Electric Vehicle Usage Patterns in Multi-Vehicle Households in the US: A Machine Learning Study
Abstract
1. Introduction
- (1)
- What types of trips are most likely to be made by EVs in US multi-vehicle households?
- (2)
- How do different socio-demographic and built-environment variables influence the choice of using EVs for individual trips in US multi-vehicle households?
2. Literature Review
2.1. Adoption
2.2. Usage
2.3. Summary
3. Data
3.1. NHTS 2017
3.2. Data Cleaning
3.3. Variable Selection
4. Methodology
4.1. Clustering Model
- (1)
- A set of observations from the dataset Q = [Q1, Q2, Q3, …, Qk] is initialized as the cluster centroids using a density-based initialization algorithm [37]. This initialization method helps avoid the necessity of running the algorithm multiple times to search for an effective solution. The observation with the maximum density is initialized as the first centroid. The remaining centroids are initialized based on density as well as the distance from other centroids.
- (2)
- Every trip/observation (denoted by X) outside Q is assigned to a cluster from Q whose centroid has the smallest hamming distance [38] from X. Hamming distance can be defined as follows:
- (3)
- After every trip is assigned to a cluster, the cluster centroids in Q are updated based on the newly assigned trips. The hamming distances for each trip are recalculated, and trips are assigned to new clusters based on the newly calculated hamming distances.
- (4)
- Step 3 is repeated until no trip in the dataset changes clusters. And the cost or the sum of the hamming distances for all the observations were recorded for the model with k clusters.
4.2. Classification Model
4.2.1. Decision Tree
4.2.2. Random Forest
- (1)
- At first, a subset of the data is formed by bootstrapping [43]. In this step, a random sample of the data is drawn with replacement. This implies that some observations may be duplicated, and others may be left out of the sample.
- (2)
- Next, a decision tree is constructed using the bootstrapped sample and a set of randomly selected features. As recommended by previous studies [46], the number of randomly selected features was set as the square root of the total number of features rounded to the nearest integer. The decision tree is grown until the number of observations at a node reaches 1.
