Integrated Assessment of the Runoff and Heat Mitigation Effects of Vegetation in an Urban Residential Area
Abstract
1. Introduction
2. Materials and Methods
2.1. Study Site Description
2.2. Data Preparation
2.3. The Single Layer Canopy Model
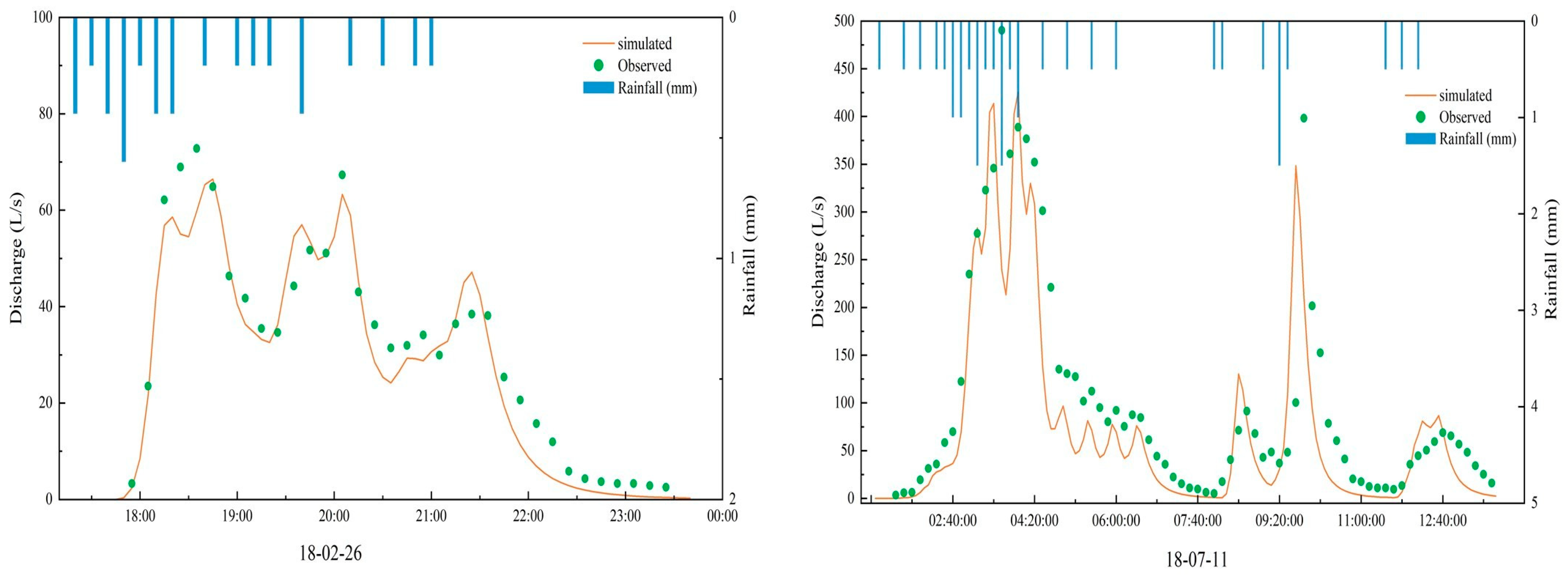
3. Results
3.1. Validation of the Used Model
3.2. Seasonality of ET and LST
3.3. Effects of Vegetation Amount and Patterns
4. Discussion
4.1. Runoff and Heat Mitigation Effect Analysis
4.2. Policy Implications
4.3. Limitations and Future Directions
5. Conclusions
- All parts of the model have a fairly acceptable performance. The NSE performance of the hydrological part of the model was above 0.8, and the annual interception rate is 13%. The modeling results of LST generally reproduced the LST distribution obtained from satellites. Compared with other studies, it is in a reasonable range.
