Abstract
Considering the supply chain composed of a power battery supplier and a new energy vehicle manufacturer, under the carbon cap-and-trade policy, this paper studies the different cooperation modes between the manufacturer and the supplier as well as their strategies for green technology and power battery production. Three game models are constructed and solved, respectively, under the collaboration mode of wholesale purchasing, patent-licensed manufacturing, and own R&D + Wholesale purchasing. The equilibrium analysis is carried out. Finally, the influence of relevant parameters is explored through numerical simulation. It is found that (1) the manufacturer’s choice of optimal battery production strategy is influenced by the input cost of green technology, the production cost of power battery, the carbon trading price, and the free carbon quota allocated by the government; (2) the cost coefficient of technological innovation affects negatively the optimal decision-making of the supply chain members, the market demand, and the optimal profit, and it has no impact when the cost coefficient reaches a certain value; (3) carbon cap-and-trade policy can, to a certain extent, incentivize suppliers and manufacturers to carry out technological innovation to reduce carbon emissions in the production process, but we cannot ignore the negative impacts of excessively high carbon trading price on the level of emission reduction and the market demand; and (4) the government should reasonably control the carbon price and carbon quota. The above conclusion will provide reference suggestions for new energy vehicle manufacturers and related suppliers.
    1. Introduction
Under a low-carbon economy, green transformation is being carried out in the automobile manufacturing industry, and new energy vehicles are developing rapidly and becoming popular among consumers. For example, SAIC Volkswagen released and promoted its “go TO zero” (go to zero emission) strategy in 2019 and started electrifying its factories, continuously investing in smart environmental technologies, and accelerating the launch of pure electric new energy vehicle products. A portion of emerging automobile enterprises in regions where green technology is undeveloped are making up for their financial and technological shortcomings by cooperating with upstream suppliers who source efficient green technologies or green components, especially in the R&D and supply of power batteries, to enter the new energy vehicle market. For example, under the net-zero emissions commitment, in October 2023, Vietnam’s local car brand VinFast signed a global strategic cooperation memorandum of understanding (MOU) with China’s battery company Ningde Times, which will provide the two sides collaborate on projects such as skateboard chassis, and in November, VinFast partnered with Gotion Hi-Tech to build a factory to meet the battery demand for VinFast’s new-energy vehicles. In China, Ningde Times serves as the power battery supplier for Chery, BAIC New Energy, Nezha, GAC, and other automobile companies, and at the same time authorizes the relevant battery technology patents to automobile companies such as SAIC Group, Ford Motor, and General Motors, cooperating in battery production through the patent licensing. As one of the most important components of new energy vehicles, the performance of the power battery determines directly the value of the vehicle in the process of use and possible carbon emissions [], but also directly affects the market competitiveness of new energy vehicles. Many companies such as GAC Aion, BMW, Volkswagen, and other automotive brands have gradually launched self-developed battery programs. For example, Tesla has developed 4680 batteries in cooperation with Ningde Times at the same time, and Polar Krypton self-developed gold brick battery. So, among the many power battery cooperation programs, how should automobile enterprises make decisions, such as under what conditions to use and what kind of cooperation mode can help improve their market competitiveness and revenue? However, under the dual-carbon goal, what kind of cooperation mode is more conducive to reducing carbon emissions, promoting the green development of the automobile industry, and thus conducive to environmental protection?
While green development is carried out in automobile enterprises, various low-carbon policies from the government have been continuously improved, such as carbon cap-and-trade policy and carbon tax policy. Among them, the carbon cap-and-trade policy, which can fully realize both the market and the effective allocation of resources, is an important policy to promote enterprises to reduce carbon emissions []. This market mechanism of trading carbon emission rights will inevitably have an impact on the green technology innovation decisions of automotive supply chain members. In response to the national low-carbon policy and the growing consumer demand for new energy vehicles, on the one hand, automobile enterprises can invest more money in green technology research to manufacture green components and products, or cooperate with the upstream power battery suppliers, and then trade the remaining emission rights in the market to obtain additional revenues; on the other hand, they can also reduce green R&D investment and meet the policy requirements by purchasing emission rights from the market. Therefore, this paper will try to explore the power battery R&D and cooperation strategies of new energy vehicle manufacturers under the government’s carbon cap and trade policy, considering the three strategies of wholesale purchase, patent-licensed manufacturing, and self-research + wholesale purchase, respectively. This paper will construct and solve models by using Stackelberg’s game and asymmetric Nash’s game to find out the manufacturer’s optimal strategy and the implementation conditions, and then analyze the impact of the carbon cap and trade policy on the supply chain of new energy vehicles, new energy vehicle market policy and the government’s carbon emission reduction target.
2. Current State of Knowledge
In recent years, the research on green development and electric vehicles has been highly concerned by some scholars. For example, Deb et al. [] made an analysis of the impact of EV charging stations on the power grid at the conference; Yang et al. [] explored the optimal management and scheduling of power battery charging loads in power exchange mode through a case study; Das et al. [] researched the current status and future development of the integrated infrastructure for EV charging and power grid; Li et al. [] researched the safe charging strategy for power batteries and multi-scenario application of vehicle operation, and proposed a specific process to optimize the smart charging strategy of power batteries for electric vehicles. Our study primarily relates to two streams of research: carbon cap-and-trade policy and power battery production strategy.
With more and more enterprises joining low-carbon production, the impact of carbon cap-and-trade policy on supply chain members’ decision-making has gradually become a hot topic in academic research. Wang et al. [] investigated the impact of carbon cap-and-trade policy and consumers’ low-carbon preference on manufacturers’ product line selection. Zhang and Qin [] constructed a three-tier supply chain consisting of manufacturers, carriers, and retailers to investigate the impact of different cooperative emission reduction modes, among supply chain members on carbon emission reduction decision-making and supply chain profitability under the carbon cap-and-trade policy. Zou et al. [] investigated the impact of the carbon trading mechanism on the carbon emission reduction input and low carbon level of enterprises based on the carbon cap-and-trade system and the risk aversion characteristics of retailers. Cai and Jiang [] developed a low-carbon supply chain model consisting of a supplier and a manufacturer based on differential game theory, and explored the optimal pricing and carbon emission reduction decisions of supply chain members. Li et al. [] investigated the impact of government subsidies on the coordination of the supply chain’s green technology investment and green marketing under the cap-and-trade mechanism. They concluded that the government can control the total emissions by subsidizing the green technologies of the developed and high-carbon-emitting industries and promoting the development of the emerging or developing industries through subsidies based on the amount of emission reductions. Ma et al. [] explore the complexity of the evolutionary game between oligopolistic manufacturers of new energy vehicles and fuel vehicles under carbon allowance