Abstract
Congestion and queues are crucial factors in high-passenger flow areas, affecting both traffic efficiency and pedestrian comfort. Ensuring pedestrian safety in bottleneck areas is of utmost importance, and understanding flow characteristics is essential to improving resilience levels. In this study, a comparative experiment was conducted to investigate crowd dynamics in different transition bottleneck types, including straight, right-angle, and curve transitions. Pedestrian flow data were analyzed to examine the impact of transition shape on pedestrian characteristics, such as passing time, speeds, trajectories, and densities within the bottleneck. The results indicate that the curve bottleneck outperforms the other two types, significantly improving traffic capacity, particularly when the pedestrian rate ranges from 0.5 to 1.25 person/s. The curve bottleneck demonstrates the minimum passing time, lowest density, and fastest passing speed. Moreover, under various flow rates, the cumulative maximum pedestrian density of curve bottlenecks is consistently smaller than the other types. These findings offer valuable insights for designing and managing pedestrian flow in bottleneck areas to ensure safety and resilience levels.
1. Introduction
As mega-cities continue to develop and travel methods become more diverse, residents’ travel activities have consistently increased. This has resulted in many pedestrian flows gathering in various public places, such as transit hubs, sports stadiums, and shopping malls. Consequently, it presents a significant challenge in terms of crowd organization, management, and emergency evacuation, which highlights the importance of resilient improvement in the urban transportation system. Predicting the dynamic state of pedestrian flow is crucial for planning and designing crowded public buildings. Analyzing crowd characteristics is crucial to ensuring passenger safety, optimizing facility layout, and maintaining optimal levels of congestion management [1,2,3,4,5]. Congestion at bottlenecks can impact pedestrian route choice and may lead to a loss of travel efficiency [6,7,8]. Stress, feelings of exhaustion, and panic will be generated in a crowd environment [9]. In serious cases, it may even lead to a stampede accident.
Pioneering works within recent decades have been carried out to analyze human behavior in the bottleneck [10]. Bottlenecks are typically denominated as a limited area of reduced capacity, and they are ubiquitous in public buildings [11,12]. When passing through the bottleneck, people behave differently in self-organization [13]. When facing a bottleneck in the tunnel, there is a situation of one-way population passing through the bottleneck and also a situation of people moving in the opposite direction passing through the same bottleneck [14]. Due to the sudden drop in capacity, congestion and queues are important in transition bottlenecks with a high rate of passenger flow, which highly affect traffic efficiency and pedestrian comfort. Moreover, stampede accidents may occur in case of emergencies [15,16].
The main factors influencing pedestrian dynamic behavior in the bottleneck areas are the geometric size [11,12,17,18], initial intensity and distribution of pedestrians [19,20], composition of passenger flow [21], population, light intensity, as well as sociological effects, and so on [20,22]. The reduction in capacity and efficiency in bottleneck areas can be attributed to various factors. One such factor is the forced speed reduction caused by the layout mode of linkage facilities [23]. This means that the design of the bottleneck area leads to a decrease in the maximum speed at which pedestrians can move. Another factor is the reduced movement probability, also known as the tunnel effect [17]. This effect occurs when pedestrians perceive a decrease in available space, leading to a decrease in their willingness to move through the bottleneck quickly. Lastly, changes in the width of the bottleneck area directly impact its capacity. If the width is reduced, it can lead to a direct reduction in the number of pedestrians that can pass through at a given time, thus lowering the overall capacity of the bottleneck area. Pedestrian flow bottlenecks usually result in direct capacity reductions (door or corridor) [19]. In the case of a classical bottleneck, like a narrow corridor, it is generally expected that congestion will occur when the incoming flow exceeds the capacity of the bottleneck [24].
Bottleneck analysis is fundamentally important for the calculation of pedestrian flow characteristics. It is a direct need to understand the phenomena and laws that occur in junctions with bottlenecks quite well and to build reliable pedestrian models. Therefore, there has been increasing interest in pedestrian flow through bottlenecks in recent years [11,19,21,24,25]. These studies mainly focus on the model of the pedestrian movement and data for validating models. One set of basic tests that aim at giving authorities and applicants criteria for evaluating such simulation models can be found to be common. Nowadays, there are many more simulation models, to mention just a few, than empirically well-investigated test scenarios.
Bottleneck width and shape have been widely discussed in previous studies [11,19]. Some exploratory studies on the shape of bottlenecks have been carried out. It is believed that the form of bottlenecks may reduce congestion. However, field validation is far less important than theoretical analysis [11,26]. In addition, the optimal transition shape of bottlenecks in public places is rarely explored. In this paper, the characteristics of a dense crowd passing through different bottlenecks are investigated and compared with controlled pedestrian experiments. The motivation and contributions of this paper mainly include the following aspects: (a) Experimental data are collected on crowds crossing the bottlenecks, which can be used to calibrate simulation models. (b) Similarities of the pedestrian flow characteristics are explored in different transitional ways of bottlenecks. (c) The changes in speed, density, and passing time are discussed at the bottleneck area. (d) Relevant suggestions are made for the traffic design in the bottleneck area of large facilities.
