Abstract
Consuming fish sustainably means consuming less and better, considering environmental, social, and economic impacts. This demands more knowledge to make informed decisions. In this study, the main goal was to understand how environmental sustainability education can be used as a tool to increase the knowledge and promote sustainable behaviour and consumption habits of 4th-grade students. The COVID-19 pandemic forced the use of two different learning methods, face-to-face and online learning, leading to two different groups of students, and we attempted to measure if the mode of implementing the activities affected the knowledge of the students. A sequential explanatory mixed methodology was applied with a pre-test/post-test design combined with focus group interviews. Between the pre- and post-tests, three activities modules were performed. The results showed that the students were unaware of many aspects related to sustainable fish consumption, but the developed activities significantly increased their knowledge of the subject and impacted students in terms of changing their consumption behaviours. It was also found that the construction of knowledge by the students after the activities was achieved either via face-to-face or online learning. Interviews from the focus group sessions showed that students got to know new fish species, learned about the concept of minimum landing size and closure season and that fish are labelled like other types of food.
1. Introduction
Marine ecosystems offer numerous advantages, including the provision of sustenance, pharmaceutical resources, basic materials, and energy. Additionally, they serve a cultural function by facilitating leisure pursuits that enhance our overall health and happiness [1,2,3].
To ensure the well-being of marine ecosystems, it is of paramount importance to foster a deeper appreciation and understanding of the ocean. This mission should commence in early education, offering children the opportunity to develop a connection with their local marine environment [4]. Urgent action is needed to educate and inform citizens of all ages, encouraging responsible attitudes and critical thinking to promote a more ocean-literate society [5]. Specifically, middle school students have proven to be influential, as they can impact adults in their families and social circles, acting as agents of change and responsible future citizens [6]. Consequently, students must have a solid foundation of ocean knowledge, coupled with pro-environmental attitudes and behaviours, enabling them to safeguard and sustainably use the ocean and make informed, responsible decisions regarding it as they transition into adulthood. Thus, the concept of ocean literacy plays an important role in this study.
Ocean literacy is a movement that started in 2002 in the United States with a group of scientists and educators joining to discuss the importance of including ocean sciences in the school curriculum. From the extensive process of meetings and discussions, two documents comprising the Ocean Literacy Framework were developed: (a) the Essential Principles and Fundamental Concepts of Ocean Sciences [7], representing the main ideas about the ocean and its significance that students should understand at the end of high school, and (b) The Ocean Literacy Scope and Sequence [8], providing information and guidance on what students need to comprehend at different grades to understand ocean literacy principles. Since then, Ocean Literacy has improved around the world, with investments and projects being developed in the US and EU, new professional organisations and networks emerging, and international collaborations being implemented. Portugal was among the first countries to implement informal ocean literacy projects, probably given its geographic location and its long maritime tradition, justifying the already ongoing sea-related environmental education school activities even before the ocean literacy hallmark.
Education is not the only but one of the most important paths to attain sustainable development. Education for Sustainable Development (ESD) aims at developing students’ awareness regarding sustainability issues, transforming their attitudes towards the environment, economy, and society, and reducing personal and ecological footprints [9]. Several studies have proven that increasing awareness of the participants promotes more sustainable behaviours [10,11,12,13]. Changing learner attitudes and related behaviours is critical in Environmental Sustainability Education (ESE), and it is successful only when learners exhibit environment-friendly actions in real life [14].
This motivated the present research: to know whether 9 to 10-year-old students recognize the importance of fish consumption, the urgency of being sustainable in their choices, and the role they can have as information vectors within their families. So, the main objective of the present study was to understand how ESE activities can be used as a tool to raise awareness and promote new habits regarding sustainable fish consumption by children in the 4th grade.
Moreover, as the work took place during the COVID-19 pandemic, constraints were raised, particularly in public schools, regarding the access of staff outside the schools and forcing the use of new online learning methodologies. Thus, face-to-face learning methodology was used in private schools and distance learning in public ones, conditioning the need to evaluate the effectiveness of the methods used.
The following research questions were defined as follows:
1. What is the effect of participation in sustainable fish consumption activities on the knowledge, sustainable behaviour and consumption habits of 4th-grade students?
2. How does the mode of implementing activities (face-to-face vs. online) affect the knowledge of students?
2. Literature Review
2.1. The Need for Sustainable Fish Consumption
Fish are widely recognized for their nutritional benefits. They are a favoured dietary selection due to their delectable taste, low calorie and carbohydrate content, high protein levels, minimal saturated fat, and rich assortment of vital minerals and micronutrients. Furthermore, fish represent the primary dietary source of long-chain omega-3 polyunsaturated fatty acids, which are deemed “essential” since the human body requires them but cannot sufficiently produce them on its own, necessitating their acquisition through dietary means [15].
Globally, aquatic foods provided about 17 percent of animal proteins and 7 percent of all proteins in 2019 [16]. The global intake of aquatic foods has seen a significant rise in recent years and is expected to continue. Excluding algae, the per capita amount meant for human consumption reached 20.2 kg. Anticipated drivers of a 15 per cent increase in aquatic food consumption, resulting in an average of 21.4 kg per capita by 2030, include increasing incomes, urbanisation, enhanced post-harvest practices, and evolving dietary preferences. Portugal stands among the top five countries globally, with an average apparent per capita consumption of aquatic foods exceeding 50 kg per year between 2017 and 2019 [16], and it holds the distinction of being the European Union nation with the highest annual per capita seafood consumption, approximately 56 kg [17].
A complex interplay of factors, including geography, marine resources, historical fishing traditions, political dynamics, and sociocultural influences like religion and social customs, collectively shape the patterns of seafood consumption [18]. These multifaceted elements help explain the disparities in per capita aquatic food consumption between nations.
As fish consumption increases, fishery resources face ongoing depletion driven by overfishing, pollution, inadequate management, and other contributing factors. Encouragingly, there is a concurrent rise in the landings from biologically sustainable stocks [16]. However, the heightened consumption of fish carries consequences on multiple fronts: environmental, given the overexploitation of marine resources; economic, with implications for imported products; and even health-related concerns in terms of human nutrition, as excessive consumption can lead to health problems such as high level of mercury, which damage nerves in adults and disrupt development of the brain and nervous system in a fetus or young child [19]. However, the viability of promoting greater fish consumption as a dietary suggestion must be carefully weighed against the sustainability of marine stocks [20].
Consumers have actively joined efforts to address the issue, leading to the emergence of a sustainable seafood movement aimed at redirecting consumer demand toward more environmentally responsible seafood products. Additionally, eco-labels have become emblematic of sustainability, with certain supermarket chains and restaurants pledging to exclusively offer certified sustainable seafood [20].
Portuguese consumers possess a substantial knowledge base about seafood in general, and they enjoy a diverse range of seafood, including fish, shellfish, cephalopods, and crustaceans, which should be a consequence of the diverse nature of Portuguese fisheries [20]. In Portugal, cod takes the lead as the most consumed fish, accounting for approximately 38% of seafood consumption, followed by tuna at 7%, and hake at 6% [18]. Sea bream and salmon, both from aquaculture sources, also enjoy substantial popularity. However, there appears to be a declining trend in the significance of sardines and horse mackerel [17]. Nevertheless, and despite their considerable knowledge of seafood, Portuguese consumer choices do not seem to be significantly influenced by environmental concerns [20].
