Abstract
Overexploitation in wild-capture fisheries is a principal driver of marine biodiversity loss. Currently, efforts are underway to improve the representation of marine damage indicators in Life Cycle Impact Assessment (LCIA) methods. The recently operationalised fisheries impact pathway has introduced fishing impacts on the marine system into the LCIA framework, and the current work seeks to further develop this complex pathway. In total, 5000+ Characterisation Factors for exploited marine organisms have been re-computed with updated fisheries production data (2018), exploring temporal effects on dynamic, biotic resource impacts. An estimation of discarded unwanted by-catch is incorporated into the characterisation. Regional to global scaling factors are tested for the representation of species-specific vulnerability. The temporal and spatial variations in impacts reflect the dynamic nature of real-world fisheries trends, global average impacts increased by 41% (2015–2018). Discarding as an additive, regional estimate increases impacts, most notably for lower impacted stocks. The retention of species-specific detail relating to species distributions is of particular relevance to fisheries when computing global-scale impacts. Updating CFs improves the relevance of the fisheries impact assessment, and continued periodic re-computation is recommended to maintain relevance with real-world trends. Data availability remains a challenge to large-scale marine impact assessment and the continued development of this emergent impact pathway is expected.
1. Introduction
The exploitation of marine species has intensified exponentially since the globalisation and heavy commercialisation of fishing activity, aided by technological advancements increasing the efficiency of fishing efforts [1]. Among the major drivers of marine biodiversity loss [2], the overexploitation of this vital biotic resource has left marine ecosystems pervasively altered [3,4]. Globally, fisheries resources are simultaneously increasingly sought-after and declining due to overexploitation, exacerbated by a range of other synergistic factors [5]. Historically, commercial fishing has been perceived to have little impact on target populations [6]; however, 35% of global stocks are assessed as overfished and, of the remaining 65% still within biologically sustainable levels of exploitation, 57% are at the threshold of overexploitation [7]; meanwhile, reconstructed global fisheries records reveal that the declines are potentially even stronger than those reported [8]. Fish populations provide vital ecosystem services [9] as a globally important source of nutrition, and have socio-economic importance through food security and employment [7], as well as more intrinsic ecological functions [10]. It is therefore imperative to be able to include fisheries in environmental impact assessments and use this understanding to achieve the targets set out by Sustainable Development Goal 14 [11].
Life Cycle Assessment (LCA) is an internationally recognised and standardised [12] decision-assisting tool available to quantify the environmental impacts of food systems [13]. Life Cycle Impact Assessment (LCIA) is the methodological phase of this framework dedicated to quantifying the impacts of emission and extraction-based human interventions associated with the inventory of a products’ lifecycle. Characterisation Factors (CFs) provide the magnitude of a quantified impact associated with an inventory flow on the relevant Area of Protection (AoP), with larger values signifying a greater impact. The quantification of impacts in LCIA continues to develop, through the evolution of existing impact pathways and the introduction of those previously unquantified.
Over the last decade, ocean-based environmental issues have become significantly more evident, but also better understood. Despite this, many anthropogenic impacts on the marine realm are not currently operational in LCIA [14] due to difficulties in untangling complex and synergistic impacts, as well as the issues of data availability and reduced visibility. In LCA studies, the impact of fishing activity has been approached from various perspectives, primarily focused on the indirect climate impacts associated with vessel construction, fuel, gear and processing [15]. However, the direct impacts on marine biodiversity are missing from operational LCA. The critical state of global biodiversity, with a particular focus on oceans that has been increasingly highlighted on the international stage [2,16], provides strong impetus for increased focus on the incorporation of the factors affecting marine biodiversity into the framework.
Some sea use impacts are already well defined in LCA [17]. Various midpoint indicators have been proposed to quantify the removal of fished organisms in terms of resource loss and the loss of primary production [18,19,20]; however, these are not considered operational within current LCIA guidelines [21] where damage to ecosystem quality is measured though the loss of biodiversity. Current innovative efforts to improve the representation of marine indicators address seabed damage [22], marine plastics [23,24], the entanglement of marine species [25], ocean acidification [26], invasive species [27] and fisheries [28]. Discarding by fisheries has been previously addressed through complementary indicators independent of the CF [29] and in small-scale, well-documented fisheries [30]. The novel quantification of the impact of biomass extraction by fisheries on ecosystem quality proposed by Helias et al. [28] is an expansion of a relationship originally introduced to assess biotic resource depletion (BRD) [20]. The association between the inventory (quantity of fish removed) and the impact (depleted stock fraction-DSF) is derived from the Schaefer population model using dynamic system theory. Fisheries are renewable but exhaustible fund resources [31] with discrete replenishment rates and strongly niched, intrinsic ecological functions within naturally occurring communities. This enables a relationship to be drawn between the depletion of this biotic resource [20] and the loss of biodiversity in the exploited area. The depletion of significant portions of a community is known to reduce ecosystem functioning [10], a cornerstone of healthy ecosystems, thus providing the link from interventions in biotic resource extraction to the Ecosystem Quality Area of Protection (AoP).
To the authors’ knowledge, the work of Helias et al. [28] is the first endpoint operationalisation of the fisheries impact pathway towards the Ecosystem Quality AoP, introducing the quantification of the impact of biomass removal by fisheries on marine ecosystems. As a new impact category characterising a complex system, ongoing development is necessary to enhance this quantification, within the constraints of current data availability. The aim of the present work is to update, extend and consolidate this initial proposal considering three main improvements:
- Re-computation of fish stock and species CFs with updated input (catch) data.
CFs generally do not contain temporal dynamism reflecting the variations in impact that occur as a result of any number of drivers (climate change, changing trends in anthropogenic pressure, regulatory measures). The recalculation of fisheries CFs from Helias et al. [28] has provided an opportunity to investigate the magnitude of the impact of updating input data on CFs. A series of comparisons are made between the original (2015) and updated (2018) CFs, including global trends and average variation per fishing region, to better understand the significance of changing fisheries trends when integrated into the LCA framework. This insight into the temporality of CFs opens discussion about the most relevant timeframe of impact assessments, particularly in the context of exploited biotic resources, and as a result, the potential need to periodically revise these factors to maintain relevance with real-world impact trends.
- 2.
- Introduction of additional removal of fish biomass by discarding into characterisation.
Discarding is an element of fishing that contributes to the decline of fish stocks and the subsequent degradation of marine ecosystems. As a portion of the biomass considered as by-catch, it includes whole organisms (living or dead) that are thrown back over-board at sea and not landed [32]. It is considered an unnecessary additional mortality for stocks that are already approaching or over the limit of sustainable exploitation [33], which annually removes an estimated 9.1 million tonnes of marine organisms [34]. The ecological ramifications, a lack of visibility, legal obligations and sparse data records render this activity an important but challenging aspect to integrate into the impact assessment of fisheries, which has received limited attention in operational LCIA. The purpose of the proposed approach is to integrate an estimation of discarding unwanted by-catch as an additional impact within default CFs rather than as complementary indicators, as previous efforts [29] propose, with a method that can be applied consistently at the global scale within the current data constraints.
- 3.
- Retain species-specific vulnerability levels in the scaling of regional to global impacts.
Global CFs reflect the likelihood of an impact to cause species extinction. The conversion permits the relative severity of a regional impact to be understood in terms of contribution to permanent extinction at a global scale. Direct similarities can be drawn between the vulnerability of a species to extinction and the species endemicity—the global distribution of a species. The coherence and opportunities offered by three approaches to this conversion are briefly explored, including the current LCIA recommended, aggregated Global Extinction Probabilities (GEP) [35] and a biomass-derived measure of species endemicity proposed by Helias et al. [28].
2. Material and Methods
The material and methods of the three elements outlined above are addressed separately in the following section.
