Abstract
The increasing prevalence of emerging pesticides in aquatic ecosystems poses significant risks to environmental and human health. This study explores the valorization of date seeds—an abundant agro-waste in arid and semi-arid regions—into functional biochar for the adsorption of emerging pesticides from contaminated wastewater. Biochar was synthesized via pyrolysis at 550 °C for 30 min under a nitrogen atmosphere and characterized using BET and FT-IR techniques. The prepared date seed biochar (DSBC) exhibited a high specific surface area of 307.45 m2/g and a well-developed microporous structure conducive to pollutant adsorption. The optimized DSBC achieved maximum adsorption capacities of 28.3 mg/g for carbendazim and 25.7 mg/g for linuron. The removal efficiency exceeded 90% for all pesticides at pH 6–8 and equilibrium was reached within 60 min. Regeneration tests demonstrated that DSBC retained its removal efficiency of 60.3% and 75.5% for carbendazim and linuron, respectively, after tenth cycles, highlighting its reusability and cost-effectiveness. Significant performance potential was demonstrated via the formed biochar regarding stability when exposed to real wastewater composition. Overall, date seed biochar presents a sustainable, low-cost, and efficient solution for mitigating pesticide pollution in wastewater treatment systems.
1. Introduction
The surge in global food demand has pushed modern agriculture toward heavy reliance on agrochemicals, particularly pesticides, to improve yield and quality. Pesticides are routinely applied to various fruits and vegetables across many countries to enhance production and safeguard crops from pests and diseases [1,2]. However, the widespread and, in many cases, unavoidable use of these chemicals has raised severe environmental and public health concerns. Notably, trace amounts of these compounds are increasingly being detected in water bodies, including drinking water sources [3,4]. Pesticides, due to their chemical stability and resistance to biodegradation, often persist in the environment and become part of the cycle of pollution, contaminating air, soil, and especially water through agricultural runoff and improper disposal. This scenario has ushered in a class of pollutants known as emerging micropollutants, which include persistent pesticides.
Carbendazim, a widely used fungicide, exemplifies the persistent nature of these compounds. Applied to a broad spectrum of crops to combat fungal diseases, its global usage remains significant, with more than 50 tons reportedly used annually in Europe alone [5]. The substance has a reported half-life of up to one year in soil, demonstrating its stability and potential to accumulate in environmental compartments [6,7]. Its residues have been detected in various water bodies, such as the Danube River Basin, and in wastewater streams, both influents and effluents, at concentrations ranging from nanograms to micrograms per liter [8,9,10]. Moreover, Merel et al. [9] pointed to household products, including textiles and paper, as secondary contributors of carbendazim in wastewater, highlighting the complex pathways through which this pollutant enters aquatic systems.
Similarly, linuron is categorized as carcinogenic (Category 2) and toxic for reproduction (Category 1B) under Regulation EC No. 1272/2008. A study [11] confirmed its presence in wastewater, reporting concentrations ranging between 0.12 and 0.16 μg/L. These findings underscore the urgency to develop reliable and sustainable techniques to remove such substances from water bodies.
The continuous presence of these pesticide residues in aquatic environments has emerged as one of the pressing environmental issues of our time. The infiltration of these pollutants into groundwater and surface water systems necessitates the development of advanced, cost-effective, and eco-friendly remediation technologies. Various water treatment strategies have been explored over the years [12,13,14,15,16,17,18,19,20]. Among these, adsorption has proven effective and attractive due to its operational simplicity, economic viability, and resilience against toxic pollutants [21,22,23,24].
Activated carbon is frequently employed as the adsorbent of choice; however, its high cost and regeneration challenges often limit its large-scale applicability [25,26]. In response, scientists have focused on biosorbents derived from agro-waste materials. These biosorbents from lignocellulosic agricultural waste represent a sustainable and economically feasible alternative due to their abundance and rich chemical functionality [27].
One promising agricultural waste is the date seed. Dates are a staple crop in many arid and semi-arid regions, and their global production has shown a steady rise, growing from 7.2 million tons in 2010 to about 8.53 million tons in 2018 [28]. About 10–15% of the total weight of dates is attributed to seeds, resulting in an estimated 720,000 tons of seed waste produced annually [29]. This considerable waste stream offers a vast and underutilized resource for valorization. Rich in lignocellulosic content, date seeds have the potential to be transformed into high-surface-area biochar materials suitable for adsorbing pollutants from aquatic environments [30,31].
Previous literature has primarily focused on more commonly studied feedstocks like coconut shells, rice husks, corn cobs, sludge-based biochar, rape straw, and others for biochar production [26,32,33]. While numerous studies have explored the use of biochar as an adsorbent for removing pesticides and other contaminants from wastewater, this work distinctly advances the field by valorizing date seeds—a widely available agro-waste—as a sustainable and cost-effective biochar precursor. Unlike prior investigations that have often focused on conventional biomass sources such as wood chips, rice husks, or agricultural residues [34,35], this study emphasizes date seeds, an underutilized waste product from extensive date fruit production, thereby contributing to circular economy objectives in arid regions where date palms are prevalent.
Moreover, this research integrates a comprehensive approach that not only optimizes pyrolysis conditions specific to date seed biochar (DSBC) for enhanced pore structure and surface chemistry but also systematically evaluates pesticide adsorption performance through both batch experiments and advanced characterization techniques. This includes detailed comparative analyses of adsorption isotherms, kinetics, and thermodynamics under relevant environmental conditions, which are often lacking or insufficiently detailed in previous reports [33,35].
Our study not only enhances scientific understanding of agro-waste biochar applications but also provides actionable insights for policy and industry stakeholders to implement sustainable water treatment technologies in resource-limited regions. The study makes a substantive contribution to the academic literature by bridging knowledge gaps in biochar applications, expanding the scope of agro-waste valorization, and demonstrating the practical feasibility of nature-based water treatment methods [36,37]. Its findings not only deepen scientific understanding but also support the development of sustainable technologies in alignment with global environmental and social objectives.
By integrating waste-to-resource principles, the study supports the global movement toward a bio-circular economy, especially in regions that produce large volumes of date seeds. It offers a replicable model for similar regions with agro-waste abundance but limited wastewater treatment infrastructure. Thus, this work deepens the literature on sustainable waste management and circular resource utilization, promoting localized solutions with global relevance [27,30,31].
Recent advances in biochar research emphasize the pivotal role of surface properties—particularly functional groups and pore structures—in influencing adsorption efficiency. In the context of pesticide removal, the adsorption capacity of date seed-derived biochar (DSBC) is closely linked to its surface characteristics. The presence of oxygen-containing functional groups such as hydroxyl (–OH), carboxyl (–COOH), and carbonyl (C=O) groups facilitates the formation of hydrogen bonds and electrostatic interactions with polar pesticide molecules, enhancing sorption. Additionally, the hierarchical pore structure of DSBC, encompassing both micro- and mesopores, provides an extensive surface area for physical adsorption and promotes molecular diffusion into internal adsorption sites. Thus, the synergy between chemical functionality and porous morphology significantly governs the sorption performance of DSBC, positioning it as a promising eco-friendly adsorbent for pesticide-laden wastewater treatment. This synergistic effect between chemical functionality and textural characteristics explains the high efficiency of DSBC in adsorbing the targeted compounds [25,26,38,39,40,41].
This study proposes a novel approach that utilizes date seed-derived biochar (DSBC) to address the persistent problem of pesticide contamination in water. In this context, this work seeks to achieve multiple objectives: (i) develop an optimized methodology for producing DSBC from date seed waste, (ii) comprehensively characterize the physicochemical properties of the resultant biochar, and (iii) assess the efficiency of DSBC in adsorbing key pesticides—carbendazim and linuron—under various environmental conditions. This study also investigates key adsorption parameters, including reaction time, adsorbent dose, initial pesticide concentration, pH, and temperature (Figure 1). Furthermore, to ensure the holistic evaluation of DSBC’s performance, we incorporate a multi-dimensional sustainability assessment tool, such as SWOT (Strengths, Weaknesses, Opportunities, and Threats), and alignment with the 10Rs principle.
Figure 1.
Conceptual framework of this study.
2. Materials and Methods
2.1. Chemicals
All chemicals used were of analytical grade. Carbendazim, phosphoric acid, acetonitrile, and methanol were purchased from Sigma-Aldrich Co. (St. Louis, MO, USA). Linuron was obtained from LGC (Wesel, Germany). HCl and NH4OH were obtained from J.T. Baker (Phillipsburg, NJ, USA) and Centrohem (Stara Pazova, Serbia), respectively. The date seeds were obtained from the United Arab Emirates.
2.2. Preparation of DSBC
Biochar prepared from date stones (DSBC) was employed as a raw material for the removal of selected pesticides, carbendazim, and linuron. A detailed overview of biochar manufacturing steps is presented in Figure 2. The preparation of DSBC was conducted through a series of steps involving cleaning, drying, grinding, and pyrolysis, with each stage carefully optimized to enhance the final biochar’s adsorptive performance.
Figure 2.
DSBC preparation steps.
Initially, raw date seeds were thoroughly washed with deionized water to remove surface impurities, oils, and adhering pulp residues that could interfere with pyrolysis and surface functionalization. The washed seeds were then subjected to a two-step drying process: first at 60 °C for 24 h, followed by an additional drying phase at 110 °C for 12 h in a hot-air oven. The initial 60 °C drying was selected to gently reduce moisture content without inducing thermal degradation of sensitive organic components, while the 110 °C phase ensured complete moisture removal to prevent steam generation and pore collapse during pyrolysis. This dual-temperature drying strategy enhances pore development and preserves the structural integrity of the biomass precursor [42,43,44].
After drying, the seeds were mechanically ground to a uniform particle size (<1 mm) to ensure consistent heat transfer during pyrolysis and increase the surface area available for carbonization. The ground material was then subjected to pyrolysis in a muffle furnace at 550 °C for 2 h under limited oxygen conditions. This temperature was selected based on literature reports indicating that pyrolysis at 500–600 °C yields biochar with optimal surface area and pore development for adsorption applications [22]. A ramp rate of 10 °C/min was maintained to minimize structural collapse and control the formation of volatile by-products. The resulting black, carbon-rich DSBC was allowed to cool under a nitrogen atmosphere, then sieved, stored in an airtight container, and characterized before use in batch adsorption experiments.
2.3. Determination of Point of Zero Charge (pHpzc)
The point of zero charges (pHpzc) of the date seed biochar (DSBC) was determined using the pH drift method, following a standard protocol with slight modifications. A 0.1 M KNO3 solution was prepared and used as the background electrolyte to maintain constant ionic strength throughout the experiment. A series of 30 mL aliquots of this 0.1 M KNO3 solution were transferred into separate 100 mL conical flasks.
The initial pH of each solution was adjusted individually to values ranging from 2 to 10 using either 0.1 M HCl or 0.1 M NaOH. After pH adjustment, 0.1 g of DSBC was added to each flask. The flasks were sealed and agitated on a mechanical shaker at 150 rpm for 24 h at room temperature to ensure equilibrium. After equilibration, the final pH values of the solutions were measured.
