Abstract
Zinc extraction from oxide ore has been paid more and more attention to due to the exhaustion of zinc sulfide ore resources. In this work, the volatilization kinetics of Zn from the flotation products of low-grade lead–zinc oxide ore during carbothermal reduction in the temperature range of 900–1300 °C were investigated. The phase transformation in briquettes during the reduction process was investigated by XRD and EPMA. The results showed that the transformation of ZnS by CaO may begin within the temperature range of 900–1050 °C, with the main occurrence observed in the range of 1050–1250 °C. The kinetics behavior of Zn volatilization was associated with the phase transformation. The volatilization of Zn was controlled by the interfacial chemical reaction within 900–1150 °C. As the reaction proceeded, the generation of the product layers (CaS, FeS and new slag phase) impeded the internal diffusion of Zn, CO and CO2. At this time, internal diffusion served as the rate-controlling step for Zn volatilization in the range of 1150–1300 °C. Hence, a staged kinetics model of Zn volatilization during carbothermal reduction in the form of carbon-bearing briquettes was established, and the apparent rate constants (k(T)) and activation energies (Ea) were obtained. This work provides a scientific basis for the flotation products treatment by carbothermal reduction and is of great significance in improving the sustainability of resources in the zinc smelting industry.
1. Introduction
More and more attention is being paid to Zn extraction from zinc oxide minerals because of the exhaustion of zinc sulfide mineral resources [1,2,3,4]. Lanping Pb-Zn oxide ore in Yunnan province, China is a very large-scale Pb-Zn deposit [5]. After years of development and utilization, about 40 million tons of Pb- and Zn-containing tailings have been produced. The content sum of lead and zinc in the tailings is low (about 7%), but the total metal amount of lead and zinc is more than 2.8 million tons. The comprehensive utilization of the tailings is of great significance to the sustainable development of the lead and zinc smelting industry. However, the economic feasibility of direct treatment by pyrometallurgical or hydrometallurgical process has been poor because the concentration of Pb + Zn is low. A variety of minerals exist in the tailings, such as hemimorphite, smithsonite, sphalerite, cerussite, galena, quartz, pyrite, muscovite, troilite, calcite, aluminosilicate and gypsum [6,7]. Meanwhile, the tailings have the characteristics of polymetallic intergrowth, with one metal existing in the form of multiple phases [8]. The tailings have not been treated for several decades due to their low content of Pb + Zn and the complexities of ore properties. The presence of tailings in the vicinity of mines would pose a potential threat to the environment.
Lead and zinc can only be extracted economically after tailings flotation. However, during the flotation process, the covering of quartz on the surface of lead and zinc-containing minerals in the tailings result in poor hydrophobicity and floatability [9]. Desliming before flotation is necessary for tailings flotation [10,11]. Much research on the flotation of tailings has been carried out, and some important advances have been made in the field [4,12]. Semi-industrial flotation experiments of the tailings have been performed by Yunnan Jinding Zinc Industry Co., Ltd. (YJZI) (Nujiang, China) with a 200 t/d scale, and flotation products containing Pb and Zn have been produced. The content of Zn, Pb, Fe, S, CaO, SiO2, MgO and Al2O3 was 25–30%, 3–4%, 5–7%, 9–11%, 10–12%, 7–11%, 0.2–0.3% and 1.0–1.5%, respectively (data not reported). The flotation products were characterized by high contents of silicon, sulfur, calcium and iron. Zinc in the form of oxides (such as hemimorphite, smithsonite and so on) accounted for about 70% of the total zinc, and the remaining zinc was in the form of sulfides. Conversely, about 70% of lead was in the form of sulfide, and 30% of lead existed as oxides (such as cerussite and anglesite). The flotation products were actually an oxygen-sulfur mixed Pb-Zn ore.
Pb and Zn can be extracted from the flotation products by pyrometallurgical and hydrometallurgical process. Hydrometallurgy processes, such as acid leaching [13,14,15] and ammonia leaching [4,16,17], are commonly employed to extract zinc. However, the leaching of ZnS, Zn2SiO4 or ZnFe2O4 is very difficult under no oxidation and/or low acidity [8,17]. Pyrometallurgical processes are used to separate lead and zinc from gangue components to yield zinc oxide dust. Traditional pyrometallurgical methods, such as rotary kiln (the Waelz method) and fuming furnace, had the problems of high energy consumption and low quality of dust [1,18]. Therefore, it was necessary to develop an efficient and low-cost pyrometallurgy treatment process. In the pyrometallurgical process, metal sulfides (ZnS or PbS) cannot be reduced by carbon or carbon monoxide to yield metals, but zinc sulfide can be transformed and reduced to zinc vapor in the presence of CaO under high temperatures. CaO was used as a transformation agent (CaO + MeS = CaS + MeO), while carbon was employed as a reducing agent [19]. At present, the recovery of lead and zinc from the Lanping flotation products by carbothermal reduction has not been reported.
Considering the characteristics of large amounts of in situ calcium oxide in flotation products, a carbothermic reduction method based on metal sulfides being transformed by calcium oxide to oxides has been proposed. Our previous research found that the volatilization rates of lead and zinc reached, respectively, above 98% and 97% from the Lanping flotation products using the carbothermal reduction method, while the volatilization rate of sulfur was 5–10% (data not reported). However, the mechanism and kinetics of the reduction process are still unclear. Therefore, in this work, the volatilization kinetics of Zn from the flotation products by carbothermic reduction were examined. Specifically, we examined the kinetics of pure minerals (smithsonite and willemite) and actual minerals found in the flotation products of Lanping tailings. In addition, we explored the phase transformation and mechanism of the reduction process.
