Abstract
Phytoremediation of oil pollution using free-floating aquatic plants is a promising method for water body cleaning. In this study, the influence of Eichhornia crassipes and Pistia stratiotes on the degradation of oil pollution was investigated. The loss of oil alkanes and the rheological characteristics of water were evaluated, and an analysis of the emerging rhizospheric microbial communities was carried out using high-throughput sequencing. The presence of E. crassipes and P. stratiotes plants in oil-contaminated tanks had no effect on the degradation of oil alkanes. However, the presence of plants promoted the development of rhizospheric bacteria capable of growing in oil-contaminated environments. Alpha diversity of microbial communities in oil-contaminated samples was higher in the presence of plants. Additionally, plants significantly reduced the water/oil interfacial tension, which facilitated the availability of hydrocarbons for biodegradation. A difference was noted in the microbiome between E. crassipes and P. stratiotes. Changes in the composition of microbial communities highlight the potential of E. crassipes and P. stratiotes as rhizospheric hosts for microorganisms in the phytoremediation of water bodies.
1. Introduction
Environmental pollution in the oil and gas industry is an inevitable consequence of the exploration, extraction, transportation, and storage of oil and gas. Oil spills have a devastating impact on all types of ecosystems and require the use of various cleaning methods [1,2]. Bioremediation is an alternative and complement to mechanical and chemical cleaning methods and helps to reduce environmental risks [3,4,5].
Bacteria-degrading hydrocarbons are the primary agents for biocleaningenvironments contaminated with oil and petroleum products [4,6,7,8]. Bioremediation involves stimulating microbial communities in situ or modifying the native microbial community by adding new consortia of microorganisms [4,5]. During this time, methods using microbial communities have rapidly developed and achieved significant success. However, these technologies have several limitations. Thus, many physicochemical factors hinder their practical application [7,9].
Environmental pollution by petroleum hydrocarbons leads to significant changes in the composition of bacterial communities. Usually, it is proposed that microbial communities are formed as the result of the cumulative impact of several factors [10,11,12]. The effectiveness of biodegradation primarily depends on the characteristics of the pollutant: bioavailability, molecular structure, length of hydrocarbon molecules, dispersion in the aqueous phase, and degree of weathering [13,14,15]. Studies have shown that microbial communities in oil-saturated environments, such as oil spill areas and oil storage facilities, contain hydrocarbon-degrading bacteria [16,17]. Their distribution and abundance are closely linked to the types of petroleum hydrocarbons and environmental factors. Many bacterial species have been isolated in pure culture and used as oil degraders to combat the pollution of natural ecosystems by oil and petroleum products [18,19,20]. However, most bacteria can effectively utilize only specific hydrocarbon fractions of oil. Bioremediation is limited by insufficient biodiversity of specialized indigenous microflora, which is necessary for efficient oil degradation [7,15,21]. Therefore, the removal of oil pollution requires a comprehensive approach and the application of various bioremediation methods to achieve the best effect to clean the environment.
Phytoremediation, as a field of bioremediation, is based on the ability of plants to extract, degrade, or stabilize various types of both organic and inorganic pollutants [3,22,23]. Phytoremediation also involves the interaction between plants and associated microorganisms at the root, stimulating their growth and activity. The formation of microbial communities in the rhizosphere can positively affect the quality and speed of petroleum product degradation [24,25,26]. However, the potential of such interaction in aquatic ecosystems is studied insufficiently [23,27]. Therefore, research is being conducted to find effective combinations of microbial communities and aquatic plants to remove oil hydrocarbons from water bodies.
Most plants studied in the context of phytoremediation are terrestrial species, as most research focuses on restoring soil contaminated with hydrocarbons [28,29,30]. However, the issue of pollution in the water environment by organic and inorganic substances is currently pressing.
Aquatic plants are divided into several groups: terrestrial, coastal aquatic, and free-floating [31]. The main advantages of potential phytoremediants are considered to be wide distribution, high biomass accumulation rate, tolerance to unfavorable conditions, and resistance to high toxicity of pollutants [32]. Among free-floating plants, the water hyacinth (Eichhornia crassipes) is widely known, both due to its wide distribution in water bodies of tropical areas and due to its powerful branched root system [33]. It has been established that water hyacinth is capable of cleaning wastewater from heavy metals and accumulating them in green biomass [34,35]. The conditional group of free-floating plants also includes Lemna minor, Salvinia natans, Hydrocharis dubia, and Pistia stratiotes [36]. The green biomass of P. stratiotes is used as a sorbent to remove emulsified and floating oil from water bodies [37]. However, the potential for interaction between the branched root system of free-floating plants and oil-degrading microorganisms is still studied insufficiently.
The goal of this work is to study the ability of E. crassipes and P. stratiotes, along with associated microorganisms, to biodegrade petroleum pollutants. The use of physicochemical methods of analysis will allow us to evaluate the phytoremediation potential of aquatic plants. Together with the metagenomic analysis of the plant rhizosphere, we will be able to identify oil-degrading microorganisms in their rhizoplane and determine the degree of influence of these plants on the development of microorganisms under pollution conditions.
2. Materials and Methods
2.1. Plants
Two species of free-floating plants were used in the work: Eichhornia crassipes and Pistia stratiotes (Figure 1). Plant samples were kindly provided by the K.A. Timiryazev Institute of Plant Physiology RAS, Moscow, Russia.
Figure 1.
Plant samples: E. crassipes (a), P. Stratiotes (b).
E. crassipes is a free-floating perennial aquatic plant native to the tropical and subtropical regions of South America [38]. The plant has wide leaves, thickened at the base. The thickening has a sponge-like internal structure filled with air, which allows the plant to float on the surface of the water.
P. stratiotes is also an aquatic plant and is native to tropical and subtropical zones of all continents [38]. P. stratiotes has light, broad leaves covered with short white hairs that trap air bubbles, allowing the plant to float on the surface of the water. The spongy internal structure of the leaf also helps the plant remain buoyant.
Plants were grown in an experimental climate control facility with a photoperiod of 16/8 (day/night) in 100 L tanks filled with clean tap water. Air temperature 22 ± 2 °C. Plants were provided with mineral nutrition: KNO3 140 mg/L, K2HPO4 50 mg/L, MgSO4 150 mg/L, Ca(NO3)2 56 mg/L, Fe-EDTA 4 mg/L, MnSO4 177 µg/L, ZnSO4 145 µg/L.
2.2. Characteristics of Oil
Crude oil from well No. 669 of the Cheremukhinskoye field (RITEK LLC, Volgograd, Russia) was used as a source of pollution [39]. The density of oil in surface conditions is 0.932 kg/m3, which allows it to be classified as heavy oil. Oil viscosity in reservoir conditions is 72.6 mm2/s. Water content 27.1–50.1%. Reservoir temperature 20.2–21.3 °C.
2.3. Experimental Design
Prepared identical tanks with a volume of 100 L were filled with clean tap water to the same level. The studied plants were divided into two groups: experimental and control. The experimental groups of plants were placed in water polluted with crude oil in a volume of 100 mL per tank, while the control group was grown in clean water (Figure 2). The experiment involved two replicates of each tank with plants, as well as one tank with clean tap water and one tank with oil-contaminated water. At the beginning of the experiment, six plants were placed in each tank. For the experiment, plants were selected based on morphological characteristics in favor of the largest and most brightly colored specimen. The appearance of the plants at the start of the experiment can be seen in Figure 3a,d for E. crassipes and in Figure 4a,d for P. stratiotes.
Figure 2.
The experimental scheme.
Figure 3.
Tanks with E. crassipes at the start of the experiment ((a) without oil, (d) with oil), after 4 weeks of cultivation ((b) without oil, (e) with oil), after 8 weeks of cultivation ((c) without oil, (f) with oil).
Figure 4.
Tanks with P. stratiotes at the start of the experiment ((a) without oil, (d) with oil), after 4 weeks of cultivation ((b) without oil, (e) with oil), after 8 weeks of cultivation ((c) without oil, (f) with oil).
The experiment lasted 4 weeks. The number of plants was counted every 14 days. Water samples were collected on the 2nd and 4th weeks (14 and 28 days from the beginning of the experiment).
For metagenomic analysis samples were collected separately after 28 days. Root samples were collected from 6 plants randomly selected from different parts of the tank. The total weight of the tissues of one sample was kept at 3.5–4 g. A total of 100 mL of water was collected from the tanks without plants. To assess the condition, the plants remained in the tanks for another four weeks (a total of 56 days).
