Abstract
The emission of carbon dioxide (CO2) is considered one of the main factors responsible for one of the greatest challenges faced by the world today: climate change. On the other hand, with the increase in energy demand due to the increase in population and industrialization, the emission of CO2 has increased rapidly in the past few decades. However, the world’s leaders, including the United Nations, are now taking serious action on how to minimize the emission of CO2 into the atmosphere. Towards this end, accurate modeling and monitoring of historical CO2 can help in the development of rational policies. This study aims to analyze the carbon emitted by the Group Twenty (G20) countries for the period 1971–2021. The datasets include CO2 emissions, nonrenewable energy (NREN), renewable energy (REN), Gross Domestic Product (GDP), and Urbanization (URB). Various regression-based models, including multiple linear regression models, quantile regression models, and panel data models with different variants, were used to quantify the influence of independent variables on the response variable. In this study, CO2 is a response variable, and the other variables are covariates. The ultimate objective was to choose the best model among the competing models. It is noted that the USA, Canada, and Australia produced the highest amount of CO2 consistently for the entire duration; however, in the last decade (2011–2021) it has decreased to 12.63–17.95 metric tons per capita as compared to the duration of 1971–1980 (14.33–22.16 metric tons per capita). In contrast, CO2 emissions have increased in Saudi Arabia and China recently. For modeling purposes, the duration of the data has been divided into two independent, equal parts: 1971–1995 and 1996–2021. The panel fixed effect model (PFEM) and panel mixed effect model (PMEM) outperformed the other competing models using model selection and model prediction criteria. Different models provide different insights into the relationship between CO2 emissions and independent variables. In the later duration, all models show that REN has negative impacts on CO2 emissions, except the quantile regression model with tau = 0.25. In contrast, NREN has strong positive impacts on CO2 emissions. URB has significantly negative impacts on CO2 emissions globally. The findings of this study hold the potential to provide valuable information to policymakers on carbon emissions and monitoring globally. In addition, results can help in addressing some of the sustainable development goals of the United Nation Development Programme.
1. Introduction
Carbon dioxide (CO2) emissions are a critical component of the Earth’s carbon cycle, influencing climate patterns and global warming, among others [1,2]. It is claimed that climate change is one of the biggest issues facing the world today due to its worst impacts on various key sectors like agriculture, water resources, human health, population migration, and the extinction of various species [3,4,5,6]. However, besides these serious challenges due to carbon emissions, human activities, such as burning fossil fuels, deforestation, and industrial processes, have significantly increased in the recent past, which has increased the concentration of CO2 in the atmosphere, leading to concerns about global warming and climate change. One of the main reasons for increasing the release of carbon is the increasing demand of energy for transport, industry, and other purposes [7]. Various factors can influence the amount of carbon emissions; however, a significant reduction can be achieved if the energy systems are shifted to green energy, including hydropower, and solar and wind energy. The other factors can be afforestation and the transformation of transport systems to more efficient systems, particularly in developing countries, to reduce the impacts of carbon emissions.
In order to better understand the relationship of CO2 emissions with other sectors, modeling and monitoring of carbon emissions are important for future planning, mitigation, and adaptation strategies [8]. Various studies exist in the literature that have used different approaches to quantify the influence of different factors on CO2 emissions to better understand this issue. For instance, different studies examined the environmental consequences of economic development, which depends on energy, and this consequently increases the release of CO2 [9,10,11,12,13]. Other studies used the Environmental Kuznets Curve (EKC) hypothesis to investigate the relationship between economic expansion and environmental degradation. Depending on the economic conditions, this connection might take on a U-shape or an inverted U-shape form. According to the inverted U-shape model, as income grows, environmental degradation increases until it reaches a specific threshold, at which point pollution begins to decline [14,15]. Regression is an impressive approach to handling such types of problems, and various studies have used this approach; however, they used time series models for single-country analysis for predicting CO2 emissions, which may be acceptable in certain situations. However, the application of these methodologies to analyses involving numerous nations might be limited [5,16,17,18,19,20].
A study performed by González-Álvarez and Montañés [21] explored the relationship between carbon emissions, energy consumption, and economic growth and concluded that the relationship between carbon emissions and energy consumption has intensified. They further stated the reasons for this relationship, saying that this can be due to the carbon incentive policies in the countries under study. Mitić et al. [22] investigated the casual relationship between CO2 emissions, economic growth, employment, and energy for the eight south-eastern European countries using the data for the duration of 1995–2019. Their results claimed a bidirectional causal relationship between CO2 emissions and employment. Minh et al. [23] explored the relationship of CO2 emissions with economic growth, urban population, renewable energy consumption, and foreign direct investment in Vietnam over a period of 1990–2018. Their results stated that economic growth has increased with the increase in CO2 emissions in Vietnam.