2. Materials and Methods
2.1. Materials and Characterization
The experimental sample (flotation products) was a product of a semi-industrial flotation test, and its particle size and moisture content were less than 74 μm and 24.22%, respectively. The sample was dried to constant weight at 75 °C. The chemical components of the flotation products, as well as the Zn and Pb phase distribution are listed in Table 1 and Table 2, respectively.
Table 1.
Main components of the flotation products.
Table 2.
Zn and Pb phases in the flotation products.
Table 1 shows that the content sum of Zn and Pb in the flotation products is higher at 29.35%. Meanwhile, the sample is characterized by high contents of S (9.97%), SiO2 (7.60%) and CaO (11.10%). As shown in Table 2, the sample is actually an oxide–sulfide (O–S) mixed ore, rather than a pure lead–zinc oxide ore. The proportion of zinc in the form of oxides and sulfide is 67.52% and 32.14%, respectively. The content ratio of ZnO (zinc oxides) to ZnS (zinc sulfide) is about 2.1. On the contrary, lead exists mainly in the form of sulfides, which account for 68.95% of the total lead. The ratio of PbO (lead oxides) and PbS (lead sulfide) content is nearly 0.42. Figure 1 shows that the main phases include sphalerite, smithsonite, hemimorphite, calcite and quartz. Lead phases were not detected by XRD because the content of lead was low.
Figure 1.
XRD pattern of the flotation products.
The pure minerals (smithsonite and willemite) were provided by YJZI, and its purities were above 90%. The Zn content in smithsonite and willemite was 51.33% and 48.22%, respectively. A thermal coal was used as a reductant because its sources were convenient for YJZI. The reductant was ground to below 74 μm. Table 3 presents the industrial analyses and ash compositions of the reductant.
Table 3.
Industrial analyses and ash compositions of reductant.
2.2. Equipment and Procedure
Figure 2 presents the experimental process flow. Smithsonite, willemite and thermal coal were ground to less than 74 μm, respectively, using a planetary ball mill (QM-2SP12, Nanjing Chishun technology development Co., Ltd., Nanjing, China). The powders were mixed with reductant and binder (added at a rate of 3% of experimental samples), respectively. The binder, composed mainly of C, H and O (with the sum of these three elements exceeding 90%), was provided by a company using the rotary hearth furnace (RHF) process. After 12% water (based on the mixture weight) was added, the wet base mixture was then pressed into cylindrical briquettes in a briquetting machine under a 7 MPa pressure condition. The length of the cylindrical briquettes, with a diameter of 12 mm, was controlled within the range of 8–12 mm. The wet briquettes were dried in a muffle furnace at 300 °C for 60 min. The carbothermal reduction experiments were performed in a tube furnace (as shown in Figure 3), which were carried out one by one, rather than through intermittent sampling in one experiment. The dried briquettes were put into a corundum crucible, then the corundum crucible was placed into the heating area of the tube furnace. Air was bubbled into the alundum tube by gas cylinders and flowmeters. The flow of air was controlled at 2 L/min. After the temperature reached the desired value, the reaction started, and the timing began. After a certain period of carbothermal reduction reaction, the heating was stopped, and the corundum crucible was cooled to about 25 °C by introducing N2. The reduced briquettes were taken out for physical and chemical analysis.
Figure 2.
Experimental process flow.
Figure 3.
Experimental apparatus for carbothermal reduction.
2.3. Analytical Method
The elemental content in solid samples was determined by inductively coupled plasma emission spectrometry (ICP-MS, ELAN DRC Ⅱ). XRD (Empyrean, Panalytical, the Netherlands) was employed to analyze the mineral composition in the solid samples within the 2θ range of 10–90°, with a step size of 0.02° s−1 at a 40-kV and 40-mA, using a Cu Kα radiation source. The microtopography of the reduced briquettes was observed by scanning electron microscopy (TESCAN MIRA LMS). The zinc and lead phases in the flotation products were analyzed by a chemical phase analysis method [20].
The metal volatilization rate () was calculated by Equation (1) [21]:
where represents the volatilization rate of Zn, M0 is the weight of the briquettes before reduction, M1 represents the weight of the briquettes after reduction, w0 represents the content of Zn in the briquettes before reduction, and w1 represents the content of Zn in the briquettes after reduction.
3. Results and Discussion
3.1. Reduction Volatilization of Zinc
3.1.1. Effect of Reaction Temperature
In addition to sphalerite (ZnS), the main zinc minerals in the flotation products are smithsonite (ZnCO3) and hemimorphite (Zn4Si2O7(OH)2(H2O)) (Figure 1). In order to understand the volatilization of Zn, it is necessary to investigate the zinc volatilization behavior from smithsonite, willemite and the flotation products. The effect of reaction temperature on Zn volatilization was studied at a temperature range of 900–1300 °C, with a C/Zn molar ratio of 2. The thermal coal additions were 20%, 38% and 35.6% for smithsonite, willemite and flotation products, respectively, with one briquette layer, as shown in Figure 4.
Figure 4.
Effects of reaction temperature on the Zn volatilization rate ((a) smithsonite, (b) willemite, (c) flotation products).