2.4. Analytical Methods
The residual content of the paraffin fraction of oil and the rheological parameters of water were determined, and microscopic analysis of the samples was carried out.
A total of 200 mL of water from the upper layer was collected at different points of the tank for chromatographic analysis. A total of 100 mL was collected in the same way for rheological analysis.
The content of oil alkanes in water samples from tanks was analyzed using the Borzenkov method [18]. Extraction of the aliphatic fraction was carried out with n-hexane and analyzed on a Kristall 5000.1 chromatograph (ZAO SKB Khromatek, Yoshkar-Ola, Russia), on a ZB-1 capillary column 30 m long with a detector temperature of 320 °C. The temperature was programmed from 100 to 310 °C. Helium was used as a carrier gas. Quantitative interpretation of chromatograms was carried out using the internal normalization method, calculating the residual content of oil alkanes in % relative to the control sample.
The emulsification index (E24) was determined by the modified Zajic method [40]. A total of 4.0 mL of hexadecane was added to 4.0 mL of the water sample under study. The mixture was shaken for three minutes and after 24 h the volume and stability of the resulting emulsion was recorded. The emulsification index was expressed as a percentage of the emulsion from the volume of the mixture. Five water samples were measured from each tank.
Surface and interfacial tension were measured using the semi-static ring lifting method on a semi-automatic Surface Tensiomat 21 tensiometer (Cole-Parmer, Vernon Hills, IL, USA) equipped with a platinum–iridium ring. Surface tension was measured at the interface between the test liquid and air, and interfacial tension was determined at the interface between the test liquid and hexadecane at 22 °C. Five water samples were measured from each tank. Analytical data were analyzed and visualized using Microsoft Excel 2019 (Microsoft Corporation, Redmond, WA, USA).
For microscopic analysis, preparations were made from the oil film on the water, the walls of the tank, and the roots of plants taken from each tank. The required amount of oil film was captured with a microbiological loop and placed on a glass slide, covered with a cover glass, and placed on a microscope. Microscopic analysis was carried out on an Axio Imager M2 microscope (Carl Zeiss, Oberkochen, Germany) with a phase-contrast device at a magnification of 100 × 10, with an AxioCam 503 mono digital camera (Carl Zeiss, Oberkochen, Germany) and Zen blue 2012 computer software.
2.5. Analysis of Microbial Community Composition
2.5.1. DNA Isolation, 16S rRNA Gene Fragment Amplification and Sequencing
Total genomic DNA from plant roots was homogenized by grinding with liquid nitrogen. Microorganisms from tanks without plants were collected by filtering water through a filter with a pore size of 0.22 μm (Merck Millipore, Burlington, MA, USA). DNA was isolated using a Power Soil DNA Isolation Kit (MO BIO Laboratories, Carlsbad, CA, USA) according to the manufacturer’s protocol.
PCR amplification of 16S rRNA gene fragments comprising the V3–V4 variable regions was performed using the universal prokaryotic primers 341F (5′-CCTACGGGRBGCASCAG-3′) and PRK806R (5′-GGACTACYVGGGTATCTAAT-3′) [41]. The obtained PCR fragments were bar-coded using the Nextera XT Index Kit v. 2 (Illumina, San Diego, CA, USA) and purified using Agencourt AMPure beads (Beckman Coulter, Brea, CA, USA). The concentrations of PCR products were measured using the Qubit dsDNA HS Assay Kit (Invitrogen, Carlsbad, CA, USA). All PCR fragments were then mixed and sequenced on Illumina MiSeq (2 × 300 nt reads). Pairwise overlapping reads were merged using FLASH v.1.2.11 [42].
2.5.2. Bioinformatics Analysis of Microbial Community Diversity
All sequences were clustered into operational taxonomic units (OTUs) at 97% identity using the USEARCH v. 11 program [43]. Detailed methods used in bioinformatics analysis can be found in Table S2.
The taxonomic assignment of OTUs was performed by searching against the SIL-VA v.138 rRNA sequence database using the VSEARCH v. 2.14.1 algorithm [44]. The diversity indices at a 97% OTU cut-off level were calculated using USEARCH v.11 [43] and QIIME2-2021.4 [45].
The raw data generated from 16S rRNA gene sequencing were deposited in the NCBI Sequence Read Archive (SRA) and are available via the BioProject PRJNA1146311.
Jaccard distances for beta diversity analysis were calculated using USEARCH. Principal Components Analysis (PCA) was calculated using the prcomp function from the stats package (version 3.6.2) in R and ggplot2 (version 3.5.1) R package.
3. Results
3.1. Plant Growth Under Conditions of Oil Pollution
E. crassipes and P. stratiotes tolerated the conditions of oil pollution. During the first four weeks of the experiment, the plants did not lose their color and produced many offspring. However, during further cultivation (8 weeks), the young plants remained smaller compared to the beginning of the experiment, and E. crassipes began to lose its green color (Figure 3). This can be attributed to an excessive number of new plants and a lack of mineral nutrition in the limited volume of the tank. After 8 weeks of cultivation, the overall condition of P. stratiotes was worse in the oil-contaminated tanks (Figure 4f). Data on the number of plants can be found in the Table S1.
3.2. Microscopic Test Analysis
To identify the microbial component, a microscopic analysis of water samples from tanks contaminated with oil was carried out. In the tank without plants, in the second week of the experiment, bacterial cells were found in the aqueous phase and did not penetrate into the non-polar liquid (oil) (Figure 5a). In the fourth week of the experiment, living cells were detected inside the oil phase. It was noted that in the presence of plants, microorganisms penetrated into the oil phase already in the second week of the experiment.
Figure 5.
Microscopic analysis of water samples from tanks contaminated with oil: (a,d) tank without plants in the second and fourth weeks of cultivation; (b,e) samples from tanks with E. crassipes in the second and fourth weeks, respectively; (c,f) samples from tanks with P. stratiotes in the second and fourth weeks, respectively. The orange line indicates the phase boundary.
3.3. Physicochemical Changes in Water Parameters
Chromatographic analysis of the oil samples did not reveal any signs of biological degradation of petroleum hydrocarbons over four weeks. When comparing the peaks of alkane content in the initial oil with samples after two and four weeks of cultivation, a slight decrease in alkane content was observed. The greatest decrease was noted in the tanks without plants during both the second (Figure 6a) and fourth (Figure 6d) weeks of cultivation. This indicates the occurrence of a process of ‘natural weathering’ of short-chain hydrocarbons in oil in open tanks at an air temperature of 22 ± 2 °C. In the presence of E. crassipes, changes in oil content in the tanks were the smallest, while in the presence of P. stratiotes, alkane degradation proceeded better at week 4.
Figure 6.
Residual content of alkanes (%) in degraded crude oil: (a,b) samples from oil-contamination tank without plants in the second and fourth weeks of cultivation, respectively; (c,d) samples from oil-contaminated tanks with E. crassipes in the second and fourth weeks of cultivation, respectively; (e,f) samples from oil-contaminated tanks with P. stratiotes in the second and fourth weeks of cultivation, respectively, at 20.2–21.3 °C. The content of individual alkanes in the initial crude oil is assumed to be 100%.
Chromatograms of water samples from uncontaminated tanks with plants (Figure 7) revealed the presence of unidentified organic compounds of a non-paraffin nature. This is most noticeable in Figure 6d. These are probably root exudates released by plants into water.
Figure 7.
Chromatograms of water samples from tanks without oil contamination: (a,c) water samples from tanks with E. crassipes in the second and fourth weeks of cultivation; (b,d) water samples from tanks with P. stratiotes in the second and fourth weeks of cultivation, respectively.
After 2 and 4 weeks of cultivation in experimental tanks, the emulsification index (E24), surface tension, and interfacial tension at the interface between the phases of the test liquid hexadecane were measured. In none of the experimental variants was the formation of a stable emulsion observed when a water sample was mixed with hexadecane (E24 = 0). When crude oil was added to control tanks and with plants, a decrease in the surface tension of the water samples was revealed (by 20 mN/m after 4 weeks). There was no noticeable decrease in surface tension in control samples (Figure 8).
Figure 8.
Surface tension of the samples in experimental and control variants after 2 (a) and 4 (b) weeks of cultivation after adding oil. The results are presented as average values ± SE for each experimental variant.