According to the United Nations [24], the group of twenty (G20) countries released a significant portion (78%) of the total CO2 globally. The modeling and monitoring of CO2 emissions is of great concern, particularly for the G20 countries due to their significant contribution. In addition, it is important to find the factors that have a strong influence on CO2 emissions and their quantification. To the best of our knowledge, we did not notice any studies that have addressed all of the abovementioned concerns about the CO2 emissions of G20 countries together. Therefore, this study proposes to find the best suitable model for modeling and monitoring CO2 released by the G20 countries. Different types of models, like linear regression, quantile regression, and panel data regression with different variants (fixed, random, and mixed effect), are used to reach the best model using various model selection criteria. One of the major advantages of the regression models is the quantification of the impacts of various factors on CO2 emissions, whether the impact is negative, positive, significant, or insignificant. This detailed information could be very useful for policymakers in the future about these factors in contrast to CO2 releases. The datasets are divided into two equal parts, 1971–1995 and 1996–2021, and the objective is to investigate whether the influence of the selected factors, such as NREN, REN, GDP, and URB, on CO2 emissions has changed over time or not. If the influence of these factors changes over time, then it is important to investigate whether the changes are positive or negative. This study is designed to address all these questions in detail and provide valuable information that will provide guidelines for relevant stakeholders in various sectors.
The major objectives of this study include: finding a suitable model that best describes the relationship of the carbon emissions and various factors in the G20 countries; quantifying the impacts of selected factors on carbon emissions; and finally, investigating the impacts of these factors on CO2 emissions over time by dividing the available data into two equal parts.
2. Data and Methods
2.1. Study Area and Datasets
This study focuses on the modeling and monitoring of CO2 emissions from the G20 countries. The selected G20 countries are Argentina, Australia, Brazil, China, Canada, Germany, France, India, Indonesia, Italy, Japan, the Republic of Korea, Mexico, Russia, Saudi Arabia, South Africa, Turkey, the United Kingdom, and the United States. The geographical distribution of the selected G20 countries is presented in Figure 1. This study uses annual data for the G20 countries from 1971 to 2021 acquired from the World Bank’s World Development Indicators. The dataset contains five essential variables: CO2 emissions per capita, REN per capita, NREN per capita, GDP per capita, and URB, the proportion of the population living in cities.
Figure 1.
Shows the geographical location of the G20 countries, which clearly represents the locations with different highlights.
2.2. Modeling Tools
Various statistical models have been used to model the relationship between the response variable (CO2 emissions) and selected covariates. The selected models are briefly described in the subsequent subsections.
2.2.1. Multiple Linear Regression Model
The Multiple Linear Regression model (MLRM) is a basic statistical technique for modeling the relationship (in particular the dependence) between a response variable and explanatory variables. This is a useful and easily applicable approach when the purpose is to assess the impacts of covariates on a response variable [25,26]. The plethora of literature about MLRM shows its popularity among researchers in a variety of areas. According to our variables of interest, the mathematical form of MLRM is given in Equation (1).
CO2 indicates CO2 emissions per capita; REN represents renewable energy consumption in kWh per capita, which includes energy consumption from the following sources: solar, wind, biogas, solid biofuels, geothermal, marine, hydro, and waste. NRE denotes nonrenewable energy consumption, which include consumption from oil, coal, and natural gas. URB refers to the percentage of urban population in the total population. In Equation (1), is the intercept term showing the baseline level of CO2 emissions when all the explanatory variables are zero; , and are the slope coefficients for REN, NREN, GDP, and URB, respectively. is used for those explanatory variables that affect CO2 emissions but are missing in Equation (1).
2.2.2. Quantile Regression Model
The Quantile Regression Model (QRM) is an extension of linear regression introduced by Koenker and Bassett in 1978 [27]. The QRM estimates the conditional quantile of the dependent variable, while the MLRM focuses on the conditional mean. Like the MLRM, REN, NREN, GDP, URB, and CO2 are explanatory and response variables, respectively, in the QRM. Assuming linearity in the conditional relation (where y and x indicate response and explanatory variables), the mathematical structure of the QRM is given in Equation (2).
is the tth conditional quantile for the response variable CO2.
2.2.3. Panel Data Models
Panel data models are becoming increasingly prominent in statistical analysis because they may give more extensive insights than typical cross-sectional or time series studies. Panel data models provide a strong foundation for analyzing complex phenomena and connections that vary over time because these models include both time series and cross-sectional aspects of the data at the same time. Due to the importance of panel data models, we include these models, for instance, the fixed effect model, random effect model, and the mixed effect model.
Panel Fixed Effect Model
In a Panel Fixed Effect Model (PFEM), the primary concept is to adjust for individual or country effects that remain constant throughout time. The mathematical representation of the fixed effects model is given in Equation (3).
In Equation (3), I = 1, 2, …, N, t = 1, 2, …, T. is the response variable observed for individual/country i and time t; are explanatory variables for individual/country i at time t. The parameters , , and are the unknown coefficients and are estimated by using the data from the response and covariates. In Equation (3), represents the unobserved time-invariant individual effect and is the error term for individual i at time t.