The volatilization rates of Zn from the smithsonite, willemite and flotation products increased with an increase in reaction temperature in the range of 900–1300 °C. The volatilization rates of Zn were very low at a temperature less than 1000 °C. However, when the temperature was above 1050 °C, the volatilization rate of Zn increased rapidly. Zn was volatilized completely at 1250 °C, after 30 min, for the smithsonite, willemite and flotation products. With the end of the reaction, the increase in volatilization rate gradually leveled off. However, it should be noted that the volatilization rates of Zn from the pure minerals (smithsonite and willemite) were higher than those from the flotation products at below 1050 °C. On the contrary, when the reaction temperature reached 1250 °C, the Zn volatilization rate from the flotation products was higher than that from the pure minerals. For example, the volatilization rates of Zn from the smithsonite, willemite and flotation products increased from 35.75% to 96.09%, from 20.89% to 96.71% and from 44.15% to 99.71%, respectively, at 1250 °C, with an increase in reaction time within 5–30 min. For the flotation products, Zn volatilization rate did not change significantly with an increase in temperature (from 1250 to 1300 °C). Similarly, Gu et al. [22] found that the Zn volatilization rate from the lead smelting slag reached about 97% at 1200 °C for 30 min. In general, the Zn volatilization rate increased with an increase in reaction temperature. A higher volatilization rate of Zn can be reached because higher temperatures can promote the volatilization of heavy metals [23,24].
3.1.2. Effect of Number of Briquette Layers
The effect of briquettes layers on Zn volatilization from the flotation products was studied at 1200 °C and 1250 °C, respectively with a C/Zn molar ratio of 2 (with a thermal coal addition of 20%) for 30 min, as shown in Figure 5. At 1200 °C, the number of briquette layers had a certain effect on the Zn volatilization rate. The Zn volatilization rates decreased gradually from 90.57% to 85.11% as the number of briquette layers increased from one to three. The main reason may be attributed to the distribution of temperature field in the reaction reactor. The first layer of briquettes was put at the bottom of the corundum crucible, followed by the second layer and the third layer. The first layer of briquettes had the highest temperature, the temperature of the third layer of briquettes being the lowest. In order to further confirm this perspective, the effect of briquette layers on Zn volatilization was investigated at 1250 °C. The results show that the briquette layers had little effect on the volatilization rate of zinc. Furthermore, these results show that the volatilization rate of Zn depends on the reaction temperature. The number of briquette layers was not the key factor in determining the high efficiency volatilization of zinc.
Figure 5.
Effect of number of briquette layers on the volatilization rate of Zn.
3.2. Phase Transformation during Reduction Process
The phase transformation in the briquettes during the reduction process is quite necessary, since it facilitates the understanding of the carbothermal reduction process. The XRD analysis of the samples obtained at different reaction temperatures with a reaction time of 30 min is shown in Figure 6. At 900 °C, the main phases in the briquettes were ZnS, ZnO, CaCO3, SiO2 and Zn2SiO4, suggesting that CaCO3 was not decomposed to produce CaO. However, the diffraction peak of CaCO3 disappeared when the temperature was raised from 900 to 1050 °C, and the CaS phase appeared correspondingly. This indicates that the transformation of metal sulfides (MeO + CaO = Me + CaS) may begin within the temperature range of 900–1050 °C. As the temperature increased from 1050 to 1250 °C, ZnS was transformed by CaO into ZnO, which was further reduced by C or CO to form zinc vapor, which volatilized into the gas phase. The peak intensity of CaS strengthened, indicating that the transformation of ZnS by CaO mainly occurred within the temperature range of 1050–1250 °C. When the temperature reached 1300 °C, ZnS and ZnO disappeared, indicating that zinc was completely volatilized. Metallic Pb was found in the briquettes at 1050 °C. With a rise in the reduction temperature, the metallic Pb would volatilize into the gas phase. It should be noted that the SiO2 phase disappeared at 1050 °C and formed a new slag phase, Ca2(Al(AlSi)O7), which was decomposed and recombined to form Ca(Mg,Al)(Si,Al)2O6 at 1250 °C. The phase was stable and was not decomposed at 1300 °C. The reduction of Zn2SiO4 with carbon started within the temperature range of 900–1050 °C because the diffraction peak of Zn2SiO4 disappeared at 1050 °C. Similarly, Lv et al. [25] and Zuo et al. [26] posited that the presence of CaO can promote the reduction of silicate, such as Fe2SiO4 and Zn2SiO4, decreasing the initial reaction temperature of Zn2SiO4 with carbon by about 150 °C.
Figure 6.
XRD patterns of the solid samples obtained at different reduction temperatures.
To further study the phase transformation during the reduction process, the reduced briquettes obtained at different temperatures were analyzed by EPMA, as shown in Figure 7. The distribution of Zn and S in the reduced briquettes was closely related at 900 °C; that is, Zn in the reduced briquettes mainly existed in the form of ZnS. However, the distribution correlation between Ca and S was low at this temperature, indicating that CaS had not yet formed. As the temperature was raised from 1050 to 1300 °C, the distribution density of Zn and Pb decreased gradually, and the distribution correlation of Ca and S increased correspondingly. In addition, the distribution correlation of Si, Al and Mg increased gradually, and globular particles were formed at 1300 °C. The findings of this study are consistent with the XRD analysis.
Figure 7.
