Application of Recycled Cardboard to Construction Based on Life Cycle Assessment
Abstract
1. Introduction
2. Methodology
2.1. Goal and Scope Definition
2.2. Functional Unit and System Boundary
3. Life Cycle Inventory Analysis
3.1. Material Manufacture
3.2. Material Transportation
3.3. Truss Manufacture
4. Impact Assessment Method and Impact Categories
5. Results
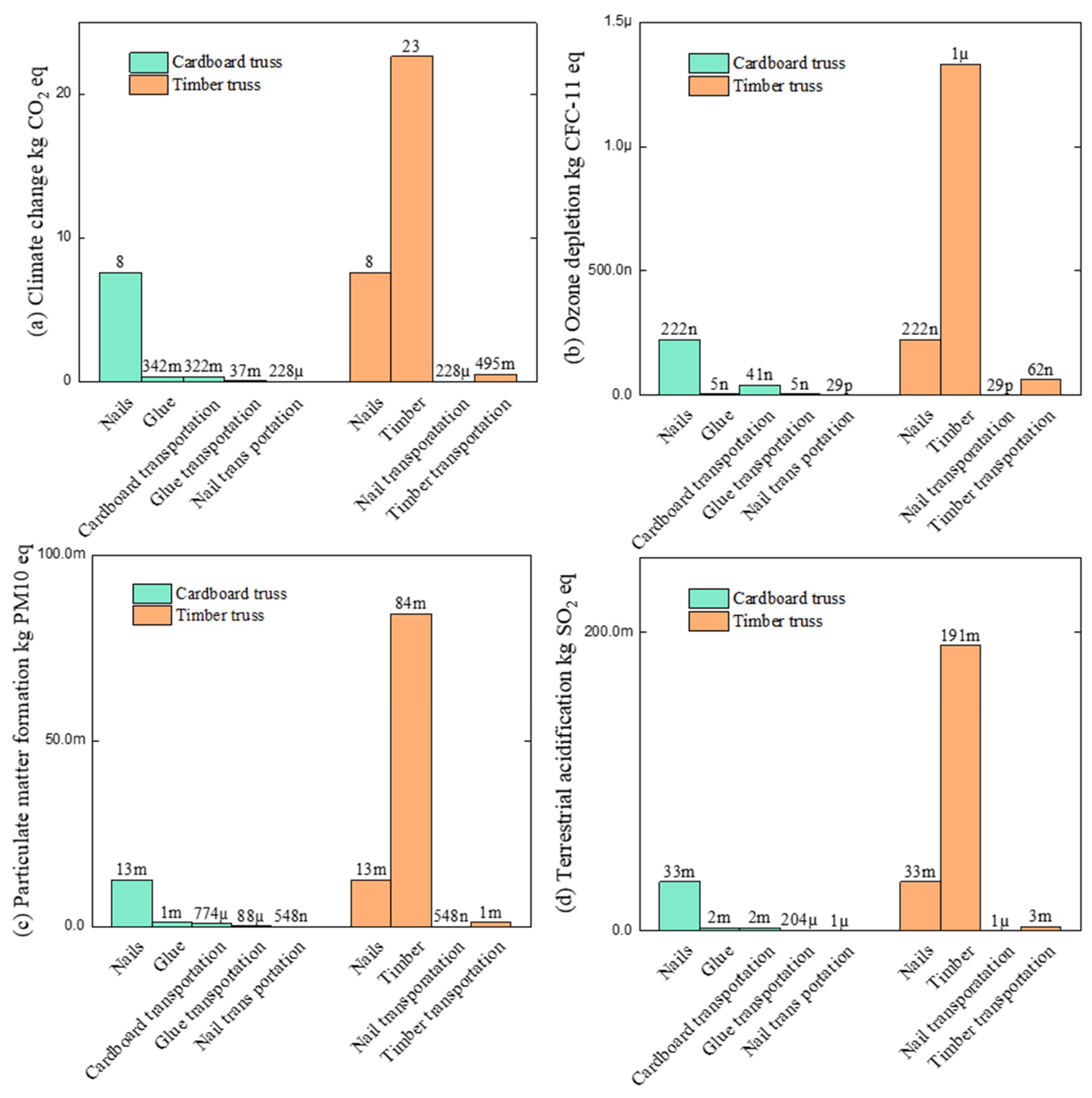
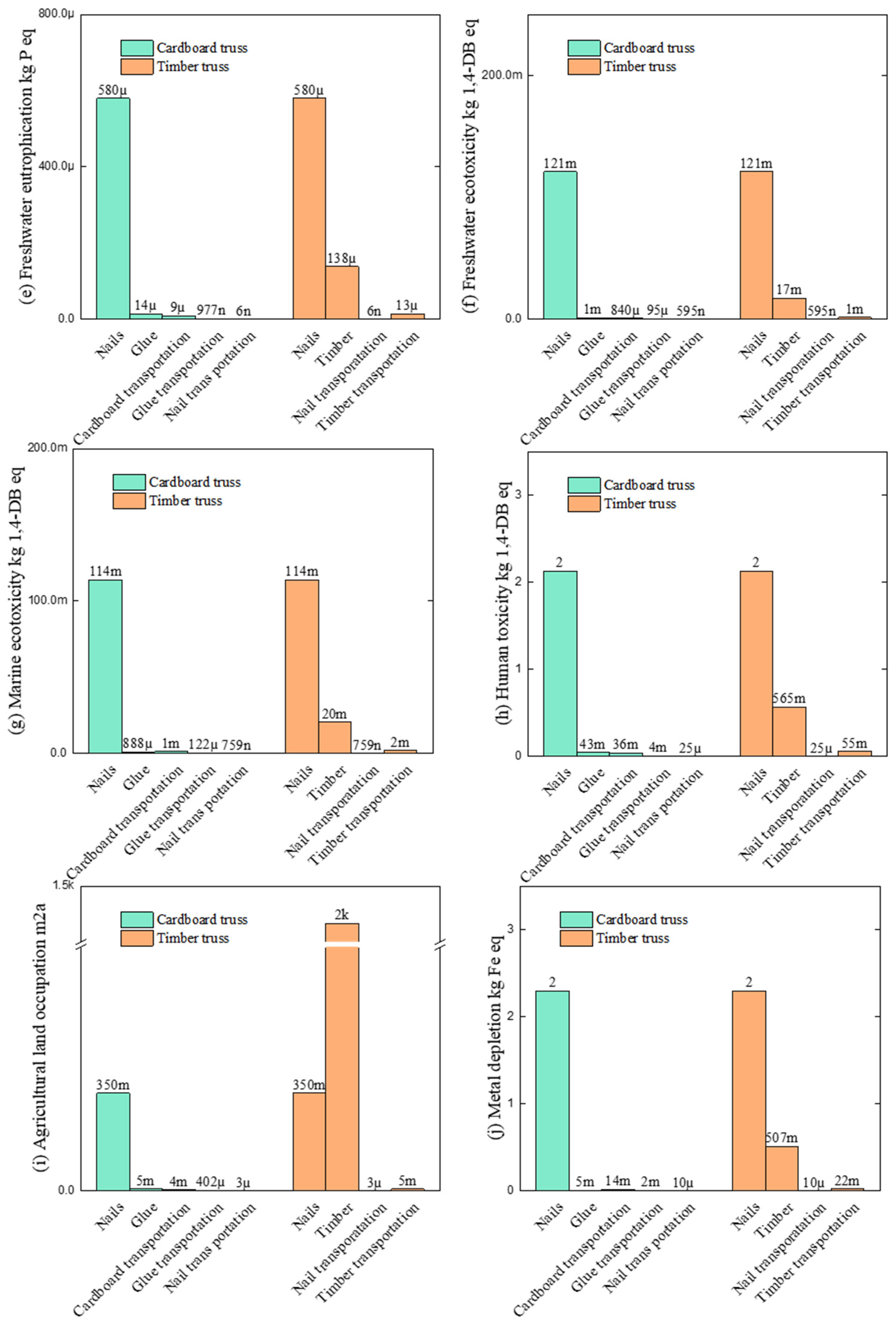
5.1. Comparing the Environmental Impact of Cardboard Truss and Timber Truss
5.2. Environmental Impact Contribution of Lifecycle Stages
5.3. Uncertainty Analysis on the Environmental Impact of Cardboard Recycling Process
5.4. Benefit Analysis
5.5. Cost Analysis
6. Discussion
7. Limitation, Future Research, and Recommendation
8. Conclusions
Funding
Conflicts of Interest
Appendix A
| Impact Categories | Cardboard Truss | Timber Truss |
|---|---|---|
| Climate change (kg CO2 eq) | 8.29 × 100 | 3.07 × 101 |
| Ozone depletion (kg CFC-11 eq) | 2.72 × 10−7 | 1.62 × 10−6 |
| Particulate matter formation (kg PM2.5 eq) | 1.45 × 10−2 | 9.81 × 10−2 |
| Terrestrial acidification (kg SO2 eq) | 3.68 × 10−2 | 2.27 × 10−1 |
| Freshwater eutrophication (kg P eq) | 6.03 × 10−4 | 7.31 × 10−4 |
| Freshwater ecotoxicity (kg 1,4-DB eq) | 1.23 × 10−1 | 1.40 × 10−1 |
| Marine ecotoxicity (kg 1,4-DB eq) | 1.16 × 10−1 | 1.36 × 10−1 |
| Human toxicity (kg 1,4-DB eq) | 2.21 × 100 | 2.75 × 100 |
| Agricultural land occupation (m2a crop eq) | 3.59 × 10−1 | 1.55 × 103 |
| Metal depletion (kg Fe eq) | 2.32 × 100 | 2.83 × 100 |