In contrast to surface tension, the interfacial tension of the medium decreased after 2 weeks both in the experimental variants with the addition of oil and in uncontaminated tanks with plants. The maximum decrease was detected after 2 weeks of cultivation with P. stratiotes (by 45 and 40 mN/m in contaminated and clean samples, respectively) and E. crassipes (by 47 mN/m with the addition of oil). The interfacial tension of the medium is influenced by both the presence of oil and surfactants released by the plants themselves (Figure 9). It can be assumed that these surfactants are organic compounds detected in chromatograms.
Figure 9.
Interfacial tension of the samples in experimental and control variants after 2 (a) and 4 (b) weeks of cultivation after adding oil. The results are presented as average values ± SE for each experimental variant.
3.4. Phylogenetic Diversity in Clear and Polluted Waters
3.4.1. Alpha and Beta Diversity Analysis
Sequencing of 16S RNA gene fragments showed that in all studied samples, the content of bacteria was more than 99%, while archaea was less than 1%. Analysis of alpha diversity using the Chao1 index (Table S2) showed that control samples (without plants) had the lowest species diversity (166.9–221.8), while samples with P. stratiotes in unpolluted water had the highest richness (638.8–710.2). The Shannon index also correlates with the number of sequences in the samples: the lowest values are observed in the control variants, while the highest values are seen in samples with P. stratiotes. In samples with oil and plants, the index values are higher (1.99–2.21) compared to the control sample with oil and no plants (1.22). Simpson index shows the highest value in the control sample with water (0.14), which is due to the presence of two dominating bacterial species from the Opitutaceae family. In other samples, the Simpson index ranges from 0.01 to 0.05, indicating an even distribution of species.
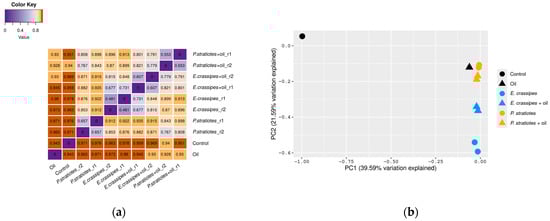
As a result of the phylogenetic analysis of nucleotide sequences, a beta-diversity heatmap was obtained, calculated as Jaccard distances that reflect the heterogeneity of species diversity between different samples (Figure 10a). The greatest agreement in species composition was found between tanks with the same plant species. Sequences obtained from E. crassipes roots are combined into a common clade; a similar association is observed in samples with P. stratiotes. This indicates the similarity of root microbial communities formed in tanks with plants of the same species. Principal component analysis (PCA) (Figure 10b) shows a difference in patterns between the microbial communities of the control (tank without added oil and/or plants) and the experimental variants. Variation-explained values for the PCA plot are 39.59% for PC1 and 21.59% for PC2. It can also be seen that the communities in the tanks with P. stratiotes form a common cluster with the oil tank, while the experimental samples with the presence of E. crassipes are distant from the other samples.
Figure 10.
(a) Heatmap analysis of beta diversity calculated as Jaccard distances and (b) Principal components analysis (PCA) of the composition of microbial communities of control and experimental tanks, based on the relative abundance of operational taxonomic units (≥97% similarity of 16S rRNA gene sequences) of prokaryotes.
3.4.2. Taxonomic Analysis
Figure 10 shows the relative abundance of archaeal and bacterial communities extracted from root and water samples based on the results of high-throughput sequencing of 16S rRNA gene fragments. A total of 13 main phyla of bacteria were identified, the content of which in the samples was more than 1% (Figure 11). In all samples, with the exception of the control sample, the dominant class was Gammaproteobacteria. Minor components of microbial communities, accounting for less than 1% of all sequences, were phyla—Abditibacteriota, Candidatus Dependentiae, Elusimicrobiota, Fibrobacterota, Gemmatimonadota, Hydrogenedentes, Latescibacterota, and Nitrospirota, Spirochaetota.
Figure 11.
Composition of microbial communities in plant root and water samples based on the results of high-throughput sequencing of 16S rRNA gene fragments.
In the control tank without oil, the majority of OTUs are represented by bacteria of the phyla Verrucomicrobiota (50.4%), Bacteroidota (14.7%), Pseudomonadota (Alphaproteobacteria—12.9%, and Gammaproteobacteria—11.3%). The oil control tank predominantly contained Gammaproteobacteria (21.3%), Bacteroidota (18.9%), Alphaproteobacteria (16.9%), Patescibacteria (16.7%), Cyanobacteriota (9.4%), and Verrucomicrobiota (7.9%).
The microbial community of E. crassipes root samples grown in non-polluted water is represented by Pseudomonadota (52.8%), Myxococcota (13%), Bacteroidota (9.4%), Cyanobacteriota (5%), and Acidobacteriota (4.8%). The predominant classes in root samples of water hyacinth were Gammaproteobacteria (40.3%), Alphaproteobacteria (12.5%), Polyangia (10.6%), and Bacteroidia (9.4%). In oil tanks, the content of Pseudomonadota phylum increased (Alphaproteobacteria—19.2%, Gammaproteobacteria—47.5%), and the content of the phylum Myxococcota decreased noticeably (4.5%).
Microorganisms from the rhizosphere of P. stratiotes grown in unpolluted water are represented by Pseudomonadota (Gammaproteobacteria (28.9%), Alphaproteobacteria (14.8%)), Verrucomicrobiota (10.8%), Bacteroidota (9.6%), Acidobacteriota (9.3%), Myxococcota (5.2%), and Planctomycetota (5.1%). Samples of P. stratiotes roots grown with oil mostly contained microorganisms of the phyla Pseudomonadota (Gammaproteobacteria (40.8%) and Alphaproteobacteria (21.4%) classes). The content of microorganisms of the phyla Verrucomicrobiota and Bacteroidota was reduced to 7.9% and 7.2%, respectively. Other phyla also declined in abundance in tanks with oil.
The distribution of bacteria in the samples by families also shows differences in both the qualitative and the quantitative composition of microbial communities (Figure 12). The tank filled with tap water predominantly contained representatives of the Opitutaceae family (45.9%), almost exclusively representing the phylum Verrucomicrobiota. The Opitutaceae family is a typical representative of freshwater bodies and accordingly is present in tap water [46]. Representatives of the Legionellaceae, Spirosomaceae, Chitinophagaceae, and other families were also present in the control tank after 4 weeks of cultivation.
Figure 12.
Summary of bacterial families contained in experimental tanks after 4 weeks of cultivation (content < 2%). Relative abundance (%) is shown in the size and color of the circle for each family. For tanks containing plants, results for each of the two replicates are shown.
The tank containing crude oil showed a greater diversity of bacteria; however, not all of them were identified to the family level. A large proportion were unassigned agents of different classes and phyla (28%). The families Chitinophagaceae (9.5%), Parcubacteria (7.9%), Opitutaceae (7%), Caulobacteraceae (5.8%), Comamonadaceae (5.6%), and Chromatiaceae (5.3%) were also present well. It is noteworthy that the Parcubacteria family was not found in other experimental variants (<1%).
The rhizosphere microbiome is distinguished by a diversity of other microorganisms. It is worth noting the Comamonadaceae family is represented at the level of 10–20% in all tanks. Also, in all tanks with plants, the families Hyphomonadaceae, Vicinamibacteraceae, Hyphomicrobiaceae, Sphingomonadaceae, and Phormidiaceae were present. Moreover, one can note the families more specific for E. crassipes: Haliangiaceae, Microscillaceae, and Steroidobacteraceae. The families Pedosphaeraceae, Chthoniobacteraceae, and Roseiflexaceae are more typical for P. stratiotes. Particular attention should be paid to the families present in tanks containing crude oil: Xanthomonadaceae (9.7%), Chromatiaceae, Immundisolibacteraceae, and Reyranellaceae.
4. Discussion
E. crassipes and P. stratiotes are free-floating macrophytes known worldwide in tropical and subtropical regions. A high survival rate and reproduction speed of these plants often lead to some negative consequences for water bodies [33,47,48]. However, these same properties are advantageous when used in agrotechnology. E. crassipes and P. stratiotes have many applications as ecological products [35,37]. Additionally, scientists are considering the possibility of using the biomass of the fast-growing E. crassipes to produce bioethanol [49].
The aquatic plants we study are hyperaccumulators and are used for the purification of wastewater and natural water bodies [50,51,52]. The most developed area is the removal of heavy metals from water. E. crassipes can survive in high doses of Cr, Cu, Pb, Zn, and Cd in the water and accumulate them in its green tissues [53,54,55]. P. stratiotes is also used for water purification from heavy metals [53,56]. Moreover, they may be used to clean eutrophic water bodies, as the plants can tolerate high doses of mineral fertilizers in the water [34,57].