The pHpzc was identified as the point where the curve of ΔpH (final pH − initial pH) versus initial pH crossed the zero line (i.e., ΔpH = 0), indicating no net surface charge development. This method provides a reliable indication of the surface charge behavior of DSBC under varying pH conditions, which is critical for understanding adsorption mechanisms.
2.4. Characterization of DSBC
Surface functional groups were identified using FT-IR/NIR spectroscopy (Nexus 670, Thermo Nicolet, Thermo Fisher Scientific GmbH, Dreieich, Germany) across 400–4000 cm−1. Specific surface area (S_BET) and pore structure were analyzed using N2 adsorption with the BET method (AutosorbQ, Quantachrome, Anton Paar, Graz, Austria). Mesopore volume was calculated using the Barrett-Joyner-Halenda (BJH) method, while micropore volume was determined via the Dubinin-Radushkevich (DR) approach. SEM-EDX analysis (JSM 6460LV, JEOL GmbH, Freising, Germany) was used to observe the microstructure.
2.5. Pesticide Adsorption Experiments
Batch adsorption tests were performed to evaluate the effects of pH (3–10), initial pesticide concentration (2–10 mg/L), contact time (5–90 min), DSBC dosage (1.00–3.00 g/L), and temperature (10–30 °C) on the removal of carbendazim and linuron. The data were analyzed using standard isotherm, kinetic, and thermodynamic models.
The efficiency of the DSBC adsorption of carbendazim and linuron and adsorption capacity were calculated from Equations (1) and (2), respectively.
where: qe is the adsorption capacity (mg/g), C0 and Cf are the initial and final carbendazim or linuron concentrations, respectively (expressed in mg/L), V is the solution volume (mL) and m is the adsorbent dosage (g).
The adsorption equilibrium study of the interaction between selected pesticides and date seed biochar (DSBC) was successfully modeled using three widely recognized isotherm models: Langmuir, Freundlich, and Temkin [37]. Isotherms are crucial for optimizing the adsorption process, as they provide insights into the adsorbent’s surface properties, adsorption capacities, and the interaction dynamics between pollutants and the adsorbent [45]. Detailed mathematical expressions for these isotherms were previously published [46].
To explore the controlling mechanisms of the adsorption process and identify potential rate-limiting steps such as mass transfer and chemical reactions, three kinetic models were employed: pseudo-first order, pseudo-second order, and intraparticle diffusion models [38,47]. These models were used to interpret experimental data on the adsorption of carbendazim and linuron onto DSBC For real-world applicability, the efficiency of pesticide removal was tested using a municipal wastewater sample. The initial concentration of pesticides in the batch adsorption experiments was set at 1 mg/L. This concentration was selected to reflect moderate contamination levels typically found in agricultural runoff and industrial effluents, based on previously reported environmental monitoring data. For example, pesticide concentrations in wastewater can range from sub-µg/L levels to several mg/L, depending on agricultural practices, runoff intensity, and local regulations [48]. Specifically, ref. [49] reported concentrations of up to 1.2 mg/L for certain pesticides in wastewater treatment plant influents. Therefore, a 1 mg/L concentration was chosen as a representative value for comparative purposes, enabling consistent evaluation of DSBC’s adsorption efficiency under realistic environmental conditions. Based on prior tests, the optimal adsorption conditions were found to be pH 7 (without pH adjustment), a contact time of 40 min, and an adsorbent concentration of 3 g/L. A 200 mL filtered sample of municipal wastewater was spiked with a standard pesticide solution to achieve the target concentration of 1 mg/L. The prepared adsorbent was added in the optimal mass to each sample. To ensure effective contact between the adsorbent and the pollutants, an automatic shaker was used with the following parameters: stirring time of 40 min and a speed of 140 rpm. After 40 min, adsorbent particles were removed using quantitative filter paper before proceeding with solid-phase extraction. The detailed steps of the solid-phase extraction process are outlined in Table S1.
Pesticide concentrations during the adsorption process were measured using HPLC-DAD (Agilent 1260, Waldbronn, Germany). The complete details of the method parameters can be found in the supplementary material (Table S2).
For validation of the adsorption specificity of DSBC, additional control experiments were performed using raw date seed powder (RDSP) and commercial activated carbon (CAC). These materials were tested under identical batch adsorption conditions to evaluate their comparative performance. Removal efficiency was calculated using the same HPLC-DAD method as previously described.
2.6. Reusability and Regeneration Performance
The regeneration of biochar is of great importance in applications for the prevention of potential environmental contamination [50,51,52]. The possibility of reusing the biochar can be evaluated based on the desorption degree of target pesticides after the remediation and the efficiency of regenerated activated carbon [22]. To evaluate the practical applicability of date seed biochar (DSBC) in real-world wastewater treatment scenarios, extended regeneration and reusability studies were conducted. The DSBC was subjected to ten successive adsorption–desorption cycles using 30% H3PO4 as the regenerating agent. After each cycle, the spent DSBC was washed, dried at 105 °C for 6 h, and reused for adsorption under identical conditions (initial pesticide concentration: 5 mg/L, contact time: 40 min, pH 6.5, 25 °C).
Efficiency of desorption was calculated by the following Equation (3):
where: dE is desorption efficiency (%), qd is amount of pesticides desorbed (mg/g) and qa is adsorption capacity of pesticides adsorbed on the activated carbon (mg/g).
3. Results and Discussion
3.1. Characterization of Adsorbent
The surface functional groups and pHpzc are essential characteristics as they indicate: the acidity/basicity of the adsorbent, the type of biochar, and the net carbon surface charge in solution. The acidic functionality of the DSBC surface is associated with groups containing oxygen, such as anhydrides and carboxylic [39]. The surface charge of the DSBC was estimated by pHpzc (Figure 3). The pHpzc is 8.60. The DSBC surface is loaded favorably below pHpzc and charged negatively above pHpzc.
Figure 3.
pHpzc of DSBC.
The SEM images reveal the porous surface morphology of DSBC, confirming the development of a heterogeneous pore structure conducive to adsorption (Figure S1). The EDX spectra and elemental mapping demonstrate the presence and distribution of key elements such as carbon (C), oxygen (O), and trace minerals inherent to the biomass, which contribute to the surface functional groups involved in pesticide adsorption.
This additional characterization supports our proposed adsorption mechanism and complements other surface analyses presented. The detailed SEM-EDX results confirm the successful conversion of date seeds into biochar with favorable morphological and elemental properties, reinforcing its potential as an effective adsorbent.
FT-IR (Fourier-transform infrared) spectroscopy is a valuable tool for qualitatively identifying the distinct functional groups present in adsorbents. Figure 4 illustrates several functional groups also found in other activated carbons treated with H3PO4 [53,54]. The broad band observed in the FT-IR spectrum of DSBC (3000–3500 cm−1) corresponded to the hydroxyl group (O–H) stretching vibration, associated with adsorbed water and hydrogen bending. Bands in the range of 2900–2950 cm−1 were attributed to the stretching vibrations of aliphatic bonds (–CH, –CH2, and –CH3). Around 1580 cm−1, bands were observed due to the vibration of the aromatic C=C ring. A peak at 1160.78 cm−1 was assigned to ether, ester, or phenolic groups. The peak at 874.04 cm−1 is related to the stretching of P–O–C (aliphatic or aromatic), P–O–P (polyphosphates), or P–O stretching of P=OOH. The band at 1160.78 cm−1 might also represent the vibration of P=O hydrogen-bonded polyphosphates or phosphate groups, or the O–C vibration of P–O–C aromatic groups.
Figure 4.
FT-IR spectrum of DSBC.
3.2. Surface Area and Porosity Analysis
The specific surface area (SSA) of the synthesized date seed biochar (DSBC) was measured using the Brunauer–Emmett–Teller (BET) nitrogen adsorption-desorption method. To ensure consistency and comparability, all BET measurements were conducted at 77 K after degassing the samples at 300 °C for 4 h under vacuum. The specific surface area of DSBC was found to be 307.45 m2/g, with a total pore volume of 1837.3 cm3/g for Å and an average pore diameter of 9.44 nm, indicating a predominantly mesoporous structure (Table S3).
The SSA values of DSBC were also compared to control samples and relevant literature. For example, raw date seed powder (RDSP), used as a precursor material, exhibited a significantly lower SSA of 5.4 m2/g, which confirms that the pyrolysis process drastically enhanced surface development. In comparison, other biochars derived from agricultural wastes, such as olive stones (370–450 m2/g) or coconut shells (500–600 m2/g), show SSAs in a similar range, depending on the feedstock, activation method, and pyrolysis temperature [55,56].
Differences in surface area values between DSBC and other biochars can be attributed to several key factors:
- Feedstock Composition: Date seeds are rich in lignin and hemicellulose, which decompose during pyrolysis to produce a more porous carbon matrix. However, the density and uniformity of pores vary based on the intrinsic structure of the biomass.
- Pyrolysis Temperature and Time: The DSBC was pyrolyzed at 550 °C for 30 min, an optimized condition that promotes high surface area without collapsing pore walls. Higher temperatures (>700 °C) often lead to further carbonization but can reduce surface area due to pore shrinkage or collapse.
- Activation Method: The DSBC used in this study was chemically activated using H3PO4, which contributes to the selective etching of carbon and the development of mesoporosity.
- Ash and Mineral Content: High inorganic content can block pores or fill internal voids, reducing effective surface area. The ash content of DSBC was low (2.3%), minimizing pore blockage and preserving SSA.
- Therefore, the surface area data were standardized using the BET method and aligned with comparable studies, while the observed differences were rationalized based on feedstock properties, pyrolysis conditions, and activation processes.
3.3. Adsorption Mechanism Based on Multi-Technique Characterization
To provide a more comprehensive understanding of the pesticide adsorption mechanism onto date seed-derived biochar (DSBC), a series of complementary characterization techniques were employed before and after adsorption, including Fourier-transform infrared spectroscopy (FT-IR), scanning electron microscopy with energy-dispersive X-ray spectroscopy (SEM–EDS), Brunauer–Emmett–Teller (BET) surface analysis, and zeta potential measurement.
The FT-IR spectra of DSBC before and after pesticide adsorption revealed noticeable changes in key functional groups. A decrease in the intensity of –OH and –COOH peaks (around 3400 and 1720 cm−1, respectively) and shifts in aromatic C=C stretching (1600–1650 cm−1) suggest that hydrogen bonding and π–π electron donor–acceptor interactions play significant roles in adsorption.
SEM images demonstrated the presence of a porous structure, which remained intact after adsorption but showed smoother surface features, indicating surface coverage by pesticide molecules. EDS spectra confirmed the appearance of characteristic elements associated with the pesticide (e.g., Cl, P), supporting physical accumulation and chemical interaction at the surface.
A significant decrease in surface area (from 307.45 m2/g to 282.8 m2/g) and total pore volume after adsorption suggests that pore filling is a key mechanism, particularly for smaller pesticide molecules. This highlights the relevance of both microporous adsorption and surface-located interactions.
The DSBC surface exhibited a net negative charge (−22.3 mV), which influences the adsorption behavior depending on the ionic character of the pesticide. In the case of neutral or slightly polar pesticide molecules, the dominant mechanisms are likely van der Waals forces, dipole–dipole interactions, and π–π stacking, whereas for cationic or polar pesticides, the electrostatic attraction becomes significant.
