Abstract
The ecoefficiency of industrial enterprises serves as an indicator of regional industry’s capacity for sustainable development, with judicious environmental regulations being essential for facilitating green industrial transformation and the realization of high-quality development. In this investigation, a global Super-SBM model is utilized to assess the ecoefficiency of industrial firms in 30 Chinese provinces from 2003 to 2021. Furthermore, we examine how environmental regulations affect industrial ecoefficiency using a moderating effect model and we determine spatial implications using the Clad-SDM model. The findings are as follows: (1) The ecoefficiency of China’s industrial enterprises has increased from approximately 0.2 to nearly 0.4, with command-based environmental regulations augmenting ecoefficiency in contrast to the limited impact of market-based regulations. (2) Economic advancement amplifies the positive influence of command-based regulations on industrial ecoefficiency and heightens the negative effects of market-based regulations; concurrently, international trade and the technological milieu positively moderate the influence exerted by market-based and command-based regulations, respectively. (3) Both regulatory types exhibit significant spatial spillover effects, with clear regional differences in their impact on industrial ecoefficiency.
1. Introduction
The pursuit of ecological civilization is an integral component of China’s contemporary modernization agenda, particularly within the industrial sector, which is centered around enhancing sustainable development in industrial enterprises. Commencing in the early 21st century, amidst China’s rapid economic expansion and accelerated industrialization, environmental concerns have become significant impediments to socio-economic progression. The industrial sector, being a primary resource consumer and a central source of pollution, is pivotal to ecological transformation initiatives. In addressing the balance between industrial growth and environmental protection, the Chinese government has enacted a comprehensive array of environmental regulations, positioning industrial greening as a critical national development goal. The Eleventh Five-Year Plan (2006–2010) of China marked the initial establishment of quantifiable energy efficiency and emissions reduction goals, which were subsequently expanded and strengthened in the Twelfth (2011–2015) and Thirteenth (2016–2020) Five-Year Plans, clarifying green development as a primary pathway for economic advancement. The government has also issued numerous directives to promote industrial greening, including but not limited to the Action Plan for Air Pollution Prevention and Control, the Action Plan for Water Pollution Prevention and Control, revisions to the Law on the Prevention and Control of Environmental Pollution by Solid Waste and the Implementation Guide for the Green Manufacturing Project (2016–2020). These regulations specify pollution reduction requirements and champion the advancement of green manufacturing practices, the erection of green factories and the development of green supply chains. Simultaneously, the state actively supports the adoption and diffusion of energy-conserving and ecofriendly technologies and products, supporting industrial enterprises by encouraging technological innovation with financial incentives, tax relief and green financing options.
Enshrined within the Fourteenth Five-Year Plan (2021–2025) and the vision delineated for 2035, the People’s Republic of China has enunciated strategic milestones of attaining “carbon peak” and advancing toward “carbon neutrality”. These goals are anticipated to bolster policy support and proffer guidance essential for fostering sustainability in the nation’s industrial landscape. This strategic pivot is designed to synchronize the trajectory of economic expansion with the imperatives of environmental stewardship, catalyzing the progressive evolution and augmentation of the industrial and energy matrices. On an international scale, China pledges to fortify its congruence with global environmental governance frameworks, engage proactively in collaborative efforts addressing climate change and adhere unwaveringly to the stipulations of international environmental treaties, inclusive of the Paris Agreement. Such commitments underscore China’s resolve to contribute actively to the stewardship of the global environment and the pursuit of sustainable development. Through the implementation of these strategic policies and diligent efforts, China is incrementally transitioning its industrial growth model. This transition is characterized by a steadfast commitment to enhancing the efficiency of resource utilization and the environmental benchmarks in industrial production, thus advancing toward an ecologically resilient economic structure and high-quality developmental outcomes.
To safeguard the equilibrium of the coexistence between humans and the natural environment, governmental entities across various tiers have intensified efforts in environmental governance through myriad approaches, encompassing the enactment of environmental regulations and levying of ecological taxes. The intent underpinning these initiatives is the regulation of industrial production activities and the safeguarding of regional ecosystems. Nevertheless, the incremental intensification of environmental policy frameworks has precipitously increased the financial burdens associated with industrial effluent management, concomitantly exerting an impact on the nation’s industrial landscape and its prospective developmental trajectory. Concurrently, with the burgeoning endorsement of green production modalities and sustainable production philosophies, the “ecological efficiency” paradigm is progressively being integrated within the rubric of sustainable development proficiency assessments. Pertaining to industrial entities, “ecological efficiency” underscores the imperative to optimize resource utilization efficacy in congruence with extant technological capacities. This optimization strives to concurrently amplify industrial value generation and truncate resource depletion and waste generation, thereby mitigating deleterious ecological ramifications. Post-economic reform and liberalization, exogenous capital infusion, the in-sourcing of expertise and the currents of the global marketplace have indubitably catalyzed both technological refinement and industrial economic flourishing within the Chinese milieu. Nonetheless, given the extrinsic nature of ecological variables, such advancements do not unequivocally translate to substantive elevations in industrial ecological efficiency.
With the escalation of industrialization, the societal pursuit of a higher standard of living is increasingly met through the strategic provision of fundamental material resources. As enterprises persist in generating industrial value, a pronounced increase in resource depletion and an attendant intensification of industrial pollution emerge. To comply with environmental mandates, a tranche of corporate investment is directed toward environmental remediation and the innovation of sustainable technologies. The impact of such regulatory frameworks on the ecological efficiency of industrial firms hinges on a cost-benefit analysis, balancing expenditures against the gains from regulatory adherence. The 20th National Congress of the Communist Party of China underscored the imperative of accelerating the transition to green development practices, underscoring sustainability as a core tenet of China’s unique industrial modernization narrative. Consequently, a rigorous evaluation of the ecological efficiency within the industrial domain is vital, not merely for improving industrial zone environments but also for fortifying the foundation for sustained and stable industrial progression. This evaluation further provides an essential schema for strategic policy development, catalyzing a green transformation and expediting the evolution of industrial modernization.
Within the milieu wherein globalization and the pursuit of sustainable development have emerged as a global consensus, the crafting and enforcement of environmental regulatory frameworks exert profound effects on both the environmental quality of regions and the economic prowess along with the competitive edge of industrial firms. The promulgation of the Porter Hypothesis has shed light on the complex interplay between environmental stewardship and industrial ecological efficiency. Contemporary scholarly endeavors in the domain of “environmental regulation and industrial enterprise ecological efficiency” are predominantly concentrated in three critical spheres: Firstly, rigorous investigations pertaining to the precise quantification, assessment and spatial variance in the ecological efficiency of industrial entities. In detail, a constellation of academics has embarked on this path by delving into the essence of ecological efficiency, formulating comprehensive “input-output” indicator matrices and harnessing analytical tools such as data envelopment analysis [1,2,3], stochastic frontier models [2,4] and ecological footprint methodologies [5,6] to ascertain relative efficiencies. The dimensions of industrial ecological efficiency are explored through diverse lenses by researchers, ranging from macroeconomic assessments across nations like China [1], South Korea [2] and other burgeoning economies including the Philippines [7] to granular scrutiny of individual industrial precincts [8], corporations [9] or specific ventures [6]. The corpus of research unveils that despite a trajectory of ascension in ecological efficiency among Chinese industrial enterprises [10], stark inefficiencies prevail across provinces [11] with more ecologically efficient hotspots clustering in the eastern territories [12]. This intimates that the greening of China’s industrial framework is yet in a formative phase, beset by developmental disparities and inadequacies that necessitate further amelioration. It is postulated that the spatial concentration of industrial ecological efficiency within certain locales could be ascribed to a convergence of analogous production conditions alongside the aggregation of human and technological capitals [13,14]. In aggregate, while the metrication of industrial ecological efficiency has been a focal point of academic discourse, the absence of a standardized methodology and a consensus on indicators constrain the cross-comparison of disparate findings. Henceforth, it is imperative that future inquiries refine, harmonize and standardize the metrics for appraising the ecological efficiency of industrial enterprises and that any development of such evaluative frameworks intricately accounts for the distinct characteristics intrinsic to diverse regional and industrial production ecosystems.
The second strand of investigation addresses the intricate interplay between industrial ecological efficiency and the combined forces of green production and environmental safeguarding. The enhancement of industrial ecological efficiency not only necessitates the adept management of production workflows and the refinement of resource allocation strategies [15,16] but also mandates the stewardship and elevation of services provided by industrial ecosystems [17,18,19], a critical facet for the continuous provision of industrial goods and the sustainable progression of urban milieus. Empirical research delineates the intricate and multifaceted nexus between improved industrial ecological efficiency and environmental fortification. Efficiently orchestrated energy stewardship and the cyclic utilization of waste serve to amplify output per product unit, hence diminishing the prospects of resource depletion and environmental perils [20,21]. Conversely, industries adhering to ecofriendly practices play a pivotal role in pollution mitigation, ecological diversity preservation and natural resource stewardship, all of which are foundational to the durability of industrial progression and environmental solidity [22,23]. Furthermore, the advancement in industrial ecological efficiency acts as a bulwark for industrial sectors against the vicissitudes of economic perturbations and climatic shifts [12,24], thus enhancing their adaptive capacity to impending uncertainties. Nevertheless, it has been observed that an increase in ecological efficiency does not consistently act as a catalyst for production enhancement [25]. High ecological efficiency in industries might entail considerable investments in capital and technology, which could initially pose challenges for smaller-scale enterprises [26,27]. Thus, in the quest to boost industrial ecological efficiency across diverse production dimensions and economic climates, the imperative for equitable and inclusive strategies within the industrial framework cannot be overstated. In summation, the intensification of industrial ecological efficiency is vital for steering the course toward sustainable development. The reformation of industrial production modalities, through the adoption of clean production methodologies and the utilization of high-efficiency energy technologies, not only uplifts industrial ecological efficiency and curtails environmental degradation but also stabilizes industrial throughput in the long run, betters the quality of life for the workforce and contributes to the aggregate welfare of society.
The tertiary focus encompasses investigations into the “mechanisms dictating how environmental regulations modulate the ecological efficiency within the industrial sector”. As a strategic lever, environmental regulations exert a direct influence on industrial firms’ production choices and operational tactics, channeling enhancement in ecological efficiency. Scholars have argued that inflexible environmental regulations serve as a catalyst, compelling firms to diminish emissions and optimize energy use. Their methodologies often entail the development of an integrated indicator framework to quantify the stringency of environmental regulations prior to probing their effects on ecological efficiency [28]. In theory, such proximate policies advocate for reduced resource utilization and lessened environmental impact during manufacturing, thereby substantively elevating industrial ecological efficiency. Yet, it is recognized that the influence of disparate regulatory frameworks on ecological efficiency may be divergent [29,30]. The consolidated assessment of these indicators might lead to an attenuation of observable effects due to partial neutralizations. Therefore, measures like environmental taxes [31,32], emission intensity [33] and the volume of environmental complaints [31] are sequentially utilized as representative proxies for market-oriented, prescriptive and participatory environmental regulations to investigate their differential impacts on ecological efficiency. From the standpoint of “compliance costs,” the extant literature infers that environmental regulations can escalate production expenditures and erode profit margins, with the encumbrance of environmental management displacing investments in environmental innovation [34], thereby impeding improvements in ecological efficiency. Conversely, through the lens of “innovation compensation,” prudent environmental regulations may engender technological inventiveness in corporations. Once the innovation effect is fully operational, it can frequently counterbalance the financial burden introduced by environmental regulations [35], thus serving the dual purpose of environmental amelioration and productivity enhancement. In practice, the repercussions of varying environmental regulations on the economic framework may be starkly contrasting [36,37] and even within the same typology of regulation, its influence on ecological efficiency may exhibit regional- and level-specific variances. These variations may be interlinked with the extant production paradigm of enterprises and the regional distribution of natural resources [38]. The indirect conduits through which environmental regulations affect industrial ecological efficiency are multifarious and intricate. These pathways potentially involve technological ingenuity [39], enterprise behavioral and strategic realignments [40], market forces [41] and competitive edge [42] as well as corporate social responsibility and public engagement. The body of existing research furnishes pivotal insights into comprehending how environmental regulations exert a nuanced and profound influence on corporate ecological efficiency, necessitating continued dissection and scholarly pursuit.
In summary, the extant body of literature serves as a valuable reference for investigating the effects of environmental regulation on the ecoefficiency of industrial enterprises, yet it exhibits potential areas for broader inquiry. Firstly, extant scholarly works have chiefly employed indicators including patents related to clean production processes [43], the environmental consciousness of top management [44] and metrics of carbon emissions [45,46] to explore the capacity for sustainable advancement in corporations. Nevertheless, scholarly endeavors that provide a direct evaluation of ecological efficiency in the industrial corporate sphere are noticeably scant, accompanied by a significant lack of consistent evaluative criteria and methodological frameworks. Secondly, while current research identifies environmental regulation [3,47], industrial structure [48] and R&D investment [49] as key factors influencing ecoefficiency, it seldom incorporates macrolevel variables like economic development, global integration or the science and technology landscape as moderators in examining the interplay between environmental regulation and industrial ecoefficiency. Thirdly, prior analyses have largely centered on the correlation between ecoefficiency and the synergistic progression of environmental systems [50], spatiotemporal dynamics [51,52] or industry-specific heterogeneity [53]. Although research has acknowledged spatial spillover phenomena for environmental regulation [54] and industrial ecoefficiency [55], studies directly probing the spatial interdependencies between environmental regulation and industrial ecoefficiency remain scarce. This research evaluates the ecological efficiency of industrial enterprises across various regions from 2003 to 2021, employing the global Super-SBM model. Drawing upon theoretical frameworks such as Porter’s hypothesis, this study examines the impact of command-based as well as market-based environmental regulations on industrial ecological efficiency. The censored least absolute deviation spatial Durbin model (CLAD-SDM), alongside the analysis of multiple moderating effects, is utilized to substantiate these impact mechanisms, focusing on the magnitude and spatial distribution of diverse environmental regulations’ effects on ecological efficiency. The objective is to provide an empirical foundation for advancing sustainable industrial practices, shaping green development trajectories and fostering the progress of China’s industrial modernization.
