Abstract
Under the combined influences of climate change and human activities, the western Jilin (WJ) Province, as a typical ecologically fragile area, has experienced ecological degradation and resource depletion. Therefore, it is urgently needed to assess its ecological carrying capacity (ECC) to provide scientific support for regional ecological protection and resource management. This study integrated the “Pressure-State-Response” (P-S-R) model with the “production, living, and ecological spaces” (PLES) conceptual model to construct a comprehensive evaluation indicator system for ECC. The indicator weights were calculated using a Bayesian BWM-CRITIC-CWDF linear combination method, and the spatial–temporal distribution of ECC was then assessed using an improved TOPSIS and gray relational analysis (GRA). This evaluation model overcomes the limitations of traditional methods in weight allocation, indicator correlation, and non-linear effects, providing a more accurate, reliable, and objective assessment of ECC. Furthermore, a bivariate spatial autocorrelation model was applied to reveal the interaction between the “coupling coordination degree (CCD) of PLES” and ECC. The results indicate that the ECC value was divided into a period of decline (2000–2010) and a period of growth (2010–2020); spatially, the ECC level transitioned from a high-west, low-east to a high-east, low-west pattern. This change was primarily driven by factors such as fertilizer usage, per capita GDP, and per capita output. The “CCD of PLES” and ECC indicated positive spatial correlation, primarily forming “high-high” and “high-low” clusters. This study provides a reliable evaluation index system and an evaluation model for evaluating ECC in WJ. The findings provide a theoretical foundation for the region’s sustainable development and offer valuable insights for ecological carrying capacity research.
1. Introduction
Ecological carrying capacity (ECC) refers to an ecosystem’s ability to self-regulate and maintain balance within a given time and region, thereby supporting the maximum sustainable levels of resource utilization and environmental consumption required by human socio-economic activities [1]. Due to global population growth, increasing resource consumption, and increasing environmental pollution—particularly within the context of rapid industrialization and urbanization—many regions are confronting ecological degradation, resource depletion, and a decline in ecosystem services. Addressing how to effectively utilize and protect ecological resources while avoiding ecosystem overloading has become a core challenge for global sustainable development [2]. The scientific assessment and rational regulation of ECC are essential for environmental protection, resource management, and regional planning. Furthermore, ECC is crucial for ensuring the coordinated development of ecological and socio-economic systems [1,3]. Consequently, research on ECC holds substantial scientific value for environmental management and regional sustainability.
ECC, a key indicator for assessing regional ecological changes and sustainable development potential, has garnered significant attention within the ecological domain. Currently, numerous scholars have conducted extensive studies on ECC from various disciplinary and methodological perspectives. The research object covered many levels, including national [4], provincial [5,6], municipal, urban agglomeration [7,8], and watersheds [9,10]. The research objectives focused on various ecosystem types, including water resources [11], croplands [12], alpine grasslands [13], forest resources [14], and aquatic ecosystems [15]. Currently, TOPSIS is a widely used multi-attribute decision-making method among research methodologies. The calculation process of the TOPSIS method is straightforward and easy to understand [16,17,18]. However, the traditional TOPSIS method has notable limitations in determination of weight, making it vulnerable to subjective assessments. Therefore, to obtain more reliable weights, researchers optimized the TOPSIS method by integrating both subjective and objective weighting approaches. Among the various approaches, the entropy weighting method is the most commonly used for calculating objective weights. However, it is predominantly dependent on objective data and neglects to consider the correlations among indicators [19,20]. The Analytic Hierarchy Process (AHP) is a widely used subjective weighting method that addresses the weighting problem in TOPSIS [21]. However, in the AHP method, experts are required to make pairwise comparisons among all indicators. As the quantity of indicators increases, the number of comparisons increases, which can lead to decision fatigue. This fatigue may generate judgment biases, thereby diminishing the reliability of the decision outcomes [22,23]. In contrast, the Best–Worst Method (BWM) minimizes the number of required comparisons, therefore improving the efficiency of the decision-making process and increasing the reliability of the results. Nonetheless, the traditional BWM relies exclusively on the judgment of a single evaluator to determine the optimal weights for a set of indicators, failing to incorporate the viewpoints of multiple evaluators. To overcome this issue, Mohammadi proposed a Bayesian BWM weighting approach, where indicators are treated as stochastic events, and weights represent the likelihood of each event’s occurrence. This approach facilitates the incorporation of several decision-makers’ perspectives in the weight determination process [24]. Secondly, the result obtained from the TOPSIS evaluation was a rigid solution that only reflects the relative positions of data curves on a distance scale. However, the utility of attribute values and their boundary utilities do not always change linearly in practice. In contrast, gray relational analysis (GRA) assessed the correlation between the curves of the evaluation series and the reference series based on geometric similarity, effectively addressing nonlinear relationships [25,26]. The combination of GRA and TOPSIS makes up for the shortcomings of TOPSIS.
Land use change is a major driver of global environmental change [27]. Diverse land use categories exert varying influences on ECC. The current disorderly land use patterns have adversely affected ecological stability, productivity, and living conditions, leading to a decline in ECC [28]. In 2012, China introduced a strategy aimed at constructing efficient production, suitable living, and attractive ecological spaces [29]. This strategy aims to achieve integrated planning and coordinated development of production, living, and ecological spaces, referred to as the “coupling coordination degree (CCD) of production, living, and ecological spaces (PLES)”. Enhancing the “CCD of PLES” can effectively mitigate ecological and environmental pressures. This can be achieved by optimizing land use structures to improve efficiency, reduce carbon emissions, and decrease environmental pollution per unit of land area. In turn, this promotes sustainable environmental improvement and supports high-quality economic development, ultimately boosting ECC [30,31]. The theoretical basis for the “CCD of PLES” is primarily derived from carrying capacity theory. A higher ECC not only helps reduce flood risks and improve water quality, but also fosters the coordinated development of “CCD of PLES”. Therefore, integrating the evaluation of the “CCD of PLES” with ECC, and examining their interactive relationship, is crucial for regional sustainable development and the advancement of ecological civilization. However, research exploring ecological carrying capacity from the perspective of the “CCD of PLES” realms remains limited, and the mutual relationship between the two has not been fully explored. This gap may lead to overdevelopment in high-capacity areas and resource wastage in low-capacity areas, ultimately reducing land resource utilization efficiency. Such limitations hinder both the theoretical and practical progress in the efficient use of land resources and the coordinated development of ecosystems.
ECC refers to the fundamental ability of an ecosystem to maintain the stability of its structure and functions. It is an essential indicator for evaluating ecological protection and sustainable development. Given the significance of ECC assessments and the existing research gap concerning the interaction between the “CCD of PLES” and ECC, this study focuses on the WJ. The objectives of this research are as follows: to construct an ECC evaluation indicator system based on the “PLES–PSR” framework, to calculate indicator weights using the Bayesian BWM–CRITIC–CWDF linear combination method, to assess ECC using the improved distance TOPSIS–GRA model, and to explore the mechanisms driving changes in ECC. Furthermore, a bivariate spatial autocorrelation model is employed to analyze the spatial correlation between the “CCD of PLES” and ECC, quantifying their relationship. The technological roadmap is presented in Figure 1.
Figure 1.
Technology roadmap.
2. Materials and Methods
2.1. Study Area
WJ is located in the southwestern part of the Songnen Plain, an ecologically fragile zone, encompassing 11 counties, namely Tongyu County, Taonan City, Taobei City, Ningjiang City, Da’an City, Zhenlai County, Qianguo County, Qian’an County, Changling County, Fuyu City, and Shuangliao City (Figure 2). This region lies at the interface between semi-moist and semi-arid climates. The average annual temperature is 4.5 °C, with cold, dry winters, rapid spring warming, low precipitation, and high evaporation. The total area of the region exceeds 47,000 km2. Extensive wetlands cover the region, covering 83.637 km2. Notable wetlands include nationally protected reserves such as Xianghai, Chagan Lake, and Momoge. These wetlands play a critical role in regulating the local microclimate, maintaining air humidity, and replenishing groundwater supplies.
Figure 2.
The geographical location of the study area (abbreviations on the map to the right are counties and cities).
2.2. Data Sources
The land use data for the period 2000–2020 utilized in this study were obtained from the Data Center for Resource and Environmental Sciences at the Chinese Academy of Sciences (http://wwwhttp://www.resdc.cn/), with a spatial resolution of 30 m. Remote sensing data on precipitation, air temperature, and vegetation cover were sourced from the China Earth System Science Data Center (http://www.geodata.cn/), with a spatial resolution of 1 km. Socioeconomic data for the study area were obtained from the National Bureau of Statistics website (https://www.stats.gov.cn/), the Jilin Provincial Bureau of Statistics website (http://tjj.jl.gov.cn/tjsj/tjnj, accessed on 19 November 2024), as well as from the Baicheng Statistical Yearbook and the Songyuan Statistical Yearbook. The landscape pattern index was derived from the land use data and calculated using Fragstats. In this study, we used a 6 × 6 km grid as the smallest unit of analysis. This scale provides sufficient spatial resolution to capture variations in ecological processes within the region, while mitigating the computational complexity associated with smaller scales. Furthermore, the 6 × 6 km scale is well-suited to the existing 30 m land use data, enabling the representation of diverse land use types within a single cell. This, in turn, facilitates the subsequent construction of the “CCD of PLES” model. To ensure uniformity with the grid scale, we applied spatial interpolation methods in ArcGIS 10.8 to convert the statistical data into raster format. Finally, all datasets were resampled to a 6 × 6 km grid scale using ArcGIS 10.8.