Panel Random Effect Model
In a Panel Random Effect Model (PREM), individual-specific effects are believed to be error terms that are uncorrelated with the explanatory variables, while in a fixed effect model, they are correlated. A random effects model may be described mathematically as presented in Equation (4).
In Equation (4), is the individual-specific random effect across individual/country i.
Panel Mixed Effect Model
A Panel Mixed Effect Model (PMEM) is a statistical model that incorporates both random and fixed effects. This model considers both within-country and between-country variations, offering a more comprehensive understanding of the data’s structure. This approach allows for a more accurate assessment of the effect of interest. The mathematical representation of PMEM is given in Equation (5).
is the dependent variable for the jth of observation in the ith country. , , …, are fixed effect coefficients, which are constant for all individuals/countries. are the fixed effect independent variables for observation j in country i. are the random effect coefficients for country i. are random effect independent variables. are random errors for observation j in group or country i.
2.3. Model Selection Criteria
Model selection is a crucial aspect of statistical modeling, especially when multiple competing models are available. The literature shows that model selection metrics such as Mean Absolute Error (MAE), Root Mean Squared Error (RMSE), Akaike Information Criterion (AIC), and Bayesian Information Criterion (BIC) are critical tools for identifying the best model. Both MAE and RMSE are metrics used to evaluate prediction error. However, RMSE penalizes larger errors more heavily than MAE. A decreased MAE or RMSE suggests improved prediction performance. AIC and BIC are used to compare the quality of fit of various models while accounting for the number of parameters. AIC tends to favor more complex models, whereas BIC prefers simpler models by penalizing larger models more heavily [28,29]. As a result, in model selection, one strives to strike a balance between model complexity and goodness of fit, with the goal of selecting a model that gives the optimal mix of explanatory power and parsimony.
2.3.1. Mean Absolute Error
MAE is a statistic used to assess the performance of predictive models. It computes the absolute average size of the errors between projected and actual values. The formula for MAE is given in Equation (6).
where n is the total number of observations.
2.3.2. Root Mean Squared Error
The RMSE is another statistic used to assess the performance of a regression model. Similar to MAE, it emphasizes larger errors, making it more sensitive to significant mistakes. The formula for the RMSE is given in Equation (7).
2.3.3. Akaike Information Criterion
The AIC is a metric used in model selection, notably in linear regression. It balances the model’s quality of fit against the number of parameters employed. For numerical computation, the mathematical formula of AIC is given in Equation (8).
where RSS is the residual sum of square, k is the total number of parameters, and n is the total number of observations. In the panel data model, n = N × T, where N indicates the total number of individuals and T denotes the total number years.
2.3.4. Bayesian Information Criterion
BIC, also known as the Schwarz criteria, is another metric used in model selection that is similar to AIC but has a higher penalty for models with more parameters. The mathematical formula of BIC is given in Equation (9).
3. Results
Figure 2 depicts the average yearly CO2 emissions per capita for G20 countries across various time periods from 1971 to 2021. Initially, when looking at the average CO2 emissions over the entire period, the highest averages were observed in the United States, Canada, and Australia, ranging from 14.17 to 19.57 metric tons per capita. In contrast, Brazil, Indonesia, and India had the lowest averages, ranging from 0.94 to 1.85 metric tons per capita. The entire period is divided into five intervals (1971–1980, 1981–1990, 1991–2000, 2001–2010, and 2011–2021) to investigate the spatiotemporal variability in the patterns of average global CO2 emissions. During the first interval (1971–1980), the United States and Canada had the largest average annual CO2 emissions per capita (14.33 to 22.16 metric tons), followed by Russia, Australia, Saudi Arabia, Germany, and the UK (9.61 to14.32 metric tons). Conversely, Brazil, Turkey, China, India, and Indonesia had the lowest average carbon emissions. In the succeeding interval (1981–1990), the highest annual averages (13.74 to 20.01 metric tons per capita) were observed in the United States, Canada, Russia, and Australia, while the lowest carbon emissions were the same as in the preceding interval. This pattern continued across the subsequent intervals, with the highest yearly averages consistently observed in the United States, Canada, and other developed nations, while the lowest averages persisted in Brazil, Turkey, China, India, and Indonesia. Notably, in the last interval (2011–2021), there was a general decrease in the average annual CO2 emissions per capita. Despite this change, the higher emission interval (12.63 to 17.95 metric tons per capita) was maintained by the United States, Canada, Saudi Arabia, and Australia, suggesting a relative decline in emissions over time.
Figure 2.
The spatiotemporal trends of mean annual CO2 emissions from 1971 to 2021, including a comparison of different subdivided periods.
The relationships between CO2 emissions and explanatory variables such as NREN, REN, GDP, and URB are represented in Figure 3. The data indicate a positive link between CO2 emissions and NREN, which is significant as well. On the other hand, there is some variation in the data, but overall, there are favorable trends in the relationships between CO2 emissions and REN, GDP, and URB. These relationships suggest that CO2 emissions tend to rise/decline along with the rise/decline in these explanatory variables. It is important to note that a simple linear regression model and correlation analysis are employed to examine the relationship between CO2 emissions and various explanatory variables. The relationship between CO2 emissions and NREN is particularly strong, while GDP, URB, and REN also demonstrate significant relationships. To enhance our understanding of these relationships, we need to apply multiple statistical models to better identify the relationships between CO2 emissions, NREN, REN, GDP, and URB.