EMPA (electron microprobe analysis) of samples reduced at different temperatures.
3.3. Kinetics of Zn Volatilization
3.3.1. Kinetics Models
The volatilization kinetics equation of Zn can be described by Equation (2), under isothermal conditions [22]:
where α represents the Zn volatilization rate (%), t represents the reaction time (min), T represents the reaction temperature (K), f(α) represents the kinetics equation, and k(T) represents the apparent kinetics rate constant, s−1. The Arrhenius equation can be expressed Equations (3) and (4):
where R represents the gas constant, A represents the pre-exponential factor, and Ea represents the activation energy. A and Ea can be calculated according to the slope and intercept obtained from the linear regression of lnk(T) versus 1/T in the Arrhenius equation (Equation (4)).
The integral expression of Equation (2) is as follows [22]:
where G(α) represents the integral expression of the kinetics model. Combining Equations (2)–(5), k(T) can be calculated from the slope of the fitting line (G(α) versus t) at different temperatures.
The isothermal–kinetic models of the fluid–solid reaction used in this work are shown in Table 4 [27,28,29,30,31]. To confirm the rate-controlling mechanism of Zn volatilization, the effect of reaction time on the Zn volatilization rate was carried out from 900 to 1300 °C (Figure 4). The results indicated that the Zn volatilization rate increased with an increase in reaction time and temperature. Generally, when the temperature exceeds 1100 °C, Zn volatilization is not controlled by the carbon gasification and the interfacial chemical reaction [32]. During the Zn volatilization process, the following steps occurred in sequence: (1) ZnO reaction to yield Zn vapor; (2) diffusion of the Zn vapor from the interior of briquettes to the surface; (3) diffusion of the Zn vapor from the surface of the briquettes into the gas phase. Hence, the Zn volatilization behavior can be described by a shrinking-core model with an unchanging size.
Table 4.
Integral expressions for kinetics models.
When the interfacial chemical reaction was a rate-controlling step in the volatilization behavior of Zn, the kinetics model G(α) for Zn volatilization was described as follows [29,30]:
Combining Equations (5) and (6), the model expression was described as [29,30]:
When the internal diffusion of the Zn vapor was a rate-controlling step of Zn volatilization, the three-dimensional diffusion (Ginstling–Brounshtein) control model illustrated in Table 4 can be used. The kinetics model G(α) of zinc volatilization was as follows [27,28,29,30,32]:
Combining Equations (5) and (8), the kinetics equation was described as [27,28,29,30,32]:
Consequently, the Zn volatilization rate was fitted according to Equations (7) and (9), and then the k(T) was calculated according to the slope of a linear regression of G(α) versus t.
3.3.2. Kinetic Analysis
For the smithsonite, the volatilization rates data of Zn in Figure 4a were fitted by Equations (7) and (9), respectively, as presented in Figure 8. There was a good linear relationship between [1 − (1 − α)1/3] and t in the range of 950–1050 °C (Figure 8a). The linearly dependent coefficients (R2) were higher (>0.95). However, in the range of 1050–1250 °C, the linear relationship between [1 − 2/3α − (1 − α)2/3] and t was higher than that of [1 − (1 − α)1/3] and t (Figure 8b). Thus, staged fitting was used to analyze the volatilization behavior of Zn. The volatilization of Zn was controlled by the interfacial chemical reaction within 950–1050 °C and by the internal diffusion within 1050–1250 °C. The apparent rate constants k(T) was calculated according to the slope of a linear regression of [1 − (1 − α)1/3] versus t or [1 − 2/3α − (1 − α)2/3] versus t. The k(T) (for the [1 − (1 − α)1/3]) for the volatilization of Zn at 950, 1000 and 1050 °C were 5.0 × 10−4, 2.1 × 10−3 and 6.5 × 10−3, respectively, as shown in Table 5. Additionally, the k(T) (for [1 − 2/3α − (1 − α)2/3]) for the volatilization of Zn at 1050, 1150 and 1250 °C were 2.0 × 10−3, 4.3 × 10−3 and 9.3 × 10−3, respectively. The temperature of 1050 °C may be the temperature point where the rate-controlling step transforms from the interfacial chemical reaction to the diffusion transition for the Zn volatilization. The correlation coefficients for all the fittings within the temperature range of 950–1050 °C were >0.96 for the interfacial chemical reaction model, while they were >0.98 within the temperature range of 1050–1250 °C for the internal diffusion model. That is, the kinetics data can be fitted by the interfacial chemical reaction within the temperature range of 950–1050 °C (Equation (9)), and the Ginstling–Brounshtein diffusion model in the range of 1050–1250 °C (Equation (7)), respectively. Therefore, the kinetics model used in this work was reasonable. The apparent activation energy Ea was calculated from the slope of the lnk(T) versus 1/T straight line, and were 345.5 kJ/mol for the interfacial chemical reaction and 128.5 kJ/mol for the internal diffusion, respectively.

Figure 8.
Kinetics fitting of the Zn volatilization from smithsonite: (a) plot of 1 − (1 − α)1/3 versus reduction time; (b) plot of 1 − 2/3α − (1 − α)2/3 versus reduction time; (c) plot of ln(k) versus 1/T in the range from 950 to 1050 °C; (d) plot of ln(k) versus 1/T in the range from 1050 to 1250 °C.
Table 5.
