Abstract
Although both circular economy and green innovation (GI) have received increasing research attention, little is known about their relationship. Based on quasi-natural experimental analysis, this study explored the impact and mechanism of the National Circular Economy Demonstration City (NCEDC) policy on GI in China and adopted a difference-in-difference (DID) model using the data of 265 cities in China from 2004 to 2018. The results show that the NCEDC policy has significantly improved the cities’ GI level, which can be achieved through industrial structure upgrading and innovation R&D investment effect, and has a stronger performance in eastern cities and lower administrative level cities. Our findings not only present novel evidence on the relationship between the circular economy and GI, but also offer valuable insights for advancing policy pilot initiatives in the field of environmental management.
1. Introduction
To cope with current global economic, energy, and environmental crises, many countries and regions are seeking to promote a green innovation (GI) revolution by prioritising the role of green technology. GI aims to solve the economic crisis and restore economic growth while simultaneously relieving ecological and environmental pressure, reducing resource consumption, ensuring energy and environmental security, and achieving a competitive advantage in the new round of scientific and technological revolution and industrial change [1,2]. However, in the real world, due to the long cycle and high cost of green technology development, coupled with externalities such as the risk that the market demand for green technology is not obvious [3], leading to insufficient incentives for GI in the main body of innovation represented by enterprises, GI activities are generally in the doldrums. In 2023, the Global Patent Statistics and Analysis Report on Green and Low Carbon Technologies, published by the State Intellectual Property Office of China, highlighted a concerning trend: between 2016 and 2022, there was an overall decline in global green and low-carbon patent grants. In response, stakeholders are seeking ways to reverse the regional decline in GI and enhance the strength of GI.
In recent years, the development of the circular economy has provided a new historical opportunity for the activation of GI activities. As a new economic development model different from the traditional economy and based on the recovery and recycling of resources, the circular economy has been given rich connotations under the policy expectations and sustained attention of the practical and academic circles [4]. Despite the many differences in the understanding of the circular economy to date, some consensus has been reached [5,6,7,8]: (1) advocating for breaking away from the linear development model characterised by resource consumption in traditional economies, guided by ecological principles, to form a feedback loop of “resources-products-recycled resources” in economic activities [9]; (2) prioritizing efficient utilisation and recycling of resources, characterised by low consumption, low emissions, and high efficiency [10]; (3) emphasizing the management of product lifecycle to maximise product lifespan and value [11]; (4) promoting synergistic collaboration among different industries to construct circular value chains and achieve resource sharing and recycling [12]. The green attributes of the circular economy have invariably brought about huge positive externalities and have become a new growth point in the demand for GI. To this end, governments have launched a series of targeted policy measures and spared no effort to develop the circular economy. As the world’s second largest economy, China ambitiously launched a circular economy construction programme as early as around 2000. In September 2013, the NDRC issued a Notice on Organising the Creation of Circular Economy Demonstration Cities (Counties) and a Guide for the Preparation of Implementation Plans for the Creation of Circular Economy Demonstration Cities (Counties). Eighteen prefecture-level cities, including Chengde City in Hebei Province, were approved as pilot cities for the NCEDC policy. In 2015, according to experience gained in the first batch of pilot cities and the Notice on the Construction of Circular Economy Demonstration Cities (Counties), the NDRC, the Ministry of Finance, and the Ministry of Housing and Construction jointly announced the second batch of pilot cities, involving more than 20 prefecture-level cities, including Taizhou City in Zhejiang Province (shown in Figure 1). The NCEDC policy was originally designed to increase resource productivity and integrate the concept of circular economy into industrial, agricultural, and service sector development, as well as urban infrastructure. However, whether the circular economy policy practices represented by the NCEDC can really bring the expected huge dividends to GI is not yet supported by direct evidence and needs to be further verified.
Figure 1.
Spatial distribution of pilot cities and non-pilot cities in China.
This paper builds on three threads of the literature. The first circular economy literature focuses on the strategic value of the circular economy for business operations and social progress, based on a critical analysis of the circular economy [7,8]. This value is mainly reflected in technological progress, business model innovation, industrial transformation, and environmental protection [13,14]. At the same time, forward-looking forecasts and projections of the application and development of the circular economy are made [15]. Some scholars, from a pragmatic point of view, have focused on analysing the practice of circular economy construction in various countries, trying to extract the successful experiences and dig out the potential risks [16]. Newer discussions have mainly landed on the topic of circular disruption [17], on the one hand, constructing and analysing the process and mechanism of how to accelerate the transition from a linear economic paradigm to a circular economy [18], and on the other hand, paying attention to the relationship between the transition to a circular economy and digitisation, focusing on how digitisation, as a driving force, can realise the transition of the economic paradigm to a circular economy through the disruptive innovation of the business model [19,20], and sketching out the roadmap for a systematic implementation [21]. The second branch is the literature on the theme of GI. This literature, which originated from Schumpeter’s innovation theory research, focuses on the historical background and connotative functions of GI on the one hand, and advocates that GI is a product of the promotion of the global sustainable development strategy [22], which aims to mitigate environmental risks, improve resource efficiency, enhance organisational reputation, and promote the synergistic development of ecology and the economy through the adoption of environmentally friendly and efficient methods in technology and products [23,24]. On the other hand, the factors affecting GI are analysed from the perspective of empirical analysis. These factors cover both micro-levels, such as corporate qualifications, corporate social responsibility, supplier pressure, and employee behaviour [25,26], and macro-levels, such as government subsidies, environmental decentralisation, and fiscal and financial policies [27,28,29,30,31,32]. Of course, some studies have also considered GI as a driving variable, and have examined its contribution to social employment, firm performance, and other areas with the help of econometric modelling [33,34]. A third strand of the literature explores the relationship between environmental policy and GI [35]. These studies centre around the battle between neoclassical economic theory and the Porter hypothesis with two opposing perspectives [36,37,38,39,40]. One view is the “inhibition theory”, which argues that if the government implements environmental regulatory policies, it will lead to higher costs for firms, which will inhibit their GI capacity through the crowding-out effect [41]. Another view is the “facilitation theory”, which argues that firms will increase their own GI activities and use the innovation compensation effect to offset the costs of environmental regulations [42,43,44,45]. In contrast to the above, a more integrative view emphasises that the relationship between environmental regulation and GI is a non-linear one, with the direction of the former towards the latter depending on the strength of the environmental regulation [46,47,48].
Although research on the circular economy and GI has yielded relatively rich results, there are still some research gaps. Firstly, established studies focus on the relationship between environmental regulation and innovation and do not provide direct evidence confirming the correlation between circular economy development and GI from a disaggregated perspective. Second, although scholars have conducted a great deal of research on the influencing factors of GI, there is a lack of full understanding of how the influencing factors play a role in the process mechanism of GI and deeper issues such as the phenomenon of heterogeneity. Thirdly, methodological preferences oriented towards case studies and traditional regression models have led the empirical class of GI studies to fall into the trap of endogeneity and generalisation.