2.3. Methods
2.3.1. Construction of ECC Evaluation Model
The “Pressure-State-Response” (PSR) model is widely used to assess the causal relationship between nature–society–economy. Due to the irrational development and utilization of regional resources caused by human activities, the ecological environment has been damaged, putting pressure on ecosystems of WJ (P), which in turn led to change in ecological status (S) and a rapid decline in ECC. Therefore, local governments and individuals took measures (R) to stop, mitigate, and prevent actions that were detrimental to the ecological environment or to restore the sustainable development and utilization of regional resources. This study focuses on the characteristics of the “production–living–ecological” spaces functions characteristics in WJ, and constructs a “pressure–state–response” indicator system for each of space subsystems. Finally, the ecological carrying capacity indicator system based on the comprehensive framework of “PLES-PSR” is formed [32]. Specific indicators are shown in Table 1.
Table 1.
ECC evaluation index system and weighting.
Indicator Weight Calculation
Determination of subjective weights: The Bayesian best–worst method is an improved version of the BWM, which combines Bayesian theory and BWM, using a probabilistic approach instead of arithmetic averaging, and is able to incorporate the opinions of multiple decision makers to find the optimal aggregated weights. In the next step, Bayesian BWM is used to determine the subjective weights of the indicators [24].
Step 1: Identify the best indicator and the worst indicator from the system of evaluation indicators.
Step 2: Determine the degree of preference of the best indicator over all other indicators using the numbers 1 to 9, with 1 representing equal importance and 9 representing extreme importance, and the larger the number the greater its importance. Obtain the comparison matrix:
Step 3: Determine the degree of preference of all other indicators relative to the worst criterion. Obtain the comparison matrix:
Step 4: Calculation of cumulative weights: the method of Bayesian BWM given below clusters expert opinions from a probabilistic point of view. According to the following probabilistic model, obtain the cumulative weights and the weights of each decision maker , k = 1, …, K.
γ ~ gamma (0.1, 0.1), ~ Dir (1), where multinomial is a multinomial distribution, Dir is a Dirichlet distribution, gamma (0.1, 0.1) is a gamma distribution with a shape parameter of 0.1. The Monte Carlo method is called JAGS.
Determination of objective weights: in this study, the CRITIC method was used to determine the objective weights [75].
is the coefficient of variation, is the standard deviation of denotes the correlation coefficient between the ith indicator and the jth indicator, where is the mean value of (i = 1, 2, …, n); is the amount of information; is the objective weight.
Combination weighting of the distance function: this study determines the degree of difference by calculating the distance between the two types of weights. Then, the combination weights are obtained using linear weighting [76].
Construct a distance function relationship:
where is the weight value calculated by the Bayesian BWM method, is the weight value calculated by the CRITIC method, is the combined weight value, which is a linear weighting of the two methods.
and are the proportions of two different weights, to have the same distance. The simplified expression is as follows:
Calculation of Ecological Carrying Capacity
The TOPSIS model is a comprehensive evaluation method for multi-attribute decision-making. When the traditional TOPSIS method calculates the Euclidean distance, the sum of the weights after squaring is no longer equal to 1, and the influence of the weights is amplified [77], so it is changed to calculate the Euclidean distance and weighting simultaneously [78]. In addition, gray relational analysis (GRA) is combined to evaluate ecological carrying capacity. The improved distance TOPSIS-GRA model is formed.
Step 1: Establishment of an indicator standardization matrix.
Step 2: Determine positive and negative ideal solutions:
where the positive ideal solution and the negative ideal solution consist of the maximum and minimum values of each metric, respectively.
Step 3: Determine the distances from the evaluation object to the and :
and are the distances of the jth evaluation object to and , respectively, and is the weight of the jth indicator.
Step 4: Determine the gray correlation coefficients:
and are the gray relations of the jth evaluation object from and , respectively, is the two-level minimum value difference, and is t the two-level maximum value difference, and is the resolution factor, ∈[0, 1], which is used to increase the variability of the correlation coefficient, and is valued at 0.5 in this study.
Step 5: Determine the relative closeness:
where = = 0.5; T is used to represent the ECC, T ranges from 0 to 1, and the larger the T, the closer the ECC is to the optimal level so as to determine the level of ECC.
2.3.2. Kernel Density Estimation
Kernel density estimation (KDE) is a non-parametric technique in probability theory used to estimate unknown probability density functions. Unlike parametric methods, non-parametric estimation does not rely on prior assumptions, but instead derives a distribution directly from the data’s characteristics, often resulting in more accurate models. KDE leverages only the information inherent in the data, thereby eliminating subjective prior knowledge and avoiding potential errors that may arise from arbitrarily defining the functional form or approximating the data. In this study, KDE is employed to analyze the temporal changes in ecological carrying capacity, revealing trends in the ecological carrying capacity of western Jilin from 2000 to 2020 [79].
is the observation; is the mean value of the observation; is the Gaussian kernel function; is the number of sample observations; denotes the bandwidth. In this study, the optimal bandwidth is selected based on the principle of minimizing the mean square deviation.
2.3.3. Geographical Detector
Geographical Detector is a statistical technique used to analyze spatial heterogeneity and identify its driving factors. The underlying theory posits that, if an independent variable significantly influences a dependent variable, their spatial distributions should exhibit similarity. Geographical Detectors encompass factor detection, interaction detection, ecological detection, and risk detection. In this study, factor detection and interaction detection are applied within the Geographical Detector framework to investigate the mechanisms influencing ecological carrying capacity. Indicator factors are treated as independent variables, while ecological carrying capacity values serve as the dependent variable. The Geographical Detector model is then used to calculate the contribution (q-value) of each factor to ecological carrying capacity. The detailed methodology is provided in [48].
2.3.4. Constructing the “CCD of PLES” Evaluation Model
Identifying and Quantifying the PLES
In this study, the research results and methods of previous researchers, including Zhao Yue [80] and Zou Yan [81], are used to classify and identify the dominant functions of the PLES in the WJ (Table 2).
Table 2.
PLES classification system and dominant function score criteria.
The constructed 6 km × 6 km geographic grid is overlaid with the 30 m land use data for western Jilin. The area of each land use type within each grid is calculated, and the area of each land use serves as the basis of the PLES score. A comprehensive evaluation model is applied to determine the dominant function values for each geographic grid within the PLES.
is the value of the dominant function of the PLES of each grid, i is the land type, n is the total number of land types within each grid, is the proportion of the area occupied by the i-th land type within the grid, and is the score of the dominant function of the i-th land type.
Improved Coupled Coordination Degree Models
PLES have a relationship of mutual promotion and mutual constraints. The coupled coordination degree model can reflect the coordinated development of the PLES from disorder to order.
C is the coupling degree; are the PLES dominant function scores, respectively; T is the PLES dominant function comprehensive evaluation index; , and are the weights of the PLES space scores, which are usually considered to be of equal importance in previous calculations [29,82]. However, to more accurately assess the co-ordination of the three, a higher weight should be given to systems with a higher degree of variability [83]. Therefore, the standard deviation method is invoked, where the higher the standard deviation of the indicator, the higher the internal dispersion of the system, and a higher weight should be assigned [84]. Thus, the contribution coefficients of the systems are as follows:
where refers to the contribution coefficient of the system ( = 1, 2, …, n) and is the standard deviation.
D is the degree of coupling coordination, and the higher the D value, the higher the level of “CCD of PLES”.
2.3.5. Bivariate Spatial Autocorrelation
Spatial autocorrelation is a method used to assess the degree of spatial aggregation and correlation of a variable, which can be classified into global and local autocorrelation. Bivariate spatial autocorrelation captures the potential spatial interdependence between the values of two variables. To further investigate the relationship between the “CCD of PLES” and ECC in WJ, a bivariate spatial autocorrelation analysis is conducted, exploring the interactions between these two variables [85]. Global spatial autocorrelation is then employed to identify the overall spatial clustering patterns of the “CCD of PLES” and ECC in WJ. The calculation formula is as follows:
The bivariate global Moran’s I index (I) ranges from −1 to 1. A positive spatial correlation between the two variables is indicated when I is greater than zero, while a negative spatial correlation is indicated when I is less than zero. When I is close to zero, it suggests no spatial correlation between the variables. n represents the number of spatial units in the calculation. refers to the observed value of “CCD of PLES” in region i, and refers to the observed value of ecological carrying capacity in region j. represents the mean of the observed values in the study area, and is the spatial weight matrix between spatial units i and j. In this study, the spatial weight matrix is constructed using the Queen contiguity method. The p-value and Z-value are commonly used for significance testing. Statistically significant Z-values and p-values were determined using a two-sided test with a 99% confidence interval, where the critical value was set at 2.58.
The bivariate local spatial autocorrelation captures the spatial correlation between different regions with respect to the “CCD of PLES” and ECC. The formula for calculation is as follows:
The index denotes the bivariate local Moran’s I statistic, where and represent the standardized values of regions i and j, respectively.