This research has multiple contributions. The study develops a comprehensive ecoefficiency measurement system tailored for industrial enterprises and applies it to assess the ecoefficiency of Chinese industrial firms from 2003 to 2021. This approach contributes to the growing body of literature on industrial green growth. The research employs a detailed multiregulatory effect framework to analyze the influences of economic progress, international commerce and the technological environment on the interplay between environmental regulation and the ecoefficiency of industrial enterprises. This analysis clarifies the complex role of moderating variables within this context. Finally, the paper provides an in-depth analysis of both the direct impacts and spatial spillovers of market-based versus command-based environmental regulations on industrial ecoefficiency, employing the Clad-SDM model. This method addresses statistical distortions common in conventional econometric models and confirms the robustness of the findings, which has global implications for the development of environmental policies and sustainable industry evolution in other emerging economies.
The structure of the remainder of the document is as follows: Section 2 presents the theoretical framework and formulates research hypotheses concerning the varied effects of environmental regulations on the ecoefficiency of industrial enterprises. Section 3 outlines the index system designed for measuring industrial enterprise ecoefficiency, explains the econometric models used to assess the impact of various environmental regulations on ecoefficiency and describes variable definitions and data sources. Section 4 presents the findings of the empirical analysis and expands the discussion with insights into regional diversity and robustness assessments. Section 5 discusses the systematic design and refinement of ecoefficiency assessments for industrial firms, explains how various environmental regulatory frameworks influence ecoefficiency and identifies the associated spatial regularities. Furthermore, this section identifies current gaps in the research and suggests potential improvements. Section 6, summarizing the manuscript’s content, offers final insights and recommends policy actions.
2. Theoretical Analysis and Research Hypotheses
2.1. Direct Effects of Heterogeneous Environmental Regulations on Industrial Firms’ Eco-Efficiency
Environmental regulation is typically categorized into market-based and command-based types [56]. Market-based regulation internalizes pollution control costs into corporate expenses by utilizing market mechanisms, thereby reducing societal burdens. This type of regulation is considered to facilitate the transfer of emission allowances among industrial enterprises. Companies with lower resource use and waste production per unit of industrial output, known as “cleaner” enterprises, may accrue excess emission allowances. The trade of these surplus allowances can then generate revenue, potentially encouraging technological innovation and improving ecoefficiency [57]. In contrast, more polluting firms face challenges when the environmental costs of their products exceed government quotas, leading them to acquire additional emission allowances [58]. As these firms engage in buying quotas, the marginal cost of their products rises. Consequently, to maintain output levels, they might reduce nonproductive inputs, such as environmental R&D, to reach an equilibrium of costs and benefits [59]. Moreover, while emissions trading schemes are considered to offer economic incentives for environmentally friendly industrial enterprises to diminish pollution outputs, the stimulating effect of technological innovation is inherently delayed due to the time needed for development. In contrast, the environmental harm from increased production by polluting industrial entities becomes immediately evident after acquiring additional emission allowance [60]. From a global perspective, trading in emission quotas capitalizes on emission rights that might otherwise not be used, potentially increasing the total volume of industrial pollutants.
Command-based environmental regulation encompasses administrative enforcement measures imposed on enterprises for environmental protection, which are typically enacted through legislation and the establishment of obligatory cleaner production standards. The effectiveness of such regulation can be indicated by the ratio of pollutants recycled by enterprises, reflecting government policy implementation, serving as an indicator of command-based environmental regulation [61,62]. Due to the compulsory nature of these regulations, firms are required to adhere to specified effluent standards and adopt clean operational methods to maintain production and pursue stable profits. Consequently, this leads to an improvement in firms’ environmental performance [63]. Considering that environmental policies take existing technological capabilities and industrial development into account, it is likely that command-based environmental regulation is likely to bolster ecoefficiency across a broad spectrum of industrial enterprises. While command-based approaches may initially increase production costs, subsequent environmental adjustments and production optimizations can yield net benefits. Cleaner production practices frequently offset the added regulatory expenses, culminating in a net gain in industrial firms’ ecoefficiency. Derived from the preceding analysis, the subsequent hypotheses are formulated:
H1a.
Market-based environmental regulation is negatively associated with the ecoefficiency of regional industrial enterprises.
H1b.
Command-based environmental regulation is positively associated with the ecoefficiency of regional industrial enterprises.
2.2. Economic Development’s Moderating Role on Heterogeneous Environmental Regulation Impacting Industrial Firms’ Eco-Efficiency
The interplay between the growth of enterprises and their adherence to social responsibility is correlated with economic conditions [64]. The economic prosperity of a region is directly linked to robust financial backing and the dynamics of talent migration [65], considerations that are integral to corporate decisions regarding location, investment and research and development. Concurrently, local governments tailor environmental policies to the needs of the economy, aiming to attract industrial investments [66]. As such, the macroeconomy, environmental regulations and ecoefficiency of industrial enterprises are interconnected.
In the short term, economic development may provide firms with the financial means to increase production. Over the long term, it enhances regional market vitality, catalyzing the trading of ecoenvironmental credits, which can increase production costs and may reduce investments in environmental management, increasing the negative impact of market-based environmental regulations on industrial ecoefficiency.
As China transitions to an era of high-quality development, government priorities are shifting away from solely focusing on economic growth toward industrial environmental sustainability [67,68]. Against this backdrop, industrial entities are likely to channel a greater proportion of their abundant capital into research and development for energy conservation and emission reductions to align with environmental directives and pursue green production, thereby securing governmental support for sustainable corporate growth.
Hence, advanced economic development can facilitate industrial enterprises in aligning more seamlessly with environmental policies and in discharging their environmental duties, thereby reinforcing the efficacy of command-based environmental regulation in elevating industrial ecoefficiency. Based on the previous analysis, we propose Hypothesis 2:
H2a.
Economic development enhances the restrictive effect of market-based environmental regulations on the ecoefficiency of regional industrial enterprises.
H2b.
Economic development reinforces the positive role of command-based environmental regulations in improving the ecoefficiency of regional industrial enterprises.
2.3. The Moderating Influence of International Trade on Market-Based Environmental Regulations and Ecological Efficiency in Industrial Firms
In recent years, the relationship between international trade and environmental degradation has received significant attention. This body of research primarily evaluates the proposition that an expansion in imports and exports increases environmental pollution, a concept based on theories such as the pollution haven hypothesis [69]. Empirical evidence suggests a direct relationship between trade liberalization and increased pollution levels, especially in developing nations. This can be attributed to the relocation of pollution-intensive industries from regions with strict environmental regulations to those with more lenient policies, which could intensify environmental degradation [70]. Some researchers posit that while international trade can amplify regional economic gains, it does not inherently lead to improvements in ecological efficiency. The scale effect—whereby the increase in production volume negates the positive environmental impacts of technological innovations—may result in an inverse relationship between trade openness and the ecological efficiency of industrial sectors [71,72]. In particular, the increase in international trade necessitates industrial enterprises to focus on export-oriented production, which often leads to standardization of product types and large-scale production. This dynamic can encourage the trade of pollution permits, thereby escalating resource utilization and ecological damage. Moreover, the growing foreign trade subjects Chinese manufacturing to global market scrutiny, placing it in fierce international competition that spurs rapid product updates and cycles, which may lead to resource depletion and hinder improvements in the ecological efficiency of industrial firms. Based on the presented analysis, the following Hypothesis 3 is proposed:
H3.
International trade increases the negative impact of market-based environmental regulations on the ecological efficiency of regional industrial enterprises.
2.4. Moderating Effects of Technological Environment on Command-Based Environmental Regulation and Industrial Firms’ Eco-Efficiency
The scientific and technological landscape is a key driver for the green evolution of industrial technology. Regarding technology procurement, industrial organizations can facilitate technological advancement through in-house research and development (R&D) or by outsourcing—a process contingent upon external environmental support [73]. For those enterprises that harness green production technology via independent R&D, an increase in regional innovation translates to increased technological innovation as well as advancements in talent and management. Despite this progress, the infusion of capital into ecoinnovation remains modest among industrial entities, largely due to the indirect and intangible nature of the returns when compared to traditional production investments [25]. This dynamic may prompt an increase in production and resource depletion, outpacing efforts in ecological restitution and potentially portraying the direct influence of innovation on industrial ecoefficiency in a deleterious light. Confronted with stringent command-based environmental mandates, businesses striving for longevity are compelled to shift their innovative endeavors toward environmental integrity and waste reclamation, inadvertently reducing innovation investment in the production realm. This adjustment, however, amplifies the overall innovation capacity of industrial enterprises, thereby bolstering the enactment of rigorous environmental regulations on ecoefficiency. For smaller firms bereft of substantial R&D prowess, assimilating externally sourced green technologies is imperative for their sustainable trajectory. The flourishing technology trade market ensures the agile exchange of clean production methodologies and industrial waste reprocessing technologies, invigorating the commitment of sizable industrial concerns to environment R&D initiatives, thus enabling them to reap both economic and ecological rewards. This also affords less capable enterprises the chance to improve their production methods and reduce pollution. More broadly, this technological exchange precludes repetitive innovation across businesses, enhancing ecoefficiency by reducing duplicative research investments. Based on this context, we propose Hypothesis 4:
H4a.
The technology market enhances the positive impact of command-based environmental regulations on the ecoefficiency of regional industrial enterprises.
H4b.
The level of innovation strengthens the positive effect of command-based environmental regulations on the ecoefficiency of regional industrial enterprises.
2.5. Spatial Spillover Effects of Heterogeneous Environmental Regulations on Industrial Firms’ Eco-Efficiency
According to Tobler’s First Law of Geography, everything is related but closer things are more related than those that are distant [74]. Considering the mobility of industrial pollutants and competitive dynamics among local governments [75,76], it is reasonable to expect a spillover effect of environmental regulation on the ecoefficiency of industrial enterprises. Industrial markets and transactions are not discrete entities; market-based environmental regulations can increase marginal costs for polluters, potentially redirecting funds from environmental R&D investments within local firms and extending the impact to industrial entities in adjacent areas through emissions trading. This process could also lead to an increase in industrial waste as a byproduct of these transactions, diminishing the ecoefficiency of industrial firms. Under the “Pollution Haven Hypothesis,” firms may seek to avoid stricter regulations by relocating to regions with laxer environmental regulations, a tactic facilitated by disparities in regional regulation. Currently, a paradigm of “joint prevention and control” in pollution management has been established, where administrative measures tailor environmental regulatory policies to the distinct ecological, resilience and industrial capacities of various regions. This approach directs the flow of industrial enterprises and their production practices across regions, aiming to maximize the orderly operation of industrial activities within the framework of sustainable development. Therefore, we propose Hypothesis 5:
H5a.
Market-based environmental regulation exerts a spatial spillover effect on the ecoefficiency of industrial firms.
H5b.
Command-based environmental regulation exerts a spatial spillover effect on the ecoefficiency of industrial enterprises.
In essence, the theoretical constructs and research hypotheses concerning the impact of diverse environmental regulations on the ecoefficiency of industrial enterprises are illustrated in Figure 1.
Figure 1.
Theoretical framework and research hypotheses.
3. Research Design
The research framework encompasses four pivotal elements: data acquisition, variable filtration, model construction and evaluation and comprehensive analysis. In homage to the protocols established by earlier scholars [77], the architecture of our study’s methodology has been meticulously charted, as depicted in Figure 2. Detailed elaborations of each phase are systematically presented in the ensuing subsections.
Figure 2.
Research design of this study. Note: This figure is intended solely to illustrate the research framework of this paper. Specific meanings of the various subfigures, letters, color symbols, and variables included are not elaborated here, as they are detailed in the subsequent sections of the text.
3.1. Description of Data Sources and Variables
Figure 3 delineates the provenance of the data modules utilized in this study, encompassing geographic information, pertinent parameters and variables in the empirical models, plus policy planning and recommendations.
Figure 3.
Data modules and their sources.
Figure 3 demonstrates that the primary sources of the datasets for each variable are both sector-specific statistical yearbooks and the CSMAR database. To address data gaps, complementary sources such as local yearbooks, annual corporate reports and official statistics from bureaus were utilized, encompassing publications like the China Industrial Statistical Yearbook, China Statistical Yearbook, China Environmental Statistical Yearbook, China Energy Statistical Yearbook and China Science and Technology Statistical Yearbook, among others. Owing to data limitations, the sample scope of this study was confined to 30 provincial-level administrative regions within China, specifically excluding Tibet, Hong Kong, Macao and Taiwan, covering the period from 2003 to 2021. Interpolation methods were employed to impute individual instances of missing data. To mitigate the impact of heteroscedasticity, absolute volume indicators were transformed using logarithmic scaling, as detailed in Table 1.
