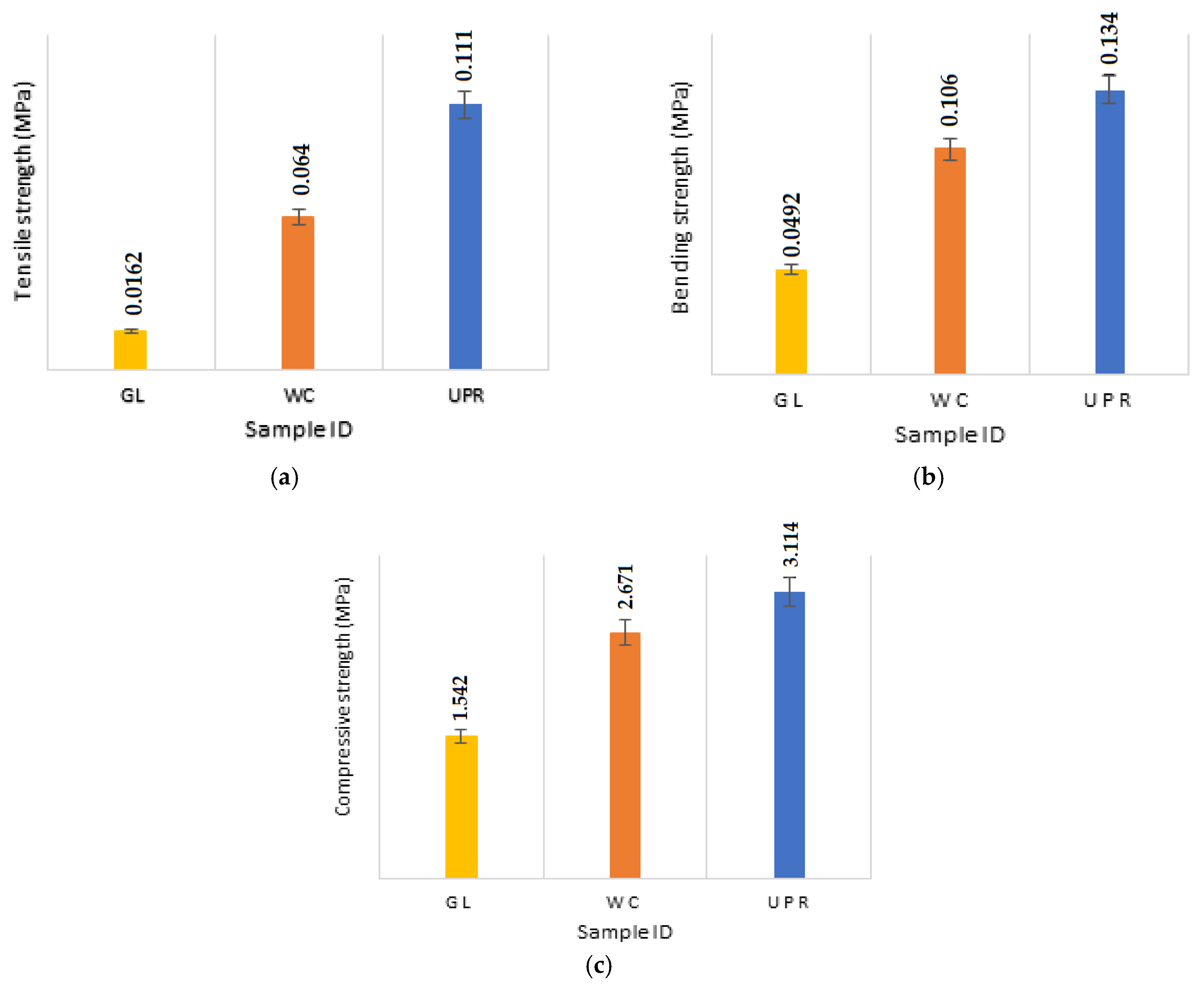
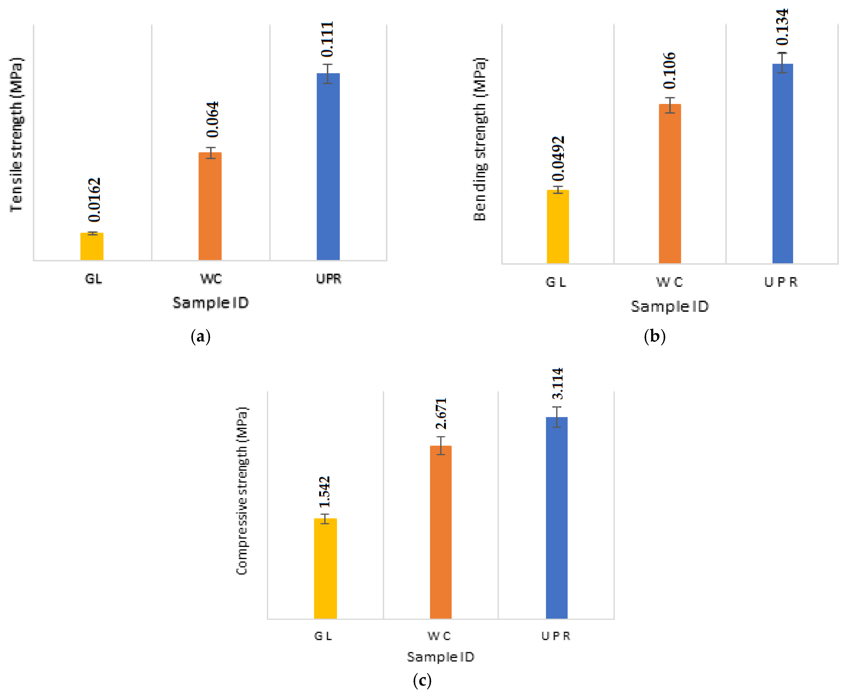
3.1. Mechanical Properties
3.2. Thermal Properties
3.3. Qualitative Life Cycle Overview for Traditional Bricks and Textile Bricks
3.3.1. Raw Material Selection
Traditional Clay Bricks
Sustainable Composite Bricks from Recycled Textile Waste
3.3.2. Manufacturing Process
Traditional Clay-Based Bricks
Sustainable Textile-Waste Based Bricks
3.3.3. Application Phase
Traditional Clay-Based Bricks
Sustainable Textile-Waste-Based Bricks
3.3.4. End-of-Life Assessment
Traditional Clay-Based Bricks
Sustainable Textile-Waste-Based Bricks
- Raw Material Selection: They consume a moderate to low amount of energy for raw material sourcing, can have adequate mechanical strength based on the type of binder used, and can be produced with various textures and colours. However, there are limitations with respect to 100% recyclability of these bricks in contrast to traditional clay-based bricks.
- Manufacturing Process: These bricks involve minimal energy consumption during manufacturing processes since they show very high flexibility in design and do not require kiln firing. The absence of kiln firing reduces the environmental impact as compared to conventional clay-based brick manufacturing.
- Application Phase: Minimal effort is required for the installation of sustainable textile-waste-based composite bricks, making them suitable for various household and interior applications.
- End-of-Life: After their lifetime, the composite bricks do not consume any energy and still retain their aesthetic appeal. But the recycling options may be limited as compared to the kiln-fired traditional bricks which can be reused due to traditional appearances.
4. Conclusions
Author Contributions
Funding
Institutional Review Board Statement
Informed Consent Statement
Data Availability Statement
Acknowledgments
Conflicts of Interest
References
- Valencia-Barba, Y.E.; Gómez-Soberón, J.M.; Gómez-Soberón, M.C.; Rojas-Valencia, M.N. Life cycle assessment of interior partition walls: Comparison between functionality requirements and best environmental performance. J. Build. Eng. 2021, 44, 102978. [Google Scholar] [CrossRef]
- Armstrong, C.M.; Niinimäki, K.; Kujala, S.; Karell, E.; Lang, C. Sustainable product-service systems for clothing: Exploring consumer perceptions of consumption alternatives in Finland. J. Clean. Prod. 2015, 97, 30–39. [Google Scholar] [CrossRef]