regulation, examining the differential impacts of carbon trading prices and total carbon emission limits on manufacturers. Xue and Sun [] considered two competing supply chains, and modeled four different supply chain structures through vertical and horizontal competition to explore the effects of carbon trading price and supply chain competition on profit and carbon cap policy. Liu et al. [] investigated the low carbon effect and carbon price on the equilibrium outcomes of three carbon emission reduction models. Chen et al. [] found that cap-and-trade regulation leads to higher selling prices, lower market demand, lower carbon emissions, and consumer surplus, and the impact of the cap-and-trade mechanism on profit and social welfare depends on the carbon cap. However, most of the studies in the above literature on the impact of cap-and-trade policies on supply chain decision-making only focus on carbon caps for suppliers or manufacturers, while the reality is that both suppliers and manufacturers may generate carbon emissions in the production process, and one member should not be ignored. Moreover, since new energy vehicles themselves are low-carbon emission products, few literature studies have been conducted in the context of the new energy vehicle industry, whereas the reality is that new energy vehicle power batteries and vehicle manufacturing processes generate carbon emissions, which is what these paper studies in the context of new energy vehicles.
Due to government environmental policy constraints and consumers’ low carbon awareness, more and more new energy vehicle enterprises pay more attention to the green production of batteries to promote the sustainable development of the automobile industry. Therefore, the green technology innovation problem of new energy vehicle power batteries has gradually become a hot direction for scholars to study. Zhu and Li [] studied the dual-channel power battery recycling mode under different government subsidy conditions of the Pricing mechanism, the results show that the recycling price of all parties under the manufacturer subsidy model is higher, and the green awareness of consumers and the green technology level of power batteries are directly proportional to the recycling price provided by the recycling party. Jiao et al. [] explore the impact of carbon trading policy and green technology innovation on the recycling model of power batteries, and find that technological progress promotes recycling and the laddering of utilization and reduces carbon emission more than carbon trading. It is more appropriate to introduce a carbon trading policy when the technology is mature. Huo et al. [] use evolutionary game theory to analyze the impact of government regulation on new energy vehicle enterprises and cold chain logistics service providers, and to study the impact of green technology innovation and low-carbon transformation on the development of new energy vehicle enterprises. Mao et al. [] examine whether government subsidy policies can promote green technology innovation in new energy batteries. Narang et al. [] constructed a closed-loop supply chain for electric vehicle batteries through four mixed-channel recycling models under the carbon cap-and-trade mechanism, and investigated the effects of carbon trading price, incentive-penalty intensity, and battery recycling cost on different recycling models. Wang et al. [] study the competitive model selection of a new energy vehicle supply chain composed of manufacturers and suppliers, construct wholesale competitive and patent license competitive models, and derive the optimal model selection under different conditions. Ma et al. [] explore the impact of dual credit policy on the technological innovation of new energy vehicles under information asymmetry, and found that dual credit policy can promote technological innovation and improve the technical performance of new energy vehicles, and the higher the price of credit to promote the effect is more significant.
In addition, this paper also involves related theories such as green technology ROI, market mechanisms, and consumer behavior. Green technology ROI is an important index to measure the profitability and efficiency of green technology investment projects, which reflects the ratio between the income and the investment capital of investors in green technology investment projects []. Woerner et al. [] use green technology ROI as an index to study the profit risk of enterprises. The market mechanism includes a price adjustment mechanism, competition and cooperation mechanism, and information feedback mechanism, which involves the interaction and coordination between multiple economic subjects and links. By strengthening information sharing, promoting technological innovation, and improving laws and regulations, the supply chain market mechanism can be continuously optimized and improved to enhance the efficiency and competitiveness of the supply chain. Consumer behavior theory provides enterprises with a deep understanding of consumer behavior and demand, which helps them formulate more effective market strategies and improve market competitiveness [,]. Taghikhah et al. [] predict the changes in market demand and future development trends of enterprises through consumer behavior analysis.
The above scholars mainly study the recycling of power batteries, battery green technology innovation under government subsidies, and battery green innovation decision-making, but few scholars include carbon trading in battery green technology innovation decision-making, and most scholars study the recycling strategy of waste batteries at the end of the battery use, and do not consider the strategic choice of the battery production side of the problem.
In view of this, this paper examines different cooperation models between manufacturers and suppliers of batteries in the context of carbon cap-and-trade, and explores manufacturers’ optimal battery production strategies. Compared with existing studies, this paper has the following innovations: (1) in the context of carbon cap and trading, three power battery cooperation and production modes are considered, namely, wholesale purchase, patent authorized manufacturing, and self-development + wholesale purchase; (2) based on the game behavior among supply chain members, the Stackelberg game and asymmetric Nash game are used to construct and solve the model to obtain the manufacturer’s optimal strategy and implementation conditions, as well as the supplier’s price and emission reduction innovation decision; (3) the impact of various cost coefficients, carbon caps and carbon trading prices are explored on the optimal emission reduction decision, market size and profit of supply chain members.
The remainder of this paper is organized as follows. Section 3 describes the structures of the supply chain and the relevant assumptions of the problem; Section 4 establishes and solves the three models; Section 5 analyzes the optimal results, derives the manufacturer’s optimal strategy choices and conditions, and analyzes the impacts of the manufacturer’s optimal strategy choices; Section 6 investigates the impacts of relevant parameters on the manufacturer’s optimal profits, emission reduction levels, and market demand, etc.; and Section 7 gives the conclusions of the article and the recommendations of the management science.
3. Problem Description and Assumptions
3.1. Problem Description
A secondary supply chain consisting of an upstream battery supplier and a downstream vehicle manufacturer is considered. With the implementation of carbon cap-and-trade policies and the developing consumer demand for low-carbon products, the supplier and the manufacturer innovate and cooperate on the production of power batteries for new energy vehicle production. The manufacturer is the leader and decides the production strategy of the power battery. Depending on whether a new energy vehicle manufacturer produces power batteries, whether it carries out technological innovation, and how it cooperates with the upstream battery supplier, three strategies for the manufacturer are studied: (1) wholesale purchase strategy: the manufacturer does not produce batteries and buy them from the supplier who carries out technological innovation in production; (2) patent-licensed manufacturing strategy: the manufacturer obtains the license of patented battery technology from the supplier and then produce batteries; and (3) own R&D + wholesale purchase strategy: the manufacturer develops and produces its own batteries for new energy vehicles to reduce carbon emissions, and also purchases batteries from the supplier for another kind of vehicles. The supply chain structure diagrams are shown in Figure 1.
 
