The Spatiotemporal Variability of Marine Plankton Ecosystem Services at the Regional Scale: A Combined Approach Using a Systematic Review and Network Analysis
Abstract
1. Introduction
2. Materials and Methods
2.1. Literature Search of Global Plankton Ecosystem Services
- (i)
- plankton OR megaplankton OR macroplankton OR mesoplankton OR microplankton OR nanoplankton OR picoplankton OR microbial OR microbiome OR microbe* OR bacteria OR archaea OR holobiont OR prokaryote* OR cyanobacteria OR nanoflagellate* OR protist* OR protozoa* OR chlorophyt* OR diatom* OR bacillariophy* OR coccolithophor* OR prasinophyt* OR cryptophyt* OR haptophyt* OR phytoplankton OR microalgae OR euglenozoa OR alveolat* OR dinoflagellat* OR ciliat* OR ciliophora OR radiolaria OR rhizaria OR cercozoa OR mixoplankton OR mixotroph* OR protozooplankton OR zooplankton OR ichthyoplankton OR meroplankton OR “planktonic metazoa*” OR copepod* OR “planktonic crustacean*” OR calanoid* OR cyclopoid* OR jellyfish OR gelatinous OR medusae OR cnidaria* OR “planktonic tunicate*” OR salp* OR amphipod* OR chaetognath* OR cladocer* OR decapod* OR euphasiid* OR appendicularia* OR heteropod* OR ostracod* OR pteropod* OR rotifer* OR foraminifer* OR ctenophor* OR fungi OR basidiomycota OR ascomycota OR virus* OR viral (Topic)
- (ii)
- AND marine OR sea OR ocean OR coastal OR shelf OR estuary (Topic)
- (iii)
- AND “ecosystem services” (Topic).
2.2. Spatiotemporal Network Analysis of Plankton Ecosystem Services at a Regional Scale
3. Results and Discussion
3.1. Plankton Ecosystem Services
3.1.1. Regulating and Maintenance Ecosystem Services
3.1.2. Provisioning Ecosystem Services
3.1.3. Cultural Ecosystem Services
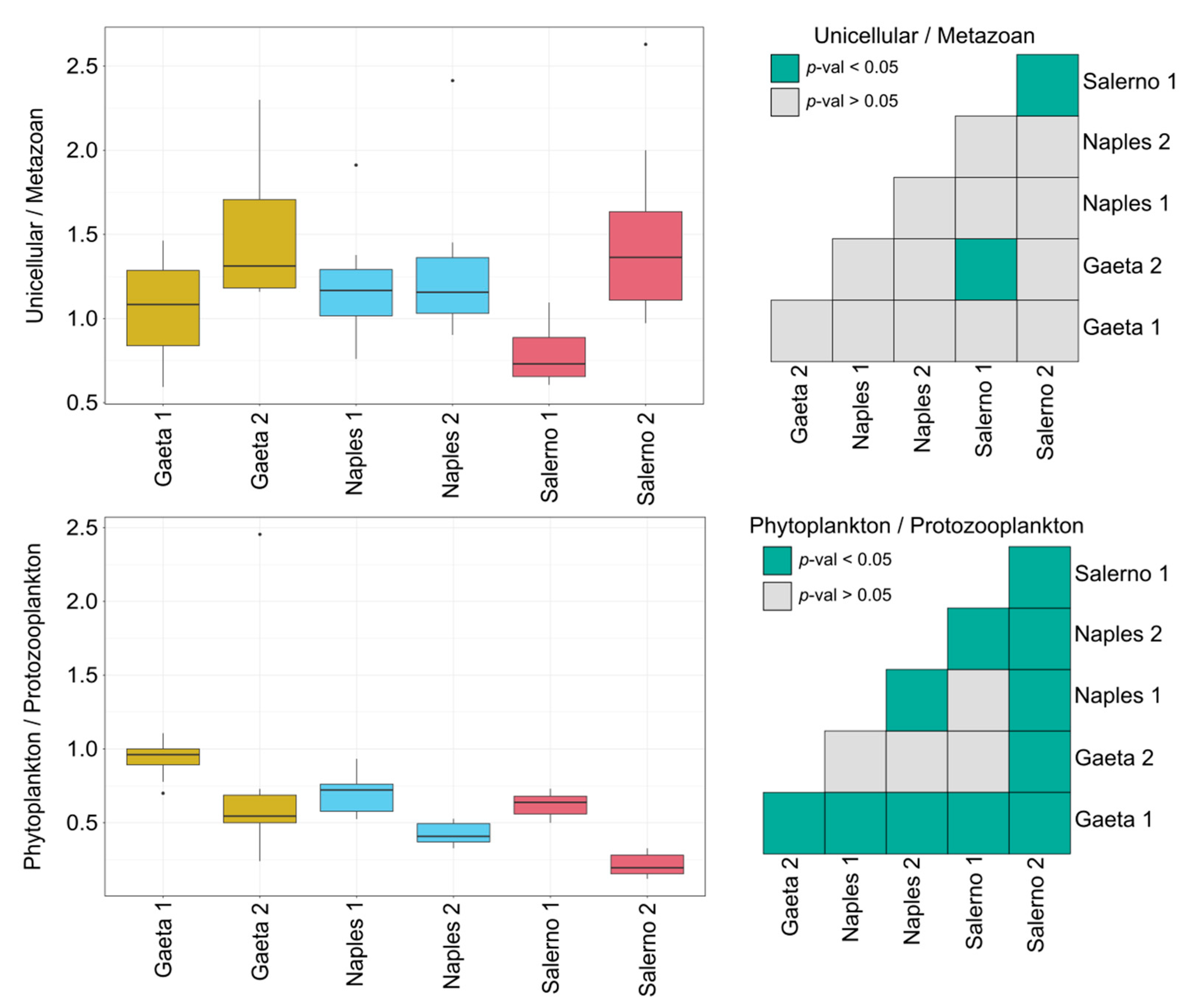
3.2. Spatiotemporal Variability of Plankton Ecosystem Services
3.3. Trophic Levels of Plankton Ecosystem Services
4. Conclusions
Supplementary Materials
Author Contributions
Funding
Institutional Review Board Statement
Informed Consent Statement
Data Availability Statement
Acknowledgments
Conflicts of Interest
References
- Liquete, C.; Piroddi, C.; Drakou, E.G.; Gurney, L.; Katsanevakis, S.; Charef, A.; Egoh, B. Current Status and Future Prospects for the Assessment of Marine and Coastal Ecosystem Services: A Systematic Review. PLoS ONE 2013, 8, e67737. [Google Scholar] [CrossRef] [PubMed]
- D’Alelio, D.; Russo, L.; Hay Mele, B.; Pomati, F. Intersecting Ecosystem Services Across the Aquatic Continuum: From Global Change Impacts to Local, and Biologically Driven, Synergies and Trade-Offs. Front. Ecol. Evol. 2021, 9, 628658. [Google Scholar] [CrossRef]
- Haines-Young, R.; Potschin-Young, M. Revision of the Common International Classification for Ecosystem Services (CICES V5.1): A Policy Brief. One Ecosyst. 2018, 3, e27108. [Google Scholar] [CrossRef]
- Culhane, F.E.; Frid, C.L.J.; Royo Gelabert, E.; White, L.; Robinson, L.A. Linking marine ecosystems with the services they supply: What are the relevant service providing units? Ecol. Appl. 2018, 28, 1740–1751. [Google Scholar] [CrossRef] [PubMed]
- Quintessence, C. Networking Our Way to Better Ecosystem Service Provision. Trends Ecol. Evol. 2016, 31, 105–115. [Google Scholar]
- Costello, M.J. Evidence of economic benefits from marine protected areas. Sci. Mar. 2024, 88, e080. [Google Scholar] [CrossRef]
- Hay Mele, B.; Russo, L.; D’Alelio, D. Combining Marine Ecology and Economy to Roadmap the Integrated Coastal Management: A Systematic Literature Review. Sustainability 2019, 11, 4393. [Google Scholar] [CrossRef]
- Buonocore, E.; Grande, U.; Franzese, P.P.; Russo, G.F. Trends and Evolution in the Concept of Marine Ecosystem Services: An Overview. Water 2021, 13, 2060. [Google Scholar] [CrossRef]
- Mace, G.M.; Norris, K.; Fitter, A.H. Biodiversity and ecosystem services: A multilayered relationship. Trends Ecol. Evol. 2012, 27, 19–26. [Google Scholar] [CrossRef]
- Sukhdev, P.; Wittmer, H.; Miller, D. The Economics of Ecosystems and Biodiversity (TEEB): Challenges and Responses. In Nature in the Balance: The Economics of Biodiversity; Helm, D., Hepburn, C., Eds.; Oxford University Press: Oxford, UK, 2014. [Google Scholar]