3. Results
3.1. Ecological Carrying Capacity Evaluation in WJ
The weights obtained through the Bayesian BWM-CRITIC-CWDF combined weighting method are presented in Table 1. Using Equations (1)–(19), the carrying capacities of subsystems in western Jilin (WJ) from 2000 to 2020 were evaluated, leading to the calculation of the overall ecological carrying capacity for the region. The resulting values predominantly ranged between 0.6 and 1.0. To more accurately identify potential regional differences in ECC, this study conducted a comprehensive review of the relevant literature and utilized the natural breaks method to categorize ecological carrying capacity into five levels [86], namely, “extremely low (0–0.4485)”, “low (0.4486–0.7007)”, “middle (0.7008–0.7889)”, “relatively high (0.7890–0.8684)”, and “high (0.8685–1)”. The years 2000, 2005, 2010, 2015, and 2020 were selected as representative years to illustrate the spatiotemporal evolution of ECC from 2000 to 2020.
3.1.1. Spatial–Temporal Evolutionary Characteristics of Subsystem Carrying Capacity
As shown in Figure 3, there are significant differences in subsystem carrying capacities across different regions. The ecological space subsystem carrying capacity (ESCC) declined from 2000 to 2010, followed by an upward trend from 2010 to 2020. Areas with high ESCC values were primarily located in Changling County, likely due to the large areas of woodland and grassland, higher forest coverage, and more abundant precipitation. Conversely, areas with low ESCC values were mainly concentrated in Zhenlai County and Da’an City, where soil desertification and salinization were more severe. The production space subsystem carrying capacity (PSCC) showed an overall trend opposite to that of ESCC. PSCC values increased significantly from 2000 to 2010, followed by a slight decline from 2010 to 2020. This change is likely due to the shift from high economic growth to high-quality development, which slowed economic development and led to a slight decrease in PSCC values. High PSCC values were observed in economically developed areas such as Taobei City and Fuyu County. The living space subsystem carrying capacity (LSCC) decreased continuously from 2000 to 2015, before increasing from 2015 to 2020. The spatial pattern changed from high in the west and low in the east to high in the east and low in the west.
Figure 3.
Spatial–temporal characteristics of subsystem carrying capacity in WJ.
3.1.2. Spatial–Temporal Evolutionary Characteristics of Ecological Carrying Capacity in WJ
The average ecological carrying capacity (ECC) values for 2000, 2005, 2010, 2015, and 2020 were 0.7745, 0.7962, 0.7533, 0.7482, and 0.8046, respectively, exhibiting fluctuations in an “N” shape, with an overall upward trend. The ECC distribution shifted from high values in the west and low values in the east to high values in the east and low values in the west. Between 2000 and 2005, the average ECC value increased, with a decrease in low ECC areas and an expansion of high ECC areas. The proportions of “extremely low” and “low” ECC decreased by 1% and 3%, respectively, while the proportions of “medium” and “relatively high” ECC increased by 1% and 6%, respectively. From 2005 to 2010, the average ECC value showed greater fluctuations, with significant changes in ECC levels. Low ECC areas expanded notably, and the proportion of “extremely low” and “low” ECC increased by 1% and 15%, respectively, encroaching on high ECC areas. Consequently, the proportions of “relatively high” and “high” ECC decreased by 13% and 3%, respectively. Between 2010 and 2015, the average ECC value slightly declined, with the proportion of “high” ECC dropped by 9%. From 2015 to 2020, the average ECC value increased by 0.0564. Low ECC areas significantly decreased, while high ECC areas showed a notable increase. The proportion of “low” and “medium” ECC decreased by 15% and 19%, respectively, while the proportion of “relatively high” and “high” ECC increased by 13% and 20%, respectively (see Figure 4). This indicates that the implementation of ecological protection and restoration projects played a significant role. To further explore the temporal evolution of ECC in WJ, kernel density estimation (KDE) was applied to analyze ECC from 2000 to 2020. As shown in Figure 5, the fluctuation of the curve generally occurred within the range of 0.6–0.9 from 2000 to 2020. The height of the central peak first increased and then decreased, gradually shifting to the left, indicating a downward trend in ECC. In 2010, the curve peak was the lowest, which meant that the degree of ECC agglomeration was decreasing and ECC was decreasing. There was a gradual increase in the peak height and a decrease in horizontal breadth between 2010 and 2020, and the peak value reached 5.9 in 2020. This indicated that the ECC agglomeration value was increasing and the ecological environment was steadily improving.
Figure 4.
Spatial–temporal characteristics of ECC and the proportion of area of different classes of ECC in WJ, 2000–2020.
Figure 5.
ECC’s three-dimensional kernel density distribution, 2000–2020.
3.1.3. Changes in Ecological Carrying Capacity (ECC) in Different Areas of WJ
The ECC of districts and counties in WJ was ranked using statistical methods, with the results presented in Figure 6. Changling and Qianguo exhibit higher levels of ECC, with Qianguo showing a remarkable improvement, rising from eighth place in 2000 to first place in 2020. This significant change reflects the positive outcomes of ecological environment management in Qianguo. In contrast, Shuangliao and Zhenlai have lower ECC levels, likely due to severe soil salinization and relatively underdeveloped local economies. Tongyu ranked well in the first 15 years, but dropped to ninth place in 2020, suggesting that the region may be facing ecological degradation.
Figure 6.
ECC ranking of individual counties and cities in WJ.
3.2. Identification of the Driving Factors for the ECC Development
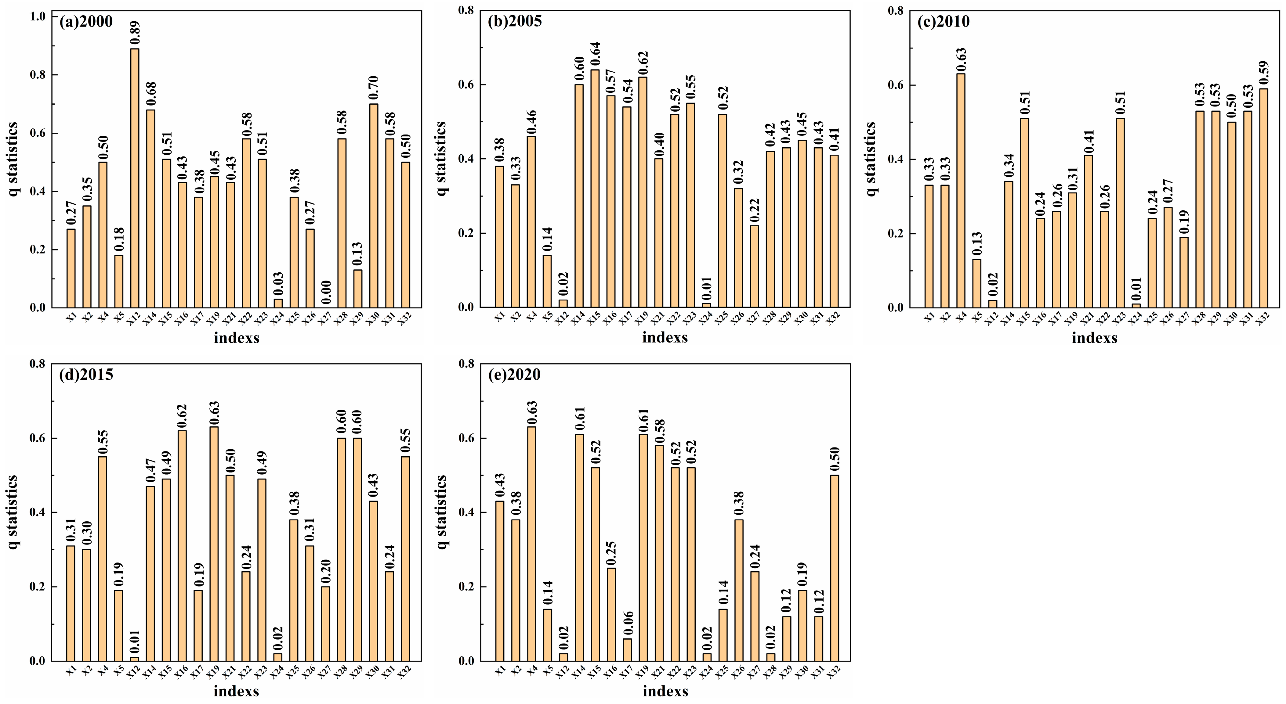
The spatial variation in ECC in the study area is driven by the complex and diverse factors within the ecological environment. Therefore, this study employs the GeoDetector model to investigate the mechanisms underlying the spatial differentiation of ECC in WJ (Figure 7). The factor detection results indicate fertilizer application rate (X4), per capita GDP (X14), per capita food production (X19), and the proportion of expenditure on education (X32) which exhibit relatively strong explanatory power for the changes in ECC. In contrast, wetland soil salinity index (X5) and night light index (X27) demonstrate weaker explanatory power. This is primarily because WJ is an ecologically fragile region in China, where the industrial structure is heavily dominated by animal husbandry and industry. This results in higher environmental pollution and ecological stress, further exacerbating the decline in ECC.
Figure 7.
Single driver factor value and changes in WJ, 2000–2020.
