Abstract
The expansion of collective self-consumption is set to be a fundamental pillar for the development of energy-positive communities. In Spain, the regulation establishes an allocation scheme of self-consumed and surplus energy among the participants, based on distribution coefficients. This implies that the members of the self-consumption community must decide (or otherwise are assigned by default, according to the criteria established in the regulation) the distribution coefficients assigned to each of the consumers for the allocation of the distribution of the energy generated by the self-consumption system, as well as for the allocation of the surpluses. In this paper, the behavior of several algorithms based on heuristic techniques will be analyzed, with the aim of achieving an adequate economic optimization focused on obtaining the distribution coefficients that maximize the net present value (NPV) of the collective installation (according to the annual savings from the implementation of the self-consumption facility, compared to conventional consumption). The modeling of the problem is performed under fully realistic conditions, considering hourly consumption data, electricity prices for domestic consumers and irradiation and photovoltaic production. The results obtained show a clear improvement in the economic performance of the plant by optimizing the distribution coefficients, compared to the standard approach corresponding to the default coefficients established in the regulatory framework.
1. Introduction
Collective self-consumption is one of the first steps currently being implemented in various markets towards the creation of energy communities. This is an innovative response, particularly in densely populated urban environments, where users do not have the possibility of installing individual self-consumption systems.
Collective self-consumption in an urban environment implies the establishment of shared energy systems, where the generation, storage and distribution of renewable energy is shared among multiple households or even small and medium-sized enterprises. This approach, beyond its technical implications, translates into an alternative that promotes energy autonomy and simultaneously strengthens community ties by giving inhabitants the ability to exercise direct control over their energy supply.
Collective self-consumption is currently a fast-growing phenomenon. In the last decade, the production costs of photovoltaic generation technologies have experienced very competitive affordability ratios. This fact, together with recent favorable self-consumption policies, has led to the good profitability of domestic photovoltaic self-consumption. However, the distribution of energy generated for collective self-consumption in many cases is not the most appropriate, implying a loss of economic performance of the installation.
At the European level, there is a strong political and regulatory drive for the development of renewable energy sources. This is driven by the reduction in emissions and savings in community energy consumption set by the so-called Clean Energy for all Europeans package, with the aim of meeting the commitments made in the framework of the Paris Agreement. Following this roadmap, the energy system will have to undergo a considerable evolution of decarbonization in order to achieve the proposed sustainability targets. In the past, decisions on new sustainability policies were in the hands of each national regulation, but the approval of the new European Renewable Energy Directive (REDII) [1] seeks to provide the necessary regulatory impetus for European Union member states to jointly establish the basis for achieving these sustainability goals.
One of these corresponds to the implementation of collective self-consumption, as it establishes the basis for the development of energy-positive communities while helping to reduce the energy dependence of countries with scarce conventional resources or imports from third parties. The REDII establishes the basic definitions and requirements for collective self-consumption and energy communities, but each member state incorporates them into its national regulations in different ways. This generates significant differences in aspects such as participants and stakeholders, administrative procedures, technical requirements and energy distribution. In addition, economic issues related to the incentives offered may also vary between countries.
Several differences are presented by the various (European Union) EU member countries. Various elements can be highlighted, such as the proximity requirements necessary for connection to the shared generation facility in question. In Germany, for example, the installation must be located in the building itself or at a very close distance; however, in France, a radial extension of 2 km is allowed, which is extendable up to 20 km in rural areas [2,3]. On the other hand, the permitted installed power also differs considerably, resulting in, in the case of Slovenia, the maximum being equivalent to 80% of the sum of the capacities of the consumption rated power, compared to the 100 kW maximum allowed in Germany or up to 1 MW in Greece [2]. However, it is worth mentioning that several studies show that the rated power of the implemented energy communities in Greece is significantly below the maximum limit, as a consequence, among other factors, of social acceptance [4,5]. Nonetheless, this situation changes depending on the country. For example, in the case of Spain, for self-consumption projects, it is not necessary to ask for administrative permission regarding the installed capacity before the installation, with only the posterior notification of the technical characteristics being necessary (as long as the maximum power limit established in the Spanish regulation of 100 kW for self-consumption installations is complied with).
Likewise, the distribution of energy from generation facilities is another important aspect to consider. In France, the use of distribution coefficients is allowed, according to the renewable energy community choice [2,3], with a very similar situation occurring in Portugal, whose coefficients cannot be modified in a period of no less than 12 months, while in certain countries, such as Luxembourg, unless they are not established by the energy community itself, the allocation will be carried out by the system operator [2]. In addition, another factor to highlight is the present remuneration regimes for surplus energy generated, resulting in a single alternative in countries such as Belgium (net-metering) or Portugal (remuneration of surpluses at 90% of the market price) or multiple alternatives available (feed-in-tariffs, premium tariffs, tax reductions) in countries such as France and Italy [6].
This disparity is indicative of the lack of maturity of the performance criteria to be followed to achieve the full deployment of renewable energy communities. Specifically, this paper focuses on the analysis of the distribution of generated energy under the regulatory framework of collective self-consumption in Spain through Royal Decree (RD) 244/2019 [7] and the optimization of the distribution criteria. The objective of this study is to analyze the performance of collective self-consumption. Several optimization techniques will be used to maximize the profitability of the shared installation, focusing on the energy yield. The coefficients of self-consumed energy and individualized surplus will be used as optimization variables.
A schematic example of the procedure for sharing the energy within the energy community members is provided in the following lines. Figure 1 shows the installation taken as an example with two consumers. Table 1 shows the main characteristics in terms of generation and consumption of the two customers taken in this example, assuming that half of the energy is produced (sharing coefficient equal to 0.5 for both consumers). As can be seen, the energy produced by the photovoltaic panels is 400 kWh per month, of which 200 kWh are allocated to each customer. However, due to the different consumption profiles of each client, the self-consumed energy allocated to both consumers are finally 150 kWh and 120 kWh. These differences in the energy allocated to each consumer have an influence on the energy bill, as shown in Table 2. This is because there are hours in which the consumption of the consumers is lower than the energy produced assigned to that consumer, so the difference is considered as surplus and cannot be used by the other members of the community. This leads to the objective of this work, which aims to optimize the distribution coefficients to optimize the overall self-consumed energy for all consumers and, therefore, the overall economic performance of the installation.
Figure 1.
Schematic representation of the example self-consumption system.
Table 1.
Distribution of the energy generated, consumed, surplus and self-consumed in the example considered.
Table 2.
Energy billing results for the two consumers in the example under consideration.