- Miller, R.R.; Field, J.C.; Santora, J.A.; Monk, M.H.; Kosaka, R.; Thomson, C. Spatial valuation of California marine fisheries as an ecosystem service. Can. J. Fish. Aquat. Sci. 2017, 74, 1732–1748. [Google Scholar] [CrossRef]
- Harrison, P.A.; Berry, P.M.; Simpson, G.; Haslett, J.R.; Blicharska, M.; Bucur, M.; Dunford, R.; Egoh, B.; Garcia-Llorente, M.; Geamănă, N.; et al. Linkages between biodiversity attributes and ecosystem services: A systematic review. Ecosyst. Serv. 2014, 9, 191–203. [Google Scholar] [CrossRef]
- Díaz, S.; Fargione, J.; Iii, F.S.C.; Tilman, D. Biodiversity Loss Threatens Human Well-Being. PLoS Biol. 2006, 4, e277. [Google Scholar] [CrossRef] [PubMed]
- Wang, P.; Wang, J.; Zhang, J.; Ma, X.; Zhou, L.; Sun, Y. Spatial-temporal changes in ecosystem services and social-ecological drivers in a typical coastal tourism city: A case study of Sanya, China. Ecol. Indic. 2022, 145, 109607. [Google Scholar] [CrossRef]
- Zhang, T.; Zhang, S.; Cao, Q.; Wang, H.; Li, Y. The spatiotemporal dynamics of ecosystem services bundles and the social-economic-ecological drivers in the Yellow River Delta region. Ecol. Indic. 2022, 135, 108573. [Google Scholar] [CrossRef]
- Boyce, D.G.; Frank, K.T.; Leggett, W.C. From mice to elephants: Overturning the ‘one size fits all’ paradigm in marine plankton food chains. Ecol. Lett. 2015, 18, 504–515. [Google Scholar] [CrossRef] [PubMed]
- Ruggiero, M.A.; Gordon, D.P.; Orrell, T.M.; Bailly, N.; Bourgoin, T.; Brusca, R.C.; Cavalier-Smith, T.; Guiry, M.D.; Kirk, P.M. A Higher Level Classification of All Living Organisms. PLoS ONE 2015, 10, e0119248. [Google Scholar]
- Sunagawa, S.; Acinas, S.G.; Bork, P.; Bowler, C.; Eveillard, D.; Gorsky, G.; Guidi, L.; Iudicone, D.; Karsenti, E.; Lombard, F.; et al. Tara Oceans: Towards global ocean ecosystems biology. Nat. Rev. Microbiol. 2020, 18, 428–445. [Google Scholar] [CrossRef]
- Flynn, K.J.; Mitra, A.; Anestis, K.; Anschütz, A.A.; Calbet, A.; Ferreira, G.D.; Gypens, N.; Hansen, P.J.; John, U.; Martin, J.L.; et al. Mixotrophic protists and a new paradigm for marine ecology: Where does plankton research go now? J. Plankton Res. 2019, 41, 375–391. [Google Scholar] [CrossRef]
- Ivory, J.A.; Steinberg, D.K.; Latour, R.J. Diel, seasonal, and interannual patterns in mesozooplankton abundance in the Sargasso Sea. ICES J. Mar. Sci. 2019, 76, 217–231. [Google Scholar] [CrossRef]
- Bialonski, S.; Caron, D.A.; Schloen, J.; Feudel, U.; Kantz, H.; Moorthi, S.D. Phytoplankton dynamics in the Southern California Bight indicate a complex mixture of transport and biology. J. Plankton Res. 2016, 38, 1077–1091. [Google Scholar] [CrossRef]
- Jagadeesan, L.; Jyothibabu, R.; Anjusha, A.; Mohan, A.P.; Madhu, N.V.; Muraleedharan, K.R.; Sudheesh, K. Ocean currents structuring the mesozooplankton in the Gulf of Mannar and the Palk Bay, southeast coast of India. Prog. Oceanogr. 2013, 110, 27–48. [Google Scholar] [CrossRef]
- Bellardini, D.; Russo, L.; Di Tuccio, V.; De Luca, D.; Del Gaizo, G.; Zampicinini, G.; Kokoszka, F.; Botte, V.; Colloca, F.; Conversano, F.; et al. Spatiotemporal changes of pelagic food webs investigated by environmental DNA metabarcoding and connectivity analysis. Philos. Trans. B 2024, 379, 20230178. [Google Scholar] [CrossRef]
- Hernández-Carrasco, I.; Orfila, A.; Rossi, V.; Garçon, V. Effect of small scale transport processes on phytoplankton distribution in coastal seas. Sci. Rep. 2018, 8, 8613. [Google Scholar] [CrossRef] [PubMed]
- DiBattista, J.D.; Reimer, J.D.; Stat, M.; Masucci, G.D.; Biondi, P.; De Brauwer, M.; Wilkinson, S.P.; Chariton, A.A.; Bunce, M. Environmental DNA can act as a biodiversity barometer of anthropogenic pressures in coastal ecosystems. Sci. Rep. 2020, 10, 8365. [Google Scholar] [CrossRef] [PubMed]
- Steinberg, D.K.; Landry, M.R. Zooplankton and the Ocean Carbon Cycle. Annu. Rev. Mar. Sci. 2017, 9, 413–444. [Google Scholar] [CrossRef]
- Worden, A.Z.; Follows, M.J.; Giovannoni, S.J.; Wilken, S.; Zimmerman, A.E.; Keeling, P.J. Rethinking the marine carbon cycle: Factoring in the multifarious lifestyles of microbes. Science 2015, 347, 1257594. [Google Scholar] [CrossRef] [PubMed]