Healthy eating has emerged as a prevailing trend in food consumption, leading to a growing demand for nutritious and healthful options, including aquatic foods. This surge in consumer and major distributor interest in the sustainability of aquatic food systems, with a focus on environmental and social aspects, has prompted the development of certification programs and labelling by producers and retailers. These efforts aim to align with consumer preferences for sustainable aquatic food [16]. However, consumers often lack awareness of the environmental consequences associated with their seafood consumption. This is, in part, attributed to a deficiency in “ocean literacy”, as well as an inability to transform knowledge into action through what is referred to as “marine citizenship”. This concept involves the idea of collectively altering behaviours to diminish adverse impacts [21].
A range of learning activities have been proposed to promote sustainable food consumption. Feijoo [22] and Maher [23] both emphasise the importance of experiential learning, with Feijoo focusing on environmental awareness and responsible food consumption, and Maher on self-awareness and problem-solving abilities. Brekken [24] and Seidel [25] suggest a more comprehensive approach, incorporating systems thinking and project-based learning to explore the complexities of sustainable food systems. These activities, which include life cycle characterisation, eco-friendly food challenges, and project work, can help students develop a deeper understanding of sustainable food consumption and its implications.
ESE activities should attempt to ensure attitude changes that lead to lasting behaviour changes [14]. However, changes in attitude may not always translate into changes in long-term behaviour, as attitudes that are learned can be lost over time [26]. Ideally, education focused on sustainability should involve projects and hands-on experiences, fostering a “learning by doing” approach to encourage behavioural change [14].
2.2. Ocean Literacy and Sustainable Development Goals
Ocean literacy is the understanding of the ocean’s influence on us and our influence on the ocean. An ocean-literate person understands the fundamental concepts about the functioning of the ocean, can communicate about the ocean in a meaningful way, and can make informed and responsible decisions regarding the ocean and its resources [27]. Ocean literacy is a huge challenge for all players in society. The understanding of how the human–ocean relationship translates into a behavioural change that positively affects the oceans is key to making decision-makers and the society ocean literate. This task should start with primary and secondary students, with scientists and school educators playing a crucial role in increasing student awareness about the ocean [28]. Unfortunately, national school curricula worldwide lack ocean literacy-related issues [1], probably because curriculum designers and textbook authors are most probably unaware of the existence of the Ocean Literacy Framework [29].
In 2015, the United Nations announced the 2030 Agenda for Sustainable Development, which is composed of 17 Sustainable Development Goals (SDGs) [30]. Among them, three are particularly relevant in the present study: SDG 4 (Quality Education), which seeks to ensure inclusive and equitable quality education, providing students with the knowledge and skills needed to advance a more sustainable society; SDG 12 (Responsible Consumption and Production), which claims to ensure sustainable consumption and production patterns, which is key to sustain the livelihoods of current and future generations, and SDG 14 (Life below Water), which focuses on the conservation and sustainable utilisation of oceans, seas, and marine resources for sustainable development. Ocean literacy plays a pivotal role in achieving these goals and the objectives of the decade, holding a significant position in the Implementation Plan, which is one of the seven Ocean Decade Outcomes, ‘An engaging and inspiring ocean’, and is explicitly referenced in the 9th and 10th Ocean Decade Challenges [31].
2.3. Face-to-Face vs. Online Methodologies
E-learning became a topic of discussion in the late 1990s, but only during the pandemic did it become prominent in terms of necessity, bringing up the dichotomy between this methodology and face-to-face teaching mode [32]. These are two learning methods with different characteristics. In the first one, specific teaching activities are performed, and information transfer is mediated by electronic and digital platforms facilitated by the Internet. The second one is considered a more traditional type of learning where course content and learning material are taught in person to a group of students [33].
Online learning places a greater emphasis on student-centred approaches. Assessments of students can be conducted using various tools, allowing access to information from diverse documents uploaded onto the platforms. The effectiveness of learning is closely tied to both the digital proficiency of teachers and their instructional methods. The face-to-face learning method tends to be conducted by teachers who serve as the primary source of information [33,34]. Consequently, the quality of learning is heavily reliant on the effectiveness of the teachers. E-learning is more flexible; there is no need to travel to school, and it is cost-effective, requiring only an internet connection and a computer. However, it involves acquiring computer skills and access to a dedicated physical space, which may not be accessible to all potential beneficiaries [34]. Some studies also show that e-learning does not have the same impact as face-to-face learning [35]. Students may struggle to maintain focus and meet deadlines, leading to potential negative consequences like vision issues and back pain. Additionally, there could be a perceived lack of outdoor activities for students [36].
Both learning methods have their own strengths and weaknesses, but both require students and a teacher to utilize organized educational content and assess students through class projects and exams [37].
During 2020, the world was challenged by the COVID-19 pandemic, which forced the practice of social distancing. Schools suspended classes and activities, particularly between March and July, and adopted innovative measures to maintain learning opportunities, including online lectures. Online platforms provided opportunities to meet and discuss without being physically close to each other. Although in September 2020, the new school year took over the face-to-face mode, several constraints remained limiting the access of people outside the schools to them. It was then necessary to adopt an adapted strategy to overcome these limitations using distance learning methods.
2.4. Hypotheses
The learning activities implemented in the present study focus on specific contents, sustainable behaviour, and consumption habits, and it is predicted that these will have a positive effect on learning competencies: knowledge, skills, and attitudes. As these aspects were worked in both learning methodologies (online and face-to-face) exploring the contents in the same way, it is expected that there will be no differences between them regarding the knowledge of children.
Overall, the present study aims to test the following research hypotheses:
H1.
The participation in sustainable fish consumption activities increases the knowledge, sustainable behaviour and consumption habits of 4th-grade students.
H2.
Students increase knowledge regardless of the implementation learning mode (face-to-face vs. online).
3. Materials and Methods
3.1. Participants and Procedure
A total of 179 students of the 4th grade (aged 9–11 years of formal education at school) belonging to eight classes within four primary schools (two public schools and two private schools) from the Lisbon region (Portugal) participated in this study (Table 1). The activities were implemented by a researcher in collaboration with each class’s in-service teacher.
Table 1.
Total number of students per class and school.
The 4th-grade students were chosen because these are the primary school students with the best reading and writing skills, as well as greater autonomy and critical thinking about the world around them. In Portuguese primary schools, the classes are tutored by a single teacher, which facilitates the development of curriculum extension activities. Additionally, in Portugal, ocean literacy topics are being added to the curricula of the 4th-grade students, which reinforces the selection of this school year. To reach the project’s main goals, three phases were considered:
- Pre-test: Aiming to gauge students’ prior knowledge about sustainable fish consumption, they were asked to complete an online questionnaire (Table 2);
Table 2. List of twenty-one questions used as pre-and post-test, answer options, and category. The right answers are in bold.
- 2.
- Activities: Three learning modules, each 45 to 60 min, in a school context, comprising different ESE activities, were developed a week apart. The activities were structured to address five topics about sustainable fish consumption: M1, species biology and seasonality of fishing; M2, fishing methods and minimum landing size; M3, fish labelling (Table 3).
Table 3. Learning modules description.
- 3.