      
    
    Figure 1.
      Supply chain structure diagram. (a) Wholesale purchase strategy (NN). (b) Patent license manufacturing strategy (NI). (c) Own R&D + wholesale purchase strategy (GN).
  
The symbols and meanings involved in this paper are shown in Table 1. For the price and profit, the unit is unified as ten thousand yuan, and some other parameters are proportional without setting the unit. The unit is also omitted in the subsequent calculation process. To simplify the expression, the cars in the paper all represent new energy vehicles, and the batteries all represent the component power batteries of new energy vehicles. The superscripts , ,  in this paper denote the wholesale purchasing strategy, patent licensing manufacturing strategy, and self-research + wholesale purchasing strategy, respectively; the superscript “*” denotes the optimal solution. In the text, suppliers and manufacturers carry out battery R&D and use green technology, which can reduce carbon emissions in the production process compared with ordinary technology, so the carbon emission reduction level per unit in the text is the level of green technology innovation. The subscript : denotes that the supplier carries out technological innovation to produce power batteries;  denotes that the manufacturer carries out technological innovation to produce power batteries.
 
       
    
    Table 1.
    Definition of parameters of the game.
  
3.2. Assumptions
According to the model structure of the article, which facilitates the subsequent model construction and solution, the following assumptions are made in this paper:
Assumption 1. 
The vehicles demand under the NN and NI strategies can be presented as . Under the GN strategy, the market demand function can be presented as , where  when the batteries are produced by the supplier for vehicle manufacturing, and  when the batteries are self-researched and produced by the manufacturer for vehicle manufacturing.
Assumption 2. 
The cost of a new energy vehicle includes the production cost of the power battery (), referring to the literature [,], the technological innovation cost of the power battery (), and the manufacturing cost of the whole vehicle (), which is paid by the manufacturer. Other costs are not counted. The supplier’s cost of battery production is , and the manufacturer’s cost of battery production is , . When , the supplier’s cost of the battery production is less than that of the manufacturer’s, and when , the supplier’s cost of producing the battery is greater than the manufacturer’s.
Assumption 3. 
The initial carbon emissions per unit product of the supplier are , the initial carbon emissions per unit of the manufacturer’s complete vehicle is , and the initial carbon emissions per unit of battery production and complete vehicle manufacturing by the manufacturer is . It is assumed that , . Referring to the literature [,], we assumed that the green technology input efficiency of suppliers is  and the green technology input cost is . The green technology input efficiency of manufacturers is  and the green technology input cost coefficient is .
Assumption 4. 
Under the carbon cap-and-trade policy, the carbon emission limits ( and ) of battery suppliers and vehicle manufacturers are set by the government, which are exogenous variables, and the carbon trading price () in the carbon trading market is known and fixed.
4. Model Construction and Solution
4.1. Wholesale Purchasing Strategy (NN)
Under the wholesale purchasing strategy, the supplier innovates and sells the batteries at a wholesale price  to the vehicle manufacturer, who builds and sells the vehicles to the consumers. The manufacturer is the dominant player who decides the retail price  first. Then, the supplier, as the follower, decides the wholesale price  and the level of emission reduction per unit of product . The profit functions of the supplier and the manufacturer are as follows:
      
        
      
      
      
      
    
      
        
      
      
      
      
    
When the manufacturer’s profit per unit of product is  which will be their primary decision, there is , and , . Solving the model in reverse order, first of all, take  into the Formula (1), and then obtain the first-order derivatives of  on  and  as follows: , . We can obtain the second-order derivatives of  on  and , and the Hessian matrix: . It could be accounted that when ,  is a combination of concave functions about  and . So, we can obtain joint solutions, meaning that the supplier’s reaction functions are as follows: , . Then, by substituting the reaction functions into the Formula (2), we can obtain , and there is a unique solution to make the  optimal. Solving  leads to . Next, substitute  into  and  to obtain the optimal wholesale price and the optimal level of emission reduction as  and . Finally, the optimal demand and profit functions (, , and ) can be calculated, respectively, as in Theorem 1. Assuming the demand is non-negative, the conditions are as follows:  or ., .
Theorem 1. 
When  and , the optimal decisions and profit of the supplier and the manufacturer are, respectively,
4.2. Patent-License Manufacturing Strategy (NI)
Under the patent-licensed manufacturing strategy, the supplier and the manufacturer cooperate in the form of power battery technology patent licensing; the supplier licenses the battery technology patents to the manufacturer who produces the batteries and the whole vehicle. Then, the manufacturer needs to pay the patent commission fee  and the entry fee  that are determined by negotiation with the supplier. The decision sequence diagram cloud is shown in Figure 2.
 
      
    
    Figure 2.
      Decision sequence diagram.
  
The decision sequence includes two phases. Phase 1: the supplier and the manufacturer negotiate to determine  and . Phase 2: the manufacturer, as the dominant player, first decides the retail price of the whole vehicle, and then the supplier decides the level of abatement.
The profit functions of the supplier and the manufacturer are as follows:
      
        
      
      
      
      
    
      
        
      
      
      
      
    
Assuming that the manufacturer’s profit per unit of product is , then there is , satisfying . Solve the problem in reverse order with the process which is similar to Theorem 1 and is omitted here. The optimal vehicle retail price and emission reduction level are  and , when  and  are exogenous variables, respectively. Then, the optimal profit function could be obtained. Due to the differences between suppliers and manufacturers in terms of the adaptability of the technology level, R&D, and production capacity of power batteries, referring to the literature [], an asymmetric Nash game model is constructed to solve the bargaining results of the entry fee and commission fee between the supplier and the manufacturer.
Construct the asymmetric Nash game model: .
According to , the optimal patent commission and entry fee are as follows: 
      
        
      
      
      
      
    
Since both the patent commission fee and the technology entry fee are positive, i.e., , , it follows that . The bargaining power of the supplier should satisfy , where , , , ,  and . Finally, substituting  and  into  and , we can obtain the optimal retail price and the optimal emission reduction level  and , the optimal demand and profit of the supply chain members, , , . So, Theorem 2 can be obtained as follows.
Theorem 2. 
When  and , the optimal decisions and optimal profit of supply chain members are
4.3. Own R&D + Wholesale Purchase Strategy (GN)
Under the R&D + wholesale purchasing strategy, the manufacturer starts to invest in R&D and battery production, and at the same time cooperates with the supplier to acquire some batteries for vehicle manufacturing. The decision sequence is as follows: the manufacturer first determines the level of battery emission reduction and the retail prices  and  of vehicles with power batteries from the supplier and the manufacturer, respectively; then, the supplier decides the level of emission reduction and the wholesale price. The optimal decision model for the supplier and the manufacturer could be constructed as follows:
      
        
      
      
      
      
    
      
        
      
      
      
      
    
The solution procedure is like 4.1 and leads to Theorem 3 below.
Theorem 3. 
When ,  and  , the optimal results are found to be , , , , , , , , and  (the results are not shown here due to their complexity, details can be found in Appendix A.).
Where  or  can be obtained from the non-negative demand.
        
      
        
      
      
      
      
    
      
        
      
      
      
      
    
5. Decision Analysis and Strategy Comparison
This section first analyzes the impact of important parameters such as the technological innovation cost coefficient (, setting ) and carbon trading price () on the decisions and the profits of the supply chain members. Then, the comparisons will be taken to analyze the manufacturer’s battery production strategy and the impact of his strategy choice on other members’ performance. In order to ensure that the optimal solutions of the above three models satisfy non-negative conditions, we assume , ,  and , where , , .
5.1. Optimal Decisions and Impact Analysis
Corollary 1. 
  
    
         
       
    
  
  
The influence of technological innovation cost coefficient and carbon trading price on optimal decisions under the three strategies are shown in Table 2.
 
       
    
    Table 2.
    The influence of technological innovation cost coefficient and carbon trading price.
  
Symbol Description. See Appendix A.
Proof. See Appendix B.
Corollary 1 indicates the effects of cost coefficients on optimal decisions under the three strategies. First, the effects on the level of emission reduction under all modes are negative; second, the effects on the wholesale and retail pricing decisions of the supply chain members vary under different strategies; for example, under the wholesale purchase strategy, the effects of the cost coefficient on the wholesale and retail prices are diffident according to the relationship between the carbon trading price and the consumer’s low-carbon preference, but under the R&D + wholesale purchasing strategy, both wholesale price and retail price decrease with cost coefficient. This is because, with the increase in cost coefficient, the technological innovation efficiency of suppliers decreases. Relatively speaking, the level of emission reduction decreases. In general, suppliers will increase the wholesale prices to make up for the profit loss due to the cost increase. Then, downstream manufacturers will also increase the retail prices of the whole vehicles. On the contrary, when the carbon trading price is small and consumers have a higher preference for low carbon, suppliers, and manufacturers will reduce prices to promote consumption, as consumers are more willing to pay for such products, which will greatly increase product sales. In addition, the cost coefficients have negative effects on both the patent commission fee and the entry fee.
The effects of carbon trading prices on optimal decisions are as follows. First, the impact on emission reduction level varies under different strategies. For example, under wholesale purchase strategy, the impact shows a tendency of increasing and then decreasing with the change in the cost coefficient. Under the patent-licensed manufacturing strategy and the R&D + wholesale purchasing strategy, the average of emission reduction decreases with the carbon trading price; second, the impact on the wholesale price and the retail price are also different. For example, under the wholesale purchase strategy, the impact shows a trend of decreasing and then increasing with the cost coefficient; under the R&D + wholesale purchasing strategy, the wholesale price and retail price increase with the carbon trading price. Moreover, under the patent licensed manufacturing strategy, the patent commission fee decreases with the carbon trading price, and the change in the introductory fee is also related to the bargaining power of the supplier, which increases and then decreases with the change in the bargaining power threshold. So, the different models of cooperation between manufacturers and suppliers on battery production and innovation will affect the impact of carbon trading price on the optimal decision.
Corollary 2. 
  