The high resistance of E. crassipes and P. stratiotes to toxic effects is also noted in hydrocarbon pollution. According to research by A. Lopes, E. crassipes survives even when crude oil is added at 25 mL/L [58]. For P. stratiotes, the toxic level is around 10 mL/L [59]. In our study, we added crude oil at a ratio of 1 mL per 1 L of medium to form a stable film on the tank surface. This concentration was insufficient to stop the reproduction of the studied plants. The daughter plants developed more slowly and were smaller in size, which was more noticeable in P. stratiotes. However, it did not stop the increase in the number of plants, and by the 4th week, the tank surfaces were completely covered with plants.
As for the purification of water bodies from hydrocarbon pollution, the most commonly used methods are mechanical and chemical [5,60]. Processed biomass of E. crassipes and P. stratiotes may be used as a biological adsorbent for capturing oil from the water surface [37,61,62]. There are also studies showing that biologically active substances extracted from the green tissues of E. crassipes can be used as surfactants [63].
For biological remediation of water bodies, bioaugmentation with a consortium of microorganisms has the greatest potential [6,8]. Since different microorganisms can utilize and process various groups of hydrocarbons, the greatest bioremediation effect is achieved by introducing a combination of microorganisms [3]. Many studies focus on finding new species and strains that are effective oil destructors [15,64,65]. Additionally, biostimulation of the native microbial community may also accelerate oil decomposition, as natural reservoirs contain microorganisms potentially capable of degrading hydrocarbons [66]. When oil pollution occurs, the number of these microorganisms increases [67], as observed in our study.
Our research focuses on the rhizosphere phenomenon, where microorganisms in the root zone of plants receive better conditions for development due to plant root exudates [68,69,70,71]. The introduction of aquatic plants with well-developed root systems may serve as biostimulation for hydrocarbon-degrading microorganisms under oil pollution conditions. Secondary metabolites secreted by E. crassipes and P. stratiotes may provide additional advantages for the development of such microorganisms.
Plants release a wide range of organic compounds into the rhizosphere, including sugars, amino acids, organic acids, and other metabolites. Root exudates play a crucial role in plant–microbe interactions, nutrient uptake, and responses to abiotic stress [26,68,72]. They can act as signaling molecules, chelating agents, and energy sources for rhizosphere microorganisms. In our study, metabolites secreted by both plant species altered the interfacial tension of the medium. Chromatograms of water from tanks not polluted by oil also showed hexane-soluble metabolites, presumably of plant origin.
Oil emulsification due to the surfactants and changes in medium surface tension allows bacteria to degrade hydrocarbons more effectively [73,74]. The presence of plants disrupts the integrity of the oil film on the water surface, increasing the phase separation area available to bacteria. The change in the oil slick structure can be caused by both plant-released surfactants and those produced by the bacterial community.
Differences in the relative abundance of bacterial communities are evident in oil pollution conditions both with and without plants. In the absence of plants, the abundance of the phylum Patescibacteria increased compared to all other tanks, while the quantity of Pseudomonadota decreased compared to tanks with plants (both in the presence and absence of oil). Identified families with high abundance included Chromatiaceae (p. Pseudomonadota), Comamonadaceae (p. Pseudomonadota), Chitinophagaceae (p. Bacteroidota), and Parcubacteria (p. Patescibacteria), whose members can degrade oil [10,21,75,76,77]. The family Caulobacteraceae (p. Pseudomonadota) was also identified, which increases its numbers under conditions of oil pollution [21].
It is noteworthy that in our study, the families Caulobacteraceae, Chitinophagaceae, and Parcubacteria were poorly represented in the tanks with plants. In the tank without plants, the most represented Caulobacteraceae member was the uncultured Phenylobacterium sp. (txid1871053; 98.87% identity), and the most represented Chitinophagaceae member was the uncultured Sediminibacterium sp. (txid796894; 98.92%). There is evidence of involvement in oil biodegradation for the found representatives of the families [21,78].
Overall, the abundance of Pseudomonadota significantly increases in the presence of our plants compared to other phyla, especially in the presence of oil. This suggests a greater potential for bioremediation in the presence of plants. The numerous phylum Pseudomonadota includes not only rhizosphere microorganisms but also many hydrocarbon-degrading members [7,79]. In our study, uncultured bacteria of the families Xanthomonadaceae, Immundisolibacteraceae, and Reyranellaceae were found associated with both plant species in the presence of oil, while these families were poorly represented or absent in the absence of plants. For Immundisolibacteraceae, the closest cultured species Immundisolibacter cernigliae (95.71% identity; txid1810504) may be involved in hydrocarbon degradation [19,80,81].
Among the Chromatiaceae family, the overwhelming majority in all tanks with oil is occupied by the uncultured representative Halochromatium sp. (txid305975; 97.03%), also associated by researchers with oil biodegradation [77,82]. It is important to note that its abundance in tanks with oil is high both with and without plants.
The Comamonadaceae family was abundant in all the tanks with plants. However, individual members of this family were specific to different tanks in our study. The rhizosphere of E. crassipes contained a variety of Aquabacterium species. In the tanks without oil, uncultured Aquabacterium sp. (txid158753; 97.64%) [83] predominated, while in the tanks with oil, their numbers were reduced, but the numbers of Aquabacterium parvum (txid70584; 98.93%) increased. Rhizobacter fulvus (txid363843; 97.64%), Ideonella benzenivorans (txid2831643; 97.21%), and Aquabacterium limnoticum (txid708634; 98.50%) were detected in the rhizosphere of P. stratiotes in the absence of oil. I. benzenivorans and A. limnoticum were also present in P. stratiotes in tanks with the addition of oil. An increase in the numbers of Curvibacter delicatus (txid1349763; 98.93%) and Hydrogenophaga taeniospiralis (txid65656; 98.71%) was also noted. The bacteria detected in the presence of oil were shown in other studies to be capable of biodegrading oil contaminants, Bedics [67,84,85,86].
Analysis of alpha diversity shows the increase in microbiota diversity in the presence of plants compared to the control. The rhizosphere is expected to contain microorganisms related to nitrogen metabolism: families Haliangiaceae, Hyphomicrobiaceae, and Vicinamibacteraceae [87,88,89]. Additionally, other soil/fens bacteria from the families Chthoniobacteraceae, Pedosphaeraceae, Microscillaceae, and Steroidobacteraceae are present [90]. Some members of these families have been previously identified in the rhizosphere of E. crassipes by other researchers [91,92,93]. However, it is expected that the plant microbiome varies under different habitat conditions.
In our study, for the first time, we described the root microbiome of P. stratiotes. Due to the identical cultivation conditions, the diversity of microorganisms at the phylum level correlates with the microbial community of E. crassipes roots. However, P. stratiotes shows a lower content of Myxococcota and a higher content of Verrucomicrobiota phyla. Additionally, certain families primarily associated with the roots of P. stratiotes can be highlighted. These are the families Pedosphaeraceae and Chthoniobacteraceae of the phylum Verrucomicrobiota, predominantly represented by soil microorganisms.
5. Conclusions
Our study has demonstrated that free-floating plants Eichhornia crassipes and Pistia stratiotes in oil-contaminated tanks do not influence the degradation of oil alkanes. Nonetheless, the presence of bacteria capable of growing in hydrocarbon-polluted environments has been shown in the microbial communities associated with the roots of E. crassipes and P. stratiotes. The root exudates released by aquatic plants not only provide a source of organic substances and energy for microorganisms but can also significantly reduce the interfacial tension at the water/oil phase boundary, increasing the availability of hydrocarbons for biodegradation. Additionally, the roots of E. crassipes and P. stratiotes themselves can serve as excellent carriers for immobilizing microorganisms, such as those introduced as bioaugmentation. The influence of E. crassipes and P. stratiotes on the microbial community forming under oil pollution conditions underscores the importance of studying the interactions between microorganisms and plants in the aquatic rhizosphere for application in phytoremediation.
Supplementary Materials
The following supporting information can be downloaded at: https://www.mdpi.com/article/10.3390/su16219288/s1, Table S1: Number of plants in tanks during the experiment; Table S2: Methods used in bioinformatics analysis and alpha diversity indices of samples based on 16S RNA sequencing.