- Post-tests and focus group interviews: Students were asked to complete the same online questionnaire they responded to before, and the answers were used to evaluate the effect of the participation in the activities on the knowledge of students. Focus group interviews were applied to a group of five students from each class to clarify and support the findings from the questionnaires, enabling a methodological triangulation approach. The post-tests took place two weeks after the last module, and the interviews 15 days after (Figure 1).
Figure 1. Timeline of the learning activities developed.
As the study took place during the COVID-19 pandemic (September–December 2020), public and private schools had different rules in terms of accessing the classroom and the students. In public schools, people outside the school were not allowed in, so the procedure took place online with the guidance of the main researcher (first author of this paper); teachers had a preliminary training session to be aware of the procedures and be able to help to distribute the support materials (online mode). In private schools, the main researcher was able to go in and was responsible for developing all the procedures with some help from the teachers (face-to-face mode).
3.2. Data Collection
A mixed methodology was applied in this study based on critical and interpretive social science techniques [38,39], with the use of questionnaires and focus group interviews.
Data were collected through pre-and post-tests administered to students (n = 179, 88 face-to-face and 91 online) and focus group interviews (n = 40).
The questionnaire was closed, individual, anonymous, and the same before and after the activities took place. It was tested for adequacy understanding in a control group of 10 participants with the same age as the students included in this study. The pre-test was applied one week before the activities and the post-test one week after. It was structured into 21 questions organised into three categories: knowledge, consumption habits, and sustainable behaviour (Table 2). The pre-test aimed to give an initial diagnostic assessment, allowing to understand the student’s knowledge of the topics. The post-test and the comparison of the answers between pre- and post-tests allowed observing if there was an increase in knowledge and changes in attitudes toward sustainable fish consumption. Cronbach’s Alpha [40] is applied as a measure of internal consistency, and a score between 0.7 and 0.8 is considered acceptable, that is, the scale is internally consistent. The present questionnaire with 21 questions was performed on 181 students, achieving a Cronbach’s Alpha of 0.742.
The focus group interviews were semi-structured, and the questions related to the analysed categories (Table 4) lasted a maximum of 30 min and took place two weeks after the post-tests. The five students of each class that participated were randomly selected. In the face-to-face teaching mode, interviews took place in a classroom context at the school, and in the online teaching mode, they took place via videoconference (Zoom and Teams platforms). The interviews were audio-recorded and fully transcribed for posterior analysis.
Table 4.
Semi-structured focus group interview scripts for students.
3.3. Data Analysis
3.3.1. Pre- and Post-Test
The answers obtained from both questionnaires (pre and post) were scored according to a correction matrix [29]: each correct answer had a score equal to one (1); each incorrect answer or the option “I don’t know/never heard of it” scored zero (0); questions with several answer options had a scale of score value (1, 2, 3 or 4); the total score obtained was considered proportional to students’ knowledge on the subjects (Table 5). Individual classification resulted from the sum of the scores obtained for each question.
Table 5.
Pre- and post-test scores.
The global scores obtained for pre- and post-tests and via the learning method were compared using box and whisker plots and statistically analysed using RStudio [41], including packages dplyr [42], psych [43], rstatix [44] DescTools [45]. The presuppositions of normality and homoscedasticity were tested, and when fulfilled, one-way ANOVA was applied; otherwise, the Kruskall–Wallis non-parametric test (H) was performed.
Answers were also quantitatively analysed using basic descriptive statistics, and results were compared using the t-test statistic, and if greater than 1.96, a statistically significant difference was considered.
To test the existence of statistically significant differences (p < 0.05), one-way ANOVA was applied; otherwise, non-parametric tests were performed.
3.3.2. Interviews in Focus Group
All focus group interviews were audio-recorded and were analysed through content analysis based on categories that emerged from starting questions and responses given by the participants, aiming to support the study results. It was an iterative process of reading and re-reading the data, selecting, coding (data reduction) and displaying the data into categories [46]. The content analysis was performed using the N-Vivo program (N-Vivo v. 1).
4. Results
4.1. Pre- and Post-Test
4.1.1. Knowledge and Sustainable Behaviour
An overall improvement regarding knowledge and sustainable behaviour categories was observed, with significant statistical differences registered between overall scores obtained in pre-and post-test (H = 104.29, p < 0.05; Figure 2).
Figure 2.
Pre- and post-test scores considering all the participant students. [Middle line—median; box lower and upper limits—1st and 3rd quantiles; whisker values—1.5 times the interquartile range from the top (or bottom) of the box to the furthest datum; points—outliers].
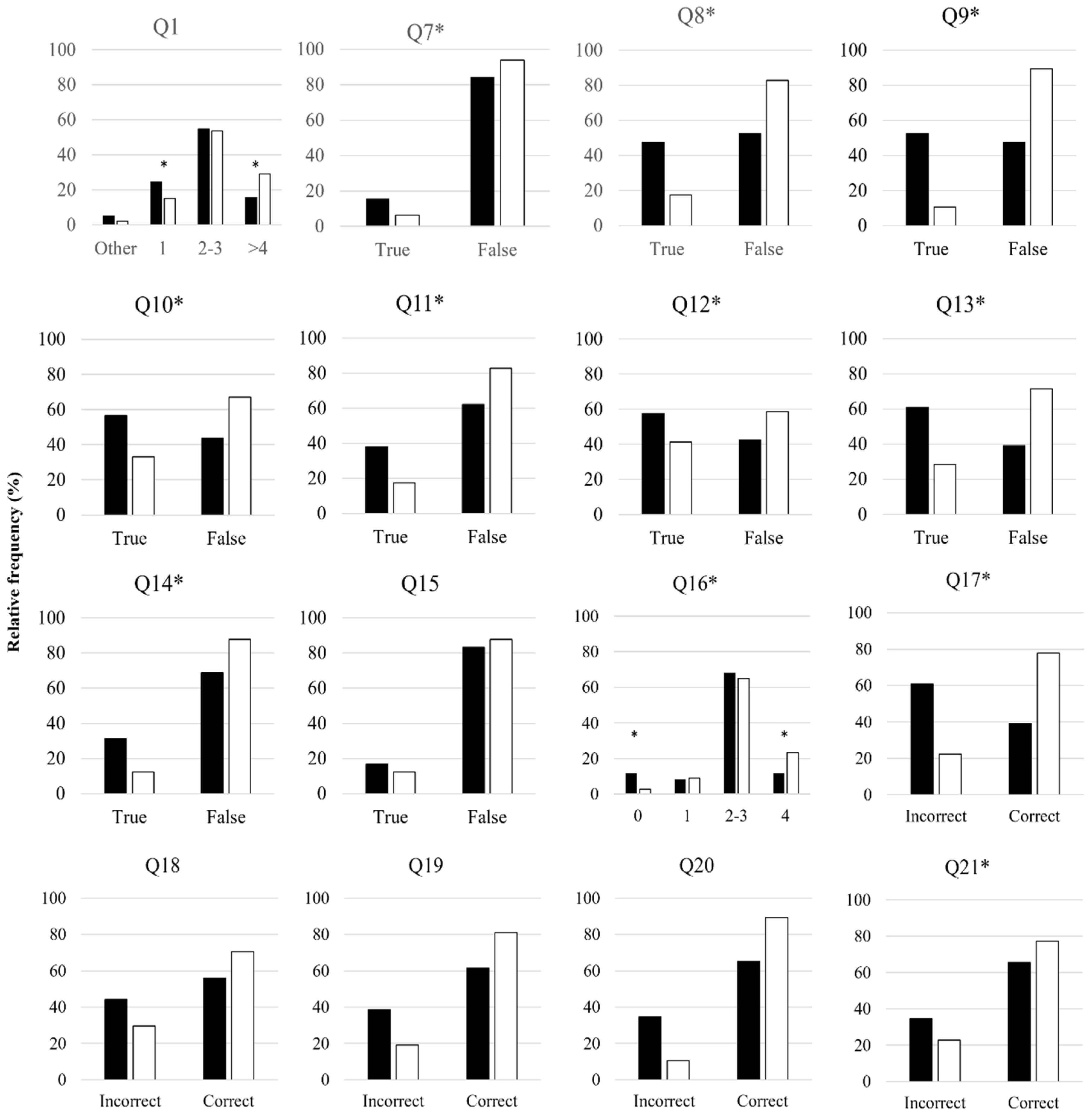
Regarding the questions of “knowledge” and “consumption habits” significant statistical differences between most of them were obtained, namely Q7 to Q14, Q17, and Q21, where the number of wrong answers decreased in the post-test. In questions Q1 and Q16, significant statistical differences were observed only for the percentage of students that chose options (b) and (d), and (a) and (d), respectively (t < 1.98; Figure 3). Q15 was the only question where no differences were observed.