This paper is organized as follows: Section 1 introduces background, motivation, and related works. Section 2 describes the controlled pedestrian flow experiment for different transition bottlenecks in detail. Section 3 lists all the analytical results and discussion of pedestrian flow characteristics at different transition shape bottlenecks. Finally, Section 4 draws conclusions based on this study and proposes future research content.
2. Experiment Setup
2.1. Overview of Experiments
Collecting and analyzing field data directly can pose significant challenges due to complex environments, particularly in densely populated areas with uncontrollable pedestrian flow. Therefore, to overcome this limitation, controlled pedestrian experiments have gained wide acceptance in pedestrian studies [11,27,28,29]. Researchers have used experimental design to determine the cause and relationship that govern pedestrian behavior, enabling them to observe conditions that are difficult or impossible to reproduce naturally. Such experiments allow for a better understanding of the complex dynamics of pedestrian flow.
To analyze the pedestrian traffic at bottlenecks, the experiments to collect field data were performed in the transportation engineering lab in the Beijing University of Civil Engineering and Architecture. In total, three different bottleneck experiments were set up. In each of the three experiments, approximately 40 individuals were involved. The participants were required to wear black hats and stick a mark on the top as a point of motion capture. At the beginning of the experiment, all the people were arranged outside the scene in the same direction. When the command sounded, experimental participants in different experimental groups were asked to use a prescribed walking speed through three different types of bottlenecks. The whole process of pedestrians passing through the bottleneck was recorded by the instrument. After ending one experiment, pedestrians were asked to gather at the entrance again to wait for the next experiment. Each bottleneck type was completed with a 3-hour experiment.
In the experimental group, two channels with different widths were established, along with three types of bottlenecks: curve, straight line, and right-angle (see Figure 1). The upstream channel had a length of 3 m and a width of 1.6 m, while the downstream channel had a length of 2 m and a width of 1 m. The length of the bottleneck in all three types was 1 m, and the experimental barrier on both sides had a height of 1.6 m (see Figure 1).
Figure 1.
Pattern diagram of three bottleneck types: (a) straight bottleneck; (b) right-angle bottleneck; (c) curve bottleneck (Blue represents the normal channel area, pink represents the bottleneck area, and light green represents the narrow channel area).
2.2. Measurement Setup
For the experimental device, the influence of bottleneck type was given priority, and other factors that could affect pedestrian flow efficiency should be eliminated as much as possible. To keep all operating conditions the same, the width of the inlet and outlet was set to be equal. However, the differences in the bottleneck were determined to be of different types. In addition, taking into account our limited resources, the results of the study were determined by the number of participants. Our experiment was arranged in a transportation laboratory with good environmental conditions. A total of 12 digital cameras were installed on the ceiling as the motion analysis system (see Figure 2). Previous measurement results confirm that the monitoring system operated stably and accurately, with a remarkable measurement accuracy of less than one tenth of a millimeter. With the capability of recording data every 0.017 s, the system was able to capture even the slightest movements of participants with detail.
Figure 2.
The position of the 12 digital cameras.
3. Results and Discussions
Captured by 12 digital cameras, the motion information of pedestrians was obtained and analyzed, including pedestrian coordinates (x, y) and transit time (t). Based on these data, the average speed, motion trajectory, and density of pedestrians within the bottlenecks were calculated. In this experiment, the pedestrian efficiencies of three bottleneck types (right-angle, straight, and curved) were evaluated from the recorded pedestrian data. First, the results were obtained from time-spent comparisons among single pedestrians and whole pedestrian systems in the three bottlenecks. Then, the pedestrians’ speed in three bottlenecks was calculated and compared based on the pedestrians’ coordinate data. Finally, the trajectory of pedestrians at bottleneck corridors was reproduced, and the concept of pedestrian neighbors was defined using the triangulation principle. On this basis, Voronoi diagrams were drawn, and the pedestrian densities of three bottlenecks were obtained. In general, the operational efficiency of bottlenecks could be well assessed by comparing the time spent, speeds, and densities of pedestrians.
3.1. Passing Time in Bottleneck Corridors
Due to factors such as space limitation, strong purposes, and so on in subways, pedestrians passing through bottlenecks often demonstrate velocity jump and path selection diversification based on individual characteristics, which are represented as individual speed, individual transit time, trajectory, and so on. Individual speed and individual transit times are frequently used to describe individual characteristics [17,25,30,31]. The total transit time and time gap are frequently used to describe group characteristics [12,22]. Therefore, in this paper, these two sets of parameters (each set contains two parameters) were used to analyze the effect of pedestrian flow efficiency in transition bottlenecks. The passing time spent and efficiency were reported for pedestrians to better understand these three bottleneck models. All 18 experiments were conducted with 16 participants in each group. Table 1 presents the data on the capacities of bottlenecks and the time required for the first and last person to leave the bottleneck. According to the results, the capacities of right-angle, straight-line, and curve bottlenecks were measured as 2.09, 2.62, and 3.50 people per second, respectively. The residence time of the first person in the bottleneck corridors was recorded as 1.47 s, 2.05 s, and 1.80 s, respectively. Due to the presence of crowd barriers that resulted in the queuing of pedestrians, there was a noticeable increase in the time pedestrians behind them spent in the bottleneck. Therefore, the time taken for the last person to leave the bottleneck was 9.13 s, 8.93 s, and 6.37 s for right-angle, straight-line, and curve bottlenecks, respectively.