2.1. Updating Input Data for Endpoint CFs
According to Helias et al. [28], the fisheries characterisation model (Equation (1)) takes the inverse of the growth rate of individual fish stocks as the time component fate factor (FF), and the change in the depleted stock fraction produced by the dynamic population modelling as the effect factor (EF). The CF is the product of the two:
With catch in tonnes or individuals, the stock biomass , the maximum intrinsic growth rate per species , and the carrying capacity of a population in its habitat acting as limiting factors on exponential population growth.
The original CFs were calculated based on the three-year central average for 2015 from the Global Capture Production dataset, aggregated by the FAO Major Fishing Area as quantities of catch (tonnes or individuals) per fished stock (a species in a region). Initial stock biomasses were estimated using the CMSY algorithm [36], and the resulting CFs are available in units species.yr/tonne of fish and PDF.yr/tonne of fish (Potentially Disappeared Fraction of species) in order to be accessible for a range of LCA methodologies.
- The input data have been comprehensively updated to 2018 (3-year average, 2017–2019) in the Global Capture Production dataset [37] (FishStatJ v. 2021.1.2).
- The CMSY algorithm is a re-run (CMSY+ updated version) [36] to generate large-scale, automated estimations of updated stock parameters, including initial biomasses based on species-specific resilience to fishing and new values of catch data. As per Helias et al. [20,28], scaled estimations are used for data-poor stocks.
- The fisheries characterisation model [28] is used to compute new CFs, to account for the temporal update of input data for the following:
5575 FAO stocks (species in a region) regionalised by the FAO inland and marine major fishing area.
1866 species (non-spatialised), biomass-weighted average of all regional values of a given species.
These are available as regional and global-scale impacts, with and without an additive estimation of the impact of discarding included, and are expressed in the following units: species.years/tonne and PDF.year/tonne.
The updated CFs, plus the associated levels of uncertainty and metadata, are available for download: (https://doi.org/10.57745/9YSDIV, accessed on 17 August 2023).
Stocks are classified by a confidence scale (Class I-IV) defined in detail by Helias et al. [20], based on the level of aggregation of the available fisheries data to give a measure of the hypothesised reliability of each stock CF (summarised in Table 1 and available in the metadata of CFs), as well as the suitability for parameterisation by the CMSY+ algorithm.
Table 1.
Summary of the number of marine stocks characterised and total stocks with a confidence level able to be treated by the CMSY+ algorithm (Class I–II), where Class I is the highest confidence level classification, as per [20].
Initial modelling gives CFs in species.year/tonne of fish. CFs are converted to the commonly applied endpoint metric PDF.yr by inverting the approach applied in the ReCiPe guidelines [38]—dividing by a “global total” species richness value. Hanafiah et al. [39] apply a similar unit conversion for freshwater species loss based on IUCN data. The assumption that the depleted stocks are part of the wider ecosystem community of the global ocean allows their relative loss to be expressed against a global marine species value. Previously [28], the endpoint unit conversion from species.yr to PDF.yr was based on a “total” accepted marine species (233,302) recorded under “Kingdom: Animalia” in the WORMs database [40]. This value has since been adjusted (206,527 at time of computation, 2023) and the endpoint unit conversion has been updated to reflect this, ensuring a traceable approach that can convert the unit of the modelled impact to the recommended PDF metric.
2.2. Including Discarding By-Catch in Impact Characterisation
Integrating the impact of discarding unwanted by-catch as an additional loss of biomass in the characterisation of fishing activity is confronted with the challenge of sparse and inconsistent data availability. A regional approach is thus proposed, based on FAO estimations [34] of discards rates/major fishing area. These estimations are derived from an approach proposed by Kelleher. [32] and the landing dataset available from the FishStat J database [37], computed from a sample of 530 fisheries. Discards are incorporated into the fisheries impact pathway as an additive impact within each CF following Equation (2):
where (with discard) and (without) are the CF of a fish stock (a species i in a habitat j, i.e., FAO major fishing area in the present work) according to the fishing pressure applied to that stock, is the FAO supplied discard rate for the corresponding FAO area, and is the weighted geometric mean according to the biomass of the stocks present in the area.
Weighting by stock biomasses is introduced to manage the current pervasive absence of species-specific data on discards. This weighting represents the likelihood of discarded by-catch being proportional to the quantity of each (exploited) population present in the system under the, albeit simplified, assumption that all species can be caught and discarded equally.
No FAO estimation of discarding exists for Area 48 (Artic Sea) due to limited fisheries data for this area. As it is currently unknown whether discarding activities are occurring here, a global mean discard rate is calculated and applied to this region in order to maintain a consistent approach and adhere to precautionary principles.
2.3. Global Scaling Factors
Typically, in LCA, two scales of impact are provided. Regional CFs are spatialised at a defined scale of choice and quantify local, reversible species disappearance. Global CFs assess the contribution of a local impact towards irreversible species extinction globally and are computed via the application of a scaling factor to each regional CF. The scaling factor can be seen to represent a species’ vulnerability to extinction. An approach—Global Extinction Probabilities (GEP)—that defines scaling factor values per species groupings in an ecosystem was proposed [35], based on the available global values of vulnerability to extinction using the IUCN threat level classification.
Fishing impacts differ from other ecosystem quality pathways in that the impacts are incurred directly on a species, meaning impact and Life Cycle Inventory flows are available at the species level, rather than being area-based with the potential to impact any species present [41]. It is therefore most relevant for fisheries impacts to be expressed per species. The aggregation into groups by the GEP approach (e.g., ray-finned fish) does not permit species or region-specific differences in vulnerability to be considered in the resulting global CFs. Two alternative scaling factors are tested in order to explore the retention of the species-level detail that is highly relevant from a fisheries perspective.
Three methods of regional to global conversion are considered and summarised. In each case, the conversion factor is applied as a multiplier to the regional CF as follows:
2.3.1. Relative Endemicity Factor
This scaling factor (Equation (3)) is proposed by Helias et al. [28] and gives a biomass-based conversion factor per species i in region j:
The stocki biomass in regionj is presented relative to the total global biomass of that species . This gives a direct association to the species’ level of endemicity, according to available data. The approach benefits from a minimal number of parameters, available as outputs from the impact modelling. This method of scaling to global impacts can be understood as a measure of relative endemicity, whereby when a species is present in only one region.
2.3.2. Global Extinction Probabilities
The GEP scaling factor proposed by [42] and recently updated and applied to terrestrial, freshwater and marine realms [35] is the scaling approach adopted by the GLAM Initiative. GEPj values combine the Area , Occurrence and Threat Level (of pixels k, in the area j, for species i) for groups of species in a region, as defined by the IUCN database [43]. A conversion factor is available per aggregated species group g, at a defined spatial scale j. The global sum of these regional GEP factors for any species group equals 1, thereby representing global extinction if the species group is lost from every region of occurrence.
To apply aggregated GEP scaling factors to species-level fisheries CFs, the ISCAAP grouping of each stock CF (provided in CF metadata) is used to aggregate species into the seven GEP species groups currently available for the marine realm. This serves as a consistent link between regional fisheries CFs, the most appropriate aggregated group and its associated GEP value. The approach is applicable to marine regions only (not including inland FAO areas 1–7). Where GEP group values are currently unavailable (cnidarians and molluscs), an average GEP value, weighted by the number of species in each aggregated group (available in [35]), is calculated and this “marine value” is applied.
2.3.3. Species-Specific Factor
The aggregation of fisheries CFs to groups, as applied with GEPj factors, masks species-specific differences in vulnerabilities to extinction during the global scaling. The application of the GEP concept at a per-stock, disaggregated scale is therefore explored (intermediary equations for this factor can be found in Supplementary Materials).
The original GEPj [35] is interpreted as the average of the GEP of species groups in the region. Each parameter of Equation (4) is replaced with proxies available from the stock modelling and CMSY+ outputs that are considered equivalent in function to the elements proposed in the original GEPj method, in the context of fish population dynamics.