Figure 3.
Relative frequencies obtained for each question related to the category “knowledge” and “sustainable behaviours”: pre-test; post-test. Questions with significant differences between pre and post-test are marked with *.
4.1.2. Consumption Habits
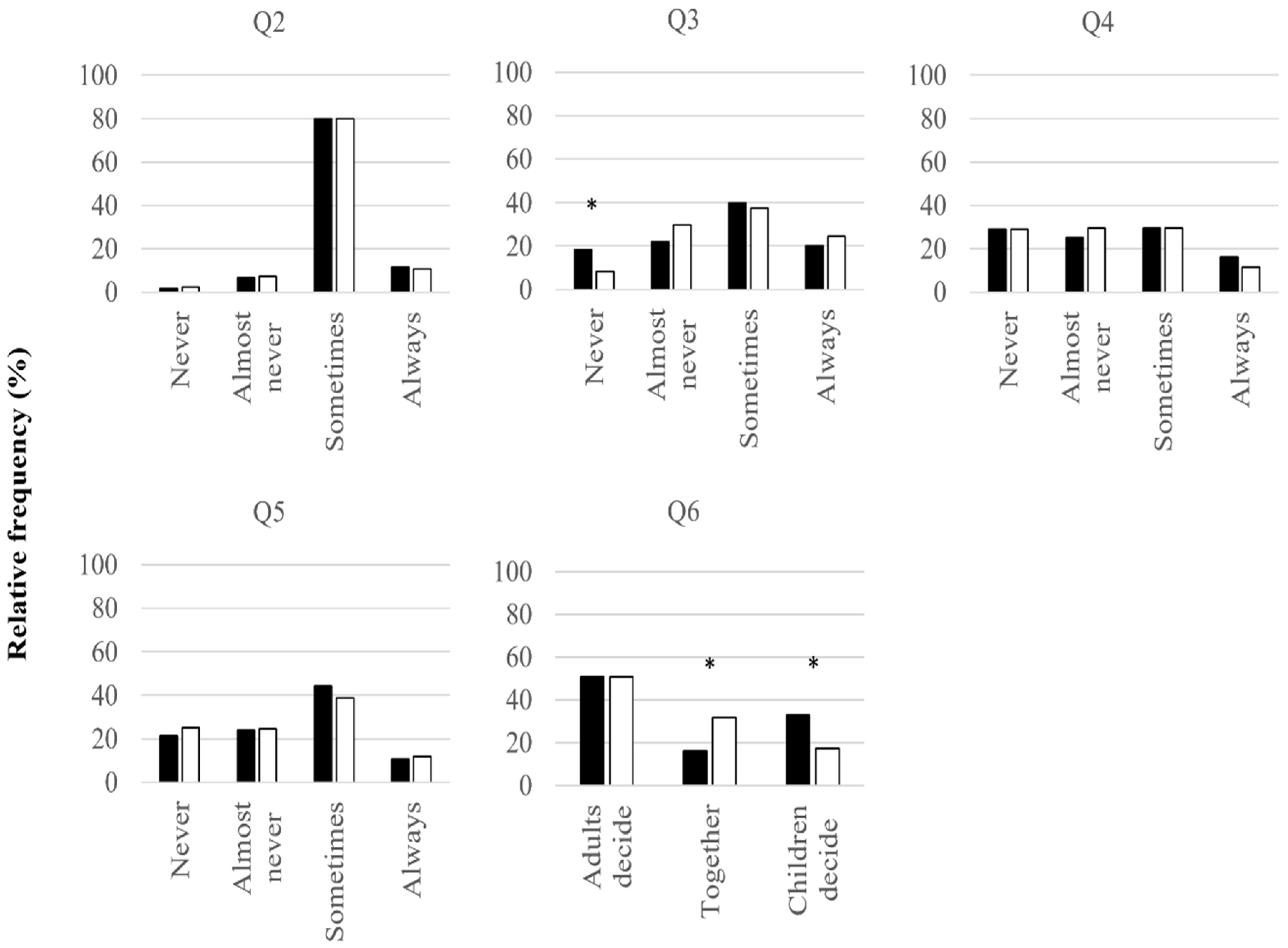
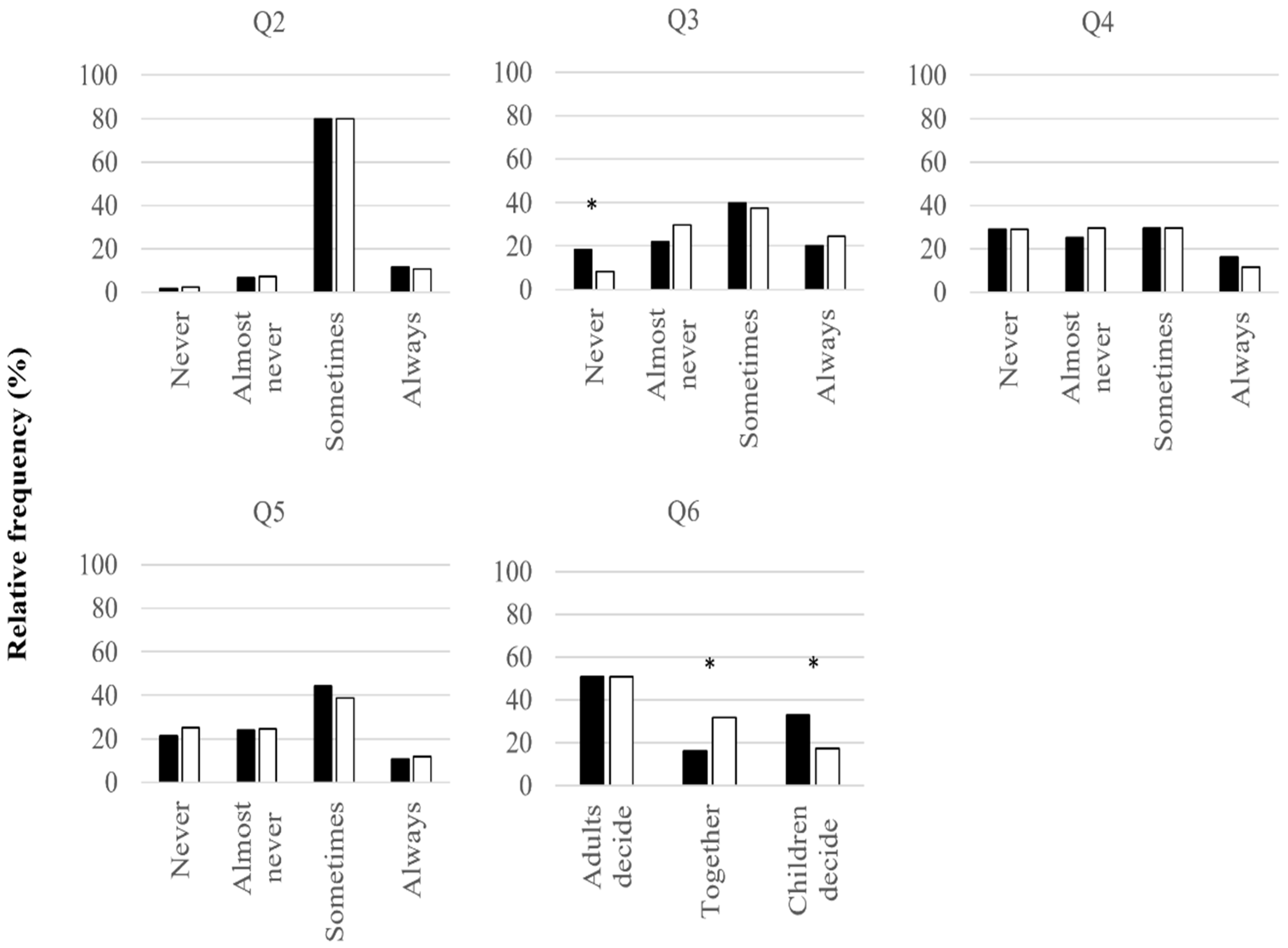
In general, no statistically significant differences between pre-and post-test questions regarding the “consumption habits” category were observed, except for (1) the percentage of students who answered, “Never bought fish” (Q3) that decreased significantly in the post-test; (2) in Q6, the percentage of students who answered “We decide together” and “I decide what to eat”, that significantly increased and decreased, respectively, in the post-test (t < 1.98; Figure 4).
Figure 4.
Relative frequencies obtained for each question related to the category “consumption habits”: pre-test; post-test. (*) mark significant differences.
4.1.3. Results per Teaching Mode
The students’ answers obtained in the “knowledge” and “consumption habits” categories were compared to check for differences between learning modes (Figure 5).
Figure 5.
Pre- and post-test scores obtained per teaching mode (white, face-to-face; grey, online). [Middle line—median; box lower and upper limits—1st and 3rd quantiles; whisker values—1.5 times the interquartile range from the top (or bottom) of the box to the furthest datum; points—outliers].
Statistically significant differences both in the face-to-face mode (H (1) = 64.254, p < 0.05) and in the online mode (H (1) = 39.642, p < 0.05) were found, with an increase in the score from pre- to post-test in both teaching methods.
The initial level of knowledge of the students who took part in each teaching mode was assessed by comparing the results of the pre-test. Those who participated in the online learning mode scored higher than those from the face-to-face learning mode (ANOVA, F (177.1) = 11.36, p < 0.05). When comparing the results obtained in the post-test for both learning modes, no statistically significant differences were observed (H (1) = 0.319, p = 0.572; Figure 6).
Figure 6.
Face-to-face and online scores obtained in pre- and post-tests (white, Pre-test; grey, Post-test). [Middle line—median; box lower and upper limits—1st and 3rd quantiles; whisker values—1.5 times the interquartile range from the top (or bottom) of the box to the furthest datum; points—outliers].
4.2. Focus Group Interviews’ Content Analysis
Content analysis of the focus group interviews revealed that students learned about fish biodiversity. The gurnard was the species most often mentioned as a new species, but many others were cited, such as black scabbard fish, horse mackerel, sardine, sea bream, tuna, bib, and bream.
The importance of the “closed season” was well understood by students. This was always referred to as “the time of year when a particular species reproduces”, and it was mentioned that it is important to comply with the closed season, otherwise:
“The species will disappear.” (S1, S3, S9, S12, S18, S20)
“They could become endangered.” (S7, S19, S22, S33, S40)
Concerning the fishing gear, most of the students acknowledged that they are “instruments used to catch fish” and that “there are various ways of catching fish”. As examples of fishing gear, trawling and traps were the most frequently considered. The main environmental impacts of fishing gear indicated by students were as follows:
“Catching baby fish and fish that are reproducing.” (S9)
“Destroying the seabed.” (S7)
“Catching other animals that are not supposed to be caught.” (S6, S26, S28)