In conclusion, this study treats NCEDC policy as a quasi-natural experiment and empirically examines the relationship between NCEDC policy and urban GI levels using a time-varying difference-in-difference (DID) method with a sample of 265 prefecture-level cities in China. Compared with previous studies, this study is innovative in the following aspects: First, this study uses a large-scale data sample to assess the impact of NCEDC policy on urban GI for the first time and provides a comprehensive explanation of this impact. This not only fills a gap in the research on this topic, but also provides new supporting evidence to test the Porter hypothesis. Second, based on the process of NCEDC policy, we reveal the potential mechanism of NCEDC policy in promoting urban GI, which not only enriches the theoretical research on NCEDC policy and GI, but also helps us to understand the operation of NCEDC policy. Third, based on the heterogeneity of city characteristics, we examine the variability of the impact of NCEDC policies on GI, which breaks through the limitation of similar studies that only focus on the overall effect of policies and provides an important basis for us to look at NCEDC policies dialectically and objectively. Fourth, the quasi-natural experiment approach effectively overcomes the endogeneity problem prevalent in previous policy evaluations and enhances the credibility of the study results.
2. Theoretical Analysis and Research Hypothesis
The NCEDC policy, as an incentive and a guiding regulatory tool led by the central government, aims to promote circular production and green behaviour in relation to production, distribution, and consumption, and to drive green development and low-carbon development through circular development [49,50]. According to the expectations of policy promoters, the implementation of NCEDC policy will bring about the adjustment and upgrading of economic development model, which is manifested in the transformation from the traditional extensive model characterised by excessive consumption of resources to a sustainable development model with resource conservation and environmental friendliness as the core goal, so as to reduce the disorderly destruction and deprivation of the environment and resources of city development [51]. This process is often accompanied by technological innovation. The actual demand for green technology will prompt innovative subjects to make adjustments, change the direction of existing technological innovation, and carry out a large number of technological innovation activities with the theme of green ecology [52]. A further interpretation is given by the Porter hypothesis, which suggests that moderately positive environmental policies stimulate the willingness of innovators to innovate [53,54]. Under the pressure of environmental policy rules, innovators lacking alternatives will always choose to carry out green content technological innovation based on economic rational considerations, improve the utilisation rate of resources and reduce environmental pollution through technological innovation, and achieve environmental benefits while ensuring economic benefits. In addition, empirical studies also reveal the correlation between environmental policies and GI: Wang et al. identified datasets at the provincial level in China and found that environmental pilot policies have positive implications for promoting GI capabilities in pilot areas [55]. Ma et al. [56], based on micro-enterprise level data testing, found that the low-carbon city pilot policy, which is an environmental regulatory policy, can stimulate the vitality of green technology innovation of enterprises and bring considerable technical product outputs. Zhou and Wang [57], from a city-level perspective, point out that the environmental policy of the Emissions Trading Scheme positively promotes regional green technology innovation. Based on the above analysis, we propose the following hypothesis:
Hypothesis 1.
The NCEDC policy can enhance the level of urban GI.
Relevant studies have concluded that environmental policies often play an active role in the process of regional industrial restructuring [58]. During the implementation of the NCEDC policy, implementers will make targeted use of the relevant regulatory tools to promote industrial restructuring. On one hand, the NCEDC policy uses control and constraint-type regulatory instruments to increase the pollution costs in the production of enterprises at the micro level. As enterprises pursue profit maximisation, increased governance and production costs will force enterprises to reduce factor inputs to energy-intensive and high-energy-consuming industries and gradually phase out traditional pollution-intensive industries, while changing the allocation of enterprises’ production factors to increase factor allocation to energy-saving and environmental protection industries [59]. On the other hand, the NCEDC policy uses market incentive-based regulatory tools to stimulate and guide enterprises to adjust their development methods to develop technology-intensive industries. This has greatly promoted the agglomeration and development of a large number of high-tech, low-carbon, low-emission, eco-friendly, and other new industries with high technological content and high productivity. The change in the spatial layout of industries has led to a flow reset effect of production factors from low-productivity to high-productivity sectors [60,61]. This industrial structure upgrade is conducive to improving the added value of products and resource utilisation efficiency, reducing energy and resource consumption, and improving the ecological environment while increasing the GI capacity of cities, which is beneficial for upgrading urban GI [62]. Based on the above analysis, we propose the following hypothesis:
Hypothesis 2.
The NCEDC policy can promote urban GI through industrial structure upgrading.
Jaffe and Palmer point out that environmental regulations usually stimulate incentives in the science and technology sector to invest in R&D [63]. In accordance with the roadmap for the implementation of the NCEDC policy, the government will introduce corresponding financial and fiscal support measures to increase financial support for technological R&D in the fields of new energy, energy conservation, environmental protection, and recycling of renewable resources. This can effectively enhance the ability of independent research institutes and enterprises to achieve innovation and scientific and technological transformation [64,65]. As GI activities are usually characterised by high risks, long innovation cycles, and irreversible processes [66], they require a large amount of financial support. Under this premise, the innovative R&D financial support provided by the government based on a pilot special financial allocation mechanism will greatly alleviate the GI financing dilemma of research institutes and enterprises, which can change the material conditions of innovation, optimise the GI environment, and reduce the risk of failure of GI activities. On the other hand, according to the theory of “innovation compensation” [67], with the implementation of NCEDC policy, the government urgently needs to use GI to offset the cost of pollution control. Investment in innovative R&D can act as financial leverage to guide innovation activities towards GI technology, thereby enhancing the level of urban GI level.
Hypothesis 3.
The NCEDC policy can promote urban GI through R&D funding support.
3. Materials and Methods
3.1. Baseline Model
The progressive NCEDC policy experiment in China will lead to some variability between pilot and non-pilot areas before and after implementation. This provides a good opportunity to adopt the DID approach to evaluate the effect of the NCEDC policy [68]. The DID approach is simple but scientific and can precisely determine the net effect of the policy while effectively dealing with the endogeneity problem. Considering the different timing of the policy shock for each city, we borrowed from Beck et al. [69] and used the time-varying DID method to construct an experimental group and a control group to estimate the impact of the NCEDC policy on GI. The model form was set as follows:
where and denote the city and year, respectively, denotes the GI level, and denotes the policy effect of NCEDC and is the product of the time dummy variable and the city dummy variable, where is assigned to 1 in year and later if city is approved for NCEDC in that year, and 0 otherwise. is a set of control variables, and denote year fixed effects and city fixed effects, respectively, and denotes the random error term. The coefficient , as an important basis for assessing the policy implementation effect, measures the net impact of the NCEDC policy on the regional GI level. If is significantly positive, it indicates that the policy can enhance the GI level of cities; otherwise, it indicates that the desired policy effect is not achieved.
3.2. Mechanism Testing Model
In order to analyse the transmission mechanism of the NCEDC policy affecting GI [70], we extended the baseline model by adding an interaction term between the NCEDC policy dummy variables and the mechanism variables, with the specific model set up as follows:
In Equation (2), represents the mechanism variable, and other variables are the same as Equation (1). We focus on the coefficient . If the coefficient is significant, it indicates the existence of a transmission mechanism.