Author Contributions
Conceptualization, T.Z. and A.K.; methodology, T.B., T.K. and A.K.; performing the experiments T.Z. and I.G.; rheology and oil biodegradation analysis of samples, T.B., T.K. and D.S.; metagenomic data curation I.G. and V.K.; visualization and writing—original draft preparation, T.Z., I.G. and T.B.; writing—review and editing, V.K. and A.K.; supervision and project administration, A.K. All authors have read and agreed to the published version of the manuscript.
Funding
This work was supported by the Ministry of Science and Higher Education of the Russian Federation.
Institutional Review Board Statement
Not applicable.
Informed Consent Statement
Not applicable.
Data Availability Statement
The raw data generated from 16S rRNA gene sequencing were deposited in the NCBI Sequence Read Archive (SRA) and are available via the BioProject PRJNA1146311.
Acknowledgments
The authors would like to thank Alexey Beletsky for support in processing and visualizing metagenomic sequencing data.
Conflicts of Interest
The funders had no role in the design of this study; in the collection, analyses, or interpretation of data; in the writing of the manuscript; or in the decision to publish the results.
References
- King, G.M.; Kostka, J.E.; Hazen, T.C.; Sobecky, P.A. Microbial Responses to the Deepwater Horizon Oil Spill: From Coastal Wetlands to the Deep Sea. Ann. Rev. Mar. Sci. 2015, 7, 377–401. [Google Scholar] [CrossRef] [PubMed]
- Pennings, S.C.; McCall, B.D.; Hooper-Bui, L. Effects of Oil Spills on Terrestrial Arthropods in Coastal Wetlands. Bioscience 2014, 64, 789–795. [Google Scholar] [CrossRef]
- Agnello, A.C.; Bagard, M.; van Hullebusch, E.D.; Esposito, G.; Huguenot, D. Comparative Bioremediation of Heavy Metals and Petroleum Hydrocarbons Co-Contaminated Soil by Natural Attenuation, Phytoremediation, Bioaugmentation and Bioaugmentation-Assisted Phytoremediation. Sci. Total Environ. 2016, 563–564, 693–703. [Google Scholar] [CrossRef]
- Azubuike, C.C.; Chikere, C.B.; Okpokwasili, G.C. Bioremediation Techniques–Classification Based on Site of Application: Principles, Advantages, Limitations and Prospects. World J. Microbiol. Biotechnol. 2016, 32, 180. [Google Scholar] [CrossRef] [PubMed]
- Lim, M.W.; Von Lau, E.; Poh, P.E. A Comprehensive Guide of Remediation Technologies for Oil Contaminated Soil—Present Works and Future Directions. Mar. Pollut. Bull. 2016, 109, 14–45. [Google Scholar] [CrossRef] [PubMed]
- Xu, X.; Liu, W.; Tian, S.; Wang, W.; Qi, Q.; Jiang, P.; Gao, X.; Li, F.; Li, H.; Yu, H. Petroleum Hydrocarbon-Degrading Bacteria for the Remediation of Oil Pollution Under Aerobic Conditions: A Perspective Analysis. Front. Microbiol. 2018, 9, 2885. [Google Scholar] [CrossRef]
- Fuentes, S.; Méndez, V.; Aguila, P.; Seeger, M. Bioremediation of Petroleum Hydrocarbons: Catabolic Genes, Microbial Communities, and Applications. Appl. Microbiol. Biotechnol. 2014, 98, 4781–4794. [Google Scholar] [CrossRef]
- Ghazali, F.M.; Rahman, R.N.Z.A.; Salleh, A.B.; Basri, M. Biodegradation of Hydrocarbons in Soil by Microbial Consortium. Int. Biodeterior. Biodegrad. 2004, 54, 61–67. [Google Scholar] [CrossRef]
- Mahmoud, G.A.E.; Bagy, M.M.K. Microbial Degradation of Petroleum Hydrocarbons. In Microbial Action on Hydrocarbons; Springer: Singapore, 2019; pp. 299–320. ISBN 9789811318405. [Google Scholar]
- Sun, Y.; Lu, S.; Zhao, X.; Ding, A.; Wang, L. Long-Term Oil Pollution and In Situ Microbial Response of Groundwater in Northwest China. Arch. Environ. Contam. Toxicol. 2017, 72, 519–529. [Google Scholar] [CrossRef]
- Ortmann, A.C.; Lu, Y.H. Initial Community and Environment Determine the Response of Bacterial Communities to Dispersant and Oil Contamination. Mar. Pollut. Bull. 2015, 90, 106–114. [Google Scholar] [CrossRef]
- de Rattes Almeida Couto, C.; Catharine de Assis Leite, D.; Jurelevicius, D.; van Elsas, J.D.; Seldin, L. Chemical and Biological Dispersants Differently Affect the Bacterial Communities of Uncontaminated and Oil-Contaminated Marine Water. Braz. J. Microbiol. 2020, 51, 691–700. [Google Scholar] [CrossRef] [PubMed]
- Wang, L.Y.; Ke, W.J.; Sun, X.B.; Liu, J.F.; Gu, J.D.; Mu, B.Z. Comparison of Bacterial Community in Aqueous and Oil Phases of Water-Flooded Petroleum Reservoirs Using Pyrosequencing and Clone Library Approaches. Appl. Microbiol. Biotechnol. 2014, 98, 4209–4221. [Google Scholar] [CrossRef] [PubMed]
- Huang, X.D.; El-Alawi, Y.; Penrose, D.M.; Glick, B.R.; Greenberg, B.M. A Multi-Process Phytoremediation System for Removal of Polycyclic Aromatic Hydrocarbons from Contaminated Soils. Environ. Pollut. 2004, 130, 465–476. [Google Scholar] [CrossRef]
- Camacho-Montealegre, C.M.; Rodrigues, E.M.; Morais, D.K.; Tótola, M.R. Prokaryotic Community Diversity during Bioremediation of Crude Oil Contaminated Oilfield Soil: Effects of Hydrocarbon Concentration and Salinity. Braz. J. Microbiol. 2021, 52, 787–800. [Google Scholar] [CrossRef] [PubMed]
- Hashmat, A.J.; Afzal, M.; Fatima, K.; Anwar-ul-Haq, M.; Khan, Q.M.; Arias, C.A.; Brix, H. Characterization of Hydrocarbon-Degrading Bacteria in Constructed Wetland Microcosms Used to Treat Crude Oil Polluted Water. Bull. Environ. Contam. Toxicol. 2019, 102, 358–364. [Google Scholar] [CrossRef] [PubMed]
- Kumar Subathra, M.; Immanuel, G.; Suresh, A.H. Isolation and Identification of Hydrocarbon Degrading Bacteria from Ennore Creek. Bioinformation 2013, 9, 150–157. [Google Scholar] [CrossRef]
- Borzenkov, I.A.; Milekhina, E.I.; Gotoeva, M.T.; Rozanova, E.P.; Belyaev, S.S. The Properties of Hydrocarbon-Oxidizing Bacteria Isolated from the Oilfields of Tatarstan, Western Siberia, and Vietnam. Microbiology 2006, 75, 66–72. [Google Scholar] [CrossRef]
- Ning, Z.; Cai, P.; Zhang, M. Metagenomic Analysis Revealed Highly Diverse Carbon Fixation Microorganisms in a Petroleum-Hydrocarbon-Contaminated Aquifer. Environ. Res. 2024, 247, 118289. [Google Scholar] [CrossRef]
- Zhang, Z.; Gai, L.; Hou, Z.; Yang, C.; Ma, C.; Wang, Z.; Sun, B.; He, X.; Tang, H.; Xu, P. Characterization and Biotechnological Potential of Petroleum-Degrading Bacteria Isolated from Oil-Contaminated Soils. Bioresour. Technol. 2010, 101, 8452–8456. [Google Scholar] [CrossRef]
- Singleton, D.R.; Adrion, A.C.; Aitken, M.D. Surfactant-Induced Bacterial Community Changes Correlated with Increased Polycyclic Aromatic Hydrocarbon Degradation in Contaminated Soil. Appl. Microbiol. Biotechnol. 2016, 100, 10165–10177. [Google Scholar] [CrossRef]