Table 1.
Variables selected for analyzing the impact of environmental regulation on industrial firms’ ecoefficiency.
Table 1 delineates the ecological efficiency (eff) of industrial enterprises, ascertained through the global Super-SBM methodology. The computational formula is elaborated in the section dedicated to the construction of the empirical model within this document, while Table 2 itemizes the chosen indicators for the analysis.
Table 2.
Assessment indicators for the ecological efficiency of industrial enterprises.
In Table 2, to negate the impact of price fluctuations on the assessment of efficiency, all economic indicators were recalibrated to correspond with the base year of 2003. With respect to the input of industrial energy, given the unavailability of a comprehensive energy consumption index for each province, this study compiled the consumption figures for 31 prevalent energy types utilized in the industrial sectors of provinces where such data were absent. The catalog of energies encompasses raw coal, various grades of washed coal, coal products, briquette coal, coal gangue, coke, a spectrum of coal gases, including coke oven gas, blast furnace gas and converter gas, ancillary coking products and a suite of petroleum products ranging from crude oil to lubricating oil and petroleum coke, along with natural gas, liquefied natural gas (LNG), thermal energy, electrical power and other forms of energy. The quantities consumed of these energy types were converted into their equivalent in standard coal using appropriate coefficients and the resultant figures were cumulatively integrated to estimate the aggregate industrial energy consumption. This approach mirrors the methodology adopted by the National Bureau of Statistics of China, with the conversion coefficients for the various types of energy being sourced from the China Energy Statistical Yearbook.
3.2. Sample Selection
This study aims to empirically examine the effects of environmental regulation on industrial ecological efficiency within the context of China, which serves as a pertinent case study. As the second-largest economy globally, China accounts for a substantial proportion of worldwide industrial production and energy use. Concurrent with its swift economic expansion, the country has encountered escalating environmental and resource challenges, necessitating the adoption of stringent environmental regulations. Data limitations necessitate the exclusion of Tibet, Hong Kong, Macau and Taiwan from the analysis, thus the sample comprises 30 provincial-level administrative regions as illustrated in Figure 4. The period under review spans from 2003 to 2021 and encompasses variables such as industrial output, energy consumption, environmental degradation and regulatory measures. This temporal scope was selected to capture the long-term evolution and dynamics of environmental regulation’s influence on industrial ecological efficiency. Furthermore, China’s considerable geographic expanse yields diverse economic, ecological and industrial landscapes across its eastern, central and western provinces. These disparities, coupled with varying intensities of regulatory enforcement and innovation, provide a rich tapestry for comparative analysis. This comprehensive investigation into China’s unique and intricate milieu not only furthers our understanding of environmental regulation’s efficacy in fostering industrial ecological efficiency but also carries significant implications for the crafting of effective environmental policies.
Figure 4.
Depiction of the study area. Note: Figure created based on the Standard Map Service System of the Ministry of Natural Resources of China (Approval number: GS (2019) 1822). No modifications were made to the base map boundaries.
3.3. Empirical Model Construction
Contemporary research frequently utilizes data envelopment analysis (DEA) methods, particularly the BCC and CCR models predicated on assorted scale assumptions, to evaluate ecological efficiency. These radial models, however, are deficient in addressing the effects of slack variables or in optimizing efficiency enhancement. To mitigate these limitations, Tone introduced the nonradial SBM model, which provides a more nuanced measure of efficiency [24]. Building upon this, the Super-SBM model was advanced to incorporate slack variable impacts, thereby enabling the refined ranking and comparative analysis of decision-making units (DMUs) that attain an efficiency score of 1 [25]. Nevertheless, this approach is constrained by its focus on assessing ecological efficiency solely within identical time frames and not longitudinally across different years. Addressing the shortcomings of conventional static measures in intertemporal assessments, the current study develops a global Super-SBM model. This innovative approach encompasses the potential industrial production set from all provinces over diverse time frames, thereby enhancing the evaluation of ecological efficiency within industrial enterprises.
Within each evaluation period, the sample data from decision-making units (DMUs) typically define a contemporaneous environmental production possibility set. However, discrepancies in production technology frontiers over different periods present obstacles to consistent cross-temporal efficiency analysis. To circumvent this challenge, the study utilizes a global benchmark technology [26], creating an optimal frontier that spans the entire sample timeframe. This facilitates a comparison of DMUs’ efficiencies against a uniform benchmark for each evaluated period. Employing this methodology not only enables comparisons of ecological efficiency across different periods but also resolves potential infeasibility problems. Utilizing insights from the environmental technology framework and global benchmark technology [27,28], this research assimilates production possibility sets from Chinese provinces, covering the period from 2003 to 2021, into a singular reference framework. Thus, an environmental production possibility set global (EPPSG) is constituted, encapsulating m input variables, s desirable output variables and w undesirable output variables for each DMU, as delineated in Equation (1).
In Equation (1), t () represents the temporal dimension, spanning a number of periods; j () denotes the spatial dimension, corresponding to the number of provinces; and symbolizes the optimal solution derived from the model. , and designate the i input, the r desirable output and the q undesirable output for the j province during the t period, respectively, while represents the assigned weights. Building on this formulation, the global Super-SBM model, which incorporates the consideration of undesirable outputs, is encapsulated in Equation (2).
In Equation (2), denotes the ecological efficiency of industrial enterprises for the z province within period t, as assessed against the global reference set. The variables m, s and w denote the count of input factors, desirable output factors and undesirable output factors, respectively. The model stipulates that , and , where , and constitute the slack variables for the i input, r desirable output and q undesirable output, correspondingly.
This study employs a clustered robust standard error model to examine the fundamental and moderating influences of environmental regulations on the ecoefficiency of industrial firms. The model is formulated as follows:
In Equation (3), eff is defined as the ecoefficiency of industrial firms, mer represents market-based environmental regulation, cer is indicative of command-based environmental regulation and control denotes the control variable; is the term for random perturbation. Building on the previous analysis, it is hypothesized that certain variables could moderate the influence of environmental regulation on the ecoefficiency of industrial enterprises. Therefore, extending Equation (3), interaction terms for market-based and command-based environmental regulations are integrated with their respective moderating variables. This modification necessitates the re-estimation of parameters, yielding Equations (4) and (5), respectively:
In Equation (4), signifies the interaction term between market-based environmental regulations and moderating variables, whereas in Equation (5), denotes the interaction term between command-based environmental regulations and moderating variables. To enhance the interpretability of the coefficients, the components of the interaction terms—environmental regulations and moderating variables—have been mean-centered; this adjustment does not impede the identification of moderating effects. The presence of moderating effects is confirmed if the fit of Equation (4) or Equation (5) supersedes that of Equation (3) and if the regression coefficients of the interaction terms between the primary explanatory variables and moderating variables are statistically significant.
Given the notable spatial interdependencies among industrial firms’ ecoefficiency and the heterogeneity in environmental regulations and other explanatory variables, a spatial econometric model is formulated to analyze their interconnected roles. Prior to the construction of the spatial econometric model, potential spillover effects among the core variables are examined using Moran’s I index. Additionally, a spatial weight matrix is constructed based on defined linkages. The expression for Moran’s I index is presented in Equation (6):
In Equation (6), yi and yj represent the indicator values for provinces i and j, respectively. The term n denotes the total number of provinces and W refers to the normalized K-nearest neighbor matrix. Specifically, this matrix selects the K regions closest in straight-line distance to region i, designated as neighboring regions to i, with their corresponding matrix elements assigned a value of 1. Regions not considered neighbors are assigned a value of 0. The final normalized spatial weight matrix is derived through normalization transformation, as depicted in Equation (7):
The k-nearest neighbor (KNN) algorithm is grounded in the concept that it determines the classification of an unknown sample by comparing it to all categorized samples. It computes the distance from the unknown to each known sample. Subsequently, it identifies the “k” nearest samples and employs majority voting to allocate the unknown sample to the predominant category among these nearest neighbors. “K” signifies the count of nearest neighbors to take into account. Within this framework, the initial regression applies a k value of 7, whereas for checks assessing robustness, a k value of 6 is utilized. Figure 5 provides a visual simplification of the KNN algorithm when k is set to 7.
Figure 5.
Schematic representation of the KNN algorithm’s operating principle.
In alignment with the research objectives, this paper establishes a distance threshold of seven, whereby the seven proximate regions are deemed adjacent, herein referred to as the knn7 matrix. The spatial Durbin model (SDM) is prevalently utilized in applied research; however, its potential reduction to either spatial autoregression (SAR) or a spatial error model (SEM) warrants additional investigation and verification. Consequently, this study formulates a generalized spatial econometric model encapsulated in Equation (8):
In Equation (8), when , and , Equation (8) represents the spatial error model (SEM); when , and , Equation (8) represents the spatial autoregressive model (SAR); when , and , Equation (8) represents the spatial Durbin model (SDM). Since the ecoefficiency of industrial enterprises can only take values greater than 0, this paper establishes that a spatial model based on the regression of subsumption will be more in line with the research reality. Specifically, since the Clad-SDM model tends to get a better fitting effect when the data are truncated and the residual term may not be in line with the normal distribution, we can try to compare the regression differences between the Tobit-SDM, the Clad-SDM and the classical spatial Durbin model.
3.4. Methodology for Robustness Testing Procedures
- (1)
- Re-evaluation of the Dependent Variable
The robustness of environmental regulatory impacts on industrial ecological efficiency, as assessed by various methodologies, necessitates deeper exploration. Notwithstanding the Super-SBM model’s superiority over the DEA model in certain features, it is constrained by recognized limitations [24,25]. The Super-SBM model accommodates nonradial slack variables, thereby circumventing the presumption of proportionate input diminution. This enhancement, however, entails the forfeiture of original efficiency frontier projection proportions. Additionally, within the linear programming resolution phase, the Super-SBM model demonstrates a pronounced divergence between optimal slacks at zero and those above zero. The EBM model, amalgamating both radial and nonradial elements, efficaciously mitigates these limitations inherent to the SBM model [26]. Thus, this research aims to develop a global super-efficiency EBM model utilizing global reference technology to recalibrate industrial ecological efficiency. A comparative analysis of ecological efficiency ascertained by the global Super-EBM and SBM models will be conducted to assess consistency in developmental trends and patterns. Moreover, the industrial ecological efficiency outputs derived from the global super-efficiency EBM model will be integrated into the CLAD-SDM model to examine the persistence of environmental regulatory effects on industrial ecological efficiency. The formulation of the global super-efficiency EBM model is encapsulated in Equation (9).
In Equation (9), signifies the radial component of the planning parameter, while , and represent the index weights allocated to the i input, r desirable output and q undesirable output, respectively. The parameters and are identified as important and denotes the ratio of output expansion. The interpretation of the remaining symbols is maintained as in the global Super-SBM model to ensure coherence and they are not reiterated here to preserve conciseness.
- (2)
- Restructuring the Spatial Weight Matrix
This study primarily utilizes the KNN7 matrix to examine the efficacy of environmental regulation on the ecological efficiency of industrial enterprises. It investigates whether the spatial spillover effects of environmental regulation and industrial ecological efficiency persist under alternative spatial relational assumptions. To clarify this issue, on one hand, the study adjusts the k value of the k-order nearest neighbor matrix to 6 to construct a new neighbor matrix. On the other hand, given the widespread use of adjacency matrices [27], a contiguity spatial weights matrix is also developed. Subsequently, the article intends to calculate the Moran’s I for market-based and command-based environmental regulations as well as for industrial ecological efficiency under these two types of spatial weight matrices. Furthermore, it explores the validity of the impact of environmental regulations on industrial ecological efficiency based on the contiguity matrix. Traditionally, contiguity matrices are categorized into three models: rook, bishop and queen. These are briefly elucidated through illustrations, as shown in Figure 6.
Figure 6.
Diagram illustrating spatial contiguity relationships. Note: The letters a, b, c, d, e, f, g, h, i, j, k denote distinct units within a geographical spatial domain. The cell containing ‘a’ is selected as the central cell and highlighted in yellow. Additionally, the cell ‘b’, which shares a common edge with the central cell, is emphasized in blue, while the cell ‘c’, sharing a common vertex with the central cell, is highlighted in green. The cells d, e, f, g, h, i, j, k, representing other units that neither share a common edge nor a common vertex with the central cell ‘a’ at varying distances, are indicated in white.
As depicted in Figure 6, the rook contiguity matrix stipulates that spatial units are considered contiguous if they share a common edge, exemplified by cells a and b. Conversely, the bishop contiguity matrix deems units adjacent only if they share a common vertex, as illustrated by cells a and c. The queen contiguity matrix, on the other hand, designates adjacent units based on the sharing of either an edge or a vertex, whereby both cells a and b as well as a and c satisfy the contiguity condition. In the context of this research, the constructed contiguity matrix adheres to the queen contiguity convention, wherein adjacent spatial units are assigned a coefficient of 1 and nonadjacent units receive a coefficient of 0. These coefficients are systematically arranged in a tabular format, culminating in the establishment of the queen contiguity matrix.