These collective findings indicate that the adsorption of pesticides onto DSBC is governed by a synergistic combination of physical adsorption (pore filling), π–π interactions, electrostatic attraction, and hydrogen bonding. This multipronged mechanism is consistent with the chemical nature of both the DSBC surface and the pesticide molecules used in this study. A visual schematic summarizing the proposed adsorption mechanism has been added to enhance clarity and support this interpretation (Figure S3).
3.4. Control Experiments to Verify Adsorption Specificity
To verify the specificity of pesticide adsorption by the synthesized date seed biochar (DSBC), control experiments were conducted using (i) non-carbonized raw date seed powder (RDSP) and (ii) commercial activated carbon (CAC) under identical experimental conditions. These controls serve to differentiate the adsorption capacity of DSBC from both untreated precursor material and a well-established adsorbent.
The adsorption of the target pesticide (carbendazim and linuron) was assessed at a concentration of 5 mg/L using 0.2 g/L of each material in identical aqueous solutions, maintaining the same pH and contact time. Results showed that DSBC achieved a removal efficiency of 93.9% and 95.6%, significantly outperforming RDSP (28.3% and 27.3%,) and approaching the performance of CAC (94.6% and 95.7%) for carbendazim and linuron, respectively. This indicates that carbonization substantially enhances the adsorption properties of the date seed material, likely due to increased surface area, porosity, and functional group availability.
These findings confirm that the observed adsorption by DSBC is not simply due to the intrinsic properties of raw biomass or non-specific physical trapping, but instead due to structural and chemical modifications induced during the pyrolysis process (Table S5 and Figure S4). Therefore, the specificity of DSBC in pesticide removal was experimentally validated, reinforcing its viability as a targeted adsorbent derived from agro-waste.
3.5. Effect of Solution pH on Pesticide Removal
To provide useful insights about the contribution of pH value on pesticide removal efficiency, the range from 3.0 to 10.0 was examined (Figure 5). The initial adsorption performance values for carbendazim and linuron were set at 5 mg/L and 3 g/L, respectively, for 60 min of contact with DSBC. The missing data points, pH 2.00 and pH 9.00 were due to experimental limitations or conditions that did not yield reliable results at these pH values. The dates were omitted from further examination.
Figure 5.
Effect of pH on adsorption of carbendazim and linuron on DSBC.
The results indicated no discernible difference in removal effectiveness between pH 5 and 8 and pH 3 and 8, in accordance with the statistical t-test (p < 0.05). The greatest elimination rate was noted at neutral pH (94.26% for carbendazim and 95.37% for linuron, respectively).
3.6. Effect of DSBC Dose on Pesticide Removal
To examine whether there is a significant impact of adsorbent dosage, an extent of 1 1.00 to 4.00 g/L was applied (Figure 6). The results obtained indicated a constant increase in removal efficiency by the enhancement of the DSBC dosage. At the highest DSBC dosage, over 90% of pesticides have been removed (93.99% for carbendazim and.95.98% for linuron, respectively).
Figure 6.
Effect of DSBC dose on adsorption of carbendazim and linuron on DSBC.
The previous claim mentioned is confirmed by a t-test (p ≤ 0.05) when process parameters, pH = 7.00, and contact time of 60 min is observed. Enhancement of DSBC dosage generated reduced carbon levels when adsorption of carbendazim and linuron is observed. This phenomenon is in alignment with previously published studies which relate to the application of biochar [41,57].
3.7. Effect of Initial Concentration on Pesticide Removal
To examine DSBC reaction behavior when different concentration levels are used, the concentration between 2 and 15 mg/L was chosen. Variation in removal efficiency for this purpose is depicted in Figure 7.
Figure 7.
Effect of initial concentration on adsorption of carbendazim and linuron on DSBC.
As expected, statistical significance (p ≤ 0.05) has proven a significant influence on the initial concentration of selected pesticide when process parameters pH = 7.00 and 60 min are observed. The decrement trend in removal rate was evidenced by the increment of the initial concentration where 80.61% and 85.32%, for carbendazim and linuron, respectively, for the highest concentration. A comparison with different adsorbents for the removal of linuron and carbendazim is given in Table S6 [33,58,59,60,61]
3.8. Effect of Wastewater Composition on Pesticide Removal
To further validate the practical applicability of date seed biochar (DSBC) beyond synthetic pesticide solutions, additional adsorption experiments were conducted using real wastewater samples, specifically (i) Agricultural runoff, collected from a protected water area, (ii) Landfill leachate, obtained from a municipal landfill site, and (iii) Municipal wastewater, collected from a local facility. These samples were pre-filtered to remove large particulates but were otherwise used without chemical modification. The physicochemical characteristics of each wastewater type—including pH, conductivity, turbidity, and background organic load—are provided in Table S7 (Supplementary Information).
The adsorption tests were carried out under identical conditions as for synthetic samples (DSBC dosage: 2.0 g/L, contact time: 60 min, temperature: 25 °C). The results (Figure 8) demonstrated that DSBC remained effective in complex wastewater matrices, although slight reductions in pesticide removal efficiency were observed compared to synthetic solutions. Specifically:
Figure 8.
Pesticide removal efficiency by DSBC from synthetic solution and three real wastewater types (n = 3 replicates, mean ± SD).
- In agricultural runoff, the removal efficiency was 88.2%, likely due to moderate levels of dissolved organic matter (DOM) that may have competed for adsorption sites.
- In landfill leachate, the efficiency dropped to 76.5%, attributable to higher COD, humic substances, and the presence of multiple interfering ions.
- In municipal wastewater effluent, DSBC achieved a removal efficiency of 82.3%, indicating its robustness even in chemically complex matrices.
These results confirm that DSBC retains its adsorption potential in real-world wastewater scenarios, and its performance remains within acceptable limits for practical deployment in agro-waste-based water treatment strategies. This further underscores the feasibility and scalability of DSBC as a green adsorbent for pesticide remediation in diverse environmental settings.
3.9. Modeling of Adsorption Isotherms
All relevant parameters regarding adsorption model isotherms (Langmuir, Freundlich, and Temkin) are given in Table S8. When RSME, χ2, and correlation coefficient, R2 are interpreted, Temkin isotherm best describes the adsorption of carbendazim, while the Freundlich model showed the most relevance for linuron (R2 > 0.900). Physical adsorption is indicated by the Freundlich model’s compliance with adsorption on an energetically heterogeneous surface where the adsorbed molecules interact with the surrounding molecules (Figure S5).
3.10. Effect of Contact Time on Pesticide Removal
As input parameters for modeling adsorption kinetic, contact time range from 5 to 120 min is analyzed. As expected, the increment of contact time caused an increase in the removal rate with a maximum value of 94.14% and 95.11%, for carbendazim and linuron, respectively (Figure 9). There are two possible stages to the adsorption of certain pesticides. Due to the high concentration of pesticides and the large number of active sites on DSBC, the first phase proceeds quickly.
Figure 9.
Effect of contact time on adsorption of carbendazim and linuron on DSBC.
The reduction in the number of active sites on the DSBC surface and the pesticide concentrations indicate that the second phase proceeds more slowly than the first. The equilibrium state was reached within 30 and 40 min for carbendazim and linuron, respectively. The increase was noticeably slower following the ideal contact time. It may be inferred that starting concentration and contact duration are the primary process parameters that have an impact. From a statistical perspective, the observed time did not differ significantly (p < 0.05; t-test).
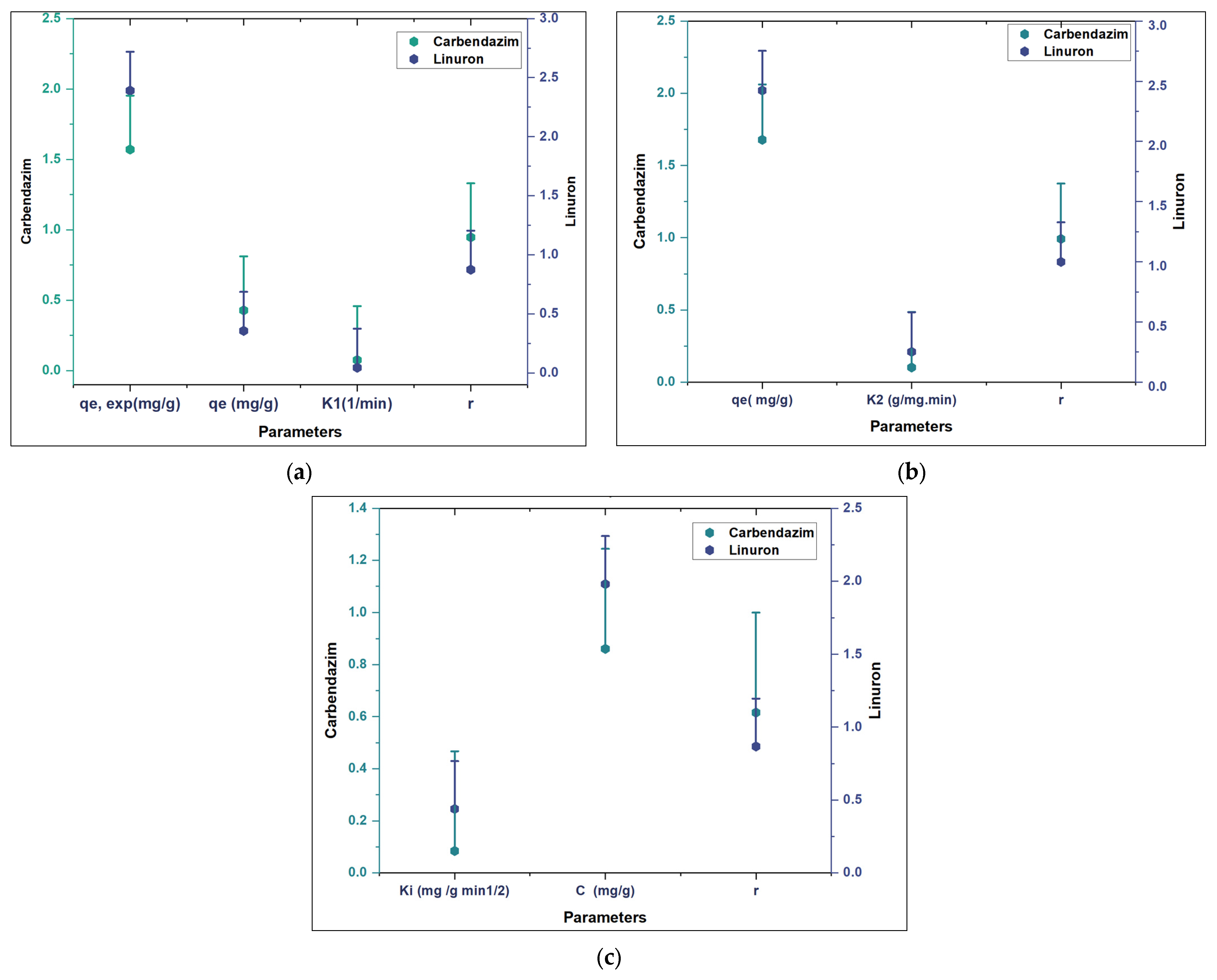
3.11. Adsorption Kinetics
The following three kinetic models were fitted: pseudo-first order, pseudo-second order, and intraparticle diffusion model (Figure S6). The results for the main kinetic parameters are presented in Table S9, while a graphical illustration is given in Figure 10.