- (3)
- The number of decision trees to be grown was set to 1000; the first two steps were repeated 1000 times.
- (4)
- To make a prediction for a new observation, each decision tree in the forest is traversed, and the predictions from each tree are recorded. Finally, the majority vote of predictions is taken as the final prediction.
4.2.3. Extreme Gradient Boosting
4.2.4. Binary Logit
4.2.5. Classification Model Interpretation
5. Results and Discussion
5.1. Clustering Model
5.1.1. Model Comparison
5.1.2. Model Interpretation
5.2. Classification Model
5.2.1. Model Comparison
5.2.2. Model Interpretation
Variable Importance
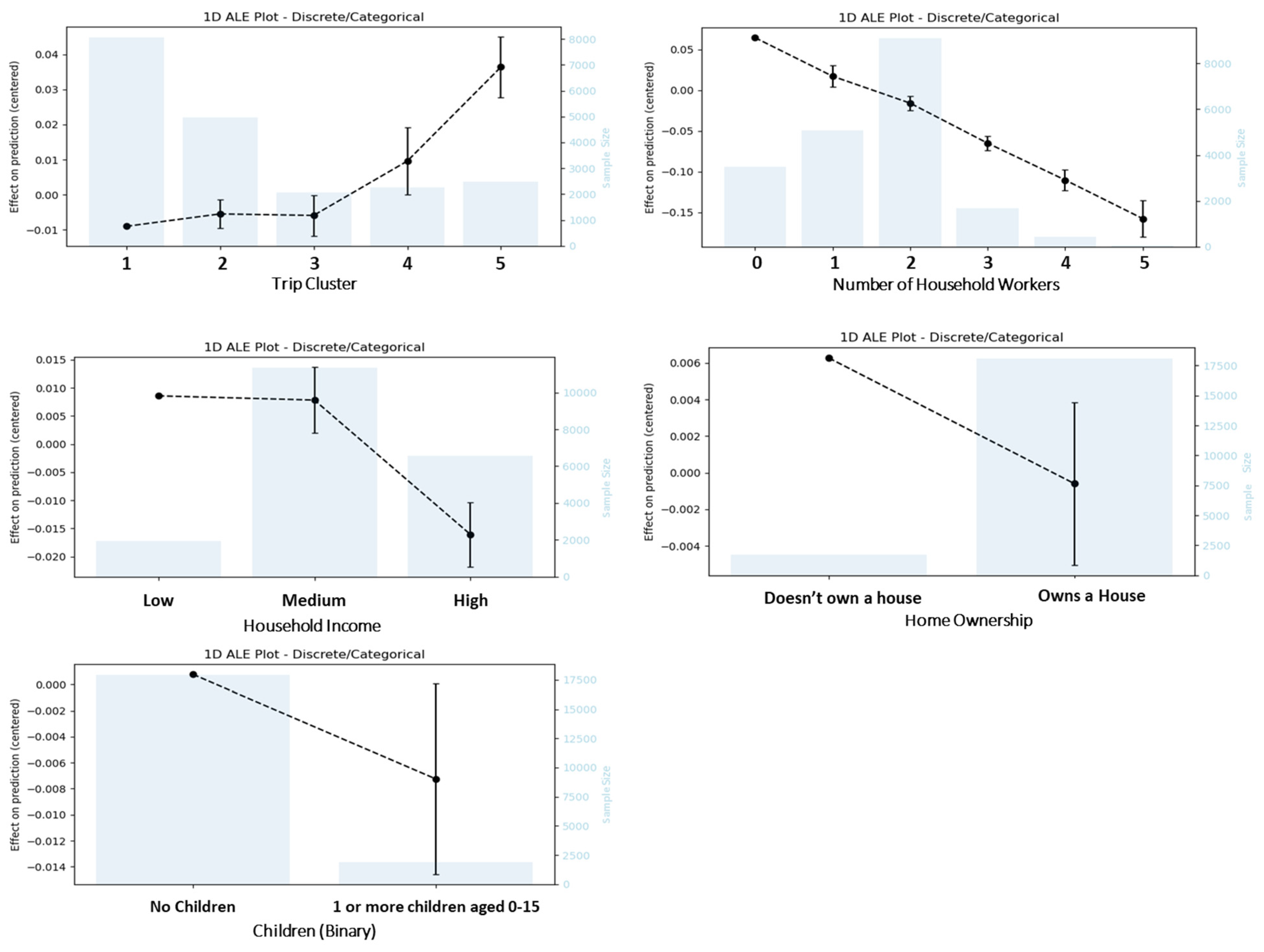
Accumulated Local Effects
6. Conclusions
Author Contributions
Funding
Institutional Review Board Statement
Informed Consent Statement
Data Availability Statement
Acknowledgments
Conflicts of Interest
References
- Zulinski, J. U.S. Leads in Greenhouse Gas Reductions, but Some States Are Falling Behind [WWW Document]. 2018. Available online: https://www.eesi.org/articles/view/u.s.-leads-in-greenhouse-gas-reductions-but-some-states-are-falling-behind (accessed on 20 September 2023).
- U.S. Department of Energy. Alternative Fuels Data Center. 2023. Available online: https://afdc.energy.gov/vehicles/electric (accessed on 21 September 2023).
- Sen, C. Performance Analysis of Batteries Used in Electric and Hybrid Electric Vehicles; University of Windsor: Windsor, ON, Canada, 2010. [Google Scholar]
- Ghandi, A.; Paltsev, S. Global CO2 impacts of light-duty electric vehicles. Transp. Res. D Transp. Environ. 2020, 87, 102524. [Google Scholar] [CrossRef]
- Musti, S.; Kockelman, K.M. Evolution of the household vehicle fleet: Anticipating fleet composition, PHEV adoption and GHG emissions in Austin, Texas. Transp. Res. Part A Policy Pract. 2011, 45, 707–720. [Google Scholar] [CrossRef]
- Sherman, L. Implications of current household vehicle ownership and use patterns on the feasibility of electric cars. Transportation 1980, 9, 209–227. [Google Scholar]
- Tamor, M.A.; Milačić, M. Electric vehicles in multi-vehicle households. Transp. Res. Part C Emerg. Technol. 2015, 56, 52–60. [Google Scholar] [CrossRef]
- NHTS. National Household Travel Survey. 2017. Available online: https://nhts.ornl.gov/ (accessed on 4 March 2023).