The following is a brief summary of some of the most relevant previous works that analyze the behavior of self-consumption models, taking into consideration the regulatory framework. Canova et al. (2022) analyzed the establishment of a renewable energy community formed by end-users living in the same residential building in Italy, using two different scenarios [8]. The first scenario used only a photovoltaic (PV) system to supply the aggregate electricity demand of the apartments, while the second scenario integrated a heat pump to supply and also electrify the heating demand of the building. D’Adamo et al. (2022) analyzed the economic profitability of self-consumption PV systems for domestic and commercial consumers, using net present value and break-even analysis [9]. The results showed that the economic profitability depended on the percentage of self-consumed energy and the available policy tools. The study also provided policy recommendations and benefit-sharing scenarios, to encourage the development of renewable self-generation. Ordoñez et al. (2022) focused on improving the regulation of photovoltaic self-consumption and remuneration of surplus energy in Ecuador, based on the Spanish experience [10]. Economic analyses were carried out and recommendations were proposed, such as progressive tax reductions, the simplification of permits and the introduction of collective self-consumption. Montero et al. (2022) proposed the installation of self-consumption photovoltaic systems in hospitals in southwestern Europe, covering a significant part of their annual electricity demand and reducing CO2 emissions [11]. Roberts et al. (2022) analyzed the different tariffs available in Australia, with the aim of achieving an equitable, efficient and fair distribution of the costs and benefits associated with self-consumption in integrated networks [12]. Minuto and Lanzini (2022) analyzed the performance of an energy community with 100 dwellings with a shared 100 kWp PV system [13]. The work explored six different scenarios and different categories of consumers according to their consumption profile; the results of the study confirmed what was expected. This is because, when the gains were distributed evenly, the customers with a low consumption profile and no synchronization with sunshine hours benefitted the most.
Li and Okur (2023) [14] analyzed how different investment options, in combination with cost sharing approaches, affected energy communities. The test cases proposed in this research study explored two investment options, either through a third party or through investment by the community members themselves, and examined three modalities of cost sharing.
Regarding studies that analyze the profitability of self-consumption under the established regulatory framework established in RD 244/2019, one of the first studies was presented by López and Steininger (2020), who examined the economic viability of domestic and industrial consumers using individual self-consumption, considering the regulations in force [15]. Following a similar line of research, Roldán et al. (2021) presented an analysis of a single average dwelling, concluding that the economic return obtained would imply an economic saving, compared to a conventional consumer [16]. Similarly, Gallego et al. (2021) identified the significance of dimensioning the facility in terms of techno-economic efficiency and household consumption needs, also considering the current regulations on self-consumption in Spain [17]. The work concluded with the importance of also including the effect of climate conditions in the regulatory scheme, in order to harmonize the economic profitability of self-consumption projects throughout the national territory.
It should be noted that, following the literature review, according to the authors’ knowledge, the existing previous works were focused on the techno-economic analysis of individual self-consumption, and none of them focused on the optimization of economic performance through the selection of the distribution coefficients of a collective self-consumption system, according to the current regulations in Spain.
It should also be noted that, although this study focuses on a case study in Spain, the analyses performed can also be easily applied to other global regulatory frameworks (as in the case of Portugal and France [18,19]) that are also based on sharing coefficients for the distribution of self-consumption energy among the members of the community.
After this brief introduction, the rest of the paper is structured as follows. Section 2 describes the starting assumptions, including the models used in the analysis of PV production, consumption profiles, and the origin of the data considered for the energy billing calculation. Section 3 introduces the optimization framework to obtain the allocation coefficients. Section 4 shows the results obtained in the case study and, finally, Section 5 presents the conclusions of the work.
2. Problem Modelling
This section outlines the simulation models used to assess the techno-economic behavior of the analyzed collective self-consumption system.
Figure 2 shows, schematically, the main steps involved in the optimization approach proposed in this work. The main objective is the maximization of the economic performance of the self-consumption community as a whole; for this purpose, it is necessary to feed the economic performance evaluation module with the results of other additional calculation routines in order to obtain the following information: (i) hourly data of energy production by the photovoltaic system (for which it is necessary to record input data, including irradiance, temperature and the technical characteristics of the PV panels), (ii) hourly consumption data of each of the members of the self-consumption community (taking into consideration the characteristics of each of the members of the community) and (iii) hourly prices for the purchase and sale of energy for domestic consumers (in this work, we used the existing regulated tariff in Spain, according to which the prices of household consumers vary hourly through indexation, with respect to the spot market).
Figure 2.
Overview of the proposed optimization approach.
The following lines briefly introduce the modeling of each of the auxiliary routines that will feed the economic calculation module. Likewise, the procedure for calculating the default sharing coefficients currently in force in the Spanish regulations (i.e., the non-optimized approach for sharing self-consumption energy) are also briefly described. Finally, the procedure for the economic evaluation of the potential solutions obtained by the optimization algorithms (i.e., the objective function) is introduced in Section 3.
2.1. Photovoltaic Panels Production Model
The hourly energy generated by the PV panels, EPV h, is calculated as follows [20]:
where PVlosses is the losses coefficient (according to typical values in PV systems, typically due to dirt and commutation losses), Pr is the rated power, γ is the temperature coefficient of the modules, Girr h is the hourly irradiance on a fixed plane and Th is the temperature of the cells, which is obtained as follows:
where Taa h is the hourly ambient air temperature, while TNOC is the rated operating temperature of the cells.
2.2. Household Energy Community Features
In this work, a collective self-consumption installation was considered in a residential building located in the city of Seville (37°21′57″ N 5°58′59″ W). The building consists of a total of 20 apartments with a contracted power in the range of 2.6–7.0 kW and an installed power between 5.75 and 9.2 kW. Figure 3 shows the technical specifications associated with each consumer.
Figure 3.
Consumer technical features.
The hourly consumption profiles of each house were determined using the LoadProfileGenerator 10.9.0 software [21]. Therefore, synthetic load profile data for each consumer were used.
2.3. Household Energy Billing Calculation
This study considers that, for the purchase of energy, domestic consumers are covered by the current regulated tariff in Spain. On the other hand, for consumers covered by the regulated tariff, the surplus energy produced by the photovoltaic panels is remunerated at the spot market price minus balancing costs.
In this work, a full year (8760 h) of study was taken into account, considering the average hourly prices corresponding to the period 2015–2019. All the data necessary to determine the hourly prices of energy purchase by the household consumers, as well as those corresponding to the sale prices of the surpluses, were obtained from the information system of the Spanish system operator [22].