Table 1.
Capacity and pedestrian passage time results of different types of bottlenecks.
Judging from the timing that the crowd left the bottleneck corridor (see Figure 3), there was no crowd obstruction in front of pedestrians at the beginning of the experiment. The ability of the bottleneck to accommodate a single or a small number of pedestrians could be directly reflected by the time that pedestrians passed through the bottleneck. It showed that in the early stage of the experiment, the time spent by the free-state pedestrians was not obvious among the three types of bottleneck corridors. With the experiment proceeding, the number of pedestrians within the corridor increased, and different levels of crowd barriers were formed in the corridor, thus affecting the pedestrians behind differently. The results showed that all participants in the curve bottleneck took the shortest time to completely pass the bottleneck (6.367 s), the right-angle bottleneck took the longest time (9.133 s), and the straight-line bottleneck was in the middle (8.933 s). Pedestrians spent the longest time inside the right-angle bottleneck, and then a much more severe pedestrian obstacle could be formed in this type of bottleneck.
Figure 3.
Time for crowd entities to leave the bottleneck corridor (the horizontal axis unit is s, and the vertical axis unit is the number of people).
Obviously, the efficiency of the right-angle bottleneck might be the highest when a single pedestrian is processed, but its passing speed dropped significantly as the pedestrian flow increased. Thus, it was not efficient when a large number of pedestrians were processed. Conversely, when dealing with a single pedestrian, the performance of the curve bottleneck was not outstanding, but with the increasing pedestrian flow, especially when the crowd barrier was formed, the processing speed of the curve bottleneck was insignificantly affected by the crowd barrier. It could be more suitable for hubs to handle heavy pedestrian traffic and reduce pedestrian pressure.
3.2. Pedestrian Speed in Bottleneck Corridors
Speed is the key factor that directly reflects pedestrian movement. A higher walking speed indicates better performance in the bottleneck, meaning that more pedestrians can be evacuated in a shorter period. To study the running capacity of different bottleneck corridors during the experiment, pedestrians were considered crowded when their walking speed was zero or close to it. By observing pedestrian behavior, we were able to analyze their movement capacities. However, we excluded the first 2 m of pedestrian movement, as this is the start-up phase, and focused on the subsequent processing after the pedestrian’s response and start-up time were confirmed.
3.2.1. Speed Distribution of Crowds
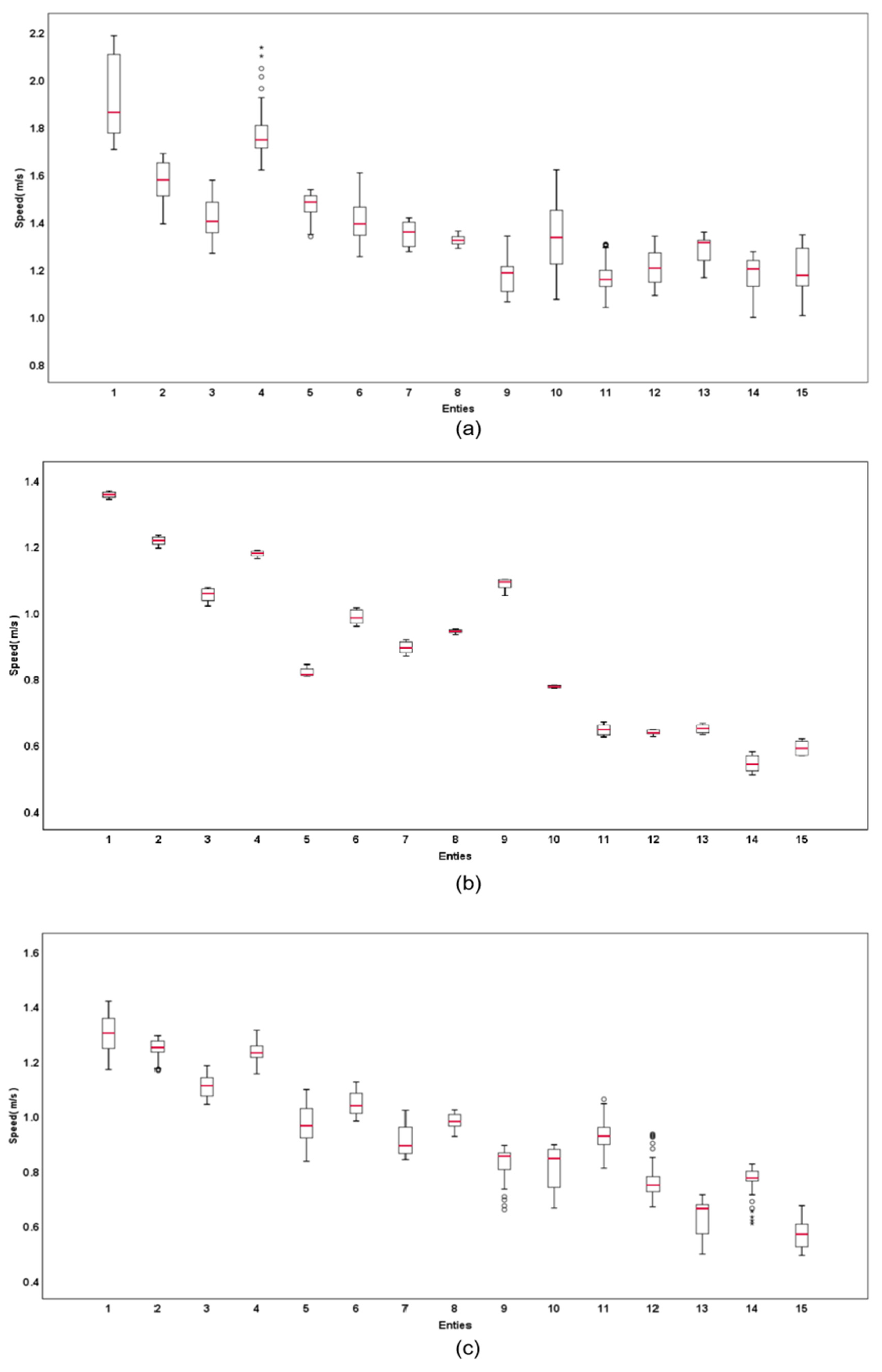
The collected pedestrian trajectory data were used to calculate the instantaneous speed of pedestrians in the bottleneck corridors, and then the pedestrian speed box plots for different bottleneck corridors were generated (see Figure 4).
Figure 4.
Pedestrian speed box plots for three types of bottlenecks: (a) straight bottleneck; (b) right-angle bottleneck; (c) curve bottleneck. Note: the order of entities was the order in which pedestrians enter the bottleneck.