The regional biomass of a species relative to its total global biomass (as applied in 2.5.1) represents the original Area and Occurrence parameters. Although ~7000 marine species are assessed in the IUCN Red List, the Threat Level values were unable to be matched to many commonly exploited species. This has been replaced by the relationship of the current stock biomass () relative to its carrying capacity (theoretical population maxima supported by the surrounding habitat) across all regions of occurrence (). The global summation introduces the relationship of regional biomass to its largest hypothetical “pristine” population size, completing the Threat Level proxy by giving an indication of the relative depletion of the stock towards extinction. The final species-specific scaling factor, defined by Equation (5), highlights the regional stock vulnerability relative to its global unexploited presence.
2.3.4. Scaling Factor Case Study
A simple case study applying the three scaling factors is used to exemplify how regional fishing pressure and species-specific characteristics, including relative endemicity, can affect vulnerability at the species level, and is therefore relevant to making this distinction available within CFs when scaling regional to global impacts.
3. Results and Discussion
3.1. Updated Regional CFs
Regionalised stock CFs (no discards) are distributed over eight orders of magnitude (OM) between 4.53 × 10−13 PDF.yr/t (9.36 × 10−8 species.yr/t) and 3.16 × 10−6 PDF.yr/t (6.52 × 10−1 species.yr/t), compared to 10 OM in Helias et al. [28], with a similar interquartile range (2 OM). The median value is 1.55 × 10−10 PDF.yr/t (3.10 × 10−5 species.yr/t).
Commercially fished species are not distributed equally throughout the oceans, with some regions receiving a much greater concentration of the global fishing effort (20% in Area 61—0.005% in Area 88). Species-specific responses to exploitation also influence the inter-regional variability of CFs. The total catches reported to the FAO in 2018 were 3% higher than the time series considered by Helias et al. [28], but the regional catch distribution remains in much the same proportions. The total global biomass assessed by the approach fell by 15%. Figure 1 illustrates the distribution of regional CFs. Although more precise fisheries data may exist in some seas, regionalisation by Major Fishing Area is necessary due to the availability of a globally consistent dataset of reported fishing activity at this scale.
Figure 1.
Regional fisheries stock Characterisation Factors (CFs) (all Classes) distribution per marine FAO Major Fishing Area with median, catch-weighted geometric mean (black point) and outliers (purple points) highlighting the distribution and variability of CF values per region.
No strong distribution tendency is visible, but some areas show smaller interquartile ranges, suggesting more coherent data values within these regions—e.g., Northwest Atlantic (21), Eastern Central Atlantic (34) and Western Indian Ocean (51). The geometric mean is calculated, weighted by catches in the region, and is generally a lower value than the median (Figure 1); this is due to a more consistent performance over a wide data distribution, with the majority within or at the extremity of the lower bound of the interquartile range. Exceptions include Areas 18, 58, 81 and 88, where the geometric mean exceeds the median, primarily explained by the limited data points in polar areas. Areas 27, 47, 48, 61 and 87 also display geometric means outside of the lower quartile.
The level of exploitation, accounted for through the catch weighting, alters the average impacts, ranging between a maximum of 2.19 × 10−10 PDF.yr/t in Area 21 (North West Atlantic) and minimum of 3.45 × 10−12 PDF.yr/t (7.13 × 10−7 species.yr/t) in Area 61 (Northwest Pacific). Higher average impacts are also present in the Pacific South West (81), Eastern Indian (57), Atlantic Southwest (41) and Atlantic Western-Central (31) oceans. The Southern Ocean (Areas 48, 88 and 58) also have high average CFs. In the Pacific Antarctic (Area 88), although the average CF for this area suggests that high impacts exist here (7.97 × 10−9 PDF.yr/t, 1.65 × 10−3 species.yr/t), this is based on only 1 Class I stock (Antarctic toothfish, 83% of regional catch). Although high potential impacts from fishing activity are coherent with ecologically sensitive areas with highly adapted, slow-maturing, long-lived species such as the polar seas, caution should be applied when interpreting results from these areas, due to data limitations lowering the level of certitude.
3.2. Temporal Variation
When the 2018 CFs are compared with the 2015 values, the lower bound values show an increase of 2 orders of magnitude in 2018 (1.56 × 10−15 PDF.yr/t to 4.53 × 10−13 PDF.yr/t); however, the maximum values remain within the same magnitude (1.51 × 10−6 to 3.16 × 10−6). The interquartile range has increased non-significantly, remaining within the same order of magnitude (5.55 × 10−9 PDF.yr/t–8.62 × 10−9 PDF.yr/t). The median impact has increased from 8.42 × 10−10 PDF.yr/t in 2015 to 1.36 × 10−9 PDF.yr/t in 2018.
To understand the general trends in temporal change between the two comparison years, Figure 2 plots all Stock CFs (Class I–III) for the comparison years 2015 and 2018. The shape of the trend remains consistent, with a noticeable shift towards values above (left of) the first bisector, corresponding to the presence of larger impact values in 2018 CFs.
Figure 2.
Distribution of species (non-spatialised) Characterisation Factors (CFs) computed using 2015 and 2018 fisheries input data [37]. CFs computed by authors following the approach of Helias et al. [28]. Skewing of data points above the first bisector indicates that impact values have increased in 2018 compared to 2015. Species values are the biomass-weighted average of all regional CFs of the same species, intended for use in LCA studies if the location of the inventory extraction is unknown.
Fifteen-year time series are available for all CFs as an output of the characterisation modelling, showing the evolution of the impact over time. The temporal relationship between the stock biomass, fishing pressure and impact is an interesting additional resource that allows a deeper interrogation of the biotic response to fishing. At the global scale, temporal CF evolution reveals a clear increase in impact magnitude; non-spatialised (species) impacts have increased by 63% over the last 15 years, with a median increase of 41% during the three-year period (2015–2018). Figure 3 shows the percentage change in the catch-weighted geometric regional mean CF (Class I) between 2015 and 2018.
Figure 3.
Percentage change (2015–2018) in catch-weighted geometric mean regional impact—Class I stock CFs in FAO marine Major Fishing Areas. The result of computing impact values from more recent fisheries data to reflect more relevant impacts on exploited stocks. An increase in the mean impact implies that the damaging effect on ecosystem quality resulting from the exploitation of stocks in the area has increased.
Almost all regions have experienced an increase in average impacts between 2015 and 2018, ranging between 2 and 420%, with only Areas 37, 41 and 87 experiencing reductions. Weighting the average by the reported catch allows the most relevant information to be taken into account. Despite catches remaining stable (−1.5%) in Area 47, a large average impact increase and 35% assessed biomass reduction suggest the potential degradation of stocks, although the unavailability of comprehensive stock assessments makes this difficult to validate [44] and the impacts remain low relative to other areas. Similar trends are found in Area 51 where an increasing catch (16%) and reduced assessed biomass (−19%) drive rising impacts. Consistent increases in relatively high impacts are noted across the Southern Ocean (88, 58), although limited data for this area lowers the confidence of these results.
The Mediterranean and Black Sea (37) is an area with historically high levels of overexploitation [45], and the average impact remains relatively high compared to other regions, particularly when considering its size. Recently, however, significant efforts have been employed to combat this extreme depletion [46], and as a preliminary sign of improvement between 2016 and 2018, the percentage of over-exploited stocks fell by a reported 10% [45,46,47], whilst simultaneous increases in the biomass of assessed stocks was reported [47]. Area 87 (Pacific Southeast) is dominated by Peruvian anchoveta (Engraulis ringens), the single largest fishery in the region (60% of catches). The region has one of the lowest average regional impacts, despite also being the most exploited fishery in the world (9% global catches), due to the stock’s large biomass, rapid reproductive rate [48], and improved management [49]. The reduction in the average regional CF in Area 87 (−25%) and to a lesser extent Area 41 (−11%) may be a possible link to the influence of external climatic patterns (such as ENSO) on fish populations during this period [50,51], although this is outside the scope of this impact assessment.