When asked about the minimum landing size, most students realised the importance of avoiding juvenile catches, “you can’t fish for baby fish” (S8). However, only some students addressed that setting a minimum size at which fish can be landed may help to ensure that fish grow to a size that allows them to spawn at least once, defining this concept as the size “when it is certain that [the fish] have already reproduced” (S7, S30).
During the interviews, students revealed that they learned to analyse the information presented on commercial fish labels and the aspects most frequently mentioned brought up were the price, fishing gear, production method, and common name of the species. The reasons given by students on the importance of analysing labels when choosing fish were:
“To acquire information, we don’t know about the species.” (S22)
“To avoid choosing trawled fish.” (S26, S34)
“We should choose [fish] from our country.” (S35)
Finally, the students were asked about the meaning of sustainable fish consumption. They emphasised the need to eat diverse species, not eating juvenile fish, to consume in a way that does not “harm” the environment, and to choose fish caught locally. After the activities, and using the knowledge they had acquired, the students mentioned some behaviours they were willing to change at home, like choosing diverse species to consume, buying species from local catches, and paying attention to the labels.
5. Discussion
The findings of this study demonstrated a significant improvement in the knowledge and consumption habits of 4th-grade students following the implementation of sustainable fish consumption activities. The students exhibited improved comprehension regarding fish biodiversity, fishing techniques, and their ecological effects, as well as the significance of concepts such as closed season and minimum landing size for species conservation. They also demonstrated improved awareness of commercial fish labelling information, applied according to Portuguese legislation, and its implications for making sustainable consumption decisions. It should be noted that the fish species most mentioned by the students in the pre-test (cod, tuna, and salmon) are consistent with those that are the main choices of Portuguese adults [18]. These results reinforce the idea that ocean literacy issues can be successfully addressed in Portuguese primary school, using student-centred activities.
The results also indicate that students complied with the targets of SDG12, which encompass: (1) cognitive learning, involving the expectation that the learner acquires knowledge about sustainable production strategies and practices; (2) socio-emotional learning, which emphasises the learner’s ability to encourage others to adopt sustainable practices in consumption and production and to take responsibility for the environmental and social impacts of their actions as producers or consumers; and (3) behavioural learning, which considers the learner’s capacity to plan, execute, and assess consumption-related activities using established sustainability criteria [30].
The goals outlined in SDG 14 [30] were also addressed as students acquired knowledge about the sustainable use of marine life resources. They were capable of introspectively evaluating their dietary preferences to determine if their consumption habits aligned with the responsible use of seafood resources. Furthermore, they engaged in classroom discussions regarding sustainable practices, identifying and procuring marine products harvested in an environmentally responsible manner using appropriate labelling.