- (3)
- Adjustment of the Sample Time Frame
This study investigates the protracted influence of environmental regulations on the ecological efficiency of industrial enterprises. Spatial relationship analyses, however, suggest a potential lack of significance in spatial spillover effects on ecological efficiency across various periods. By delimiting the research interval to phases where the interplay between environmental regulations and ecological efficiency is markedly significant and by reapplying a spatial econometric model, this study endeavors to assess the stability of the initial regression results. Accordingly, this section seeks to curtail the investigative period to verify the enduring significance of the regulatory impact on industrial ecological efficiency.
4. Results
4.1. Correlation Statistical Tests
- (1)
- Unit root test
To safeguard against the risk of spurious regression arising from the extensive chronological range of the data, it is customary to administer unit root tests to evaluate the constancy of variable trends before proceeding with the empirical analysis. In this context, the current investigation undertook four widely recognized tests—Levin, Lin & Chu (LLC), Harris & Tzavalis (HT), Im, Pesaran & Shin (IPS) and Fisher-Augmented Dickey–Fuller (Fisher-ADF)—to examine the stationarity of the variables implicated in the regression. The results, delineated in Table 3, reveal that all variables conform to the LLC test criteria; the majority satisfy at least three tests, while some fulfill the requirements of only one or two. In alignment with a conservative testing approach, variables that fail to meet the threshold of at least one test from this battery of four are preliminarily classified as nonstationary.
Table 3.
Panel unit root test results for the original series of variables.
Table 3 reveals that, using the rigorous criteria of the quadruple approach, variables mer, cer, itc and trn are classified as stationary, obviating the need for differencing. Therefore, the present study implements differencing on variables eff, eco, tec, tax, fdi, inno and rd, resulting in first-order differenced series. The results of the unit root tests for these series are exhibited in Table 4.
Table 4.
Results of panel unit root tests on first-order differenced series for nonstationary variables.
Table 4 reveals that, with a 1% significance threshold, the first-order differenced series for eff, eco, tec, tax, fdi, inno and rd successfully undergo the unit root test, corroborating that these variables are integrated of order one.
- (2)
- Panel Cointegration Test
In light of the unit root test outcomes, a thorough investigation into the long-term equilibrium dynamics among the variables within the model was conducted using a multifaceted approach that encompasses the Kao, Pedroni and Westerlund cointegration tests. The findings of this examination are detailed in Table 5.
Table 5.
Panel cointegration test results.
The evidence presented in Table 5 unequivocally suggests that all employed test methodologies corroborate the formation of a cointegration relationship among the variables under consideration. Consequently, the model is deemed appropriate for subsequent investigations into the nexus between environmental regulation and the ecological efficiency of industrial enterprises.
- (3)
- Multicollinearity Test
Given the complexity of the research model with its multitude of variables, assessing multicollinearity is critical to ensure the accuracy of the model’s estimations, which can be compromised by high intercorrelations among the independent variables. The variance inflation factor (VIF) serves as the standard diagnostic tool to detect the presence of collinearity, where a VIF near zero denotes minimal multicollinearity. It is widely accepted that a VIF value below 10 indicates a tolerable level of collinearity, obviating the need for remedial actions. Table 6 presents the results of multicollinearity diagnostics conducted on the study variables.
Table 6.
Multicollinearity diagnostic test results for variables.
As delineated in Table 6, the variance inflation factor (VIF) values for all assessed variables fall below the threshold of 10 [78,79]. This is in accordance with established statistical norms, which implies a negligible presence of multicollinearity within the variable set, thereby justifying the advancement to regression analysis.
4.2. Analysis of Direct and Moderating Effects
Utilizing Equation (1), we established an ordinary least squares (OLS) model that employs clustered robust standard errors to evaluate the effect of environmental regulation on the ecological efficiency of industrial enterprises, as detailed in Table 3. Model 1 delineates the regression outcomes using only two principal explanatory variables. In contrast, Model 2 extends the analysis by incorporating additional control variables. Subsequent models (3–7) integrate various interaction terms to explore more complex relationships: Model 3 examines the interplay between economic development and market-based environmental regulation (interaction ); Model 4 investigates the interaction of the degree of openness with market-based environmental regulation (interaction ); Model 5 assesses the influence of economic development level when combined with command-based environmental regulation (interaction ); Model 6 analyzes the effects of technology market development level in tandem with command-based environmental regulation (interaction ); and Model 7 considers how the innovation level interacts with command-based environmental regulation (interaction ). The results are presented in Table 7.
Table 7.
Analysis of direct effects and multiple moderating influences.
Model 1 and Model 2 show that market-based environmental regulation (mer) exerts a significant negative effect on the ecoefficiency of industrial enterprises at the 1% significance level, whereas command-based environmental regulation (cer) displays a significant positive effect at the same level of significance. Moreover, the introduction of control variables in Model 2 not only reduces the magnitude of the regression coefficients but also improves the model’s goodness-of-fit relative to Model 1, thereby supporting Hypotheses H1a and H1b. These findings suggest that market-based environmental regulation has a more pronounced crowding-out effect on pollution-intensive industries than the compensatory benefits it offers to cleaner enterprises, to the extent that emissions trading schemes may not immediately fulfill their intended role of stimulating ecoefficiency improvements in regional industries. However, command-based environmental regulation remains effective within the paradigm of industrial modernization, indicating that, at this juncture, administrative intervention is essential to ameliorate market failures. These regulatory tools can effectively encourage enterprises to adopt green innovation.
In Models 3 to 7, the regression coefficients for both command-based and market-based environmental regulations are significant, and with the incorporation of interaction terms between moderating variables and core explanatory variables, the goodness-of-fit of each model improves to varying degrees. Each interaction term is statistically significant, which supports the potential for a moderating effect. Specifically, Model 3 reveals that the regression coefficient for the economic development level is significantly positive, suggesting that economic advancement positively influences industrial ecoefficiency. However, the interaction term between market-based environmental regulation and economic development level is significantly negative, which implies that as economic development progresses, the negative impact of market-based environmental regulation on industrial ecoefficiency intensifies, thereby supporting Hypothesis H2a. Conversely, in Model 5, the interaction term between economic development level and command-based environmental regulation is significantly positive, indicating that the facilitative influence of command-based environmental regulation on industrial ecoefficiency is amplified with higher levels of economic development, supporting Hypothesis H2b.
Model 4 examines the moderating role of international trade in the relationship between market-based environmental regulations and the ecoefficiency of industrial enterprises. The regression analysis reveals that the coefficient for the interaction term between market-based environmental regulations and import–export trade is significantly negative. This finding suggests that as import–export trade flourishes, it amplifies the detrimental effects of market-based environmental regulations on industrial enterprise ecoefficiency, thereby supporting Hypothesis H3.
The interaction between the technological environment and command-based environmental regulation on the ecoefficiency of industrial firms was explored using Models 6 and 7. Model 6 shows a significant positive coefficient for the interaction term between technology market development and command-based environmental regulation, suggesting that the facilitative effect of command-based environmental regulation on industrial ecoefficiency is magnified with enhanced technology market development, thereby supporting Hypothesis H4a. In Model 7, the regression coefficient for innovation level was significantly negative, illustrating its inhibitory influence on industrial ecoefficiency. However, the interaction term between innovation level and command-based environmental regulation yielded a significant positive coefficient, indicating that higher levels of innovation bolster the positive impact of command-based environmental regulation on the ecoefficiency of industrial firms, thus supporting Hypothesis H4b.
4.3. Analysis of Spatial Spillover Effects
Utilizing the nearest neighbor weight matrix as defined in Equation (5), a spatial correlation analysis was conducted to examine the relationship between environmental regulation and the ecoefficiency of industrial firms, as delineated in Equation (4). The results, encompassing Moran’s I and its associated p-value significance, are presented in Table 8.
Table 8.
Evaluation of Moran’s I Index for heterogeneous environmental regulation and industrial enterprise ecological efficiency using a k-nearest neighbors (knn7) spatial weight matrix.
Table 8 indicates that Moran’s I, associated with environmental regulation, remains consistently positive over an extended period, with a majority of the years showing statistically significant values, which denotes a spatial spillover presence from environmental regulations. Between 2003 and 2011, the Moran’s I for the ecoefficiency of industrial enterprises were negative, hovering near zero, and not statistically significant, indicating a negligible spatial spillover effect for those years. In contrast, from 2012 to 2021, Moran’s I for industrial ecoefficiency became positive and statistically significant, supporting the findings from the binary neighborhood matrix and confirming the existence of a spatial spillover effect in industrial ecoefficiency that has become increasingly prominent with a strong positive spatial correlation in recent years. Considering the movement of industrial pollutants and the establishment of industrial parks through corporate clustering, along with other pertinent factors, the study hypothesizes, from both a theoretical and an economic geography perspective, that encapsulating the impact of environmental regulation on industrial ecoefficiency within a spatial analytical framework is essential for deeper comprehension. To enhance comparative analysis of findings from conventional spatial econometric methods to those derived from Tobit-SDM and Clad-SDM frameworks, this investigation presents the regression coefficients of variables and their corresponding significance levels employing stratified heatmaps for visualization, as exemplified in Figure 7.
Figure 7.
Comparative analysis of SAR, SEM, SDM, Tobit-SDM and CLAD-SDM regression models. Note: ** p < 0.05, *** p < 0.01.
Examination of Figure 7 reveals that the regression coefficients associated with market-based environmental regulation across all considered models are significantly negative, whereas those pertaining to command-based environmental regulation emerge as positive, corroborating established econometric axioms. This pattern indicates a salient influence of environmental regulation on the ecological efficiency of industrial entities, underscored by the dimension of spatial spillover effects. In these models, the majority of the local coefficients for variables are positive, resonating with the economic theory of self-interest. In contrast, the spatial interaction term coefficients for the bulk of the variables manifest as negative, reflecting the absence of a cooperative paradigm conducive to reciprocal development among provinces in the current evolutionary stage. When regional economies and societal frameworks meet the prerequisites for enhancing the ecological efficiency of local industries, progress may be stymied by a deficiency in public services and the ramifications of environmental externalities, thereby constraining the advancement of industrial greening in adjacent regions. Subsequent analyses, utilizing maximum likelihood estimation, probed the likelihood of the spatial Durbin model (SDM) being reducible to a spatial autoregressive model (SAR) or spatial error model (SEM). The outcomes, statistically significant at the 1% threshold, substantiate the integrity of the SDM, implying that its application is statistically more judicious compared to the SAR or SEM.
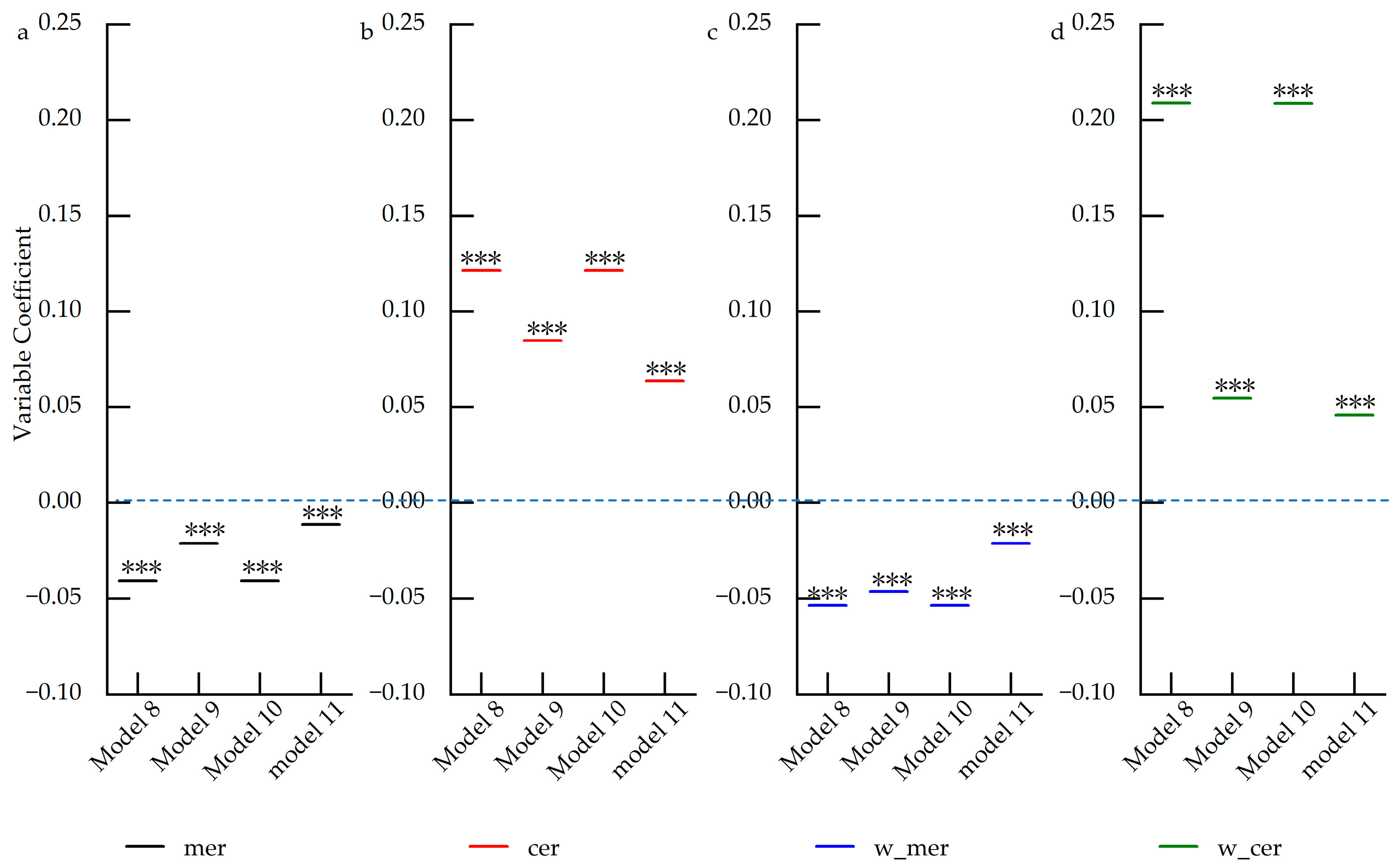
Consequently, a comparative analysis of traditional spatial econometric SDM models with the Tobit-SDM and CLAD-SDM censored regression models, as presented in Figure 7, reveals that market-based environmental regulations have a significant inhibitory effect on the ecological efficiency enhancement of industrial firms, in contrast to command-based regulations, which appear to facilitate it. The investigation into the spatial lag of market-based environmental regulations revealed that their effects on the ecoefficiency of industrial enterprises were not statistically significant in both the standard spatial Durbin model (SDM) and the Tobit-SDM model. Conversely, the results from the Clad-SDM model indicated a significant negative impact of the spatial lag of market-based environmental regulations on industrial enterprise ecoefficiency. Across all examined spatial Durbin models, the spatial lags of command-based regulations were uniformly associated with positive coefficients. Taking into account the control variables and their spatial lags, the CLAD-SDM model outperformed in terms of variable regression significance, thereby highlighting potential truncation within the dataset and non-normality in the residuals. This finding underpins the decision to utilize the CLAD-SDM model in future research endeavors to further elucidate the dynamics between environmental regulations and the ecological efficiency of industrial firms. To facilitate subsequent comparative analyses, the regression results for the Clad-SDM method depicted in Figure 7 are designated as Model 8.