Figure 3.
Relationship between emission (as a response variable) and explanatory variables.
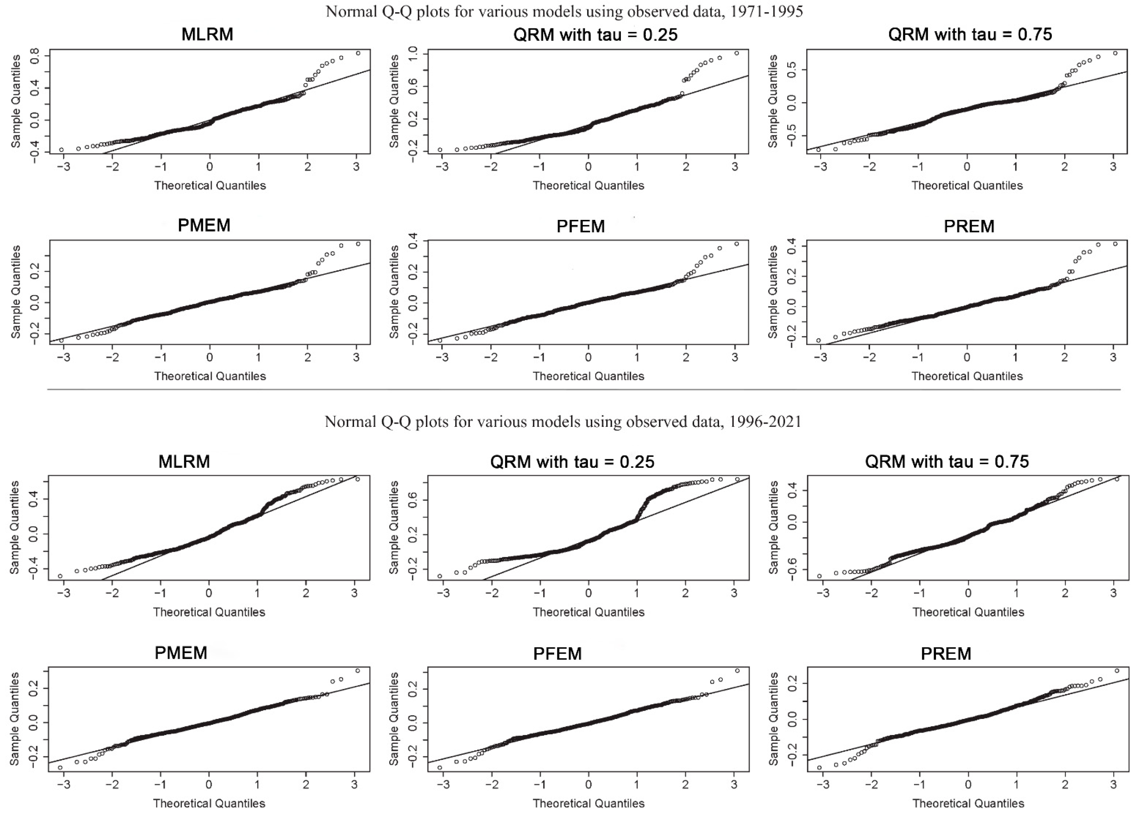
A fundamental assumption of the regression analysis is that the data need to follow a normal probability distribution. We observed that our data violate the assumption of normality. As a result, to avoid non-normality and approach normality, we used the Box–Cox transformation [30]. The transformation process is given in Figure 4, where the initial non-normal data are transformed into a distribution that is close to normal. In addition, to meet the approximate normality and linearity requirements, the study period from 1971 to 2021 was split into two independent periods: 1971–1995 and 1996–2021. After this separation, it was found that while the assumptions were approximately met for certain models, they were still violated for others, according to Figure 5 and Figure 6. In the first period from 1971 to 1995, the normality assumption was significantly violated for the MLRM and QRM with tau = 0.25. However, the normality assumption for the QRM with tau = 0.75 and the panel data models such as the PREM, PFEM, and PMEM were approximately satisfied. Similarly, in the later period from 1996 to 2021, the normality assumption was violated for the MLRM, QRM with tau = 0.25 and tau = 0.75. However, for the PMEM and PFEM, the normality assumption was satisfied, while the PREM slightly violated this assumption, as shown in Figure 5. The assumptions of linearity and homoscedasticity can be observed in Figure 6. These presumptions were violated by the QRM and MLRM during the initial period (1971–1995). There was an obvious clustering of residuals for the start and end observations compared to the intermediate observations. For both the PREM and PFEM, these assumptions were only violated for a few observations. For most observations, the assumptions were approximately satisfied. Similar trends were observed over the period 1996–2021, showing that the violations of the assumptions were similar throughout both time periods.