- Pilon-Smits, E. Phytoremediation. Annu. Rev. Plant Biol. 2005, 56, 15–39. [Google Scholar] [CrossRef] [PubMed]
- Yavari, S.; Malakahmad, A.; Sapari, N.B. A Review on Phytoremediation of Crude Oil Spills. Water Air Soil. Pollut. 2015, 226, 279. [Google Scholar] [CrossRef]
- Kuiper, I.; Bloemberg, G.V.; Lugtenberg, B.J.J. Selection of a Plant-Bacterium Pair as a Novel Tool for Rhizostimulation of Polycyclic Aromatic Hydrocarbon-Degrading Bacteria. Mol. Plant-Microbe Interact. 2001, 14, 1197–1205. [Google Scholar] [CrossRef] [PubMed]
- Agbodjato, N.A.; Noumavo, P.A.; Adjanohoun, A.; Agbessi, L.; Baba-Moussa, L. Synergistic Effects of Plant Growth Promoting Rhizobacteria and Chitosan on In Vitro Seeds Germination, Greenhouse Growth, and Nutrient Uptake of Maize (Zea mays L.). Biotechnol. Res. Int. 2016, 2016, 7830182. [Google Scholar] [CrossRef]
- Saeed, Q.; Xiukang, W.; Haider, F.U.; Kučerik, J.; Mumtaz, M.Z.; Holatko, J.; Naseem, M.; Kintl, A.; Ejaz, M.; Naveed, M.; et al. Rhizosphere Bacteria in Plant Growth Promotion, Biocontrol, and Bioremediation of Contaminated Sites: A Comprehensive Review of Effects and Mechanisms. Int. J. Mol. Sci. 2021, 22, 10529. [Google Scholar] [CrossRef]
- Abdullah, S.R.S.; Al-Baldawi, I.A.; Almansoory, A.F.; Purwanti, I.F.; Al-Sbani, N.H.; Sharuddin, S.S.N. Plant-Assisted Remediation of Hydrocarbons in Water and Soil: Application, Mechanisms, Challenges and Opportunities. Chemosphere 2020, 247, 125932. [Google Scholar] [CrossRef]
- Meištininkas, R.; Vaškevičienė, I.; Dikšaitytė, A.; Pedišius, N.; Žaltauskaitė, J. Potential of Eight Species of Legumes for Heavy Fuel Oil-Contaminated Soil Phytoremediation. Sustainability 2023, 15, 4281. [Google Scholar] [CrossRef]
- Khan, S.; Afzal, M.; Iqbal, S.; Khan, Q.M. Plant-Bacteria Partnerships for the Remediation of Hydrocarbon Contaminated Soils. Chemosphere 2013, 90, 1317–1332. [Google Scholar] [CrossRef] [PubMed]
- Kumar, V.; AlMomin, S.; Al-Aqeel, H.; Al-Salameen, F.; Nair, S.; Shajan, A. Metagenomic Analysis of Rhizosphere Microflora of Oil-Contaminated Soil Planted with Barley and Alfalfa. PLoS ONE 2018, 13, e0202127. [Google Scholar] [CrossRef]
- Sharma, S.; Singh, B.; Manchanda, V.K. Phytoremediation: Role of Terrestrial Plants and Aquatic Macrophytes in the Remediation of Radionuclides and Heavy Metal Contaminated Soil and Water. Environ. Sci. Pollut. Res. 2015, 22, 946–962. [Google Scholar] [CrossRef]
- Rezania, S.; Taib, S.M.; Md Din, M.F.; Dahalan, F.A.; Kamyab, H. Comprehensive Review on Phytotechnology: Heavy Metals Removal by Diverse Aquatic Plants Species from Wastewater. J. Hazard. Mater. 2016, 318, 587–599. [Google Scholar] [CrossRef]
- Ayanda, O.I.; Ajayi, T.; Asuwaju, F.P. Eichhornia crassipes (Mart.) Solms: Uses, Challenges, Threats, and Prospects. Sci. World J. 2020, 2020, 3452172. [Google Scholar] [CrossRef]
- Madikizela, L.M. Removal of Organic Pollutants in Water Using Water Hyacinth (Eichhornia crassipes). J. Environ. Manag. 2021, 295, 113153. [Google Scholar] [CrossRef]
- Singh, N.; Balomajumder, C. Phytoremediation Potential of Water Hyacinth (Eichhornia crassipes) for Phenol and Cyanide Elimination from Synthetic/Simulated Wastewater. Appl. Water Sci. 2021, 11, 144. [Google Scholar] [CrossRef]
- Kodituwakku, K.A.R.K.; Yatawara, M. Phytoremediation of Industrial Sewage Sludge with Eichhornia crassipes, Salvinia molesta and Pistia stratiotes in Batch Fed Free Water Flow Constructed Wetlands. Bull. Environ. Contam. Toxicol. 2020, 104, 627–633. [Google Scholar] [CrossRef]
- Yang, X.; Chen, S.; Zhang, R. Utilization of Two Invasive Free-Floating Aquatic Plants (Pistia stratiotes and Eichhornia crassipes) as Sorbents for Oil Removal. Environ. Sci. Pollut. Res. 2014, 21, 781–786. [Google Scholar] [CrossRef]
- POWO. Plants of the World Online. Facilitated by the Royal Botanic Gardens, Kew. Published on the Internet. 2024. Available online: http://www.plantsoftheworldonline.org/ (accessed on 9 July 2024).
- Nazina, T.N.; Sokolova, D.S.; Babich, T.L.; Semenova, E.M.; Ershov, A.P.; Bidzhieva, S.K.; Borzenkov, I.A.; Poltaraus, A.B.; Khisametdinov, M.R.; Tourova, T.P. Microorganisms of Low-Temperature Heavy Oil Reservoirs (Russia) and Their Possible Application for Enhanced Oil Recovery. Microbiology 2017, 86, 773–785. [Google Scholar] [CrossRef]
- Zajic, J.E.; Guignard, H.; Gerson, D.F. Emulsifying and Surface Active Agents from Corynebacterium hydrocarboclastus. Biotechnol. Bioeng. 1977, 19, 1285–1301. [Google Scholar] [CrossRef]
- Frey, B.; Rime, T.; Phillips, M.; Stierli, B.; Hajdas, I.; Widmer, F.; Hartmann, M. Microbial Diversity in European Alpine Permafrost and Active Layers. FEMS Microbiol. Ecol. 2016, 92, fiw018. [Google Scholar] [CrossRef]
- Magoč, T.; Salzberg, S.L. FLASH: Fast Length Adjustment of Short Reads to Improve Genome Assemblies. Bioinformatics 2011, 27, 2957–2963. [Google Scholar] [CrossRef]
- Edgar, R.C. Search and Clustering Orders of Magnitude Faster than BLAST. Bioinformatics 2010, 26, 2460–2461. [Google Scholar] [CrossRef]
- Rognes, T.; Flouri, T.; Nichols, B.; Quince, C.; Mahé, F. VSEARCH: A Versatile Open Source Tool for Metagenomics. PeerJ 2016, 2016, e2584. [Google Scholar] [CrossRef]
- Bolyen, E.; Rideout, J.R.; Dillon, M.R.; Bokulich, N.A.; Abnet, C.C.; Al-Ghalith, G.A.; Alexander, H.; Alm, E.J.; Arumugam, M.; Asnicar, F.; et al. Reproducible, Interactive, Scalable and Extensible Microbiome Data Science Using QIIME 2. Nat. Biotechnol. 2019, 37, 852–857. [Google Scholar] [CrossRef]
- Chiang, E.; Schmidt, M.L.; Berry, M.A.; Biddanda, B.A.; Burtner, A.; Johengen, T.H.; Palladino, D.; Denef, V.J. Verrucomicrobia Are Prevalent in North-Temperate Freshwater Lakes and Display Class-Level Preferences between Lake Habitats. PLoS ONE 2018, 13, e0195112. [Google Scholar] [CrossRef]
- Schwantes, D.; Gonçalves, A.C.; Schiller, A.d.P.; Manfrin, J.; Campagnolo, M.A.; Somavilla, E. Pistia stratiotes in the Phytoremediation and Post-Treatment of Domestic Sewage. Int. J. Phytoremediat. 2019, 21, 714–723. [Google Scholar] [CrossRef]
- Cornelius, M.T.F.; Chapla, V.; Braun, G.; Sarragiotto, M.H.; Schirmann, J.; Olguin, C.F.A. Phytochemical and Biological Investigations of Eichhornia crassipes (Mart.) Solms. J. Chem. Pharm. Res. 2016, 8, 564–570. [Google Scholar]