The complex and diverse changes in ECC in the study area are not determined by a single factor. Therefore, it is necessary to analyze the impact of the interactions between multiple factors on the spatiotemporal variation in ECC. The results indicate that the interaction of any two factors demonstrates a synergistic or nonlinear enhancement, suggesting that the changes in ECC in WJ from 2000 to 2020 were influenced by the combined effect of multiple factors (Figure 8). In 2000, several dual-factor interactions reached an explanatory power of 0.89, such as large livestock, gross output value of agriculture, forestry, animal husbandry and fisheries, comprehensive utilization rate of general industrial solid waste, per capita daily domestic water consumption, greening coverage in built-up areas interacting with fertilizer application rate. In 2005, the synergistic effect between average annual temperature and per capita food production had the highest explanatory power of 0.85. In 2010, more dual-factor interactions enhanced the explanatory power, such as the interaction between large livestock, natural population growth rate, with fertilizer application rate achieving a q value of 0.86. In 2015 and 2020, the synergistic q value of dual-factor interactions reached 0.86.
Figure 8.
Explanatory power of driver interactions for ECC.
3.3. Coupling Coordination Degree (CCD) of Production–Living–Ecological Spaces (PLES) Evaluation
Based on Equations (21)–(25), the “CCD of PLES” in western Jilin (WJ) was calculated for the period 2000–2020 and categorized into five levels: “Serious imbalance (D1) (0–0.2745)”, “Moderate imbalance (D2) (0.2746–0.6959)”, “Basic coordination (D3) (0.6960–0.8033)”, “Moderate coordination (D4) (0.8034–0.8883)”, and “Good coordination (D5) (0.8884–1)”. The results are presented in Figure 9.
Figure 9.
Spatial–temporal characteristics of the “CCD of PLES” and the proportion of area of different classes in WJ, 2000–2020.
There was significant temporal variation and spatial distribution imbalance in the “CCD of PLES” across WJ. The average CCD values for 2000, 2005, 2010, 2015, and 2020 were 0.7540, 0.7602, 0.7791, 0.7854, and 0.7990, respectively, showing a consistent upward trend. This suggests that the degree of coordination among the PLES continued to strengthen, developing in an orderly and positive direction. The “CCD of PLES” level was higher in the northern regions and lower in the south. In 2000, the CCD average value was the lowest, with “Basic coordination” dominating, indicating the presence of some contradictions and conflicts among PLES in WJ, which had not yet fully achieved complementarity. From 2000 to 2005, the CCD average value increased by 0.02, and areas of imbalance were converted into coordinated areas. The proportion of “Moderate imbalance” and “Basic coordination” decreased by 0.4% and 2.8%, respectively, while the proportions of “Moderate coordination” and “Good coordination” increased by 1.9% and 1.4%, respectively. From 2005 to 2010, the proportion of CCD at each level changed significantly. “Serious imbalance”, “Moderate imbalance”, and “Basic coordination” decreased by 0.1%, 4.9%, and 4.3%, respectively, while “Moderate coordination” and “Good coordination” increased by 4.3% and 5%, respectively. From 2010 to 2015, the CCD average value increased again, with the coordination categories and their proportions remaining similar to those of 2010. In 2020, the CCD average value reached its highest point, with a large area of imbalance converting into coordinated areas. This indicates that the PLES in WJ were no longer in serious conflict and were developing in a state of interconnection and orderly progress.
3.4. The “CCD of PLES” and ECC Bivariate Spatial Autocorrelation
Spatial autocorrelation analysis was performed using GeoDa 1.22 software, based on the “CCD of PLES” and ECC values. The results in Table 3 show that the global bivariate Moran’s I index for WJ was 0.274, 0.254, 0.280, and 0.301 for the years 2000, 2005, 2010, 2015, and 2020, respectively. At a 99% confidence level, the Z and p values were statistically significant. Specifically, all the p values were less than 0.001, and the corresponding Z values were well above 2.58. There is a significant positive correlation between the “CCD of PLES” and ECC. The spatial clustering pattern between “CCD of PLES” and the ECC shows in Figure 10. There were five categories in the LISA cluster mapping to represent the clustering pattern of the two variables.
Table 3.
Moran’s I index in WJ from 2000 to 2020.
Figure 10.
Spatial autocorrelation analysis between “CCD of PLES” and ECC in WJ, 2000–2020.
The first category of “High-High”, with high “CCD of PLES” having high ECC. These clusters of areas form hotspots in the region. The second category, “High-Low”, refers to areas where high “CCD of PLES” is associated with low ECC. The third category, “Low-High”, describes regions where low “CCD of PLES” corresponds with high ECC. The fourth category, “Low-Low”, indicates areas with both low “CCD of PLES” and low ECC, forming cold spots. The fifth category, “Not-Significant”, signifies regions where the two variables show no significant correlation.
From 2000 to 2020, the primary relationships between the “CCD of PLES” and the ECC in WJ were “Low-High” (low “CCD of PLES” and high ECC) and “High-High” (high “CCD of PLES” and high ECC). The areas of aggregation shifted from the west to the east. Specifically, in 2000, “Low-High” and “High-High” regions were primarily located in Taonan, Tongyu, and Changling. Between 2000 and 2005, the extent of “Low-High” and “High-High” areas in Taonan and Tongyu decreased, while the “High-High” area in Fuyu City expanded. From 2005 to 2010, the “Low-High” and “High-High” regions in Taonan and Taobei declined, while “High-High” areas in Tongyu and Qianguo increased, along with further expansion in Fuyu. From 2010 to 2015, the western aggregation areas became smaller, and from 2015 to 2020, there was an increase in the “High-High” and “Low-High” aggregations in Taonan.
4. Discussion
4.1. The Applicability and Advantages of the Ecological Carrying Capacity Assessment Model
This study adopts the “PLES-PSR” comprehensive framework to develop an ecological carrying capacity evaluation index system, with a focus on WJ. The ecological functions in this region play a vital role in supporting local production activities and enhancing residents’ quality of life. There are close interactions and mutual constraints among the PLES. Accordingly, this study begins with the “production–living–ecological” framework and divides WJ into these three subsystems. Based on the PSR model, specific evaluation indicators for each subsystem are selected and systematically integrated into the ecological carrying capacity evaluation index system. The “PLES-PSR” model is generally applicable to various regions. However, in different geographical and climatic contexts, the focus and nature of the production–living–ecological subsystems may differ. For example, in ecologically fragile areas, ecological protection may take precedence, while in industrial cities, balancing production and living spaces might be emphasized. Therefore, the model is flexible, allowing for the adaptation of specific indicators based on regional characteristics. In areas with significant natural variations, indicators should capture local ecological features, such as soil quality and vegetation. In less-developed regions, greater focus should be placed on refining indicators, whereas highly urbanized areas may prioritize energy consumption and pollutant emissions.
The BWM-CRITIC-CWDF linear combination weighting method used in this study offers distinct advantages in weight determination compared to traditional methods. AHP is a commonly used expert scoring method, where experts make pairwise comparisons between indicators and give weights; when there are more indicators, the number of pairwise comparisons increases, which can easily lead to fatigue and errors in the expert’s judgment. Moreover, AHP is susceptible to individual biases, which can lead to inconsistent weight assignments and difficulties in ensuring consistency [87,88]. The Bayesian BWM method determines weights by comparing each indicator with both the best and worst indicators, and allows for the integration of multiple experts’ opinions on weighting. This approach is particularly effective in situations where expert opinions are inconsistent or data are incomplete, as it uses probabilistic modeling to generate reliable and stable weight results. Additionally, traditional entropy methods primarily depend on the degree of dispersion of each indicator to calculate information entropy, assigning weights based on information uncertainty. However, these methods often overlook the correlations and relative importance among indicators. In contrast, the CRITIC method accounts for both the standard deviation of each indicator and its correlation with others. This enables the effective identification of the indicators that are more informative and exert significant influence on decision-making, thereby assigning more appropriate weights. To combine the strengths of both approaches and minimize discrepancies between the weights and distribution coefficients derived from subjective and objective methods, this study employs a combination weighting approach based on a distance function (CWDF). The CWDF approach reduces the differences between combined and baseline weights, leading to more accurate outcomes. In this study, the concept of group decision-making is used to determine the weights by combining Bayesian BWM subjective assignment and CRITIC objective assignment methods to obtain more accurate weighting results.
To assess the temporal and spatial changes in ecological carrying capacity, this study enhances the traditional TOPSIS method by integrating an improved European distance method and gray association analysis. The TOPSIS method is widely utilized in decision-making due to its simplicity and computational efficiency. However, it suffers from several inherent shortcomings. First, weight assignment in traditional TOPSIS is often influenced by subjective judgment, which can compromise the accuracy of evaluation results. Second, in the calculation of Euclidean distance, traditional TOPSIS applies weights to the normalized matrix before performing squaring operations. This process can lead to weights that do not sum to one, which contradicts the method’s original intent. To resolve these issues, this study changed this to calculate the Euclidean distance and weighting simultaneously. Furthermore, the traditional TOPSIS method assumes a linear relationship in attribute value changes, whereas in practice, the utility of attribute values and their boundary effects often exhibit nonlinear patterns. Gray relational analysis effectively captures these nonlinear relationships, thereby addressing the limitations of the traditional TOPSIS method.