- Li, X.; Liu, C.; Jia, J. Ownership and Usage Analysis of Alternative Fuel Vehicles in the United States with the 2017 National Household Travel Survey Data. Sustainability 2019, 11, 2262. [Google Scholar] [CrossRef]
- Chakraborty, D.; Hardman, S.; Tal, G. Integrating plug-in electric vehicles (PEVs) into household fleets- factors influencing miles traveled by PEV owners in California. Travel Behav. Soc. 2022, 26, 67–83. [Google Scholar] [CrossRef]
- Srinivasa Raghavan, S.; Tal, G. Behavioral and technology implications of electromobility on household travel emissions. Transp. Res. D Transp. Environ. 2021, 94, 102792. [Google Scholar] [CrossRef]
- Karlsson, S. Utilization of battery-electric vehicles in two-car households: Empirical insights from Gothenburg Sweden. Transp. Res. Part C Emerg. Technol. 2020, 120, 102818. [Google Scholar] [CrossRef]
- Bucher, D.; Martin, H.; Hamper, J.; Jaleh, A.; Becker, H.; Zhao, P.; Raubal, M. Exploring Factors that Influence Individuals’ Choice Between Internal Combustion Engine Cars and Electric Vehicles. AGILE GIScience Ser. 2020, 1, 1–23. [Google Scholar] [CrossRef]
- Jensen, A.F.; Mabit, S.L. Modelling real choices between conventional and electric cars for home-based journeys. In Annual Transport Conference at Aalborg University; Aalborg University: Aarhus, Denmark, 2015. [Google Scholar]
- Ozhegov, E.M.; Ozhegova, A. Heterogeneity in demand and optimal price conditioning for local rail transport. arXiv 2019, arXiv:1905.12859v1. [Google Scholar]
- Vergis, S.; Chen, B. Understanding Variations in U.S. Plug-in Electric Vehicle Markets. In Proceedings of the Transportation Research Board 94th Annual Meeting, Washington, DC, USA, 11–15 January 2015; Transportation Research Board: Davis, CA, USA, 2014. [Google Scholar]
- Egbue, O.; Long, S. Barriers to widespread adoption of electric vehicles: An analysis of consumer attitudes and perceptions. Energy Policy 2012, 48, 717–729. [Google Scholar] [CrossRef]
- Hardman, S.; Chandan, A.; Tal, G.; Turrentine, T. The effectiveness of financial purchase incentives for battery electric vehicles–A review of the evidence. Renew. Sustain. Energy Rev. 2017, 80, 1100–1111. [Google Scholar] [CrossRef]
- Jakobsson, N.; Gnann, T.; Plötz, P.; Sprei, F.; Karlsson, S. Are multi-car households better suited for battery electric vehicles? Driving patterns and economics in Sweden and Germany. Transp. Res. Part C Emerg. Technol. 2016, 65, 1–15. [Google Scholar] [CrossRef]
- Jakobsson, N.; Karlsson, S.; Sprei, F. How are driving patterns adjusted to the use of a battery electric vehicle in two-car households? In Proceedings of the Electric Vehicle Symposium, Montreal, QU, Canada, 19–22 June 2016.