Upon comparing the box plots, it was evident that there were significant differences in pedestrian speeds across various bottleneck types. Notably, curve bottlenecks exhibited considerably higher pedestrian speeds than the other two types. To ensure the accuracy of the experiment, all variables were strictly controlled aside from the bottleneck type, which indicates that the bottleneck type is a determining factor in pedestrian speed. Based on variance analysis, we compared the average speed of pedestrians across different bottleneck types, considering the average instantaneous speed of all participants at the same abscissa position within the bottleneck. The ANOVA results for the three bottleneck types using both the Student–Newman–Keuls (SNK) and Least Significant Difference (LSD) methods were summarized and presented in Table 2 and Table 3, respectively.
Table 2.
The ANOVA results of pedestrian speed for different types of bottlenecks by SNK method.
Table 3.
The ANOVA results of pedestrian speed for different types of bottlenecks by LSD method.
In the comparison results of three bottleneck types, there were remarkably different results, which indicates strong statistical impact of bottleneck types on pedestrian speed. That is to say, the speed of pedestrians in the corridor was affected by the type of bottleneck. As found by Charitha Dias et al., the microscopic walking characteristics of pedestrians were significantly affected by complex geometries [32]. This is consistent with the findings in our study. From the results of the average speed of pedestrians in the table, the curve bottleneck had the lowest interference on the pedestrian speed, followed by the straight bottleneck, and the interference of the right-angle bottleneck was the largest.
Pedestrians upstream and downstream of the bottleneck are highly different in terms of their pedestrian motion characteristics. When analyzing the characteristics of pedestrians in the bottleneck corridor, the overall process was represented by a single characteristic image, which may cause large errors. To better understand how pedestrian speed was affected by the type of bottleneck, we divided the corridor into three regions and studied the pedestrian characteristics separately in different sections to achieve the desired purpose, which will be discussed in detail in the next section.
It has been observed that pedestrians upstream and downstream of a bottleneck exhibit markedly different motion characteristics [31]. It is not advisable to rely on a single characteristic image to represent the overall pedestrian process in the bottleneck corridor, as this approach can lead to significant errors. To gain a more comprehensive understanding of how the bottleneck type affects pedestrian speed, we have divided the corridor into three distinct regions and analyzed the pedestrian characteristics separately in each section. The findings of this study will be discussed in detail in the forthcoming section.
3.2.2. Lateral Velocity Distribution
As the experimental study’s bottlenecks were positioned 3–4 m into the corridor, crowd barriers were placed at these bottlenecks. To analyze pedestrian flow characteristics, the 6-meter-long bottleneck corridors were segmented into three distinct areas—the buffer area (blue section in Figure 1), the bottleneck area (pink section in Figure 1), and the diversion area (green section in Figure 1). This allowed us to compare pedestrian speeds in nine different areas across the three bottleneck types. Specifically, we analyzed the lateral velocity distribution in these areas. Figure 1 provides a graphical representation of these areas of interest.