Figure 4.
Histogram of all variables before and after Box–Cox transformations.
Figure 5.
Normal Q-Q plots for corresponding models.
Figure 6.
Fitted vs. residual plot for each model.
The descriptive statistics in Table 1 provide important aspects of the variables under study. The CO2 emissions per capita exhibit a moderate right skew, with a mean of 8.09 metric tons and a range of 0.2 to 23.20 metric tons, indicating significant spatiotemporal variation. NREN per capita consumption is significantly higher than REN per capita consumption, with NREN skewness being 0.66, which is close to zero, indicating a slightly positively skewed distribution, while REN skewness is 3.45, showing a strongly positively skewed distribution. GDP per capita is also positively skewed, indicating most of the countries have lower annual average GDP. The URB is negatively skewed, indicating that most of the countries have a relatively high percentage of urban populations. These descriptive statistics are critical for understanding the distributional properties of the variables, which is required for interpreting the findings and drawing relevant conclusions.
Table 1.
Descriptive statistics for CO2 emissions, NREN, REN, GDP, and URB.
The results of several models for the period 1971–1995 are reported in Table 2. The MLRM shows that REN and GDP have a highly significant negative association with CO2 emissions. According to the MLRM, a one-unit increase in REN and GDP reduces CO2 emissions by 0.0607 and 0.0080 units, respectively. At the same time, NREN has a highly significant positive relationship with CO2 emissions, indicating that a one-unit increase in NREN per capita results in a 0.0317-unit increase in CO2 emissions. The URB has no significant influence on CO2 emissions. Similar findings are obtained by using the QRM with tau values of 0.25 and 0.75, except for URB, which has a significant positive relationship with CO2 emissions in these models. The PMEM, on the other hand, demonstrates that REN has no significant impact on CO2 emissions. However, this model demonstrates that other explanatory factors, such as NREN, GDP, and URB have a significant effect on CO2 emissions. The PREM yields comparable results to the PMEM, indicating that NREN, GDP, and URB, all have a highly significant impact on CO2 emissions, while REN has no significant impact. Interestingly, the PFEM contradicts the results of the MLRM and QRM by stating that REN has a considerable positive influence on CO2 emissions, in contrast to the negative impact suggested by the other models. The MLRM provides almost identical output for the period 1996–2021 (see Table 3) as it did for the period of 1971–1995, with the exception that URB has a negative influence on CO2 emissions, as given in Table 2. The QRM with tau = 0.25 provides essentially equivalent results to those for the period 1971–1995, except that REN has no significant influence on CO2 emissions, and the impact of URB has turned from positive to negative. On the other hand, the QRM with tau = 0.75 suggests that neither URB nor REN have an impact on CO2 emissions, while the results for other explanatory variables remain mostly consistent with the previous period. The panel data models such as the PMEM, PFEM, and PREM are consistent with the first-period results, with the notable difference that URB in the period 1971–1995 had a significant negative impact on CO2 emissions, whereas, in the time interval 1996–2021, its effect on CO2 emissions became significantly positive. Furthermore, REN’s effect on CO2 emissions in the panel data models was insignificant from 1971 to 1995, except for the PFEM, which was modestly significant. However, from 1996 to 2021, REN’s influence on CO2 emissions changed from positive to negative (inverse), although not significantly. To determine the superior model, various model selection criteria, including MAE, RMSE, AIC, and BIC, were utilized. The results of model selection are presented in Table 4. The model that minimizes each of the mentioned criteria will be considered the best model among the competing models. For the period 1971 to 1995, the PFEM performed better on RMSE, AIC, and BIC criteria, while the PMEM performed better on MAE criteria. The performance of the PMEM is quite similar to the PFEM, and thus, both models have the potential to be considered for modeling and monitoring CO2 emissions. For the period 1996 to 2021, the PMEM performed better only on the MAE criterion, while the PFEM performed better on RMSE, AIC, and BIC criteria. However, the results of both models are very close to each other. Therefore, either model can be considered for modeling and monitoring CO2 emissions.
Table 2.
Various models’ results for time interval 1971–1995.
Table 3.
Various models’ results for time interval 1996–2021.
Table 4.
Summary of model performance metrics.