- Karlsson, S. What are the value and implications of two-car households for the electric car? Transp. Res. Part C Emerg. Technol. 2017, 81, 1–17. [Google Scholar] [CrossRef]
- Mandev, A.; Sprei, F.; Tal, G. Electrification of Vehicle Miles Traveled and Fuel Consumption within the Household Context: A Case Study from California, U.S.A. World Electr. Veh. J. 2022, 13, 213. [Google Scholar] [CrossRef]
- Jakobsson, N.; Sprei, F.; Karlsson, S. How do users adapt to a short-range battery electric vehicle in a two-car household? Results from a trial in Sweden. Transp. Res. Interdiscip. Perspect. 2022, 15, 100661. [Google Scholar] [CrossRef]
- Singh, V.; Singh, V.; Vaibhav, S. A review and simple meta-analysis of factors influencing adoption of electric vehicles. Transp. Res. D Transp. Environ. 2020, 86, 102436. [Google Scholar] [CrossRef]
- Tompkins, M.; Bunch, D.; Santini, D.; Bradley, M.; Vyas, A.; Poyer, D. Determinants of alternative fuel vehicle in the continental united states choice. Transp. Res. Rec. 1998, 1641, 130–138. [Google Scholar] [CrossRef]
- Tanaka, M.; Ida, T.; Murakami, K.; Friedman, L. Consumers’ willingness to pay for alternative fuel vehicles: A comparative discrete choice analysis between the US and Japan. Transp. Res. Part A Policy Pract. 2014, 70, 194–209. [Google Scholar] [CrossRef]
- Hackbarth, A.; Madlener, R. Consumer preferences for alternative fuel vehicles: A discrete choice analysis. Transp. Res. D Transp. Environ. 2013, 25, 5–17. [Google Scholar] [CrossRef]
- Caulfield, B.; Farrell, S.; McMahon, B. Examining individuals preferences for hybrid electric and alternatively fuelled vehicles. Transp. Policy 2010, 17, 381–387. [Google Scholar] [CrossRef]
- Carlucci, F.; Cirà, A.; Lanza, G. Hybrid electric vehicles: Some theoretical considerations on consumption behaviour. Sustainability 2018, 10, 1302. [Google Scholar] [CrossRef]
- Shin, H.-S.; Farkas, Z.A.; Nickkar, A. An Analysis of Attributes of Electric Vehicle Owners’ Travel and Purchasing Behavior: The Case of Maryland. In Proceedings of the International Conference on Transportation and Development 2019: Innovation and Sustainability in Smart Mobility and Smart Cities, Alexandria, VA, USA, 9–12 June 2019; American Society of Civil Engineers: Reston, VA, USA, 2019; pp. 77–90. [Google Scholar]
- Soltani-Sobh, A.; Heaslip, K.; Stevanovic, A.; Bosworth, R.; Radivojevic, D. Analysis of the Electric Vehicles Adoption over the United States. Transp. Res. Procedia 2017, 22, 203–212. [Google Scholar] [CrossRef]
- Perez, J. The Fastest Cars You Can Buy from Every Automaker. 2020. Available online: https://www.motor1.com/features/428317/fastest-cars-from-every-automaker/ (accessed on 11 November 2023).