The analysis of the censored least absolute deviations spatial Durbin model (Clad-SDM), as presented in Figure 7, reveals that market-based environmental regulation exhibits a significantly negative effect on industrial firms’ ecoefficiency at the 1% level when applied under the spatial K-nearest neighbors (KNN7) weight matrix. This finding corroborates the inhibitory impact of market-based environmental regulation on ecoefficiency improvement, aligning with the inferences drawn in the previous section. Within the Clad-SDM framework, both the regression coefficient of market-based environmental regulation and its corresponding spatial interaction term are markedly negative. Notably, the spatial interaction term’s coefficient is slightly larger, underscoring that market-based environmental regulation not only hampers ecoefficiency enhancement locally but also has a more pronounced inhibitory effect on firms in adjacent areas, thereby confirming Hypothesis H5a. Conversely, the command-based environmental regulation’s coefficients and those of its spatial interaction term are positive and significant at the 1% level, with a larger magnitude for the spatial interaction term. This indicates that command-based environmental regulation is conducive to improved ecoefficiency among local industrial firms and even more so among those in neighboring regions, substantiating Hypothesis H5b.
4.4. Subregional Regressions
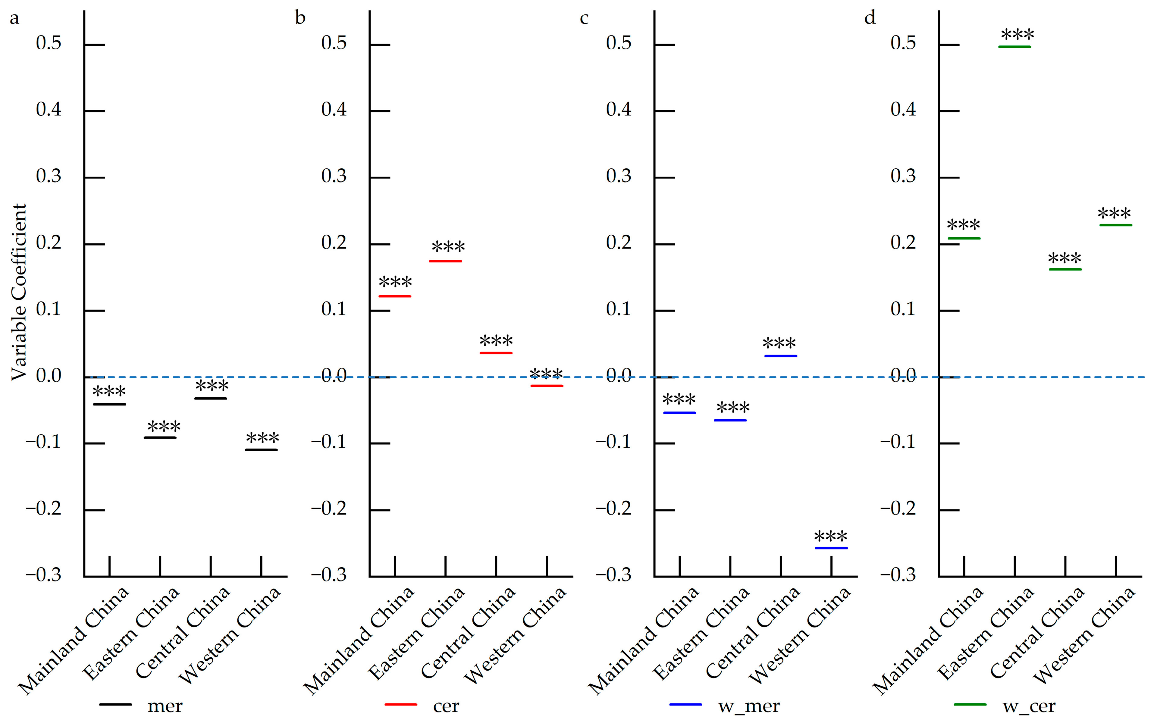
Given the pronounced disparities in resource endowments, natural conditions and societal development among China’s three major regions, distinctive regional traits have emerged within the spheres of industrial progression and ecological protection. Consequently, a comparative analysis is warranted to elucidate the disparate impacts of nationwide environmental regulations on the ecological efficiency of industrial firms throughout the eastern, central and western regions. To visualize these differences, we have emulated the approaches of preceding researchers [80], creating distribution diagrams that reflect the regression coefficients of the variables and their associated degrees of significance, as depicted in Figure 8.
Figure 8.
Distribution of regression coefficients for the impact of environmental regulation on ecoefficiency in industrial enterprises across national and regional levels. Note: *** p < 0.01. Subfigure (a) illustrates the distribution of regression coefficients for local market-based environmental regulation. Subfigure (b) depicts the distribution of regression coefficients for local command-based environmental regulation. Subfigure (c) represents the distribution of regression coefficients for spatial interaction terms of market-based environmental regulation. Subfigure (d) shows the distribution of regression coefficients for spatial interaction terms of command-based environmental regulation. “Mainland China” denotes the 30 provincial-level administrative regions included in this study, all of which have comprehensive data sets. “Eastern China”, “Central China” and “Western China” correspond to the predominant number of provinces in each region with available comprehensive data, as delineated in Figure 4.
As shown in Figure 8, in the eastern region of China, the impact of market-based environmental regulation on industrial firms’ ecoefficiency is more pronounced than on the national level—the negative coefficients of the regulation and its spatial interaction are significant, with the absolute value of the former more than double that observed nationally. This amplification may be attributed to the region’s active ecoquotas trading, spurred by the high concentration of industrial enterprises. Moreover, the command-based environmental regulation appears to exert a substantially stronger positive effect on the ecoefficiency of both local and neighboring industrial enterprises within the eastern region compared to other areas. This suggests that in areas with a robust industrial economy, the presence of efficacious environmental protection policies, legislation and management standards are crucial and that well-calibrated command-based environmental regulations can significantly enhance the ecoefficiency of local industrial enterprises.
For the central region, the suppressive impact of market-based environmental regulations on the ecoefficiency of industrial firms is modest. However, the spatial interaction term associated with these regulations indicates a significantly positive effect, potentially reflecting the region’s relatively uniform industrial infrastructure distribution. Such homogeneity may facilitate interprovincial industrial activity when ecoefficiency quotas in one area are limited, incentivizing firms to expand production into neighboring provinces. Additionally, this dynamic might contribute to the exportation of industrial products from these provinces due to their lower marginal costs and pricing advantages. Consequently, this leads to a scenario where market-based environmental regulations can paradoxically diminish the ecoefficiency of local enterprises while enhancing that of firms in adjacent regions. The limited influence of command-based environmental regulation and its spatial interaction term on the central region’s industrial ecoefficiency can be ascribed to the generally medium-low ecoefficiency levels. Firms in this area are not yet positioned to capitalize on the dual benefits of exporting environmental protection technology or the increased costs imposed on less efficient competitors by the regulatory enforcement.
In the western region, market-based environmental regulations and their spatial interactions exert a more pronounced inhibitory effect on the ecoefficiency of industrial enterprises compared to other regions, attributable largely to the region’s heavy industrial structure. The western region, rich in energy yet technologically underdeveloped, hosts a higher proportion of pollutant-generating enterprises than those engaged in clean production. Consequently, these enterprises often act as buyers in emissions trading, leading to a significant “crowding out effect”. Additionally, the region’s hilly terrain impedes air circulation, hindering pollutant dispersal and reducing environmental capacity, thereby increasing the cost of pollutant management per unit. This study uses the pollution control cost per unit of industrial value added as a proxy for the intensity of market-based environmental regulation, revealing a substantial suppressive impact on the western region’s industrial ecoefficiency. In contrast to other regions, the western region’s ecoefficiency is also significantly constrained by command-based environmental regulations. Many local industrial enterprises, characterized by outdated production processes and resistance to ecofriendly transformation, find that the ecological compensation provided by such regulations fails to offset economic losses, resulting in an overall negative effect. However, the spatial interaction term associated with command-based environmental regulation is significantly positive, with its coefficient’s absolute value markedly exceeding that of the local term. This indicates that although local industrial ecoefficiency suffers under current command-based regulations, there is a notably positive spillover effect on the ecoefficiency of enterprises in neighboring areas. Therefore, despite the present challenges, the western region must persist with the integrated strategy of “joint prevention and control” to navigate these challenges and expedite the sustainable development of its industrial enterprises.
4.5. Robustness Check
- (1)
- A Comparative Assessment of Ecological Efficiency in Industrial Enterprises Utilizing Diverse Methodological Approaches
Given the relative nature of “ecological efficiency” metrics, a juxtaposition of the ecological efficiencies of industrial enterprises as evaluated by both the global Super-SBM and EBM models, alongside the examination of consistent temporal and spatial efficiency trends, serves to substantiate the reliability of the global Super-SBM model in assessing ecological efficiency of industrial enterprises to a certain degree. Consequently, this study initially computes the annual geometric mean of the ecological efficiencies of industrial enterprises, followed by a provincial calculation, with the respective outcomes depicted in Figure 9 and Figure 10.
Figure 9.
Temporal trends in the geometric mean of ecological efficiency for industrial enterprises.
Figure 10.
Provincial distribution of the geometric mean of ecological efficiency in industrial enterprises.
Figure 9 reveals that although the ecological efficiency of industrial enterprises appraised by the global super-efficiency EBM model consistently registers as higher, the evolutionary trends in efficiency, as indicated by both models, align closely. These trends include an ascendant phase from 2003 to 2008, a “V”-shaped fluctuation between 2008 and 2010, a decline from 2010 to 2015 and a subsequent rise post-2015. While the temporal and spatial patterns of ecological efficiency in industrial enterprises and their driving factors fall outside the scope of this paper and are therefore not examined, the figure does suggest that post-2013, industrial enterprises tend to enter a phase of stable growth in ecological efficiency. This trend hints at the increasing effectiveness of China’s environmental policies and the enhanced commitment of industrial enterprises to harmonize production with environmental conservation. According to Figure 10, the ecological efficiency of industrial enterprises exhibits considerable heterogeneity across provincial administrative regions, yet the areas of high and low efficiency identified by both methodologies largely overlap. Notably, regions such as Beijing, Guangdong, Zhejiang, Tianjin, Shanghai, Shandong and Jiangsu—all in China’s eastern corridor—stand out for their superior ecological efficiency. In sum, cross-referencing the annual and regional mean efficiencies as ascertained by both models suggests a fundamental agreement in the ecological assessment of industrial enterprises, lending further credence to the global Super-SBM model’s accuracy.
- (2)
- Examination of Spatial Spillover Effects Using Diverse Spatial Matrices
The rationale for employing spatial econometric models in addressing empirical phenomena is embedded in the spatial interdependence among variables. The First Law of Geography suggests a universal interrelation, positing that all entities are interconnected; however, the explanatory capacity of a model is markedly enhanced when such interconnections are proximate and pronounced. As previously delineated, spatial spillover effects associated with command-based environmental regulation, market-based environmental regulation and the ecological efficiency of industrial enterprises have been identified through the utilization of a k-nearest neighbors (knn7) matrix. In this stage of the analysis, we modify the k-order neighbor matrix parameter to 6 to reassess the existence of spatial spillover effects, with findings presented in Table 9.