Engaging students in practical activities and presenting them with challenges during the learning process heightens their interest, motivation, critical thinking skills, and awareness of environmental issues [47]. However, altering attitudes plays a pivotal role in fostering environmentally conscious behaviour, as knowledge alone may not necessarily translate into tangible behavioural changes [48]. Despite an increase in knowledge, the students demonstrated a willingness to make changes in their domestic behaviours, even though there were no significant shifts in consumption patterns. This could be attributed to the relatively short duration of the project, as the period between the pre-test and post-test may not have been sufficient to instigate substantial alterations in consumption habits.
Altering students’ consumption patterns hinges on their capacity to influence their family’s habits since children of this age typically do not have a significant role in shaping consumption choices. A similar constraint in another research on promoting the sustainability of artisanal fishing through ESE with game-based learning, highlighting the limited involvement of primary school students in their families’ decisions regarding fish purchases [49]. Nevertheless, based on the post-tests and interviews with the students of our study, it became evident that the majority made efforts to advocate for this shift within their families. Students proposed behaviours they would encourage among their relatives, pointing out the significance of diversifying food choices, refraining from consuming young fish and considering factors like the fish source and the method of capture. Moreover, in question six of the questionnaire, the number of students willing to choose and buy fish together with their family increased significantly after the activities took place.
In the present study, no significant differences were obtained between learning modes, with both face-to-face and online learning leading to improvement in the knowledge and behaviour of students, which is not surprising according to the Equivalency Theory that states that “distance education’s appropriate application should provide equivalent learning experiences” [50]. The major negative aspects of e-learning have been related to the lack of interaction, particularly the socialisation with their peers, and the fact that it requires more initiative and self-discipline from students [32,51]. To address these challenges, ref. [51] recommended the integration of practical exercises and activities and, whenever feasible, facilitating direct contact with an individual, such as the teacher, as was performed in this study. In the present work, although the theoretical context was given online, the practical activities were developed face-to-face, which minimized the possible constraints of the e-learning method. Moreover, before the activities took place, teachers participated in preparatory sessions, so they were instructed on how to take over the activities. If the activities had taken place completely online, the results might have been different.
On the other hand, the initial knowledge of the online learning students was higher than that of the face-to-face students. This can be attributed to the specific school environments, as the institutions involved in remote learning are accustomed to focusing on ocean-related topics and participating in projects within this domain. Moreover, a significant number of students in this region have a direct connection to the sea, often through family ties, with many of their relatives working as fishermen.
The family plays a pivotal role in shaping students’ learning experiences, and the learning process is a continuous and consistent one, extending beyond the classroom and into their homes [32]. This extended learning may account for the deeper knowledge possessed by these students, which, in turn, manifests in their behaviour.
Undoubtedly, ESE plays a pivotal role in advancing sustainable development. The UN Decade of Ocean Science for Sustainable Development 2021–2030 highlights the necessity for a comprehensive ocean literacy program of activities to enhance public awareness and knowledge, ultimately guiding sustainable behaviours and informing decision making [52,53]. In the realm of ESE at the primary level, a review highlights a growing interest in the roles of in-service teachers and community stakeholders [54]. Given that many teachers express a desire to incorporate ESE in primary schools but may lack the confidence, skills, and knowledge to do so, research has shifted its focus towards both pre-service teachers [55] and in-service teachers [56,57,58]. Nonetheless, children have the capacity to assume proactive roles as citizens and play a vital part in examining modern consumption patterns and promoting a sustainable future [59], as illustrated by this study.
6. Conclusions
This study developed a set of activities organised into three modules and five topics regarding sustainable fish consumption for 4th-grade students. The impact of the activities on their knowledge and consumption habits was measured using a mixed methodology that included questionnaires and focus group interviews.
The results showed that the developed ESE activities improved knowledge and consumption habits regarding sustainable fish consumption and that there were no significant differences regarding the learning modes used. The study contributed to the increased ocean literacy among the students who participated, allowing the improvement of the student’s curriculum with ocean-related subjects. Furthermore, the study supported SDG 4, 12 and 14 of the United Nations 2030 Agenda for Sustainable Development.
Contrary to what some studies have shown, suggesting that online learning methods do not have the same impact as face-to-face learning methods, and students may struggle to maintain their attention. In fact, in this study, the teaching methods had no influence on the results obtained. This may be due to the fact that this was a short-term study in which the online regime was adapted, the students were always in the classroom with the tutor teacher and only the main researcher was online.
Limitations of the Study
The small sample size and the self-reporting bias are two limitations of this study that limit the generalization of the results. To prove if the knowledge and consumption habits acquired during the study have been consolidated, resulting in more sustainable consumer behaviour over time, the study could be extended to include a medium and long-term evaluation that also involves the students’ families to see to what extent it is possible, through the students, to change family consumption habits.
Author Contributions
Conceptualization, V.S., A.R.S. and D.B.; Methodology, V.S. and D.B.; Formal Analysis, V.S., A.R.S. and D.B.; Investigation, A.R.S.; Resources, A.R.S.; Data Curation, A.R.S.; Writing—Original Draft Preparation, V.S. and D.B.; Writing—Review and Editing, V.S. and D.B.; Visualization, V.S.; Supervision, V.S. and D.B. All authors have read and agreed to the published version of the manuscript.
Funding
This research was funded by Fundação para a Ciência e a Tecnologia, through the project UIDP/04292/2020 (https://doi.org/10.54499/UIDB/04292/2020; https://doi.org/10.54499/UIDP/04292/2020) awarded to MARE, project LA/P/0069/2020 (https://doi.org/10.54499/LA/P/0069/2020) granted to the Associate Laboratory ARNET, and through the contract CEECIND/02705/2017 (https://doi.org/10.54499/CEECIND/02705/2017/CP1387/CT0042) assigned to V.S.
Institutional Review Board Statement
“The study was conducted in accordance with the Declaration of Helsinki and approved by the Ethics Committee of Escola Superior de Educação João de Deus (protocol code 01/2020 and date of approval 28 July 2020)” for studies involving humans.
Informed Consent Statement
Written informed consent was obtained from the legal representative of participants to participate in this study.
Data Availability Statement
The data presented in this study are available upon request from the corresponding author.
Acknowledgments
We express our gratitude to all the teachers and students of primary education that participated in this study and to directors of the schools for authorizing this research and providing the facilities to carry out the educational experience.
Conflicts of Interest
The authors declare no conflicts of interest.