3.3. Variable Measurement
3.3.1. Explained Variables
The core explanatory variable in this paper is GI at the technology level, which was measured using regional green invention patents. Green invention patents are a set of technologies, processes, and products that save resources, improve energy efficiency, prevent and control pollution, and achieve sustainable development [71]. Compared with other measures, this represents a more intuitive way to measure the overall level of green technological innovation activities in a region. We identified green invention patents based on IPC codes in the Green List of International Patent Classification issued by the World Intellectual Property Organization. On this basis, we borrowed from Wurlod and Noailly [72] and chose the number of green patent applications as an indicator of a city’s GI capacity. Compared with patent grants, patent applications are a summary of current technology applications and innovations that are closer in time to the point of innovation and less disturbed by factors such as institutional efficiency and bureaucratic preferences [73].
3.3.2. Key Explanatory Variables
The core explanatory variable in this study was the NCEDC policy dummy variable. We assigned uniform values based on the official list of pilot cities in China, combined with their time of establishment.
3.3.3. Control Variables
To ensure that the study results were not affected by urban heterogeneity, we referred to the existing literature to select several control variables: (1) the level of economic development, measured by regional GDP per capita [74]; (2) government intervention, measured using the ratio of government fiscal expenditure to GDP [75]; (3) population density, measured using the population at the end of the year and the land area of the administrative area [76]; (4) the degree of openness to the outside world, measured by the amount of foreign capital actually used in the year [77]; (5) fixed asset investment, measured by the total social fixed asset investment in each city [78]; and (6) financial development level, measured by the year-end deposit balance of financial institutions in each city [79]. To reduce the impact of heteroskedasticity on the regression results and ensure the robustness of the results, we logarithmised all control variables except for the government intervention variable.
3.4. Data Sources and Descriptive Statistics
After excluding administrative changes and cities with large information gaps, we used balanced panel data of 265 prefecture-level cities from 2004 to 2018 as the study dataset. Pilot city information is mainly available through the National Development and Reform Commission website. Patent data were obtained by searching statistics from public databases, such as the State Intellectual Property Office. Other data were obtained by collating and calculating public information such as the 2004–2018 China Urban Statistical Yearbook, regional statistical yearbooks, and statistical bulletins on national economic and social development. Missing data for individual years were created using interpolation. The descriptive statistics of relevant variables are shown in Table 1.
Table 1.
Descriptive statistics.
4. Empirical Results
4.1. Baseline Regressive Results
According to Equation (1), we tested the impact of the NCEDC policy on GI using a two-way fixed effects model, and the baseline results are reported in Table 2. Based on the results in column (1), the coefficient of NCEDC is significantly positive at the 1% confidence level without considering the control variables and fixed effects, which implies a correlation between NCEDC and GI. After adding the control variables, the estimated coefficient of NCEDC in column (2) remained significantly positive. Column (3) shows the results after adding all control variables and fixed effects, and the estimated coefficient on NCEDC is 5.951, which is significantly positive at the 5% level, implying that, all else being equal, the GI of the pilot cities improves by an average of 5.951 units relative to that of the non-pilot cities, a result that confirms Hypothesis 1. This finding is generally consistent with those of Zheng et al. [80] and Hysa et al. [81]. Our findings suggest that, although green technological innovation contributes to the development of a circular economy, promotion of the circular economy model can in turn stimulate and support GI activities in cities, which then enhances the GI strength of cities.
Table 2.
Baseline estimates.
4.2. Common Trend Test and Dynamic Test
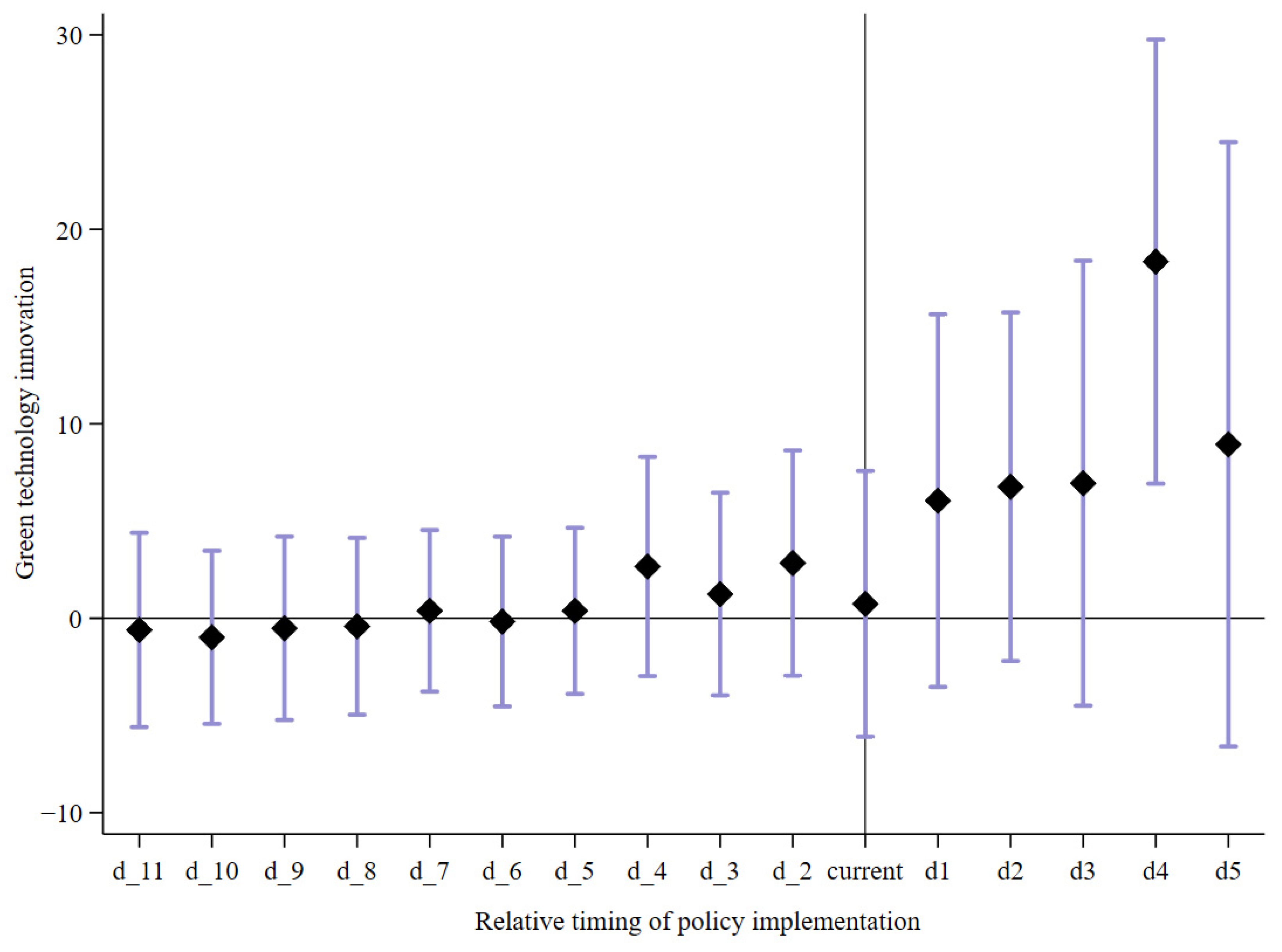
An important prerequisite for adopting the DID approach for policy effect assessment is the need to satisfy the common trend hypothesis [60]; that is, the GI of pilot and non-pilot cities should have a common trend of change prior to the NCEDC policy shock. To test the above hypothesis, we drew on the research of Beck et al. [69] and used the event study method.