Table 9.
Evaluation of Moran’s I Index for heterogeneous environmental regulation and industrial enterprise ecological efficiency using a k-nearest neighbors (knn6) spatial weight matrix.
The findings presented in Table 9 reveal that with the application of a k-nearest neighbors (knn6) matrix, the Moran’s I index for the variables consistently displays positive and significant values across most years. This consistency suggests that the spatial spillover effects previously detected with the neighbor matrix parameter at k = 7 are not merely circumstantial. Additionally, we have recalibrated the k-order neighbor matrix to an contiguity matrix and have continued to scrutinize the Moran’s I index for environmental regulation and industrial enterprise ecological efficiency, the results of which are delineated in Table 10.
Table 10.
Evaluation of Moran’s I Index for heterogeneous environmental regulation and industrial enterprise ecological efficiency using a contiguity spatial weight matrix.
The findings presented in Table 10, following the adjustment of the spatial weight matrix to a contiguity configuration, reveal that the Moran’s I index for market-based environmental regulation exhibits a predominantly positive significance across the majority of the observed years. In contrast, the Moran’s I index for command-based environmental regulation displays unwavering positivity throughout the entire study period. Additionally, the indices correlating to industrial enterprise ecological efficiency, when scrutinized under a contiguity weight matrix, demonstrate a robust congruence with those ascertained via the knn6 and knn7 neighbor matrices, with a marked positive significance persisting from 2012 through 2021. Given these results, this paper advocates for the validity of utilizing spatial econometric models for the exploration of how environmental regulation influences the ecological efficiency of industrial enterprises.
- (3)
- Assessing the Effects of Heterogeneous Environmental Regulations on the Ecological Efficiency of Industrial Enterprises Using Various Approaches
To rigorously validate the conclusions articulated in this manuscript, three methodological approaches were systematically implemented: the re-evaluation of the dependent variable, the reconfiguration of the spatial weights matrix and the modification of the temporal scope of the sample. This tripartite analysis was designed to scrutinize the potential interaction between the diversity of environmental regulations and the ecological efficiency of industrial firms, hereby referred to as Model 9, Model 10 and Model 11. In conjunction with these analyses, a figure delineating the coefficients of the variables and their robustness distribution has been generated, informed by the regression results, as depicted in Figure 11.
Figure 11.
Coefficient distributions from regression analyses over multiple robustness tests. Note: *** p < 0.01. Subfigure (a) illustrates the distribution of regression coefficients for local market-based environmental regulation. Subfigure (b) depicts the distribution of regression coefficients for local command-based environmental regulation. Subfigure (c) represents the distribution of regression coefficients for spatial interaction terms of market-based environmental regulation. Subfigure (d) shows the distribution of regression coefficients for spatial interaction terms of command-based environmental regulation.
Figure 11 presents the robustness checks of the study’s findings. Model 9 illustrates the results after substituting the explanatory variables from Table 1 with the ecoefficiency of industrial firms, as measured by the EBM method, while controlling for all other variables and employing the Clad-SDM model for regression analysis. In Model 10, the previously utilized KNN7 nearest-neighbor matrix is replaced with a contiguity spatial weights matrix to test the stability of the results. Model 11 addresses potential biases from the period 2003–2011, where the Moran’s I for industrial ecoefficiency did not meet significance, by narrowing the research period to 2012–2021 for a re-evaluation. Across Models 8 to 11, consistent patterns emerge: market-based environmental regulations and their spatial interaction terms exert a negative impact on the ecoefficiency of industrial enterprises, whereas the local and spillover effects of command-based environmental regulations are significantly positive. These findings corroborate earlier analyses, confirming the robustness of the research outcomes.
5. Discussion
This research is dedicated to examining the influences of diverse environmental regulatory frameworks on the ecological efficiency of industrial firms. Utilizing a scientifically grounded approach to quantify the ecological efficiency across industrial enterprises within distinct Chinese provinces, we implemented an array of moderating factors and the CLAD spatial Durbin model to elucidate the underlying mechanisms and spatial interrelations by which environmental regulations modulate ecological efficiency. The findings disclose the differential impacts of market-based versus command-based environmental regulatory approaches on the ecological efficiency among these enterprises. A comprehensive analysis of the findings is presented subsequently.
5.1. Development and Refinement of an Ecological Efficiency Assessment Framework for Industrial Enterprises
The precision and objectivity in appraising the ecological efficiency of industrial enterprises are pivotal for the advancement of related research disciplines. The integrity of such evaluations is predicated on the meticulous selection of measurement indicators and the sophisticated application and enhancement of computational methodologies. Indicator selection should be rooted in a robust definition of “ecological efficiency,” encapsulating the entire gamut of inputs, outputs and the environmental detriments incurred throughout the production lifecycle. The metric of “comprehensive industrial energy consumption” is often undermined by the absence of directly converted data across various regions, compelling researchers to rely on proxy indicators like electricity usage. This study contends that the vast and varied energy requirements of China’s industrial sectors render such simplifications inadequate. In response, we have amassed consumption figures for a suite of 31 energy types, adjusting each by specific conversion factors before aggregating them to ascertain the aggregate industrial energy expenditure. This methodological rigor ensures a holistic consideration of energy inputs, thus providing a more faithful representation of consumption patterns and enhancing the veracity of ecological efficiency evaluations for industrial enterprises.
Currently, the assessment of ecological efficiency is predominantly conducted utilizing data envelopment analysis (DEA) and its derivative models from an “input-output” perspective, with alternative methodologies such as the ecological footprint and stochastic frontier analysis also being employed. Notwithstanding their applicability to industrial enterprise ecological efficiency studies, this paper contends that due to the association of industrial processes with pollutant emissions, the development of measurement tools should incorporate a slack-based measure (SBM) model integrating nondesirable outputs. Additionally, as this study encompasses data spanning from 2003 to 2021, representing different production frontiers across years, inserting data sequentially into the SBM model would compromise the comparability of ecological efficiency values among industrial enterprises. To address this, we have established an optimal frontier through global benchmark technology for the entire sample period, enabling a consistent efficiency comparison of decision-making units (DMUs) against this standard. In our empirical analysis of the ecological efficiency of provincial-level industrial enterprises in China, we have considered each province’s yearly data as separate DMUs. Calculations using the global SBM model reveal that several DMUs invariably achieve an efficiency score of “1”. This uniform score, however, may not accurately reflect the efficiency levels across DMUs, necessitating further verification via a super-efficiency model. Ultimately, by applying the global super-efficiency SBM model to assess ecological efficiency, we discern that numerous DMUs previously evaluated with an efficiency score of “1” now exhibit values marginally exceeding this figure, with variations amongst them. This outcome not only conforms more closely to the actualities of industrial production but also advances inter-regional efficiency comparative analysis. These results endorse and expand upon previous scholarly assertions and discussions pertaining to the super-efficiency SBM model.
5.2. Elucidating the Pathways and Spatial Dynamics of Industrial Ecological Efficiency in the Context of Diverse Environmental Regulations
Environmental regulation is a critical determinant of ecological efficiency in industrial enterprises. This nexus of regulation and efficiency is a focal point of scholarly discourse in environmental economics. Scholars have recently argued that environmental regulations can positively influence the ecological efficiency of industrial firms [28]. Conversely, there are indications that suboptimal regulation design may elevate compliance costs and consequently deter investments in environmental safeguards and production efficiency [31]. Numerous studies have employed econometric models to investigate the nexus between environmental regulation stringency and corporate ecological efficiency. Findings indicate that rigorous environmental regulations may incentivize firms to enhance their resource efficiency, which in turn could mitigate environmental pollution throughout their production activities [63]. Nevertheless, such a positive outcome is not consistently observable. The concept of ecological efficiency intrinsically accentuates the ratio between economic yield and environmental expenditure. Should regulations only curtail the undesirable outputs of industrial activity without conforming to economic operation principles, thus necessitating a surge in input factors, ecological efficiency is unlikely to be bolstered. Furthermore, corporate reactions to environmental regulations are contingent not merely on implementation strategies and types but also on external market dynamics and intrinsic corporate attributes. This paper contends that environmental regulation policies have evolved into diverse forms, each uniquely inciting firms to adopt cleaner production methods. The extent and direction of the impact that disparate regulatory policies exert on industrial ecological efficiency may vary. This study ascribes such variability to the heterogeneity of environmental regulations, a finding echoed in empirical evidence and validated by related academic inquiry [32]. Beyond direct effects, environmental regulations also potentially affect ecological efficiency through indirect channels. This research distinguishes itself from analogous studies by dissecting the pathways through which varied external elements shape industrial ecological efficiency under the influence of environmental regulation, highlighting the distinct roles of market-based and command-based frameworks. It delineates a lucid and thorough analysis of how economic evolution, technological milieu and international commerce interlace within these mechanisms.
The influence of environmental regulation on the ecological efficiency of industrial enterprises exhibits discernible spatial regularities, influenced by regional variances in socioeconomic development, natural geographic features and environmental carrying capacities throughout China’s provinces and territories. This observation is consistent with the principles of economic geography. Early conceptualizations of spatial spillover within environmental economics were anchored in these theoretical frameworks, providing insights into the technological spillover of environmental regulation on the competitive dynamics of manufacturing sectors. Scholars later acknowledged the complex interplay between international trade, economic growth and ecological conditions, proposing methodologies to gauge the spatial ramifications of environmental regulation on a worldwide scale. Recent investigations have verified that environmental regulations not only shape industrial configurations and corporate conduct within specific locales but also exert their impact on adjacent regions through market dynamics and technological diffusion, underscoring the geospatial and multidimensional aspects of these regulatory influences [56]. Efforts to deconstruct this mechanism have spanned various spatial dimensions, with empirical research demonstrating conspicuous patterns of geographic clustering in ecological efficiency improvements across different areas and cities, intricately associated with the degree of environmental regulatory enforcement and enterprise-specific traits [13,14]. These insights prompt regionalized regression analyses and dialogues on the effects of environmental regulations. Our findings reveal pronounced regional disparities in the direct and indirect consequences of both market-oriented and prescriptive environmental regulatory approaches. Further qualitative exploration into the underlying factors of these disparities incorporates the realities of industrial ecological efficiency, economic progression and infrastructural and industrial configurations across China’s principal regions, thereby contributing to the practical understanding and application of ecological quota theory within the nation’s industrial milieu.
5.3. Research Deficiencies and Prospective Development Pathways
While this investigation provides insights into the influence of heterogeneous environmental regulations on industrial enterprises’ ecological efficiency, it exhibits several deficiencies. On one hand, the study’s approach to classifying regulatory types could be perceived as overly reductive, bifurcating environmental regulations into merely market-based and command-based categories. It neglects the aspect of public voluntary environmental regulation, including the vigor of public-spurred reporting on corporate environmental offenses, which veritably affects the production and operational strategies of industrial entities. This could precipitate a less comprehensive and nuanced comprehension of regulatory repercussions. On the other hand, the adopted research methodology, relying on conventional spatial econometric models, does not sufficiently contend with the dynamism, nonlinearity and the potential endogeneity inherent in regulatory impacts. This limitation hinders a thorough decoding of the regulatory influence mechanism and omits a scrutiny of the fundamental drivers of ecological efficiency within industrial firms.
In anticipation of future investigative enhancements, firstly, there is a need for more nuanced distinctions among environmental regulatory types, a precise delineation of the varied influences exerted by distinct regulatory instruments such as taxes, subsidies and emission standards on corporate ecological efficiency and an assessment of the synergistic effects of regulatory measures to elucidate more exact influence mechanisms. Secondly, the future research agenda necessitates the adoption of more sophisticated data analytics methods, such as spatial panel vector autoregression (SPVAR) and machine learning techniques, to trace the dynamic shifts in regulatory impacts and to negotiate potential endogeneity conundrums. Moreover, conducting cross-regional and cross-sectoral comparative studies would significantly contribute to future research, facilitating an understanding of the variable impacts wrought by diverse environmental regulations in disparate economic and technological contexts. Finally, the integration of insights on the influence of heterogeneous environmental regulations on industrial ecological efficiency into scenario planning not only provides concrete developmental benchmarks for local government environmental management but also substantively elevates the decision-making caliber of businesses in their production and operational strategies through scenario-based analysis.
6. Conclusions and Recommendations
Based on the theoretical mechanism of heterogeneous environmental regulation affecting the ecoefficiency of industrial enterprises, this paper takes the panel data of industrial enterprises around the world from 2003 to 2021 as a sample and analyses the basic influence law of market-based environmental regulation and command-based environmental regulation on the ecoefficiency of industrial enterprises by using the clustered robust standard error model and examines the regulating role of economic development, opening up and scientific and technological environment in the ecoefficiency of industrial enterprises by means of the moderating effect model; it also further examines the spatial spillover effect of environmental regulation on the ecoefficiency of industrial enterprises and the law of regional heterogeneity by using the Clad-SDM model.