- When LAI was used as an indicator for representing vegetation amount, the changes in its value had caused corresponding changes in runoff volume and surface temperature. Total runoff volume and average surface temperature in the summer months had decreased by 10.7% and 2.5 °C when LAI was set as 1.4 times its original value. While LAI values became 80% of original values, the total runoff volume and average surface temperature increased by 6% and 1.5 °C. Seven landscape patterns were also compared. Green roofs performed best in single structures, and green roofs with street trees had the best reduction effect in structure combinations. Overall, the vegetation mitigation effect was still related to vegetation amount, but there were exceptions. The importance of vegetation structure as well as its spatial distribution was proved. These results could provide references for green infrastructure development in the future for areas with similar vegetation and climate characteristics.
- There were mitigation effects on peak flow volume and daily maximum surface temperatures, although these effects were less obvious than those on runoff volume and average surface temperatures. For August 2018, when LAI increased to 1.4 times its original value, the daily maximum surface temperature decreased by 1.9 degrees, and the peak runoff decreased by 8%. For different land use types, the temperature types had a similar pattern, while the mitigation effects were different. This emphasized the importance of increasing vegetation in highly impervious areas and could provide useful insights for urban greening planning.
- Urban tree type and water resource management should be considered during urban planning and GI construction. Tree growth may provide more benefits in runoff and heat mitigation. One of the advantages of urban trees and naturally grown or maintenance-free vegetation is their relatively lower cost. Other types of GI could also be considered, such as green roofs, but cost-effectiveness analyses should be conducted to make reasonable comparisons between different GI.
Author Contributions
Funding
Institutional Review Board Statement
Informed Consent Statement
Data Availability Statement
Acknowledgments
Conflicts of Interest
References
- A United Nations, Department of Economic and Social Affairs, Population Division. World Urbanization Prospects: The 2018 Revision; (ST/ESA/SER.A/420); United Nations: New York, NY, USA, 2019.
- Zhang, W.; Villarini, G.; Vecchi, G.A.; Smith, J.A. Urbanization exacerbated the rainfall and flooding caused by hurricane Harvey in Houston. Nature 2018, 563, 384–388. [Google Scholar] [CrossRef]
- Vulova, S.; Meier, F.; Rocha, A.; Quanz, J.; Nouri, H.; Kleinschmit, B. Modeling urban evapotranspiration using remote sensing, flux footprints, and artificial intelligence. Sci. Total Environ. 2021, 786, 0048–9697. [Google Scholar] [CrossRef]
- Solecki, W.D.; Rosenzweig, C.; Parshall, L.; Pope, G.; Clark, M.; Cox, J.; Wiencke, M. Mitigation of the heat island effect in urban New Jersey. Global Environ. Change B Environ. Hazards. 2005, 6, 39–49. [Google Scholar] [CrossRef]
- Peng, J.; Liu, Q.; Xu, Z.; Lyu, D.; Wu, J. How to effectively mitigate urban heat island effect? a perspective of waterbody patch size threshold. Landsc. Urban Plan. 2020, 202, 103873. [Google Scholar] [CrossRef]
- Oke, T.R. The energetic basis of the urban heat island. Q. J. R. Meteorol. Soc. 1982, 108, 1–24. [Google Scholar] [CrossRef]