The results are plotted in Figure 2. As can be seen from the figure, none of the estimated coefficients of the policy dummy variables were significant before the implementation of the NCEDC policy, indicating that the trend of GI changes in the experimental and control groups was not significantly different before the introduction of the NCEDC policy, which satisfies the common hypothesis. Moreover, the applicability condition of the DID model holds. In addition, the estimated coefficients of the policy dummy variables were not significant in the year of implementation, but only after 4 years, indicating that there is a lag effect in the impact of the NCEDC policy on GI, and it will not be effective in the year of policy implementation, and the GI effect of the policy will not appear until a period of time, which is consistent with the characteristics of the long cycle of technological innovation activities themselves.
Figure 2.
Common trend and dynamic test results.
4.3. Robustness Test
We adopted four testing strategies to test the robustness of the previous findings: Firstly, the placebo test. Figure 3 shows the kernel density distribution of the estimated coefficients plotted by randomly generating experimental groups, following Feng et al. [82]. The estimated coefficients are mostly concentrated around zero, the mean value is far from the true estimate, and the majority of the estimated coefficients are not significant, which indicates that the random assignment of NCEDC has no statistically significant effect. The placebo test results suggest that our estimates are unlikely to have been obtained by chance, and thus are unlikely to have been influenced by other policy or randomness factors.
Figure 3.
Distribution of estimated coefficients for the placebo test.
Secondly, incorporate control variables. The existing literature underscores the significant influence of science and technology (S&T) human resources on green innovation outcomes. Thus, we also controlled for the variable human resources for science and technology. Specifically, we employed the proportion of regional S&T employees as a metric and integrated it into our estimation model. The outcomes of this estimation are presented in column (1) of Table 3. The results show that the coefficient of the NCEDC policy dummy variable is significantly positive at the 5% level, implying that the baseline findings still hold.
Table 3.
Robustness test results.
Thirdly, excluding special year samples. Declercq et al. argued that the financial crisis of 2008 had a large impact on regional socioeconomic development and disrupted various resource factor flows and allocation activities [83]. Therefore, to exclude any interference from this crisis with the results, we excluded the data for the period 2008–2009 and re-estimated the model. Column (2) in Table 3 shows that the results are still robust after excluding the effects of the financial crisis.
Finally, in China’s urban administrative environment, provincial and sub-provincial cities are not at the same administrative level as general prefecture-level cities; thus, there may be large variability in resource access and regional development capacity between them. Considering the possible interference of these city samples on causality, we excluded them on the basis of the full sample and then re-estimated the model; the estimation results are shown in column (3) of Table 3. The consistency and significance of the estimated coefficients are generally consistent with the baseline results.
4.4. Mechanism Analysis
The above analyses show that the implementation of NCEDC policy can promote regional GI to a certain extent, but through what mechanism does NCEDC policy induce GI? To explain this question, we analysed the transmission mechanism from the perspectives of industrial structure and R&D investment with the help of Equation (2) according to the above research hypothesis.
In order to verify the mechanism of industrial structure (INS), we selected the ratio of the proportion of tertiary industry and secondary industry in the region to measure the level of industrial structure upgrading and estimated it in the mechanism model, and the corresponding estimation results are shown in column (1) of Table 4. The results show that the estimated coefficients of the interaction term between the NCEDC policy dummy variable and industrial structure are significantly positive at the 5% level, indicating that the NCEDC policy can improve the city’s GI capacity by promoting the city’s industrial structure upgrading. Empirical evidence substantiates these findings. For instance, Wuhai City in China, one of the NCEDC policy pilots, has taken advantage of the policy opportunity to launch a series of industrial transformation and green industry development programmes, resulting in the adjustment of the ratio of the structure of the two and three industries from 73.4:25.7 in 2012 to 57.7:41.1 in 2017. And, the development of a large number of high-tech and green industries has generated a huge demand for green innovations, which effectively stimulates the green innovation activities in the region.
Table 4.
Impact mechanism results.
In order to verify the mechanism of innovative R&D investment (RDI), we chose the science and technology expenditure in the regional general fiscal budget expenditure to measure the level of R&D investment [84]. R&D investment is included as a mechanism variable in regression model (2), and the estimation results are shown in column (2) of Table 4. The results show that the estimated coefficient of the interaction term between the NCEDC policy dummy variable and R&D expenditures is significantly positive at the 10% level, indicating that the NCEDC policy will promote the level of urban GI with the help of the capital-driven effect by increasing R&D investment. Practical observations echo the above findings. For example, in Weifang City, China, at the early stage of the implementation of the NCEDC policy, innovation-driven development was established as an important element in the development of the circular economy, and subsidies for scientific and technological innovation were increased for key chemical enterprises, encouraging the resolution of common technological bottlenecks in the industry. This has greatly accelerated the pace of green innovation in the region’s industrial alkali producers, achieving breakthroughs in core key technologies for industrial alkali production and the low-cost, resourceful utilisation of waste alkali.
5. Further Analysis: Heterogeneity Test
The above tests confirm that the NCEDC policy has an ameliorating effect on the GI capacity of cities, but some characteristics of cities can make the GI effect of the policy heterogeneous in different dimensions. To more deeply reveal the applicability of the NCEDC policy and the regional nature of GI, we explored the variability of the policy effect in terms of the geographical location and administrative level of cities.
5.1. Heterogeneity of Urban Location
China is a vast country with large regional differences and uneven and insufficient development between regions [85]. This spatial heterogeneity may lead to differences in the effects of NCEDC policies. To test whether such differences exist, we divided the sample of 265 cities into two parts, eastern cities and mid-western cities, according to criteria provided by the National Bureau of Statistics of China. Each part was included in the model in turn for estimation, and the results in columns (1) and (2) of Table 5 show that the estimated coefficients of NCEDC are significantly positive for the eastern city sample group, but not significant for the mid-western city sample group, indicating that the promotion effect of the NCEDC policy on GI is more pronounced in eastern cities than in mid-western cities. Eastern cities have the relative advantage of location, which is conducive to the concentration of various innovation resources and elements and can provide various types of support for maximum policy implementation, thereby guaranteeing policy effectiveness. Conversely, mid-western regions are constrained by external innovation environments such as innovation platforms and scientific and technological talents, and so they cannot effectively exploit the benefits of NCEDC policy incentives and guidance for regional GI.