    
         
       
    
  
  
The effects of carbon trading prices and carbon allowances on suppliers’ and manufacturers’ profits under the three strategies are shown in Table 3.
 
       
    
    Table 3.
    The impact of carbon price and carbon allowances on profits.
  
Symbol Description. See Appendix A.
Proof. See Appendix B.
Corollary 2 shows that the impacts of carbon trading price on the profits of manufacturers and suppliers under the three models are related to the changes in the free carbon allowances allocated by the government; all of them decrease first and then increase with the carbon allowances. Specifically, when the carbon quota is small (, ), the profits of both suppliers and manufacturers are negatively related to the carbon trading price; when the carbon quota is large (, ), they are positively related to the carbon trading price. When the free carbon quota is low, suppliers and manufacturers need to obtain more carbon emission rights from the carbon emission market while meeting consumers’ green demands, so an increase in carbon trading prices will naturally reduce their profits. However, when the carbon quota is higher, suppliers and manufacturers can have excess carbon emissions trading rights in the carbon trading market while meeting consumers’ green demands. As carbon trading prices increase, their profits will also increase.
In conjunction with the market cycle, at the early stage of the market, as the new energy automobile industry is still in its infancy, the market size is relatively small, and the trading volume in the carbon emissions trading market may also be limited. Therefore, the carbon trading price may be relatively low to encourage enterprises to actively participate in carbon emissions trading and promote the development of the new energy automobile industry. The government may set relatively lenient carbon emission allowances for new energy vehicle enterprises to encourage their technological research and development and market expansion. With the gradual development of the new energy vehicle industry, the government may increase the carbon trading price and gradually tighten the carbon emission allowances to encourage new energy vehicle companies to improve energy efficiency and reduce carbon emissions. In the mid-to-late stages of the market, the government may further tighten carbon emission credits to push new energy vehicle companies to achieve stricter carbon emission standards. For example, new energy vehicle or battery companies, such as Tesla, BYD, Geely, and Ningde Times, are all realizing green transformation in such a carbon emission market.
5.2. Manufacturer’s Battery Production Strategy Decisions and Impact Analysis
This section analyzes the manufacturer’s battery production strategy decision and its impact on the supplier’s emission reduction level, product market demand, and supplier’s profit. Due to the complexity of the analytical solution, the optimal decision and profit function will be simplified by assuming , , , respectively.
Corollary 3. 
The comparisons of manufacturer’s profit in different battery production strategies are as follows: (1) if ,  is optimal, and ,  are null; (2) if , then ,  is null; (3) if ,  vs. : ;  vs. : when , ; when , if , then , and if , then ;  vs. : .
Symbol Description. See Appendix A.
Proof. See Appendix B.
Corollary 3 indicates that the comparisons of the manufacturer’s profit under the three strategies are related to the cost coefficient of technological innovation and the cost of battery production. When the technological innovation cost coefficient is small (), then only the patent-licensed manufacturing strategy enables the manufacturer to obtain the optimal profit. When , the wholesale purchase strategy and the patent-licensed manufacturing strategy enable the manufacturer to obtain the optimal profit, and the wholesale purchase strategy is better than the patent-licensed manufacturing strategy. When there is an optimization of the manufacturer’s profit in all three modes, the manufacturer’s profit is also affected by the cost of battery production. Then, the manufacturer’s battery production strategy decisions are summarized in Table 4. below.
 
       
    
    Table 4.
    Manufacturer’s optimal profit and optimal mode selection.
  