- Kumar, R.; Mishra, V.; Buzan, J.; Kumar, R.; Shindell, D.; Huber, M. Dominant control of agriculture and irrigation on urban heat island in India. Sci. Rep. 2017, 7, 14054. [Google Scholar] [CrossRef]
- Li, Y.; Zhao, X. An empirical study of the impact of human activity on long-term temperature change in China: A perspective from energy consumption. J. Geophys. Res. 2012, 117, D17117. [Google Scholar] [CrossRef]
- Zinzi, M.; Agnoli, S. Cool and green roofs. An energy and comfort comparison between passive cooling and mitigation urban heat island techniques for residential buildings in the Mediterranean region. Energy Build. 2012, 55, 66–76. [Google Scholar] [CrossRef]
- Chen, H.; Huang, J.J.; Liang, H.; Wang, W.; Li, H.; Wei, Y.; Jiang, A.Z.; Zhang, P. Integration of flux footprint and physical mechanism into convolutional neural network model for enhanced simulation of urban evapotranspiration. J. Hydrol. 2023, 619, 129016. [Google Scholar] [CrossRef]
- Shashua-Bar, L.; Rahman, M.A.; Moser-Reischl, A.; Peeters, A.; Franceschi, E.; Pretzsch, H.; Rötzer, T.; Pauleit, S.; Winters, G.; Groner, E.; et al. Do urban tree hydraulics limit their transpirational cooling? A comparison between temperate and hot arid climates. Urban Clim. 2023, 49, 101554. [Google Scholar] [CrossRef]
- Inkiläinen, E.N.; McHale, M.R.; Blank, G.B.; James, A.L.; Nikinmaa, E. The role of the residential urban forest in regulating throughfall: A case study in Raleigh, North Carolina, USA. Landsc. Urban Plan. 2013, 119, 91–103. [Google Scholar] [CrossRef]
- Zabret, K.; Rakovec, J.; Šraj, M. Influence of meteorological variables on rainfall partitioning for deciduous and coniferous tree species in urban area. J. Hydrol. 2018, 558, 29–41. [Google Scholar] [CrossRef]
- Ramamurthy, P.; Bou-Zeid, E. Contribution of impervious surfaces to urban evaporation. Water Resour. Res. 2014, 50, 2889–2902. [Google Scholar] [CrossRef]
- Gonzalez-Sosa, E.; Braud, I.; Piña, R.B.; Loza CA, M.; Salinas NM, R.; Chavez, C.V. A methodology to quantify ecohydrological services of street trees. Ecohydrol. Hydrobiol. 2017, 17, 190–206. [Google Scholar] [CrossRef]
- Gillner, S.; Vogt, J.; Tharang, A.; Dettmann, S.; Roloff, A. Role of street trees in mitigating effects of heat and drought at highly sealed urban sites. Landsc. Urban Plan. 2015, 143, 33–42. [Google Scholar] [CrossRef]
- Nourani, V.; Fard, A.F.; Niazi, F.; Gupta, H.V.; Goodrich, D.C.; Kamran, K.V. Implication of remotely sensed data to incorporate land cover effect into a linear reservoir-based rainfall–runoff model. J. Hydrol. 2015, 529, 94–105. [Google Scholar] [CrossRef]
- Das, A.; Saha, P.; Dasgupta, R.; Inacio, M.; Das, M.; Pereira, P. How Do the Dynamics of Urbanization Affect the Thermal Environment? A Case from an Urban Agglomeration in Lower Gangetic Plain (India). Sustainability 2024, 16, 1147. [Google Scholar] [CrossRef]
- Kazama, S.; Sawamoto, M.; Watanabe, H. Applicability and Disucussion on the NDVI-Evapotranspiration Linear Relationship. Annu. J. Hydraul. Eng. JSCE 2005, 796, 796_1, (In Japanese with English Abstract). [Google Scholar] [CrossRef]
- Chang, Q.; Kazama, S.; Touge, Y.; Aita, S. The effects of spatial discretization on performances and parameters of urban hydrological model. Water Sci. Technol. 2019, 80, 517–528. [Google Scholar] [CrossRef]
- Rouse, J.W.; Haas, R.H.; Schell, J.A.; Deering, D.W. Monitoring vegetation systems in the Great Plains with ERTS. NASA Spec. Publ. 1974, 351, 309. [Google Scholar]