Table 5.
Heterogeneity test.
5.2. Heterogeneity of Urban Administrative Levels
According to Wang and Yeh [86], urban development in China is profoundly influenced by the administrative hierarchy of the cities themselves. Cities with high administrative ranks, such as provincial capitals and sub-provincial cities, are at the centre of national development and strategic priorities for development, receiving more attention and support from higher-level governments and enjoying more priority for development. Therefore, differences in the NCEDC policy effects may be moderated by this factor. To analyse the heterogeneous effects of NCEDC policies on GI at different city administrative levels, we divided the study sample group into two groups of higher administrative levels (including provincial capitals and sub-provincial cities) and lower administrative levels (including general level cities) according to the national city administrative level criteria issued by the Chinese government. The two groups were then included separately in the model estimation, and the regression results in columns (3) and (4) of Table 5 show that the NCEDC policy significantly contributes to the GI capacity of municipalities with lower administrative levels, while it does not significantly improve the GI of municipalities with higher administrative levels. Compared with cities with a lower administrative level, cities with a higher administrative level have better initial conditions to support innovation development, more concentrated GI resources, and stronger GI capacity, leading to a weaker marginal effect of the NCEDC policy on the GI level in this type of city. Although GI in cities with lower administrative levels is still in the initial stage, the NCEDC policy can fully mobilise relevant GI resources to gather and tap into the GI potential of cities, thereby enhancing the GI level of such cities.
6. Conclusions and Policy Implications
As a pilot policy, the NCEDC policy is designed to promote the development of a circular economy model in China. The policy has a positive effect on leading technological innovation transformation and upgrading urban GI while improving urban production and lifestyle. A proper understanding of the relationship between the NCEDC policy and GI is crucial for exploring how the economic development model affects the development of GI in a developing country. However, evidence on the influence of NCEDC policies on GI is still insufficient. Therefore, according to the NCEDC policy background and mechanism analysis, we empirically examined the net effect of the NCEDC policy on urban GI using a time-varying DID method with balanced panel data of 265 prefecture-level cities in China from 2004 to 2018 as the research sample. The empirical results show that, the NCEDC policy can indeed promote the improvement of urban GI capacity. However, the dynamic test results indicated a certain lag effect in this impact relationship. Furthermore, placebo tests, substitution of explanatory variables, exclusion of confounding policies, and use of a shortened sample size to conduct robustness tests all showed that our baseline results were stable and convincing. In addition, mechanism and heterogeneity analyses were conducted to enrich the research findings. The mechanism analysis showed that NCEDC policies not only directly improve the GI level of cities, but also have an indirect continuous positive effect on the GI level of cities through key mechanisms such as the industrial structure upgrading effect and the innovative R&D investment effect. The heterogeneity test revealed that different city locations, and administrative levels alter the effect of NCEDC policies. Compared with cities in mid-western China, and cities at higher administrative levels, NCEDC policies have more significant policy effects on GI levels in eastern cities, and cities at lower administrative levels.
The findings of this study have important practical implications for supporting the construction of an urban circular economy, enhancing the strength of GI, and achieving high-quality urban economic development in China. First, our empirical study confirms that the NCEDC policy is effective in improving urban GI. Therefore, the government should continue to adhere to the NCEDC policy and consider developing a reasonable and effective policy extension plan based on a summary of past pilot experiences to apply this policy to a larger field. At the same time, the dynamic evaluation and monitoring mechanism of the NCEDC policy pilot should be further improved and optimised to ensure effective supervision and constraints on the pilot cities. On this basis, through conscious policy design, the NCEDC policy will play the role of a “baton” to guide innovation agents to the path of high-quality GI. Second, mechanism analysis revealed that industrial structure upgrading and innovative R&D investment play an important bridging role in the NCEDC policy-driven GI process. Therefore, on the one hand, the government should speed up factor market reform, improve resource allocation efficiency, accelerate industrial structure transformation and upgrading, and promote the flow and resetting of factor resources as a way to force GI. On the other hand, the government should continuously increase the intensity of R&D investment, improve the efficiency of R&D fund use, and provide financial guarantees for GI activities. Furthermore, it should increase the introduction and cultivation of high-level innovative talent, create a favourable environment for talent development and innovation, stimulate the innovation potential of talent, and inject sustainable power for regional green technological progress. Finally, the heterogeneity analysis showed that implementation of the NCEDC policy should take full account of the differences in the levels of different cities, adopt a governance strategy tailored to local conditions, and explore a characteristic development model in which the circular economy is highly coupled with the conditions of city location and administrative level. For eastern cities, on the basis of maintaining the advantages of the established innovations, strengthen the innovation of the demand side, fully tap into the potential of the green market, strengthen the deep coupling of various types of GI factors, and expand the GI space. For cities in central and western China, focus on the role of government regulation and control, use diversified policy tools, accelerate the adjustment and upgrading of traditional industries, vigorously develop green industries, and cultivate new growth points of demand for GI so as to ensure that the effectiveness of the policy is fully released. For cities with high administrative levels, they should make full use of their administrative resource advantages and focus on the development of green industries with high value-added and high social benefits. This can be done by increasing investment in science and GI, strengthening the training of scientific and technological personnel, and providing more reliable technical support and innovation power for GI. For cities with a lower administrative level, on the basis of making good use of their existing industrial advantages and innovation resources, they can accelerate the pace of GI by cooperating with high-level regions or international organisations, drawing on their successful experiences and advanced technologies, and obtaining the necessary resources and technical support.
Although the NCEDC policy has had a positive impact on urban GI, there are still several important theoretical and practical issues to be explored in the future. First, this study is based on the Chinese spatial field, and whether the findings are applicable to developed countries or other developing countries remains to be investigated through subsequent in-depth comparative studies. Second, this study only adopts the quantitative indicator of the number of green invention patents to measure the level of GI; thus, future studies should attempt to introduce qualitative indicators for a more comprehensive evaluation of GI. Finally, because of the short policy implementation period and the limited sample size, the analysis is not comprehensive; therefore, future research should follow up on the long-term dynamic effects of the policy and further identify other ways to improve GI with the help of theoretical mining.
Author Contributions
Methodology, Y.W., H.L. and Y.L.; Formal analysis, Y.W. and X.W.; Investigation, X.W. and Y.L.; Resources, H.L.; Writing—original draft, Y.W. and H.L.; Writing—review & editing, X.W. and Y.L.; Visualization, Y.L.; Funding acquisition, H.L. All authors have read and agreed to the published version of the manuscript.
Funding
This research was funded by National Social Science Foundation of China (grant number: 20CZZ042), Doctoral Research Initiation Fund of Northwest A&F University (grant number: 2452024066), and 2024 Basic and Applied Basic Research Special Project of Guangzhou (grant number: 2024A04J3979).
Institutional Review Board Statement
Not applicable.
Informed Consent Statement
Not applicable.
Data Availability Statement
Dataset available on request from the authors.
Conflicts of Interest
The authors declare no conflict of interest.