Linearly dependent coefficient (R2), apparent rate constants (k) and apparent activation energies (Ea) for smithsonite, willemite and flotation products.
For the willemite, similar to smithsonite, the volatilization rates of Zn did not present a good linear regression within the temperature range of 950–1250 °C when the single reaction model (1 − 2/3α − (1 − α)2/3 or 1 − (1 − α)1/ 3) was adopted (Figure 9a,b). A good linear relationship of [1 − (1 − α)1/3] versus t at temperatures from 950 to 1050 °C was observed. The linearly dependent coefficients (R2) were above 0.98. In the range of 1050–1250 °C, the internal diffusion model was more suitable for the volatilization of Zn than the interfacial chemical reaction model because the R2 obtained from the internal diffusion model was higher than the interfacial chemical reaction. The linearly dependent coefficients (R2) were >0.97 within the temperature range of 1050–1250 °C. Therefore, the rate-controlling step of volatilization of Zn was the interfacial chemical reaction within the temperature range of 950–1050 °C and changed to internal diffusion in the range of 1050–1250 °C. The apparent rate constants for the interfacial chemical reaction at 950, 1000 and 1050 °C were 4.0 × 10−4, 2.1 × 10−3 and 4.8 × 10−3, respectively. Additionally, the k(T) (for [1 − 2/3α − (1 − α)2/3]) for the volatilization of Zn at 1050, 1150 and 1250 °C were 1.1 × 10−3, 3.5 × 10−3 and 9.6 × 10−3, respectively, as presented in Table 5. The apparent activation energies were determined as 333.4 kJ/mol for the interfacial chemical reaction and 181.5 kJ/mol for the internal diffusion.
Figure 9.
Kinetics fitting of the Zn volatilization from willemite: (a) plot of 1 − (1 − α)1/3 against reduction time; (b) plot of 1 − 2/3α − (1 − α)2/3 against reduction time; (c) plot of ln(k) vs. 1/T in the range of 950–1050 °C; (d) plot of ln(k) vs. 1/T in the range of 1050–1250 °C.
Except for sphalerite, the zinc-bearing minerals in the flotation products were mainly smithsonite and willemite (it was formed by the dehydration of hemimorphite). According to Figure 8 and Figure 9, the volatilization of Zn from the pure minerals (smithsonite and willemite) can be divided into two stages: the interfacial chemical reaction within the temperature range of 950–1050 °C and the internal diffusion in the range from 1050 to 1250 °C. Hence, the volatilization of Zn from the flotation products may be similar to that of the pure minerals.
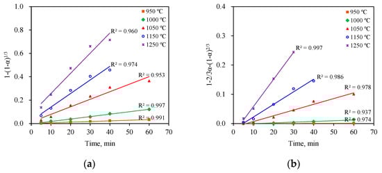
The volatilization rates data of Zn in Figure 4c were fitted using Equations (7) and (9), respectively, as presented in Figure 10. Similar to smithsonite and willemite, at lower temperatures (900–1150 °C), the interfacial chemical reaction was the rate-limiting step for the volatilization of Zn because the linearly dependent coefficients obtained by the interfacial chemical reaction were higher than those of the internal diffusion. The linearly dependent coefficients were above 0.97. However, as the temperature was raised from 1150 to 1300 °C, the volatilization of Zn was controlled by the internal diffusion. The temperature that the rate-controlling step changed was 1150 °C, which was different from that of the pure minerals. This may be related to the transformation reaction of zinc sulfide by CaO. Figure 3 also indicated that the transformation of ZnS by CaO mainly occurred in the range of 1050–1250 °C. Table 5 indicated that the apparent rate constants for the interfacial chemical reaction at 900, 1050 and 1150 °C were 4.7 × 10−5, 2.16 × 10−3 and 5.57 × 10−3, respectively, while the apparent rate constants for the interfacial chemical reaction at 1150, 1250 and 1300 °C were 1.87 × 10−3, 1.18 × 10−2 and 1.51 × 10−2, respectively. The apparent activation energies were determined as 272.9 kJ/mol for the interfacial chemical reaction and 271.1 kJ/mol for the internal diffusion. Gu et al. [22] studied the kinetics mechanism of heavy metal volatilization from the lead smelting slag during the carbothermic reduction process, and found that the apparent activation energy for the Zn volatilization from lead smelting slag was obtained is 199.45 kJ/mol. They posit that the internal diffusion was a rate-controlling step for the volatilization behavior of Zn within the temperature range of 1150–1200 °C. This was consistent with the findings of this work. Similarly, Hong et al. [33] investigated the carbothermal reduction behavior of ZnO by non-isothermal experiments and established the kinetic model. The activation energy was determined as 222 kJ/mol, and the activation energy of carbon gasification reaction was between 200 and 250 kJ/mol. The difference in activation energy may be related to the phase transformation in the reaction system. For the carbothermal reduction of smithsonite, willemite and flotation products, the high apparent activation energy means that the phase transformation and volatilization of zinc need to overcome a high energy barrier, which means that the volatilization of zinc is more difficult and requires a higher reaction temperature. As shown in Table 5, the apparent constants of zinc volatilization rates increased with increasing temperatures, indicating that increased temperatures can promote zinc volatilization.
Figure 10.
Kinetics fitting of the Zn volatilization from flotation products: (a) plot of 1 − (1 − α)1/3 versus reduction time; (b) plot of 1 − 2/3α − (1 − α)2/3 versus reduction time; (c) plot of ln(k) versus 1/T within the temperature range of 900–1150 °C; (d) plot of ln(k) versus 1/T within the temperature range of 1150–1300 °C.