- Falkowski, P. Ocean Science: The power of plankton. Nature 2012, 483, S17–S20. [Google Scholar] [CrossRef]
- Kawamura, A. A review of food of balaenopterid whales. Sci. Rep. Whales Res. Inst. 1980, 32, 155–197. [Google Scholar]
- Lomartire, S.; Marques, J.C.; Gonçalves, A.M.M. The key role of zooplankton in ecosystem services: A perspective of interaction between zooplankton and fish recruitment. Ecol. Indic. 2021, 129, 107867. [Google Scholar] [CrossRef]
- Naselli-Flores, L.; Padisák, J. Ecosystem services provided by marine and freshwater phytoplankton. Hydrobiologia 2023, 850, 2691–2706. [Google Scholar] [CrossRef] [PubMed]
- Botterell, Z.L.R.; Lindeque, P.K.; Thompson, R.C.; Beaumont, N.J. An assessment of the ecosystem services of marine zooplankton and the key threats to their provision. Ecosyst. Serv. 2023, 63, 101542. [Google Scholar] [CrossRef]
- B-Béres, V.; Stenger-Kovács, C.; Buczkó, K.; Padisák, J.; Selmeczy, G.B.; Lengyel, E.; Tapolczai, K. Ecosystem services provided by freshwater and marine diatoms. Hydrobiologia 2023, 850, 2707–2733. [Google Scholar] [CrossRef]
- Page, M.J.; McKenzie, J.E.; Bossuyt, P.M.; Boutron, I.; Hoffmann, T.C.; Mulrow, C.D.; Shamseer, L.; Tetzlaff, J.M.; Akl, E.A.; Brennan, S.E.; et al. 2021 The PRISMA statement: An updated guideline for reporting systematic reviews. BMJ 2020, 372, n71. [Google Scholar]
- R Core Team. R: A Language and Environment for Statistical Computing; Foundation for Statistical Computing: Vienna, Austria, 2024. [Google Scholar]
- Appolloni, L.; Sandulli, R.; Vetrano, G.; Russo, G.F. A new approach to assess marine opportunity costs and monetary values-in-use for spatial planning and conservation; the case study of Gulf of Naples, Mediterranean Sea, Italy. Ocean Coast. Manag. 2018, 152, 135–144. [Google Scholar] [CrossRef]
- Tornero, V.; Ribera d’Alcalà, M. Contamination by hazardous substances in the Gulf of Naples and nearby coastal areas: A review of sources, environmental levels and potential impacts in the MSFD perspective. Sci. Total Environ. 2014, 466, 820–840. [Google Scholar]
- Mattei, G.; Rizzo, A.; Anfuso, G.; Aucelli, P.P.C.; Gracia, F.J. A tool for evaluating the archaeological heritage vulnerability to coastal processes: The case study of Naples Gulf (southern Italy). Ocean Coast. Manag. 2019, 179, 104876. [Google Scholar] [CrossRef]
- Campese, L.; Russo, L.; Abagnale, M.; Alberti, A.; Bachi, G.; Balestra, C.; Bellardini, D.; Buondonno, A.; Cardini, U.; Carotenuto, Y.; et al. The NEREA Augmented Observatory: An integrative approach to marine coastal ecology. Sci. Data 2024, 11, 989. [Google Scholar] [CrossRef] [PubMed]
- Bellardini, D.; Vannini, J.; Russo, L.; Buondonno, A.; Saggiomo, M.; Vassallo, P.; Mazzocchi, M.G.; D’Alelio, D.; Licandro, P. The Spatial Distribution of Copepod Functional Traits in a Highly Anthropized Mediterranean Coastal Marine Region. Environments 2024, 11, 113. [Google Scholar] [CrossRef]
- Poelen, J.H.; Simons, J.D.; Mungall, C.J. Global biotic interactions: An open infrastructure to share and analyze species-interaction datasets. Ecol. Inform. 2014, 24, 148–159. [Google Scholar] [CrossRef]
- Keyes, A.A.; McLaughlin, J.P.; Barner, A.K.; Dee, L.E. An ecological network approach to predict ecosystem service vulnerability to species losses. Nat. Commun. 2021, 12, 1586. [Google Scholar] [CrossRef]
- Mitra, A.; Caron, D.A.; Faure, E.; Flynn, K.J.; Leles, S.G.; Hansen, P.J.; McManus, G.B.; Not, F.; do Rosario Gomes, H.; Santoferrara, L.F.; et al. The Mixoplankton Database (MDB): Diversity of photo-phago-trophic plankton in form, function, and distribution across the global ocean. J. Eukaryot. Microbiol. 2023, 70, e12972. [Google Scholar] [CrossRef]
- Csárdi, G.; Nepusz, T. The igraph software package for complex network research. InterJournal Complex Syst. 2006, 1695, 1–9. [Google Scholar]
- Kones, J.K.; Soetaert, K.; van Oevelen, D.; Owino, J.O. Are network indices robust indicators of food web functioning? A Monte Carlo approach. Ecol. Model. 2009, 220, 370–382. [Google Scholar] [CrossRef]