The research findings indicate that: (1) Market-based environmental regulations suppress the improvement of industrial enterprises’ ecoefficiency, while command-based environmental regulations promote it. (2) Economic development enhances the positive effect of command-based environmental regulations on ecoefficiency and exacerbates the suppressive impact of market-based regulations; higher levels of international trade further intensify this suppression by market-based regulations; and technological advancements strengthen the positive promotion of ecoefficiency by command-based regulations. (3) Both types of environmental regulations have significant spatial spillover effects and regional heterogeneity on industrial ecoefficiency; market-based regulations generally have a suppressive local effect, with the degree of impact being “West > East > Central” and a suppressive spillover effect in the west and east but a promotional one in the central region; command-based regulations exhibit a local promotional effect in the east and central regions and a suppressive effect in the West, with a uniformly positive spillover effect, ranked as “East > West > Central”.
In light of the conclusions drawn from this research, we put forward several strategic recommendations aimed at strengthening the positive synergistic effects of environmental regulatory policy mixes on the ecoefficiency of industrial enterprises. These recommendations are designed to foster the industry’s green and sustainable advancement and contribute to the broader goal of constructing a more ecologically harmonious civilization:
- (1)
- In response to the suppressive tendencies of market-based environmental regulations and the facilitating influences of command-based environmental directives, a harmonized strategic approach that encapsulates the strengths of both regulation types is advocated for policymakers. On one front, the enhancement of market-based schemes is imperative, involving the refinement of the carbon trading market and effluent permit system to cultivate a competitive arena that is both agile and impartial. The judicious calibration of environmental taxation and pollutant exchange rates is crucial to incrementally elevate environmental liabilities, thus motivating corporate entities to mitigate their pollutant discharges. Conversely, the precision and obligatory nature of command-based mandates necessitate augmentation, entailing the establishment of unequivocal environmental conservation objectives and the rigorous oversight of adherence. Such measures are anticipated to channel the systematic retirement of antiquated production methodologies. Predicated on these initiatives, the formulation of an integrated policy architecture that amalgamates market-based and command-based regimes is envisaged. This policy amalgamation and refinement are anticipated to engender a collaborative dynamic conducive to the holistic advancement of industrial ecological efficacy.
- (2)
- In the context of accelerated economic growth, it is imperative for policymakers to fortify the environmental efficiency directive within market mechanisms to mitigate the heightened repressive effects of market-based environmental regulation on the ecological efficiency of industrial enterprises. Elevating environmental technological standards serves as a means to direct companies toward ecofriendly upgrades, culminating in an increment in ecological efficiency concurrent with economic expansion. Simultaneously, enforcement of command-based environmental regulations must be escalated, exemplified by the institution of stricter emission benchmarks and more comprehensive environmental impact assessment criteria. With regard to the exacerbation of the inhibitory influence of market-based regulations by international trade, an initial step involves elevating the environmental standards for imports to avert the ingress of low-standard environmental goods through international commerce. Subsequently, fine-tuning the composition of exported goods to favor less resource-intensive and pollutive products is warranted. Moreover, the establishment of collaborative frameworks for environmental technological exchange with trading partners is advocated, aiming to catalyze the extensive propagation and application of advanced, ecoefficient technologies. Additionally, enterprises should be incentivized to pursue trade diversification, diminishing dependence on singular markets and cushioning the industrial ecological efficiency in China from the vicissitudes of global market environmental shifts. Proactive promotion of environmental technology innovation is also crucial, as it bolsters the efficiency of command-based regulations, thereby ensuring a sustained enhancement of industrial ecological efficiency within the ambit of an open economy.
- (3)
- To mitigate the spatial spillover effects and address the regional heterogeneity inherent in market-based and command-based environmental regulations, it is incumbent upon local governments to finely tune environmental regulatory frameworks to the distinctive roles exhibited by these regulations, concomitant with economic progression and ancillary factors, within the tripartite regional division. This obliges the adoption of bespoke regulatory strategies that resonate with local exigencies and incorporate disparate externalities. Pertinently, the western region, markedly constrained by market-based environmental regulations, should consider the initiation of regional collaborative mechanisms. Such frameworks are envisaged to facilitate intergovernmental alliances for the dissemination and mutual enhancement of ecological efficiency through shared environmental protection technologies. The central region, conversely, is counseled to perpetuate the enhancement and amplification of the salutary facets of market-based regulations, notably by galvanizing the widespread adoption and implementation of environmental technologies via regional collaborations, thereby catalyzing a transition toward sustainable industrial practices. Moreover, the peripheral impact of market-based environmental regulations is discerned to attenuate the ecological efficiency of industrial entities in both western and eastern territories, prompting the imperative to curtail adverse policy spillovers via transregional harmonization of environmental edicts and reciprocal dissemination of environmental intelligence. In relation to the western region’s mitigated response to command-based environmental regulations, an in-depth examination is advocated to pinpoint underlying causes; requisite adjustments in environmental regulatory stratagems, attuned to regional realities, may be paramount to augment the environmental stewardship and regulatory acumen of local agencies. Concurrently, in the eastern and central dominions, an escalation in command-based regulatory measures is advised, alongside optimization of their collateral effects, to propel a concerted ascension in regional ecological efficiency. With particular regard to the proximate repercussions of command-based regulations, especially their auspicious contribution in the eastern enclave, the establishment of a more integrated regional consortium for environmental governance is propounded. This initiative is poised to exploit the exemplar and catalytic effects amongst contiguous territories, thus mobilizing a unified impetus in regional environmental stewardship and collectively bolstering the ecological efficiency of industrial sectors.
Author Contributions
Conceptualization, Y.X. and F.Q.; methodology, Y.X. and F.Q.; software, Y.X. and W.L.; validation, F.Q. and W.L.; writing—original draft preparation, Y.X. and F.Q.; writing—review and editing, F.Q. and W.L.; visualization, Y.X. and F.Q. supervision, W.L.; project administration, W.L. All authors have read and agreed to the published version of the manuscript.
Funding
This research was supported by the Annual Project of Shaanxi Provincial Social Science Foundation (Nos. 2022D034); The Shaanxi Province Philosophy and Social Science Research Special Youth Project (Nos. 2023QN140).
Institutional Review Board Statement
Not applicable.
Informed Consent Statement
Not applicable.
Data Availability Statement
The data that support the findings of this study are available from the corresponding author upon reasonable request.
Conflicts of Interest
The authors declare no conflict of interest.
References
- Zhang, R.L.; Liu, X.H. Evaluating ecological efficiency of Chinese industrial enterprise. Renew. Energy 2021, 178, 679–691. [Google Scholar] [CrossRef]
- Lee, H.S.; Choi, Y. Environmental Performance Evaluation of the Korean Manufacturing Industry Based on Sequential DEA. Sustainability 2019, 11, 874. [Google Scholar] [CrossRef]
- Qin, M.; Sun, M.; Li, J. Impact of environmental regulation policy on ecological efficiency in four major urban agglomerations in eastern China. Ecol. Indic. 2021, 130, 108002. [Google Scholar] [CrossRef]
- Nguyen, L.T.; Ratnasiri, S.; Wagner, L. Industrial energy efficiency and determinants in Vietnam: A stochastic frontier analysis using firm-level data. Appl. Econ. 2024, 56, 1636–1651. [Google Scholar] [CrossRef]
- Musikavong, C.; Gheewala, S.H. Ecological footprint assessment towards eco-efficient oil palm and rubber plantations in Thailand. J. Clean. Prod. 2017, 140, 581–589. [Google Scholar] [CrossRef]
- Teng, J.Y.; Wu, X.G. Eco-footprint-based life-cycle eco-efficiency assessment of building projects. Ecol. Indic. 2014, 39, 160–168. [Google Scholar] [CrossRef]
- Ginez, E.K.; Tabag, E.J. Eco-efficiency and Sustainability: An Analysis for the Philippines. J. Econ. Financ. Account. Stud. 2023, 5, 42–62. [Google Scholar] [CrossRef]
- Huang, M.X.; Wang, Z.Z.; Chen, T. Analysis on the theory and practice of industrial symbiosis based on bibliometrics and social network analysis. J. Clean. Prod. 2019, 213, 956–967. [Google Scholar] [CrossRef]
- Charmondusit, K.; Keartpakpraek, K. Eco-efficiency evaluation of the petroleum and petrochemical group in the map Ta Phut Industrial Estate, Thailand. J. Clean. Prod. 2011, 19, 241–252. [Google Scholar] [CrossRef]
- Matsumoto, K.; Chen, Y.Y. Industrial eco-efficiency and its determinants in China: A two-stage approach. Ecol. Indic. 2021, 130, 108072. [Google Scholar] [CrossRef]
- Zhang, J.X.; Liu, Y.M.; Chang, Y.; Zhang, L.X. Industrial eco-efficiency in China: A provincial quantification using three-stage data envelopment analysis. J. Clean. Prod. 2017, 143, 238–249. [Google Scholar] [CrossRef]
- Liu, Z.; Zhang, H.; Zhang, Y.-J.; Zhu, T.-T. How does industrial policy affect the eco-efficiency of industrial sector? Evidence from China. Appl. Energy 2020, 272, 115206. [Google Scholar] [CrossRef]
- Liu, L.; Zhao, Y.; Yang, Y.; Liu, S.; Gong, X.; Jiang, P. Study on the measurement of industrial eco-efficiency, spatial distribution and influencing factors in Yangtze River Economic Belt. PLoS ONE 2023, 18, e0283964. [Google Scholar] [CrossRef] [PubMed]
- Du, J.L.; Liu, Y.; Diao, W.X. Assessing Regional Differences in Green Innovation Efficiency of Industrial Enterprises in China. Int. J. Environ. Res. Public Health 2019, 16, 940. [Google Scholar] [CrossRef]
- Zhao, X.; Shang, Y.; Song, M. Industrial structure distortion and urban ecological efficiency from the perspective of green entrepreneurial ecosystems. Socio-Econ. Plan. Sci. 2020, 72, 100757. [Google Scholar] [CrossRef]
- Huber, J. Towards industrial ecology: Sustainable development as a concept of ecological modernization. J. Environ. Policy Plan. 2000, 2, 269–285. [Google Scholar] [CrossRef]
- Gopalakrishnan, V.; Bakshi, B.R.; Ziv, G. Assessing the capacity of local ecosystems to meet industrial demand for ecosystem services. AIChE J. 2016, 62, 3319–3333. [Google Scholar] [CrossRef]
- Liao, J.; Yu, C.; Feng, Z.; Zhao, H.; Wu, K.; Ma, X. Spatial differentiation characteristics and driving factors of agricultural eco-efficiency in Chinese provinces from the perspective of ecosystem services. J. Clean. Prod. 2021, 288, 125466. [Google Scholar] [CrossRef]
- Liu, C.; Côté, R. A framework for integrating ecosystem services into China’s circular economy: The case of eco-industrial parks. Sustainability 2017, 9, 1510. [Google Scholar] [CrossRef]
- Thollander, P.; Palm, J. Industrial energy management decision making for improved energy efficiency—Strategic system perspectives and situated action in combination. Energies 2015, 8, 5694–5703. [Google Scholar] [CrossRef]
- Morvay, Z.; Gvozdenac, D. Applied Industrial Energy and Environmental Management; John Wiley & Sons: Hoboken, NJ, USA, 2008. [Google Scholar]
- Hoque, A.; Clarke, A. Greening of industries in Bangladesh: Pollution prevention practices. J. Clean. Prod. 2013, 51, 47–56. [Google Scholar] [CrossRef]
- Wang, C.; Wang, F.; Wang, Q.; Yang, D.; Li, L.; Zhang, X. Preparing for Myanmar’s environment-friendly reform. Environ. Sci. Policy 2013, 25, 229–233. [Google Scholar] [CrossRef]