3.4. Volatilization Mechanism of Zn in Briquettes
The reduction of carbon-bearing briquettes must undergo heating and reduction processes regardless of whether the Waelz kiln or rotary hearth furnace process is used. Therefore, the reduction of briquettes was divided into two processes: heating and reduction. The suggested reaction mechanism of Zn from the flotation products in each step is summarized in Figure 11. During the heating process (~900 °C), the smithsonite in the briquettes was decomposed to generate ZnO at about 300 °C, while the crystal water in hemimorphite was removed at about 500 °C, and the structural water in hemimorphite was removed at 700 °C to form zinc silicate [34,35]. However, CaCO3 was not decomposed at below 900 °C (Figure 6). During the reduction process of the briquettes, the mechanism of Zn volatilization was divided into two stages. In stage I, CaCO3 was decomposed into CaO, accompanied by a transformation reaction of ZnS (ZnS + CaO = ZnO + CaS). ZnO was reduced to zinc metal and volatilized as Zn vapor (Figure 4c) because the initial reaction temperature was 955.88 °C for the reduction of ZnO by carbon [36]. The Zn volatilization was controlled by the interfacial chemical reaction. Many studies have shown that the rate of carbothermal reduction is low at lower temperatures in coal-based direct reduction, and the reduction reaction needs a long time to complete [37,38]. In the initial stage of the carbothermal reaction, the close contact between the metal and carbon particles can directly drive the reaction. As the reaction progresses, the particles of these reaction’s products (CaS, FeS and a new slag phase) continue to grow and connect to form a continuous product shell, which covers the periphery of the unreacted ZnO particle core, seriously inhibiting the diffusion of carbon to the product shell. Meanwhile, the contact area between the reducing agent and the ZnO particles is reduced, and it is difficult to continue the solid–solid reaction. As the temperature rises and the reaction proceeds, the carbon gasification is continuously strengthened. Carbon monoxide and carbon dioxide can diffuse into and pass through the porous product layer, continuing to react with the ZnO particles in the briquettes. At this point, when comparing the rate of the gas–solid reduction reaction, the effect of the solid–solid reduction reaction is very small [39,40]. During stage II, the volatilization mechanism of Zn changes from a solid–solid direct reduction reaction to a gas–solid indirect reduction reaction, and the diffusion of gaseous products (Zn(g), CO and CO2) through the pores inside the briquettes represents the rate-controlling step. The formation of the product layer results in a decline in the internal diffusion of Zn(g). Therefore, the apparent rate constant k(T) in Stage II is lower than that in Stage I, which confirms again that the assumption about the kinetics model was reasonable.
Figure 11.
Schematic diagram for volatilization mechanism of Zn in briquettes.
4. Conclusions
The volatilization behaviors of Zn from the pure minerals (smithsonite and willemite), as well as the flotation products, were investigated by carbothermic reduction within the temperature range of 900–1300 °C. The results in this work indicate that the transformation of ZnS by CaO mainly occurs within the temperature range from 1050 to 1250 °C. The Zn volatilization rates from the smithsonite, willemite and flotation products are 96.09%, 96.71% and 98.90%, respectively, at 1250 °C for 30 min with a C/Zn molar ratio of 2. The kinetics behavior of Zn in the flotation products during the carbothermal reduction process were closely relevant to the phase transformation of ZnS, especially the formation of CaS, and presented a two-staged kinetics model. In stage I (900–1150 °C), the volatilization behavior of Zn was controlled by the interfacial chemical reaction. In stage II (1150–1300 °C), the internal diffusion was a rate-controlling step for the volatilization of Zn because the generation of the product layers (CaS, FeS and the new slag phase) hindered the internal diffusion of Zn(g). Hence, the presence of calcium oxide and high temperatures are necessary for the efficient reduction and volatilization of zinc in low grade lead–zinc oxide ore containing zinc sulfide. However, to employ the carbothermal reduction method to process the Lanping flotation products, the control of slag melting points during the reduction process will be further studied.
Author Contributions
Conceptualization, C.W. (Chengyan Wang); Methodology, P.Z.; Software, Z.D.; Validation, C.W. (Chengyan Wang); Investigation, P.Z.; Resources, C.W. (Chang Wei); Data curation, C.W. (Chang Wei); Writing—original draft, Z.D. and X.W.; Writing—review & editing, M.L.; Visualization, B.M.; Supervision, X.L.; Funding acquisition, M.L. and B.M. All authors have read and agreed to the published version of the manuscript.
Funding
This research was financially supported by the National Natural Science Foundation of China (Grant No. 52164039 and 51964031), the National Key Research and Development Program of China (2022YFC2904201), the Natural Science Foundation of Yunnan Province (Grant No. 202101AT070091), and the Analysis and Test Fund of Kunming University of Science and Technology (Grant No. 2020T20120041).
Institutional Review Board Statement
Not applicable.
Informed Consent Statement
Not applicable.
Data Availability Statement
Data are contained within the article.
Conflicts of Interest
The authors declare no conflict of interest.