| Fossil depletion (kg oil eq) | 2.31 × 100 | 6.11 × 100 |
| Water depletion (m3) | 9.32 × 10−2 | 2.22 × 10−1 |
Appendix B
| Impact Category | Truss Type | Material Manufacturing | Material Transportation |
|---|---|---|---|
| Climate change | Cardboard Truss | 7.93 × 100 | 3.59 × 10−1 |
| Timber Truss | 3.02 × 101 | 4.95 × 10−1 | |
| Ozone depletion | Cardboard Truss | 2.27 × 10−7 | 4.52 × 10−8 |
| Timber Truss | 1.55 × 10−6 | 6.23 × 10−8 | |
| Particulate matter formation | Cardboard Truss | 1.37 × 10−2 | 8.62 × 10−4 |
| Timber Truss | 9.69 × 10−2 | 1.19 × 10−3 | |
| Terrestrial acidification | Cardboard Truss | 3.48 × 10−2 | 2.00 × 10−3 |
| Timber Truss | 2.24 × 10−1 | 2.76 × 10−3 | |
| Freshwater eutrophication | Cardboard Truss | 5.94 × 10−4 | 9.58 × 10−6 |
| Timber Truss | 7.18 × 10−4 | 1.32 × 10−5 | |
| Freshwater ecotoxicity | Cardboard Truss | 1.22 × 10−1 | 9.36 × 10−4 |
| Timber Truss | 1.38 × 10−1 | 1.29 × 10−3 | |
| Marine ecotoxicity | Cardboard Truss | 1.15 × 10−1 | 1.19 × 10−3 |
| Timber Truss | 1.34 × 10−1 | 1.65 × 10−3 | |
| Human toxicity | Cardboard Truss | 2.17 × 100 | 4.01 × 10−2 |
| Timber Truss | 2.69 × 100 | 5.52 × 10−2 | |
| Agricultural land occupation | Cardboard Truss | 3.55 × 10−1 | 3.94 × 10−3 |
| Timber Truss | 1.55 × 103 | 5.43 × 10−3 | |
| Metal depletion | Cardboard Truss | 2.30 × 100 | 1.59 × 10−2 |
| Timber Truss | 2.80 × 100 | 2.19 × 10−2 | |
| Water depletion | Cardboard Truss | 9.15 × 10−2 | 1.69 × 10−3 |
| Timber Truss | 2.20 × 10−1 | 2.33 × 10−3 | |