4. Discussion
The amount of CO2 emissions increased rapidly after the Industrial Revolution in a few countries [31]. However, it can affect all countries, regardless of their borders. In addition, CO2 emissions can alter the climate, which can further disturb precipitation patterns and contribute to global warming. These phenomena exacerbate flooding, heatwaves, droughts, typhoons, tropical cyclones, etc. Therefore, climate change is considered one of the major issues facing the world today [32,33]. Accurate modeling and prediction of CO2 emissions are important for various purposes, including adaptation and mitigation measures, which can further help in tackling the issue of climate change [34]. Numerous studies have employed statistical techniques such as the MLRM and QRM to model CO2 emissions [26,35,36]. However, these models may not always capture the complexity of CO2 emissions accurately. Alharthi et al. [35] and Alotaibi and Alajlan [36] utilized the QRM to explore the relationship between CO2 emissions and socioeconomic indicators. Additionally, other researchers have used numerous statistical methods to analyze the factors influencing CO2 emissions. For example, Li and Lin [37] investigated the impact of urbanization and industrialization on CO2 emissions using panel data analysis. However, these studies did not evaluate the performance of these models. This study compared the model utilized in the previous studies with additional models, including panel data models. The objective is to identify which model best captures the relationship between CO2 emissions and explanatory variables across the G20 countries from 1971 to 2021. Given the potential changes in the emission behavior of CO2 over time, updated models may provide better fit and predictive power. It is noted that developed countries such as the United States, Canada, and Australia consistently had the highest average CO2 emissions per capita throughout the study duration. In contrast, other countries such as Brazil, Indonesia, and India had the lowest average CO2 emissions per capita. Notably, there was a general decrease in average annual CO2 emissions per capita during the recent past decade, although the United States, Canada, Saudi Arabia, and Australia still maintained relatively high emissions. The PMEM and the PFEM showed the potential for monitoring and forecasting CO2 emissions based on their performance. Some of the important covariates (REN, URB) have different responses in different time durations to CO2 emissions, which is important for policymakers and relevant shareholders in the areas of energy, climate action, etc.
The observed trends suggest that while developed nations have historically contributed more to CO2 emissions, there has been a notable decline in recent years. This could be attributed to several factors, including increased adoption of renewable energy sources, the implementation of stricter environmental policies, and advancements in technology that enhance energy efficiency.
5. Conclusions
It is noted that Australia, Canada, and the United States had the highest yearly average CO2 emissions per capita. At the same time, Brazil, Indonesia, and India were recognized as having the lowest annual average CO2 emissions over the period from 1971 to 2021. The highest average CO2 emissions class decreased from 14.33–22.16 metric tons per capita (1971–1980) to 12.63–17.95 metric tons per capita (2011–2021), highlighting the impact of emissions reduction policies in developed nations.
For CO2 modeling and monitoring, the PFEM and PMEM outperformed the other models. These models consistently performed well compared to other models such as the MLRM, QRM, and PREM, using multiple model selection criteria such as MAE, RMSE, AIC, and BIC. The robust performance of the PFEM and PMEM across different periods highlights their reliability in capturing the dynamics of CO2 emissions. While the PFEM demonstrated superior performance on the RMSE, AIC, and BIC criteria, the PMEM showed notable strength in the MAE criterion, making both models valuable tools for effective CO2 emissions’ modeling and monitoring.
It has been noted that there is a link between CO2 emissions and explanatory variables such as NREN, GDP, and URB. However, REN has no substantial effect on CO2 emissions. The significant relationship of NREN, GDP, and URB with CO2 emissions highlights the critical need for sustainable energy policies and urban planning to effectively address the challenge of climate change.
One limitation of this study is the reliance on data from the World Bank, which may have variations in data collection methods across countries. Additionally, while the Box–Cox transformation was used to address the violations of normality assumptions in the data, some models still showed violation of normality and homoscedasticity, which could affect the robustness of the results. Future research may explore the specific types of renewable energy that have the most significant impact on reducing CO2 emissions. Additionally, investigating the role of technological innovations and policy interventions in different countries could provide further insights into effective strategies for mitigating climate change. Longitudinal studies that track the impact of these factors over time would be particularly valuable.
Author Contributions
Conceptualization, A.H.; Software, A.H.; Validation, F.K.; Formal analysis, A.H.; Investigation, F.K. and O.A.; Data curation, A.H.; Writing—original draft, A.H.; Writing—review & editing, F.K. and O.A. All authors have read and agreed to the published version of the manuscript.
Funding
The authors declare that no funds, grants, or other support were received during the preparation of this manuscript.
Institutional Review Board Statement
Not applicable.
Informed Consent Statement
Not applicable.
Data Availability Statement
The data and codes used for the preparation of the manuscript are available from the corresponding author and can be provided upon request.
Conflicts of Interest
The authors declare that they have no known competing financial interests or personal relationships that could have influenced the work reported in this paper.