- Graham, W.M.; Gelcich, S.; Robinson, K.L.; Duarte, C.M.; Brotz, L.; Purcell, J.E.; Madin, L.P.; Mianzan, H.; Sutherland, K.R.; Uye, S.I.; et al. Linking human well-being and jellyfish: Ecosystem services, impacts, and societal responses. Front. Ecol. Environ. 2014, 12, 515–523. [Google Scholar] [CrossRef]
- Pinnaka, A.K.; Tanuku, N.R.S. Marine Microbial Diversity for Sustainable Development. In Microbial Diversity in Ecosystem Sustainability and Biotechnological Applications; Microbial Diversity in Normal & Extreme Environments; Satyanarayana, T., Johri, B.N., Das, S.K., Eds.; Springer: Singapore, 2019; Volume 1, pp. 117–158. [Google Scholar]
- Crump, B.C.; Bowen, J.L. The Microbial Ecology of Estuarine Ecosystems. Annu. Rev. Mar. Sci. 2024, 16, 335–360. [Google Scholar] [CrossRef] [PubMed]
- Cavan, E.L.; Hill, S.L. Commercial fishery disturbance of the global ocean biological carbon sink. Glob. Change Biol. 2022, 28, 1212–1221. [Google Scholar] [CrossRef] [PubMed]
- Johnston, N.M.; Murphy, E.J.; Atkinson, A.; Constable, A.J.; Cotté, C.; Cox, M.; Daly, K.L.; Driscoll, R.; Flores, H.; Halfter, S.; et al. Status, Change, and Futures of Zooplankton in the Southern Ocean. Front. Ecol. Evol. 2022, 9, 624692. [Google Scholar] [CrossRef]
- Rodrigues-Filho, J.L.; Macêdo, R.L.; Sarmento, H.; Pimenta, V.R.; Alonso, C.; Teixeira, C.R.; Pagliosa, P.R.; Netto, S.A.; Santos, N.C.; Daura-Jorge, F.G.; et al. From ecological functions to ecosystem services: Linking coastal lagoons biodiversity with human well-being. Hydrobiologia 2023, 850, 2611–2653. [Google Scholar] [CrossRef]
- Karakuş, O.; Völker, C.; Iversen, M.; Hagen, W.; Hauck, J. The Role of Zooplankton Grazing and Nutrient Recycling for Global Ocean Biogeochemistry and Phytoplankton Phenology. J. Geophys. Res. Biogeosci. 2022, 127, e2022JG006798. [Google Scholar] [CrossRef]
- Ducklow, H. Microbial services: Challenges for microbial ecologists in a changing world. Aquat. Microb. Ecol. 2008, 53, 13–19. [Google Scholar] [CrossRef]
- Weiman, S.; Joye, S.B.; Kostka, J.E.; Halanych, K.M.; Colwell, R.R. GoMRI Insights into Microbial Genomics and Hydrocarbon Bioremediation Response in Marine Ecosystems. Oceanography 2021, 34, 124–135. [Google Scholar] [CrossRef]
- Steiner, N.S.; Bowman, J.; Campbell, K.; Chierici, M.; Eronen-Rasimus, E.; Falardeau, M.; Flores, H.; Fransson, A.; Herr, H.; Insley, S.J.; et al. Climate change impacts on sea-ice ecosystems and associated ecosystem services. Elem. Sci. Anthr. 2021, 9, 00007. [Google Scholar] [CrossRef]
- Beaugrand, G.; Edwards, M.; Legendre, L. Marine biodiversity, ecosystem functioning, and carbon cycles. Proc. Natl. Acad. Sci. USA 2010, 107, 10120–10124. [Google Scholar] [CrossRef]
- Erwin, P.M.; López-Legentil, S.; Schuhmann, P.W. The pharmaceutical value of marine biodiversity for anti-cancer drug discovery. Ecol. Econ. 2010, 70, 445–451. [Google Scholar] [CrossRef]
- Tagliabue, A.; Kwiatkowski, L.; Bopp, L.; Butenschön, M.; Cheung, W.; Lengaigne, M.; Vialard, J. Persistent Uncertainties in Ocean Net Primary Production Climate Change Projections at Regional Scales Raise Challenges for Assessing Impacts on Ecosystem Services. Front. Clim. 2021, 3, 738224. [Google Scholar] [CrossRef]
- Gajardo, G.; Morón-López, J.; Vergara, K.; Ueki, S.; Guzmán, L.; Espinoza-González, O.; Sandoval, A.; Fuenzalida, G.; Murillo, A.A.; Riquelme, C.; et al. The holobiome of marine harmful algal blooms (HABs): A novel ecosystem-based approach for implementing predictive capabilities and managing decisions. Environ. Sci. Policy 2023, 143, 44–54. [Google Scholar] [CrossRef]
- Rhodes, C.; Bingham, A.; Heard, A.M.; Hewitt, J.; Lynch, J.; Waite, R.; Bell, M.D. Diatoms to human uses: Linking nitrogen deposition, aquatic eutrophication, and ecosystem services. Ecosphere 2017, 8, e01858. [Google Scholar] [CrossRef]
- Noman, M.d.A.; Adyel, T.M.; Macreadie, P.I.; Trevathan-Tackett, S.M. Prioritising plastic pollution research in blue carbon ecosystems: A scientometric overview. Sci. Total Environ. 2024, 914, 169868. [Google Scholar] [CrossRef]