The pressure exerted on fisheries is inherently dynamic, influenced by a vast range of environmental and biological characteristics as well as highly variable trends in anthropogenic demand. Most regional impacts logically follow the rises and falls in production trends in their respective area over the last 20 years [52], e.g., Area 41 (−18% catch, −10% biomass, −11% CF). Areas exhibiting increases in impact despite reduced catches (e.g., Area 81 −10% catch, −15% biomass, +22% CF) are of greater cause for concern, suggesting the potential for severe declines in stocks in the area.
When the temporal variation in the regional average impacts is considered, the majority have increased, but often not by significant orders of magnitude. This, when compared with the magnitude of changes between individual stocks, suggests that a level of compensation operates within regions, whereby some stocks are being depleted, whilst others are more stable. This is logical when considering that not all stocks are at the brink of extinction, but does not diminish the severity of the impacts occurring within stocks.
The re-computation of CFs provides a rare opportunity to explore how updating the Effect Factor in line with the trends in a given pressure can influence the magnitude of the impact. Although dynamism in LCA is an active area of discussion, CFs are typically a static, aggregated representation of dynamic impacts, limiting their ability to represent system variability [53]. A consistent inter-annual increase in global impacts provoked by variable fisheries trends (2015–2018) is considered a strong argument for the periodic revision of default fisheries CFs. This is particularly relevant for wild, biotic resources with reactive system characteristics, such as fisheries, as the balance of internal non-linear responses to external pressures, including exploitation, can cause rapid changes in the degree of impact, through extreme depletion or (positive or negative) changes in stock management. Five years represents a compromise between re-computational effort and the importance of capturing the real-time changes occurring in fish stocks to improve the relevance of impact assessments in line with fish stock dynamics, as they are influenced by management shifts, changing consumption trends and stock health. Similar considerations have been made in other impact categories such as Abiotic Resource Depletion [54], where the use of up-to-date factors is recommended, to the most recent 5-year period. The re-calculation of CFs with more precise fisheries indicators is also able to provide a more precise, finer-scale impact assessment, as accomplished by [55], depending on data availability.
3.3. Discards: An Addition Source of Biomass Loss
The addition of discards to the characterisation of the impacts of fishing elicits a logical increase in their magnitude as a function of both the rate per area and the respective biomass of stocks in the region. CFs including discards (Class 1) span six orders of magnitude between 2.09 × 10−12 PDF.yr/t (4.31 × 10−7 species.yr/t) and 1.22 × 10−6 PDF.yr/t (2.53 × 10−1 species.yr/t). As this approach is based on a per region rate, the impact is spatially variable. The inclusion of discards is an additive impact with a median regional CF increase between 2% and 30% (Figure 4).
Figure 4.
Distribution of per-region effects of including a discards estimate in fisheries; Characterisation Factors (CF) without (light blue) and including (darker blue) discards as an additional source of stock biomass loss, in units of Potentially Disappeared Fraction (PDF) of species.
The median regional impacts consistently increase (Figure 4) but remain within the same order of magnitude (10−10). There is a marked effect on lower-impact CFs, with the lower regional distribution increasing; there are particularly prominent effects in many fishing regions, including 27, 34, 51 and 67.
The inclusion of discards in the characterisation can have significant effects on species CFs, emphasising the importance of this factor’s inclusion within fisheries impact assessment. Figure 5 illustrates the distribution of non-spatialised species CFs, including and excluding discards, with values for Gadus morhua highlighted. The addition of an estimate of the assumed discards associated with the removal of Atlantic Cod increases the impact by approximately one order of magnitude (from 4.75 × 10−12 PDF.yr/t to 3.09 × 10−11 PDF.yr/t).
Figure 5.
Characterisation Factors (CF) in Major Fishing Area 27 without (left plot) and including (right plot) discards in the impact value in Potentially Disappeared Fraction (PDF) units, highlighting the increase in impact when discards are considered in the characterisation; this is highlighted for the historically highly commercialised species Gadus morhua (Atlantic cod).
Discarding occurs throughout the global ocean for a variety of reasons, including high-grading and regulatory limits such as the minimum catch size [56], type of fishing gear, as well as the accidental capture of non-target, protected or endangered species [34]. The nature of this activity means that few consistent data (species, quantities or subsequent mortality rates) are reported. Although a portion of discarded organisms may survive and re-join reproducing populations, the survival probability can be dramatically reduced by stress and injuries sustained during extraction and opportunistic predation [57]. Therefore, despite species-specific differences in susceptibility [33], 100% mortality is assumed [58], i.e., that discarding leads to the removal of that portion of biomass from the reproductive population; this is in order to deal with the data limitations of this portion of “unaccounted” fishing mortality.
Regional discard rates are applied for consistency in the regionalised characterisation approach and in the strong influence of regional biodiversity patterns on the composition of discarded taxa [58], whilst remaining applicable at the global scale. Additional FAO discard rates are available for the fishing gear type and species groupings [34]. As FAO catch data are highly aggregated, the proportions of catch by gear type are unavailable, and it is therefore unfeasible to apply rates by gear type, despite the additional influence this is known to have on the species and quantities ultimately discarded [32]. The quality of estimates by species group are highly variable due to data availability and the extensive use of “misc. marine fish” in recorded taxonomic identification. These considerations therefore lead to the application of regional rate estimates. Unless it is known to the practitioner that no discarding occurs in the fishery, the current estimation approach is considered preferable to its omission from the impact assessment.
3.4. Regional to Global Scaling
The results have so far focused on regional-scale impacts. Global CFs broaden the perspective of the impact assessment, to give an indication of the relative contribution of a local-scale impact to the potential permanent extinction of a species. A level of conformity is found between the median values of CFs converted using the three scaling factors, particularly for relative endemicity (4.45 × 10−10 PDF.yr/t) and species-specific (4.27 × 10−10 PDF.yr/t) factors, with some non-significant variation (1 order of magnitude) exhibited by the GEP (4.69 × 10−11 PDF.yr/t). Figure 6 illustrates the relationship between the three methods used to perform regional to global scaling.