| Fossil depletion | Cardboard Truss | 2.19 × 100 | 1.20 × 10−1 |
| Timber Truss | 5.94 × 100 | 1.65 × 10−1 |
Appendix C
| Impact Categories | Cardboard Truss | +25% | +50% | +75% | +100% | Timber Truss | |
|---|---|---|---|---|---|---|---|
| Cardboard Truss/Timber Truss | +25%/Timber Truss | +50%/Timber Truss | +75%/Timber Truss | +100%/Timber Truss | Timber Truss/ Timber Truss | ||
| Climate change | (kg CO2 eq) | 8.29 × 100 | 1.39 × 101 | 1.96 × 101 | 2.52 × 101 | 3.09 × 101 | 3.07 × 101 |
| % | 27.01 | 45.42 | 63.84 | 82.26 | 100.67 | 100 | |
| Ozone depletion | (kg CFC-11 eq) | 2.72 × 10−7 | 6.05 × 10−7 | 9.39 × 10−7 | 1.27 × 10−6 | 1.61 × 10−6 | 1.62 × 10−6 |
| % | 16.83 | 37.44 | 58.04 | 78.65 | 99.25 | 100 | |
| Particulate matter formation | (kg PM2.5 eq) | 1.45 × 10−2 | 3.56 × 10−2 | 5.67 × 10−2 | 7.77 × 10−2 | 9.88 × 10−2 | 9.81 × 10−2 |
| % | 14.81 | 36.29 | 57.77 | 79.25 | 100.73 | 100 | |
| Terrestrial acidification | (kg SO2 eq) | 3.68 × 10−2 | 8.46 × 10−2 | 1.32 × 10−1 | 1.80 × 10−1 | 2.28 × 10−1 | 2.27 × 10−1 |
| % | 16.24 | 37.30 | 58.37 | 79.43 | 100.50 | 100% | |
| Freshwater eutrophication | (kg P eq) | 6.03 × 10−4 | 6.38 × 10−4 | 6.72 × 10−4 | 7.07 × 10−4 | 7.41 × 10−4 | 7.31 × 10−4 |
| % | 82.59 | 87.29 | 92.00 | 96.71 | 101.42 | 100 | |
| Freshwater ecotoxicity | (kg 1,4-DB eq) | 1.23 × 10−1 | 1.27 × 10−1 | 1.32 × 10−1 | 1.36 × 10−1 | 1.40 × 10−1 | 1.40 × 10−1 |
| % | 88.12 | 91.21 | 94.30 | 97.39 | 100.48 | 100 | |
| Marine ecotoxicity | (kg 1,4-DB eq) | 1.16 × 10−1 | 1.21 × 10−1 | 1.26 × 10−1 | 1.31 × 10−1 | 1.36 × 10−1 | 1.36 × 10−1 |