- Jia, J. Analysis of Alternative Fuel Vehicle (AFV) Adoption Utilizing Different Machine Learning Methods: A Case Study of 2017 NHTS. IEEE Access 2019, 7, 112726–112735. [Google Scholar] [CrossRef]
- De Borger, B.; Mulalic, I.; Rouwendal, J. Substitution between cars within the household. Transp. Res. Part A Policy Pract. 2016, 85, 135–156. [Google Scholar] [CrossRef][Green Version]
- Huang, Z. Extensions to the k-Means Algorithm for Clustering Large Data Sets with Categorical Values. Data Min. Knowl. Discov. 1998, 12, 283–304. [Google Scholar] [CrossRef]
- Chaturvedi, A.; Green, P.E.; Caroll, J.D. K-modes Clustering. J. Classif. 2001, 18, 35–55. [Google Scholar] [CrossRef]
- Cao, F.; Liang, J.; Bai, L. A new initialization method for categorical data clustering. Expert Syst. Appl. 2009, 36, 10223–10228. [Google Scholar] [CrossRef]
- Pandit, S.; Gupta, S. A comparative study on distance measuring approaches for clustering. Int. J. Res. Comput. Sci. 2011, 2, 29–31. [Google Scholar] [CrossRef]
- Rousseeuw, P.J. Silhouettes: A graphical aid to the interpretation and validation of cluster analysis. J. Comput. Appl. Math. 1987, 20, 53–55. [Google Scholar] [CrossRef]
- Kim, E.J. Analysis of Travel Mode Choice in Seoul Using an Interpretable Machine Learning Approach. J. Adv. Transp. 2021, 2021, 1–13. [Google Scholar] [CrossRef]
- Zhao, X.; Yan, X.; Yu, A.; Van Hentenryck, P. Prediction and behavioral analysis of travel mode choice: A comparison of machine learning and logit models. Travel Behav. Soc. 2020, 20, 22–35. [Google Scholar] [CrossRef]
- Myles, A.J.; Feudale, R.N.; Liu, Y.; Woody, N.A.; Brown, S.D. An introduction to decision tree modeling. J. Chemom. 2004, 18, 275–285. [Google Scholar] [CrossRef]
- Breiman, L. Classification and Regression Trees, 1st ed.; Chapman and Hall/CRC: Boca Raton, FL, USA, 1984. [Google Scholar]
- Breiman, L. Random Forests. Mach. Learn. 2001, 45, 5–32. [Google Scholar] [CrossRef]
- Biau, G.; Scornet, E. A random forest guided tour. Test 2016, 25, 197–227. [Google Scholar] [CrossRef]
- Liaw, A.; Wiener, M. Classification and Regression by random Forest. R News 2002, 2, 18–22. [Google Scholar]
- Friedman, J.H. Greedy Function Approximation: A Gradient Boosting Machine. Ann. Stat. 2001, 29, 1189–1232. [Google Scholar] [CrossRef]
- Chen, T.; Guestrin, C. XGBoost: A scalable tree boosting system. In Proceedings of the ACM SIGKDD International Conference on Knowledge Discovery and Data Mining. Association for Computing Machinery, San Francisco, CA, USA, 13–17 August 2016; pp. 785–794. [Google Scholar] [CrossRef]
- Bhat, C.R. Work Travel Mode Choice and Number of Non-Work Commute Stops. Transp. Res. Part B Methodol. 1997, 31, 41–54. [Google Scholar] [CrossRef]
- Yang, Y.; Wang, C.; Liu, W.; Zhou, P. Understanding the determinants of travel mode choice of residents and its carbon mitigation potential. Energy Policy 2018, 115, 486–493. [Google Scholar] [CrossRef]
- Cameron, A.C.; Trivedi, P.K. Microeconometrics Using Stata; Stata Press: College Station, TX, USA, 2010. [Google Scholar]
- Kim, S.; Ulfarsson, G.F. Travel mode choice of the elderly-effects of personal, household, neighborhood, and trip Characteristics. Transp. Res. Rec. 2004, 1894, 117–126. [Google Scholar] [CrossRef]
- Wang, F.; Ross, C.L. Machine Learning Travel Mode Choices: Comparing the Performance of an Extreme Gradient Boosting Model with a Multinomial Logit Model. Transp. Res. Rec. 2018, 2672, 35–45. [Google Scholar] [CrossRef]
- Apley, D.W.; Zhu, J. Visualizing the effects of predictor variables in black box supervised learning models. J. R. Stat. Soc. Ser. B Stat. Methodol. 2020, 82, 1059–1086. [Google Scholar] [CrossRef]
- Singh, K.V.; Bansal, H.O.; Singh, D. A comprehensive review on hybrid electric vehicles: Architectures and components. J. Mod. Transp. 2019, 27, 77–107. [Google Scholar] [CrossRef]
- Parker, N.; Breetz, H.L.; Salon, D.; Conway, M.W.; Williams, J.; Patterson, M. Who saves money buying electric vehicles? Heterogeneity in total cost of ownership. Transp. Res. D Transp. Environ. 2021, 96. [Google Scholar] [CrossRef]
- Liu, J.; Khattak, A.J.; Li, X.; Fu, X. A spatial analysis of the ownership of alternative fuel and hybrid vehicles. Transp. Res. D Transp. Environ. 2019, 77, 106–119. [Google Scholar] [CrossRef]
- Tiikkaja, H.; Liimatainen, H. Car access and travel behaviour among men and women in car deficient households with children. Transp. Res. Interdiscip Perspect. 2021, 10, 100367. [Google Scholar] [CrossRef]
- Brown, A.; Cappellucci, J.; Schayowitz, A.; White, E.; Heinrich, A.; Cost, E. Electric Vehicle Charging Infrastructure Trends from the Alternative Fueling Station Locator: First Quarter 2022; NREL: Golden, CO, USA, 2022.