- Karasawa, Y.; Ueno, H.; Tanisugi, R.; Dobashi, R.; Yoon, S.; Kasai, A.; Kiyota, M. Quantitative estimation of the ecosystem services supporting the growth of Japanese chum salmon. Deep Sea Res. Part II Top. Stud. Oceanogr. 2020, 175, 104702. [Google Scholar] [CrossRef]
- Yamamuro, M. Herbicide-induced macrophyte-to-phytoplankton shifts in Japanese lagoons during the last 50 years: Consequences for ecosystem services and fisheries. Hydrobiologia 2012, 699, 5–19. [Google Scholar] [CrossRef]
- Hill, S.L.; Phillips, T.; Atkinson, A. Potential Climate Change Effects on the Habitat of Antarctic Krill in the Weddell Quadrant of the Southern Ocean. PLoS ONE 2013, 8, e72246. [Google Scholar] [CrossRef] [PubMed]
- Sandoval Londoño, L.A.; Leal-Flórez, J.; Blanco-Libreros, J.F. Linking mangroves and fish catch: A correlational study in the southern Caribbean Sea (Colombia). Bull. Mar. Sci. 2020, 96, 415–430. [Google Scholar] [CrossRef]
- Fenibo, E.O.; Selvarajan, R.; Wang, H.; Wang, Y.; Abia, A.L.K. Untapped talents: Insight into the ecological significance of methanotrophs and its prospects. Sci. Total Environ. 2023, 903, 166145. [Google Scholar] [CrossRef] [PubMed]
- Araújo, R.; Vázquez Calderón, F.; Sánchez López, J.; Azevedo, I.C.; Bruhn, A.; Fluch, S.; Garcia Tasende, M.; Ghaderiardakani, F.; Ilmjärv, T.; Laurans, M.; et al. Current Status of the Algae Production Industry in Europe: An Emerging Sector of the Blue Bioeconomy. Front. Mar. Sci. 2021, 7, 626389. [Google Scholar] [CrossRef]
- Sun, Y.; Li, H.; Wang, X.; Li, H.; Deng, Y. Kelp Culture Enhances Coastal Biogeochemical Cycles by Maintaining Bacterioplankton Richness and Regulating Its Interactions. Msystems 2023, 8, e00002-23. [Google Scholar] [CrossRef] [PubMed]
- Hannesson, R. Strictly for the birds?: On ecosystem services of forage fish. Mar. Policy 2013, 38, 109–115. [Google Scholar] [CrossRef]
- Baird, D.; Asmus, H.; Asmus, R.; Horn, S.; de la Vega, C. Ecosystem response to increasing ambient water temperatures due to climate warming in the Sylt- Rømø Bight, northern Wadden Sea, Germany. Estuar. Coast. Shelf Sci. 2019, 228, 106322. [Google Scholar] [CrossRef]
- Falkowski, P.G.; Fenchel, T.; Delong, E.F. The Microbial Engines That Drive Earth’s Biogeochemical Cycles. Science 2008, 320, 1034–1039. [Google Scholar] [CrossRef]
- Williams, P.J.L.B.; Ducklow, H.W. The microbial loop concept: A history, 1930–1974. J. Mar. Res. 2019, 77, 23–81. [Google Scholar] [CrossRef]
- Azam, F.; Fenchel, T.; Field, J.; Gray, J.; Meyer-Reil, L.; Thingstad, F. The Ecological Role of Water-Column Microbes in the Sea. Mar. Ecol. Prog. Ser. 1983, 10, 257–263. [Google Scholar] [CrossRef]
- Roman, J.; Estes, J.A.; Morissette, L.; Smith, C.; Costa, D.; McCarthy, J.; Nation, J.B.; Nicol, S.; Pershing, A.; Smetacek, V. Whales as marine ecosystem engineers. Front. Ecol. Environ. 2014, 12, 377–385. [Google Scholar] [CrossRef]
- Turner, J. Zooplankton fecal pellets, marine snow and sinking phytoplankton blooms. Aquat. Microb. Ecol. 2002, 27, 57–102. [Google Scholar] [CrossRef]
- Duan, Y.; Guo, X.; Yang, J.; Zhang, M.; Li, Y. Nutrients recycle and the growth of Scenedesmus obliquus in synthetic wastewater under different sodium carbonate concentrations. R. Soc. Open Sci. 2020, 7, 191214. [Google Scholar] [CrossRef] [PubMed]
- Sutherland, K.R.; Madin, L.P.; Stocker, R. Filtration of submicrometer particles by pelagic tunicates. Proc. Natl. Acad. Sci. USA 2010, 107, 15129–15134. [Google Scholar] [CrossRef] [PubMed]
- Phillips, B.; Kremer, P.; Madin, L.P. Defecation by Salpa thompsoni and its contribution to vertical flux in the Southern Ocean. Mar. Biol. 2009, 156, 455–467. [Google Scholar] [CrossRef]
- Madin, L.P.; Kremer, P.; Wiebe, P.H.; Purcell, J.E.; Horgan, E.H.; Nemazie, D.A. Periodic swarms of the salp Salpa aspera in the Slope Water off the NE United States: Biovolume, vertical migration, grazing, and vertical flux. Deep Sea Res. Part Oceanogr. Res. Pap. 2006, 53, 804–819. [Google Scholar] [CrossRef]
- Lebrato, M.; Jones, D.O.B. Expanding the oceanic carbon cycle: Jellyfish biomass in the biological pump. The Biochemist 2011, 33, 35–39. [Google Scholar] [CrossRef]