According to Table 4, if , the manufacturer’s profit under the patent license manufacturing strategy is the lowest; the profits under the wholesale purchase strategy and the R&D + wholesale purchasing strategy are also affected by the production cost of the battery. When the production cost of the battery is low, the manufacturer prefers to self-research some of the batteries. This is because when the manufacturer produces batteries, the lower production cost can improve the technological innovation efficiency of batteries; the manufacturer can produce batteries more efficiently and reduce the carbon emissions of the production process. When the production cost of batteries is high, if the technological innovation efficiency is also high, the manufacturer still prefers to obtain batteries through self-development and wholesaling; however, if the manufacturer’s technological innovation efficiency is low, the manufacturer can obtain the highest profit by wholesaling batteries from the supplier.
From here, we see that the battery production costs as well as the cost of technological innovation have a significant impact on the manufacturer’s battery production decisions and profit. So, many automotive companies take various measures to reduce the battery cost. For example, Ningde Times promotes 173Ah VDA specifications lithium iron phosphate batteries to car enterprises; BYD continuously strengthens the management and control of non-productive materials of its Fudi batteries to reduce costs and increase efficiency; Zero Run Automobile decreases the purchasing price of lithium iron phosphate batteries to 0.4 yuan/Wh.
Corollary 4. 
The effect of the manufacturer’s strategy of battery production on the supplier’s emission reduction level: (1)  is optimal when ; (2) when , there is ; (3) when , then  and ; comparing  and :  when  and  when .
Symbol Description. See Appendix A.
Proof. See Appendix B.
Corollary 4 shows that the strategy of the manufacturer’s battery production has an impact on the supplier’s emission reduction decision. According to Corollary 4 (1), when the technology innovation cost coefficient is small (), the optimal emission reduction level for suppliers is  under the patent license manufacturing strategy. According to Corollary 4 (2), when the technology innovation cost coefficient varies within the threshold , the supplier’s emission reduction level is highest under the wholesale purchasing strategy; then, it is higher under the patent licensing manufacturing strategy than under the self-research + wholesale purchasing strategy. According to Corollary 4 (3), when the technology innovation cost coefficient is greater than , the emission reduction level varies with the value of .
From the perspective of environmental protection, the government should establish appropriate carbon quotas and carbon trading prices to encourage manufacturers to choose a certain battery manufacturing or cooperation strategy under which the supplier will implement the highest level of emission reduction. This is because the conditions of the manufacturer’s optimal strategy are all related to the free carbon quotas and carbon trading prices provided by the government.
In actual production practice, from the initial stage of green technology investment in the trial stage, to the middle and late gradually stabilized, many new energy automobile enterprises in emission reduction and carbon reduction have made some achievements. For example, Geely Automobile has also achieved remarkable results in green technology investment in the field of new energy vehicles. Geely has formulated a 50% reduction in emissions by 2025, and has successfully built a number of national green factories; BYD has achieved significant energy saving in the manufacturing process by optimizing the structure of energy use and improving the efficiency of energy use. BYD has achieved significant energy saving and emission reduction by optimizing the energy use structure and improving the energy use efficiency during the manufacturing process. In addition, BYD’s factories have adopted advanced lighting systems and heat recovery systems, which have improved energy use efficiency and reduced energy consumption; Tesla’s Shanghai Super Factory is committed to building green, low-carbon, recycling and reuse of the whole life cycle value chain, and has set up a green, low-carbon management system for the factories, ranging from product design, parts purchasing, production and manufacturing, vehicle use to end-of-life recycling. In addition, Tesla has been promoting the localization of its supply chain, and the localization rate of parts has reached over 95%, which helps reduce carbon emissions during transportation.
Corollary 5. 
The impact of manufacturer’s battery production strategies on product market demand: (1) if , then  is positive, but  and  are null; (2) if , when , then ; when , then ; (3) if ,  vs. , , if , when , then ; when , then ; when , then ;  vs. , then ;  vs. ; when , then ; when , then , .
Symbol Description. See Appendix A.
Proof. See Appendix B.
Corollary 5 demonstrates that the manufacturer’s battery production strategy has impacts on the new energy vehicles market, and the change in market demand under different strategies varies with the cost coefficient of technological innovation and the cost of battery production. Specifically, when the cost coefficient of technological innovation is small (), there is optimal market demand only under the patent-licensed manufacturing strategy, so this strategy is more conducive to market expansion. When , the change in market demand is related to the cost of battery production. If the cost of battery production is small, there is the most demand for new vehicle cars under the wholesale purchase strategy, which is most effective in expanding the market for the manufacturer. However, when the cost of battery production is large, buying technology patents to produce their own batteries for vehicle manufacturing is more conducive for manufacturers to expand the market. However, the demand change under the three strategies is more complex when the cost coefficient of technological innovation is large (). For example, comparing the wholesale purchase strategy and the patent license manufacturing strategy, when the technology innovation cost coefficient changes within a certain threshold (), if the battery production cost is lower, the wholesale purchase strategy is more conducive to expanding demand, and the opposite is true if the battery production cost is higher; when the technology innovation cost coefficient is larger (), the market demand is higher under the patent license manufacturing strategy. Because the supplier’s emission reduction efficiency will reduce with the increase in the cost coefficient of technological innovation, the supplier’s incentive to reduce emissions is insufficient. Compared with the patent-licensed manufacturing strategy, with the decrease in the supplier’s income in the carbon trading market under the wholesale purchasing strategy, they will increase the price of the battery to improve their comprehensive profit. Then, with the increases in the battery cost, the manufacturer will also increase the retail price of vehicles and thus obtain less market demand. Finally, the market demand under the R&D + wholesale purchasing strategy is always greater than the wholesale purchase strategy, because when the manufacturer researches their own batteries and sells self-researched battery cars versus wholesale battery cars at the point of sale, the competition between the two types of differentiated cars can stimulate consumption and expand the market to increase demand.
Corollary 6. 
The manufacturer’s strategy of battery production will affect the supplier’s profitability as follows: (1) if , then  is optimal; (2) if , then ; (3) if , first, compare  with : if , when , , when , ; if , ; then compare  with : when , then ; when , then ; finally, compare  and : when , then ; when , if , then ; if , then .
Symbol Description. See Appendix A.
Proof. See Appendix B.
Corollary 6 shows that the effect of battery production strategy on the supplier’s profit is more complex. When the cost coefficient is small (), the supplier could obtain the optimal profit under the patent-licensed manufacturing strategy. When , the change in supplier’s profit is also related to the bargaining power of the manufacturer and the size of the battery production cost.
Specifically, comparing the wholesale purchase strategy and the patent license manufacturing strategy, if the bargaining power of the supplier is weak, then when the production cost of the supplier is lower than that of the manufacturer (), the supplier is more willing to produce the batteries by itself in order to obtain higher profits; when , the supplier is inclined to the patent license manufacturing strategy at this time; if the supplier’s bargaining power is stronger, then the supplier is more inclined to the patent license manufacturing strategy as well.
Comparing the wholesale purchase strategy and the R&D+ wholesale purchasing strategy, the profit of the supplier is related to the market share of the supplier’s battery. If the supplier’s market share is small (), the supplier will choose the manufacturer who does not have the self-research ability and cooperate in wholesale mode. If the supplier’s market share is larger (), then the supplier’s profit in the GN mode will be higher than the single wholesale mode. Therefore, it can be seen that when manufacturers and suppliers manufacture batteries simultaneously, and the supplier’s battery market share is high, competition will actually increase the supplier’s profits.
Comparing the patent licensing manufacturing strategy and the R&D + wholesale purchasing strategy, if the supplier produces batteries with a low market share (), they tend to cooperate with a manufacturer who does not conduct battery R&D and obtain higher profits through patent licensing. Otherwise (), the supplier will choose to cooperate with the manufacturer using the R&D + wholesale purchasing strategy, when the battery production cost is low; however, they prefer to cooperate with manufacturers through patent licensing suppliers, when the cost of battery production is high.
In conclusion, if the supplier’s batteries accounts for a small share of the market, they will choose to cooperate with the manufacturer under the NN strategy, when their battery production costs are low; otherwise, they will choose the NI strategy; if the supplier produces batteries with a large share of the market, they will prefer to cooperate with the manufacturer under GN strategy.
6. Numerical Analysis
This section will conduct numerical analyses to draw further conclusions and managerial suggestions for the supply chain members and the government. Specifically, the analyses include the impacts of technological innovation cost coefficients, carbon trading prices, and carbon allowances on supply chain members’ optimal decisions, the level of emission reductions, and the market demand. According to the operational practice and referring to the literature [,], the relevant parameters are set as follows:, , , , , , , , , , , ,, . In addition, considering the high cost of battery technology innovation in practice, the values of  in the following numerical analysis are all set as .
6.1. The Impact of Relevant Parameters on Manufacturer’s Profit and Optimal Strategy
Combined with Corollary 3, which states that the impact of the technological innovation cost coefficient on the manufacturer’s profit is also affected by the battery production cost, the impacts of the technological innovation cost coefficient () on the manufacturer’s profit under the three strategies are first  simulated separately when the battery production costs are  and, respectively, as shown in Figure 3a,b. Then,  the impact is analyzed when the technological innovation cost and the battery production cost change at the same time, and the results are shown in Figure 3c.
 
      
    
    Figure 3.
      Impact of technological innovation cost coefficients and battery production costs on manufacturers’ profits. (a) The impact of k on manufacturers’ profits (c = 0.2). (b) The impact of k on manufacturers’ profits (c = 0.45). (c) The impact of k and c on manufacturers’ profits.
  
According to Figure 3, which shows that the increase in the related cost will reduce the manufacturer’s profit to a certain extent, firstly, it can be summarized that the manufacturer’s profit is negatively correlated with the coefficient of technological innovation cost and battery production cost under the three strategies. High technological innovation costs and production costs will lead to an increase in the pricing of the battery and the whole vehicle and the reduction of vehicle market demand.
Secondly, from the point of the manufacturer’s selection of battery production strategy, when the cost coefficient is small (), only under the NI strategy the manufacturer can obtain the optimal profit; when , the wholesale purchasing strategy is the optimal strategy; if there is , when the battery production cost is small, the R&D + wholesale purchasing strategy is the optimal strategy, and when the battery production cost is large, there exists . When , the R&D+ wholesale purchasing is a more optimal strategy, when , the wholesale purchasing strategy is more favorable. It also can be seen from Figure 3c that the technological innovation cost and the battery production cost will jointly affect the battery production strategy choices of the manufacturer. So, manufacturers need to consider multiple cost factors comprehensively when making battery production strategy choices to maximize revenue.
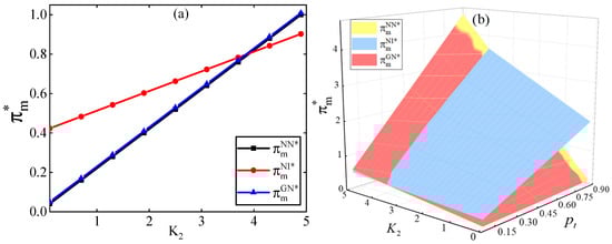
The effects of carbon trading prices and carbon allowances on manufacturers’ profits are simulated in Figure 4. where , . As shown in Figure 4, the manufacturer’s profit increases with the carbon trading price and free carbon quota allocated by the government, and the impact of government carbon quotas is more significant compared to market carbon trading prices. When the carbon trading price and carbon allowances vary within a certain threshold, the manufacturer’s profit is highest under the patent-licensed manufacturing strategy, followed by the R&D + wholesale purchasing strategy and wholesale purchasing strategy, respectively. However, the result is exactly the opposite when the carbon trading price is high.
 
      
    
    Figure 4.
      Impact of carbon emission allowances and carbon trading prices on manufacturers’ profits. (a) The impact of K2 on manufacturers’ profits. (b) The impact of K2 and pt on manufacturers’ profits.
  