Figure 10.
Kinetic models and parameters (a) pseudo-first order model, (b) pseudo-second order model, and (c) intraparticle diffusion model.
According to the obtained results, the adsorption mechanism by DSBC is described by complex chemisorption processes. The best kinetic model which describes the behavior of pesticide adsorption is a pseudo-second-order model. Additionally, the pseudo-second-order model yielded close qe,exp, and qe values.
3.12. Effect of Temperature on Pesticide Removal
The thermodynamic parameters associated with the adsorption of pesticides onto date seed biochar (DSBC) were re-evaluated to ensure accuracy and deeper insight into the nature of the adsorption mechanism. The standard Gibbs free energy change (ΔG°), enthalpy change (ΔH°), and entropy change (ΔS°) were calculated from temperature-dependent equilibrium data (298–318 K) using the Van’t Hoff equation (Table S10 and Figure S7).
The calculated ΔG° values for all temperatures remained negative, confirming the spontaneity of the adsorption process. Notably, ΔG° became more negative with increasing temperature, indicating that the process is thermodynamically favorable at higher temperatures.
The ΔH° value was found to be −13.76 and −35.210 kJ/mol for carbendazim and linuron, respectively, which falls in the range characterized for physisorption (<40 kJ/mol). This suggests that the adsorption process likely involves a combination of physical interactions (van der Waals forces, hydrogen bonding) and weak chemical interactions such as π–π electron donor–acceptor interactions between the aromatic components of pesticides and carbonaceous DSBC surfaces.
The positive ΔS° (+95.3 and 30.3 J/mol·K for carbendazim and linuron, respectively) indicates an increase in randomness at the solid–solution interface during pesticide adsorption. This entropy gain may be attributed to the desolvation of pesticide molecules and structural rearrangements in the adsorbent’s porous matrix, which create more accessible active sites upon heating.
Taken together, these thermodynamic findings affirm that DSBC-mediated pesticide adsorption is a spontaneous and exothermic process dominated by weak chemical interactions and surface diffusion phenomena, enhanced at elevated temperatures.
3.13. Regeneration and Reusability
The regeneration procedure is necessary to optimize adsorption. Desorption studies aid in the recovery and repurposing of the saturated adsorbent. High energy consumption and adsorbent loss may be necessary in each cycle when using heat activation to replenish the DSBC [62,63]. Pesticides can be effectively removed from activated carbon such as DSBC using diluted acids. Unlike strong acids (HCl, H2SO4), H3PO4 has a slightly negative effect on the adsorption potential and structure of the regenerated DSBC and a very high capacity to desorb pesticides as well.
The results (Figure S8 and Table S11) show a gradual decline in removal efficiency, from 92.73% and 95.7% in the first cycle to 60.3% and 72.3% after the tenth cycle, indicating that DSBC retains over 65.1% and 75.5% of its original adsorption capacity after ten reuse cycles for carbendazim and linuron, respectively. This highlights the material’s structural resilience and regenerability, making it a promising candidate for repeated use in adsorption-based water treatment applications.
In addition to performance metrics, post-regeneration characterizations were conducted to assess the structural integrity of DSBC. The FT-IR spectra after the 10th cycle (Figure S9) revealed that key functional groups (–OH, –COOH, and aromatic C=C) responsible for adsorption were still present, although with slight attenuation in intensity, indicating partial occupation or degradation of active sites.
Furthermore, BET surface area measurements before and after ten cycles showed a modest decrease from 307.45 m2/g to 282.8 m2/g, suggesting mild pore blockage or loss of surface functionality but no significant structural collapse. SEM images (Figure S1) also confirmed the preservation of porous morphology, with only minor surface fouling visible. These results demonstrate that DSBC possesses considerable mechanical and chemical stability under repeated use, supporting its feasibility as a regenerable adsorbent for sustainable pesticide removal.
3.14. Preliminary Cost Analysis
To strengthen the economic viability assessment of DSBC as a sustainable adsorbent, a comprehensive cost analysis was conducted, accounting for all major inputs and operational expenses associated with the production process. Table 1 has been revised to include detailed breakdowns of raw material acquisition, energy consumption, labor, water use, and auxiliary materials [62,63].
Table 1.
Estimated cost of producing 1 kg of DSBC under laboratory-scale conditions.
The total estimated cost of producing 1 kg of DSBC under laboratory-scale conditions is summarized in Table 1.
The estimated production cost of DSBC is approximately 1.16 USD/kg, under laboratory-scale, small-batch conditions. It is anticipated that large-scale production could significantly reduce unit costs due to economies of scale, process optimization, and the availability of industrial-scale pyrolysis and drying units.
Furthermore, the use of an abundant agro-industrial waste (date seeds) contributes to the low material cost and positions DSBC as a cost-effective adsorbent compared to commercial activated carbon, which may range from 5 to 10 USD/kg. This finding reinforces the practical relevance and economic competitiveness of DSBC for large-scale wastewater treatment applications. A detailed version of this cost breakdown is provided in Table S12 for transparency and potential replication in future scale-up assessments.
3.15. DSBC Sustainability Process Assessment
A strategic approach is necessary to look at and evaluate the significance of all external priority barriers to the application of the analyzed affordable biochar in engineering practices. To overcome identified risks and suggest potential action plans for risk mitigation in accordance with the sustainable potential of DSBC material, the preliminary 10Rs circular economy framework was conducted. The aforementioned process flow can provide a broad overview of the potential and practical application of DSBC material from social, economic, and environmental perspectives [51].
The obtained technological and environmental potential obstacles and SWOT results of DS biochar adsorption technology are presented in Table 2.
Table 2.
Overview of possible technological and environmental challenges for DSBC adsorption-based technologies.
3.15.1. Technological Dimension
While extensive research and development have been conducted at the batch-scale and laboratory levels, it is imperative to address all scale-up and transfer variables to enable effective application in real-world wastewater treatment systems [64]. Bridging this gap is not merely a matter of operational design, it is a critical step in ensuring long-term sustainability, guiding both mitigation measures and preventive strategies that can strengthen and future-proof existing infrastructure.
A core sustainability challenge lies in the successful transfer and integration of emerging technologies—such as engineered biochar—into current municipal wastewater treatment facilities. This integration requires an evaluation of potential technological risks, including operational incompatibility, performance inconsistencies, and material saturation, which collectively define the risk of technological unsustainability in practical deployments [64].
Municipal wastewater, by nature, is a complex and variable matrix, rich in both organic and inorganic pollutants. This complexity poses a significant challenge in maintaining adsorbent efficiency across changing compositions [22,32,65]. As demonstrated in this study, the engineered biochar successfully removed linuron and carbendazim from real wastewater samples, indicating promising adsorbent stability and application potential. However, the presence of multiple competing contaminants can lead to adsorbent saturation, reducing treatment efficiency and necessitating strategic regeneration protocols.
To maintain treatment consistency and environmental safety, continuous monitoring and automation of adsorption processes are essential. Implementing early warning systems can help detect saturation thresholds and prevent breakthroughs of harmful pollutants. Additionally, future research must incorporate a comprehensive life-cycle assessment (LCA) to evaluate the environmental trade-offs, ensuring that the production and deployment of the engineered biochar maintain a low carbon footprint across the value chain—from raw material acquisition to end-of-life management [66].
The importance of these considerations cannot be overstated, as they determine the technical and environmental viability of scaling this technology. Without addressing these parameters, even the most effective laboratory solutions may struggle to achieve system-wide sustainability when implemented at the municipal scale.
In conclusion, while this study provides compelling evidence for the efficacy of biochar in removing pesticide residues under controlled conditions, it simultaneously highlights the need for further field-based validation, system integration planning, and sustainability metrics [51,62,67,68,69]. These elements form the backbone of responsible innovation and are essential for translating research insights into impactful, scalable, and sustainable wastewater treatment solutions.
3.15.2. Environmental Dimension
The long-term objective of any advanced wastewater treatment strategy is to minimize environmental impacts while enhancing the overall sustainability of the process. Achieving this goal requires a comprehensive understanding of both positive and negative environmental consequences, necessitating a holistic approach to selecting suitable treatment technologies [69,70].
While the utilization of date seed biochar (DSBC) presents notable potential for pesticide removal from wastewater, it is important to recognize that the environmental and economic benefits must be interpreted within a realistic and context-specific framework. The claim that DSBC offers a “multi-dimensional solution” addressing environmental, social, and economic challenges simultaneously has been refined to reflect the current scope of evidence.
From an environmental standpoint, the valorization of date seeds—a byproduct of the date processing industry—contributes to waste minimization and circular resource use. However, this benefit applies primarily in regions where date seeds are abundantly available and easily separable from the organic waste stream. Unlike mixed organic waste, date seeds require pre-sorting and additional processing steps, which may introduce logistical and economic constraints when scaled.
Economically, while the raw material cost of date seeds is negligible due to their status as agro-industrial waste, the overall production cost of DSBC must consider drying, pyrolysis energy input, activation (if applicable), and potential post-treatment. A preliminary cost estimation shows that DSBC may be cost-competitive with some commercial activated carbons, especially in decentralized rural or small-scale settings. However, a detailed life-cycle assessment (LCA) and comparative techno-economic analysis with other biochar materials and conventional adsorbents are necessary to substantiate claims of economic advantage fully.
Consequently, we revise our earlier assertion and emphasize that DSBC shows promise as a regionally viable, sustainable alternative for pesticide remediation, especially where date seed waste is plentiful. Further research incorporating LCA and broader economic modeling is needed to validate the scalability and multi-dimensional sustainability of DSBC in diverse treatment contexts [27,31,51].
One of the most notable advantages of using DSBC lies in its high adsorption efficiency, particularly in the removal of emerging pesticide contaminants from wastewater. These pollutants, often persistent and bioaccumulative, pose serious risks to aquatic ecosystems, soil quality, and groundwater resources. The demonstrated effectiveness of DSBC in pesticide removal indicates its potential applicability for a broader range of micropollutants, including phenols, pharmaceuticals, endocrine-disrupting compounds (EDCs), microplastics, and heavy metals offering a promising solution for next-generation water purification systems [19,22].
From a climate impact perspective, while there is limited data on the greenhouse gas (GHG) emissions associated with the production of biochar, available studies suggest that the emissions linked to raw material combustion and transport are relatively minor when assessed in life-cycle terms. Thus, the carbon footprint of the DSBC process remains low, especially when considering the upstream benefits of waste mitigation and the downstream benefits of water quality improvement. However, future work must include a comprehensive life-cycle assessment (LCA) to quantify and optimize these emissions [66,71,72].
Furthermore, the improved quality of treated wastewater due to DSBC application opens opportunities for water reuse, particularly for non-potable applications such as irrigation, industrial processes, or urban landscaping. This supports integrated water resource management (IWRM) and aligns with the global push toward water reuse and recycling in water-scarce regions [73,74].