| % | 85.41 | 89.14 | 92.87 | 96.59 | 100.32 | 100 | |
| Human toxicity | (kg 1,4-DB eq) | 2.21 × 100 | 2.35 × 100 | 2.49 × 100 | 2.64 × 100 | 2.78 × 100 | 2.75 × 100 |
| % | 80.46 | 85.59 | 90.73 | 95.87 | 101.00 | 100 | |
| Agricultural land occupation | (m2a eq) | 3.59 × 10−1 | 3.87 × 102 | 7.74 × 102 | 1.16 × 103 | 1.55 × 103 | 1.55 × 103 |
| % | 0.02 | 25.02 | 50.01 | 75.01 | 100.00 | 100 | |
| Metal depletion | (kg Fe eq) | 2.32 × 100 | 2.45 × 100 | 2.57 × 100 | 2.70 × 100 | 2.83 × 100 | 2.83 × 100 |
| % | 82.03 | 86.51 | 91.00 | 95.48 | 99.97 | 100 | |
| Water depletion | (m3) | 2.31 × 100 | 3.28 × 100 | 4.25 × 100 | 5.22 × 100 | 6.19 × 100 | 6.11 × 100 |
| % | 41.95 | 58.52 | 75.10 | 91.67 | 108.24 | 100 | |
| Fossil depletion | (kg oil eq) | 9.32 × 10−2 | 1.30 × 10−1 | 1.67 × 10−1 | 2.04 × 10−1 | 2.41 × 10−1 | 2.22 × 10−1 |
| % | 37.85 | 53.74 | 69.63 | 85.51 | 101.40 | 100 |
References
- Australian Bureau of Statistics. Waste Account, Australia, Experimental Estimates; Australian Bureau of Statistics: Canberra, Australia, 2020.
- United Nations. Transforming our World: The 2030 Agenda for Sustainable Development; United Nations: New York, NY, USA, 2015. [Google Scholar]
- Tomić, T.; Schneider, D.R. The role of energy from waste in circular economy and closing the loop concept–Energy analysis approach. Renew. Sustain. Energy Rev. 2018, 98, 268–287. [Google Scholar] [CrossRef]
- Pickin, J. National Waste Report 2020; Department of Agriculture, Water and the Environment: Brisbane, Australia, 2020.