References
- Visbeck, M. Ocean Science Research is Key for a Sustainable Future. Nat. Commun. 2018, 9, 690. [Google Scholar] [CrossRef] [PubMed]
- Otero, R.M.; Bayliss-Brown, G.A.; Papathanassiou, M. Ocean Literacy and Knowledge Transfer Synergies in Support of a Sustainable Blue Economy. Front. Mar. Sci. 2019, 6, 646. [Google Scholar] [CrossRef]
- Molony, B.W.; Ford, A.T.; Sequeira, A.M.M.; Borja, A.; Zivian, A.M.; Robinson, C.; Lonborg, C.; Escobar-Biones, E.G.; Di Lorenzo, E.; Andersen, J.H.; et al. Editorial: Sustainable Development Goal 14—Life Below Water Towards a Sustainable Ocean. Front. Mar. Sci. 2022, 8, 829610. [Google Scholar] [CrossRef]
- Freitas, C.; Bellgrove, A.; Venzo, P.; Francis, P. Towards a 2025 National Ocean Literacy Strategy: Current Status and Future Needs in Primary Education. Front. Mar. Sci. 2022, 9, 883524. [Google Scholar] [CrossRef]
- Aurélio, L.; França, S.; Sequeira, V.; Boaventura, D.; Correia, M.J.; Pinto, B.; Amoroso, S.; Feio, M.J.; Brito, C.; Chainho, P.; et al. Tell a Story to Save a River: Assessing the Impact of Using a Children’s Book in the Classroom as a Tool to Promote Environmental Awareness. Front. Mar. Sci. 2021, 8, 699122. [Google Scholar] [CrossRef]
- Hartley, B.; Thompson, R.C.; Pahl, S. Marine litter education boosts children’s understanding and self-reported actions. Mar. Pollut. Bull. 2015, 90, 209–217. [Google Scholar] [CrossRef] [PubMed]
- NOAA. Ocean Literacy: The Essential Principles and Fundamental Concepts of Ocean Sciences for Learners of All Ages. 2013. Available online: https://repository.library.noaa.gov/view/noaa/39086 (accessed on 29 December 2023).
- National Marine Educators Association. Ocean Literacy Scope & Sequence for Grades K-12. 2010. Available online: https://www.marine-ed.org/ocean-literacy/scope-and-sequence (accessed on 29 December 2023).
- Kalsoom, Q.; Khanam, A.; Quraishi, U. Sustainability consciousness of preservice teachers in Pakistan. Int. J. Sustain. High. Educ. 2017, 18, 1090–1107. [Google Scholar] [CrossRef]
- Nousheen, A.; Zai, S.A.Y.; Waseem, M.; Khan, S.A. Education for sustainable development (ESD): Effects of sustainability education on pre-service teachers’ attitude towards sustainable development (SD). J. Clean. Prod. 2020, 250, 119537. [Google Scholar] [CrossRef]
- Olsson, D.; Gericke, N.; Chang Rundgren, S.-N. The effect of implementation of education for sustainable development in Swedish compulsory schools—Assessing pupils’ sustainability consciousness. Environ. Educ. Res. 2016, 22, 176–202. [Google Scholar] [CrossRef]
- Tang, K.H.D. Correlation between sustainability education and engineering students’ attitudes towards sustainability. Int. J. Sustain. High. Educ. 2018, 19, 459–472. [Google Scholar] [CrossRef]
- Biasutti, M.; Frate, S. A validity and reliability study of the attitudes toward sustainable development scale. Environ. Educ. Res. 2017, 23, 214–230. [Google Scholar] [CrossRef]
- Janakiraman, S.; Watson, S.L.; Watson, W.R. Using Game-based Learning to Facilitate Attitude Change for Environmental Sustainability. J. Educ. Sustain. Dev. 2018, 12, 176–185. [Google Scholar] [CrossRef]
- Bushkin-Bedient, S.; Carpenter, D.O. Benefits versus Risks Associated with Consumption of Fish and other Seafood. Rev. Environ. Health 2010, 25, 161–191. [Google Scholar] [CrossRef]
- FAO. The State of World Fisheries and Aquaculture 2022. In Towards Blue Transformation; FAO: Rome, Italy, 2022; p. 266. [Google Scholar] [CrossRef]
- Cardoso, C.; Lourenço, H.; Costa, S.; Gonçalves, S.; Nunes, M.L. Survey into the seafood consumption preferences and patterns in the Portuguese population. Gender and regional variability. Appetite 2013, 64, 20–31. [Google Scholar] [CrossRef] [PubMed]
- Almeida, C.; Karadzic, V.; Vaz, S. The seafood market in Portugal: Driving forces and consequences. Mar. Policy 2015, 61, 87–94. [Google Scholar] [CrossRef]
- Schaefer, A.M.; Zoffer, M.; Yrastorza, L.; Pearlman, D.M.; Bossart, G.D.; Stoessel, R.; Reif, J.S. Mercury Exposure, Fish Consumption, and Perceived Risk among Pregnant Women in Coastal Florida. Int. J. Environ. Res. Public Health 2019, 16, 4903. [Google Scholar] [CrossRef]
- Almeida, C.; Altintzoglou, T.; Cabral, H.; Vaz, S. Does seafood knowledge relate to more sustainable consumption? Br. Food J. 2015, 117, 894–914. [Google Scholar] [CrossRef]
- Cretella, A.; Scherer, C.; Holm, P. Tasting the ocean: How to increase ocean literacy using seafood heritage with a visceral approach. Mar. Policy 2023, 149, 105476. [Google Scholar] [CrossRef]
- Feijoo, G.; Moreira, M.T. Fostering environmental awareness towards responsible food consumption and reduced food waste in chemical engineering students. Educ. Chem. Eng. 2020, 33, 27–35. [Google Scholar] [CrossRef]
- Maher, J.; Burkhart, S. Experiential learning for engaging nutrition undergraduates with sustainability. Int. J. Sustain. High. Educ. 2017, 18, 1108–1122. [Google Scholar] [CrossRef]
- Brekken, C.A.; Peterson, H.H.; King, R.P.; Conner, D. Writing a Recipe for Teaching Sustainable Food Systems: Lessons from Three University Courses. Sustainability 2018, 10, 1898. [Google Scholar] [CrossRef]
- Seidel, M. Sustainable Consumption graduate course: A project-based approach to learning. Food Cult. Soc. 2020, 23, 86–92. [Google Scholar] [CrossRef]
- Hungerford, H.R.; Volk, T.L. Changing Learner Behavior Through Environmental Education. J. Environ. Educ. 1990, 21, 8–21. [Google Scholar] [CrossRef]
- Cava, F.; Schoedinger, S.; Strang, C.; Tuddenham, P. Science Content and Standards for Ocean Literacy: A Report on Ocean Literacy. 2005. Available online: https://www.coexploration.org/oceanliteracy/documents/OLit2004-05_Final_Report.pdf (accessed on 23 October 2023).
- Uyarra, M.C.; Borja, Á. Ocean literacy: A ‘new’ socio-ecological concept for a sustainable use of the seas. Mar. Pollut. Bull. 2016, 15, 104. [Google Scholar] [CrossRef]
- Mogias, A.; Boubonari, T.; Realdon, G.; Previati, M.; Mokos, M.; Koulouri, P.; Cheimonopoulou, M.T. Evaluating Ocean Literacy of Elementary School Students: Preliminary Results of a Cross-Cultural Study in the Mediterranean Region. Front. Mar. Sci. 2019, 6, 396. [Google Scholar] [CrossRef]
- UNESCO. Education for Sustainable Development Goals. Learning Objectives; United Nations Educational and Cultural Organization: Paris, France, 2017. [Google Scholar]
- UNESCO-IOC. Ocean Literacy Framework for the UN Decade of Ocean Science for Sustainable Development 2021–2030; IOC Ocean Decade Series, 22; UNESCO: Paris, France, 2021. [Google Scholar]
- Gherheș, V.; Stoian, C.E.; Fărcașiu, M.A.; Stanici, M. E-Learning vs. Face-To-Face Learning: Analyzing Students’ Preferences and Behaviors. Sustainability 2021, 13, 4381. [Google Scholar] [CrossRef]
- Oye, N.; Iahad, A. The Impact of E-Leaning on Students’ Performance in Tertiary Institution. Int. J. Comput. Netw. 2012. Available online: https://www.semanticscholar.org/paper/The-impact-of-e-learning-on-students-performance-in-Oye-Iahad/3e20c2679208f216f20fd1f4eee4664c4df3af9f (accessed on 28 November 2023).