References
- Cuerva, M.C.; Triguero-Cano, Á.; Córcoles, D. Drivers of green and non-green innovation: Empirical evidence in Low-Tech SMEs. J. Clean. Prod. 2014, 68, 104–113. [Google Scholar] [CrossRef]
- de Medeiros, J.F.; Ribeiro, J.L.D.; Cortimiglia, M.N. Success factors for environmentally sustainable product innovation: A systematic literature review. J. Clean. Prod. 2014, 65, 76–86. [Google Scholar] [CrossRef]
- Bi, K.; Huang, P.; Ye, H. Risk identification, evaluation and response of low-carbon technological innovation under the global value chain: A case of the Chinese manufacturing industry. Technol. Forecast. Soc. Chang. 2015, 100, 238–248. [Google Scholar] [CrossRef]
- Lieder, M.; Rashid, A. Towards circular economy implementation: A comprehensive review in context of manufacturing industry. J. Clean. Prod. 2016, 115, 36–51. [Google Scholar] [CrossRef]
- Geissdoerfer, M.; Savaget, P.; Bocken, N.M.P.; Hultink, E.J. The circular economy—A new sustainability paradigm? J. Clean. Prod. 2017, 143, 757–768. [Google Scholar] [CrossRef]
- Kirchherr, J.; Reike, D.; Hekkert, M. Conceptualizing the circular economy: An analysis of 114 definitions. Resour. Conserv. Recycl. 2017, 127, 221–232. [Google Scholar] [CrossRef]
- Korhonen, J.; Honkasalo, A.; Seppälä, J. Circular Economy: The Concept and its Limitations. Ecol. Econ. J. Int. Soc. Ecol. Econ. 2018, 143, 37–46. [Google Scholar] [CrossRef]
- Korhonen, J.; Nuur, C.; Feldmann, A.; Birkie, S.E. Circular economy as an essentially contested concept. J. Clean. Prod. 2018, 175, 544–552. [Google Scholar] [CrossRef]
- Kristensen, H.S.; Mosgaard, M.A. A review of micro level indicators for a circular economy—Moving away from the three dimensions of sustainability? J. Clean. Prod. 2020, 243, 118531. [Google Scholar] [CrossRef]
- Kirchherr, J.; Yang, N.-H.N.; Schulze-Spüntrup, F.; Heerink, M.J.; Hartley, K. Conceptualizing the circular economy (revisited): An analysis of 221 definitions. Resour. Conserv. Recycl. 2023, 194, 107001. [Google Scholar] [CrossRef]
- Ghisellini, P.; Cialani, C.; Ulgiati, S. A review on circular economy: The expected transition to a balanced interplay of environmental and economic systems. J. Clean. Prod. 2016, 114, 11–32. [Google Scholar] [CrossRef]
- Tavera Romero, C.A.; Castro, D.F.; Ortiz, J.H.; Khalaf, O.I.; Vargas, M.A. Synergy between circular economy and Industry 4.0: A literature review. Sustainability 2021, 13, 4331. [Google Scholar] [CrossRef]
- Harris, S.; Martin, M.; Diener, D. Circularity for circularity’s sake? Scoping review of assessment methods for environmental performance in the circular economy. Sustain. Prod. Consum. 2021, 26, 172–186. [Google Scholar] [CrossRef]
- Lieder, M.; Asif, F.M.A.; Rashid, A. Towards Circular Economy implementation: An agent-based simulation approach for business model changes. Auton. Agents Multi-Agent Syst. 2017, 31, 1377–1402. [Google Scholar] [CrossRef]
- Bralina, A. What are the perspectives of the circular economy in Kazakhstan? In Research Square; eLife Sciences Publications Ltd.: Cambridge, UK, 2023. [Google Scholar] [CrossRef]
- He, L.; Sopjani, L.; Laurenti, R. User participation dilemmas in the circular economy: An empirical study of Scandinavia’s largest peer-to-peer product sharing platform. Sustain. Prod. Consum. 2021, 27, 975–985. [Google Scholar] [CrossRef]
- Kirchherr, J.; Bauwens, T.; Ramos, T.B. Circular disruption: Concepts, enablers and ways ahead. Bus. Strategy Environ. 2023, 32, 1005–1009. [Google Scholar] [CrossRef]
- Blomsma, F.; Bauwens, T.; Weissbrod, I.; Kirchherr, J. The ‘need for speed’: Towards circular disruption—What it is, how to make it happen and how to know it’s happening. Bus. Strategy Environ. 2023, 32, 1010–1031. [Google Scholar] [CrossRef]
- Chauhan, C.; Parida, V.; Dhir, A. Linking circular economy and digitalisation technologies: A systematic literature review of past achievements and future promises. Technol. Forecast. Soc. Chang. 2022, 177, 121508. [Google Scholar] [CrossRef]
- Kristoffersen, E.; Blomsma, F.; Mikalef, P.; Li, J. The smart circular economy: A digital-enabled circular strategies framework for manufacturing companies. J. Bus. Res. 2020, 120, 241–261. [Google Scholar] [CrossRef]
- Neligan, A.; Baumgartner, R.J.; Geissdoerfer, M.; Schöggl, J.-P. Circular disruption: Digitalisation as a driver of circular economy business models. Bus. Strategy Environ. 2023, 32, 1175–1188. [Google Scholar] [CrossRef]
- Schiederig, T.; Tietze, F.; Herstatt, C. Green innovation in technology and innovation management—An exploratory literature review. R D Manag. 2012, 42, 180–192. [Google Scholar] [CrossRef]
- Karimi Takalo, S.; Sayyadi Tooranloo, H.; Parizi, Z.S. Green innovation: A systematic literature review. J. Clean. Prod. 2021, 279, 122474. [Google Scholar] [CrossRef]
- Kirikkaleli, D.; Adebayo, T.S. Political risk and environmental quality in Brazil: Role of green finance and green innovation. Int. J. Financ. Econ. 2022, 29, 1205–1218. [Google Scholar] [CrossRef]
- Weng, H.-H.; Chen, J.-S.; Chen, P.-C. Effects of green innovation on environmental and corporate performance: A stakeholder perspective. Sustainability 2015, 7, 4997–5026. [Google Scholar] [CrossRef]
- Yuan, B.; Cao, X. Do corporate social responsibility practices contribute to green innovation? The mediating role of green dynamic capability. Technol. Soc. 2022, 68, 101868. [Google Scholar] [CrossRef]
- Gramkow, C.; Anger-Kraavi, A. Could fiscal policies induce green innovation in developing countries? The case of Brazilian manufacturing sectors. Clim. Policy 2018, 18, 246–257. [Google Scholar] [CrossRef]
- Hu, S.; Liu, S. Do the coupling effects of environmental regulation and R&D subsidies work in the development of green innovation? Empirical evidence from China. Clean Technol. Environ. Policy 2019, 21, 1739–1749. [Google Scholar] [CrossRef]
- Liu, B.; Sun, Z.; Li, H. Can Carbon Trading policies promote regional green innovation efficiency? Empirical data from pilot regions in China. Sustainability 2021, 13, 2891. [Google Scholar] [CrossRef]
- Peng, B.; Zheng, C.; Wei, G.; Elahi, E. The cultivation mechanism of green technology innovation in manufacturing industry: From the perspective of ecological niche. J. Clean. Prod. 2020, 252, 119711. [Google Scholar] [CrossRef]