- Stanescu, M.D. State of the art of post-consumer textile waste upcycling to reach the zero waste milestone. Environ. Sci. Pollut. Res. Int. 2021, 28, 14253–14270. [Google Scholar] [CrossRef]
- Uddin, F.; Umer, K.; Anjum, S.T. Textile solid waste in product development studies. Chem. Rep. 2021, 3, 203–209. [Google Scholar] [CrossRef]
- Joglekar, S.N.; Kharkar, R.A.; Mandavgane, S.A.; Kulkarni, B.D. Sustainability assessment of brick work for low-cost housing: A comparison between waste based bricks and burnt clay bricks. Sustain. Cities. Soc. 2018, 37, 396–406. [Google Scholar] [CrossRef]
- Muñoz, I.; Cifrian, E.; Andrés, A.; Miguel, G.S.; Ruiz, D.; Viguri, J.R. Analysis of environmental benefits associated with the incorporation of Waelz slag into fired bricks using LCA. Constr. Build. Mater. 2018, 168, 178–186. [Google Scholar] [CrossRef]
- Zhang, L. Production of bricks from waste materials—A review. Constr. Build. Mater. 2013, 47, 643–655. [Google Scholar] [CrossRef]
- Aspiras, F.F.; Manalo, J.R.I. Utilization of textile waste cuttings as building material. J. Mater. Process. Technol. 1995, 48, 379–384. [Google Scholar]
- Rahman, M.M.; Khan, M.M.R.; Uddin, M.T.; Islam, M.A. Textile Effluent Treatment Plant Sludge: Characterization and Utilization in Building Materials. Arab. J. Sci. Eng. 2017, 42, 1435–1442. [Google Scholar]
- Teklehaimanot, M.; Hailay, H.; Tesfaye, T. Manufacturing of Ecofriendly Bricks Using Microdust Cotton Waste. J. Eng. 2021, 2021, 8815965. [Google Scholar] [CrossRef]
- Lanante, F.D.; Tambis, C.L.E.; Bacunawa, G.C.; Mendoza, M.A.T.; Espinazo, J.A.; Suliva, L.B. Performance and properties of eco-friendly cement bricks added with polyester fabric wastes. J. BIMP-EAGA Region. Dev. 2022, 1, 1–9. [Google Scholar] [CrossRef]
- Pamu, Y.; Svsndl, P. An experimental analysis for clay bricks manufacturing with partial replacement of glass wool. Aust. J. Struct. Eng. 2023, 24, 294–309. [Google Scholar] [CrossRef]
- Li, G.; Yu, Y.; Zhao, Z.; Li, J.; Li, C. Properties study of cotton stalk fiber/gypsum composite. Cem. Concr. Res. 2003, 33, 43–46. [Google Scholar]
- Islam, S.; Bhat, G. Environmentally-friendly thermal and acoustic insulation materials from recycled textiles. J. Environ. Manag. 2019, 251, 109536. [Google Scholar] [CrossRef] [PubMed]