- Fernando, S.; Gunasekara, C.; Shahpasandi, A.; Nguyen, K.; Sofi, M.; Setunge, S.; Rahman, M.T. Sustainable Cement Composite Integrating Waste Cellulose Fibre: A Comprehensive Review. Polymers 2023, 15, 520. [Google Scholar] [CrossRef]
- Kharola, S.; Ram, M.; Goyal, N.; Mangla, S.K.; Nautiyal, O.P.; Rawat, A.; Kazancoglu, Y.; Pant, D. Barriers to organic waste management in a circular economy. J. Clean. Prod. 2022, 362, 132282. [Google Scholar] [CrossRef]
- Kuhlman, T.; Farrington, J. What is sustainability? Sustainability 2010, 2, 3436–3448. [Google Scholar] [CrossRef]
- Aziz, M.M.A.; Rahman, M.T.; Hainin, M.R.; Bakar, W.A.W.A. An overview on alternative binders for flexible pavement. Constr. Build. Mater. 2015, 84, 315–319. [Google Scholar] [CrossRef]
- Abu-Lebdeh, T.; Hamoush, S.; Heard, W.; Zornig, B. Effect of matrix strength on pullout behavior of steel fiber reinforced very-high strength concrete composites. Constr. Build. Mater. 2011, 25, 39–46. [Google Scholar] [CrossRef]
- Bolden, J.; Abu-Lebdeh, T.; Fini, E. Utilization of recycled and waste materials in various construction applications. Am. J. Environ. Sci. 2013, 9, 14–24. [Google Scholar] [CrossRef]
- James, M.N.; Choi, W.; Abu-Lebdeh, T. Use of recycled aggregate and fly ash in concrete pavement. Am. J. Eng. Appl. Sci. 2011, 4, 201–208. [Google Scholar] [CrossRef]
- Hamoush, S.; Abu-Lebdeh, T.; Picornell, M.; Amer, S. Development of sustainable engineered stone cladding for toughness, durability, and energy conservation. Constr. Build. Mater. 2011, 25, 4006–4016. [Google Scholar] [CrossRef]
- Abu-Saleem, M.; Gattas, J.M. Fabrication and structural characterisation of hybrid timber-cardboard sandwich beams. Eng. Struct. 2024, 305, 117678. [Google Scholar] [CrossRef]
- Venkatesan, S.; Afroz, M.; Navaratnam, S.; Gravina, R. Circular-economy-based approach to utilizing cardboard in sustainable building construction. Buildings 2023, 13, 181. [Google Scholar] [CrossRef]
- Poutanen, T.; Ovazza, C. Glued timber trusses. In Proceedings of the 11th World Conference on Timber Engineering (WCT), Riva del Garda, Italy, 20–24 June 2010. [Google Scholar]
- Goodwin, J.; Woods, J.E.; Hoult, N.A. Assessing the structural behaviour of glued-laminated timber beams using distributed strain sensing. Constr. Build. Mater. 2022, 325, 126844. [Google Scholar] [CrossRef]
- Kromoser, B.; Braun, M.; Ortner, M. Construction of all-wood trusses with plywood nodes and wooden pegs: A strategy towards resource-efficient timber construction. Appl. Sci. 2021, 11, 2568. [Google Scholar] [CrossRef]
- Huntzinger, D.N.; Eatmon, T.D. A life-cycle assessment of Portland cement manufacturing: Comparing the traditional process with alternative technologies. J. Clean. Prod. 2009, 17, 668–675. [Google Scholar] [CrossRef]
- Josa, A.; Aguado, A.; Heino, A.; Byars, E.; Cardim, A. Comparative analysis of available life cycle inventories of cement in the EU. Cem. Concr. Res. 2004, 34, 1313–1320. [Google Scholar] [CrossRef]
- Serres, N.; Braymand, S.; Feugeas, F. Environmental evaluation of concrete made from recycled concrete aggregate implementing life cycle assessment. J. Build. Eng. 2016, 5, 24–33. [Google Scholar] [CrossRef]
- ISO14040:2006; Environmental Management-Life Cycle Assessment-Principles Framework. European Committee for Standardization: Brussels, Belgium, 2006.