- Wang, Y.; Yu, L. Can the current environmental tax rate promote green technology innovation?—Evidence from China’s resource-based industries. J. Clean. Prod. 2021, 278, 123443. [Google Scholar] [CrossRef]
- Zhang, W.; Li, G. Environmental decentralization, environmental protection investment, and green technology innovation. Environ. Sci. Pollut. Res. 2020, 29, 12740–12755. [Google Scholar] [CrossRef] [PubMed]
- Kunapatarawong, R.; Martínez-Ros, E. Towards green growth: How does green innovation affect employment? Res. Policy 2016, 45, 1218–1232. [Google Scholar] [CrossRef]
- Tang, M.; Walsh, G.; Lerner, D.; Fitza, M.A.; Li, Q. Green innovation, managerial concern and firm performance: An empirical study: Green innovation, managerial concern and firm performance. Bus. Strategy Environ. 2018, 27, 39–51. [Google Scholar] [CrossRef]
- Guo, Q.; Zhou, M.; Liu, N.; Wang, Y. Spatial effects of environmental regulation and green credits on green technology innovation under low-carbon economy background conditions. Int. J. Environ. Res. Public Health 2019, 16, 3027. [Google Scholar] [CrossRef] [PubMed]
- Hu, J.; Pan, X.; Huang, Q. Quantity or quality? The impacts of environmental regulation on firms’ innovation–Quasi-natural experiment based on China’s carbon emissions trading pilot. Technol. Forecast. Soc. Chang. 2020, 158, 120122. [Google Scholar] [CrossRef]
- Jiang, H.; Jiang, P.; Wang, D.; Wu, J. Can smart city construction facilitate green total factor productivity? A quasi-natural experiment based on China’s pilot smart city. Sustain. Cities Soc. 2021, 69, 102809. [Google Scholar] [CrossRef]
- Jirakraisiri, J.; Badir, Y.F.; Frank, B. Translating green strategic intent into green process innovation performance: The role of green intellectual capital. J. Intellect. Cap. 2021, 22, 43–67. [Google Scholar] [CrossRef]
- Li, D.; Huang, M.; Ren, S.; Chen, X.; Ning, L. Environmental legitimacy, green innovation, and corporate carbon disclosure: Evidence from CDPChina 100. J. Bus. Ethics 2018, 150, 1089–1104. [Google Scholar] [CrossRef]
- Zhang, L.; Cao, C.; Tang, F.; He, J.; Li, D. Does China’s emissions trading system foster corporate green innovation? Evidence from regulating listed companies. Technol. Anal. Strateg. Manag. 2019, 31, 199–212. [Google Scholar] [CrossRef]
- Wagner, M. On the relationship between environmental management, environmental innovation and patenting: Evidence from German manufacturing firms. Res. Policy 2007, 36, 1587–1602. [Google Scholar] [CrossRef]
- Dong, Z.; He, Y.; Wang, H.Z.; Wang, L. Is there a ripple effect in environmental regulation in China?—Evidence from the local-neighborhood green technology innovation perspective. Ecol. Indic. 2020, 118, 106773. [Google Scholar] [CrossRef]
- Jia, X.Y.; Gu, N.H. Does the establishment of intellectual property model cities affect innovation quality. J. Financ. Econ. 2021, 47, 49–63. [Google Scholar] [CrossRef]
- Soewarno, N.; Tjahjadi, B.; Fithrianti, F. Green innovation strategy and green innovation: The roles of green organizational identity and environmental organizational legitimacy. Manag. Decis. 2019, 57, 3061–3078. [Google Scholar] [CrossRef]
- Wu, Y.; Gao, X. Can the establishment of eco-industrial parks promote urban green innovation? Evidence from China. J. Clean. Prod. 2022, 341, 130855. [Google Scholar] [CrossRef]
- Luo, Y.; Salman, M.; Lu, Z. Heterogeneous impacts of environmental regulations and foreign direct investment on green innovation across different regions in China. Sci. Total Environ. 2021, 759, 143744. [Google Scholar] [CrossRef] [PubMed]
- Shao, X.; Liu, S.; Ran, R.; Liu, Y. Environmental regulation, market demand, and green innovation: Spatial perspective evidence from China. Environ. Sci. Pollut. Res. Int. 2022, 29, 63859–63885. [Google Scholar] [CrossRef] [PubMed]
- Unruh, G.C. Understanding carbon lock-in. Energy Policy 2000, 28, 817–830. [Google Scholar] [CrossRef]
- Li, J.; Sun, W.; Song, H.; Li, R.; Hao, J. Toward the construction of a circular economy eco-city: An emergy-based sustainability evaluation of Rizhao city in China. Sustain. Cities Soc. 2021, 71, 102956. [Google Scholar] [CrossRef]
- Shen, H.; Liu, Y. Can circular economy legislation promote pollution reduction? Evidence from urban mining pilot cities in China. Sustainability 2022, 14, 14700. [Google Scholar] [CrossRef]
- Li, H.; Wei, X.; Gao, X. Objectives setting and instruments selection of circular economy policy in China’s mining industry: A textual analysis. Resour. Policy 2021, 74, 102410. [Google Scholar] [CrossRef]
- Pichlak, M.; Szromek, A.R. Linking eco-innovation and circular economy—A conceptual approach. J. Open Innov. Technol. Mark. Complex. 2022, 8, 121. [Google Scholar] [CrossRef]
- Porter, M.E.; van der Linde, C. Toward a new concept of the environment-competitiveness relationship. J. Econ. Perspect. 1995, 9, 97–118. [Google Scholar] [CrossRef]
- Xu, J.; Cui, J. Low-carbon cities and girms’ green technological innovation. China Ind. Econ. 2020, 12, 178–196. (In Chinese) [Google Scholar] [CrossRef]
- Wang, X.; Sun, X.; Zhang, H.; Xue, C. Does green financial reform pilot policy promote green technology innovation? Empirical evidence from China. Environ. Sci. Pollut. Res. 2022, 29, 77283–77299. [Google Scholar] [CrossRef]
- Ma, J.; Hu, Q.; Shen, W.; Wei, X. Does the low-carbon city pilot policy promote green technology innovation? Based on green patent data of Chinese A-share listed companies. Int. J. Environ. Res. Public Health 2021, 18, 3695. [Google Scholar] [CrossRef]
- Zhou, F.; Wang, X. The carbon emissions trading scheme and green technology innovation in China: A new structural economics perspective. Econ. Anal. Policy 2022, 74, 365–381. [Google Scholar] [CrossRef]
- Yin, K.; Miao, Y.; Huang, C. Environmental regulation, technological innovation, and industrial structure upgrading. Energy Environ. 2022, 35, 207–227. [Google Scholar] [CrossRef]
- Fan, F.; Lian, H.; Liu, X.; Wang, X. Can environmental regulation promote urban green innovation Efficiency? An empirical study based on Chinese cities. J. Clean. Prod. 2021, 287, 125060. [Google Scholar] [CrossRef]