- Kamble, Z.; Behera, B.K. Sustainable hybrid composites reinforced with textile waste for construction and building applications. Constr. Build. Mater. 2021, 284, 122800. [Google Scholar] [CrossRef]
- FabBRICK: Meet French Architect Clarisse Merlet Who Converts Your Old Clothes into Bricks. Available online: https://www.greenqueen.com.hk/fabbrick-meet-french-architect-clarisse-merlet-who-converts-your-old-clothes-into-bricks/ (accessed on 20 October 2023).
- Singhal, S.; Agarwal, S.; Singhal, N. Chemical recycling of waste clothes: A smarter approach to sustainable development. Environ. Sci. Pollut. Res. 2023, 30, 54448–54469. [Google Scholar] [CrossRef] [PubMed]
- Scaraboto, D. Sustainable Consumption: More Using, Less Shopping. NIM Mark. Intell. Rev. 2022, 14, 11–17. [Google Scholar] [CrossRef]
- Kagitci, E. Upcycling Textile Waste from the Fashion Industry as a Sustainable Building Material for Architectural Design. 2023. Available online: https://www.politesi.polimi.it/handle/10589/184174 (accessed on 16 November 2023).
- Treggiden, K. Wendy Andreu Turns Selvedges into Innovative New Material. Available online: https://design-milk.com/circular-by-design-wendy-andreu-turns-sunbrellas-fabric-trimmings-into-innovative-new-material/ (accessed on 9 November 2023).
- A South African Initiative is Upcycling Used Clothing to Bricks! Available online: https://www.goodthingsguy.com/business/a-south-african-initiative-is-upcycling-used-clothing-to-bricks/ (accessed on 30 October 2023).
- How Ackermans Turns Its Fashion Waste into Building Blocks—twyg. Available online: https://twyg.co.za/how-ackermans-turns-its-fashion-waste-into-building-blocks/ (accessed on 30 October 2023).
- Trajković, D.; Jordeva, S.; Tomovska, S.; Zafirova, K. Polyester apparel cutting waste as insulation material. J. Text. I. 2017, 108, 1238–1245. [Google Scholar] [CrossRef]
- Xiong, X.; Yang, T.; Mishra, R.; Militky, J. Transport properties of aerogel-based nanofibrous nonwoven fabrics. Fibers Polym. 2016, 17, 1709–1714. [Google Scholar] [CrossRef]
- Munir, M.J.; Abbas, S.; Nehdi, M.L.; Kazmi, S.M.S.; Khitab, A. Development of Eco-Friendly Fired Clay Bricks Incorporating Recycled Marble Powder. J. Mater. Civil Eng. 2018, 30, 1–11. [Google Scholar] [CrossRef]
- ASTM C 67-03a; Standard Test Methods for Sampling and Testing Brick and Structural Clay Tile. ASTM International: West Conshohocken, PA, USA, 2023.