The results of previous studies have shown that the weights derived from the AHP-Entropy method may result in excessively large weights for certain indicators, thereby decreasing the accuracy and rationality of carrying capacity evaluation results [18]. The CRITIC method for weight determination effectively mitigates the limitations of the Entropy method and has been widely employed in numerous studies to improve the traditional TOPSIS evaluation model [89]. For instance, in the study by Nur Iqtiyani Ilham on optimizing photovoltaic solar investments, the application of CRITIC to improve the TOPSIS method resulted in solutions that were closest to the ideal and furthest from the anti-ideal, leading to more accurate evaluation outcomes [90]. Similarly, in the research by Muhammet Gul on performance evaluation of Turkish universities, the integration of Bayesian BWM to improve the traditional TOPSIS model for multi-objective decision-making was shown to yield higher accuracy and rationality [91]. Additionally, in studies by Xingwang Zhang on water resource carrying capacity in the Pearl River–West River economic Belt and Rongkun Dai on the spatiotemporal evaluation of resource and environmental carrying capacity in Henan Province, the GRA method was applied to address the limitations of the traditional TOPSIS model [5,92]. These studies indirectly support the validates the rationality of improving the traditional TOPSIS method. Furthermore, the results indicate that key factors influencing changes in ecological carrying capacity include per capita GDP, per capita food production, and the proportion of output from the primary and secondary industries, which is consistent with previous studies [63]. Additionally, the findings in Section 3.1.3 show that the ecological carrying capacity in the southern regions, particularly in Shuangliao City and Zhenlai County, is relatively low. This can be attributed to severe land salinization and underdeveloped economic conditions, leading to persistently low ecological carrying capacity. In contrast, Tao Bei City and Qian Guo County exhibit relatively higher carrying capacities. In terms of temporal heterogeneity, ECC in 2020 was higher than in 2005. These findings align with prior research, further validating the reliability and rationality of the evaluation model proposed in this study [86,93].
4.2. Changes in ECC
From 2000 to 2010, ECC exhibited a declining trend, primarily due to China’s early-stage development strategies that prioritized economic growth over environmental conservation. Regional socio-economic activities, such as the conversion of ecological land into non-ecological land, significantly disrupted ecological systems, resulting in a reduction in ecological carrying capacity [94]. However, from 2010 to 2020, ECC began to recover overall. In 2012, China introduced the concept of constructing efficient production spaces, livable living spaces, and beautiful ecological spaces [95]. Concurrently, the focus of economic development shifted from high-speed growth to high-quality development. Regions implemented strategic measures tailored to local conditions, including converting farmland to vegetation or forests and prioritizing integrated management and restoration of ecosystems encompassing mountains, rivers, forests, farmlands, lakes, grasslands, and deserts. In Jilin Province, ecological water conservancy projects were launched, such as the “Nenjiang-to-Baihua Water Diversion Project”, the “Daan Irrigation District”, the “Hadashan Water Conservancy Hub Project”, and the “Western River and Lake Connectivity Project”[96,97]. During flood seasons, cities like Songyuan and Baicheng diverted surplus water from the Nenjiang, Tao’er, and Hualin Rivers to natural wetlands and swamps for storage. These efforts, coupled with land improvement and ecological water replenishment initiatives, ensured water resource availability, expanded paddy field areas, and boosted farmers’ incomes. Consequently, the resource, environmental, ecological, and socio-economic carrying capacity in Western Jilin Province has gradually improved [98].
4.3. The Complex Spatio-Temporal Interactive Relationship Between “CCD of PLES” and ECC
This study analyzed the spatial relationship between “CCD of PLES” and ECC using a bivariate spatial autocorrelation model. The results reveal that the bivariate spatial autocorrelation indices are greater than 0 and statistically significant at the 0.001 level. This indicates that regions with a higher degree of “CCD of PLES” tend to exhibit a higher ecological carrying capacity. Coordinating the relationships among these land uses enhances resource efficiency, reduces over-exploitation and waste, protects the ecological environment, and improves ecological carrying capacity. Furthermore, the theoretical basis for optimizing the coupling of these “production, living, and ecological spaces” is primarily based on carrying capacity theory [99]. Ecological carrying capacity facilitates the “CCD of PLES” by ensuring abundant resources and a high-quality ecological environment. Empirical evidence indicates an interaction mechanism between these two factors. First, the “CCD of PLES” alters natural endowment characteristics, leading to increased resource and environmental capacity and enhanced ecological quality. Second, the “CCD of PLES” optimizes land resource patterns, reshaping natural landscapes and affecting ecosystem structures, species composition, and plant functional traits. These changes influence ecosystem processes, such as primary productivity and evapotranspiration, thereby improving ecosystem functionality and positively impacting ecological carrying capacity. Finally, the “CCD of PLES” signifies a synergistic human–land relationship, supporting harmonious human–land development and mitigating conflicts. This fosters overall regional economic and social progress while enhancing ecological stability. Conversely, a higher ecological carrying capacity more effectively sustains production and living activities, alleviates human–land conflicts, and reduces associated risks, contributing to sustainable development. This dynamic not only stabilizes ecosystems but also promotes further integration among production, living, and ecological spaces, creating a virtuous cycle of sustainable development. Therefore, exploring the relationship between “CCD of PLES” and ecological carrying capacity is vital for achieving harmonious coexistence between socio-economic progress and ecological conservation.
4.4. Research Limitations and Prospects
This study constructs an evaluation index system for ecological carrying capacity within the comprehensive “PLES-PSR” framework. While progress has been made in the selection of indicators, certain limitations remain. First, the accuracy of the assessment results may be compromised due to the challenges in acquiring high-precision data and the lack of consideration for uncertainties introduced by human factors in statistical data. To address these issues, future research should focus on refining data collection processes, optimizing data processing methods, and employing more comprehensive models to analyze the impact of uncertainties on evaluation outcomes.
Secondly, while the Bayesian BWM-CRITIC-CWDF method enhances the precision of weight assignment and the accuracy of decision-making, it also significantly increases the computational complexity. In the future, this issue can be addressed by adopting optimization algorithms, simplifying Bayesian inference, applying dimensionality reduction techniques, utilizing parallel computing, and implementing stepwise approximation.
Lastly, this study evaluates the ecological carrying capacity of historical periods and does not predict future trends in the study area’s ecological carrying capacity. However, the assessment framework and models employed in this research lay the groundwork for future predictions of ecological carrying capacity. Future research could apply this evaluation model to assess historical ecological carrying capacity, followed by the integration of methods such as system dynamics and Bayesian networks for conducting diverse scenario analyses, exploring the variations in ecological carrying capacity under scenarios involving changes in subsystems and driving factors. While this study does not provide such predictions, future research could extend this framework, offering scientific support for the precise assessment of ecological carrying capacity, environmental management, and policy development.
In summary, conducting an in-depth assessment of ecological carrying capacity is crucial for guiding resource utilization and fostering sustainable development. Future research should focus on improving data collection and processing, optimizing weight determination methods, and enhancing the prediction of future ecological carrying capacity to address the limitations of this study.
5. Conclusions
In this study, a comprehensive evaluation index system for ecological carrying capacity (ECC) was developed using the “PLES–PSR” framework, with western Jilin Province serving as the study area. The Bayesian BWM–CRITIC–CWDF linear combination method was employed to assign weights to the indicators, while the TOPSIS method was refined to evaluate the ECC. A bivariate spatial autocorrelation model was further applied to quantify the interrelationship between the “CCD of PLES” and ECC. The study results provide valuable insights for optimizing resource allocation and environmental capacity, contributing significantly to the promotion of healthy and sustainable social development. Key findings include:
- (1)
- The ecological carrying capacity (ECC) of Western Jilin Province exhibited two distinct phases: a decline from 2000 to 2010, followed by growth from 2010 to 2020. However, the overall trend in ECC from 2000 to 2020 was upward, with ECC in the “relatively high” and “high” categories increasing by 15% and 5%, respectively. Spatially, there was a notable imbalance in the distribution of ECC, transitioning from a high-west, low-east pattern to a high-east, low-west pattern. This shift was primarily influenced by factors such as fertilizer application rate (X4), per capita GDP (X14), per capita food production (X19), and the proportion of expenditure on education (X32).
- (2)
- A positive correlation was observed between the “coupling coordination degree (CCD) of production, living, and ecological spaces (PLES)” and ECC. The primary relationship types between “CCD of PLES” and ECC were “low CCD of PLES—high ECC” and “high CCD of PLES—high ECC”.
Author Contributions
Conceptualization, Methodology, Writing—review draft, J.X.; Project administration, Methodology, Resources, Z.T.; Project administration, Resources, X.L.; Software, Visualization, J.Z. All authors have read and agreed to the published version of the manuscript.
Funding
This study was funded by the Remote Sensing Assessment of the Ecological Carrying Capacity of Typical Wetland Ecosystem in Western Jilin Province, (China) (20210203176SF); the Major Science and Technology Program of Jilin Province, (China) (20230303009SF).
Institutional Review Board Statement
Not applicable.
Informed Consent Statement
Not applicable.
Data Availability Statement
The data presented in this study are available upon request from the corresponding author.
Conflicts of Interest
The authors declare that they have no known competing financial interests or personal relationships that could have appeared to influence the work reported in this paper.