2.4. Regulatory Established Default Coefficients
The Spanish regulation proposes a proportional allocation according to the distribution coefficients, xi, for the distribution of the energy generated by the photovoltaic system in each hour h, EPV h. The sharing coefficients can be established by the agreement of the participants of the self-consumption community (obtained in this work through optimization) or by default by the regulations, according to the following expression:
where PCi is the contracted power by the i-th consumer.
The individualized self-consumed hourly energy for the i-th consumer, ESC h,i, is obtained according to the following expression:
where ED h,i is the total energy demanded by the i-th consumer during hour h.
The hourly energy consumption from the grid to be received by each customer, EGrid h,i, is as follows:
Analogously, the regulation also establishes, by default, a criterion for the distribution of surplus energy based on fixed coefficients, depending on the rated power of each consumer.
Nevertheless, it should be noted that, as with the distribution coefficients for the allocation of individualized self-consumed energy, the regulation provides that these coefficients can be agreed by the members of the energy community. Therefore, the following section proposes an optimization approach with the objective of optimally determining the coefficients assigned to each of the consumers, both for the allocation of self-consumed energy and for the allocation of the economic rights of surplus energy.
3. Optimization Approaches
This section discusses the formulation of the problem, as well as the different types of meta-heuristic algorithms used for the optimization of the proposed approach.
3.1. Economic Evaluation Model
The proposed economic assessment is focused on taking into account the savings obtained in the electricity bill after the self-consumption system was installed. For this purpose, it was proposed to use the net present value (NPV) as an economic indicator:
where x is the vector of distribution coefficients of the self-consumed energy for each consumer, similarly, y is the vector of distribution coefficients of the surplus energy, Iinv is the initial investment in PV panels, LS is the lifetime of the installation, k is the interest rate and CFt is the annual cash flow, calculated as follows:
where OpExt stands for the operation and maintenance costs, n is the number of consumers and and are, respectively, the total energy billing of each consumer during month m, in the case that the consumer was conventional (i.e., does not participate in the self-consumption system) and in the case that the consumer was part of the collective self-consumption community.
Therefore, the optimization problem proposed in this work can be formulated as shown in (8), as follows:
As can be seen, the objective is to maximize the global NPV increase after making the investment in the shared self-consumption installation, with respect to the original situation before the investment in which all consumers are standard. Likewise, the formulation of the problem includes two constraints; the first one refers to the fact that the sum of the sharing coefficients for the allocation of the self-consumed energy must be equal to one, while similarly the second constraint imposes that the sharing coefficients of the production surpluses must add up to one.
3.2. Optimization Algorithms
This subsection briefly describes the optimization algorithms tested in this work, with the objective of maximizing the overall economic performance of the collective self-consumption installation.
It should be noted that the optimization problem tackled in this work cannot be described completely in an analytical way, which precludes the use of classical analytical optimization techniques. Likewise, the number of variables involved in the optimization process is relatively large, since it is necessary to characterize the problem by means of two variables for each member of the self-consumption community (one for the allocation coefficients of the individualized self-consumed energy and another one for the individual allocation of the surplus energy). Therefore, several optimization algorithms are presented below, to evaluate their effectiveness in addressing the problem posed.
3.2.1. Genetic Algorithms (GA)
A genetic algorithm is an optimization problem-solving method, based on a process of imitation of the natural selection present in the biological evolution of a population (potential solutions) [23,24]. The algorithm repeatedly modifies the individuals of the population through the generational step, incorporating the characteristics of the process (population size, number of generations, mating selection, crossovers, mutations and elite count), scaling at each iteration towards the optimized value of the objective function. It is a heuristic method that allows the incorporation of constraints (inequalities and equalities) and is suitable for nonlinear optimization problems.
Likewise, this work has also tested a genetic algorithm based on integers (GAint), which is a branch of the GA algorithm, so the idea of the operation is very similar. However, this is a method that only accepts integers and inequalities. The rationale of the proposal to test the algorithm based on integers is based on the intention to reduce the search space by limiting each of the coefficients to two decimal places (in this case, the distribution coefficients are considered as a percentage).
For the execution of the case study proposed in this work, a population of 2400 individuals and a maximum of 100 generations were considered as stopping criteria.
3.2.2. Simulated Annealing (SA)
The simulated annealing algorithm is a metaheuristic optimization technique widely used for the optimization of complex engineering problems [25,26]. It is inspired by the metallurgical annealing process, allowing the exploration of large solution spaces characterized by multiple local optima.
Its operation emulates the gradual cooling process observed in materials, where the energy decreases slowly over time. In this way, the simulated annealing algorithm accepts suboptimal solutions with a certain probability in the initial stages, thus encouraging a wider exploration of the solution space and avoiding being trapped in local optima. This flexibility to accept suboptimal solutions in favor of discovering the global solution is essential in the search for the global optimum.
As the algorithm progresses, the probability of accepting suboptimal solutions is adjusted by a simulated temperature function. This function acts as a control mechanism, regulating the probability of accepting less favorable solutions. As the temperature decreases, this probability also decreases, guiding the algorithm towards convergence to an optimal or near optimal solution.
The cooling factor considered was 0.95, and the number of points before reannealing considered was 100.
3.2.3. Particle Swarm Optimization (PSO)
The particle swarm optimization (PSO) algorithm is an optimization technique based on the observation of the social behavior of individuals in a swarm [27,28]. The algorithm starts with the generation of a set of particles, each representing a potential solution in the search space. Each particle has an associated position and velocity. These particles move through the search space looking for the optimal solution, influenced by their past experience and the best global position found by the swarm. At each iteration, the velocity and position of each particle are updated by combining its best past position, the best global position of the swarm and a random exploration component. As the particles advance in the search space, the swarm tends to converge to the optimal solution. The ability of PSO to efficiently explore and exploit the search space makes it effective for optimization problems, especially those characterized by multiple optima and complex dimensions.
The population size considered was 2400 individuals. The values of the cognitive and social parameters of the PSO algorithm were set to 2.6 and 2.3, respectively.
3.2.4. Multiple Local Searches Based on Interior-Point Method (Multi-Start)
The multiple local searches based on interior-point method consists of a tool that allows us to find multiple local solutions indicated by the user on an optimization problem through a defined algorithm of choice. When executed, it allows us to initialize the sequence through the previously configured starting points. This is particularly practical when combined with a local search method, such as the interior-point method [29]. The search process, considering a minimization problem, is shown schematically in Figure 4 (left). The dots represent the different solutions attempted by the algorithm during the search and the arrows show the search direction.
Figure 4.