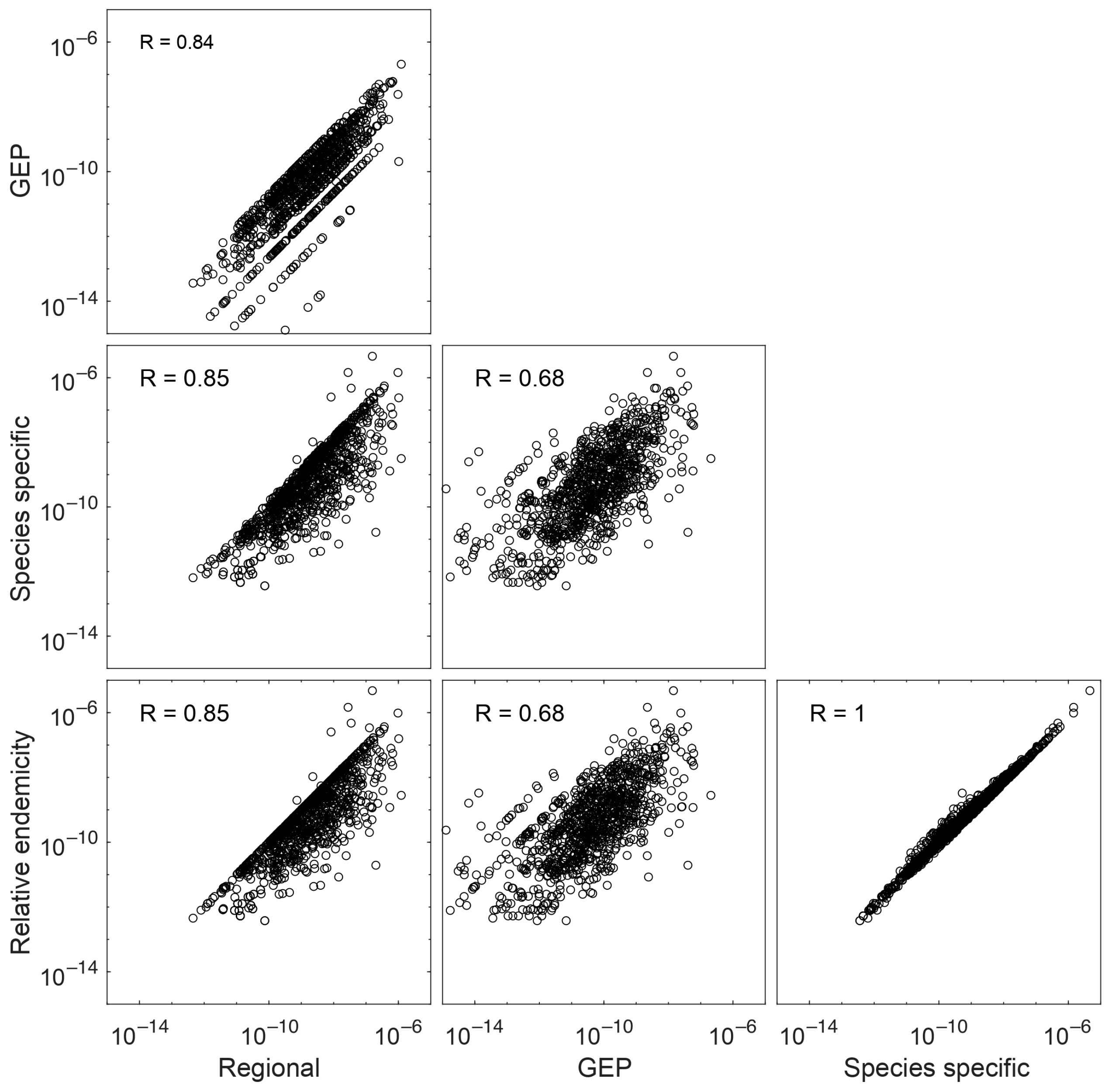
Figure 6.
Relationship between regional and global-scale CFs (Class 1 stocks) from 2018 input data, converted using three regional to global scaling factor methods (GEP, relative endemicity and species-specific). R values in log scale.
The two alternative factors share an important level of correlation (R = 1) due to the strong influence of the biomass parameter present in both. All factors have a near-identical level of correlation to regional-scale CFs (RE and SS R = 0.85, GEP R = 0.84). The scattering of data below the first bisector (Figure 6) highlights that, in general, global impacts are smaller than at the regional scale as expected, with the exception of endemic species. Between the two alternative factors, there is no significant difference in performance. It is noted that the two alternatives do not share the characteristic of the GEP where the species group GEP values sum to 1 globally; this relationship is instead embedded in the computation of the scaling factor.
Regional to Global Scaling: Case Study
To demonstrate the differences that result from the use of alternative regional to global scaling factors, two exploited coastal species in Area 27 (North-east Atlantic) are presented. Eelpout (Zoarces viviparus) is considered endemic to Area 27 due to a continuous record of exploitation only in this area. It is a small species of minor commercial value, but is of greater ecological importance as a food item for other larger predators [59]; it is therefore listed as of Least Concern [60]. The Atlantic bonito (Sarda sarda) is a species of high commercial interest, evaluated by the IUCN in 2010 as of Least Concern [61], with a widespread distribution along the coastal extents of the Atlantic Ocean and Mediterranean Sea. Figure 7 demonstrates the difference in performance of the three regional to global scaling factors used in the computation of global CFs for these two species.
Figure 7.
Performative differences between three regional to global scaling factors for the global characterisation of two fished species (Sarda sarda and Zoarces viviparus) in the FAO Major Fishing Area 27. There are regionally similar magnitude of impacts, but due to the occurrence of Zoarces viviparus only in Area 27, this impact should be considered a greater contribution to potential species extinction at the global scale, as shown by the relative endemicity and species-specific scaling approaches.
The stocks exhibit almost identical regional CFs, motivating their selection for the case study. The GEP factor generates near identical global CFs (1.42 × 10−8 PDF.yr/1.88 × 10−8 PDF.yr), as both species are aggregated to the species group “Ray-finned fish” so share the same scaling factor. When the alternative scaling factors are applied, considerable inter-species differences (2 orders of magnitude) appear in the impact exhibited by the two species. Differences are also noted for the same species between scaling factors, exhibiting one and three orders of magnitude greater impacts for Sarda sarda and Zorarces viviparus, respectively, when compared to the GEP values.
From an ecological perspective, endemic species should have a higher global CF, as the depletion of a species occurring in only one area represents a higher likelihood of extinction than the local depletion of a cosmopolitan species, due to the inability to be repopulated by an external population [62]. This is demonstrated by the visible variation in the impact magnitude between the endemic (Zorarces viviparus) and cosmopolitan (Sarda sarda) species with the application of the alternative scaling factors, an effect that is hidden by the aggregation of vulnerability to a single value in the GEP approach. Differences both in the magnitude of impact and between species demonstrates the importance of differentiating between species at the global scale, which is of direct interest in the context of fisheries management.
The computational differences of the global conversion factors explored in this paper may put their use outside of the current operational scope of LCA methodologies such as GLAM. However, the value of retaining the species level at the global level motivates the exploration of alternative approaches to regional to global scaling. This methodological point is currently pertinent to fisheries in the context of Ecosystem Quality due to the availability of species-level impact data, which are less common for terrestrial taxa [63]; however, this also serves to open discussions for the potential future development of other impact pathways, as more species-level data become available.
3.5. Uncertainty
Two types of quantifiable uncertainty accompany the resulting CFs. Quantitative uncertainty is propagated through the approach according to computation, stemming from FAO input data giving upper/lower 95% confidence intervals for all CFs, separated by an average of two orders of magnitude (OM). Although large, when considered with a spread of data over eight OM, this is considered reasonable, and in line with other emerging impact pathways such as micro-plastics [24]. Qualitative uncertainty is characterised according to data availability, derived from several factors including algorithm non-convergence due to short catch time-series and multi-species stocks or non-fish species, for which the data are less certain or require estimations. The classification of each CF (I–V), as per Helias et al. [20], is available in the CF metadata. The presence of uncertainty in such an approach is inevitable and should not dissuade against use, but simply provide a margin to guide the interpretation of subsequent results. When considering the temporal variation in CFs, the uncertainty remains reasonably high (2 OM) as an artefact of multiple layers of estimation and the data inputs required by the modelling process, and does not detract from the relevance of periodically updating CFs.
Regionalised estimation for discards is acknowledged to be an over-simplification of reality [34], leading to potential over or under estimation for certain stocks. This assumption is necessary, however, to enable a globally consistent method of inclusion within the current data constraints, without introducing more assumptions for which comprehensive data are currently unavailable. Similarly, a biomass weighting is introduced to manage the lack of precise taxonomic data pertaining to this activity. The assumption is taken that all species have a likelihood of being caught and therefore also discarded, proportional to their frequency of occurrence within a region. The current approach only includes species reported as catch, although discarded items can also include significant quantities of non-commercial species such as turtles and dolphins [34]. Until sufficient data become available, this first incorporation is a generic inclusion to represent the mass of additional biomass that is also removed during fishing activity but otherwise unaccounted for. Although confidence intervals are available with the FAO discard rate estimations, these are not included in the quantification of uncertainty, as the resulting uncertainty is considerably diminished by the introduction of the impact over an averaged regional CF.
A general level of uncertainty is related to the scaling of regional to global impacts. The GEP factor increases the granularity of global CFs due to aggregation. The algorithm-generated biomasses used in the Relative Endemicity factor present a source of uncertainty that is taken into account throughout the approach. The alternative species-specific scaling factor is an exploratory approach based on proxy parameters, whose confidence levels are also accounted for within the uncertainty bounds.