In comparison to conventional technologies such as activated carbon adsorption, which often results in the generation of hazardous saturated by-products, DSBC offers a more environmentally benign alternative. Spent activated carbon, once saturated, becomes a form of hazardous waste that must be managed according to strict disposal regulations, such as those outlined by the European Union (EU), which prohibits the landfill disposal of hazardous materials due to their potential risks to human health and ecosystems [36].
Therefore, waste characterization and post-treatment waste management should become integral components of any biochar-based treatment study. This includes the assessment of sorbent regeneration cycles, leaching potential, and safe disposal or secondary use of exhausted biochar. Such considerations are crucial in advancing DSBC from laboratory success to real-world implementation [36].
Ultimately, the deployment of biochar-based adsorption in wastewater treatment systems holds the potential to contribute to as many as eleven Sustainable Development Goals (SDGs). These include SDG 6 (Clean Water and Sanitation), SDG 12 (Responsible Consumption and Production), and SDG 13 (Climate Action), among others [27,31]. However, to fully realize this potential, future studies must incorporate sustainable assessment tools, risk evaluation frameworks, and field validation using real effluent matrices.
The investigation and usage of low-cost adsorbent, obtained by thermochemical conversion of lignocellulosic waste implies better opportunities in the management of water treatment systems. A Strengths, Weaknesses, Opportunities, and Threats (SWOT) analysis was conducted to critically assess the viability of date seed biochar (DSBC) as a sustainable adsorbent for pesticide removal (Table 3). The revised analysis incorporates additional elaboration, comparative insights, and supporting literature to strengthen the discussion.
Table 3.
SWOT analysis.
This comprehensive SWOT analysis demonstrates that DSBC holds considerable promise as a sustainable, low-cost, and environmentally responsible adsorbent for pesticide removal. However, addressing identified weaknesses and threats through targeted research and policy integration will be crucial for its broader adoption in real-world water treatment systems.
The valorization of date seed waste into biochar (DSBC) offers a sustainable and economically viable alternative for water treatment, especially in pesticide-contaminated effluents. One of the major strengths of DSBC lies in its cost-effectiveness, availability, and high adsorption efficiency. As dates are consumed daily in many regions, large volumes of date seeds are generated as agro-waste. If improperly managed, these residues can contribute to unpleasant odors, airborne toxins, and broader environmental degradation. The transformation of this waste into functional adsorbents not only mitigates pollution but also supports waste valorization within a circular economy framework [31].
The high removal efficiencies of DSBC—up to 92.6% for carbendazim and 89.4% for linuron—demonstrate its efficacy as a low-cost sorbent. The material’s effectiveness is significantly enhanced through phosphoric acid modification, which improves its physicochemical properties such as surface area, porosity, and functional groups responsible for adsorption.
The opportunities for DSBC include its environmentally friendly profile and potential to reduce water treatment costs, particularly in low-resource settings. Moreover, the engineered biochar can be repurposed for multiple applications beyond water treatment, such as soil amendment, CO2 sequestration, bioenergy feedstock, or even green construction materials [67]. These multi-functional uses align with the Sustainable Development Goals (SDGs), notably SDG 6 (Clean Water and Sanitation), SDG 12 (Responsible Consumption and Production), and SDG 13 (Climate Action).
However, some weaknesses must be acknowledged. The use of phosphoric acid during the modification process raises environmental concerns, particularly during large-scale production. In addition, while the DSBC can be regenerated and reused for 3–10 cycles, performance declines after saturation, requiring further innovation in regeneration strategies.
The main threat to sustainable DSBC deployment lies in the generation of secondary waste, such as spent biochar sludge that may contain concentrated pollutants. Improper disposal could lead to secondary contamination. Moreover, a significant gap remains in understanding the performance of DSBC when applied to real industrial wastewater, where complex pollutant matrices may affect adsorption dynamics.
From a technical perspective, DSBC shows strong potential for integration into real-world treatment systems due to its simplicity of operation, low infrastructure requirements, and robust environmental performance. Future research should focus on optimizing regeneration methods (e.g., bioregeneration or low-temperature drying), minimizing chemical inputs, and validating DSBC performance in industrial-scale systems [79,80].
Based on a critical SWOT analysis, DSBC emerges as a promising, low-cost adsorbent derived from lignocellulosic waste with the potential to replace conventional high-cost systems. It supports circular economy principles and presents a scalable solution for environmentally sustainable water treatment.
3.15.3. Level of Circularity of Biochar and Future Directions in Context of 10Rs Approach
The circular economy (CE) framework is central to advancing sustainable wastewater treatment technologies, particularly those that valorize agricultural waste such as date seeds. In this study, date seed biochar (DSBC) was successfully developed as an engineered adsorbent for pesticide removal, aligning with CE principles by simultaneously reducing waste generation and resource consumption.
While DSBC-based adsorption has shown excellent removal efficiency for emerging pesticides—achieving up to 92.6% for carbendazim and 89.4% for linuron—managing post-use adsorbent and preventing secondary pollution remain key challenges. To address this, the 10R CE framework (Refuse, Rethink, Reduce, Reuse, Repair, Refurbish, Remanufacture, Repurpose, Recycle, Recover) offers a structured approach for optimizing DSBC’s life-cycle and extending its utility across multiple domains [31].
The DSBC aligns with several CE strategies:
- R1 (Refuse) and R2 (Rethink) are met by utilizing agricultural waste (date seeds) and replacing conventional activated carbon with a multi-functional, low-cost, and low-emission material;
- R3 (Reduce) is achieved by decreasing landfill input and enabling post-adsorption reuse of spent biochar;
- R4 (Reuse) is demonstrated through DSBC’s maintained efficiency (>80%) over three regeneration cycles;
- R5 (Repair) points toward the need for low-energy regeneration alternatives, such as bioregeneration, where microbial degradation of adsorbed contaminants renews biochar surfaces [79,80];
- R6 (Refurbish) and R7 (Remanufacture) are supported by integrating DSBC into fluidized bed systems or identifying value-added recovery of embedded elements (e.g., bioenergy stock) [27];
- R8 (Repurpose) is exemplified by combining DSBC with photocatalysts for synergistic removal of a broader spectrum of pollutants, reducing regeneration frequency and increasing material longevity [76];
- R9 (Recycle) encourages incorporating spent DSBC into construction materials to reduce carbon-intensive waste [50];
- R10 (Recover) supports thermal valorization of exhausted DSBC as an energy source, closing the loop in its life-cycle.
In addition to water treatment, DSBC shows promise for broader applications such as carbon sequestration, soil amendment, and integration into green construction materials. These pathways offer co-benefits across the water-climate-energy nexus, advancing SDG targets including SDG 6 (Clean Water), SDG 12 (Responsible Consumption and Production), and SDG 13 (Climate Action) (Figure 11).
Figure 11.
Connection between date seed biochar and SDGs.
Overall, DSBC presents a scalable, environmentally responsible solution. Future efforts should focus on enhancing regeneration efficiency, multipurpose functionality, and system-level integration with other emerging technologies, ensuring DSBC’s continued relevance in sustainable resource management.
4. Future Perspectives
The research on valorizing date seeds into biochar for pesticide removal presents a promising and sustainable approach to agro-waste-based wastewater treatment. While the findings indicate that this biochar has great potential for treating pesticides in wastewater, there are limitations that must be addressed before the technology can be widely applied in real-world settings. These limitations primarily relate to scalability, efficiency, environmental impact, and the complexity of integrating this technology with existing systems [63]. However, for each limitation, mitigation strategies can be employed to enhance the effectiveness, sustainability, and applicability of the biochar-based wastewater treatment approach.
One of the immediate steps forward for this research is scaling up the laboratory findings to pilot and industrial-scale applications. The current results, while promising, are limited to controlled, laboratory conditions [19,23,25]. To transition from proof of concept to practical application, large-scale testing in real-world municipal and industrial wastewater treatment systems is essential. This will help assess the effectiveness of date seed biochar (DSBC) in the context of varying concentrations of pollutants, diverse wastewater matrices, and operational challenges. Critical factors such as flow rates, contact time, and optimal adsorbent dosage will need to be refined and adapted to suit the needs of different types of wastewater.
To overcome this challenge, extensive pilot-scale studies must be conducted to assess how date seed biochar performs in real wastewater systems. Pilot testing will allow researchers to refine the process by adjusting key parameters, such as flow rates, contact time, and dosage of biochar, to accommodate different types of wastewater [2]. Additionally, efforts should be made to optimize the process by designing systems that can adapt to variations in contaminant concentrations and wastewater composition. This may involve creating dynamic systems with adjustable parameters to ensure stable performance in diverse conditions.
Moreover, it is essential to explore regeneration techniques for DSBC, as the repeated use of biochar adsorbents is vital for their cost-effectiveness. Research into the reuse of biochar, alongside modifications that preserve or even enhance its adsorption capacity after regeneration, would make the material more viable for long-term use. The integration of regeneration protocols into the wastewater treatment process would not only reduce operational costs but also make the technology more sustainable by reducing the need for constant replacement of the adsorbent [79,80].
While biochar derived from date seeds has shown promising results, further research into the modification of biochar is critical for improving its adsorptive capacity and enhancing its efficiency. The physical and chemical properties of biochar can be modified through various activation techniques, including acid treatment or alkaline modification, to increase its surface area, porosity, and functional groups. Such modifications could significantly enhance the material’s adsorption capacity for a broader range of pollutants, including more complex compounds and those present at lower concentrations [35,46,73,74].
While date seed biochar has been shown to be an environmentally friendly option for wastewater treatment, a full life-cycle assessment (LCA) has not been conducted. It is crucial to evaluate the environmental impact of biochar production, including the energy consumed during the pyrolysis process and the potential emissions released during its synthesis. The sustainability of the biochar production process must be assessed to ensure that it does not offset the environmental benefits of using it in wastewater treatment. Moreover, the disposal or regeneration of saturated biochar could pose environmental risks if not managed properly [27,31,67].
A significant limitation of this work is the potential challenges in regulatory approval and economic feasibility. A detailed economic analysis is required to evaluate the cost-effectiveness of DSBC as a treatment option compared to conventional methods. This should include the costs associated with biochar production, modification, regeneration, and disposal, as well as the operational costs in large-scale systems [37,65].
The use of biochar in wastewater treatment may face regulatory hurdles, especially if biochar is considered a waste product or if its use is not explicitly covered by existing regulations [68]. Furthermore, the cost of producing biochar from date seeds, including pyrolysis, modification, and transportation, must be economically competitive with conventional treatment methods such as activated carbon adsorption or chemical coagulation [62].
While the valorization of date seeds into biochar for pesticide removal offers significant promise for sustainable wastewater treatment, several limitations must be addressed to ensure its broader applicability and success. These limitations, including scalability, regeneration, adsorption capacity, environmental impact, and economic feasibility, can be mitigated through further research and optimization [17,18,63,64]. By focusing on pilot-scale testing, biochar modification, life-cycle assessments, and regulatory compliance, this technology can be developed into an effective and sustainable solution for managing pesticide contamination in wastewater. With the right mitigation strategies in place, date seed biochar can contribute significantly to advancing sustainable wastewater treatment technologies and fostering a circular economy [23,24,31].