References
- Jones, M.W.; Peters, G.P.; Gasser, T.; Andrew, R.M.; Schwingshackl, C.; Gütschow, J.; Houghton, R.A.; Friedlingstein, P.; Pongratz, J.; Le Quéré, C. National contributions to climate change due to historical emissions of carbon dioxide, methane, and nitrous oxide since 1850. Sci. Data 2023, 10, 155. [Google Scholar] [CrossRef] [PubMed]
- Kabir, M.; Habiba, U.E.; Khan, W.; Shah, A.; Rahim, S.; Patricio, R.; Ali, L.; Shafiq, M. Climate change due to increasing concentration of carbon dioxide and its impacts on environment in 21st century; a mini review. J. King Saud Univ. Sci. 2023, 35, 102693. [Google Scholar] [CrossRef]
- Khan, F. Water availability and response of Tarbela Reservoir under the changing climate in the Upper Indus Basin, Pakistan. Sci. Rep. 2022, 12, 15865. [Google Scholar] [CrossRef] [PubMed]
- Saeed, A.; Ali, S.; Khan, F.; Muhammad, S.; Reboita, M.S.; Khan, A.W.; Goheer, M.A.; Khan, M.A.; Kumar, R.; Ikram, A. Modelling the impact of climate change on dengue outbreaks and future spatiotemporal shift in Pakistan. Environ. Geochem. Health 2023, 45, 3489–3505. [Google Scholar] [CrossRef] [PubMed]
- Shukla, T.; Sen, I.S.; Sundriyal, S. Carbon emissions from emerging glacier-fed Himalayan lakes. Glob. Planet. Chang. 2023, 225, 104134. [Google Scholar] [CrossRef]
- Cahill, A.E.; Aiello-Lammens, M.E.; Fisher-Reid, M.C.; Hua, X.; Karanewsky, C.J.; Yeong Ryu, H.; Sbeglia, G.C.; Spagnolo, F.; Waldron, J.B.; Warsi, O. How does climate change cause extinction? Proc. R. Soc. B Biol. Sci. 2013, 280, 20121890. [Google Scholar] [CrossRef] [PubMed]
- Aminzadegan, S.; Shahriari, M.; Mehranfar, F.; Abramović, B. Factors affecting the emission of pollutants in different types of transportation: A literature review. Energy Rep. 2022, 8, 2508–2529. [Google Scholar] [CrossRef]
- Chen, L.; Msigwa, G.; Yang, M.; Osman, A.I.; Fawzy, S.; Rooney, D.W.; Yap, P.-S. Strategies to achieve a carbon neutral society: A review. Environ. Chem. Lett. 2022, 20, 2277–2310. [Google Scholar] [CrossRef] [PubMed]
- Acheampong, A.O.; Opoku, E.E.O. Environmental degradation and economic growth: Investigating linkages and potential pathways. Energy Econ. 2023, 123, 106734. [Google Scholar] [CrossRef]
- Adedoyin, F.F.; Gumede, M.I.; Bekun, F.V.; Etokakpan, M.U.; Balsalobre-Lorente, D. Modelling coal rent, economic growth and CO2 emissions: Does regulatory quality matter in BRICS economies? Sci. Total Environ. 2020, 710, 136284. [Google Scholar] [CrossRef]
- Adedoyin, F.F.; Zakari, A. Energy consumption, economic expansion, and CO2 emission in the UK: The role of economic policy uncertainty. Sci. Total Environ. 2020, 738, 140014. [Google Scholar] [CrossRef]
- Grossman, G.M.; Krueger, A.B. Economic growth and the environment. Q. J. Econ. 1995, 110, 353–377. [Google Scholar] [CrossRef]
- Jayachandran, S. How economic development influences the environment. Annu. Rev. Econ. 2022, 14, 229–252. [Google Scholar] [CrossRef]
- Pao, H.-T.; Yu, H.-C.; Yang, Y.-H. Modeling the CO2 emissions, energy use, and economic growth in Russia. Energy 2011, 36, 5094–5100. [Google Scholar] [CrossRef]
- Waqih, M.A.U.; Bhutto, N.A.; Ghumro, N.H.; Kumar, S.; Salam, M.A. Rising environmental degradation and impact of foreign direct investment: An empirical evidence from SAARC region. J. Environ. Manag. 2019, 243, 472–480. [Google Scholar] [CrossRef]
- Tawiah, K.; Daniyal, M.; Qureshi, M. Pakistan CO2 emission modelling and forecasting: A linear and nonlinear time series approach. J. Environ. Public Health 2023, 2023, 5903362. [Google Scholar] [CrossRef]
- Tawiah, V.K.; Zakari, A.; Khan, I. The environmental footprint of China-Africa engagement: An analysis of the effect of China–Africa partnership on carbon emissions. Sci. Total Environ. 2021, 756, 143603. [Google Scholar] [CrossRef]
- Wen, T.; Liu, Y.; He Bai, Y.; Liu, H. Modeling and forecasting CO2 emissions in China and its regions using a novel ARIMA-LSTM model. Heliyon 2023, 9, E21241. [Google Scholar] [CrossRef]
- Zhou, Y.; Chen, M.; Tang, Z.; Mei, Z. Urbanization, land use change, and carbon emissions: Quantitative assessments for city-level carbon emissions in Beijing-Tianjin-Hebei region. Sustain. Cities Soc. 2021, 66, 102701. [Google Scholar] [CrossRef]
- Zhou, Y.; Zhang, J.; Hu, S. Regression analysis and driving force model building of CO2 emissions in China. Sci. Rep. 2021, 11, 6715. [Google Scholar] [CrossRef] [PubMed]
- González-Álvarez, M.A.; Montañés, A. CO2 emissions, energy consumption, and economic growth: Determining the stability of the 3E relationship. Econ. Model. 2023, 121, 106195. [Google Scholar] [CrossRef]
- Mitić, P.; Fedajev, A.; Radulescu, M.; Rehman, A. The relationship between CO2 emissions, economic growth, available energy, and employment in SEE countries. Environ. Sci. Pollut. Res. 2023, 30, 16140–16155. [Google Scholar] [CrossRef] [PubMed]
- Minh, T.B.; Ngoc, T.N.; Van, H.B. Relationship between carbon emissions, economic growth, renewable energy consumption, foreign direct investment, and urban population in Vietnam. Heliyon 2023, 9, E17544. [Google Scholar] [CrossRef]
- United Nations. And the Group of 20 Major Economies (G20) Accounts for 78% of Global Greenhouse Gas Emissions. 2024. Available online: https://www.un.org/en/actnow/facts-and-figures#:~:text=And%20the%20Group%20of%2020,of%20global%20greenhouse%20gas%20emissions%20 (accessed on 20 May 2024).