| Serial | Authors | Data | Variables Considered | Method(s) | Key Findings |
|---|---|---|---|---|---|
| 1 | Jensen and Mabit [14] | Data from 667 Danish households | Journey time, driving time, number of trip legs, journey distance, at least one charge, windspeed, precipitation, citroën dummy, number of driving licenses, city dummy, first-week dummy. | Logit model | The number of trip legs, the drive time, and the requirement to charge the vehicle all had negative effects on the choice of EV. Meanwhile, precipitation and urban area had positive effects on the choice of EV. |
| 2 | Tamor and Milačić [7] | Data from 446 vehicles in the Puget Sound region in Washington | Range, DRA (days requiring adaptation)/threshold for inconvenience | Trip counting, analytic estimations | Electric vehicles of the same range if deployed as a second car in two-vehicle households would electrify roughly twice as many miles as those deployed in one-car households (replacing the household’s only vehicle). |
| 3 | Jakobsson and Karlsson [19] | German household survey data (from 6339 vehicles) and Swedish GPS data (from 700 vehicles) | VKT (vehicle kilometers traveled), DRA (days requiring adaptation), range, capital expenditure, operating expenditure | Extrapolation and economic analysis | From the economic analysis, it was found that BEVs are best suited for multi-car households. Secondary household cars in these households are better suited to be replaced by a BEV. |
| 4 | Jakobsson, Karlssona, and Sprei [20] | GPS data from 10 Swedish households | DRA (days requiring adaptation), annual VKT, daily driving distance | Extrapolation | For most households, the EV is driven more than the car it replaced. There exists a large heterogeneity in the usage and adaptation among the households. The EVs mainly replaced the 40–70 km trips of the previous cars. |
| 5 | Karlsson [21] | GPS logging data for both cars in 64 commuting Swedish two-car households | VKT (vehicle kilometers traveled), SOC (state of charge), TCO (total cost of ownership) | Mixed integer quadratically constrained programming (MIQCP) | Two-car households in Sweden could gain USD 6700 due to the flexibility of owning an EV. This is because they can drive more on electricity, which is cheaper, and rely on their internal combustion engine vehicles for longer trips. |
| 6 | Bucher et al. [13] | A dataset of 129 Swiss drivers over a period of 1 year | Weekday/weekend, temperature, precipitation, sex, age, number of cars in household, work status, household size, long-distance trip leg, duration of activity, trip duration, household income, hour of day, month of year | Random forest and logit model | The variables of duration, distance, and weekday/weekend have a larger effect than household size, but they do not possess a high predictive power. This indicated that the range of the vehicles is not a deciding factor in this choice. |
| 7 | Karlsson [12] | GPS data from 20 Swedish two-car households | Range, VKT (vehicle kilometers traveled), flexibility utilization index | Ex-post analysis | The electric vehicles made a significant portion of short-range trips on weekends. |