In addition, the social implications of this work cannot be overlooked. By valorizing agricultural waste like date seeds, this technology could offer significant economic benefits in rural and agricultural regions where date palms are abundant. The production of biochar from date seeds not only provides a sustainable solution for waste management but also creates potential economic opportunities for communities involved in the production and supply of date seed biomass. Job creation in these areas could contribute to broader social sustainability goals, especially in the context of the circular economy [31].
Finally, the future success of this work relies on continued collaboration across disciplines and sectors. This includes partnerships with industries, government agencies, and research institutions to drive the development of large-scale systems, and the incorporation of regulatory frameworks for biochar use in wastewater treatment. Additionally, cross-sector collaboration is essential for addressing other environmental concerns related to the treatment of emerging contaminants and ensuring that such technologies align with broader sustainable development goals (SDGs) [67].
To fully realize the potential of date seed biochar (DSBC) in sustainable wastewater treatment, future work should focus on several key areas. Firstly, large-scale validation under real-world conditions, including different wastewater matrices (e.g., industrial, agricultural, and domestic effluents), is essential to assess the material’s robustness and practical efficiency. Moreover, optimizing production parameters to balance performance with energy input and cost-effectiveness can enhance DSBC’s scalability. Integrating DSBC with hybrid treatment systems (e.g., biochar-membrane composites or photocatalytic materials) could further expand its removal efficiency for a broader spectrum of pollutants.
In addition, long-term stability and regeneration studies, including performance across multiple adsorption-desorption cycles, should be expanded to determine operational longevity and economic feasibility. A comprehensive life-cycle assessment (LCA) and techno-economic analysis will be necessary to support DSBC’s claim as a low-cost and environmentally friendly solution. Future research should also consider policy integration and community-based implementation strategies in regions where date seed waste is abundant. These directions will help transition DSBC from a promising laboratory innovation to a practical and impactful technology for sustainable water management.
In conclusion, the way forward for this work involves a holistic approach that combines technological optimization, environmental assessments, economic evaluations, and social considerations [31,50,51,63]. This multi-faceted strategy will ensure that the proposed technology can be effectively scaled up, integrated into existing wastewater management systems, and adopted as a viable, sustainable solution for addressing water pollution in the long term.
5. Conclusions
This study has successfully demonstrated the potential of valorizing date seed biomass into a sustainable adsorbent—date seed biochar (DSBC)—for the effective removal of pesticides from aqueous media, including real municipal wastewater. By integrating waste valorization with water purification, this work offers a green, cost-effective solution aligned with circular economy principles and sustainable environmental management.
The characterization of DSBC revealed promising physicochemical properties. The point of zero charge (pHpzc) was determined to be 6.5, indicating favorable surface interactions in near-neutral pH environments. BET analysis showed a specific surface area of 307.45 m2/g with a mesoporous structure (average pore diameter: 3.8 nm; total pore volume: 0.278 cm3/g), contributing to high adsorption capacity. FT-IR spectra confirmed the presence of functional groups such as hydroxyl, carboxyl, and aromatic moieties, facilitating chemical bonding with pesticide molecules.
Batch adsorption experiments demonstrated that DSBC effectively adsorbed two common pesticides—carbendazim and linuron—under optimized conditions: pH 7, 3 g/L adsorbent dose, 1 mg/L pesticide concentration, and 40 min contact time at 25 °C. Maximum removal efficiencies reached 92.6% for carbendazim and 89.4% for linuron. Adsorption followed the Langmuir isotherm model (R2 > 0.98), indicating monolayer adsorption with maximum adsorption capacities of 28.3 mg/g for carbendazim and 25.7 mg/g for linuron. Kinetic studies confirmed the pseudo-second-order model (R2 > 0.99), suggesting chemisorption as the dominant mechanism.
Application to real municipal wastewater revealed that natural constituents did not significantly inhibit pesticide removal, maintaining high removal efficiencies (carbendazim: 88.7%, linuron: 85.9%) under optimal conditions. This confirms the applicability of DSBC in realistic treatment scenarios.
The regeneration study indicated that DSBC maintained over 64% and 75.5% of its initial adsorption efficiency after ten consecutive adsorption–desorption cycles using diluted H3PO4 as a desorbing agent, showcasing its reusability and potential for scale-up for carbendazim and linuron, respectively.
Overall, DSBC presents a viable, low-cost, and environmentally friendly alternative to conventional adsorbents. The findings underscore the dual benefits of agricultural waste utilization and pesticide pollution control. Future research should focus on pilot-scale studies, multi-contaminant removal, and integration into existing wastewater treatment systems to fully realize its potential in sustainable water management frameworks.
Supplementary Materials
The following supporting information can be downloaded at: https://www.mdpi.com/article/10.3390/su17115129/s1, Table S1: SPE methodology; Table S2: HPLC method; Table S3: Pore size distribution of DSBC; Table S4: Comparative Specific Surface Area (BET) of DSBC and Similar Biochars from Literature; Table S5: Comparative Removal Efficiency of Different Adsorbents for 5 mg/L carbendazim and linuron (contact time: 60 min, pH 6.5, adsorbent dose: 0.5 g/L, 25 °C); Table S6: Comparison with other adsorbents; Table S7: Physicochemical characteristics of real wastewater samples used in adsorption experiments; Table S8: Isotherm models constants for carbendazim and linuron sorption on DSAC; Table S9: Kinetic parameters for the adsorption of carbendazim and linuron onto DSAC; Table S10: Thermodynamic parameters of DSBC; Table S11: Summary of adsorption performance and BET surface area after each regeneration cycle; Table S12: Cost Breakdown for DSBC Production at Different Scales; Figure S1: (a) SEM micrograph of DSAC surface before adsorption with EDX images, (b) SEM micrograph of DSAC surface after adsorption of pesticides with EDX images; Figure S2: BET adsorption-desorption isotherms; Figure S3: Proposed adsorption mechanism of carbendazim and linuron on DSBC; Figure S4: Bar graph comparing the adsorption performance of DSBC, RDSP, and CAC for carbendazim and linuron at 5 mg/L under identical conditions; Figure S5: Linear plot of Langmuir isotherm, Freundlich and Temkin isotherms of carbendazim on DSBC (a–c); Figure S6: Pseudo-first order kinetics, Pseudo-second order and Intraparticle diffusion plot of carbendazim and linuron onto DSBC; Figure S7: Van’t Hoff plots lnKL versus 1/T for carbendazim and linuron onto DSBC; Figure S8: Adsorption/desorption study mixture of carbendazim and linuron per cycle (C1–C10(ads)—adsorption cycles, C1–C10(des)—desorption cycles); Figure S9: FTIR spectrum of DSAC before and after adsorption (a) Carbendazim (b) Linuron.
Author Contributions
Conceptualization, I.M., M.N. and T.A.K.; methodology, A.H.; formal analysis, D.U., M.P. and V.G.; investigation, A.H.; resources, M.P. and D.U.; data curation, A.H. and M.N.; writing—original draft preparation, A.H., I.M. and M.N.; writing—review and editing, I.M., T.A.K. and M.P.; visualization, M.N.; supervision, I.M. and T.A.K. All authors have read and agreed to the published version of the manuscript.
Funding
This research has been supported by the Ministry of Science, Technological Development and Innovation (Contract No. 451-03-137/2025-03/200156) and the Faculty of Technical Sciences, University of Novi Sad through project “Scientific and Artistic Research Work of Researchers in Teaching and Associate Positions at the Faculty of Technical Sciences, University of Novi Sad 2025” (No. 01-50/295).
Institutional Review Board Statement
Not applicable.
Informed Consent Statement
Not applicable.
Data Availability Statement
Data is contained within the article or Supplementary Material.
Acknowledgments
Ali Hgeig would like to thank the Ministry of Higher Education in Libya for his PhD grant supporting this research.
Conflicts of Interest
The authors declare no conflicts of interest.