References
- Abkhoshk, E.; Jorjani, E.; Al-Harahsheh, M.S.; Rashchi, F.; Naazeri, M. Review of the hydrometallurgical processing of non-sulfide zinc ores. Hydrometallurgy 2014, 149, 153–167. [Google Scholar] [CrossRef]
- Rao, S.; Yang, T.; Zhang, D.; Liu, W.; Chen, L.; Hao, Z.; Xiao, Q.; Wen, J. Leaching of low grade zinc oxide ores in NH4Cl–NH3 solutions with nitrilotriacetic acid as complexing agents. Hydrometallurgy 2015, 158, 101–106. [Google Scholar] [CrossRef]
- Feng, Q.; Wen, S.; Bai, X.; Chang, W.; Cui, C.; Zhao, W. Surface modification of smithsonite with ammonia to enhance the formation of sulfidization products and its response to flotation. Miner. Eng. 2019, 137, 1–9. [Google Scholar] [CrossRef]
- Wang, M.; Zhang, G.; Chen, Y.; Zhao, L. Effect of surface oxidization on quartz slime coating in the sulfidization-amine flotation of smithsonite. Miner. Eng. 2022, 188, 107847. [Google Scholar] [CrossRef]
- Shang, Y.; Tan, X. Study of new process technology for low-grade refractory zinc oxide ore. Procedia Environ. Sci. 2016, 31, 195–203. [Google Scholar]
- Jiang, M.; Yang, S.; Yang, J. Industry test research of oxide lead–zinc ore in Lanping. Nonferr. Metal. (Miner. Process. Sect.) 2007, 3, 5–7. (In Chinese) [Google Scholar]
- Duan, X.; Lou, L. Review on present situation of the flotation of oxidized zinc ore. Min. Metal. 2000, 9, 47–51. (In Chinese) [Google Scholar]
- Yang, K.; Li, S.; Zhang, L.; Peng, J.; Chen, W.; Xie, F.; Ma, A. Microwave roasting and leaching of an oxide-sulphide zinc ore. Hydrometallurgy 2016, 166, 243–251. [Google Scholar] [CrossRef]
- Yu, Y.; Ma, L.; Cao, M.; Liu, Q. Slime coatings in froth flotation: A review. Miner. Eng. 2017, 114, 26–36. [Google Scholar] [CrossRef]
- He, D.; Chen, Y.; Xiang, P.; Yu, Z.; Potgieter, J.H. Study on the pre-treatment of oxidized zinc ore prior to flotation. Int. J. Miner. Metall. Mater. 2018, 25, 117–122. [Google Scholar] [CrossRef]
- Hosseini, S.H.; Taji, M. Flotation behavior of iranian oxidized zinc ore using different types of collectors (cationic, anionic and mixed (cationic/anionic)). Int. J. Min. Eng. Miner. Process. 2015, 4, 18–27. [Google Scholar]
- Luo, B.; Nie, W.; Dong, J. Effect of lead ions on the sulfidization flotation of smithsonite using sodium butyl xanthate as a collector. Miner. Eng. 2022, 185, 107710. [Google Scholar] [CrossRef]
- Kelebek, S.; Yörük, S.; Davis, B. Characterization of basic oxygen furnace dust and zinc removal by acid leaching. Miner. Eng. 2004, 17, 285–291. [Google Scholar] [CrossRef]
- Xu, H.; Wei, C.; Li, C.; Fan, G.; Deng, Z.; Zhou, X.; Qiu, S. Leaching of a complex sulfidic, silicate-containing zinc ore in sulfuric acid solution under oxygen pressure. Sep. Purif. Technol. 2012, 85, 206–212. [Google Scholar] [CrossRef]
- Souza, A.D.D.; Pina, P.D.S.; Lima, E.V.D.O.; Da Silva, C.A.; Leão, V.A. Kinetics of sulphuric acid leaching of a zinc silicate calcine. Hydrometallurgy 2007, 89, 337–345. [Google Scholar] [CrossRef]
- Sarveswara, R.K.; Anand, S.; Das, R.P.; Ray, H.S. Kinetics of ammonia leaching of multimetal sulfides. Miner. Process. Extr. Metall. Rev. 1992, 10, 11–27. [Google Scholar] [CrossRef]
- Ding, Z.; Yin, Z.; Hu, H.; Chen, Q.Y. Dissolution kinetics of zinc silicate (hemimorphite) in ammoniacal solution. Hydrometallurgy 2010, 104, 201–206. [Google Scholar] [CrossRef]
- Norgate, T.; Jahanshahi, S. Low grade ores–Smelt, leach or concentrate? Miner. Eng. 2010, 23, 65–73. [Google Scholar] [CrossRef]
- Ueda, Y.; Nakamura, T.; Noguchi, F. Direct Reduction of Zinc Sulfide. J. Min. Matul. Inst. Jpn. 1983, 99, 127–132. [Google Scholar]
- Liu, Y.Q. Chemical Phase Analysis of Ores and Industrial Products, 4th ed.; Metallurgy Industry Press: Beijing, China, 1992. [Google Scholar]
- Gu, M.; Zhong, Y.; Wang, L.; Guo, Z. Separation of heavy metals from hazardous lead slag by carbothermic reduction and thermal volatilization: Effect of phase transformation on Sn, Pb, Zn removal. Process Saf. Environ. 2021, 156, 330–339. [Google Scholar] [CrossRef]
- Gu, M.; Zhong, Y.; Wang, L.; Guo, Z. Kinetics study of heavy metal removal from the lead smelting slag by carbothermic reduction: Effect of phase transformation. J. Environ. Chem. Eng. 2021, 9, 106516. [Google Scholar] [CrossRef]