- Das, A.; Ghosh, P.; Paul, T.; Ghosh, U.; Pati, B.R.; Mondal, K.C. Production of Bioethanol as Useful Biofuel through the Bioconversion of Water Hyacinth (Eichhornia crassipes). 3 Biotech 2016, 6, 70. [Google Scholar] [CrossRef]
- Deng, Y.; Qian, X.; Wu, Y.; Ma, T.; Xu, X.; Li, J.; Wang, G.; Yan, Y. Effects of Ciprofloxacin on Eichhornia crassipes Phytoremediation Performance and Physiology under Hydroponic Conditions. Environ. Sci. Pollut. Res. 2022, 29, 47363–47372. [Google Scholar] [CrossRef]
- Ali, S.; Abbas, Z.; Rizwan, M.; Zaheer, I.E.; Yavas, I.; Ünay, A.; Abdel-Daim, M.M.; Bin-Jumah, M.; Hasanuzzaman, M.; Kalderis, D. Application of Floating Aquatic Plants in Phytoremediation of Heavy Metals Polluted Water: A Review. Sustainability 2020, 12, 1927. [Google Scholar] [CrossRef]
- Newete, S.W.; Byrne, M.J. The Capacity of Aquatic Macrophytes for Phytoremediation and Their Disposal with Specific Reference to Water Hyacinth. Environ. Sci. Pollut. Res. 2016, 23, 10630–10643. [Google Scholar] [CrossRef]
- Tabinda, A.B.; Irfan, R.; Yasar, A.; Iqbal, A.; Mahmood, A. Phytoremediation Potential of Pistia stratiotes and Eichhornia crassipes to Remove Chromium and Copper. Environ. Technol. 2020, 41, 1514–1519. [Google Scholar] [CrossRef]
- Zhou, J.M.; Jiang, Z.C.; Qin, X.Q.; Zhang, L.K.; Huang, Q.B.; Xu, G.L.; Dionysiou, D.D. Efficiency of Pb, Zn, Cd, and Mn Removal from Karst Water by Eichhornia crassipes. Int. J. Environ. Res. Public Health 2020, 17, 5329. [Google Scholar] [CrossRef]
- Sayago, U.F.C.; Castro, Y.P.; Rivera, L.R.C.; Mariaca, A.G. Estimation of Equilibrium Times and Maximum Capacity of Adsorption of Heavy Metals by E. Crassipes (Review). Environ. Monit. Assess. 2020, 192, 141. [Google Scholar] [CrossRef]
- Escoto, D.F.; Gayer, M.C.; Bianchini, M.C.; da Cruz Pereira, G.; Roehrs, R.; Denardin, E.L.G. Use of Pistia stratiotes for Phytoremediation of Water Resources Contaminated by Clomazone. Chemosphere 2019, 227, 299–304. [Google Scholar] [CrossRef]
- Jiang, L.; Tang, Y.; Lu, Y.; Chen, X.; Wu, X.; Luo, P.; Shiels, H.A. In Situ Phytoextraction of Mn and NH4+-N from Aqueous Electrolytic Manganese Residue Solution by Pistia stratiotes: Effects of Fe/Co Presence and Rhizospheric Microbe Synergistic Involvement. Environ. Pollut. 2024, 355, 124177. [Google Scholar] [CrossRef]
- Lopes, A.; Piedade, M.T.F. Experimental Study on the Survival of the Water Hyacinth (Eichhornia crassipes (Mart.) Solms—Pontederiaceae) under Different Oil Doses and Times of Exposure. Environ. Sci. Pollut. Res. 2014, 21, 13503–13511. [Google Scholar] [CrossRef]
- Akapo, A.A.R.; Omidiji, S.O.; Otitoloju, A.A. Morphological and Anatomical Effects of Crude Oil on Pistia stratiotes. Environmentalist 2011, 31, 288–298. [Google Scholar] [CrossRef]
- Haider, F.U.; Ejaz, M.; Cheema, S.A.; Khan, M.I.; Zhao, B.; Liqun, C.; Salim, M.A.; Naveed, M.; Khan, N.; Núñez-Delgado, A.; et al. Phytotoxicity of Petroleum Hydrocarbons: Sources, Impacts and Remediation Strategies. Environ. Res. 2021, 197, 111031. [Google Scholar] [CrossRef]
- Lima, H.d.P.; Asencios, Y.J.O. Eichhornia crassipes (Mart.) Solms (Natural or Carbonized) as Biosorbent to Remove Pollutants in Water. SN Appl. Sci. 2021, 3, 750. [Google Scholar] [CrossRef]
- Nascimento, L.A.; Carvalho, M.N.; Benachour, M.; Santos, V.A.; Sarubbo, L.A.; Albuquerque, E.L.S.; Freire, E.M.P.L.; Lima, E.F.T. Biosorption of Heavy Fuel Oil from Aqueous Solution by Eichhornia crassipes (Mart.) Solms in Natura. Environ. Sci. Pollut. Res. 2021, 28, 47492–47502. [Google Scholar] [CrossRef] [PubMed]
- Selva Filho, A.A.P.; De Medeiros, A.O.; Farias, C.B.B.; Roque, B.A.C.; Da Faccioli, Y.E.S.; De Cássia Soares Da Silva, R.F.; Sarubbo, L.A. Application of Biosurfactant Obtained from Eichhornia crassipes in the Removal of Petroderivate in Sand and Water from the Sea. Chem. Eng. Trans. 2020, 79, 349–354. [Google Scholar] [CrossRef]
- Avona, A.; Capodici, M.; Di Trapani, D.; Giustra, M.G.; Greco Lucchina, P.; Lumia, L.; Di Bella, G.; Rossetti, S.; Tonanzi, B.; Viviani, G. Hydrocarbons Removal from Real Marine Sediments: Analysis of Degradation Pathways and Microbial Community Development during Bioslurry Treatment. Sci. Total Environ. 2022, 838, 156458. [Google Scholar] [CrossRef]
- Djahnit, N.; Chernai, S.; Catania, V.; Hamdi, B.; China, B.; Cappello, S.; Quatrini, P. Isolation, Characterization and Determination of Biotechnological Potential of Oil-Degrading Bacteria from Algerian Centre Coast. J. Appl. Microbiol. 2019, 126, 780–795. [Google Scholar] [CrossRef]
- Yousaf, S.; Andria, V.; Reichenauer, T.G.; Smalla, K.; Sessitsch, A. Phylogenetic and Functional Diversity of Alkane Degrading Bacteria Associated with Italian Ryegrass (Lolium multiflorum) and Birdsfoot Trefoil (Lotus corniculatus) in a Petroleum Oil-Contaminated Environment. J. Hazard. Mater. 2010, 184, 523–532. [Google Scholar] [CrossRef]
- Yan, L.; Penttinen, P.; Mikkonen, A.; Lindström, K. Bacterial Community Changes in Response to Oil Contamination and Perennial Crop Cultivation. Environ. Sci. Pollut. Res. 2018, 25, 14575–14584. [Google Scholar] [CrossRef]
- Musilova, L.; Ridl, J.; Polivkova, M.; Macek, T.; Uhlik, O. Effects of Secondary Plant Metabolites on Microbial Populations: Changes in Community Structure and Metabolic Activity in Contaminated Environments. Int. J. Mol. Sci. 2016, 17, 1205. [Google Scholar] [CrossRef] [PubMed]
- O’Brien, A.M.; Yu, Z.H.; Luo, D.Y.; Laurich, J.; Passeport, E.; Frederickson, M.E. Resilience to Multiple Stressors in an Aquatic Plant and Its Microbiome. Am. J. Bot. 2020, 107, 273–285. [Google Scholar] [CrossRef] [PubMed]
- Lefevre, G.H.; Hozalski, R.M.; Novak, P.J. Root Exudate Enhanced Contaminant Desorption: An Abiotic Contribution to the Rhizosphere Effect. Environ. Sci. Technol. 2013, 47, 11545–11553. [Google Scholar] [CrossRef]
- Bian, F.; Zhong, Z.; Li, C.; Zhang, X.; Gu, L.; Huang, Z.; Gai, X.; Huang, Z. Intercropping Improves Heavy Metal Phytoremediation Efficiency through Changing Properties of Rhizosphere Soil in Bamboo Plantation. J. Hazard. Mater. 2021, 416, 125898. [Google Scholar] [CrossRef] [PubMed]
- Poupin, M.J.; Ledger, T.; Roselló-Móra, R.; González, B. The Arabidopsis Holobiont: A (Re)source of Insights to Understand the Amazing World of Plant–Microbe Interactions. Environ. Microbiomes 2023, 18, 9. [Google Scholar] [CrossRef]