3.6. Operationalisation, Recommendations and Perspectives
3.6.1. Operationalisation
The UN Environment Programme-supported Global Life Cycle Impact Assessment Method (GLAM) is a Life Cycle Initiative project improving the methodological robustness and harmonisation of LCIA. This development was prepared in accordance with the requirements of the methodology-building Phase 3 (2019–2023), for the fisheries working group of the Ecosystem Quality Task Force. It is one of several new impact pathways focussed on quantifying impacts on biodiversity [64]. Although prepared in the context of GLAM, the characteristics that are currently unique to fisheries impact assessment mean that an abundance-based approach is most relevant for quantifying the impact of the removal of portions of stocks during fishing. This raises questions regarding its compatibility with the current status-quo endpoint indicator, requiring that the first operationalisation of the GLAM method will not include fisheries impacts. Incorporation into the Impact World+ methodology is expected following a unit conversion to incorporate the impacts over a spatial scale (m2).
3.6.2. Recommendations
- The periodic re-computation of default CFs with updated stressor data is considered highly relevant for reactive, dynamic biotic resources such as fisheries. Five-year intervals are recommended as an acceptable compromise between computational effort and the magnitude of potential change.
- LCA practitioners are recommended to include discards as additional inventory, using study-specific data (species and quantities) where available, and using CFs without additive discard impact (CFi,j). As this is often not the case, CFs with a weighted regional discard estimation are available and recommended for implementation as the unspecified, default CF, unless discarding is known to not take place. Online expert workshops in the context of GLAM further recommended that the “unspecified” CF in an LCA software should include discards by default, with the regular CF “without discards” available as a sub-compartment. As more data become available, the approach should develop simultaneously to reflect these improvements.
- The goal and scope of this study should inform the choice of regional to global scaling factors. For studies comparing multiple impact pathways, GEPs should be applied to maintain endpoint consistency and comparability. If the study focuses on fisheries impacts, it would be beneficial to assess stock-specific global impacts. In this case, the Relative Endemicity Factor [28] is recommended due to the relative maturity of the method and minimal data requirements.
3.6.3. Perspectives
The endpoint unit conversion to PDF is currently applied to both global and regional CFs, despite causing an over-representation at the regional scale. An improvement on regional unit conversion would be the use of a regional total species richness value; however, due to data availability, this is not currently operational and remains a point for future improvement. The abundance-based nature of this impact assessment raises discussion around the interpretation of the PDF metric for representing biodiversity impacts. The development of complementary indicators assessing other facets of biodiversity loss is an important future development for representing ecosystem damage in LCIA.
Marine ecosystems are more complex than the sum of their fished populations, and the repercussions of fishing reach further than commercially targeted species. The next developmental stage of the impact pathway should build upon the stock-based approach, introducing an ecosystem-scale assessment to the characterisation. Taking ecosystem dynamics into account alongside direct removals will further increase the comprehensiveness of fisheries impact assessment on marine biodiversity.
4. Conclusions
An updated, comprehensive set of operational, default CFs for exploited marine species is now available to LCA practitioners, for stocks (per FAO area) and non-spatialised species, at regional and global scales and including or excluding the estimated impact of discarding unwanted by-catch. The re-calculation of CFs with more precise fisheries indicators can increase the relevance of the assessment to a specific area. Otherwise, practitioners should make the most appropriate choice of default CF given the inventory and study scope.
Regional differences in fisheries impact trends highlight the importance of regionalisation in impact assessment. Retaining species-specific detail when scaling regional to global impacts is shown to be relevant for fish stocks, particularly endemic species. Long and short-term increases in the impact of fishing are revealed as fishing trends and the state of stocks vary, suggesting that the periodic re-computation of CFs for biotic resources is beneficial to maintain the relevance of the assessment. A regional estimation of discarding is now able to be included directly in the characterisation of fisheries in LCIA.
This work provides both a temporal revision of CF values and the methodological development of an original impact pathway towards the more representative quantification of the direct impact of fishing activity on the marine ecosystem. Investigating the effects of dynamic pressure trends on CFs makes a case for the further discussion of the temporality of CFs, which are relevant for both fisheries and LCIA more generally. As an emergent impact pathway, elements of the approach that are currently based on estimations are expected to develop as more precise data become available.
Supplementary Materials
The following supporting information can be downloaded at: https://www.mdpi.com/article/10.3390/su16093870/s1. Characterisation Factors can be downloaded at: https://doi.org/10.57745/9YSDIV (accessed on 17 August 2023).
Author Contributions
Conceptualization, C.S.-C., A.H. and E.L.; methodology, C.S.-C. and A.H.; software, C.S.-C.; validation, A.H. and E.L.; formal analysis, C.S.-C.; investigation, C.S.-C. and A.H.; resources, C.S.-C. and A.H.; data curation, C.S.-C.; writing—original draft preparation, C.S.-C.; writing—review and editing, A.H., E.L. and C.S.-C.; visualization, C.S.-C. and A.H.; supervision, A.H. and E.L.; project administration, E.L.; funding acquisition, E.L. All authors have read and agreed to the published version of the manuscript.
Funding
This research was funded by the French National Research Agency and Fonds de recherche du Québec (ANR-19-FQSM-0004).
Institutional Review Board Statement
Not Applicable.
Informed Consent Statement
Not applicable.
Data Availability Statement
The original data presented in the study are openly available at: https://doi.org/10.57745/9YSDIV (accessed on 17 August 2023).
Conflicts of Interest
The authors declare no conflicts of interest.
References
- Cole, H. Contemporary challenges: Globalisation, global interconnectedness and that “there are not plenty more fish in the sea”. Fisheries, governance and globalisation: Is there a relationship? Ocean Coast. Manag. 2003, 46, 77–102. [Google Scholar] [CrossRef]
- Balvanera, P.; Pfaff, A.; Viña, A.; García-Frapolli, E.; Merino, L.; Minang, P.A.; Nagabhatla, N.; Hussain, S.A.; Sidorovich, A.A. IPBES Global Assessment Report on Biodiversity and Ecosystem Servcies: Chapter 2.1 Status and Trends-Drivers of Change; IPBES Secretariat: Bonn, Germany, 2019; ISBN 978-3-947851-20-1. [Google Scholar]
- Halpern, B.S.; Walbridge, S.; Selkoe, K.A.; Kappel, C.V.; Micheli, F.; D’Agrosa, C.; Bruno, J.F.; Casey, K.S.; Ebert, C.; Fox, H.E.; et al. A Global Map of Human Impact on Marine Ecosystems. Science 2008, 319, 948–952. [Google Scholar] [CrossRef] [PubMed]
- Jackson, J.B.C.; Kirby, M.X.; Berger, W.H.; Bjorndal, K.A.; Botsford, L.W.; Bourque, B.J.; Bradbury, R.H.; Cooke, R.; Erlandson, J.; Estes, J.A.; et al. Historical overfishing and the recent collapse of coastal ecosystems. Science 2001, 293, 629–637. [Google Scholar] [CrossRef] [PubMed]
- IOC-UNESCO. State of the Ocean Report; IOC-UNESCO: Paris, France, 2022. [Google Scholar]
- Pauly, D.; Watson, R.; Alder, J. Global trends in world fisheries: Impacts on marine ecosystems and food security. Philos. Trans. R. Soc. B Biol. Sci. 2005, 360, 5–12. [Google Scholar] [CrossRef] [PubMed]
- FAO. The State of World Fisheries and Aquaculture 2022; FAO: Rome, Italy, 2022. [Google Scholar]
- Pauly, D.; Zeller, D. Catch reconstructions reveal that global marine fisheries catches are higher than reported and declining. Nat. Commun. 2016, 7, 10244. [Google Scholar] [CrossRef] [PubMed]
- Holmlund, C.M.; Hammer, M. Ecosystem services generated by fish populations. Ecol. Econ. 1999, 29, 253–268. [Google Scholar] [CrossRef]
- Villéger, S.; Brosse, S.; Mouchet, M.; Mouillot, D.; Vanni, M.J. Functional ecology of fish: Current approaches and future challenges. Aquat. Sci. 2017, 79, 783–801. [Google Scholar] [CrossRef]
- United Nations. The Sustainable Development Goals Report 2022; United Nations: San Francisco, CA, USA, 2022; Available online: https://unstats.un.org/sdgs/report/2022/%0A (accessed on 3 July 2023).