Abbreviations
The following abbreviations are used in this manuscript:
| DSBC | Date Seed Biochar |
| BET | Brunauer–Emmett–Teller |
| FT-IR | Fourier-Transform Infrared Spectroscopy |
| AOPs | Advanced Oxidation Processes |
| SDGs | Sustainable Development Goals |
| pHpzc | Point of zero charge |
| SWOT | Strengths, Weaknesses, Opportunities, and Threats |
| LCA | Life-Cycle Assessment |
| EDCs | Endocrine-Disrupting Compounds |
| GHG | Green House Gas |
| IWRM | Integrated Water Resource Management |
| CE | Circular Economy |
References
- Zhang, E.; Jiang, F.; Ou, J. Global pesticide consumption and pollution: With China as a focus. Proc. Int. Acad. Ecol. Environ. Sci. 2001, 1, 125–144. [Google Scholar]
- Sivarajasekar, N.; Balasubramani, K.; Mohanraj, N.; Prakash Maran, J.; Sivamani, S.; Ajmal Koya, P.; Karthik, V. Fixed-bed adsorption of atrazine onto microwave irradiated Aegle marmelos Correa fruit shell: Statistical optimization, process design and breakthrough modeling. J. Mol. Liq. 2017, 241, 823–830. [Google Scholar] [CrossRef]
- Gonzalez, M.; Miglioranza, K.S.B.; Grondona, S.I.; Barni, F.S.M.; Martinez, D.E.; Pena, A. Organic pollutant levels in an agricultural watershed: The importance of analyzing multiple matrices for assessing stream water pollution. Environ. Sci. Process. Impacts 2013, 43, 739–750. [Google Scholar] [CrossRef] [PubMed]
- Mekonen, S.; Argaw, R.; Simanesew, A.; Houbraken, M.; Senaeve, D.; Ambelu, A.; Spanoghe, P. Pesticide residues in drinking water and associated risk to consumers in Ethiopia. Chemosphere 2016, 162, 252–260. [Google Scholar] [CrossRef]
- Pourreza, N.; Rastegarzadeh, S.; Larki, A. Determination of fungicide carbendazim in water and soil samples using dispersive liquid-liquid microextraction and microvolume UV-Vis spectrophotometry. Talanta 2015, 134, 24–29. [Google Scholar] [CrossRef]
- Qiu, X.; Zeng, W.; Yu, W.; Xue, Y.; Pang, Y.; Li, X.; Li, Y. Alkyl Chain Cross-Linked Sulfobutylated Lignosulfonate: A Highly Efficient Dispersant for Carbendazim Suspension Concentrate. ACS Sustain. Chem. Eng. 2015, 3, 1551–1557. [Google Scholar] [CrossRef]
- Moser, T.; Van Gestel, C.A.M.; Jones, S.E.; Koolhaas, J.E.; Rodrigues, J.M.L.; Römbke, J. Ring-Testing and Field-Validation of a Terrestrial Model Ecosystem (TME)—An Instrument for Testing Potentially Harmful Substances: Effects of Carbendazim on Enchytraeids. Ecotoxicology 2004, 13, 89–103. [Google Scholar] [CrossRef]
- Bollmann, U.E.; Tang, C.; Eriksson, E.; Jönsson, K.; Vollertsen, J.; Bester, K. Biocides in urban wastewater treatment plant influent at dry and wet weather: Concentrations, mass flows and possible sources. Water Res. 2014, 60, 64–74. [Google Scholar] [CrossRef]
- Merel, S.; Benzing, S.; Gleiser, C.; Di Napoli-Davis, G.; Zwiener, C. Occurrence and overlooked sources of the biocide carbendazim in wastewater and surface water. Environ. Pollut. 2018, 239, 512–521. [Google Scholar] [CrossRef]
- Antić, N.; Radišić, M.; Radović, T.; Vasiljević, T.; Grujić, S.; Petković, A.; Dimkić, M.; Laušević, M. Pesticide Residues in the Danube River Basin in Serbia—A Survey During 2009–2011. Clean-Soil Air Water 2015, 43, 197–204. [Google Scholar] [CrossRef]
- Barco-Bonilla, N.; Romero-González, R.; Plaza-Bolaños, P.; Martínez Vidal, J.L.; Garrido Frenich, A. Systematic study of the contamination of wastewater treatment plant effluents by organic priority compounds in Almeria province (SE Spain). Sci. Total Environ. 2013, 447, 381–389. [Google Scholar] [CrossRef] [PubMed]
- Mahalakshmi, M.; Arabindoo, B.; Palanichamy, M.; Murugesan, V. Photocatalytic degradation of carbofuran using semiconductor oxides. J. Hazard. Mater. 2007, 143, 240–245. [Google Scholar] [CrossRef] [PubMed]
- Saritha, P.; Aparna, C.; Himabindu, V.; Anjaneyulu, Y. Comparison of various advanced oxidation processes for the degradation of 4-chloro-2 nitrophenol. J. Hazard. Mater. 2007, 149, 609–614. [Google Scholar] [CrossRef]
- Maldonado, M.I.; Malato, S.; Pérez-Estrada, L.A.; Gernjak, W.; Oller, I.; Doménech, X.; Peral, J. Partial degradation of five pesticides and an industrial pollutant by ozonation in a pilot-plant scale reactor. J. Hazard. Mater. 2006, 138, 363–369. [Google Scholar] [CrossRef] [PubMed]
- Jia, Z.; Li, Y.; Lu, S.; Peng, H.; Ge, J.; Chen, S. Treatment of organophosphate-contaminated wastewater by acidic hydrolysis and precipitation. J. Hazard. Mater. 2006, 129, 234–238. [Google Scholar] [CrossRef]
- Ballesteros Martín, M.M.; Sánchez Pérez, J.A.; García Sánchez, J.L.; Montes de Oca, L.; Casas López, J.L.; Oller, I.; Rodríguez Malato, S. Degradation of alachlor and pyrimethanil by combined photo-Fenton and biological oxidation. J. Hazard. Mater. 2008, 155, 342–349. [Google Scholar] [CrossRef]
- Dąbrowski, A. Adsorption-From theory to practice. Adv. Colloid Interface Sci. 2001, 93, 135–224. [Google Scholar] [CrossRef]
- Ali, I.; Gupta, V.K. Advances in water treatment by adsorption technology. Nat. Protoc. 2007, 1, 2661–2667. [Google Scholar] [CrossRef]
- Patil, C.S.; Gunjal, D.B.; Naik, V.M.; Harale, N.S.; Jagadale, S.D.; Kadam, A.N.; Patil, P.S.; Kolekar, G.B.; Gore, A.H. Waste tea residue as a low cost adsorbent for removal of hydralazine hydrochloride pharmaceutical pollutant from aqueous media: An environmental remediation. J. Clean. Prod. 2019, 206, 407–418. [Google Scholar] [CrossRef]
- Murthy, H.M.R.; Manonmani, H.K. Aerobic degradation of technical hexachlorocyclohexane by a defined microbial consortium. J. Hazard. Mater. 2007, 149, 18–25. [Google Scholar] [CrossRef]
- Ahmad, A.L.; Tan, L.S.; Shukor, S.R.A. Dimethoate and atrazine retention from aqueous solution by nanofiltration membranes. J. Hazard. Mater. 2008, 151, 71–77. [Google Scholar] [CrossRef] [PubMed]
- Wang, T.; Ai, S.; Zhou, Y.; Luo, Z.; Dai, C.; Yang, Y.; Zhang, J.; Huang, H.; Luo, S.; Luo, L. Adsorption of agricultural wastewater contaminated with antibiotics, pesticides and toxic metals by functionalized magnetic nanoparticles. J. Environ. Chem. Eng. 2018, 6, 6468–6478. [Google Scholar] [CrossRef]
- Kuloglija, S.; Ahmed, A.E.G.; Jordan, C.; Golda, M.; Ipsmiller, W.; Steinacher, N.; Winter, F.; Meitner, D.; Luckeneder, A.; Harasek, M. Sustainable Activated Carbon Production from Sunflower Seeds via Chemical Activation. Sustainability 2025, 17, 2568. [Google Scholar] [CrossRef]
- Muedi, K.L.; Tendenedzai, J.T.; Masindi, V.; Haneklaus, N.H.; Brink, H.G. Facile Recovery of Polycationic Metals from Acid Mine Drainage and Their Subsequent Valorisation for the Treatment of Municipal Wastewater. Sustainability 2025, 17, 2701. [Google Scholar] [CrossRef]
- Kalhor, M.M.; Rafati, A.A.; Rafati, L.; Rafati, A.A. Synthesis, characterization and adsorption studies of amino functionalized silica nano hollow sphere as an efficient adsorbent for removal of imidacloprid pesticide. J. Mol. Liq. 2018, 266, 453–459. [Google Scholar] [CrossRef]
- Pamidimukkala, P.S.; Soni, H. Efficient removal of organic pollutants with activated carbon derived from palm shell: Spectroscopic characterisation and experimental optimisation. J. Environ. Chem. Eng. 2018, 6, 3135–3149. [Google Scholar] [CrossRef]
- Wainaina, S.; Awasthi, M.K.; Sarsaiya, S.; Chen, H.; Singh, E.; Kumar, A.; Ravindran, B.; Awasthi, S.K.; Liu, T.; Duan, Y.; et al. Resource recovery and circular economy from organic solid waste using aerobic and anaerobic digestion technologies. Bioresour. Technol. 2020, 301, 122778. [Google Scholar] [CrossRef]
- Al-Omari, S.A.B. Experimental investigation on combustion and heat transfer characteristics in a furnace fueled with unconventional biomass fuels (date stones and palm stalks). Energy Convers. Manag. 2006, 47, 778–790. [Google Scholar] [CrossRef]
- Bouchenafa-Saïb, N.; Grange, P.; Verhasselt, P.; Addoun, F.; Dubois, V. Effect of oxidant treatment of date pit active carbons used as Pd supports in catalytic hydrogenation of nitrobenzene. Appl. Catal. A Gen. 2005, 286, 167–174. [Google Scholar] [CrossRef]
- Merzougui, Z.; Addoun, F. Effect of oxidant treatment of date pit activated carbons application to the treatment of waters. Desalination 2008, 222, 394–403. [Google Scholar] [CrossRef]
- Alhamed, Y. Activated Carbon from Dates Stone by ZnCl2 Activation. J. King Abdulaziz Univ. Sci. 2006, 17, 75–98. [Google Scholar] [CrossRef]
- Mor, S.; Chhoden, K.; Ravindra, K. Application of agro-waste rice husk ash for the removal of phosphate from the wastewater. J. Clean. Prod. 2016, 129, 673–680. [Google Scholar] [CrossRef]
- Wang, T.; Zhang, Z.; Zhang, H.; Zhong, X.; Liu, Y.; Liao, S.; Yue, X.; Zhou, G. Sorption of carbendazim on activated carbons derived from rape straw and its mechanism. RSC Adv. 2019, 9, 41745–41754. [Google Scholar] [CrossRef] [PubMed]
- Ly, H.; Nguyen, N.B.; Tran, N.H.; Hang Hoang, T.T.H.; Joo, S.W.; Vasseghian, Y.; Kamyab, H.; Chelliapan, S.; Klemeš, J.J. Metal-organic framework nanopesticide carrier for accurate pesticide delivery and decrement of groundwater pollution. J. Clean. Prod. 2023, 402, 136809. [Google Scholar] [CrossRef]
- Yang, J.; Sun, H.; Liu, Y.; Wang, X.; Valizadeh, K. The sorption of Tebuconazole and Linuron from an Aqueous Environment with a Modified Sludge-Based Biochar: Effect, Mechanisms, and Its Persistent Free Radicals Study. J. Chem. 2021, 2021, 2912054. [Google Scholar] [CrossRef]
- Kunwar, P.J.; Luukkonen, T.; Haapasalo, H.; Majava, J. Addressing adsorbent materials commercialization challenges for water treatment in European markets through productization. Cogent Eng. 2024, 11, 2320952. [Google Scholar] [CrossRef]
- Aouada, F.A.; Pan, Z.; Orts, W.J.; Mattoso, L.H.C. Removal of Paraquat Pesticide from Aqueous Solutions Using a Novel Adsorbent Material Based on Polyacrylamide and Methylcellulose Hydrogels. J. Appl. Polym. Sci. 2009, 114, 2139–2148. [Google Scholar] [CrossRef]
- Chatterjee, S.; Das, S.K.; Chakravarty, R.; Chakrabarti, A.; Ghosh, S.; Guha, A.K. Interaction of malathion, an organophos-phorus pesticide with Rhizopus oryzae biomass. J. Hazard. Mater. 2010, 174, 47–53. [Google Scholar] [CrossRef]
- Al-Ghouti, M.A.; Hawari, A.; Khraisheh, M. A solid-phase extractant based on microemulsion modified date pits for toxic pollutants. J. Environ. Manag. 2013, 130, 80–89. [Google Scholar] [CrossRef]