- Henschke, N.; Bowden, D.A.; Everett, J.D.; Holmes, S.P.; Kloser, R.J.; Lee, R.W.; Suthers, I.M. Salp-falls in the Tasman Sea: A major food input to deep-sea benthos. Mar. Ecol. Prog. Ser. 2013, 491, 165–175. [Google Scholar] [CrossRef]
- Alcaraz, M.; Almeda, R.; Duarte, C.M.; Horstkotte, B.; Lasternas, S.; Agustí, S. Changes in the C, N, and P cycles by the predicted salps-krill shift in the southern ocean. Front. Mar. Sci. 2014, 1, 45. [Google Scholar] [CrossRef]
- Richardson, A.J.; Bakun, A.; Hays, G.C.; Gibbons, M.J. The jellyfish joyride: Causes, consequences and management responses to a more gelatinous future. Trends Ecol. Evol. 2009, 24, 312–322. [Google Scholar] [CrossRef]
- Purcell, J.E.; Uye, S.; Lo, W.-T. Anthropogenic causes of jellyfish blooms and their direct consequences for humans: A review. Mar. Ecol. Prog. Ser. 2007, 350, 153–174. [Google Scholar] [CrossRef]
- Sweetman, A.K.; Chelsky, A.; Pitt, K.A.; Andrade, H.; van Oevelen, D.; Renaud, P.E. Jellyfish decomposition at the seafloor rapidly alters biogeochemical cycling and carbon flow through benthic food-webs. Limnol. Oceanogr. 2016, 61, 1449–1461. [Google Scholar] [CrossRef]
- Chelsky, A.; Pitt, K.A.; Welsh, D.T. Biogeochemical implications of decomposing jellyfish blooms in a changing climate. Estuar. Coast. Shelf Sci. 2015, 154, 77–83. [Google Scholar] [CrossRef]
- Hosia, A.; Titelman, J. Intraguild predation between the native North Sea jellyfish Cyanea capillata and the invasive ctenophore Mnemiopsis leidyi. J. Plankton Res. 2011, 33, 535–540. [Google Scholar] [CrossRef] [PubMed]
- Gasca, R.; Hoover, R.; Haddock, S.H.D. New symbiotic associations of hyperiid amphipods (Peracarida) with gelatinous zooplankton in deep waters off California. J. Mar. Biol. Assoc. U. K. 2015, 95, 503–511. [Google Scholar] [CrossRef]
- Naselli-Flores, L.; Barone, R. Fight on Plankton! or, Phytoplankton Shape and Size as Adaptive Tools to Get Ahead in the Struggle for Life. Cryptogam. Algol. 2011, 32, 157–204. [Google Scholar] [CrossRef]
- D’Alelio, D.; Libralato, S.; Wyatt, T.; Ribera d’Alcalà, M. Ecological-network models link diversity, structure and function in the plankton food-web. Sci. Rep. 2016, 6, 21806. [Google Scholar] [CrossRef]
- Mackas, D.L.; Greve, W.; Edwards, M.; Chiba, S.; Tadokoro, K.; Eloire, D.; Mazzocchi, M.G.; Batten, S.; Richardson, A.J.; Johnson, C.; et al. Changing zooplankton seasonality in a changing ocean: Comparing time series of zooplankton phenology. Prog. Oceanogr. 2012, 97, 31–62. [Google Scholar] [CrossRef]
- García-Chicote, J.; Armengol, X.; Rojo, C. Zooplankton abundance: A neglected key element in the evaluation of reservoir water quality. Limnologica 2018, 69, 46–54. [Google Scholar] [CrossRef]
- Botterell, Z.L.R.; Beaumont, N.; Dorrington, T.; Steinke, M.; Thompson, R.C.; Lindeque, P.K. Bioavailability and effects of microplastics on marine zooplankton: A review. Environ. Pollut. 2019, 245, 98–110. [Google Scholar] [CrossRef]
- Serranito, B.; Aubert, A.; Stemmann, L.; Rossi, N.; Jamet, J.L. Proposition of indicators of anthropogenic pressure in the Bay of Toulon (Mediterranean Sea) based on zooplankton time-series. Cont. Shelf Res. 2016, 121, 3–12. [Google Scholar] [CrossRef]
- Dinesh Kumar, S.; Santhanam, P.; Nandakumar, R.; Ananth, S.; Nithya, P.; Dhanalakshmi, B.; Kim, M.-K. Bioremediation of shrimp (Litopenaeus vannamei) cultured effluent using copepod (Oithona rigida) and microalgae (Picochlorum maculatam & Amphora sp.)—An integrated approach. Desalination Water Treat. 2016, 57, 26257–26266. [Google Scholar]
- Li, J.; Dong, S.; Gao, Q.; Zhu, C. Nitrogen and phosphorus budget of a polyculture system of sea cucumber (Apostichopus japonicus), jellyfish (Rhopilema esculenta) and shrimp (Fenneropenaeus chinensis). J. Ocean Univ. China 2014, 13, 503–508. [Google Scholar] [CrossRef]
- Donovan, C.J.; Ku, J.C.; Quilliam, M.A.; Gill, T.A. Bacterial degradation of paralytic shellfish toxins. Toxicon 2008, 52, 91–100. [Google Scholar] [CrossRef]
- Marella, T.K.; López-Pacheco, I.Y.; Parra-Saldívar, R.; Dixit, S.; Tiwari, A. Wealth from waste: Diatoms as tools for phycoremediation of wastewater and for obtaining value from the biomass. Sci. Total Environ. 2020, 724, 137960. [Google Scholar] [CrossRef] [PubMed]