Schematic representation of the interior point (left) and pattern search (right) algorithms.
Specifically for this study, 1000 optimization routines were performed, whose respective starting points (self-consumed and surplus energy distribution coefficients) adopted random values within the range allowed by the established constraints of the problem.
3.2.5. Pattern Search (PSearch)
The principle of the pattern search algorithm resides in the direct search method, without the need for the objective function granularity that is usual in traditional optimization methods, since a set of points around an initial point is explored through a sequentially computed pattern, searching for the point that implies a closer approximation to the objective function on the established grid and, thus resulting, in the starting point for the next step of the algorithm [30]. The search process of this algorithm is shown schematically in Figure 4 (right), although please note that, in this case, some intermediate steps (in particular, the movements from the center of the pattern to the edges in the next iteration) have been eliminated for clarity of representation. For the execution of the test case under study, the local pattern search algorithm ran 100 iterations. The initial mesh size of this pattern search routine (in the first iteration) was set to one and it was doubled or halved, respectively, in each iteration, depending on whether the objective function improved or not in the subsequent iteration.
4. Results
As mentioned above, the study focused on a residential building with 20 apartments located in Seville, considering a time series of irradiance, energy prices and consumption profiles for a full year (8760 h). These time series are provided in [31]. The time series defined the standard year, which was the basis for the calculation of the long-term economic performance of the facility, by calculating the NPV. In this case study, a photovoltaic system installed on the rooftop of the building with a rated power of 35 kW was considered.
Table 3 shows the average values derived from the main time series of interest for the development of this work. The remaining techno-economic data used in the analysis are shown in Table 4. The data corresponding to project lifetime and interest rate were taken according to the typical values of photovoltaic installations for self-consumption, while the data referring to initial investment and annual operating cost were considered, taking as reference the International Renewable Energy Agency publication [32] and the annual degradation corresponding to the values documented in the bibliography [33,34].
Table 3.
Main average data of the considered time series.
Table 4.
Main techno-economic data considered in the test cases.
Table 5 shows the improvement to the default approach established in the regulation, according to Equations (3)–(5) in terms of NPV, using the different algorithms proposed (please note that the results shown correspond to the best solution after 10 independent runs of each algorithm; the reason for running each algorithm several times lies in the stochastic nature of the metaheuristic algorithms, which do not always provide the same solution, although they do provide a sufficiently good solution close to the global optimum). In addition, the increment associated with the ideal approach is presented, according to whether the set of consumers that constitute the self-consumption community behave in the same way as if they were a single consumer, so that the distribution is optimal and all the self-consumed energy is distributed among the members of the community.
Table 5.
Comparison of results between the different algorithms/approaches considered.
As can be seen, the results obtained through all the optimization algorithms analyzed outperformed the default approach established in the current regulations (whose NPV value is 50,340.92 EUR), although the results obtained through all of them were far (13% below) the maximum established by the ideal approach. This is due to the fact that the current regulatory framework does not allow an optimal distribution through static coefficients, so that part of the energy produced by the photovoltaic panels is not allocated as self-consumed within the community, but as surplus (and therefore remunerated at a lower price than the purchase price). Regarding the behavior of the different algorithms analyzed, it is necessary to highlight that the multi-start approach was the one that achieved the best results, although the GA achieved a very similar optimal result. On the contrary, the pattern search and particle swarm optimization achieved a slightly lower result, while simulated annealing and, in particular, GAint, remained far from the optimal solution obtained by the other algorithms.
Since the meta-heuristic algorithms were based on testing a set of solutions, one issue to take into consideration is the execution time. In this sense, Table 6 shows the execution times of each of the algorithms tested in this work for the case under study. The models and algorithms were implemented in Matlab R2022b. All test cases were run on a PC Intel Xeon CPU E5-2630 v4 2.20 GHz with 32 GB RAM and 10 cores under Windows 10. As can be seen, the multi-start approach was the one that required the shortest average execution time to achieve the optimal solution (being also the one that provides the best solution), while the genetic algorithm was by far the approach that required the longest execution time.
Table 6.
Average running time of tested algorithms.
Figure 5 shows the electricity bill of each of the consumers participating in the self-consumption community under the following assumptions: (i) taking into consideration the default sharing coefficients established in the current regulatory framework, (ii) optimized coefficients (obtained through the multi-start approach, since it was the one that provided the best results) and (iii) under the original assumption before the installation of the self-consumption system. As can be seen, the installation of the PV panels resulted in noticeable savings for all consumers, under both the default and the optimized approaches. When comparing the results of the optimized approach with the default approach, it can be seen that most of the consumers obtained a reduction in their electricity bill. Among the consumers who saw their bill reduced by the optimized approach, it is worth highlighting consumer 4 (the one with the highest consumption in the original situation) who saw their bill reduced by 30%, with respect to the default approach, while most of the remaining consumers obtained savings, albeit in smaller amounts. However, it should also be noted that some consumers saw their electricity bill increase in the case of the optimized approach, compared to the default approach. This is due to the fact that the objective of this work was to maximize the overall economic profit of the whole; therefore, certain consumers may have seen their savings increase, to the detriment of others, in the search for the overall optimum.
Figure 5.
Annual electricity bill per consumer considering default coefficients (yellow), optimized coefficients (green) and original situation without self-consumption.
In global terms, the optimized approach represented an annual energy billing for all the members of the community of 7219 EUR, compared to 7364 EUR corresponding to the default coefficients established in the regulations (compared to 12,662 EUR without the installation of self-consumption). This saving, although moderate, is of great interest for the investors, as it allows for the optimization of the economic performance of the installation, with only a previous study and at no additional economic cost. On the other hand, it is to be expected that, with the regulatory developments currently under development, which are based on hourly coefficients (i.e., fixed distribution coefficients for each customer but dependent on the time of day), optimized approaches such as the one proposed in this work will have even more room for improvement, since they will allow an optimal distribution among each customer according to consumption patterns depending on the time of day.
Figure 6 and Figure 7 show the allocation coefficients for each of the consumers using the default approach and the optimized approach by each of the tested algorithms for the individual allocation of self-consumed energy and surplus, respectively (please note that, for the sake of clarity, the coefficients represented in Figure 6 and Figure 7 are provided in table format in Appendix A).
Figure 6.
Distribution coefficients of self-consumed energy obtained by each of the proposed algorithms.
Figure 7.
Surplus energy distribution coefficients obtained by each of the proposed algorithms.