Figure 5 shows that the average pedestrian speed in the curve bottleneck was the fastest, followed by the straight bottleneck, and the right-angle bottleneck had the slowest speed. The speed curves for the curve and straight bottlenecks showed a generally upward trend, whereas for the right-angle bottleneck, the speed decreased at the bottleneck area (Figure 5b). The crowd barrier formed in the right-angle bottleneck was more severe, causing pedestrians to slow down. Although crowd barriers also formed at the curve and straight bottlenecks, they had less impact on pedestrian speed, and pedestrians still maintained a certain speed to pass through the bottleneck. To support our findings, we refer to the study conducted by Jamal Hannun and Charitha Dias, which investigated pedestrian velocity characteristics through different angled bends [30]. In Jamal’s experiment, four turning angles (0°, 45°, 90°, and 135°) were investigated, and the velocity varied significantly in the bending space at all angles except for the 0° angle. This study supports our finding that different bottleneck types in the bottleneck corridors, related to different bending angles, significantly affect pedestrian movement speed.
Figure 5.
Comparison of pedestrian average speed at different areas of three bottlenecks: (a) buffer zone; (b) bottleneck area; (c) diversion area.
The analysis of pedestrian transit time and speed at different bottlenecks revealed varying pedestrian flow efficiency. The curve bottleneck exhibited the highest pedestrian flow efficiency due to the shortest transit time and fastest speed of pedestrians. On the other hand, the right-angle bottleneck had the lowest pedestrian flow efficiency because of the longest transit time and slowest speed of pedestrians. The straight-line bottleneck fell in between these two categories.
Further analysis of the change in the pedestrian average speed at bottleneck areas revealed that the curve bottleneck had the least fluctuation in pedestrian average speed. To delve deep into this finding, the motion trajectories of pedestrians in the bottleneck corridors were analyzed, and a detailed analysis will be presented in the following section.
3.3. Pedestrian Trajectory
We extracted pedestrian trajectory data (x, y, t) from our experiments in various bottleneck scenarios using a motion analysis system. Each pedestrian’s trajectory corresponded to a continuous curve, which we plotted on the pedestrian trajectory graphs in Figure 6. We can see from these graphs that each bottleneck scenario resulted in a unique trajectory pattern, which gives us insight into how pedestrians navigate through these bottlenecks.
Figure 6.
Pedestrian trajectory diagram of three bottlenecks: (a) straight-line bottleneck; (b) right-angle bottleneck; (c) curve bottleneck.
Upon analyzing pedestrian trajectories, we found that right-angle bottlenecks resulted in the most chaotic trajectory patterns and severely impacted pedestrian traffic efficiency. Pedestrians passing through right-angle bottlenecks faced the most disturbances. In contrast, curved bottlenecks had the most ordered trajectory patterns. Pedestrian trajectories tended to deviate in advance before the bottleneck to pass through successfully. Deviation angles had a Gaussian distribution before the bottleneck, causing pedestrians to mainly move towards the midpoint of the bottleneck entrance while passing through it [24]. The location of pedestrians inside bottleneck corridors varied with the bottleneck type when their trajectories began to deviate. It was noted that the quality of bottleneck types influencing the sight and trajectory of pedestrians depends on the distance from the bottleneck. Pedestrian trajectories in right-angle bottlenecks showed deviation behavior at around 3 m within the corridor. Straight bottlenecks had deviation behavior at 2 m to 2.5 m, whereas curved bottlenecks had deviation behavior at 1 m to 1.5 m. The deviation behavior of pedestrian trajectories in curved and straight bottlenecks occurred in buffer areas, providing sufficient space for pedestrians to prepare for passing through the bottleneck. However, pedestrian deviation behavior in right-angle bottlenecks occurred in the bottleneck area, offering little space for pedestrians to prepare, resulting in confusing trajectories that hampered pedestrian movement efficiency.
It was evident that different numbers of pedestrian trajectory composite lines appeared in curved, straight, and right-angle bottlenecks, with four, three, and two trajectory composite lines, respectively. Although two trajectory composite lines appeared in the diversion area of the right-angle bottleneck, there was no traditional pedestrian following phenomenon in the areas preceding the diversion area (as seen in Figure 6b). Therefore, in bottleneck corridors, there exists a self-organizing phenomenon among pedestrians, which reduces mutual interference and delays. The higher the number of pedestrian trajectory composite lines, the better the running stability of the bottleneck and the higher the transportation efficiency.
It was clear that different numbers of pedestrian trajectory composite lines appeared in curved, straight-line, and right-angle bottlenecks, and the number of pedestrian trajectory composite lines was four, three, and two, respectively. Although two trajectory compound lines appeared at the right-angle bottleneck, these two trajectory compound lines appeared in the diversion area (see Figure 6b), and there was no traditional pedestrian following phenomenon in the areas before the diversion area. Thus, in the bottleneck corridors, there could be a certain self-organization phenomenon among pedestrians, and the mutual interference and delay time between pedestrians were reduced. Then, the greater the number of pedestrian trajectory composite lines, the better the running stability of the bottleneck and the higher the transportation efficiency. In the bottleneck area of the curved bottleneck, subtle fluctuations in pedestrian speed can be attributed to the self-organizing phenomenon among pedestrians. Incorporating a funnel shape at the traffic bottleneck was found to be effective in improving traffic efficiency [11], with the optimal angle falling between 46° and 65° to accommodate all passenger flows. The bottleneck view from above the funnel shape can better guide pedestrian movement, ensuring stable speed and pass efficiency within the bottleneck corridors. The inner corner steering angle of the curved bottleneck in this study fell within this optimal range, resulting in improved traffic efficiency for the transfer hub.