6.2. The Impact of on Members’ Optional Decisions and Supplier’s Profit
This section focuses on the impacts of technological innovation cost coefficients on supply chain members’ optimal decisions, market demand, and suppliers’ profits, and the simulation results are shown in Figure 5, Figure 6 and Figure 7, respectively.
 
      
    
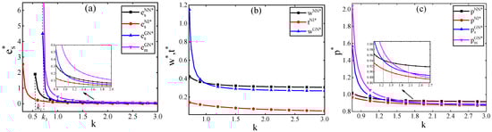
    Figure 5.
      Effect of technological innovation cost coefficient on optimal decision-making. (a) Impact of k on the level of emission reductions. (b) The effect of k on theo ptimal wholesale prices and royalty payments of supply chain members. (c) The effect of k on the optimal retail price of supply chain members.
  
 
      
    
    Figure 6.
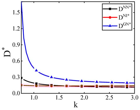
      Impact of the cost coefficient of technological innovation on demand (k ∈ [0.75, 3]).
  
 
      
    
    Figure 7.
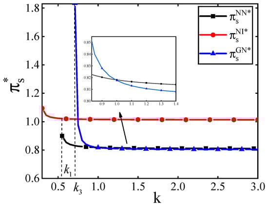
      Impact of the cost coefficient of technological innovation on suppliers’ profit (k ∈ [0.3, 3]).
  
From Figure 5, we can see that the optimal level of emission reduction and the optimal prices of supply chain members show a trend of decreasing and then gradually stabilizing with the increase in the cost coefficient of technological innovation. This is in line with the law of diminishing marginal benefit in the real situation, which indicates that when the cost coefficient increases to a certain extent, the optimal decisions of supply chain members basically remain unchanged.
As seen in Figure 5a, in terms of environmental protection, the government will be more supportive of strategies with higher levels of emission reductions to promote the low-carbon development of enterprises. For example, when the cost coefficient is low, the government should support the manufacturer to cooperate with the supplier in the patent licensing model. Figure 5b also shows that when the cost coefficient is high and the prices tend to stabilize, the supplier’s prices under the wholesale purchase strategy are higher than that of the R&D + wholesale purchase strategy; the patent commission fee under the patent purchase strategy is lower than that under the wholesale purchase strategy and the R&D + wholesale purchase strategy, which is in line with the actual situation. Similarly, the manufacturer’s retail prices are highest under the wholesale purchase strategy and are higher under the R&D + wholesale purchase strategy than under patent patent-licensed manufacturing strategy. This is because, under the wholesale purchasing strategy, suppliers need to bear higher cost pressures and make high prices taking account of battery production as well as their technological innovations, while manufacturers also need to make high retail prices facing higher wholesale prices.
Figure 6 indicates the effects of the cost coefficient of technological innovation on the market demands for new energy vehicles. As shown in Figure 6, the market demands decrease with , and the demands under the three strategies vary in different threshold ranges. The sales volume under the R&D + wholesale purchase strategy is higher than that under the wholesale purchase strategy and the patent license strategy because, under the R&D + wholesale strategy, the manufacturer sells two kinds of automobiles produced by the supplier and the manufacturer’s self-researched batteries at the same time; the existence of competition in the sales market can promote the sales volume of the automobiles to a certain extent. So, in the competitive market, the manufacturer could not rely entirely on third-party suppliers to obtain batteries, but should also self-research batteries to increase market share. Combined with Corollary 5, it can be seen that the market demand is affected by the cost of battery production, the cost of technological innovation, etc. Then, in production practice, the market demand for new energy vehicles is also affected by consumer behavior. From the perspective of consumers’ environmental awareness, consumers with high environmental awareness are generally more inclined to buy new energy vehicles; from the perspective of consumers’ age, young consumers have become the main consumers of new energy vehicles; from the perspective of income, the acceptance of new energy vehicles is higher in high-income groups; then brand reputation will also have an impact on consumers’ willingness to buy new energy vehicles. Therefore, in addition to the supply chain members’ own product factors, consumer behavior will also have a greater impact on the market demand for products.
Figure 7 shows that the supplier’s profit decreases with the cost coefficient and he should improve the efficiency of emission reduction and actively improve the level of emission reduction.
6.3. The Impact of on Members’ Optional Decisions
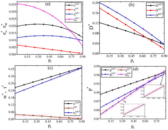
This subsection mainly explores the impacts of carbon trading prices on the optimal decisions of supply chain members and the market demand for new energy vehicles under the carbon trading policy, where  is taken, and the results are shown in Figure 8a–d.
 
      
    
    Figure 8.
      Impacts of carbon trading prices. (a) The effect of pt on the level of emission reductions. (b) Impacts of   on demand. (c) The effect of pt on the optimal wholesale prices and royalty payments of supply chain members. (d) The effect of pt on the optimal retail price of supply chain members.
  
As shown in Figure 8, the carbon trading price has a positive effect on the wholesale price of batteries and the retail price of new energy vehicles, but has a negative effect on the patent commission fee and market demand. Under the wholesale and R&D + wholesale strategies, the average emission reduction shows an inverted “U”-shaped relationship with the increase of carbon price, and the emission reduction level increases and then decreases with the increase of carbon price. In contrast, under the patent licensing strategy, the supplier’s emission reduction level and the manufacturer’s self-developed battery’s emission reduction level on average decrease with the increase in carbon price.
When the carbon trading price increases to a certain level, the average of the three modes of emission reduction decreases, which shows that increasing the carbon price does not effectively incentivize the suppliers to improve the level of emission reduction, but rather makes the suppliers’ motivation to reduce emissions weakened. Therefore, the government should regulate the carbon price when necessary, and adjust the carbon price according to the market and the status quo of enterprises in order to incentivize supply chain members to reduce emissions.
7. Conclusions
This paper studies the cooperation and production strategy of power batteries for new energy vehicle manufacturers under the carbon cap-and-trade policy. According to the different ways of cooperation between manufacturers and suppliers about power batteries, we constructed the game models under three strategies: wholesale purchase, patent-licensed manufacturing, and self-research + wholesale purchase, and solved them by applying Stackelberg’s game theory and the asymmetric Nash game theory. Then, the optimal decisions, market demands, and optimal profits under different strategies are analyzed. Finally, through the numerical analysis, we observed the impacts of the cost coefficient of technological innovation and the carbon trading price on the emission reduction decision, market demand, and the optimal strategy of the manufacturer. We also analyzed the impacts of the carbon cap-and-trade policy on the supply chain of new energy vehicles, the market policy of new energy vehicles, and the government’s carbon emission reduction target.
The following conclusions are drawn:
- (1)
- Under the carbon quota and carbon trading policy, the manufacturer’s optimal production strategy of power batteries is as follows: when the cost coefficient of technological innovation is very small, only the patent licensing manufacturing strategy can enable the manufacturer to obtain the optimal profit. When the cost coefficient of technological innovation is small, the wholesale purchasing strategy is optimal; when the cost coefficient of technological innovation is high, the manufacturer’s optimal strategy selection is also affected by the production cost of the battery. For example, with the increase in technological innovation cost coefficient, when the battery production cost is small, the manufacturer’s optimal strategy choice is GN, NN, NI in order. However, it is NN, GN, NI in order when the battery production cost is large;
- (2)
- The manufacturer’s different battery production strategies will also affect the supplier’s emission reduction level and profit. As shown in Corollary 6, the supplier will achieve different performances under three cooperation models. Assuming that the suppliers have the right to make decisions on the cooperation model, their decisions are as follows: if the supplier produces batteries with a small market share, then when the supplier’s battery production cost is low, the supplier is more willing to cooperate with the manufacturer in wholesale mode; when the supplier’s battery production cost is high, the supplier will give up the battery production, and cooperate with the manufacturer through the patent licensing mode; if the supplier produces batteries with a large market share, the supplier will be more willing to cooperate with the manufacturer who has the ability of battery R&D to obtain higher profits;
- (3)
- The impact of the cost coefficient of technological innovation and carbon trading price: the optimal decisions and profits of supply chain members show a trend of decreasing and then stabilizing with the increase in the cost coefficient, so suppliers and manufacturers should improve the efficiency of technological innovation to prevent the negative impact on profit caused by the high or low cost of technological innovation, and to improve the level of emission reduction. The carbon trading price has a positive effect on the wholesale price of batteries and the retail price of new energy vehicles, but has a negative effect on the patent commission fee and market demand. With the increase in carbon trading price, the emission reduction levels under the wholesale purchase strategy and self-research + wholesale purchase strategy will increase firstly and then decrease, but that under the patent-licensed manufacturing strategy and the manufacturer will decrease.
Some management insights could be proposed: manufacturers and suppliers should actively respond to the national emission reduction policy, and select appropriate cooperation methods for investing in green technologies and producing new energy vehicles and their complementary products taking into account various cost factors; governmental departments should reasonably control the carbon trading price and the free carbon quota, so as to increase the motivation of supply chain members in emission reduction and carbon reduction, and promote the synergistic development of the enterprise’s economic and environmental benefits. In addition, both the government and enterprises should actively publicize low-carbon and environmental protection, raise consumers’ awareness of low-carbon and environmental protection, and motivate consumers to engage in low-carbon consumption.
Although we have contributed to the production strategy of power batteries for new energy vehicles, there are limitations to our work. In this study, only one supplier and one manufacturer are considered when constructing the model, but there are multiple suppliers and manufacturers in the actual operating environment, so the introduction of competition into the existing model can more completely reflect the actual business operations and battery production strategy selection issues. The introduction of multiple suppliers and manufacturers can be considered in future research.
Author Contributions
Conceptualization, L.S., Y.P. and X.W.; methodology, Y.P.; software, Y.P.; formal analysis, L.S. and Y.P.; writing—original draft preparation, Y.P.; writing—review and editing, L.S. and Y.P. supervision, L.S. All authors have read and agreed to the published version of the manuscript.
Funding
The funding was provided by the Humanities and Social Sciences Youth Foundation of the Anhui Higher Education Institutions of China (Nos. 2022AH030041).
Institutional Review Board Statement
Not applicable.
Informed Consent Statement
Informed consent was obtained from all subjects involved in the study.
Data Availability Statement
Data are contained within the article.
Acknowledgments
Special thanks to those who participated in the writing of this paper.
Conflicts of Interest
The authors declare no conflicts of interest.
Appendix A. Description of Symbols
Symbolic description of Theorem 3.
      