- ČSN EN ISO 10211 (730551); Thermal Bridges in Building Structures—Heat Flows and Surface Temperatures—Detailed Calculations. ISO: Geneva, Switzerland, 2023.
- Ali, M.; Room, S.; Khan, M.I.; Masood, F.; Memon, R.A.; Khan, R.; Memon, A.M. Assessment of local earthen bricks in perspective of physical and; mechanical properties using Geographical Information System in Peshawar, Pakistan. Structures 2020, 28, 2549–2561. [Google Scholar] [CrossRef]
- Xiong, X.; Yang, T.; Mishra, R.; Kanai, H.; Militky, J. Thermal and compression characteristics of aerogel-encapsulated textiles. J. Ind. Text. 2018, 47, 1998–2013. [Google Scholar] [CrossRef]
- Dehas, W.; Guessoum, M.; Douibi, A.; Antonio Jofre-Reche, J.; Miguel Martin-Martinez, J. Thermal, Mechanical, and Viscoelastic Properties of Recycled Poly(ethylene terephthalate) Fiber-Reinforced Unsaturated Polyester Composites. Polym. Compos. 2019, 39, 1682–1693. [Google Scholar] [CrossRef]
- Uddin, F. Introductory Chapter: Textile Manufacturing Processes. In Textile Manufacturing Processes; IntechOpen: London, UK, 2019; pp. 1–14. [Google Scholar] [CrossRef]
- Toprak, T.; Anis, P. Textile Industry’s Environmental Effects and Approaching Cleaner Production and Sustainability: An Overview. J. Text. Eng. Fash. Technol. 2017, 2, 429–442. [Google Scholar] [CrossRef]
- Han, C.; Mirasa, A.; Saad, I.; Bolong, N.; Asman, N.; Asrah, H.; Abdullah, E. Use of Compressed Earth Bricks/Blocks in Load-Bearing Masonry Structural Systems: A Review. Mater. Sci. Forum 2020, 997, 9–19. [Google Scholar] [CrossRef]
- Venkataraman, M.; Mishra, R.; Militky, J.; Xiong, X.; Marek, J.; Yao, J.; Zhu, G. Electrospun nanofibrous membranes embedded with aerogel for advanced thermal and transport properties. Polym. Adv. Technol. 2018, 29, 2583–2592. [Google Scholar] [CrossRef]
- Padmalosan, P.; Vanitha, S.; Sampath Kumar, V.; Anish, M.; Tiwari, R.; Dhapekar, N.K.; Yadav, A.S. An investigation on the use of waste materials from industrial processes in clay brick production. Mater. Today Proc. 2023; in press. [Google Scholar] [CrossRef]
- Khan, M.W.; Ali, Y.; De Felice, F.; Salman, A.; Petrillo, A. Impact of brick kilns industry on environment and human health in Pakistan. Sci. Total Environ. 2019, 678, 383–389. [Google Scholar] [CrossRef]
- Shaikh, A.; Jain, U.; Narayangarhwala, H.; Pawar, S.; Panwar, K.; Choudhary, N.; Khandelwal, A.; Hussain, M.S. A Comparative Study of AAC Block & Clay Brick under Gravity Loading For Buildings. Int. J. Adv. Res. 2017, 3, V3I3-1315. [Google Scholar]
- Gadling, P.P.; Varma, M.B. Comparative Study on Fly Ash Bricks and Normal Clay Bricks. IJSRD-Int. J. Sci. Res. Dev. 2016, 4, 673–676. Available online: https://www.researchgate.net/publication/321528151 (accessed on 29 February 2024).
- Arumugam, V.; Mishra, R.; Militky, J.; Tunak, M. In-plane shear behavior of 3D spacer knitted fabrics. J. Ind. Text. 2016, 46, 868–886. [Google Scholar] [CrossRef]
- Hiwot, M.G.; Quezon, E.T.; Kebede, G.; Quezon, E.T. Comparative Study on Compressive Strength of Locally Produced Fired Clay Bricks and Stabilized Clay Bricks with Cement and Lime. Glob. Sci. J. 2017, 5, 147–157. Available online: https://www.scipedia.com/public/Hiwot_et_al_2017a (accessed on 29 February 2024).
- Parashar, A.K.; Parashar, R. Comparative Study of Compressive Strength of Bricks Made with Various Materials to Clay Bricks. Int. J. Sci. Res. Pub. 2012, 2, 1–4. Available online: www.ijsrp.org (accessed on 28 February 2024).