- Keat, S.C.; Chun, B.B.; San, L.H.; Jafri, M.Z.M. Multiple regression analysis in modelling of carbon dioxide emissions by energy consumption use in malaysia. In AIP Conference Proceedings; AIP Publishing: Melville, NY, USA, 2015. [Google Scholar]
- Libao, Y.; Tingting, Y.; Jielian, Z.; Guicai, L.; Yanfen, L.; Xiaoqian, M. Prediction of CO2 emissions based on multiple linear regression analysis. Energy Procedia 2017, 105, 4222–4228. [Google Scholar] [CrossRef]
- Koenker, R.; Bassett, G. Regression Quantiles. Econometrica 1978, 46, 33–50. [Google Scholar] [CrossRef]
- Liu, Q.; Charleston, M.A.; Richards, S.A.; Holland, B.R. Performance of Akaike information criterion and Bayesian information criterion in selecting partition models and mixture models. Syst. Biol. 2023, 72, 92–105. [Google Scholar] [CrossRef]
- Schöniger, A.; Wöhling, T.; Samaniego, L.; Nowak, W. Model selection on solid ground: Rigorous comparison of nine ways to evaluate B ayesian model evidence. Water Resour. Res. 2014, 50, 9484–9513. [Google Scholar] [CrossRef] [PubMed]
- Box, G.E.; Cox, D.R. An analysis of transformations. J. R. Stat. Soc. Ser. B Stat. Methodol. 1964, 26, 211–243. [Google Scholar] [CrossRef]
- National Oceanic and Atmospheric Administration. Carbon Dioxide Now More Than 50% Higher Than Pre-Industrial Levels. 2022. Available online: https://www.noaa.gov/news-release/carbon-dioxide-now-more-than-50-higher-than-pre-industrial-levels (accessed on 20 May 2024).
- Khan, F.; Ali, S.; Ullah, H.; Muhammad, S. Twenty-first century climate extremes’ projections and their spatio-temporal trend analysis over Pakistan. J. Hydrol. Reg. Stud. 2023, 45, 101295. [Google Scholar] [CrossRef]
- Ullah, H.; Akbar, M.; Khan, F. Assessment of drought and wet projections in the humid climatic regions for Pakistan. Stoch. Environ. Res. Risk Assess. 2020, 34, 2093–2106. [Google Scholar] [CrossRef]
- Abbas, M.; Khan, F.; Liou, Y.-A.; Ullah, H.; Javed, B.; Ali, S. Assessment of the impacts of climate change on the construction of homogeneous climatic regions and ensemble climate projections using CMIP6 data over Pakistan. Atmos. Res. 2024, 304, 107359. [Google Scholar] [CrossRef]
- Alharthi, M.; Dogan, E.; Taskin, D. Analysis of CO2 emissions and energy consumption by sources in MENA countries: Evidence from quantile regressions. Environ. Sci. Pollut. Res. 2021, 28, 38901–38908. [Google Scholar] [CrossRef] [PubMed]
- Alotaibi, A.A.; Alajlan, N. Using quantile regression to analyze the relationship between socioeconomic indicators and carbon dioxide emissions in G20 countries. Sustainability 2021, 13, 7011. [Google Scholar] [CrossRef]
- Li, K.; Lin, B. Impacts of urbanization and industrialization on energy consumption/CO2 emissions: Does the level of development matter? Renew. Sustain. Energy Rev. 2015, 52, 1107–1122. [Google Scholar] [CrossRef]
Disclaimer/Publisher’s Note: The statements, opinions and data contained in all publications are solely those of the individual author(s) and contributor(s) and not of MDPI and/or the editor(s). MDPI and/or the editor(s) disclaim responsibility for any injury to people or property resulting from any ideas, methods, instructions or products referred to in the content. |
© 2024 by the authors. Licensee MDPI, Basel, Switzerland. This article is an open access article distributed under the terms and conditions of the Creative Commons Attribution (CC BY) license (https://creativecommons.org/licenses/by/4.0/).