- Damineli, B.L.; Kemeid, F.M.; Aguiar, P.S.; John, V.M. Measuring the eco-efficiency of cement use. Cem. Concr. Compos. 2010, 32, 555–562. [Google Scholar] [CrossRef]
- Braga, A.M.; Silvestre, J.D.; de Brito, J. Compared environmental and economic impact from cradle to gate of concrete with natural and recycled coarse aggregates. J. Clean. Prod. 2017, 162, 529–543. [Google Scholar] [CrossRef]
- Zhang, J.; Fernando, S.; Law, D.W.; Gunasekara, C.; Setunge, S.; Sandanayake, M.; Zhang, G. Life cycle assessment for geopolymer concrete bricks using brown coal fly ash. Sustainability 2023, 15, 7718. [Google Scholar] [CrossRef]
- Das, P.; Cheela, V.R.S.; Mistri, A.; Chakraborty, S.; Dubey, B.; Barai, S.V. Performance assessment and life cycle analysis of concrete containing ferrochrome slag and fly ash as replacement materials—A circular approach. Constr. Build. Mater. 2022, 347, 128609. [Google Scholar] [CrossRef]
- Huang, B.; Zhuge, Y.; Rameezdeen, R.; Xing, K.; Huang, G.; Liu, Y. Integrated carbon assessment for sludge-derived concrete: Modelling and a comparative study. J. Clean. Prod. 2024, 435, 140304. [Google Scholar] [CrossRef]
- Bare, J.C.; Hofstetter, P.; Pennington, D.W.; De Haes HA, U. Midpoints versus endpoints: The sacrifices and benefits. Int. J. Life Cycle Assess. 2000, 5, 319–326. [Google Scholar] [CrossRef]
- Department of Infrastructure, Transport, Regional Development and Communications. General Goods—Supply Chain Benchmarking Report; Department of Infrastructure, Transport, Regional Development and Communications: Canberra, Australia, 2021.
- Adhikari, S.; Ozarska, B. Minimizing environmental impacts of timber products through the production process “From Sawmill to Final Products”. Environ. Syst. Res. 2018, 7, 6. [Google Scholar] [CrossRef]
- Andersen, S.C.; Hollberg, A.; Browne, X.; Wallbaum, H.; Birgisdóttir, H.; Larsen, O.P.; Birkved, M. Environmental impacts of circularity in the built environment: How do system boundaries affect decision support? Dev. Built Environ. 2024, 18, 100398. [Google Scholar] [CrossRef]
- Eliassen, A.; Faanes, S.; Bohne, R. Comparative LCA of a concrete and steel apartment building and a cross laminated timber apartment building. In IOP Conference Series: Earth and Environmental Science; IOP Publishing: Bristol, UK, 2019. [Google Scholar]
- Mahdi, S.; Xie, T.; Venkatesan, S.; Gravina, R.J. Mechanical characterisation and small-scale life-cycle assessment of polypropylene macro-fibre blended recycled cardboard concrete. Constr. Build. Mater. 2023, 409, 133902. [Google Scholar] [CrossRef]
- Patterson, W. Environmental impacts of growing and harvesting timber. In AIChE Symposium Series; Department of Forestry and Wildlife Management, University of Massachusetts: Amherst, MA, USA, 1984. [Google Scholar]
- Bahar, N.H.; Lo, M.; Sanjaya, M.; Van Vianen, J.; Alexander, P.; Ickowitz, A.; Sunderland, T. Meeting the food security challenge for nine billion people in 2050: What impact on forests. Glob. Environ. Change 2020, 62, 102056. [Google Scholar] [CrossRef]
- Barbosa, R.P.; Fiedler, N.C.; Silva, J.R.M.; Souza, A.P.D.; Minette, L.J.; Oliveira, M.P. Concentration and size of airborne particulates in woodworking shops. Rev. Árvore 2018, 42, e420109. [Google Scholar] [CrossRef]
- Milota, M.R. Emissions from wood drying: The science and the issues. For. Prod. J. 2000, 50, 10. [Google Scholar]
- Le Quéré, C.; Raupach, M.R.; Canadell, J.G.; Marland, G.; Bopp, L.; Ciais, P.; Conway, T.J.; Doney, S.C.; Feely, R.A.; Foster, P. Trends in the sources and sinks of carbon dioxide. Nat. Geosci. 2009, 2, 831–836. [Google Scholar] [CrossRef]
- Miles, L.; Kapos, V. Reducing greenhouse gas emissions from deforestation and forest degradation: Global land-use implications. Science 2008, 320, 1454–1455. [Google Scholar] [CrossRef]