3.4. Pedestrian Density Distribution
The pedestrian density distribution can intuitively reflect the distance and congestion between pedestrians in the bottleneck corridors. Based on the pedestrian trajectory information in the previous section, the pedestrian density of the bottleneck corridors was calculated and illustrated in the form of Voronoi diagrams (Figure 7) and density heatmaps (Figure 8).
Figure 7.
Voronoi diagrams of 15 participants in different types of bottlenecks.

Figure 8.
Pedestrian density heatmap for three types of bottlenecks when the pedestrian rate was considered to be from 0.25 to 1.75 person/s.
To determine the distance between pedestrians, Delaunay triangulation was utilized to create Delaunay edges. Pedestrian position coordinates (x, y) within the channel were then plotted as two-dimensional points in space. Following Delaunay triangulation principles, points for three participants were defined to connect into a triangle. If the circumscribed circle of the triangle did not contain the vertices of other triangles, it was defined as an empty circle. MATLAB R2020b software was used to construct a two-dimensional Voronoi diagram based on the Delaunay triangulation. Pedestrians were then instructed to pass through three bottlenecks at a rate of 1.0 person/s, as shown in Figure 7. Each cell in the Voronoi diagram represented the center point of a participant and provided a distinct independent space for them, similar to private airspace. Therefore, the area of each Voronoi cell could represent the spatial extent to which pedestrians could walk through the bottleneck corridor without being disrupted by their neighbors. The area of each cell unit reflected the level of disturbance experienced by pedestrians in that bottleneck. A larger cell unit area indicated less disturbance, while a smaller cell unit area indicated greater disturbance.
As depicted in the Voronoi diagram, the size of each Voronoi cell unit was determined by the number of neighboring participants and exhibited a negative correlation. When pedestrians approached the bottleneck, their walking space rapidly shrunk, causing an increase in interference between pedestrians. This, in turn, resulted in a rise in pedestrian density within the bottleneck, and the local pedestrian density field became increasingly intense (as seen in Figure 8).
The Voronoi diagram (Figure 7) and the pedestrian density heatmap (Figure 8) were compared, revealing that the density distribution of pedestrians was uneven across the three bottleneck corridors. Most notably, the right-angle bottleneck was the most congested area (Figure 7a), while the curved and straight bottlenecks maintained acceptable pedestrian densities. (Figure 7b,c) The obstruction caused by the right-angle bottleneck was severe, resulting in pedestrians having to queue in front of the bottleneck to pass through. In comparison, the curve and straight bottlenecks formed crowd barriers, but the self-organized behavior of pedestrians within the corridor reduced interference, significantly improving the traffic efficiency of the bottleneck. Thus, the arrangement of Voronoi cell units at the curve bottleneck was more organized, resulting in lower pedestrian density compared to the other bottlenecks. Another study by Liao et al., examined the Voronoi method to analyze pedestrian behavior and found that pedestrian density and speed were influenced by factors other than the bottleneck width [33]. The distribution of pedestrian density revealed that each pedestrian had their own space, but as the number of bottlenecks increased, personal airspace decreased to allow for passage through the bottleneck. Different lengths of pedestrian barriers were formed in different bottleneck types, resulting in varying pedestrian densities within the bottlenecks. Our results showed that pedestrian density was heavily influenced by the type of bottleneck in this study. Comparing the density heat maps at different pedestrian rates, it is evident that the curve bottleneck had the lowest pedestrian density and the highest degree of freedom.
To provide meaningful insights on the design of traffic bottlenecks, we conducted a study on the pedestrian density of bottleneck corridors at different rates. The findings are presented in Figure 9, which depicts the maximum density curve of pedestrians entering the narrow corridor through the bottleneck. As per the data, the maximum pedestrian density in the curve bottleneck was consistently lower than the other two bottlenecks at all pedestrian rates studied. Moreover, the curve bottleneck exhibited an optimal state in the pedestrian rate range of 0.5–1.25 person/s. Thus, the curve bottleneck has the potential to significantly enhance the traffic capacity of the bottleneck and minimize the crowding of pedestrians in the bottleneck.
Figure 9.
Maximum pedestrian density curves of three types of bottlenecks at different pedestrian rates.
4. Conclusions
In this study, more than forty participants were divided into three groups to study pedestrian dynamic behaviors in different types of bottlenecks. Participants in each group were instructed to walk at a predefined speed through a right-angle bottleneck, straight bottleneck, and curve bottleneck, respectively. The efficiency of the bottlenecks was evaluated based on four indicators, namely, pedestrian time spent, speeds, trajectories, and densities. The results indicated that pedestrians were guided by the bottleneck structures, leading to the formation of self-organized patterns in the bottleneck corridors. Particularly, the curve bottleneck proved to be the most effective among the three types, with a notable reduction in pedestrian density, an increase in pedestrian speed, and a shorter time spent by pedestrians, especially at a pedestrian rate of 0.5–1.25 people/s. Therefore, the curve bottleneck can be set at the traffic bottleneck to relieve the traffic pressure at the pedestrian traffic hub, effectively solve the congestion phenomenon, and avoid stampede accidents to the greatest extent.