| 8 | Mandey, Sprei, and Tal [22] | A dataset of 650 vehicles from 287 Californian households | Range, charging frequency, frequency of long-distance travel, frequency of overlaps, household VMT, ICEV mileage | Statistical analysis and regression | A short-range PHEV can electrify up to 70% of the eVMT of long-range BEVs (Bolt and Model S). Hence, PHEVs with a 35-mile all-electric range can be used as tools to decarbonize the transport sector. |
| 9 | Jakobsson, Kalsson, and Sprei [23] | GPS data from 25 Swedish two-car households | DRA (days requiring adaptation), daily driving distance | Quantitative, qualitative, and mixed methods | There exists a large heterogeneity in driving adaptation and behavior. Some households use their electric vehicle more than their previous car; some use it less. Some households change their driving style when they use their electric vehicle. |
| 10 | Chakraborty, Hardman, and Tal [10] | Survey data of 4125 Californian Households with BEVs or PHEVs | PEV characteristics, other household vehicle characteristics, built-environment variables, household characteristics, respondent characteristics, other factors influencing PEV use | OLS regression, SUR model, hypothesis tests | eVMT is correlated with traditional factors such as population density, attitudes towards technology, and lifestyle preferences. PEVs are driven as much as ICEVs. The availability of level 2 charging at home greatly influences the eVMT. |
| Variable | Categories | Distribution | |
|---|---|---|---|
| Household Attributes | Home Ownership (Binary) | Rent’s a House | 91% |
| Own’s a House | 9% | ||
| Household Income (Discrete) | Low (<USD 50,000) | 10% | |
| Medium (USD 50,000–150,000) | 57% | ||
| High (>USD 150,000) | 33% | ||
| Number of Household Workers (Discrete) | 0 | 18% | |
| 1 | 26% | ||
| 2 | 46% | ||
| 3 | 8% | ||
| 4 | 2% | ||
| 5 | <1% | ||
| Children (Binary) | No children | 90% | |
| 1 or more children | 10% | ||
| Driver Attributes | Driver’s Age (Continuous) | - | 52.4 ± 15.65 * |
| Driver’s Education Level (Discrete) | No high school degree | 9% | |
| High school or associate degree | 19% | ||
| Bachelor’s degree or higher | 72% | ||
| Driver’s Sex (Binary) | Female | 44% | |
| Male | 56% | ||
| Built-Environment Variables | Employment Density in Workers Per 0.01 Square Miles (Continuous) | - | 3.74 ± 4.52 * |
| Population Density in Persons Per 0.01 Square Miles (Continuous) | - | 1.54 ± 1.52 * | |
| Gas price on the day of the trip in Cents (USD) per Gallon (Continuous) ** | - | 246.86 ± 25.64 * | |
| Trip Attributes | Weekday/Weekend (Binary) | Weekday | 77% |
| Weekend | 23% | ||
| Starting Time (Discrete) | 12 AM–6 AM | 3% | |
| 6 AM–10AM | 30% | ||
| 10 AM–3 PM | 38% | ||
| 3 PM–7 PM | 24% | ||
| 7 PM–12 AM | 5% | ||
| Home/Non-home Based (Binary) | Home-based trip | 49% | |
| Non-home-based trip | 51% | ||
| Trip Purpose (Discrete) | Errands | 16% | |
| Others | 10% | ||
| Shopping or Dining | 38% | ||
| Social or recreational | 16% | ||
| Work | 20% | ||
| Dwelling time (Discrete) | 1–15 min | 29% | |
| 15–50 min | 24% | ||
| 50–150 min | 25% | ||
| More than 150 min | 22% | ||
| Trip Distance (Discrete) | 0–2 miles | 28% | |
| 2–5 miles | 28% | ||
| 5–15 miles | 28% | ||
| More than 15 miles | 16% | ||
| Number of Passengers (Discrete) | 1 passenger | 57% | |
| 2–4 passengers | 41% | ||
| 5–10 passengers | 2% | ||