- Rennings, K.; Rammer, C. Increasing Energy and Resource Efficiency through Innovation—An Explorative Analysis Using Innovation Survey Data; ZEW-Centre for European Economic Research Discussion: Mannheim, Germany, 2009. [Google Scholar]
- Rennings, K. Redefining innovation—Eco-innovation research and the contribution from ecological economics. Ecol. Econ. 2000, 32, 319–332. [Google Scholar] [CrossRef]
- Moore, S.B.; Manring, S.L. Strategy development in small and medium sized enterprises for sustainability and increased value creation. J. Clean. Prod. 2009, 17, 276–282. [Google Scholar] [CrossRef]
- Rizos, V.; Behrens, A.; Van der Gaast, W.; Hofman, E.; Ioannou, A.; Kafyeke, T.; Flamos, A.; Rinaldi, R.; Papadelis, S.; Hirschnitz-Garbers, M. Implementation of circular economy business models by small and medium-sized enterprises (SMEs): Barriers and enablers. Sustainability 2016, 8, 1212. [Google Scholar] [CrossRef]
- Albrizio, S.; Kozluk, T.; Zipperer, V. Environmental policies and productivity growth: Evidence across industries and firms. J. Environ. Econ. Manag. 2017, 81, 209–226. [Google Scholar] [CrossRef]
- Luo, Y.; Lu, Z.; Muhammad, S.; Yang, H. The heterogeneous effects of different technological innovations on eco-efficiency: Evidence from 30 China’s provinces. Ecol. Indic. 2021, 127, 107802. [Google Scholar] [CrossRef]
- Wu, Z.; Wang, Y. Does Heterogeneous Environmental Regulation Induce Regional Green Economic Growth? Evidence from China. Sustainability 2023, 15, 9143. [Google Scholar] [CrossRef]
- Ren, S.; Li, X.; Yuan, B.; Li, D.; Chen, X. The effects of three types of environmental regulation on eco-efficiency: A cross-region analysis in China. J. Clean. Prod. 2018, 173, 245–255. [Google Scholar] [CrossRef]
- Xie, R.-H.; Yuan, Y.-J.; Huang, J.-J. Different types of environmental regulations and heterogeneous influence on “green” productivity: Evidence from China. Ecol. Econ. 2017, 132, 104–112. [Google Scholar] [CrossRef]
- Tang, S.; Shang, J.; Chen, X.M. The Impact of Environmental Regulation on Agricultural Ecological Efficiency from the Perspective of High-Quality Agricultural Development: Based on Evidence from 30 Provinces in China. Mob. Inf. Syst. 2022, 2022, 1872139. [Google Scholar] [CrossRef]
- Rassier, D.G.; Earnhart, D. Does the porter hypothesis explain expected future financial performance? The effect of clean water regulation on chemical manufacturing firms. Environ. Resour. Econ. 2010, 45, 353–377. [Google Scholar] [CrossRef]
- Wagner, M. Empirical influence of environmental management on innovation: Evidence from Europe. Ecol. Econ. 2008, 66, 392–402. [Google Scholar] [CrossRef]
- Wang, G.; Salman, M. The impacts of heterogeneous environmental regulations on green economic efficiency from the perspective of urbanization: A dynamic threshold analysis. Environ. Dev. Sustain. 2023, 25, 9485–9516. [Google Scholar] [CrossRef]
- Ye, F.; You, R.; Lu, H.; Han, S.; Yang, L.-H. The Classification Impact of Different Types of Environmental Regulation on Chinese Provincial Carbon Emission Efficiency. Sustainability 2023, 15, 12092. [Google Scholar] [CrossRef]
- Cui, S.; Wang, Y.; Zhu, Z.; Zhu, Z.; Yu, C. The impact of heterogeneous environmental regulation on the energy eco-efficiency of China’s energy-mineral cities. J. Clean. Prod. 2022, 350, 131553. [Google Scholar] [CrossRef]
- Liu, Y.; Zhu, J.; Li, E.Y.; Meng, Z.; Song, Y. Environmental regulation, green technological innovation, and eco-efficiency: The case of Yangtze river economic belt in China. Technol. Forecast. Soc. Change 2020, 155, 119993. [Google Scholar] [CrossRef]
- Li, M.; Gao, X. Implementation of enterprises’ green technology innovation under market-based environmental regulation: An evolutionary game approach. J. Environ. Manag. 2022, 308, 114570. [Google Scholar] [CrossRef] [PubMed]
- Zhang, Y.; Hu, H.; Zhu, G.; You, D. The impact of environmental regulation on enterprises’ green innovation under the constraint of external financing: Evidence from China’s industrial firms. Environ. Sci. Pollut. Res. 2023, 30, 42943–42964. [Google Scholar] [CrossRef]
- Shrivastava, P. Environmental technologies and competitive advantage. Strateg. Manag. J. 1995, 16, 183–200. [Google Scholar] [CrossRef]
- Brunnermeier, S.B.; Cohen, M.A. Determinants of environmental innovation in US manufacturing industries. J. Environ. Econ. Manag. 2003, 45, 278–293. [Google Scholar] [CrossRef]
- Sharma, S. Managerial Interpretations and Organizational Context as Predictors of Corporate Choice of Environmental Strategy. Acad. Manag. J. 2000, 43, 681–697. [Google Scholar] [CrossRef]
- Doda, B.; Gennaioli, C.; Gouldson, A.; Grover, D.; Sullivan, R. Are corporate carbon management practices reducing corporate carbon emissions? Corp. Soc. Responsib. Environ. Manag. 2016, 23, 257–270. [Google Scholar] [CrossRef]
- Dan, E.; Shen, J.; Guo, Y. Corporate Sustainable Growth, Carbon Performance, and Voluntary Carbon Information Disclosure: New Panel Data Evidence for Chinese Listed Companies. Sustainability 2023, 15, 4612. [Google Scholar] [CrossRef]
- Zhou, K.; Zheng, X.; Long, Y.; Wu, J.; Li, J. Environmental regulation, rural residents’ health investment, and agricultural eco-efficiency: An empirical analysis based on 31 Chinese provinces. Int. J. Environ. Res. Public Health 2022, 19, 3125. [Google Scholar] [CrossRef] [PubMed]
- Huang, M.; Ding, R.J.; Xin, C.H. Impact of Technological Innovation and Industrial-Structure Upgrades on Ecological Efficiency in China in Terms of Spatial Spillover and the Threshold Effect. Integr. Environ. Assess. Manag. 2021, 17, 852–865. [Google Scholar] [CrossRef] [PubMed]
- Safitri, V.A.; Sari, L.; Gamayuni, R.R. Research and Development (R&D), Environmental Investments, to Eco-Efficiency, and Firm Value. Indones. J. Account. Res. 2020, 22, 377–396. [Google Scholar]
- Wang, S.J.; Hua, G.H.; Yang, L.Z. Coordinated development of economic growth and ecological efficiency in Jiangsu, China. Environ. Sci. Pollut. Res. 2020, 27, 36664–36676. [Google Scholar] [CrossRef]
- Song, C.; Yin, G.; Lu, Z.; Chen, Y. Industrial ecological efficiency of cities in the Yellow River Basin in the background of China’s economic transformation: Spatial-temporal characteristics and influencing factors. Environ. Sci. Pollut. Res. 2022, 29, 4334–4349. [Google Scholar] [CrossRef]
- Liu, Y.; Tian, L.; Wang, Z.Y.; He, P.Y.; Li, M.; Wang, N.; Yu, Y. Spatial-Temporal Evolution of Interprovincial Ecological Efficiency and Its Determinants in China: A Super-Efficiency SBM Model Approach. Sustainability 2023, 15, 13864. [Google Scholar] [CrossRef]
- Huppes, G.; Ishikawa, M. A framework for quantified eco-efficiency analysis. J. Ind. Ecol. 2005, 9, 25–41. [Google Scholar] [CrossRef]
- Feng, T.; Du, H.B.; Lin, Z.G.; Zuo, J. Spatial spillover effects of environmental regulations on air pollution: Evidence from urban agglomerations in China. J. Environ. Manag. 2020, 272, 110998. [Google Scholar] [CrossRef] [PubMed]
- Yu, Y.T.; Huang, J.H.; Zhang, N. Industrial eco-efficiency, regional disparity, and spatial convergence of China’s regions. J. Clean. Prod. 2018, 204, 872–887. [Google Scholar] [CrossRef]
- Blackman, A.; Li, Z.Y.; Liu, A.T.A. Efficacy of Command-and-Control and Market-Based Environmental Regulation in Developing Countries. In Annual Review of Resource Economics; Annual Review of Resource Economics; Rausser, G.C., Zilberman, D., Eds.; Annual Reviews: Palo Alto, CA, USA, 2018; Volume 10, pp. 381–404. [Google Scholar]
- Zhang, J.X.; Sun, X.R.; Li, H.; Philbin, S.P.; Ballesteros-Pérez, P.; Skitmore, M.; Lin, H. Investigating the role of emissions trading policy to reduce emissions and improve the efficiency of industrial green innovation. J. Manag. Sci. Eng. 2021, 6, 377–392. [Google Scholar] [CrossRef]
- Hahn, R. Economic Prescriptions for Environmental Problems: How the Patient Followed the Doctor’s Orders. J. Econ. Perspect. 1989, 3, 95–114. [Google Scholar] [CrossRef]
- Montero, J.P. Permits, standards, and technology innovation. J. Environ. Econ. Manag. 2002, 44, 23–44. [Google Scholar] [CrossRef]
- Milliman, S.R.; Prince, R. Firm Incentives to Promote Technological-Change in Pollution-Control. J. Environ. Econ. Manag. 1989, 17, 247–265. [Google Scholar] [CrossRef]
- Zhang, L.; Du, X.; Chiu, Y.-h.; Pang, Q.; Yu, Q. Measuring industrial operational efficiency and factor analysis: A dynamic series-parallel recycling DEA model. Sci. Total Environ. 2022, 851, 158084. [Google Scholar] [CrossRef] [PubMed]
- Zhou, B.Y.; Sun, C.X.; Yi, H.T. Solid Waste Disposal in Chinese Cities: An Evaluation of Local Performance. Sustainability 2017, 9, 2234. [Google Scholar] [CrossRef]
- Chen, W.; Gao, L.; Xu, X.; Zeng, Y. Does stricter Command-and-Control environmental regulation promote total factor productivity? Evidence from China’s industrial enterprises. Discret. Dyn. Nat. Soc. 2022, 2022, 2197260. [Google Scholar] [CrossRef]
- Lee, S.; Singal, M.; Kang, K.H. The corporate social responsibility–financial performance link in the U.S. restaurant industry: Do economic conditions matter? Int. J. Hosp. Manag. 2013, 32, 2–10. [Google Scholar] [CrossRef]
- Brouwer, A.E.; Mariotti, I.; van Ommeren, J.N. The firm relocation decision: An empirical investigation. Ann. Reg. Sci. 2004, 38, 335–347. [Google Scholar] [CrossRef]
- Wang, H.; Wheeler, D. Financial incentives and endogenous enforcement in China’s pollution levy system. J. Environ. Econ. Manag. 2005, 49, 174–196. [Google Scholar] [CrossRef]
- Wang, Y.; Hu, H.; Dai, W.; Burns, K. Evaluation of industrial green development and industrial green competitiveness: Evidence from Chinese urban agglomerations. Ecol. Indic. 2021, 124, 107371. [Google Scholar] [CrossRef]
- Lin, T.; Wang, L.; Wu, J. Environmental Regulations, Green Technology Innovation, and High-Quality Economic Development in China: Application of Mediation and Threshold Effects. Sustainability 2022, 14, 6882. [Google Scholar] [CrossRef]
- Cole, M.A.; Elliott, R.J. Determining the trade–environment composition effect: The role of capital, labor and environmental regulations. J. Environ. Econ. Manag. 2003, 46, 363–383. [Google Scholar] [CrossRef]
- Dean, J.M. Does trade liberalization harm the environment? A new test. Can. J. Econ. Rev. Can. D’économique 2002, 35, 819–842. [Google Scholar] [CrossRef]
- Frankel, J.A.; Rose, A.K. Is trade good or bad for the environment? Sorting out the causality. Rev. Econ. Stat. 2005, 87, 85–91. [Google Scholar] [CrossRef]
- Managi, S.; Hibiki, A.; Tsurumi, T. Does trade openness improve environmental quality? J. Environ. Econ. Manag. 2009, 58, 346–363. [Google Scholar] [CrossRef]
- Veugelers, R. Internal R & D expenditures and external technology sourcing. Res. Policy 1997, 26, 303–315. [Google Scholar]
- Tsai, P.J.; Lin, M.L.; Chu, C.M.; Perng, C.H. Spatial autocorrelation analysis of health care hotspots in Taiwan in 2006. BMC Public Health 2009, 9, 464. [Google Scholar] [CrossRef] [PubMed]
- Chen, X.; Chang, C.P. Fiscal decentralization, environmental regulation, and pollution: A spatial investigation. Environ. Sci. Pollut. Res. 2020, 27, 31946–31968. [Google Scholar] [CrossRef] [PubMed]
- Wu, H.T.; Li, Y.W.; Hao, Y.; Ren, S.Y.; Zhang, P.F. Environmental decentralization, local government competition, and regional green development: Evidence from China. Sci. Total Environ. 2020, 708, 135085. [Google Scholar] [CrossRef] [PubMed]
- Chen, D.; Hu, W.; Li, Y.; Zhang, C.; Lu, X.; Cheng, H. Exploring the temporal and spatial effects of city size on regional economic integration: Evidence from the Yangtze River Economic Belt in China. Land Use Policy 2023, 132, 106770. [Google Scholar] [CrossRef]
- O’brien, R.M. A caution regarding rules of thumb for variance inflation factors. Qual. Quant. 2007, 41, 673–690. [Google Scholar] [CrossRef]
- Sulaiman, M.S.; Abood, M.M.; Sinnakaudan, S.K.; Shukor, M.R.; You, G.Q.; Chung, X.Z. Assessing and solving multicollinearity in sediment transport prediction models using principal component analysis. ISH J. Hydraul. Eng. 2021, 27, 343–353. [Google Scholar] [CrossRef]
- Sheng, H.; Dai, X.; He, C. Gone with the epidemic? The spatial effects of the Covid-19 on global investment network. Appl. Geogr. 2023, 156, 102978. [Google Scholar] [CrossRef]
Disclaimer/Publisher’s Note: The statements, opinions and data contained in all publications are solely those of the individual author(s) and contributor(s) and not of MDPI and/or the editor(s). MDPI and/or the editor(s) disclaim responsibility for any injury to people or property resulting from any ideas, methods, instructions or products referred to in the content. |
© 2024 by the authors. Licensee MDPI, Basel, Switzerland. This article is an open access article distributed under the terms and conditions of the Creative Commons Attribution (CC BY) license (https://creativecommons.org/licenses/by/4.0/).