        
      
      
      
      
    
      
        
      
      
      
      
    
      
        
      
      
      
      
    
      
        
      
      
      
      
    
      
        
      
      
      
      
    
      
        
      
      
      
      
    
      
        
      
      
      
      
    
      
        
      
      
      
      
    
Symbolic description of Corollary 1.
      
        
      
      
      
      
    
      
        
      
      
      
      
    
      
        
      
      
      
      
    
      
        
      
      
      
      
    
      
        
      
      
      
      
    
Symbolic description of Corollary 2.
      
        
      
      
      
      
    
      
        
      
      
      
      
    
      
        
      
      
      
      
    
      
        
      
      
      
      
    
The expressions for  and  are more complex and are not shown here, please contact the authors if you need them.
Symbolic description of Corollary 3.
      
        
      
      
      
      
    
      
        
      
      
      
      
    
      
        
      
      
      
      
    
      
        
      
      
      
      
    
      
        
      
      
      
      
    
      
        
      
      
      
      
    
      
        
      
      
      
      
    
      
        
      
      
      
      
    
      
        
      
      
      
      
    
      
        
      
      
      
      
    
      
        
      
      
      
      
    
      
        
      
      
      
      
    
      
        
      
      
      
      
    
Symbolic description of Corollary 4.
      
        
      
      
      
      
    
      
        
      
      
      
      
    
Symbolic description of Corollary 5.
      
        
      
      
      
      
    
      
        
      
      
      
      
    
      
        
      
      
      
      
    
      
        
      
      
      
      
    
      
        
      
      
      
      
    
Symbolic description of Corollary 6.
      
        
      
      
      
      
    
      
        
      
      
      
      
    
      
        
      
      
      
      
    
      
        
      
      
      
      
    
The expressions for ,  and  are more complex and are not shown here, please contact the authors if you need them.
Appendix B. Proof of Corollary
Proof of Corollary 1.  
The first-order conditions of ,  and  with respect to  are:
      
        
      
      
      
      
    
From non-negative demand, it follows that , then, when ,, when , ; ;
The first-order conditions of , , ,  and  with respect to  are:
      
        
      
      
      
      
    
Simplify  to , where, , because , is a decreasing function with respect to , and , substituting  for  gives , so corresponding to any , , . Other proof processes are similar to the above and will not be proved here.
To sum up, we can obtain Corollary 1. □
Proof of Corollary 2.  
Same as Corollary 1 (omitted here). □
Proof of Corollary 3.  
According to the conditions, when , only patent licensing strategy exists the optimal solution; therefore, at this time, only  exists the optimal, the optimal strategy selection for NI; when , wholesale purchasing and patent licensing strategy exists the optimal solution, compare the profit of manufacturer under NN and NI, the difference between  and  is obtained:
      
        
      
      
      
      
    
      where , through the extreme value of the solution and the known conditions of judgment, we can obtain , so ;
When , compare the profit of manufacturer under NN and GN, make the difference, make , obtain  and , when , ; when , if , then , if , then ; similarly, obtain .
Where
      
      
        
      
      
      
      
    
      
        
      
      
      
      
    
      
        
      
      
      
      
    
To sum up, we can obtain Corollary 3. □
Proof of Corollary 4.  
Similar to Corollary 3, when , only the optimal solution exists under the patent licensing strategy; therefore, only  exists optimal at this time, and the optimal strategy choice is NI; when , the optimal solution exists under the wholesale purchasing and patent licensing strategies, compare the level of emission reduction in supplier under NN and NI, the difference between  and  is obtained:
, where
      
      
        
      
      
      
      
    
It is easy to obtain that , and hence ; when , compare the level of emission reduction in supplier under NN and GN, we are able to obtain:
      
        
      
      
      
      
    
Let , which gives . When , ; when , ; similarly, .
Where
      
      
        
      
      
      
      