References
- Wang, Y.; Yu, X.; Zhao, B.; Xiong, X.; Li, Y.; Zhang, M. Evaluation of ecological carrying capacity in Yangtze River Economic Belt and analysis of its spatial pattern evolution. Ecol. Indic. 2022, 144, 109535. [Google Scholar] [CrossRef]
- Wang, C.; Hou, Y.; Xue, Y. Water resources carrying capacity of wetlands in Beijing: Analysis of policy optimization for urban wetland water resources management. J. Clean. Prod. 2017, 161, 1180–1191. [Google Scholar] [CrossRef]
- Deng, W.; Li, X.; Guo, Y.; Huang, J.; Zhang, L. Ecological Assessment of Water Environment in Huizhou Region of China Based on DPSIR Theory and Entropy Weight TOPSIS Model. Water 2024, 16, 2579. [Google Scholar] [CrossRef]
- Zhou, K.; Zhou, F.; Chen, L.; Li, H.; Wang, H.; Li, J. Alleviating environmental pressure from livestock production: A “livestock-resource environmental carrying capacity” perspective in China. Ecol. Indic. 2024, 160, 111800. [Google Scholar] [CrossRef]
- Dai, R.; Xiao, C.; Liang, X.; Yang, W.; Chen, J.; Zhang, L.; Zhang, J.; Yao, J.; Jiang, Y.; Wang, W. Spatial-temporal evolution law analysis of resource and environment carrying capacity based on game theory combination weighting and GMD-GRA-TOPSIS model. Evidence from 18 cities in Henan Province, China. J. Clean. Prod. 2024, 439, 140820. [Google Scholar] [CrossRef]
- Wang, X.; Zhang, S.; Tang, X.; Gao, C. Spatiotemporal heterogeneity and driving mechanisms of water resources carrying capacity for sustainable development of Guangdong Province in China. J. Clean. Prod. 2023, 412, 137398. [Google Scholar] [CrossRef]
- Bao, C.; Wang, H.; Sun, S. Comprehensive simulation of resources and environment carrying capacity for urban agglomeration: A system dynamics approach. Ecol. Indic. 2022, 138, 108874. [Google Scholar] [CrossRef]
- Wu, M.; Wu, J.; Zang, C. A comprehensive evaluation of the eco-carrying capacity and green economy in the Guangdong-Hong Kong-Macao Greater Bay Area, China. J. Clean. Prod. 2021, 281, 124945. [Google Scholar] [CrossRef]
- Chen, J.; Huang, X.; Jing, Y.; Wen, Z.; Zang, C. Spatial and temporal variation and driving factors of ecological carrying capacity in the Pan-Pearl River Basin, China. Ecol. Indic. 2023, 151, 110318. [Google Scholar] [CrossRef]
- Li, Q.; Liu, Z.; Yang, Y.; Han, Y.; Wang, X. Evaluation of water resources carrying capacity in Tarim River Basin under game theory combination weights. Ecol. Indic. 2023, 154, 110609. [Google Scholar] [CrossRef]
- Zhou, F.; Zhang, W.; Jiang, A.; Peng, H.; Li, L.; Deng, L.; Sun, Y.; Wang, H. Spatial-temporal variation characteristics and coupling coordination of the “water resources–water environment–water ecology” carrying capacity in the Three Gorges Reservoir Area. Ecol. Indic. 2023, 154, 110874. [Google Scholar] [CrossRef]
- He, R.; Liu, S.; Liu, Y. Application of SD model in Analyzing the Cultivated Land Carrying Capacity: A Case Study in Bijie Prefecture, Guizho Province, China. Procedia Environ. 2011, 10, 1985–1991. [Google Scholar] [CrossRef]
- Yang, Y.; Zhao, D.; Chen, H. Full Title: Quantifying the ecological carrying capacity of alpine grasslands on the Qinghai-Tibet Plateau. Ecol. Indic. 2022, 136, 108634. [Google Scholar] [CrossRef]
- Martire, S.; Castellani, V.; Sala, S. Carrying capacity assessment of forest resources: Enhancing environmental sustainability in energy production at local scale. Resour. Conserv. Recycl. 2015, 94, 11–20. [Google Scholar] [CrossRef]
- Tian, R.; Shao, Q.; Wu, F. Four-dimensional evaluation and forecasting of marine carrying capacity in China: Empirical analysis based on the entropy method and grey Verhulst model. Mar. Pollut. 2020, 160, 111675. [Google Scholar] [CrossRef]
- Du, L.; Niu, Z.; Zhang, R.; Zhang, J.; Jia, L.; Wang, L. Evaluation of water resource carrying potential and barrier factors in Gansu Province based on game theory combined weighting and improved TOPSIS model. Ecol. Indic. 2024, 16, 112438. [Google Scholar] [CrossRef]
- Li, J.; Sun, W.; Li, M.; Meng, L. Coupling coordination degree of production, living and ecological spaces and its influencing factors in the Yellow River Basin. J. Clean. Prod. 2021, 298, 126803. [Google Scholar] [CrossRef]
- Lv, B.; Liu, C.; Li, T.; Meng, F.; Fu, Q.; Ji, Y.; Hou, R. Evaluation of the water resource carrying capacity in Heilongjiang, eastern China, based on the improved TOPSIS model. Ecol. Indic. 2023, 150, 110208. [Google Scholar] [CrossRef]
- Xv, J.; Zhu, Z.; Lei, C.; Yang, C.; Song, Y.; Chen, S. Health Assessment of Rivers and Lakes in Xizang Plateau Based on Improved CRITIC-Entropy Combinatorial Weighting Model. J. Change River Sci. Res. Inst. 2024, 41, 200. [Google Scholar]
- Xu, H.; Ma, C.; Lian, J.; Xu, K.; Chaima, E. Urban flooding risk assessment based on an integrated k-means cluster algorithm and improved entropy weight method in the region of Haikou, China. J. Hydrol. 2018, 563, 975–986. [Google Scholar] [CrossRef]
- Xu, M.; Chen, M.; Li, Y.; Jiang, Y. Analysis of Water Resources Carrying Capacity of Coastal Cities along the Yangtze River Based on PSR Model. J. Coast. Res. 2020, 109, 110–113. [Google Scholar] [CrossRef]
- Badi, I.; Pamučar, D.; Stević, Ž.; Muhammad, L. Wind farm site selection using BWM-AHP-MARCOS method: A case study of Libya. Sci. Afr. 2023, 19, e01511. [Google Scholar] [CrossRef]
- Wu, Y.; Deng, Z.; Tao, Y.; Wang, L.; Liu, F.; Zhou, J. Site selection decision framework for photovoltaic hydrogen production project using BWM-CRITIC-MABAC: A case study in Zhangjiakou. J. Clean. Prod. 2021, 324, 129233. [Google Scholar] [CrossRef]
- Mohammadi, M.; Rezaei, J. Bayesian best-worst method: A probabilistic group decision making model. Omega-Int. J. Manag. S 2020, 96, 102075. [Google Scholar] [CrossRef]
- Wang, X.; Zhang, S.; Gao, C.; Tang, X. Coupling coordination and driving mechanisms of water resources carrying capacity under the dynamic interaction of the water-social-economic-ecological environment system. Sci. Total Env. 2024, 920, 171011. [Google Scholar] [CrossRef] [PubMed]
- Wang, Y.; Zhang, Z.; Wang, Z. An improved weighted TOPSIS method and its application based on grey relational coefficient. East China Econ. Manag. 2011, 25, 139–144. [Google Scholar]
- Liao, X.; Fang, C.; Shu, T. Multifaceted land use change and varied responses of ecological carrying capacity: A case study of Chongqing, China. Appl. Geogr. 2022, 148, 102806. [Google Scholar] [CrossRef]
- Li, X. TOPSIS model with entropy weight for eco geological environmental carrying capacity assessment. Microprocess. Microsy. 2021, 82, 103805. [Google Scholar] [CrossRef]
- Cheng, L.; Cui, H.; Liang, T.; Huang, D.; Su, Y.; Zhang, Z.; Wen, C. Study on the Trade-Off Synergy Relationship of “Production-Living-Ecological” Functions in Chinese Counties: A Case Study of Chongqing Municipality. Land 2023, 12, 1010. [Google Scholar] [CrossRef]
- Shan, Y.; Wei, S.; Yuan, W.; Miao, Y. Spatial-temporal differentiation and influencing factors of coupling coordination of “production-living-ecological” functions in Yangtze River Delta urban agglomeration. Acta Ecol. Sin. 2022, 42, 6644–6655. [Google Scholar]
- Zhu, H.; Jiang, S. Navigating urban sustainable development: Exploring the impact of low carbon policies on the urban ecological carrying capacity. J. Clean. Prod. 2024, 469, 143162. [Google Scholar] [CrossRef]
- Liu, Q.; Wang, X.; Zhu, Q.; Song, J.; Yan, Q.; Zhao, Y. Coupling relationship of water resources carrying capacity system in Tibet Autonomous Region based on “production-living-ecological” function. J. Nat. Resour. 2023, 38, 1618–1631. [Google Scholar] [CrossRef]
- Zou, Y.; Rao, Y.; Luo, F.; Yi, C.; Du, P.; Liu, H.; Wu, P.; Song, Y.; Zhou, Y. Evolution of rural settlements and its influencing mechanism in the farming-pastoral ecotone of Inner Mongolia from a production-living-ecology perspective. Habitat Int. 2024, 151, 103137. [Google Scholar] [CrossRef]