- She, X.; Wang, J.; Wang, G.; Xue, Q.; Zhang, X. Removal mechanism of Zn, Pb and alkalis from metallurgical dusts in direct reduction process. J. Iron Steel Res. Int. 2014, 21, 488–495. [Google Scholar] [CrossRef]
- Wu, Y.; Jiang, Z.; Zhang, X.; Xue, Q.; Miao, Z.; Zhou, Z.; Shen, Y. Process optimization of metallurgical dust recycling by direct reduction in rotary hearth furnace. Powder Technol. 2018, 326, 101–113. [Google Scholar] [CrossRef]
- Lv, W.; Gan, M.; Fan, X.; Ji, Z.; Chen, X. Mechanism of calcium oxide promoting the separation of zinc and iron in metallurgical dust under reducing atmosphere. J. Mater. Res. Technol. 2019, 8, 5745–5752. [Google Scholar] [CrossRef]
- Zuo, Z.; Yu, Q.; Luo, S.; Zhang, J.; Zhou, E. Effects of CaO on two-step reduction characteristics of copper slag using biochar as reducer: Thermodynamic and kinetics. Energy Fuels 2020, 34, 491–500. [Google Scholar] [CrossRef]
- Vyazovkin, S.; Wight, C. Isothermal and non-isothermal kinetics of thermally stimulated reactions of solids. Int. Rev. Phys. Chem. 1998, 17, 407–433. [Google Scholar] [CrossRef]
- Wang, J.; Zhang, Y.; Cui, K.; Fu, T.; Gao, J.; Hussain, S.; AlGarni, T.S. Pyrometallurgical recovery of zinc and valuable metals from electric arc furnace dust e A review. J. Clean. Prod. 2021, 298, 126788. [Google Scholar] [CrossRef]
- Wang, E.; Chen, J.; Hu, X.; Chou, K.; Hou, X. New perspectives on the Gas-Solid reaction of α-Si3N4 powder in wet air at high temperature. J. Am. Ceram. Soc. 2016, 99, 2699–2705. [Google Scholar] [CrossRef]
- Khawam, A.; Flanagan, D.R. Solid-state kinetic models: Basics and mathematical fundamentals. J. Phys. Chem. B 2006, 110, 17315–17328. [Google Scholar] [CrossRef]
- Sohn, H.Y.; Braun, R.L. Simultaneous fluid-solid reactions in porous solids reactions between one solid and two fluid reactants. Chem. Eng. Sci. 1980, 35, 1625–1635. [Google Scholar] [CrossRef]
- Zhang, J. Physical Chemistry of Metallurgy; Metallurgical Industry Press: Beijing, China, 2004. [Google Scholar]
- Hong, L.; Sohn, H.Y.; Sano, M. Kinetics of carbothermic reduction of magnesia and zinc oxide by thermogravimetric analysis technique. Scand. J. Metall. 2003, 32, 171–176. [Google Scholar] [CrossRef]
- Taylor, H.F.W. The dehydration of hemimorphite. Am. Mineral. 1962, 47, 932–944. [Google Scholar]
- Samigullina, R.F.; Krasnenko, T.I. Thermal analysis and mechanism of formation of Zn2SiO4: Mn phosphor under heating of synthetic hemimorphite. Mater. Res. Bull. 2020, 129, 110890. [Google Scholar] [CrossRef]
- Wang, E.; Hou, X.; Chen, Y.; Fang, Z.; Chen, J.; Liang, T.; Chou, K.; Nickel, K.G. Progress in cognition of gas-solid interface reaction for non-oxide ceramics at high temperature. Crit. Rev. Solid State 2021, 46, 218–250. [Google Scholar] [CrossRef]
- Prabhakaran, K.; Shafi, K.V.P.M.; Ulman, A.; Ajayan, P.M.; Homma, Y.; Ogino, T.J. Low-temperature, carbon-free reduction of iron oxide. Surf. Sci. 2002, 506, L250–L254. [Google Scholar] [CrossRef]
- Wang, G.; Ding, Y.G.; Wang, J.S.; She, X.F.; Xue, Q.G. Effect of carbon species on the reduction and melting behavior of boron-bearing iron concentrate/carbon composite pellets. Int. J. Miner. Metall. Mater. 2013, 20, 522–528. [Google Scholar] [CrossRef]
- Pandey, B.K.; Sharma, T. Reducing agents and double-layered iron ore pellets. Int. J. Miner. Process. 2000, 59, 295–304. [Google Scholar] [CrossRef]
- Sharma, T.; Gupta, R.C.; Prakash, B. Swelling of iron ore pellets by statistical design of experiment. ISIJ Int. 2007, 32, 1268–1275. [Google Scholar] [CrossRef]
Disclaimer/Publisher’s Note: The statements, opinions and data contained in all publications are solely those of the individual author(s) and contributor(s) and not of MDPI and/or the editor(s). MDPI and/or the editor(s) disclaim responsibility for any injury to people or property resulting from any ideas, methods, instructions or products referred to in the content. |
© 2024 by the authors. Licensee MDPI, Basel, Switzerland. This article is an open access article distributed under the terms and conditions of the Creative Commons Attribution (CC BY) license (https://creativecommons.org/licenses/by/4.0/).