- Dabaieh, M.; Heinonen, J.; El-Mahdy, D.; Hassan, D.M. A comparative study of life cycle carbon emissions and embodied energy between sun-dried bricks and fired clay bricks. J. Clean. Prod. 2020, 275, 122998. [Google Scholar] [CrossRef]








| Binder | Recipe | |||
|---|---|---|---|---|
| Acrylic Glue (GL) | Fabric | Glue | Water | |
| 100 g | 500 g | 500 mL | ||
| White Cement (WC) | Fabric | Cement | Water | |
| 100 g | 500 g | 300 mL | ||
| Unsaturated Polyester Resin (UPR) | Fabric | Resin | Cobalt | MEKP |
| 100 g | 450 g | 8 drops | 14 drops | |
| Tests | Tensile Strength | Bending Strength | Compressive Strength | ||||||
|---|---|---|---|---|---|---|---|---|---|
| Load (kN) | Strength (MPa) | Strength (kg/cm2) | Load (kN) | Strength (MPa) | Strength (kg/cm2) | Load (kN) | Strength (MPa) | Strength (kg/cm2) | |
| GL | 0.405 | 0.0162 | 0.165 | 1.230 | 0.0492 | 0.501 | 38.564 | 1.542 | 15.720 |
| WC | 1.593 | 0.064 | 0.649 | 2.650 | 0.106 | 1.080 | 66.756 | 2.670 | 27.220 |
| UPR | 2.766 | 0.111 | 1.120 | 3.351 | 0.134 | 1.366 | 77.858 | 3.114 | 31.753 |
| Samples | Temperature (°C) after 5 min | Temperature (°C) after 7.5 min | Temperature (°C) after 10 min | Temperature (°C) after 15 min |
|---|---|---|---|---|
| GL | 43.0 | 46.0 | 48.5 | 57.3 |
| WC | 35.0 | 42.0 | 46.8 | 54.3 |
| UPR | 34.4 | 40.7 | 48.1 | 58.1 |
| Life Cycle Stage | Sustainable Bricks | Clay-Based Bricks | ||||
|---|---|---|---|---|---|---|
| Energy | Strength | Aesthetic | Energy | Strength | Aesthetic | |
| Raw Material Selection | Moderate for sourcing | Based on binders | Different textures and colours | High for clay sourcing | Based on ingredient percentage | Plain solid colour |
| Manufacturing Process | Minimal; dried and cured in sun | - | Customisable shapes | High due to firing | - | Traditional brick shape |
| Application Phase | Minimal | Suitable for interiors | Various creative possibilities | Moderate | Suitable for building applications | Traditional appearance |
| End-of-Life | - | Lower than traditional | Retain aesthetics | - | Durable | Retains appearance |
Disclaimer/Publisher’s Note: The statements, opinions and data contained in all publications are solely those of the individual author(s) and contributor(s) and not of MDPI and/or the editor(s). MDPI and/or the editor(s) disclaim responsibility for any injury to people or property resulting from any ideas, methods, instructions or products referred to in the content. |
© 2024 by the authors. Licensee MDPI, Basel, Switzerland. This article is an open access article distributed under the terms and conditions of the Creative Commons Attribution (CC BY) license (https://creativecommons.org/licenses/by/4.0/).
Share and Cite
Jamshaid, H.; Shah, A.; Shoaib, M.; Mishra, R.K. Recycled-Textile-Waste-Based Sustainable Bricks: A Mechanical, Thermal, and Qualitative Life Cycle Overview. Sustainability 2024, 16, 4036. https://doi.org/10.3390/su16104036
Jamshaid H, Shah A, Shoaib M, Mishra RK. Recycled-Textile-Waste-Based Sustainable Bricks: A Mechanical, Thermal, and Qualitative Life Cycle Overview. Sustainability. 2024; 16(10):4036. https://doi.org/10.3390/su16104036
Chicago/Turabian StyleJamshaid, Hafsa, Ambar Shah, Muhammad Shoaib, and Rajesh Kumar Mishra. 2024. "Recycled-Textile-Waste-Based Sustainable Bricks: A Mechanical, Thermal, and Qualitative Life Cycle Overview" Sustainability 16, no. 10: 4036. https://doi.org/10.3390/su16104036
APA StyleJamshaid, H., Shah, A., Shoaib, M., & Mishra, R. K. (2024). Recycled-Textile-Waste-Based Sustainable Bricks: A Mechanical, Thermal, and Qualitative Life Cycle Overview. Sustainability, 16(10), 4036. https://doi.org/10.3390/su16104036