- Field, C.B.; Behrenfeld, M.J.; Randerson, J.T.; Falkowski, P. Primary Production of the Biosphere: Integrating Terrestrial and Oceanic Components. Science 1998, 281, 237–240. [Google Scholar] [CrossRef]
- Bar-On, Y.M.; Milo, R. The Biomass Composition of the Oceans: A Blueprint of Our Blue Planet. Cell 2019, 179, 1451–1454. [Google Scholar] [CrossRef]
- Uitz, J.; Claustre, H.; Gentili, B.; Stramski, D. Phytoplankton class-specific primary production in the world’s oceans: Seasonal and interannual variability from satellite observations. Glob. Biogeochem. Cycles 2010, 24, GB3016. [Google Scholar] [CrossRef]
- Malviya, S.; Scalco, E.; Audic, S.; Vincent, F.; Veluchamy, A.; Poulain, J.; Wincker, P.; Iudicone, D.; De Vargas, C.; Bittner, L.; et al. Insights into global diatom distribution and diversity in the world’s ocean. Proc. Natl. Acad. Sci. USA 2016, 113, E1516–E1525. [Google Scholar] [CrossRef] [PubMed]
- Benoiston, A.-S.; Ibarbalz, F.M.; Bittner, L.; Guidi, L.; Jahn, O.; Dutkiewicz, S.; Bowler, C. The evolution of diatoms and their biogeochemical functions. Philos. Trans. R. Soc. B Biol. Sci. 2017, 372, 20160397. [Google Scholar] [CrossRef]
- Haunost, M.; Riebesell, U.; D’Amore, F.; Kelting, O.; Bach, L.T. Influence of the Calcium Carbonate Shell of Coccolithophores on Ingestion and Growth of a Dinoflagellate Predator. Front. Mar. Sci. 2021, 8, 664269. [Google Scholar] [CrossRef]
- Khatiwala, S.; Primeau, F.; Hall, T. Reconstruction of the history of anthropogenic CO2 concentrations in the ocean. Nature 2009, 462, 346–349. [Google Scholar] [CrossRef]
- Armengol, L.; Franchy, G.; Ojeda, A.; Hernández-León, S. Plankton Community Changes from Warm to Cold Winters in the Oligotrophic Subtropical Ocean. Front. Mar. Sci. 2020, 7, 677. [Google Scholar] [CrossRef]
- Tamaru, C.S.; Murashige, R.; Lee, C.-S. The paradox of using background phytoplankton during the larval culture of striped mullet, Mugil cephalus L. Aquaculture 1994, 119, 167–174. [Google Scholar] [CrossRef]
- Nichols, P.D.; Holdsworth, D.G.; Volkman, J.K.; Daintith, M.; Allanson, S. High incorporation of esential fatty acids by the Rotifer Brachionus plicatilis fed on the Prymnesiophyte Alga Pavlova lutheri. Mar. Freshw. Res. 1989, 40, 645–655. [Google Scholar] [CrossRef]
- Tocher, D.R. Fatty acid requirements in ontogeny of marine and freshwater fish. Aquac. Res. 2010, 41, 717–732. [Google Scholar] [CrossRef]
- Spolaore, P.; Joannis-Cassan, C.; Duran, E.; Isambert, A. Commercial applications of microalgae. J. Biosci. Bioeng. 2006, 101, 87–96. [Google Scholar] [CrossRef]
- Peltomaa, E.; Hällfors, H.; Taipale, S.J. Comparison of Diatoms and Dinoflagellates from Different Habitats as Sources of PUFAs. Mar. Drugs 2019, 17, 233. [Google Scholar] [CrossRef]
- Kumaran, J.; Jose, B.; Joseph, V.; Bright Singh, I.S. Optimization of growth requirements of marine diatom Chaetoceros muelleri using Response Surface Methodology. Aquac. Res. 2017, 48, 1513–1524. [Google Scholar] [CrossRef]
- Hays, G.C.; Doyle, T.K.; Houghton, J.D.R. A Paradigm Shift in the Trophic Importance of Jellyfish? Trends Ecol. Evol. 2018, 33, 874–884. [Google Scholar] [CrossRef]
- Khong, N.M.H.; Yusoff FMd Jamilah, B.; Basri, M.; Maznah, I.; Chan, K.W.; Nishikawa, J. Nutritional composition and total collagen content of three commercially important edible jellyfish. Food Chem. 2016, 196, 953–960. [Google Scholar] [CrossRef]
- Heaslip, S.G.; Iverson, S.J.; Bowen, W.D.; James, M.C. Jellyfish Support High Energy Intake of Leatherback Sea Turtles (Dermochelys coriacea): Video Evidence from Animal-Borne Cameras. PLoS ONE 2012, 7, e33259. [Google Scholar] [CrossRef]
- Cardona, L.; Quevedo IÁ de Borrell, A.; Aguilar, A. Massive Consumption of Gelatinous Plankton by Mediterranean Apex Predators. PLoS ONE 2012, 7, e31329. [Google Scholar] [CrossRef] [PubMed]
- Miyajima, Y.; Masuda, R.; Kurihara, A.; Kamata, R.; Yamashita, Y.; Takeuchi, T. Juveniles of threadsail filefish, Stephanolepis cirrhifer, can survive and grow by feeding on moon jellyfish Aurelia aurita. Fish. Sci. 2011, 77, 41–48. [Google Scholar] [CrossRef]