- Berthier, E.; Dupont, S.; Mestayer, P.G.; Andrieu, H. Comparison of two evapotranspiration schemes on a sub-urban site. J. Hydrol. 2006, 328, 635–646. [Google Scholar] [CrossRef]
- Shen, W.; Liu, Q.; Ji, M.; He, J.; He, T.; Huang, C. Impacts of urban forests and landscape characteristics on land surface temperature in two urban agglomeration areas of China. Sustain. Cities Soc. 2023, 99, 104909. [Google Scholar] [CrossRef]
- Kousis, I.; Pisello, A.L. Evaluating the performance of cool pavements for urban heat island mitigation under realistic conditions: A systematic review and meta-analysis. Urban Clim. 2023, 49, 101470. [Google Scholar] [CrossRef]
- Salvadore, E.; Bronders, J.; Batelaan, O. Hydrological modelling of urbanized catchments: A review and future directions. J. Hydrol. 2015, 529, 62–81. [Google Scholar] [CrossRef]
- Nukazawa, K.; Arai, R.; Kazama, S.; Takemon, Y. Projection of invertebrate populations in the headwater streams of a temperate catchment under a changing climate. Sci. Total Environ. 2018, 642, 610–618. [Google Scholar] [CrossRef]
- Galdos, F.V.; Álvarez, C.; García, A.; Revilla, J.A. Estimated distributed rainfall interception using a simple conceptual model and Moderate Resolution Imaging Spectroradiometer (MODIS). J. Hydrol. 2012, 468–469, 213–228. [Google Scholar] [CrossRef]
- Liu, X.; Chui, T.F.M. Evaluation of Green Roof Performance in Mitigating the Impact of Extreme Storms. Water 2019, 11, 815. [Google Scholar] [CrossRef]
- Yang, J.; Bou-Zeid, E. Scale dependence of the benefits and efficiency of green and cool roofs. Landsc. Urban Plan. 2019, 185, 127–140. [Google Scholar] [CrossRef]
- Wang, Z.; Bou-Zeid, E.; Smith, J.A. A coupled energy transport and hydrological model for urban canopies evaluated using a wireless sensor network. Q. J. R. Meteorol. Soc. 2013, 139, 1643–1657. [Google Scholar] [CrossRef]
- Sailor, D.J. A review of methods for estimating anthropogenic heat and moisture emissions in the urban environment. Int. J. Climatol. 2011, 31, 189–199. [Google Scholar] [CrossRef]
- Huang, J.; Kong, F.; Yin, H.; Middel, A.; Liu, H.; Meadows, M.E. Green roof effects on urban building surface processes and energy budgets. Energ. Convers. Manag. 2023, 287, 117100. [Google Scholar] [CrossRef]
- Chui, T.F.M.; Liu, X.; Zhan, W. Assessing cost-effectiveness of specific LID practice designs in response to large storm events. J. Hydrol. 2016, 533, 353–364. [Google Scholar] [CrossRef]
- Bouzouidja, R.; Séré, G.; Claverie, R.; Ouvrard, S.; Nuttens, L.; Lacroix, D. Green roof aging: Quantifying the impact of substrate evolution on hydraulic performances at the lab-scale. J. Hydrol. 2018, 564, 416–423. [Google Scholar] [CrossRef]
- Grimmond, C.S.B.; Blackett, M.; Best, M.J.; Barlow, J.; Baik, J.-J.; Belcher, S.E.; Bohnenstengel, S.I.; Calmet, I.; Chen, F.; Dandou, A.; et al. The international urban energy balance models comparison project: First results from phase 1. J. Appl. Meteorol. Climatol. 2010, 49, 1268–1292. [Google Scholar] [CrossRef]
- Grimmond, C.S.B.; Blackett, M.; Best, M.J.; Baik, J.; Belcher, S.E.; Beringer, J.; Bohnenstengel, S.I.; Calmet, I.; Chen, F.; Coutts, A.; et al. Initial results from Phase 2 of the international urban energy balance model comparison. Int. J. Climatol. 2011, 31, 244–272. [Google Scholar] [CrossRef]












| Data | Resolution | Obtained from | 
|---|---|---|
| Digital Elevation | 5 m | Ministry of Land, Infrastructure, Transport and Tourism | 
| Drainage pipe line data | Sendai City Waterworks Bureau | |
| Land use and cadastral map | Sendai City Waterworks Bureau | |