It is clear that there was an appreciable dispersion between the coefficients obtained by each of the optimization algorithms tested. This was due to the premature convergence of some of the algorithms (mainly GAint, PS, PSO and SA), by which these optimization methods were not effective in obtaining a sufficiently good solution close to the global optimum for the proposed problem. It is worth noting the high coincidence between the solutions obtained by the GA and multi-start algorithms, being also the two approaches that provided the best results.
Comparing the results obtained by the algorithms that provided the best results (GA and multi-start) with the default coefficients (calculated according to Section 2.4), it can be seen that the default approach tended to allocate more uniform self-consumed energy coefficients among all members of the community, while the optimized approach assigned more particularized coefficients to the load profile of each of the consumers, with the objective of optimizing the social benefit of the community. In a completely analogous way, it can be observed that, in the case of the allocation of surplus energy, the optimized coefficients tended to assign a higher value to those consumers with a higher annual energy consumption, also with the objective of maximizing the savings of the community.
Additionally, a sensitivity analysis was proposed for the rated power of the PV system to be installed in the collective self-consumption community. In this way, all the data considered in the base case remained unchanged, except for the total rated power of the PV array, which varied in the analysis within the range of 10–50 kW, with intervals of 5 kW. For this analysis only, the results obtained using the approaches corresponding to the default regulatory framework, the ideal approach (where the whole community is considered as a single consumer) and the optimized approach, obtained by the multi-start strategy, were compared (since, as shown above, it was the approach that provided the best results). Figure 8 shows the results obtained in this sensitivity analysis. The yellow bars correspond to the default approach, the green bars to the optimized approach and the blue bars to the ideal approach. As expected, in all cases the optimized approach improved on the default approach, although the default approach was always inferior to the optimized approach. It is also interesting to note that as the rated power of the PV system increased, there was a smaller and smaller increase in the economic performance associated with the self-consumption installation project (this aspect was especially noticeable in the ideal approach). This was because the higher the rated power of the PV system, the higher the surplus and the lower the proportional use of the self-generated energy assigned within the self-consumption community was. Likewise, this was also due to the inclusion, in the economic modelling, of the problem of the restriction existing in the current regulations, whereby, during a complete billing period (i.e., one month), it was not possible for the income derived from the surpluses to be greater than the cost of purchasing the energy consumed. In other words, the electricity bill could not be negative, which made it unprofitable to continue increasing the number of panels above a certain PV system power.
Figure 8.
Sensitivity analysis to PV rated power.
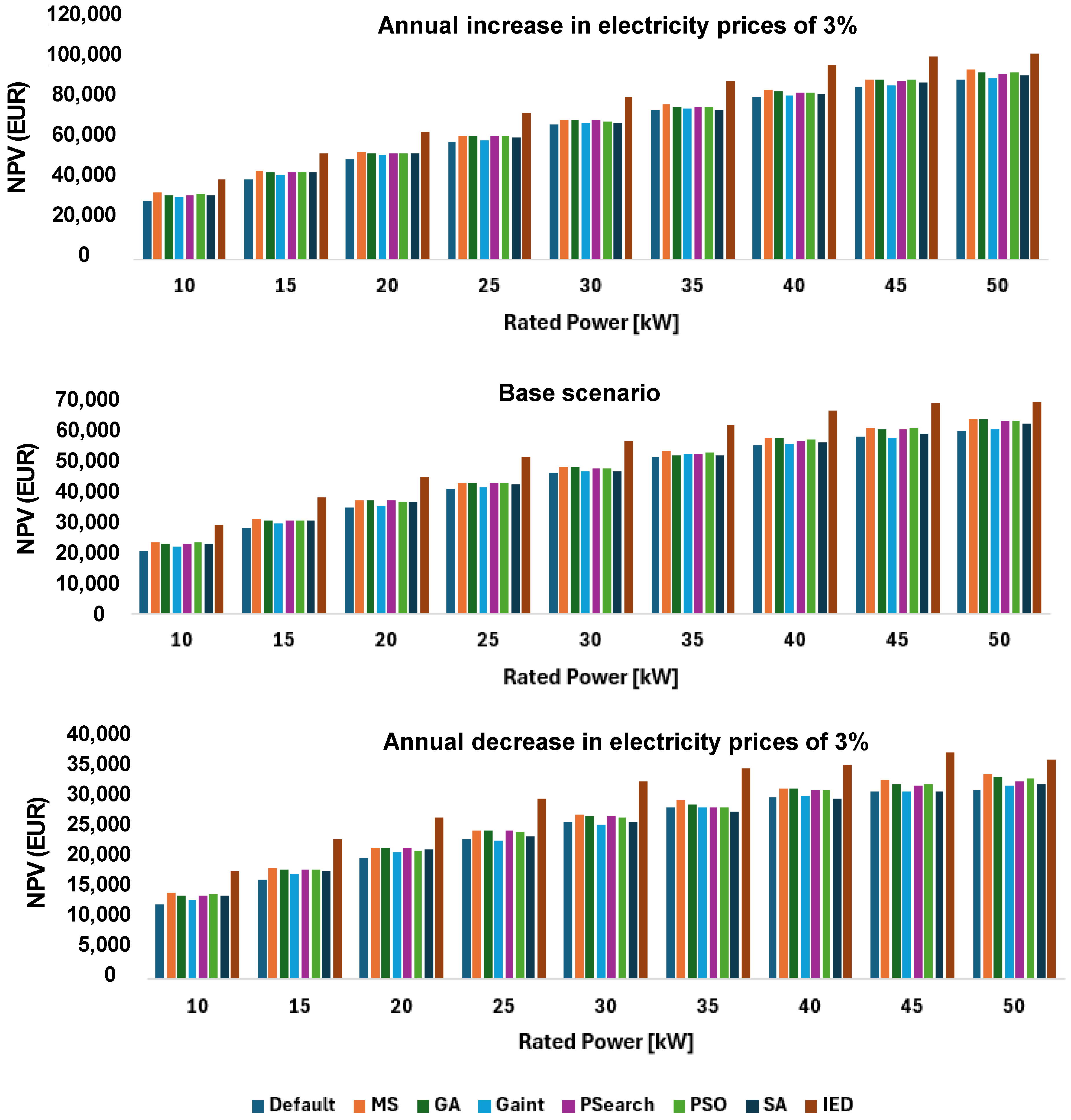
Finally, the analysis of alternative price scenarios for the cost of electricity for consumers was proposed, since the profitability of a photovoltaic self-consumption installation is highly linked to the evolution of the cost of energy acquisition and sale of surpluses. This cost is highly variable, as it is linked to externalities such as the geopolitical situation, raw material prices or the degree of renewable penetration in a given system. Therefore, the analysis of three scenarios was proposed: (i) the base scenario, consisting of the actual average hourly prices, calculated as explained in Section 2.3, (ii) the scenario of increased electricity pressure, considering a 3% annual increase over the prices considered in the base case and (iii) the scenario of price decrease, considering a 3% annual reduction over the prices of the base case.