    
To sum up, we can obtain Corollary 4. □
Proof of Corollary 5~6.  
Same as Corollary 3–4 (omitted here). □
References
- Mu, N.; Wang, Y.; Chen, Z.S.; Xin, P.; Deveci, M.; Pedrycz, W. Multi-objective combinatorial optimization analysis of the recycling of retired new energy electric vehicle power batteries in a sustainable dynamic reverse logistics network. Environ. Sci. Pollut. Res. Int. 2023, 30, 47580–47601. [Google Scholar] [CrossRef] [PubMed]
- Xia, L.; Guo, T.; Qin, J.; Yue, X.; Zhu, N. Carbon emission reduction and pricing policies of a supply chain considering reciprocal preferences in cap-and-trade system. Ann. Oper. Res. 2018, 268, 149–175. [Google Scholar] [CrossRef]
- Deb, S.; Kalita, K.; Mahanta, P. Review of impact of electric vehicle charging station on the power grid. In Proceedings of the International Conference on Technological Advancements in Power and Energy (TAP Energy), Kollam, India, 21–23 December 2017; pp. 1–6. [Google Scholar] [CrossRef]
- Yang, X.; Du, R.; Ji, Z.; Wang, Q.; Qu, M.; Gao, W. A Management Framework and Optimization Scheduling for Electric Vehicles Participating in a Regional Power Grid Demand Response under Battery Swapping Mode. Electronics 2024, 13, 20. [Google Scholar] [CrossRef]
- Das, H.S.; Rahman, M.M.; Li, S.; Tan, C.W. Electric vehicles standards, charging infrastructure, and impact on grid integration: A technological review. Renew. Sustain. Energy Rev. 2020, 120, 109618. [Google Scholar] [CrossRef]
- Li, S.; Ma, J.; Zhao, X. Towards intelligent electric vehicle power batteries and multi-scenario application vehicle operation safety charging strategies: A review. Sustain. Energy Fuels 2024, 8, 3496–3523. [Google Scholar] [CrossRef]
- Wang, H.; Wang, L.; Ding, Q. Manufacturers’ product line strategies and environmental impacts under carbon cap and trade policies. Environ. Sci. Pollut. Res. 2022, 29, 40781–40795. [Google Scholar] [CrossRef]
- Zhang, Y.; Qin, Y. Carbon emission reduction cooperation of three-echelon supply chain under consumer environmental awareness and cap-and-trade regulation. Environ. Sci. Pollut. Res. 2022, 29, 82411–82438. [Google Scholar] [CrossRef]
- Zou, H.; Qin, J.; Zheng, H. Equilibrium pricing mechanism of low-carbon supply chain considering carbon cap-and-trade policy. J. Clean. Prod. 2023, 407, 137107. [Google Scholar] [CrossRef]
- Cai, J.; Jiang, F. Decision models of pricing and carbon emission reduction for low-carbon supply chain under cap-and-trade regulation. Int. J. Prod. Econ. 2023, 264, 108964. [Google Scholar] [CrossRef]
- Li, Z.; Pan, Y.; Yang, W.; Ma, J.; Zhou, M. Effects of government subsidies on green technology investment and green marketing coordination of supply chain under the cap-and-trade mechanism. Energy Econ. 2021, 101, 105426. [Google Scholar] [CrossRef]
- Ma, J.; Bao, B.; Liu, L.; Wang, X. Dynamic game evolution complexity of new energy and fuel vehicle manufacturers under carbon cap-and-trade policy. Manag. Decis. Econ. 2024, 45, 2566–2590. [Google Scholar] [CrossRef]
- Xue, K.; Sun, G. Impacts of supply chain competition on firms’ carbon emission reduction and social welfare under cap-and-trade regulation. Int. J. Environ. Res. Public Health 2022, 19, 3226. [Google Scholar] [CrossRef]
- Liu, H.; Kou, X.; Xu, G.; Qiu, X.; Liu, H. Which emission reduction mode is the best under the carbon cap-and-trade mechanism? J. Clean. Prod. 2021, 314, 128053. [Google Scholar] [CrossRef]
- Chen, Y.Y.; Bai, Q.G.; Xu, J.T. Comparison of competing supply chains with different structures under cap-and-trade regulation. Oper. Res. 2024, 58, 1653–1680. [Google Scholar] [CrossRef]
- Zhu, X.; Li, W. The Pricing Strategy of Dual Recycling Channels for Power Batteries of New Energy Vehicles under Government Subsidies. Complexity 2020, 2020, 3691493. [Google Scholar] [CrossRef]
- Jiao, J.L.; Pan, Z.T.; Li, J.J. Effect of carbon trading scheme and technological advancement on the decision-making of power battery closed-loop supply chain. Environ. Sci. Pollut. Res. 2023, 30, 14770–14791. [Google Scholar]
- Huo, H.; Lu, Y.; Wang, Y. Evolutionary game analysis of low-carbon transformation and technological innovation in the cold chain under dual government intervention. Environ. Dev. Sustain. 2024. [Google Scholar] [CrossRef]
- Mao, Y.F.; Li, P.S.; Li, Y. Exploring the promotion of green technology innovation in the new energy vehicle industry: An evolutionary game analysis. Environ. Sci. Pollut. Res. 2023, 30, 81038–81054. [Google Scholar] [CrossRef]
- Narang, P.; De, P.K.; Lim, C.P.; Kumari, M. Optimal recycling model selection in a closed-loop supply chain for electric vehicle batteries under carbon cap-trade and reward-penalty policies using the Stackelberg game. Comput. Ind. Eng. 2024, 196, 110512. [Google Scholar] [CrossRef]
- Wang, Y.; Zhang, X.; Cheng, T.C.E.; Wu, T.H. Choice of the co-opetition model for a new energy vehicle supply chain under government subsidies. Transp. Res. Part E Logist. Transp. Rev. 2023, 179, 103326. [Google Scholar]
- Ma, M.; Meng, W.; Li, Y.; Huang, B. Impact of dual credit policy on new energy vehicles technology innovation with information asymmetry. Appl. Energy 2023, 332, 120524. [Google Scholar] [CrossRef]
- Woerner, S.; Wagner, S.M.; Chu, Y.; Laumanns, M. Bonus or Penalty? Designing Service-Level Agreements for a Decentralized Supply Chain: The Implication of Return on Investment. IEEE Trans. Eng. Manag. 2022, 71, 837–854. [Google Scholar] [CrossRef]
- Liu, L.; Wang, Z.; Zhang, Z.S. Matching-game approach for green technology investment strategies in a supply chain under environmental regulations. Sustain. Prod. Consum. 2021, 28, 371–390. [Google Scholar] [CrossRef]
- Tanrikulu, C. Theory of Consumption Values in Consumer Behavior Research: A Review and Future Research Agenda. Int. J. Consum. Stud. 2021, 45, 1176–1197. [Google Scholar] [CrossRef]
- Jhala, K.; Natarajan, B.; Pahwa, A. Prospect Theory based Active Consumer Behavior Under Variable Electricity Pricing. IEEE Trans. Smart Grid 2018, 10, 2809–2819. [Google Scholar] [CrossRef]
- Taghikhah, F.; Voinov, A.; Shukla, N.; Filatova, T. Shifts in consumer behavior towards organic products: Theory-driven data analytics. J. Retail. Consum. Serv. 2021, 61, 102516. [Google Scholar] [CrossRef]
- Zhu, C.; Xi, X.; Goh, M. Differential game analysis of joint emission reduction decisions under mixed carbon policies and CEA. J. Environ. Manag. 2024, 358, 120913. [Google Scholar] [CrossRef]
- Qi, X.Y.; Han, Y. The impact of technological innovation for emission reduction on decision-making for intertemporal carbon trading. Comput. Ind. Eng. 2023, 186, 109739. [Google Scholar] [CrossRef]
- Chen, X.; Wang, X.J.; Xia, Y.S. Production Coopetition Strategies for Competing Manufacturers that Produce Partially Substitutable Products. Prod. Oper. Manag. 2019, 28, 1446–1464. [Google Scholar] [CrossRef]
- Hong, Z.F.; Guo, X.L. Green product supply chain contracts considering environmental responsibilities. Omega 2019, 83, 155–166. [Google Scholar] [CrossRef]
- Ji, J.; Zhang, Z.; Yang, L. Carbon emission reduction decisions in the retail-/dual-channel supply chain with consumers’ preference. J. Clean. Prod. 2017, 141, 852–867. [Google Scholar] [CrossRef]
| Disclaimer/Publisher’s Note: The statements, opinions and data contained in all publications are solely those of the individual author(s) and contributor(s) and not of MDPI and/or the editor(s). MDPI and/or the editor(s) disclaim responsibility for any injury to people or property resulting from any ideas, methods, instructions or products referred to in the content. | 
© 2024 by the authors. Licensee MDPI, Basel, Switzerland. This article is an open access article distributed under the terms and conditions of the Creative Commons Attribution (CC BY) license (https://creativecommons.org/licenses/by/4.0/).