| Discharge of outlet | 5 min, 10 min | In situ measurement | 
| Rainfall data | 0.2 mm, 0.5 mm | In situ measurement and Amedas | 
| NDVI and surface temperature | 30 m | Landsat 8 from USGS | 
| LAI in certain site | In situ measurement | 
| LAI | Total Runoff | Peak Runoff | Average LST Reduction | Maximum LST Reduction | 
|---|---|---|---|---|
| Current × 0.8 | 106.10% | 105.30% | −1.4 °C | −0.8 °C | 
| Current × 1.0 | 100.00% | 100.00% | 0 °C | 0 °C | 
| Current × 1.2 | 94.6% | 95.4% | 1.2 °C | 0.9 °C | 
| Current × 1.4 | 89.3% | 92.2% | 2.5 °C | 1.9 °C | 
| Typical Landscape Structure | Representative UHE | Major Plant Type | Impervious Ratio | Average LAI | 
|---|---|---|---|---|
| Urban park A | 2C-54 | Low shrubs (Ericaceae) and grass | around 39% | 1.798 | 
| Typical residential | 4c-4 | Street trees (Zelkova) and garden plants | around 62% | 1.37 | 
| Natural greening | 3GrS-1 | Tall trees (deciduous), shrubs, and grass | <10% | 3.026 | 
| Maintained greening | 3GrS-4 | Tall trees (deciduous) and a little grass | <10% | 2.575 | 
| Commercial | 2C-1e | Almost no vegetation and several street trees | >90% | 0.745 | 
| Enhanced Greening Scenarios and Abbreviations | Scenario Description | Vegetation Changes Applied to | NDVI Variation Series Prototype | 
|---|---|---|---|
| Evergreen street trees (ES) | All street trees were denser evergreen trees | Street area in all UHEs | UHE: 3C-23 | 
| Denser planting of courtyard vegetation (DPC) | Vegetation in garden was increased, major plant types were low shrubs and grass | Courtyard area in all UHEs | Urban park A: 2C-54 | 
| Denser planting of street trees (DPS) | Street trees density was increased, major plant type was tree. | Street area in all UHEs | Maintained greening: 3GrS-4 | 
| Green Roof added (GR) | Conversion of the original bare roofs to green roofs, major plant types were low shrubs and grass | Roof area in all UHEs | Urban park A: 2C-54 | 
| Disclaimer/Publisher’s Note: The statements, opinions and data contained in all publications are solely those of the individual author(s) and contributor(s) and not of MDPI and/or the editor(s). MDPI and/or the editor(s) disclaim responsibility for any injury to people or property resulting from any ideas, methods, instructions or products referred to in the content. | 
© 2024 by the authors. Licensee MDPI, Basel, Switzerland. This article is an open access article distributed under the terms and conditions of the Creative Commons Attribution (CC BY) license (https://creativecommons.org/licenses/by/4.0/).
Share and Cite
Wu, X.; Chang, Q.; Kazama, S.; Touge, Y.; Aita, S. Integrated Assessment of the Runoff and Heat Mitigation Effects of Vegetation in an Urban Residential Area. Sustainability 2024, 16, 5201. https://doi.org/10.3390/su16125201
Wu X, Chang Q, Kazama S, Touge Y, Aita S. Integrated Assessment of the Runoff and Heat Mitigation Effects of Vegetation in an Urban Residential Area. Sustainability. 2024; 16(12):5201. https://doi.org/10.3390/su16125201
Chicago/Turabian StyleWu, Xi, Qing Chang, So Kazama, Yoshiya Touge, and Shunsuke Aita. 2024. "Integrated Assessment of the Runoff and Heat Mitigation Effects of Vegetation in an Urban Residential Area" Sustainability 16, no. 12: 5201. https://doi.org/10.3390/su16125201
APA StyleWu, X., Chang, Q., Kazama, S., Touge, Y., & Aita, S. (2024). Integrated Assessment of the Runoff and Heat Mitigation Effects of Vegetation in an Urban Residential Area. Sustainability, 16(12), 5201. https://doi.org/10.3390/su16125201
 
        


 
       