Figure 9 shows the results obtained from the sensitivity analysis to energy price variation. As can be seen, the multi-start (MS) and GA algorithms showed the best performance for all the cases analyzed (with a slight improvement by the MS in certain cases). Furthermore, the high influence of the evolution of electricity prices on the profitability of the collective self-consumption project can also be seen, with a reduction of almost half the NPV value for the scenario of depreciation of electricity prices. In a more detailed analysis of this scenario, it is possible to conclude that the effect of loss of profitability was smaller with a lower installed power, which was due to the fact that, for reduced power, most of the energy generated by the photovoltaic panels was allocated to the members of the community, thus minimizing the surplus energy fed into the grid. On the contrary, when the power increased, the energy surpluses increased and, since they had a reduced sale value, the profitability of the installation was considerably reduced, compared to the base scenario. Additionally, it can be observed that, in the price increase scenario, there was an increase in profitability as a consequence of the greater economic savings due to self-consumed energy, as well as an increase in profits from the sale of surpluses at higher prices than in the case of the base scenario.
Figure 9.
Sensitivity analysis to variations in the price of electricity.
5. Conclusions
This work presented and analyzed several approaches to optimize the distribution coefficients for the allocation of self-consumed energy and energy surpluses, according to the regulations currently in force in Spain, established in RD 244/2019. Likewise, the results obtained were compared with the default allocation approach established in the regulations, as well as compared to a hypothetical ideal approach, consisting of considering the entire collective self-consumption community as a single consumer, which would allow the maximum economic use of the investment in the self-consumption project.
The main objective of the work was to compare the performances of different optimization algorithms, in order to obtain the distribution coefficients that optimized the economic performance of the project. The results obtained from the comparison between different optimization strategies showed that the multi-start approach, combined with the interior point optimization method, allowed the obtaining of the best results at a very low computational cost (especially in comparison with the computational cost associated with the execution of the genetic algorithm).
The results obtained also revealed that, although the optimized approach allowed for an overall improvement, through an allocation of the default sharing coefficients, they were still significantly below the maximum economic performance that would be provided by the ideal approach, in which all members would behave as a single consumer and in which the sharing of the energy generated by the PV panels would be maximized within the self-consumption community. In this sense, the sensitivity analysis versus the installed power of the PV system showed that the optimized approach allowed for the obtaining of results closer to the ideal, when the power of the system was higher.
On the other hand, it is also interesting to note that the analysis of the results obtained on the distribution of the benefits provided individually to each of the consumers in the optimized solutions led to certain consumers benefiting more, to the detriment of others. This opens the possibility of undertaking new future studies to determine the balance between the investment contributed by each of the participants in the community and the individual level of energy allocation.
Due to the above, the results obtained in this work may be of interest to other researchers, policy makers and stakeholders interested in the analysis of regulatory frameworks for collective self-consumption, as well as in the field of determining the responsibilities and retributions corresponding to each of the members of self-consumption communities.
Author Contributions
Conceptualization, J.S.G. and J.M.R.S.; Methodology, J.T.V.P. and J.S.G.; Software, J.T.V.P. and J.M.R.S.; Formal analysis, J.M.R.S.; Investigation, J.T.V.P.; Resources, J.S.G.; Writing—original draft, J.S.G.; Writing—review & editing, J.M.R.S.; Visualization, J.T.V.P.; Supervision, J.S.G. and J.M.R.S.; Project administration, J.S.G.; Funding acquisition, J.S.G. All authors have read and agreed to the published version of the manuscript.
Funding
This research was funded by the Spanish Ministry of Science and Innovation under grant PID2021-127550OA-I00.
Data Availability Statement
The raw data supporting the conclusions of this article will be made available by the authors on request.
Conflicts of Interest
The authors declare no conflict of interest.
Nomenclature
| CFt | annual cash flow |
| EU | European Union |
| ED h,i | total energy demanded by the i-th consumer during hour h |
| EGrid h,i | hourly energy consumption from the grid to be received by each customer |
| ESC h,i | individualized self-consumed hourly energy for the i-th consumer |
| GA | genetic algorithm |
| Iinv | initial investment in PV panels |
| k | interest rate |
| kWh | kilowatt-hour |
| kWp | kilowatt peak |
| LS | lifetime of the installation |
| MW | megawatt |
| NPV | net present value |
| OpExt | operation and maintenance costs |
| PCi | contracted power by the i-th consumer |
| PSO | particle swarm optimization algorithm |
| PV | photovoltaic panel |
| PVlosses | losses coefficient |
| Pr | rated power of the PV installation |
| RD | Royal Decree (Spanish legal rule) |
| REDII | second edition of the European Union Renewable Energy Directive |
| SA | simulated annealing algorithm |
| Taa h | hourly ambient air temperature |
| Th | cells temperature |
| TNOC | rated operating temperature of the cells |
| γ | temperature coefficient of the modules |
Appendix A
Table A1.
Distribution coefficients (%) of self-consumed energy obtained by each of the proposed algorithms.
Table A1.
Distribution coefficients (%) of self-consumed energy obtained by each of the proposed algorithms.