| Trip Attribute | Trip Clusters | |||||
|---|---|---|---|---|---|---|
| Cluster 1 | Cluster 2 | Cluster 3 | Cluster 4 | Cluster 5 | ||
| (8060 Trips) | (4956 Trips) | (2075 Trips) | (2249 Trips) | (2485 Trips) | ||
| Weekday/Weekend | Weekday trip | 86% | 90% | 88% | 74% | 20% |
| Weekend trip | 14% | 10% | 12% | 26% | 80% | |
| Starting time | 12 AM–6 AM | 1% | 7% | 2% | 1% | 1% |
| 6 AM–10 AM | 15% | 75% | 14% | 13% | 17% | |
| 10 AM–3 PM | 60% | 11% | 17% | 19% | 56% | |
| 3 PM–7 PM | 18% | 6% | 64% | 60% | 17% | |
| 7 PM–12 AM | 6% | 2% | 3% | 6% | 8% | |
| Home-based/non-home based | Home-based trip | 22% | 81% | 76% | 25% | 75% |
| Non-home-based trip | 78% | 19% | 24% | 75% | 25% | |
| Trip Purpose | Errands | 19% | 6% | 47% | 10% | 6% |
| Others | 7% | 13% | 13% | 11% | 12% | |
| Shopping or Dining | 58% | 6% | 23% | 24% | 64% | |
| Social or recreational | 6% | 12% | 15% | 51% | 16% | |
| Work | 9% | 63% | 2% | 4% | 2% | |
| Dwelling time (time spent at destination) | 1–15 min | 51% | 9% | 32% | 10% | 16% |
| 15–50 min | 29% | 8% | 49% | 16% | 25% | |
| 50–150 min | 14% | 18% | 16% | 60% | 52% | |
| More than 150 min | 5% | 66% | 4% | 14% | 8% | |
| Trip Distance | 0–2 miles | 33% | 29% | 13% | 27% | 21% |
| 2–5 miles | 43% | 17% | 19% | 19% | 19% | |
| 5–15 miles | 15% | 28% | 62% | 16% | 49% | |
| More than 15 miles | 9% | 26% | 6% | 38% | 11% | |
| Number of Passengers | 1 passenger | 67% | 82% | 63% | 11% | 11% |
| 2–4 passengers | 32% | 17% | 35% | 86% | 86% | |
| 5–10 passengers | 2% | 1% | 1% | 3% | 3% | |
| Model | Cross-Validation Accuracy | Training Accuracy | Testing Accuracy |
|---|---|---|---|
| Decision Tree | 88% | 99% | 87% |
| Random Forest | 84% | 99% | 83% |
| XG Boost | 87% | 97% | 86% |
| Binary Logit | 58% | 58% | 58% |
Disclaimer/Publisher’s Note: The statements, opinions and data contained in all publications are solely those of the individual author(s) and contributor(s) and not of MDPI and/or the editor(s). MDPI and/or the editor(s) disclaim responsibility for any injury to people or property resulting from any ideas, methods, instructions or products referred to in the content. |
© 2024 by the authors. Licensee MDPI, Basel, Switzerland. This article is an open access article distributed under the terms and conditions of the Creative Commons Attribution (CC BY) license (https://creativecommons.org/licenses/by/4.0/).
Share and Cite
Chowdhury, V.; Mitra, S.K.; Hernandez, S. Electric Vehicle Usage Patterns in Multi-Vehicle Households in the US: A Machine Learning Study. Sustainability 2024, 16, 5200. https://doi.org/10.3390/su16125200
Chowdhury V, Mitra SK, Hernandez S. Electric Vehicle Usage Patterns in Multi-Vehicle Households in the US: A Machine Learning Study. Sustainability. 2024; 16(12):5200. https://doi.org/10.3390/su16125200
Chicago/Turabian StyleChowdhury, Vuban, Suman Kumar Mitra, and Sarah Hernandez. 2024. "Electric Vehicle Usage Patterns in Multi-Vehicle Households in the US: A Machine Learning Study" Sustainability 16, no. 12: 5200. https://doi.org/10.3390/su16125200
APA StyleChowdhury, V., Mitra, S. K., & Hernandez, S. (2024). Electric Vehicle Usage Patterns in Multi-Vehicle Households in the US: A Machine Learning Study. Sustainability, 16(12), 5200. https://doi.org/10.3390/su16125200