To be practical for traffic design, our proposed methodology should be efficient enough for real-time implementation. Unfortunately, empirical evaluation is not feasible owing to the unavailability of a voluminous trajectory database. In this experiment, we only explored the influence of bottleneck types on pedestrian flow efficiency. However, various interaction behaviors between pedestrians may also impact a bottleneck’s ability to handle them. Therefore, future research should analyze the impact of bottlenecks on pedestrian flow efficiency in conjunction with their interaction behaviors to garner more comprehensive insights.
Author Contributions
The authors confirm contribution to the paper as follows: study conception and design: Y.M. and Z.L.; data collection: S.Q.; analysis and interpretation of results: Y.M. and J.T.; draft manuscript preparation: Y.M. All authors have read and agreed to the published version of the manuscript.
Funding
This paper was supported by the National Social Science Fund Project of China (21FGLB014).
Institutional Review Board Statement
Not applicable.
Informed Consent Statement
Not applicable.
Data Availability Statement
The data used to support the findings in this study are available from the corresponding authors upon request.
Conflicts of Interest
Authors Yurong Mo and Jiali Tang were employed by the Jiangxi Traffic Monitoring Command Center. The remaining authors declare that the research was conducted in the absence of any commercial or financial relationships that could be construed as a potential conflict of interest.
References
- Song, W.; Xu, X.; Wang, B.; Ni, S. Simulation of evacuation processes using a multi-grid model for pedestrian dynamics. Phys. A Stat. Mech. Its Appl. 2006, 363, 492–500. [Google Scholar] [CrossRef]
- Lovreglio, R.; Ronchi, E.; Nilsson, D. A model of the decision-making process during pre-evacuation. Fire Saf. J. 2015, 78, 168–179. [Google Scholar] [CrossRef]
- Mu, H.L.; Wang, J.H.; Mao, Z.L.; Sun, J.H.; Lo, S.M.; Wang, Q.S. Pre-Evacuation Human Reactions in Fires: An Attribution Analysis Considering Psychological Process. Procedia Eng. 2013, 52, 290–296. [Google Scholar] [CrossRef]
- Chen, Y.; Zhang, L.; Liu, X.; Chen, C. Pedestrian detection by learning a mixture mask model and its implementation. Inf. Sci. 2016, 372 (Suppl. C), 148–161. [Google Scholar] [CrossRef]
- Cao, X.B.; Xu, Y.W.; Chen, D.; Qiao, H. Associated evolution of a support vector machine-based classifier for pedestrian detection. Inf. Sci. 2009, 179, 1070–1077. [Google Scholar] [CrossRef]
- Zhu, K.J.; Shi, Q. Experimental study on choice behavior of pedestrians during building evacuation. Procedia Eng. 2016, 135, 207–216. [Google Scholar] [CrossRef]
- Li, Z.H. An emergency exits choice preference model based on characteristics of individual diversity. Adv. Mech. Eng. 2017, 9, 168781401769354. [Google Scholar] [CrossRef]
- Zhuang, Y.; Zhou, X.d.; Ni, Y.; Yang, L. Passengers’ behavioral intentions towards congestion: Observational study of the entry restrictions at traffic bottleneck. KSCE J. Civ. Eng. 2017, 21, 2393–2402. [Google Scholar] [CrossRef]
- Cao, R.F.; Lee, E.W.M.; Yuen, A.C.Y.; Chan, Q.N.; Xie, W.; Shi, M.; Yeoh, G.H. Development of an evacuation model considering the impact of stress variation on evacuees under fire emergency. Saf. Sci. 2021, 138, 105232. [Google Scholar] [CrossRef]
- Moussaïd, M.; Helbing, D.; Theraulaz, G. How simple rules determine pedestrian behavior and crowd disasters. Proc. Natl. Acad. Sci. USA 2011, 108, 6884. [Google Scholar] [CrossRef]
- Sun, L.; Luo, W.; Yao, L.; Qiu, S.; Rong, J. A comparative study of funnel shape bottlenecks in subway stations. Transp. Res. Part. A Policy Pract. 2017, 98, 14–27. [Google Scholar] [CrossRef]
- Tobias, K.; Anna, G.; Michael, S. Experimental study of pedestrian flow through a bottleneck. J. Stat. Mech. Theory Exp. 2006, 2006, P10014. [Google Scholar]
- Yuan, Z.L.; Jia, H.F.; Liao, M.J.; Zhang, L.F.; Feng, Y.X.; Tian, G.D. Simulation model of self-organizing pedestrian movement considering following behavior. Front. Inf. Technol. Electron. Eng. 2017, 18, 1142–1150. [Google Scholar] [CrossRef]