| Consumer | ||||||||||||||||||||
|---|---|---|---|---|---|---|---|---|---|---|---|---|---|---|---|---|---|---|---|---|
| 1 | 2 | 3 | 4 | 5 | 6 | 7 | 8 | 9 | 10 | 11 | 12 | 13 | 14 | 15 | 16 | 17 | 18 | 19 | 20 | |
| Default | 5.42 | 6.50 | 4.12 | 7.58 | 6.72 | 3.58 | 6.07 | 2.71 | 6.50 | 4.98 | 4.01 | 3.25 | 2.82 | 6.50 | 7.58 | 3.47 | 5.31 | 4.01 | 4.98 | 3.90 |
| MS | 3.74 | 6.32 | 2.94 | 16.67 | 8.24 | 6.79 | 9.42 | 1.08 | 4.96 | 3.63 | 4.20 | 1.01 | 1.02 | 2.33 | 5.74 | 2.60 | 8.30 | 4.81 | 2.71 | 3.47 |
| GA | 3.60 | 5.91 | 2.84 | 16.47 | 8.05 | 6.69 | 9.30 | 2.00 | 4.71 | 3.36 | 4.10 | 2.00 | 2.00 | 2.17 | 5.55 | 2.49 | 8.11 | 4.69 | 2.56 | 3.41 |
| GAint | 1.02 | 2.39 | 2.15 | 14.19 | 7.37 | 6.45 | 6.95 | 1.16 | 7.95 | 0.59 | 6.30 | 3.39 | 1.13 | 9.17 | 7.09 | 5.84 | 7.14 | 2.13 | 4.33 | 3.29 |
| Psearch | 3.79 | 6.36 | 2.97 | 16.64 | 8.19 | 6.78 | 9.17 | 1.09 | 4.98 | 3.74 | 4.20 | 1.01 | 1.04 | 2.33 | 5.92 | 2.63 | 8.28 | 4.81 | 2.68 | 3.47 |
| PSO | 2.33 | 4.94 | 3.07 | 16.85 | 9.20 | 6.93 | 7.72 | 2.26 | 3.40 | 3.54 | 5.01 | 2.16 | 2.50 | 2.33 | 5.89 | 3.78 | 8.42 | 4.25 | 2.77 | 2.60 |
| SA | 2.77 | 4.81 | 3.44 | 13.38 | 4.97 | 5.43 | 11.17 | 3.45 | 5.18 | 2.29 | 3.68 | 2.32 | 2.20 | 3.04 | 5.32 | 2.75 | 8.73 | 4.14 | 5.46 | 5.47 |
Table A2.
Surplus energy distribution coefficients (%) obtained by each of the proposed algorithms.
Table A2.
Surplus energy distribution coefficients (%) obtained by each of the proposed algorithms.
| Consumer | |||||||||||||||||||||
|---|---|---|---|---|---|---|---|---|---|---|---|---|---|---|---|---|---|---|---|---|---|
| 1 | 2 | 3 | 4 | 5 | 6 | 7 | 8 | 9 | 10 | 11 | 12 | 13 | 14 | 15 | 16 | 17 | 18 | 19 | 20 | ||
| Algorithm | Default | 4.24 | 6.78 | 4.24 | 6.78 | 6.78 | 4.24 | 4.24 | 4.24 | 6.78 | 4.24 | 4.24 | 4.24 | 4.24 | 6.78 | 6.78 | 4.24 | 4.24 | 4.24 | 4.24 | 4.24 |
| MS | 1.48 | 12.89 | 12.78 | 15.28 | 8.76 | 0.61 | 0.52 | 0.62 | 15.67 | 6.11 | 0.59 | 7.46 | 1.17 | 0.77 | 0.65 | 0.69 | 1.11 | 9.78 | 2.22 | 0.83 | |
| GA | 5.57 | 5.40 | 5.49 | 5.44 | 5.48 | 2.25 | 5.46 | 2.57 | 5.46 | 5.46 | 5.40 | 5.41 | 5.43 | 5.34 | 5.48 | 5.43 | 5.35 | 5.19 | 5.52 | 2.84 | |
| GAint | 12.73 | 4.52 | 13.50 | 1.21 | 0.26 | 4.56 | 8.48 | 4.86 | 3.36 | 4.16 | 7.57 | 2.98 | 5.22 | 9.73 | 1.84 | 0.79 | 1.72 | 5.79 | 5.17 | 1.56 | |
| Psearch | 14.99 | 2.55 | 1.81 | 1.35 | 1.58 | 4.47 | 0.67 | 2.77 | 31.46 | 1.33 | 0.59 | 4.80 | 4.46 | 0.60 | 4.52 | 0.67 | 3.68 | 2.83 | 14.40 | 0.56 | |
| PSO | 4.46 | 14.19 | 5.11 | 2.23 | 3.96 | 3.19 | 5.93 | 2.24 | 2.43 | 10.49 | 3.52 | 2.72 | 4.90 | 2.28 | 12.28 | 6.12 | 2.29 | 4.79 | 3.75 | 2.82 | |
| SA | 3.47 | 12.92 | 8.61 | 11.12 | 10.05 | 3.05 | 2.21 | 2.07 | 16.45 | 3.09 | 2.01 | 4.06 | 2.35 | 2.96 | 2.38 | 2.65 | 2.09 | 2.80 | 2.66 | 3.00 | |
References
- European_Commission. Directives Directive (EU) 2018/2001 of the European Parliament and of the Council of 11 December 2018 on the Promotion of the Use of Energy from Renewable Sources (Recast) (Text with EEA Relevance); European_Commission: Brussels, Belgium, 2018. [Google Scholar]
- Frieden, D.; Tuerk, A.; Neumann, C. Collective Self-Consumption and Energy Communities: Trends and Challenges in the Transposition of the EU Framework; Timelag View project COMPILE View project; Joanneum Research Forschungsgesellschaft mbH: Graz, Austria, 2020. [Google Scholar] [CrossRef]
- Libre Interne Restreinte Confidentielle. Collective Self Consumption Overview in France March 2nd 2021 2 AGENDA. Available online: https://flux50.com/media/5757/05%20Enedis.pdf (accessed on 21 February 2022).
- Skiniti, G.; Daras, T.; Tsoutsos, T. Analysis of the Community Acceptance Factors for Potential Wind Energy Projects in Greece. Sustainability 2022, 14, 16009. [Google Scholar] [CrossRef]
- Ziozas, N.; Tsoutsos, T. Clean Energy Transition in Southeast Europe: The Paradigm of Greece from a Fossil Fuel Mediator to a Community Energy Hub. In Renewable Energy Communities and the Low Carbon Energy Transition in Europe; Coenen, F.H.J.M., Hoppe, T., Eds.; Springer International Publishing: Cham, Switzerland, 2021; pp. 75–95. [Google Scholar] [CrossRef]
- Inês, C.; Guilherme, P.L.; Esther, M.G.; Swantje, G.; Stephen, H.; Lars, H. Regulatory challenges and opportunities for collective renewable energy prosumers in the EU. Energy Policy 2020, 138, 111212. [Google Scholar] [CrossRef]
- Spanish Official Gazette. Real Decreto 244/2019, de 5 de Abril, por el que se Regulan las Condiciones Administrativas, Técnicas y Económicas del Autoconsumo de Energía Eléctrica. Available online: https://www.boe.es/diario_boe/txt.php?id=BOE-A-2019-5089 (accessed on 21 February 2022).