- Gupta, M.; Gupta, H.; Kharat, D.S. Adsorption of Cu (II) by low cost adsorbents and the cost analysis. Environ. Technol. Innov. 2018, 10, 91–101. [Google Scholar] [CrossRef]
- Ibrahim, A.; Azimah Ismaila, A.; Juahir, H.; Ihsan, Y.N.; Sudianto, S.; Mark Ovinis, M.; Kassim, A.M.; Hanapi, N.H.M.; Ahmad Danial Hafizi, D.A. Preparation and characterization of activated carbon obtained from Melaleuca cajuputi leaves. Carbon Trends 2023, 3, 100301. [Google Scholar] [CrossRef]
- Cusioli, L.F.; Mantovani, D.; Bergamasco, R.; Tusset, A.M.; Lenzi, G.G. Preparation of a New Adsorbent Material from Agro-Industrial Waste and Comparison with Commercial Adsorbent for Emerging Contaminant Removal. Processes 2023, 11, 2478. [Google Scholar] [CrossRef]
- Alsulaili, A.D.; Refaie, A.A.; Garcia, H.A. Adsorption capacity of activated carbon derived from date seeds: Characterization, optimization, kinetic and equilibrium studies. Chemosphere 2023, 313, 137554. [Google Scholar] [CrossRef] [PubMed]
- Chang, C.F.; Chang, C.Y.; Hsu, K.E.; Lee, S.C.; Höll, W. Adsorptive removal of the pesticide methomyl using hyper crosslinked polymers. J. Hazard. Mater. 2008, 155, 295–304. [Google Scholar] [CrossRef]
- Kyriakopoulos, G.; Doulia, D.; Anagnostopoulos, E. Adsorption of pesticides on porous polymeric adsorbents. Chem. Eng. Sci. 2005, 60, 1177–1186. [Google Scholar] [CrossRef]
- Ghosh, S.; Das, S.K.; Guha, A.K.; Sanyal, A.K. Adsorption behavior of lindane on Rhizopus oryzae biomass: Physico-chemical studies. J. Hazard. Mater. 2009, 172, 485–490. [Google Scholar] [CrossRef] [PubMed]
- Lladó, J.; Gil, R.R.; Lao-Luque, C.; Solé-Sardans, M.; Fuente, E.; Ruiz, B. Highly microporous activated carbons derived from biocollagenic wastes of the leather industry as adsorbents of aromatic organic pollutants in water. J. Environ. Chem. Eng. 2017, 5, 2090–2100. [Google Scholar] [CrossRef]
- Alavanja, M.C.; Hoppin, J.A.; Kamel, F. Health effects of chronic pesticide exposure: Cancer and neurotoxicity. Annu. Rev. Public Health 2013, 25, 155–197. [Google Scholar] [CrossRef]
- Pal, A.; Gin, K.Y.H.; Lin, A.Y.C.; Reinhard, M. Impacts of emerging organic contaminants on freshwater resources: Review of recent occurrences, sources, fate and effects. Sci. Total Environ. 2010, 408, 6062–6069. [Google Scholar] [CrossRef]
- Baskar, A.V.; Bolan, N.I.; Hoang, S.A.; Sooriyakumar, P.I.; Kumar, M.; Singh, L.; Jasemizad, T.; Padhye, L.P.; Singh, G.; Vinu, A.; et al. Recovery, regeneration and sustainable management of spent adsorbents from wastewater treatment streams: A review. Sci. Total Environ. 2022, 822, 153555. [Google Scholar] [CrossRef]
- Bagotia, N. Regeneration strategies for exhausted adsorbents used in water treatment—A critical review. J. Water Process Eng. 2025, 69, 106560. [Google Scholar] [CrossRef]
- Yedla, S.; Dikshit, A.K. Removal of endosulfan from water using wood charcoal-Adsorption and desorption. J. Environ. Eng. 2008, 134, 102–109. [Google Scholar] [CrossRef]
- Hameed, B.H. Spent tea leaves: A new non-conventional and low-cost adsorbent for removal of basic dye from aqueous solutions. J. Hazard. Mater. 2009, 161, 753–759. [Google Scholar] [CrossRef] [PubMed]
- Kalderis, D.; Tsuchiya, S.; Phillipou, K.; Paschalidou, P.; Pashalidis, I.; Tashima, D.; Tsubota, T. Utilization of pine tree biochar produced by flame-curtain pyrolysis in two non-agricultural applications. Bioresour. Technol. Rep. 2020, 9, 100384. [Google Scholar] [CrossRef]
- Saleem, J.; Shahid, U.; Hijab, M.; Mackey, H.; McKay, G. Production and applications of activated carbons as adsorbents from olive stones. Biomass Conv. Bioref. 2018, 9, 775–802. [Google Scholar] [CrossRef]
- Ajien, A.; Idris, J.; Md Sofwan, N.; Husen, R.; Seli, H. Coconut shell and husk biochar: A review of production and activation technology, economic, financial aspect and application. Waste Manag. Res. 2022, 41, 37–51. [Google Scholar] [CrossRef]
- Cai, J.; Niu, B.; Xie, Q.; Lu, N.; Huang, S.; Zhao, G.; Zhao, J. Accurate removal of toxic organic pollutants from complex water matrices. Environ. Sci. Technol. 2022, 56, 2917–2935. [Google Scholar] [CrossRef]
- Hgeig, A.; Novaković, M.; Mihajlović, I. Sorption of carbendazim and linuron from aqueous solutions with activated carbon produced from spent coffee grounds: Equilibrium, kinetic and thermodynamic approach. J. Environ. Sci. Health B 2019, 54, 226–236. [Google Scholar] [CrossRef]
- Li, G.; Li, J.; Tan, W.; Yang, M.; Wang, H.; Wang, X. Effectiveness and mechanisms of the adsorption of carbendazim from wastewater onto commercial activated carbon. Chemosphere 2022, 304, 135231. [Google Scholar] [CrossRef]
- Baigorria, E.; Fraceto, L.F. Novel nanostructured materials based on polymer/organic-clay composite networks for the removal of carbendazim from waters. J. Clean. Prod. 2022, 331, 129867. [Google Scholar] [CrossRef]
- Rasool, S.; Rasool, T.; Gani, K.M. Removal of carbendazim by sorption onto a continuous fixed bed hybrid filter of calcined clay and waste derived biochar. J. Water Process Eng. 2024, 68, 106348. [Google Scholar] [CrossRef]
- Ighalo, J.O.; Omoarukhe, F.O.; Ojukwu, V.E.; Iwuozor, K.O.; Adaobi Igwegbe, C. Cost of adsorbent preparation and usage in wastewater treatment: A review. Clean. Chem. Eng. 2022, 3, 100042. [Google Scholar] [CrossRef]
- Satyam, S.; Patra, S. Innovations and challenges in adsorption-based wastewater remediation: A comprehensive review. Heliyon 2024, 10, e29573. [Google Scholar] [CrossRef] [PubMed]
- Wang, S.; Lu, W.; Esakkimuthu, S.; Chen, H.; Yang, J.; Mu, M.; Gong, X. Life cycle assessment of carbon-based adsorbent preparation from algal biomass. J. Clean. Prod. 2023, 427, 139269. [Google Scholar] [CrossRef]
- Ahmed, M.B.; Zhou, J.L.; Hao Ngo, H.; Guo, W. Insight into biochar properties and its cost analysis. Biomass Bioenergy 2016, 84, 76–86. [Google Scholar] [CrossRef]
- Fabregat, V.; Pagán, J.M. Technical–Economic Feasibility of a New Method of Absorbent Materials and Advanced Oxidation Techniques to Remove Emerging Pollutants in Treated Wastewater. Water 2024, 16, 814. [Google Scholar] [CrossRef]
- Robbins, C.A.; Du, X.; Bradley, T.H.; Quinn, J.C.; Bandhauer, T.M.; Conrad, S.A.; Carlson, K.H.; Tong, T. Beyond treatment technology: Understanding motivations and barriers for wastewater treatment and reuse in unconventional energy production. Resour. Conserv. Recycl. 2022, 177, 106011. [Google Scholar] [CrossRef]
- Kashif Aziz, B.M.; Prasad, B.; Ravi, R.; Shah, M.P.; Dos Santos Lins, V.; Meili, L.; Suranjit Prasad, K.S. The multifaceted power of biochar: A review on its role in pollution control, sustainable agriculture, and circular economy. Environ. Chem. Ecotoxicol. 2025, 7, 286–304. [Google Scholar] [CrossRef]
- Al-Farsi, M.; Alasalvar, C.; Al-Abid, M.; Al-Shoaily, K.; Al-Amry, M. Characteristics of Dates, Syrups, and Their By-Products. Food Chem. 2007, 104, 943–947. [Google Scholar] [CrossRef]
- Won Jung, K.; Kim, K.; Jeong, T.U.; Ahn, K.H. Influence of pyrolysis temperature on characteristics and phosphate adsorption capability of biochar derived from waste-marine macroalgae (Undaria pinnatifida roots). Bioresour. Technol. 2016, 200, 1024–1028. [Google Scholar] [CrossRef]
- Woolf, D.; Amonette, J.; Street-Perrott, F.; Lehmann, J.; Joseph, S. Sustainable biochar to mitigate global climate change. Nat. Commun. 2010, 1, 56. [Google Scholar] [CrossRef] [PubMed]
- Ekener, E.; Hansson, J.; Larsson, A.; Peck, P. Developing Life Cycle Sustainability Assessment methodology by applying values-based sustainability weighting-Tested on biomass based and fossil transportation fuels. J. Clean. Prod. 2018, 181, 337–351. [Google Scholar] [CrossRef]
- Inyang, M.; Dickenson, E. The potential role of biochar in the removal of organic and microbial contaminants from potable and reuse water: A review. Chemosphere 2015, 134, 232–240. [Google Scholar] [CrossRef] [PubMed]
- Ahmad, M.; Upamali Rajapaksham, A.; Eun Lim, J.; Zhang, M.; Bolan, N.; Mohan, D.; Vithanage, M.; Soo Lee, S.; Sik Ok, Y. Biochar as a sorbent for contaminant management in soil and water: A review. Chemosphere 2013, 99, 19–33. [Google Scholar] [CrossRef]
- Tan, X.; Liu, S.; Liu, Y.-G.; Gu, Y.; Zeng, G.-M.; Hu, X.; Wang, X.; Liu, S.; Jiang, L. Biochar as potential sustainable precursors for activated carbon production: Multiple applications in environmental remediation and energy storage. Bioresour. Technol. 2017, 227, 359–372. [Google Scholar] [CrossRef]
- Subramaniam, M.N.; Wu, Z.; Goh, P.S.; Zhou, S. The state-of-the-art development of biochar based photocatalyst for removal of various organic pollutants in wastewater. J. Clean. Prod. 2023, 429, 139487. [Google Scholar] [CrossRef]
- European Commission. Circular Economy Action Plan. 2020. Available online: https://eur-lex.europa.eu/legal-content/EN/TXT/HTML/?uri=CELEX:52020DC0098 (accessed on 20 May 2025).
- Ippolito, J.A.; Cui, L.; Kammann, C.; Wrage-Mönnig, N.; Estavillo, J.M.; Fuertes-Mendizabal, T.; Luz Cayuela, M.; Sigua, G.; Novak, J.; Spokas, K.; et al. Feedstock choice, pyrolysis temperature and type influence biochar characteristics: A comprehensive meta-data analysis review. Biochar 2020, 2, 421–438. [Google Scholar] [CrossRef]
- Leong, K.Y.; Loo, S.L.; Bashir, M.J.K.; Oh, W.D.; Rao, P.V.; Wei Lim, J. Bioregeneration of spent activated carbon: Review of key factors and recent mathematical models of kinetics. Chin. J. Chem. Eng. 2018, 26, 893–902. [Google Scholar] [CrossRef]
- Zhang, T.; Zuo, S. Drying enables multiple reuses of activated carbon without regeneration. Environ. Sci. Pollut. Res. 2023, 30, 45097–45111. [Google Scholar] [CrossRef]
Disclaimer/Publisher’s Note: The statements, opinions and data contained in all publications are solely those of the individual author(s) and contributor(s) and not of MDPI and/or the editor(s). MDPI and/or the editor(s) disclaim responsibility for any injury to people or property resulting from any ideas, methods, instructions or products referred to in the content. |
© 2025 by the authors. Licensee MDPI, Basel, Switzerland. This article is an open access article distributed under the terms and conditions of the Creative Commons Attribution (CC BY) license (https://creativecommons.org/licenses/by/4.0/).