- Jin, C.J.; Jiang, R.; Yin, J.L.; Dong, L.Y.; Li, D.W. Simulating bi-directional pedestrian flow in a cellular automaton model considering the body-turning behavior. Phys. A Stat. Mech. Its Appl. 2017, 482, 666–681. [Google Scholar] [CrossRef]
- Helbing, D.; Johansson, A.; Alabideen, H.Z. Dynamics of crowd disasters: An empirical study. Phys. Rev. E 2007, 75, 046109. [Google Scholar] [CrossRef] [PubMed]
- Tang, M.; Jia, H.F.; Ran, B.; Li, J. Analysis of the pedestrian arching at bottleneck based on a bypassing behavior model. Phys. A Stat. Mech. Its Appl. 2016, 453, 242–258. [Google Scholar] [CrossRef]
- Li, Z.; Xu, W. Pedestrian evacuation within limited-space buildings based on different exit design schemes. Saf. Sci. 2020, 124, 104575. [Google Scholar] [CrossRef]
- Daamen, W.; Hoogendoorn, S. Capacity of doors during evacuation conditions. Procedia Eng. 2010, 3, 53–66. [Google Scholar] [CrossRef]
- Li, N.; Guo, R.-Y. Simulation of bi-directional pedestrian flow through a bottleneck: Cell transmission model. Phys. A Stat. Mech. Its Appl. 2020, 555, 124542. [Google Scholar] [CrossRef]
- Daamen, W.; Hoogendoorn, S.P. Pedestrian free speed behavior in crossing flows. In Traffic and Granular Flow’05; Springer: Berlin/ Heidelberg, Germany, 2007; pp. 299–304. [Google Scholar]
- Hoogendoorn, S.P.; Daamen, W. Pedestrian Behavior at Bottlenecks. Transp. Sci. 2005, 39, 147–159. [Google Scholar] [CrossRef]
- Tian, W.; Song, W.G.; Ma, J.; Fang, Z.M.; Seyfried, A.; Liddle, J. Experimental study of pedestrian behaviors in a corridor based on digital image processing. Fire Saf. J. 2012, 47, 8–15. [Google Scholar] [CrossRef]
- Rahouti, A.; Lovreglio, R.; Nilsson, D.; Kuligowski, E.; Jackson, P.; Rothas, F. Investigating Evacuation Behaviour in Retirement Facilities: Case Studies from New Zealand. Fire Technol. 2021, 57, 1015–1039. [Google Scholar] [CrossRef]
- Li, H.; Zhang, J.; Yang, L.; Song, W.; Yuen, K.K.R. A comparative study on the bottleneck flow between preschool children and adults under different movement motivations. Saf. Sci. 2020, 121, 30–41. [Google Scholar] [CrossRef]
- Seyfried, A.; Passon, O.; Steffen, B.; Boltes, M.; Rupprecht, T.; Klingsch, W. New insights into pedestrian flow through bottlenecks. Transp. Sci. 2009, 43, 395–406. [Google Scholar] [CrossRef]
- Helbing, D. Order and disorder in traffic and self-driven many-particle systems. AIP Conf. Proc. 2002, 622, 239–250. [Google Scholar]
- Helbing, D. Traffic and related self-driven many-particle systems. Rev. Mod. Phys. 2001, 73, 1067–1141. [Google Scholar] [CrossRef]
- Daamen, W.; Hoogendoorn, S.P. Experimental Research of Pedestrian Walking Behavior. Transp. Res. Rec. J. Transp. Res. Board. 2003, 1828, 20–30. [Google Scholar] [CrossRef]
- Fernández, R.; Valencia, A.; Seriani, S. On passenger saturation flow in public transport doors. Transp. Res. Part. A Policy Pract. 2015, 78, 102–112. [Google Scholar] [CrossRef]
- Hannun, J.; Dias, C.; Taha, A.H.; Almutairi, A.; Alhajyaseen, W.K.M.; Sarvi, M.; Al-Bosta, S. Pedestrian flow characteristics through different angled bends: Exploring the spatial variation of velocity. PLoS ONE 2022, 17, e0264635. [Google Scholar] [CrossRef] [PubMed]
- Duives, D.; Daamen, W.; Hoogendoorn, S. Anticipation Behavior Upstream of a Bottleneck. Transp. Res. Procedia 2014, 2, 43–50. [Google Scholar] [CrossRef][Green Version]
- Dias, C.; Ejtemai, O.; Sarvi, M.; Burd, M. Exploring Pedestrian Walking through Angled Corridors. Transp. Res. Procedia 2014, 2, 19–25. [Google Scholar] [CrossRef]
- Liao, W.; Seyfried, A.; Zhang, J.; Boltes, M.; Zheng, X.; Zhao, Y. Experimental Study on Pedestrian Flow through Wide Bottleneck. Transp. Res. Procedia 2014, 2, 26–33. [Google Scholar] [CrossRef]
Disclaimer/Publisher’s Note: The statements, opinions and data contained in all publications are solely those of the individual author(s) and contributor(s) and not of MDPI and/or the editor(s). MDPI and/or the editor(s) disclaim responsibility for any injury to people or property resulting from any ideas, methods, instructions or products referred to in the content. |
© 2024 by the authors. Licensee MDPI, Basel, Switzerland. This article is an open access article distributed under the terms and conditions of the Creative Commons Attribution (CC BY) license (https://creativecommons.org/licenses/by/4.0/).