- Finkbeiner, M.; Inaba, A.; Tan, R.; Christiansen, K.; Klüppel, H.-J. The New International Standards for Life Cycle Assessment: ISO 14040 and ISO 14044. Int. J. Life Cycle Assess. 2006, 11, 80–85. [Google Scholar] [CrossRef]
- Sala, S.; Anton, A.; McLaren, S.J.; Notarnicola, B.; Saouter, E.; Sonesson, U. In quest of reducing the environmental impacts of food production and consumption. J. Clean. Prod. 2017, 140, 387–398. [Google Scholar] [CrossRef]
- Woods, J.S.; Veltman, K.; Huijbregts, M.A.J.; Verones, F.; Hertwich, E.G. Towards a meaningful assessment of marine ecological impacts in life cycle assessment (LCA). Environ. Int. 2016, 89–90, 48–61. [Google Scholar] [CrossRef]
- Avadí, A.; Fréon, P.; Tam, J. Coupled ecosystem/supply chain modelling of fish products from sea to shelf: The Peruvian anchoveta case. PLoS ONE 2014, 9, e102057. [Google Scholar] [CrossRef] [PubMed]
- United Nations. The Second World Ocean Assessment; United Nations: San Francisco, CA, USA, 2021. [Google Scholar]
- Langlois, J.; Fréon, P.; Steyer, J.-P.; Delgenès, J.-P.; Hélias, A. Sea-use impact category in life cycle assessment: State of the art and perspectives. Int. J. Life Cycle Assess. 2014, 19, 994–1006. [Google Scholar] [CrossRef]
- Emanuelsson, A.; Ziegler, F.; Pihl, L.; Sköld, M.; Sonesson, U. Accounting for overfishing in life cycle assessment: New impact categories for biotic resource use. Int. J. Life Cycle Assess. 2014, 19, 1156–1168. [Google Scholar] [CrossRef]
- Langlois, J.; Fréon, P.; Steyer, J.-P.; Delgenès, J.-P.; Hélias, A. Sea use impact category in life cycle assessment: Characterization factors for life support functions. Int. J. Life Cycle Assess. 2015, 20, 970–981. [Google Scholar] [CrossRef]
- Hélias, A.; Langlois, J.; Fréon, P. Fisheries in life cycle assessment: Operational factors for biotic resources depletion. Fish Fish. 2018, 19, 951–963. [Google Scholar] [CrossRef]
- Verones, F.; Bare, J.; Bulle, C.; Frischknecht, R.; Hauschild, M.; Hellweg, S.; Henderson, A.; Jolliet, O.; Laurent, A.; Liao, X.; et al. LCIA framework and cross-cutting issues guidance within the UNEP-SETAC Life Cycle Initiative. J. Clean. Prod. 2017, 161, 957–967. [Google Scholar] [CrossRef] [PubMed]
- Woods, J.S.; Verones, F. Ecosystem damage from anthropogenic seabed disturbance: A life cycle impact assessment characterisation model. Sci. Total Environ. 2019, 649, 1481–1490. [Google Scholar] [CrossRef]
- Lavoie, J.; Boulay, A.M.; Bulle, C. Aquatic micro- and nano-plastics in life cycle assessment: Development of an effect factor for the quantification of their physical impact on biota. J. Ind. Ecol. 2021, 26, 2123–2135. [Google Scholar] [CrossRef]
- Corella-Puertas, E.; Hajjar, C.; Lavoie, J.; Boulay, A.M. MarILCA characterization factors for microplastic impacts in life cycle assessment: Physical effects on biota from emissions to aquatic environments. J. Clean. Prod. 2023, 418, 138197. [Google Scholar] [CrossRef]
- Høiberg, M.A.; Woods, J.S.; Verones, F. Global distribution of potential impact hotspots for marine plastic debris entanglement. Ecol. Indic. 2022, 135, 108509. [Google Scholar] [CrossRef]
- Scherer, L.; Gürdal, İ.; van Bodegom, P.M. Characterization factors for ocean acidification impacts on marine biodiversity. J. Ind. Ecol. 2022, 26, 2069–2079. [Google Scholar] [CrossRef]
- Lonka, R.; Verones, F.; Stadler, K. The MarINvaders Toolkit. J. Open Source Softw. 2021, 6, 3575. [Google Scholar] [CrossRef]
- Hélias, A.; Stanford-Clark, C.; Bach, V. A new impact pathway towards ecosystem quality in life cycle assessment: Characterisation factors for fisheries. Int. J. Life Cycle Assess. 2023, 28, 367–379. [Google Scholar] [CrossRef]
- Vázquez-Rowe, I.; Moreira, M.T.; Feijoo, G. Inclusion of discard assessment indicators in fisheries life cycle assessment studies. Expanding the use of fishery-specific impact categories. Int. J. Life Cycle Assess. 2012, 17, 535–549. [Google Scholar] [CrossRef]
- Hornborg, S.; Svensson, M.; Nilsson, P.; Ziegler, F. By-catch impacts in fisheries: Utilizing the iucn red list categories for enhanced product level assessment in seafood LCAS. Environ. Manag. 2013, 52, 1239–1248. [Google Scholar] [CrossRef] [PubMed]
- Sonderegger, T.; Dewulf, J.; Fantke, P.; de Souza, D.M.; Pfister, S.; Stoessel, F.; Verones, F.; Vieira, M.; Weidema, B.; Hellweg, S. Towards harmonizing natural resources as an area of protection in life cycle impact assessment. Int. J. Life Cycle Assess. 2017, 22, 1912–1927. [Google Scholar] [CrossRef]
- Kelleher, K. Discards in the world’s marine fisheries—An update. FAO Fish. Tech. Pap. 2005, 16, 177–178. Available online: http://www.ncbi.nlm.nih.gov/pubmed/22092731 (accessed on 10 August 2023).
- Gilman, E.; Perez Roda, A.; Huntington, T.; Kennelly, S.J.; Suuronen, P.; Chaloupka, M.; Medley, P.A.H. Benchmarking global fisheries discards. Sci. Rep. 2020, 10, 14017. [Google Scholar] [CrossRef] [PubMed]
- Pérez Roda, M.A.; Gilman, E.; Huntington, T.; Kennelly, S.J.; Suuronen, P.; Chaloupka, M.; Medley, P. A third assessment of global marine fisheries discards. FAO Fish. Aquac. Tech. Pap. 2019, 633, 1–78. Available online: https://www.fao.org/documents/card/en/c/ca2905en/ (accessed on 17 August 2023).