- Tian, W.; Yao, J.; Liu, R.; Zhu, M.; Wang, F.; Wu, X.; Liu, H. Effect of Natural and Synthetic Surfactants on Crude Oil Biodegradation by Indigenous Strains. Ecotoxicol. Environ. Saf. 2016, 129, 171–179. [Google Scholar] [CrossRef] [PubMed]
- Karpenko, E.V.; Vil’danova-Martsishin, R.I.; Scheglova, N.S.; Pirog, T.P.; Voloshina, I.N. The Prospects of Using Bacteria of the Genus Rhodococcus and Microbial Surfactants for the Degradation of Oil Pollutants. Appl. Biochem. Microbiol. 2006, 42, 156–159. [Google Scholar] [CrossRef]
- Hu, P.; Tom, L.; Singh, A.; Thomas, B.C.; Baker, B.J.; Piceno, Y.M.; Andersen, G.L.; Banfield, J.F. Genome-Resolved Metagenomic Analysis Reveals Roles for Candidate Phyla and Other Microbial Community Members in Biogeochemical Transformations in Oil Reservoirs. mBio 2016, 7, 10–1128. [Google Scholar] [CrossRef] [PubMed]
- Chikere, C.B.; Mordi, I.J.; Chikere, B.O.; Selvarajan, R.; Ashafa, T.O.; Obieze, C.C. Comparative Metagenomics and Functional Profiling of Crude Oil-Polluted Soils in Bodo West Community, Ogoni, with Other Sites of Varying Pollution History. Ann. Microbiol. 2019, 69, 495–513. [Google Scholar] [CrossRef]
- Militon, C.; Boucher, D.; Vachelard, C.; Perchet, G.; Barra, V.; Troquet, J.; Peyretaillade, E.; Peyret, P. Bacterial Community Changes during Bioremediation of Aliphatic Hydrocarbon-Contaminated Soil. FEMS Microbiol. Ecol. 2010, 74, 669–681. [Google Scholar] [CrossRef]
- Yang, S.; Wen, X.; Zhao, L.; Shi, Y.; Jin, H. Crude Oil Treatment Leads to Shift of Bacterial Communities in Soils from the Deep Active Layer and Upper Permafrost along the China-Russia Crude Oil Pipeline Route. PLoS ONE 2014, 9, e96552. [Google Scholar] [CrossRef]
- Nie, Y.; Chi, C.Q.; Fang, H.; Liang, J.L.; Lu, S.L.; Lai, G.L.; Tang, Y.Q.; Wu, X.L. Diverse Alkane Hydroxylase Genes in Microorganisms and Environments. Sci. Rep. 2014, 4, 4968. [Google Scholar] [CrossRef]
- Akbari, A.; Ghoshal, S. Effects of Diurnal Temperature Variation on Microbial Community and Petroleum Hydrocarbon Biodegradation in Contaminated Soils from a Sub-Arctic Site. Environ. Microbiol. 2015, 17, 4916–4928. [Google Scholar] [CrossRef]
- Corteselli, E.M.; Aitken, M.D.; Singleton, D.R. Description of Immundisolibacter Cernigliae Gen. Nov., Sp. Nov., a High-Molecular-Weight Polycyclic Aromatic Hydrocarbondegrading Bacterium within the Class Gammaproteobacteria, and Proposal of Immundisolibacterales Ord. Nov. and Immundisolibacteraceae Fam. Nov. Int. J. Syst. Evol. Microbiol. 2017, 67, 925–931. [Google Scholar]
- Del Panno, M.T.; Morelli, I.S.; Engelen, B.; Berthe-Corti, L. Effect of Petrochemical Sludge Concentrations on Microbial Communities during Soil Bioremediation. FEMS Microbiol. Ecol. 2005, 53, 305–316. [Google Scholar] [CrossRef] [PubMed]
- Jangid, K.; Williams, M.A.; Franzluebbers, A.J.; Schmidt, T.M.; Coleman, D.C.; Whitman, W.B. Land-Use History Has a Stronger Impact on Soil Microbial Community Composition than Aboveground Vegetation and Soil Properties. Soil. Biol. Biochem. 2011, 43, 2184–2193. [Google Scholar] [CrossRef]
- Bedics, A.; Táncsics, A.; Tóth, E.; Banerjee, S.; Harkai, P.; Kovács, B.; Bóka, K.; Kriszt, B. Microaerobic Enrichment of Benzene-Degrading Bacteria and Description of Ideonella benzenivorans Sp. Nov., Capable of Degrading Benzene, Toluene and Ethylbenzene under Microaerobic Conditions. Antonie Van. Leeuwenhoek Int. J. Gen. Mol. Microbiol. 2022, 115, 1113–1128. [Google Scholar] [CrossRef] [PubMed]
- Lambo, A.J.; Patel, T.R. Isolation and Characterization of a Biphenyl-Utilizing Psychrotrophic Bacterium, Hydrogenophaga Taeniospiralis IA3-A, That Cometabolize Dichlorobiphenyls and Polychlorinated Biphenyl Congeners in Aroclor 1221. J. Basic Microbiol. 2006, 46, 94–107. [Google Scholar] [CrossRef] [PubMed]
- D’ugo, E.; Bruno, M.; Mukherjee, A.; Chattopadhyay, D.; Giuseppetti, R.; De Pace, R.; Magurano, F. Characterization of Microbial Response to Petroleum Hydrocarbon Contamination in a Lacustrine Ecosystem. Environ. Sci. Pollut. Res. 2021, 28, 26187–26196. [Google Scholar] [CrossRef]
- Martineau, C.; Mauffrey, F.; Villemur, R. Comparative Analysis of Denitrifying Activities of Hyphomicrobium nitrativorans, Hyphomicrobium denitrificans, and Hyphomicrobium zavarzinii. Appl. Environ. Microbiol. 2015, 81, 5003–5014. [Google Scholar] [CrossRef]
- Mcilroy, S.J.; Starnawska, A.; Starnawski, P.; Saunders, A.M.; Nierychlo, M.; Nielsen, P.H.; Nielsen, J.L. Identification of Active Denitrifiers in Full-Scale Nutrient Removal Wastewater Treatment Systems. Environ. Microbiol. 2016, 18, 50–64. [Google Scholar] [CrossRef]
- Saneha, S.; Pattamapitoon, T.; Bualert, S.; Phewnil, O.; Wararam, W.; Semvimol, N.; Chunkao, K.; Tudsanaton, C.; Srichomphu, M.; Nachaiboon, U.; et al. Relationship between Bacteria and Nitrogen Dynamics in Wastewater Treatment Oxidation Ponds. Glob. J. Environ. Sci. Manag. 2023, 9, 707–718. [Google Scholar] [CrossRef]
- Ivanova, A.A.; Dedysh, S.N. Phylogenetic Diversity of Verrucomicrobiota in Fens of Northern Russia. Microbiology 2023, 92, S7–S11. [Google Scholar] [CrossRef]
- Fan, D.; Schwinghamer, T.; Liu, S.; Xia, O.; Ge, C.; Chen, Q.; Smith, D.L. Characterization of Endophytic Bacteriome Diversity and Associated Beneficial Bacteria Inhabiting a Macrophyte Eichhornia crassipes. Front. Plant Sci. 2023, 14, 1176648. [Google Scholar] [CrossRef]
- Fu, M.; Zheng, L. Effects of Different Forms of Nitrogen on Rhizosphere Microbial Community Structure of Eichhornia crassipes (Pontederiaceae). Rev. Biol. Trop. 2016, 64, 213–220. [Google Scholar] [CrossRef]
- Sharma, R.; Kumar, A.; Singh, N.; Sharma, K. 16S RRNA Gene Profiling of Rhizospheric Microbial Community of Eichhornia crassipes. Mol. Biol. Rep. 2021, 48, 4055–4064. [Google Scholar] [CrossRef] [PubMed]
Disclaimer/Publisher’s Note: The statements, opinions and data contained in all publications are solely those of the individual author(s) and contributor(s) and not of MDPI and/or the editor(s). MDPI and/or the editor(s) disclaim responsibility for any injury to people or property resulting from any ideas, methods, instructions or products referred to in the content. |
© 2024 by the authors. Licensee MDPI, Basel, Switzerland. This article is an open access article distributed under the terms and conditions of the Creative Commons Attribution (CC BY) license (https://creativecommons.org/licenses/by/4.0/).