- Nycz, M.; Cohen, E.B. The basics for understanding e-learning. In Principles of Effective Online Teaching; Buzzetto-More, N.A., Ed.; Informing Science Press: Santa Rosa, CA, USA, 2007; pp. 1–17. [Google Scholar]
- Galy, E.; Downey, C.; Johnson, J. The effect of using e-learning tools in online and campus-based classrooms on student performance. J. Inf. Technol. Educ. 2011, 10, 209–230. [Google Scholar] [CrossRef]
- Nazarlou, M.M. Research on negative effect on e-learning. Int. J. Mob. Netw. Commun. Telemat. 2013, 3, 11–16. [Google Scholar] [CrossRef][Green Version]
- Alabdulaziz, M.S.; Tayfour, E.A. A Comparative Study of the Effects of Distance Learning and Face-to-Face Learning during the COVID-19 Pandemic on Learning Mathematical Concepts in Primary Students of the Kingdom of Bahrain. Educ. Sci. 2023, 13, 133. [Google Scholar] [CrossRef]
- Creswell, J.W. Educational Research: Planning, Conducting and Evaluating Quantitative and Qualitative Research, 4th ed.; Pearson: Boston, MA, USA, 2012. [Google Scholar]
- Cohen, L.; Manion, L.; Morrison, K. Research Methods in Education, 6th ed.; Routledge: London, UK, 2007. [Google Scholar]
- Cronbach, L.J. Coefficient alpha and the internal structure of tests. Psychometrika 1951, 16, 297–334. [Google Scholar] [CrossRef]
- R Core Team. R: A Language and Environment for Statistical Computing; R Foundation for Statistical Computing: Vienna, Austria, 2019. [Google Scholar]
- Wickham, H.; François, R.; Henry, L.; Müller, K.; Vaughan, D. dplyr: A Grammar of Data Manipulation. R Package Version 1.1.4. 2023. Available online: https://dplyr.tidyverse.org (accessed on 3 October 2023).
- Revelle, W. psychTools: Tools to Accompany the ‘Psych’ Package for Psychological Research; R Package Version 2.1.6; Northwestern University: Evanston, IL, USA, 2021. [Google Scholar]
- Kassambara, A. Rstatix: Pipe-Friendly Framework for Basic Statistical Tests. R Package Version 0.7.2. 2001. Available online: https://rpkgs.datanovia.com/rstatix/ (accessed on 3 October 2023).
- Signorell, A.; Aho, K.; Alfons, A.; Anderegg, N.; Aragon, T.; Arachchige, C.; Arppe, A.; Baddeley, A.; Barton, K.; Bolker, B.; et al. DescTools: Tools for Descriptive Statistics. R Package Version 0.99.50. 2023. Available online: https://andrisignorell.github.io/DescTools/ (accessed on 3 October 2023).
- Miles, M.B.; Huberman, A.M. Qualitative Data Analysis: An Expanded Sourcebook; Sage Publications: Thousand Oaks, CA, USA, 1994. [Google Scholar]
- Poudel, D.D.; Vincent, L.M.; Anzalone, C.; Huner, J.; Wollard, D.; Clement, T.; DeRamus, A.; Blakewood, G. Hands-On Activities and Challenge Tests in Agricultural and Environmental Education. J. Environ. Educ. 2005, 36, 10–22. [Google Scholar] [CrossRef]
- Johnson, B.; Činčcera, J. Examining the relationship between environmental attitudes and behaviour in education programmes. Soc. Stud. 2015, 12, 97–111. [Google Scholar] [CrossRef]
- Torralba-Burrial, A.; Dopico, E. Promoting the Sustainability of Artisanal Fishing through Environmental Education with Game-Based Learning. Sustainability 2023, 15, 12905. [Google Scholar] [CrossRef]
- Simonson, M. Equivalency theory and distance education. Tech Trends 1999, 43, 5–8. [Google Scholar] [CrossRef]
- Keis, O.; Grab, C.; Schneider, A.; Ochsner, W. Online or face-to-face instruction? A qualitative study on the electrocardiogram course at the University of Ulm to examine why students choose a particular format. BMC Med. Educ. 2017, 17, 194–202. [Google Scholar] [CrossRef] [PubMed]
- UN. Revised Roadmap for the UN Decade of Ocean Science for Sustainable Development. In Proceedings of the 51st Session of the IOC Executive Council, Paris, France, 3–6 July 2018; Intergovernmental Oceanographic Commission: Paris, France, 2018. [Google Scholar]
- Kelly, R.; Evans, K.; Alexander, K.; Bettiol, S.; Corney, S.; Cullen-Knox, C.; Cvitanovic, C.; de Salas, K.; Emad, G.R.; Fullbrook, L.; et al. Connecting to the oceans: Supporting ocean literacy and public engagement. Rev. Fish. Biol. Fish. 2022, 32, 123–143. [Google Scholar] [CrossRef] [PubMed]
- Chen, S.-Y.; Liu, S.-Y. Developing Students’ Action Competence for a Sustainable Future: A Review of Educational Research. Sustainability 2020, 12, 1374. [Google Scholar] [CrossRef]
- Foley, R.W.; Archambault, L.M.; Hale, A.E.; Dong, H.-K. Learning Outcomes in Sustainability Education Among Future Elementary School Teachers. J. Educ. Sustain. Dev. 2017, 11, 33–51. [Google Scholar] [CrossRef]
- Green, M.; Somerville, M. Sustainability education: Researching practice in primary schools. Environ. Educ. Res. 2015, 21, 832–845. [Google Scholar] [CrossRef]
- Munkebye, E.; Scheie, E.; Gabrielsen, A.; Jordet, A.; Misund, S.; Nergård, T.; Øyehaug, A.B. Interdisciplinary primary school curriculum units for sustainable development. Environ. Educ. Res. 2020, 26, 795–811. [Google Scholar] [CrossRef]
- Timm, J.-M.; Barth, M. Making education for sustainable development happen in elementary schools: The role of teachers. Environ. Educ. Res. 2021, 27, 50–66. [Google Scholar] [CrossRef]
- Donovan, D. How children represent sustainable consumption through participatory action research and co-design of visual narratives. Int. J. Consum. Stud. 2016, 40, 562–574. [Google Scholar] [CrossRef]
Disclaimer/Publisher’s Note: The statements, opinions and data contained in all publications are solely those of the individual author(s) and contributor(s) and not of MDPI and/or the editor(s). MDPI and/or the editor(s) disclaim responsibility for any injury to people or property resulting from any ideas, methods, instructions or products referred to in the content. |
© 2024 by the authors. Licensee MDPI, Basel, Switzerland. This article is an open access article distributed under the terms and conditions of the Creative Commons Attribution (CC BY) license (https://creativecommons.org/licenses/by/4.0/).