- Verones, F.; Kuipers, K.; Núñez, M.; Rosa, F.; Scherer, L.; Marques, A.; Michelsen, O.; Barbarossa, V.; Jaffe, B.; Pfister, S.; et al. Global extinction probabilities of terrestrial, freshwater, and marine species groups for use in Life Cycle Assessment. Ecol. Indic. 2022, 142, 109204. [Google Scholar] [CrossRef]
- Froese, R.; Demirel, N.; Coro, G.; Kleisner, K.M.; Winker, H. Estimating fisheries reference points from catch and resilience. Fish Fish. 2017, 18, 506–526. [Google Scholar] [CrossRef]
- FAO. Fisheries Division, S. and I.B. FishStatJ: 2020; Universal Software for Fishery Statistical Time Series; FAO: Rome, Italy, 2020. [Google Scholar]
- Goedkoop, M.J.; Heijungs, R.; Huijbregts, M.A.J.; De Schryver, A.; Struijs, J.; van Zelm, R. ReCiPe 2008—A life cycle impact assessment method which comprises harmonised category indicators at the midpoint and endpoint level. Report 1: Characterisation. Minist. Volkshuisv. Ruimt. Ordening Milieubeh. 2013, 126, 8–9. [Google Scholar]
- Hanafiah, M.M.; Leuven, R.S.E.W.; Sommerwerk, N.; Tockner, K.; Huijbregts, M.A.J. Including the introduction of exotic species in life cycle impact assessment: The case of inland shipping. Environ. Sci. Technol. 2013, 47, 13934–13940. [Google Scholar] [CrossRef] [PubMed]
- Boxshall, G.A.; Mees, J.; Costello, M.J.; Hernandez, F.; Bailly, N.; Boury-Esnault, N.; Gofas, S.; Horton, T.; Klautau, M.; Kroh, A.; et al. World Register of Marine Species. WoRMS Editorial Board. 2017. Available online: http://www.marinespecies.org (accessed on 5 January 2023).
- Chaudhary, A.; Brooks, T.M. Land Use Intensity-Specific Global Characterization Factors to Assess Product Biodiversity Footprints. Environ. Sci. Technol. 2018, 52, 5094–5104. [Google Scholar] [CrossRef] [PubMed]
- Kuipers, K.J.J.; Hellweg, S.; Verones, F. Potential Consequences of Regional Species Loss for Global Species Richness: A Quantitative Approach for Estimating Global Extinction Probabilities. Environ. Sci. Technol. 2019, 53, 4728–4738. [Google Scholar] [CrossRef] [PubMed]
- IUCN. The IUCN Red List of Threatened Species; Version 2017-3; IUCN: Gland, Switzerland, 2017. [Google Scholar]
- SEAFO. South East Atlantic Fisheries Organisation Report of the 11th Annual Meeting of the Compliance Committee; SEAFO: Swakopmund, Namibia, 2019; Volume 264, pp. 1–14. [Google Scholar]
- FAO. The State of Mediterranean and Black Sea Fisheries 2016; FAO: Rome, Italy, 2016. [Google Scholar]
- FAO. The State of Mediterranean and Black Sea Fisheries; FAO: Rome, Italy, 2018. [Google Scholar]
- FAO. The State of Mediterranean and Black Sea Fisheries 2020; FAO: Rome, Italy, 2020. [Google Scholar] [CrossRef]
- Froese, R.; Pauly, D. (Eds.) FishBase, World Wide Web electronic publication. Version (04-2022); Available online: https://fishbase.org (accessed on 19 November 2022).
- Oliveros-ramos, R. Adaptive management of fisheries in response to climate change. In Adaptive Management of Fisheries in Response to Climate Change; FAO: Rome, Italy, 2021. [Google Scholar] [CrossRef]
- Diamond, H.J.; Schreck, C.J.E. State of the Climate in 2015. Bull. Am. Meteorol. Soc. 2016, 97, 93–130. [Google Scholar] [CrossRef]
- Bertrand, A.; Lengaigne, M.; Takahashi, K.; Avadí, A.; Poulain, F.; Harrod, C. El Niño Southern Oscillation (ENSO) Effects on Fisheries and Aquaculture; FAO Fisheries and Aquaculture Technical Paper No. 660; FAO: Rome, Italy, 2020. [Google Scholar]
- Hoagland, P.; Bailey, M.; Bergstrom, L.; Bundy, A.; Evans, K.; Hidalgo, M.; Johnson, A.; de Kourantidou, M.F.; Lana, O.; Marschoff, E. The Second World Ocean Assessment; United Nations: San Francisco, CA, USA, 2021; Volume Two, pp. 217–234. [Google Scholar]
- Beloin-Saint-Pierre, D.; Albers, A.; Hélias, A.; Tiruta-Barna, L.; Fantke, P.; Levasseur, A.; Benetto, E.; Benoist, A.; Collet, P. Addressing temporal considerations in life cycle assessment. Sci. Total Environ. 2020, 743, 140700. [Google Scholar] [CrossRef] [PubMed]
- van Oers, L.; Guinée, J.B.; Heijungs, R. Abiotic resource depletion potentials (ADPs) for elements revisited—Updating ultimate reserve estimates and introducing time series for production data. Int. J. Life Cycle Assess. 2020, 25, 294–308. [Google Scholar] [CrossRef]
- Wermeille, A.; Gaillet, G.; Asselin, A.C. Don’t miss the big fish! Operational accounting of two major drivers of marine biodiversity loss in LCA of seafood products. J. Clean. Prod. 2024, 435, 140245. [Google Scholar] [CrossRef]
- Batsleer, J.; Hamon, K.G.; van Overzee, H.M.J.; Rijnsdorp, A.D.; Poos, J.J. High-grading and over-quota discarding in mixed fisheries. Rev. Fish Biol. Fish. 2015, 25, 715–736. [Google Scholar] [CrossRef]
- Broadhurst, M.K.; Suuronen, P.; Hulme, A. Estimating collateral mortality from towed fishing gear. Fish Fish. 2006, 7, 180–218. [Google Scholar] [CrossRef]
- Zeller, D.; Cashion, T.; Palomares, M.; Pauly, D. Global marine fisheries discards: A synthesis of reconstructed data. Fish Fish. 2018, 19, 30–39. [Google Scholar] [CrossRef]
- Mendez, N. Dynamics and growth of the eelpout Zoarces viviparus in the western Dutch Wadden Sea. NIOZ Rep. 2014, 2, 30. [Google Scholar]
- Nieto, A.; Ralph, G.M.; Comeros-Raynal, M.T.; Heessen, H.J.L.; Rijnsdorp, A.D.; Dulvy, N.K.; Walls, R.H.L.; Russell, B.; Pollard, D. European Red List of Marine Fishes; Publications Office of the European Union: Luxembourg, 2015; Available online: http://library.wur.nl/WebQuery/wurpubs/fulltext/345883 (accessed on 17 August 2023).
- IUCN. The IUCN Red List of Threatened Species; Version 2022-2; IUCN: Gland, Switzerland, 2022. [Google Scholar]
- Lamoreux, J.F.; Morrison, J.C.; Ricketts, T.H.; Olson, D.M.; Dinerstein, E.; McKnight, M.W.; Shugart, H.H. Global tests of biodiversity concordance and the importance of endemism. Nature 2006, 440, 212–214. [Google Scholar] [CrossRef] [PubMed]
- Troudet, J.; Grandcolas, P.; Blin, A.; Vignes-Lebbe, R.; Legendre, F. Taxonomic bias in biodiversity data and societal preferences. Sci. Rep. 2017, 7, 9132. [Google Scholar] [CrossRef]
- Woods, J.S.; Damiani, M.; Fantke, P.; Henderson, A.D.; Johnston, J.M.; Bare, J.; Sala, S.; Maia de Souza, D.; Pfister, S.; Posthuma, L.; et al. Ecosystem quality in LCIA: Status quo, harmonization, and suggestions for the way forward. Int. J. Life Cycle Assess. 2018, 23, 1995–2006. [Google Scholar] [CrossRef]
Disclaimer/Publisher’s Note: The statements, opinions and data contained in all publications are solely those of the individual author(s) and contributor(s) and not of MDPI and/or the editor(s). MDPI and/or the editor(s) disclaim responsibility for any injury to people or property resulting from any ideas, methods, instructions or products referred to in the content. |
© 2024 by the authors. Licensee MDPI, Basel, Switzerland. This article is an open access article distributed under the terms and conditions of the Creative Commons Attribution (CC BY) license (https://creativecommons.org/licenses/by/4.0/).