- Canova, A.; Lazzeroni, P.; Lorenti, G.; Moraglio, F.; Porcelli, A.; Repetto, M. Decarbonizing residential energy consumption under the Italian collective self-consumption regulation. Sustain. Cities Soc. 2022, 87, 104196. [Google Scholar] [CrossRef]
- D’Adamo, I.; Gastaldi, M.; Morone, P. Solar collective self-consumption: Economic analysis of a policy mix. Ecol. Econ. 2022, 199, 107480. [Google Scholar] [CrossRef]
- Ordóñez, Á.; Sánchez, E.; Rozas, L.; García, R.; Parra-Domínguez, J. Net-metering and net-billing in photovoltaic self-consumption: The cases of Ecuador and Spain. Sustain. Energy Technol. Assess. 2022, 53, 102434. [Google Scholar] [CrossRef]
- Montero, I.; Miranda, M.T.; Barrena, F.; Sepúlveda, F.J.; Arranz, J.I. Analysis of photovoltaic self-consumption systems for hospitals in southwestern Europe. Energy Build. 2022, 269, 112254. [Google Scholar] [CrossRef]
- Roberts, M.B.; Sharma, A.; MacGill, I. Efficient, effective and fair allocation of costs and benefits in residential energy communities deploying shared photovoltaics. Appl. Energy 2022, 305, 117935. [Google Scholar] [CrossRef]
- Minuto, F.D.; Lanzini, A. Energy-sharing mechanisms for energy community members under different asset ownership schemes and user demand profiles. Renew. Sustain. Energy Rev. 2022, 168, 112859. [Google Scholar] [CrossRef]
- Li, N.; Okur, Ö. Economic analysis of energy communities: Investment options and cost allocation. Appl. Energy 2023, 336, 120706. [Google Scholar] [CrossRef]
- Prol, J.L.; Steininger, K.W. Photovoltaic self-consumption is now profitable in Spain: Effects of the new regulation on prosumers’ internal rate of return. Energy Policy 2020, 146, 111793. [Google Scholar] [CrossRef]
- Fernández, J.R.; Payán, M.B.; Santos, J.R. Profitability of Household Photovoltaic Self-Consumption in Spain; Elsevier: Amsterdam, The Netherlands, 2021; Available online: https://www.sciencedirect.com/science/article/pii/S0959652620334843 (accessed on 20 February 2022).
- Gallego-Castillo, C.; Heleno, M.; Victoria, M. Self-consumption for energy communities in Spain: A regional analysis under the new legal framework. Energy Policy 2021, 150, 112144. [Google Scholar] [CrossRef]
- CAN Europe. Engaging Citizens and Local Communities in the Solar Revolution Rooftop Solar PV Country Comparison Report. 2022. Available online: https://caneurope.org/content/uploads/2022/05/Rooftop-Solar-PV-Country-Comparision-Report-2.pdf (accessed on 11 December 2023).
- IEA. National Survey Report of PV Power Applications in France 2021. 2022. Available online: https://iea-pvps.org/wp-content/uploads/2022/07/IEA-PVPS-NSR-France-EN-2021-v5.pdf (accessed on 23 February 2023).
- Riffonneau, Y.; Bacha, S.; Barruel, F.; Ploix, S. Optimal Power Flow Management for Grid Connected PV Systems with Batteries. IEEE Trans. Sustain. Energy 2011, 2, 309–320. [Google Scholar] [CrossRef]
- Pflugradt, N. LoadProfileGenerator. 2020. Available online: https://www.loadprofilegenerator.de/ (accessed on 12 December 2023).
- REE. PVPC|ESIOS Electricity Data Transparency. Available online: https://www.esios.ree.es/en/pvpc (accessed on 20 February 2023).
- Holland, J.H. Genetic algorithms. Sci. Am. 1992, 267, 66–73. [Google Scholar] [CrossRef]
- Sivanandam, S.N.; Deepa, S.N. Genetic algorithms. In Introduction to Genetic Algorithms; Springer: Berlin/Heidelberg, Germany, 2008; pp. 15–37. [Google Scholar]
- Mahvy, M.; Jahani, R.; Shayanfar, H. Using Simulated Annealing Algorithm for Optimal Bidding Strategy in Electric Markets. Int. J. Tech. Phys. Probl. Eng. IJTPE 2011, 3, 17–21. [Google Scholar]
- van Laarhoven, P.J.M.; Aarts, E.H.L. Simulated annealing. In Simulated Annealing: Theory and Applications; van Laarhoven, P.J.M., Aarts, E.H.L., Eds.; Springer Netherlands: Dordrecht, The Netherlands, 1987; pp. 7–15. [Google Scholar] [CrossRef]
- Wan, C.; Wang, J.; Yang, G.; Zhang, X. Optimal micro-siting of wind farms by particle swarm optimization. Adv. Swarm Intell. 2010, 6145, 198–205. [Google Scholar]
- Wang, D.; Tan, D.; Liu, L. Particle swarm optimization algorithm: An overview. Soft Comput. 2018, 22, 387–408. [Google Scholar] [CrossRef]
- Potra, F.A.; Wright, S.J. Interior-point methods. J. Comput. Appl. Math. 2000, 124, 281–302. [Google Scholar] [CrossRef]
- Torczon, V. On the Convergence of Pattern Search Algorithms. SIAM J. Optim. 1997, 7, 1–25. [Google Scholar] [CrossRef]
- Serrano, J.; Palou, J.T.V. Dataset. Techno-economic analysis of the regulatory framework for collective self-consumption in Spain. Mendeley Data. 2022, 1. [Google Scholar] [CrossRef]
- IRENA. Renewable Power Generation Costs in 2021. 2022. Available online: https://www.irena.org/publications/2022/Jul/Renewable-Power-Generation-Costs-in-2021 (accessed on 13 November 2023).
- Jordan, D.C.; Kurtz, S.R. Photovoltaic Degradation Rates—An Analytical Review. Prog. Photovolt. Res. Appl. 2013, 21, 12–29. [Google Scholar] [CrossRef]
- Sharma, V.; Chandel, S.S. Performance and degradation analysis for long term reliability of solar photovoltaic systems: A review. Renew. Sustain. Energy Rev. 2013, 27, 753–767. [Google Scholar] [CrossRef]
Disclaimer/Publisher’s Note: The statements, opinions and data contained in all publications are solely those of the individual author(s) and contributor(s) and not of MDPI and/or the editor(s). MDPI and/or the editor(s) disclaim responsibility for any injury to people or property resulting from any ideas, methods, instructions or products referred to in the content. |
© 2024 by the authors. Licensee MDPI, Basel, Switzerland. This article is an open access article distributed under the terms and conditions of the Creative Commons Attribution (CC BY) license (https://creativecommons.org/licenses/by/4.0/).