- Baccini, A.; Goetz, S.J.; Walker, W.S.; Laporte, N.T.; Sun, M.; Sulla-Menashe, D.; Hackler, J.; Beck, P.S.A.; Dubayah, R.; Friedl, M.A. Estimated carbon dioxide emissions from tropical deforestation improved by carbon-density maps. Nat. Clim. Chang. 2012, 2, 182–185. [Google Scholar] [CrossRef]
- Lindholm, E.L.; Berg, S. Energy requirement and environmental impact in timber transport. Scand. J. For. Res. 2005, 20, 184–191. [Google Scholar] [CrossRef]
- Jurgensen, M.; Harvey, A.E.; Graham, R.T.; Page-Dumroese, D.S.; Tonn, J.R.; Larsen, M.J.; Jain, T.B. Impacts of timber harvesting on soil organic matter, nitrogen, productivity, and health of Inland Northwest forests. For. Sci. 1997, 43, 234–251. [Google Scholar] [CrossRef]
- Wootton, J.T. Effects of timber harvest on river food webs: Physical, chemical and biological responses. PLoS ONE 2012, 7, e43561. [Google Scholar] [CrossRef] [PubMed]
- Scalisi, F.; Sposito, C. Measure the Embodied Energy in Building Materials: An Eco-Sustainable Approach for Construction. In Renewable Energy and Sustainable Buildings: Selected Papers from the World Renewable Energy Congress WREC 2018; Springer: New York, NY, USA, 2020. [Google Scholar]









| Material/Process | Timber | Cardboard | Nails and Other Connecting Materials | Strengthening Glue | Cardboard Truss | Timber Truss |
|---|---|---|---|---|---|---|
| Material Manufacture | - | - | - | |||
| Material Transportation | - | - | ||||
| Truss Manufacture | - | - | - |
| Material | Source | Weight (kg) | Transportation Distance (km) |
|---|---|---|---|
| Recycled Cardboard (Per Truss) | Citywide Australia Pty Ltd., Footscray, VIC, Australia | 33 | 22.5 |
| Strengthening Glue (Per Truss) | Company in Cheltenham, VIC, Australia | 0.075 | 29.8 |
| Nails (Per Truss) | Commercial stores in Melbourne, Australia | 3 | 16.7 |
| Timber (Per Timber Truss) | Local companies in Melbourne, Australia | 162 | 50 |
| Cost (AUD) | Material Manufacture | Material Transportation | Truss Manufacture | |||
|---|---|---|---|---|---|---|
| Cardboard Truss | Timber Truss | Cardboard Truss | Timber Truss | Cardboard Truss | Timber Truss | |
| Timber | 0 | 1124 | 0 | 1.53 | 178.3 | 89.1 |
| Glue | 2.17 | 0 | 0.00042 | 0 | ||
| Cardboard | 0 | 0 | 0.14108 | 0 | ||
| Nails | 34 | 34 | 0.00952 | 0.00952 | ||
| Total Cost (AUD/truss) | 36.2 | 1157.9 | 0.2 | 1.5 | 178.3 | 89.1 |
Disclaimer/Publisher’s Note: The statements, opinions and data contained in all publications are solely those of the individual author(s) and contributor(s) and not of MDPI and/or the editor(s). MDPI and/or the editor(s) disclaim responsibility for any injury to people or property resulting from any ideas, methods, instructions or products referred to in the content. |
© 2024 by the authors. Licensee MDPI, Basel, Switzerland. This article is an open access article distributed under the terms and conditions of the Creative Commons Attribution (CC BY) license (https://creativecommons.org/licenses/by/4.0/).
Share and Cite
Venkatesan, S.; Zhang, J.; Law, D.; Gravina, R.; Navaratnam, S. Application of Recycled Cardboard to Construction Based on Life Cycle Assessment. Sustainability 2024, 16, 8386. https://doi.org/10.3390/su16198386
Venkatesan S, Zhang J, Law D, Gravina R, Navaratnam S. Application of Recycled Cardboard to Construction Based on Life Cycle Assessment. Sustainability. 2024; 16(19):8386. https://doi.org/10.3390/su16198386
Chicago/Turabian StyleVenkatesan, Srikanth, Jingxuan Zhang, David Law, Rebecca Gravina, and Satheeskumar Navaratnam. 2024. "Application of Recycled Cardboard to Construction Based on Life Cycle Assessment" Sustainability 16, no. 19: 8386. https://doi.org/10.3390/su16198386
APA StyleVenkatesan, S., Zhang, J., Law, D., Gravina, R., & Navaratnam, S. (2024). Application of Recycled Cardboard to Construction Based on Life Cycle Assessment. Sustainability, 16(19), 8386. https://doi.org/10.3390/su16198386