- Shan, S.-y.; Xu, H.-j.; Qi, X.-l.; Chen, T.; Wang, X.-d. Evaluation and prediction of ecological carrying capacity in the Qilian Mountain National Park, China. J. Environ. Manag. 2023, 339, 117856. [Google Scholar] [CrossRef] [PubMed]
- Dong, Z.; Zhang, J.; Tong, Z.; Han, A.; Zhi, F. Ecological security assessment of Xilingol grassland in China using DPSIRM model. Ecol. Indic. 2022, 143, 109336. [Google Scholar] [CrossRef]
- Shi, Z.; Zhou, S. A study on the dynamic evaluation of ecosystem health in the Yangtze river Basin of China. Ecol. Indic. 2023, 153, 110445. [Google Scholar] [CrossRef]
- Xiang, H.; Yang, Q.-Y.; Su, K.-c.; Zhang, Z.-X. Spatiotemporal Dynamics and Obstacles of the Multi-Functionality of Land Use in Xiangxi, China. Appl. Sci 2019, 9, 3649. [Google Scholar] [CrossRef]
- Niu, Y.; Wu, S.; Guo, C.; Zhuang, Q.; Xie, C.; Zhang, Z.; Luo, G. Spatio-temporal changes and coupling coordination of the function ofproduction- living-ecologicalin Xinjiang. Arid Land Geogr. 2021, 44, 1821–1835. [Google Scholar]
- Zhu, X.; Xie, Z.; Liu, B. Research on“production-ecology-living integration”evaluation system for greenway complex belts. J. Zhejiang Univ. Technol. 2024, 23, 251–257. [Google Scholar]
- Hou, M.; Li, L.; Yu, H.; Jin, R.; Zhu, W. Ecological security evaluation of wetlands in Changbai Mountain area based on DPSIRM model. Ecol. Indic. 2024, 160, 111773. [Google Scholar] [CrossRef]
- Zeng, Y.; Liao, C.; Liu, J. Evaluation and classification of village development quality in suburban areas from the perspective of “production-life-ecological” function: A case from Linchuan District, Fuzhou, Jiangxi Province, China. J. Agric. Resour. Environ. 2024, 41, 1122–1132. [Google Scholar]
- Yanhong, Z.; Peng, Z.; Huali, G.; Guodong, Y. Wetlands ecological security assessment in lower reaches of Taoerhe river connected with Nenjiang river using modified PSR model. J. Hydro. Res. 2023, 6, 156–165. [Google Scholar]
- Wang, Q.; Chen, T.; Li, A.; Zhang, S.; Wang, Y. Evaluation of territorial utilization quality based on “production-living-ecological” perspectives: A case study of Panxi region. Mt. Res. 2020, 38, 290–302. [Google Scholar]
- Zhou, T.; Wang, J. Classifying and regulation pathway of rural “production-living-ecology” regional area in the Center Plains Urban Agglomeration. Sci. Geogr. Sin. 2023, 43, 1227–1238. [Google Scholar]
- Wang, L.; Zhang, H.; Hu, W.; Yu, Z. Functional Evaluation of Land Use Based on Production-Living-Ecology View in Areas of Cropland and Coal Resources. Bull. Soil Water Conserv. 2018, 38, 301–306. [Google Scholar]
- Yun, Y. Evaluation of Land Ecological Security in the Midwest of Inner Mongolia; Inner Mongolia Normal University: Hohhot, China, 2014. [Google Scholar]
- Wang, K.; Li, N.; Yu, X.; Wang, Y.; Liu, Y. Eco-environmental carrying capacity evaluation index system based on the concept of P-S-R model -A case study in Shandong Peninsula. Acta Sci. Circumstantiae 2014, 34, 2133–2139. [Google Scholar]
- Du, W.; Liao, X.; Tong, Z.; Rina, S.; Rong, G.; Zhang, J.; Liu, X.; Guo, E. Early warning and scenario simulation of ecological security based on DPSIRM model and Bayesian network: A case study of east Liaohe river in Jilin Province, China. J. Clean. Prod. 2023, 398, 136649. [Google Scholar] [CrossRef]
- Liu, Y.; Xu, J.; Zhou, Y.; Muhtar, A.; Wang, L. Spatiotemporal Differentiation of the Coupling and Coordination of Production-Living-Ecology Functions in Hubei Province Based on the Global Entropy Value Method. Int. J. Environ. Res. Public Health 2022, 19, 16062. [Google Scholar] [CrossRef] [PubMed]
- Yu, Z.; Xu, E.; Zhang, H.; Shang, E. Spatio-Temporal Coordination and Conflict of Production-Living-Ecology Land Functions in the Beijing-Tianjin-Hebei Region, China. Land 2020, 9, 170. [Google Scholar] [CrossRef]
- Yu, S.-h.; Deng, W.; Xu, Y.-x.; Zhang, X.; Xiang, H.-L. Evaluation of the production-living-ecology space function suitability of Pingshan County in the Taihang mountainous area, China. J. Mt. Sci. 2020, 17, 2562–2576. [Google Scholar] [CrossRef]
- Wang, J.; Hao, J.; Chen, A.; Wang, N. Evaluation of ecological environment carrying capacity in Tianjin based on fuzzy cluster analysis. J. China Agric. Univ. 2018, 23, 112–121. [Google Scholar]
- Peng, L.; Wang, X.; Chen, T. Multifunctional land-use value mapping and space type classification: A case study of Puge County, China. Nat. Resour. Model. 2019, 32, e12212. [Google Scholar] [CrossRef]
- Lu, Z.; Zhang, M.; Hu, C.; Ma, L.; Chen, E.; Zhang, C.; Xia, G. Spatiotemporal Changes and Influencing Factors of the Coupled Production-Living-Ecological Functions in the Yellow River Basin, China. Land 2024, 13, 1909. [Google Scholar] [CrossRef]
- Luo, H.; Wu, Z.; Gan, Z.; Chen, J.; He, P.; Chen, Z. Spatial-temporal evolution characteristics of coupling coordination of “production-living-ecology” space functions in the Pearl River Delta urban agglomeration. Sci. Soil Water Conserv. 2023, 21, 43–52. [Google Scholar]
- Wang, D.; Jiang, D.; Fu, J.; Lin, G.; Zhang, J. Comprehensive Assessment of Production-Living-Ecological Space Based on the Coupling Coordination Degree Model. Sustainability 2020, 12, 2009. [Google Scholar] [CrossRef]
- He, N.; Zhou, Y.; Wang, L.; Li, Q.; Zuo, Q.; Liu, J.; Li, M. Spatiotemporal evaluation and analysis of cultivated land ecological security based on the DPSIR model in Enshi autonomous prefecture, China. Ecol. Indic. 2022, 145, 109619. [Google Scholar] [CrossRef]
- Wei, C.; Lin, Q.; Yu, L.; Zhang, H.; Ye, S.; Zhang, D. Research on Sustainable Land Use Based on Production-Living-Ecological Function: A Case Study of Hubei Province, China. Sustainability 2021, 13, 996. [Google Scholar] [CrossRef]
- Wu, X.; Peng, B. Urban comprehensive carrying capacity analysis in Zhejiang Province of China from the perspective of production, living, and ecological spaces. Geo-Spat. Inf. Sci. 2024, 27, 2179–2198. [Google Scholar] [CrossRef]
- Liu, Y.; Liu, X.; Zhao, C.; Wang, H.; Zang, F. The trade-offs and synergies of the ecological-production-living functions of grassland in the Qilian mountains by ecological priority. J. Environ. Manage. 2023, 327, 116883. [Google Scholar] [CrossRef]
- Mao, G.; Cao, Y.; Ren, Q. Study on the Evaluation of Ecological and Economic Development of Huaihe River Ecological and Economic Belt under the Perspective of “Three Lives”. J. Huaiyin Teach. Coll. 2021, 43, 350–359. [Google Scholar]
- Fu, J.; Zang, C.; Zhang, J. Economic and resource and environmental carrying capacity trade-off analysis in the Haihe River basin in China. J. Clean. Prod. 2020, 270, 122271. [Google Scholar] [CrossRef]
- Li, X.; Qin, X.; Lu, Z.; Gao, S.; Wang, G. Comparative analysis of ecological carrying capacity at different scales in Xilingol League, Inner Mongolia. Ecol. Indic. 2022, 141, 109127. [Google Scholar] [CrossRef]
- Chen, Y.; Zhu, M. Spatiotemporal Evolution and Driving Mechanism of “Production-Living-Ecology” Functions in China: A Case of Both Sides of Hu Line. Int. J. Environ. Res. Public Health 2022, 19, 3488. [Google Scholar] [CrossRef]
- Li, B.; Wang, H. Comprehensive evaluation of urban high-quality development: A case study of Liaoning Province. Environ. Dev. Sustain 2023, 25, 1809–1831. [Google Scholar] [CrossRef]
- Khatun, R.; Das, S. Assessment of wetland ecosystem health in Rarh Region, India through P-S-R (pressure-state-response) model. Sci. Total Env. 2024, 951, 175700. [Google Scholar] [CrossRef] [PubMed]
- Yu, Z.; Chen, L.; Zhang, T.; Li, L.; Yuan, L.; Teng, G.; Xiao, J.; Shi, S.; Chen, L. Land pressure evaluation in the Yangtze River Delta region: A perspective from production-living-ecology. Land Degrad. Dev. 2023, 34, 5312–5327. [Google Scholar] [CrossRef]