- Cao, X.; Deng, M.; Li, H. How does e-commerce city pilot improve green total factor productivity? Evidence from 230 cities in China. J. Environ. Manag. 2021, 289, 112520. [Google Scholar] [CrossRef]
- Wang, L.; Zhang, H. Development of circular economy and optimization of industrial structure for Shandong Province. Energy Procedia 2011, 5, 1603–1610. [Google Scholar] [CrossRef]
- Wei, L.; Zhang, H. How environmental regulations affect the efficiency of green technology innovation? Am. J. Ind. Bus. Manag. 2020, 10, 507–521. [Google Scholar] [CrossRef]
- Jaffe, A.B.; Palmer, K. Environmental regulation and innovation: A panel data study. Rev. Econ. Stat. 1997, 9, 610–619. [Google Scholar] [CrossRef]
- Li, G.; Wang, X.; Wu, J. How scientific researchers form green innovation behavior: An empirical analysis of China’s enterprises. Technol. Soc. 2019, 56, 134–146. [Google Scholar] [CrossRef]
- Song, W.; Yu, H.; Xu, H. Effects of green human resource management and managerial environmental concern on green innovation. Eur. J. Innov. Manag. 2021, 24, 951–967. [Google Scholar] [CrossRef]
- Wicki, S.; Hansen, E.G. Green technology innovation: Anatomy of exploration processes from a learning perspective. Bus. Strategy Environ. 2019, 28, 970–988. [Google Scholar] [CrossRef] [PubMed]
- Porter, M.E. America’s green strategy. Sci. Am. 1991, 264, 168. [Google Scholar] [CrossRef]
- Mei, C.; Liu, Z. Experiment-based policy making or conscious policy design? The case of urban housing reform in China. Policy Sci. 2014, 47, 321–337. [Google Scholar] [CrossRef]
- Beck, T.; Levine, R.; Levkov, A. Big bad banks? The winners and losers from bank deregulation in the United States. J. Financ. 2010, 65, 1637–1667. [Google Scholar] [CrossRef]
- Baron, R.M.; Kenny, D.A. The moderator-mediator variable distinction in social psychological research: Conceptual, strategic, and statistical considerations. J. Personal. Soc. Psychol. 1986, 51, 1173–1182. [Google Scholar] [CrossRef]
- Hsu, M. Green Patent: Promoting Innovation for Environment by Patent System. In Proceedings of the PICMET’07, 2007, Portland International Conference on Management of Engineering & Technology, Portland, OR, USA, 5–9 August 2007; pp. 2491–2497. [Google Scholar] [CrossRef]
- Wurlod, J.; Noailly, J. The impact of green innovation on energy intensity: An empirical analysis for 14 industrial sectors in OECD countries. Energy Econ. 2018, 71, 47–61. [Google Scholar] [CrossRef]
- Tan, Y.; Tian, X.; Zhang, X.; Zhao, H. The real effect of partial privatization on corporate innovation: Evidence from China’s split share structure reform. J. Corp. Financ. 2020, 64, 101661. [Google Scholar] [CrossRef]
- Zhong, J.; Li, T. Impact of financial development and its spatial spillover effect on green total factor productivity: Evidence from 30 provinces in China. Math. Probl. Eng. 2020, 2020, 5741387. [Google Scholar] [CrossRef]
- Xin, B.; Qu, Y. Effects of smart city policies on green total factor productivity: Evidence from a quasi-natural experiment in China. Int. J. Environ. Res. Public Health 2019, 16, 2396. [Google Scholar] [CrossRef] [PubMed]
- Feng, C.; Wang, M.; Liu, G.; Huang, J. Green development performance and its influencing factors: A global perspective. J. Clean. Prod. 2017, 144, 323–333. [Google Scholar] [CrossRef]
- Song, M.; Tao, J.; Wang, S. FDI, technology spillovers and green innovation in China: Analysis based on data envelopment analysis. Ann. Oper. Res. 2015, 228, 47–64. [Google Scholar] [CrossRef]
- Zhai, X.; An, Y. The relationship between technological innovation and green transformation efficiency in China: An empirical analysis using spatial panel data. Technol. Soc. 2021, 64, 101498. [Google Scholar] [CrossRef]
- Li, B.; Wu, S. Effects of local and civil environmental regulation on green total factor productivity in China: A spatial Durbin econometric analysis. J. Clean. Prod. 2017, 153, 342–353. [Google Scholar] [CrossRef]
- Zheng, T.; Wu, J.; Xie, X.; Chen, F. Analysis of technology innovation factors in circular economy system. In Proceedings of the International Conference on Information Management, Innovation Management and Industrial Engineering, Shenzhen, China, 26–27 November 2011; Volume 2, pp. 415–418. [Google Scholar] [CrossRef]
- Hysa, E.; Kruja, A.; Rehman, N.U.; Laurenti, R. Circular economy innovation and environmental sustainability impact on economic growth: An integrated model for sustainable development. Sustainability 2020, 12, 4831. [Google Scholar] [CrossRef]
- Feng, Y.; Wang, X.; Liang, Z.; Hu, S.; Xie, Y.; Wu, G. Effects of emission trading system on green total factor productivity in China: Empirical evidence from a quasi-natural experiment. J. Clean. Prod. 2021, 294, 126262. [Google Scholar] [CrossRef]
- Declercq, B.; Delarue, E.; D’haeseleer, W. Impact of the economic recession on the European power sector’s CO2 emissions. Energy Policy 2011, 39, 1677–1686. [Google Scholar] [CrossRef]
- Guo, Y.; Xia, X.; Zhang, S.; Zhang, D. Environmental regulation, government R&D funding and green technology innovation: Evidence from China provincial data. Sustainability 2018, 10, 940. [Google Scholar] [CrossRef]
- Cheng, J.; Yi, J.; Dai, S.; Xiong, Y. Can low-carbon city construction facilitate green growth? Evidence from China’s pilot low-carbon city initiative. J. Clean. Prod. 2019, 231, 1158–1170. [Google Scholar] [CrossRef]
- Wang, J.; Yeh, A.G. Administrative restructuring and urban development in China: Effects of urban administrative level upgrading. Urban Stud. 2020, 57, 1201–1223. [Google Scholar] [CrossRef]
Disclaimer/Publisher’s Note: The statements, opinions and data contained in all publications are solely those of the individual author(s) and contributor(s) and not of MDPI and/or the editor(s). MDPI and/or the editor(s) disclaim responsibility for any injury to people or property resulting from any ideas, methods, instructions or products referred to in the content. |
© 2024 by the authors. Licensee MDPI, Basel, Switzerland. This article is an open access article distributed under the terms and conditions of the Creative Commons Attribution (CC BY) license (https://creativecommons.org/licenses/by/4.0/).