- Lai, G.; Hu, B.; Li, M.; Lin, S. Evaluation on spatial suitability of ecological-living-industrial in southwestern guangxi-beibu gulf region. Bull. Soil Water Conserv. 2020, 40, 221–227. [Google Scholar]
- Liu, C.; Li, W.; Xu, J.; Zhou, H.; Wang, W.; Wang, H. Temporal and spatial variations of ecological security on the northeastern Tibetan Plateau integrating ecosystem health-risk-services framework. Ecol. Indic. 2024, 158, 111365. [Google Scholar] [CrossRef]
- Ou, H.; Dai, W.; Huang, W.; Huang, K.; Xu, Y. Research on urban comprehensive bearing capacity of Fujian Province based on production-living-ecological space. Ecol. Sci. 2020, 39, 71–79. [Google Scholar]
- Wang, H.; Xu, Y.; Li, C. Coupling coordination and spatio-temporal pattern evolution between ecological protection and high-quality development in the Yellow River Basin. Heliyon 2023, 9, e21089. [Google Scholar] [CrossRef]
- Zheng, X.; Yang, Z.; Zhang, X.; Wang, T.; Chen, X.; Wang, C. Spatiotemporal evolution and influencing factors of provincial tourism ecological security in China. Ecol. Indic. 2023, 148, 110114. [Google Scholar] [CrossRef]
- He, L.; Li, C.; Zhang, A. Analysis of Water and Soil Resources Carrying Capacity from the Perspective on “Production-Living-Ecological Space”—Taking Inner Mongolia Autonomous Region as an Example. China Rural. Water Hydropower 2024, 12, 1–15. [Google Scholar]
- Sobhani, P.; Esmaeilzadeh, H.; Wolf, I.D.; Deljouei, A.; Marcu, M.V.; Sadeghi, S.M.M. Evaluating the ecological security of ecotourism in protected area based on the DPSIR model. Ecol. Indic. 2023, 155, 110957. [Google Scholar] [CrossRef]
- Diakoulaki, D.; Mavrotas, G.; Papayannakis, L. Determining objective weights in multiple criteria problems—The critic method. Comput. Oper. Res. 1995, 22, 763–770. [Google Scholar] [CrossRef]
- Ju, W.; Xing, Z.; Wu, J.; Kang, Q. Evaluation of forest fire risk based on multicriteria decision analysis techniques for Changzhou, China. Int. J. Disast. Risk Re. 2023, 98, 104082. [Google Scholar] [CrossRef]
- Chang, Y.; Wang, G.; Mu, W.; Yang, M.; Xu, W.; Guo, W.; Cai, X.; Song, J. Comprehensive assessment of flue-cured tobacco quality based on entropy weight method and modified TOPSIS method. Tob. Sci. Technol. 2023, 56, 35–43. [Google Scholar]
- Chen, W. On the Problem and Elimination of Rank Reversal in the Application of TOPSIS Method. Oper. Res. Manag. Sci. 2005, 3, 39–43. [Google Scholar]
- Benson, D.A.; Bolster, D.; Pankavich, S.; Schmidt, M.J. Nonparametric, data-based kernel interpolation for particle-tracking simulations and kernel density estimation. Adv. Water Resour. 2021, 152, 103889. [Google Scholar] [CrossRef]
- Zhao, Y.; Luo, Z.; Li, Y.; Guo, J.; Lai, X.; Song, J. Study of the spatial-temporal variation of landscape ecological risk in the upper reaches of the Ganjiang River Basin based on the production-living-ecological space. Acta Ecol. Sin. 2019, 39, 4676–4686. [Google Scholar]
- Zou, Y.; Zhang, S.; Xie, Y.; Du, Y. Spatial distribution and evolution characters of production-living-ecological spaces in Xuzhou city. Sci. Surv. Mapp. 2020, 45, 154–162. [Google Scholar]
- Tian, C. Decoupling Characteristics between Coupling Coordination Degree of Production-Living-Ecological Function and Carbon Emissions in the Urban Agglomeration of the Shandong Peninsula. Land 2024, 13, 996. [Google Scholar] [CrossRef]
- Dong, G.; Ge, Y.; Liu, J.; Kong, X.; Zhai, R. Evaluation of coupling relationship between urbanization and air quality based on improved coupling coordination degree model in Shandong Province, China. Ecol. Indic. 2023, 154, 110578. [Google Scholar] [CrossRef]
- Jiang, Y.; Chen, M.; Zhang, J.; Sun, Z.; Sun, Z. The improved coupling coordination analysis on the relationship between climate, eco-environment, and socio-economy. Environ. Ecol. Stat. 2022, 29, 77–100. [Google Scholar] [CrossRef]
- Zhang, Y.; Hu, X.; Wei, B.; Zhang, X.; Tang, L.; Chen, C.; Wang, Y.; Yang, X. Spatiotemporal exploration of ecosystem service value, landscape ecological risk, and their interactive relationship in Hunan Province, Central-South China, over the past 30 years. Ecol. Indic. 2023, 156, 111066. [Google Scholar] [CrossRef]
- Wang, A.; Liao, X.; Tong, Z.; Du, W.; Zhang, J.; Liu, X.; Guo, E.; Liu, M. Spatiotemporal variation of ecological carrying capacity in Dongliao River Basin, China. Ecol. Indic. 2022, 135, 108548. [Google Scholar] [CrossRef]
- Chen, C.-H. A Novel Multi-Criteria Decision-Making Model for Building Material Supplier Selection Based on Entropy-AHP Weighted TOPSIS. Entropy 2020, 22, 259. [Google Scholar] [CrossRef] [PubMed]
- Zhiqing, Z.; Zhonghua, Y. Research on supplier selection based on AHP and NEULONET. Syst. Eng. Electron. 2007, 29, 570–573. [Google Scholar]
- Du, X.; Wang, Y.; Chen, F. Evaluation of coal-resource-based cities transformation based on CRITIC-TOPSIS model. Sustain. Cities Soc. 2024, 103, 105271. [Google Scholar] [CrossRef]
- Ilham, N.I.; Dahlan, N.Y.; Hussin, M.Z. Optimizing solar PV investments: A comprehensive decision-making index using CRITIC and TOPSIS. Renew. Energy Focus 2024, 49, 100551. [Google Scholar] [CrossRef]
- Gul, M.; Yucesan, M. Performance evaluation of Turkish Universities by an integrated Bayesian BWM-TOPSIS model. Socio-Econ. Plan. Sci. 2022, 80, 101173. [Google Scholar] [CrossRef]
- Zhang, X.; Duan, X. Evaluating water resource carrying capacity in Pearl River-West River economic Belt based on portfolio weights and GRA-TOPSIS-CCDM. Ecol. Indic. 2024, 161, 111942. [Google Scholar] [CrossRef]
- Huang, Y.; Zhang, W.; Wang, N. Assessment of the carrying capacity of agricultural water resources in western region of Jilin based on principal component analysis. J. Change River Sci. Res. Inst. 2014, 31, 11. [Google Scholar]
- Long, X.; Lin, H.; An, X.; Chen, S.; Qi, S.; Zhang, M. Evaluation and analysis of ecosystem service value based on land use/cover change in Dongting Lake wetland. Ecol. Indic. 2022, 136, 108619. [Google Scholar] [CrossRef]
- Tang, X.; Cai, L.; Du, P. Spatiotemporal Evolution and Driving Forces of Production-Living-Ecological Space in Arid Ecological Transition Zone Based on Functional and Structural Perspectives: A Case Study of the Hexi Corridor. Sustainability 2024, 16, 6698. [Google Scholar] [CrossRef]
- Gao, J.; Xu, Y.; Yan, X.; Wang, Y.; Yang, J. Salt Resolving Slump of Sodic Saline Soil in the Lake Area of Western Jilin Province. J. Jilin Univ. Earth Sci. Ed. 2020, 50, 1104–1111. [Google Scholar]
- Zhai, Y.; Zhang, Y.; Jiang, Q.; Liu, R. Spatial-Temporal Evolution Pattern of “Production-Living-Ecological Space”in Agro-Pastoral Ecotone of Western Jilin Province. J. Jilin Univ. Earth Sci. Ed. 2022, 52, 1016–1026. [Google Scholar]
- Zhao, Y.; Wang, G.; Zhao, M.; Wang, M.; Xue, Z.; Liu, B.; Jiang, M. Seed limitation and saline-alkaline stress restrict wetland restoration potential in the Songnen Plain, northeastern China. Ecol. Indic. 2021, 129, 107998. [Google Scholar] [CrossRef]
- Huang, J.; Lin, H.; Qi, X. A literature review on optimization of spatial development pattern based on ecological-production-living space. Prog. Geogr. 2017, 36, 378–391. [Google Scholar]
Disclaimer/Publisher’s Note: The statements, opinions and data contained in all publications are solely those of the individual author(s) and contributor(s) and not of MDPI and/or the editor(s). MDPI and/or the editor(s) disclaim responsibility for any injury to people or property resulting from any ideas, methods, instructions or products referred to in the content. |
© 2024 by the authors. Licensee MDPI, Basel, Switzerland. This article is an open access article distributed under the terms and conditions of the Creative Commons Attribution (CC BY) license (https://creativecommons.org/licenses/by/4.0/).