- Duarte, I.M.; Marques, S.C.; Leandro, S.M.; Calado, R. An overview of jellyfish aquaculture: For food, feed, pharma and fun. Rev. Aquac. 2022, 14, 265–287. [Google Scholar] [CrossRef]
- Brotz, L.; Pauly, D. Studying Jellyfish Fisheries: Toward Accurate National Catch Reports and Appropriate Methods for Stock Assessments; Nova Publishers: Hauppauge, NY, USA, 2017; pp. 313–329. [Google Scholar]
- Torri, L.; Tuccillo, F.; Bonelli, S.; Piraino, S.; Leone, A. The attitudes of Italian consumers towards jellyfish as novel food. Food Qual. Prefer. 2020, 79, 103782. [Google Scholar] [CrossRef]
- Kitamura, M.; Omori, M. Synopsis of edible jellyfishes collected from Southeast Asia, with notes on jellyfish fisheries. Plankton Benthos Res. 2010, 5, 106–118. [Google Scholar] [CrossRef]
- Peggy Hsieh, Y.-H.; Leong, F.-M.; Rudloe, J. Jellyfish as food. Hydrobiologia 2001, 451, 11–17. [Google Scholar] [CrossRef]
- Pauly, D.; Graham, W.; Libralato, S.; Morissette, L.; Deng Palomares, M.L. Jellyfish in ecosystems, online databases, and ecosystem models. Hydrobiologia 2009, 616, 67–85. [Google Scholar] [CrossRef]
- Omori, M.; Nakano, E. Jellyfish fisheries in southeast Asia. Hydrobiologia 2001, 451, 19–26. [Google Scholar] [CrossRef]
- Hajeb, P. Fermented Shrimp Products as Source of Umami in Southeast Asia. J. Nutr. Food Sci. 2013, S10-006. [Google Scholar]
- Nicol, S.; Foster, J. The Fishery for Antarctic Krill: Its Current Status and Management Regime. University of Tasmania. In Biology and Ecology of Antarctic Krill; Springer: Berlin/Heidelberg, Germany, 2016; pp. 387–421. [Google Scholar]
- Vonshak, A.; Tomaselli, L. Arthrospira (Spirulina): Systematics and EcophysioIogy. In The Ecology of Cyanobacteria: Their Diversity in Time and Space; Whitton, B.A., Potts, M., Eds.; Springer: Dordrecht, The Netherlands, 2002; pp. 505–522. [Google Scholar]
- Jung, F.; Krüger-Genge, A.; Waldeck, P.; Küpper, J.-H. Spirulina platensis, a super food? J. Cell. Biotechnol. 2019, 5, 43–54. [Google Scholar] [CrossRef]
- Hemantkumar, J.N.; Rahimbhai, M.I.; Hemantkumar, J.N.; Rahimbhai, M.I. Microalgae and Its Use in Nutraceuticals and Food Supplements. In Microalgae—From Physiology to Application; Intechopen: London, UK, 2019; p. 10. [Google Scholar]
- Niccolai, A.; Chini Zittelli, G.; Rodolfi, L.; Biondi, N.; Tredici, M.R. Microalgae of interest as food source: Biochemical composition and digestibility. Algal Res. 2019, 42, 101617. [Google Scholar] [CrossRef]
- Mobin, S.; Alam, F. Some Promising Microalgal Species for Commercial Applications: A review. Energy Procedia 2017, 110, 510–517. [Google Scholar] [CrossRef]
- Costa, J.A.V.; Freitas, B.C.B.; Santos, T.D.; Mitchell, B.G.; Morais, M.G. Open pond systems for microalgal culture. In Biofuels from Algae, 2nd ed.; Pandey, A., Chang, J.-S., Soccol, C.R., Lee, D.-J., Chisti, Y., Eds.; Elsevier: Amsterdam, The Netherlands, 2019; Chapter 9; pp. 199–223. [Google Scholar]
- Cranwell, P.A.; Creighton, M.E.; Jaworski, G.H.M. Lipids of four species of freshwater chrysophytes. Phytochemistry 1988, 27, 1053–1059. [Google Scholar] [CrossRef]
- Lengyel, E.; Barreto, S.; Padisák, J.; Stenger-Kovács, C.; Lázár, D.; Buczkó, K. Contribution of silica-scaled chrysophytes to ecosystems services: A review. Hydrobiologia 2023, 850, 2735–2756. [Google Scholar] [CrossRef]
- Collins, R.P.; Kalnins, K. Sterols produced by Synura petersenii (chrysophyta). Comp. Biochem. Physiol. 1969, 30, 779–782. [Google Scholar] [CrossRef]
- Emadodin, I.; Reinsch, T.; Rotter, A.; Orlando-Bonaca, M.; Taube, F.; Javidpour, J. A perspective on the potential of using marine organic fertilizers for the sustainable management of coastal ecosystem services. Environ. Sustain. 2020, 3, 105–115. [Google Scholar] [CrossRef]
- Sharma, N.; Simon, D.P.; Diaz-Garza, A.M.; Fantino, E.; Messaabi, A.; Meddeb-Mouelhi, F.; Germain, H.; Desgagné-Penix, I. Diatoms Biotechnology: Various Industrial Applications for a Greener Tomorrow. Front. Mar. Sci. 2021, 8, 636613. [Google Scholar] [CrossRef]
- Mishra, M.; Arukha, A.P.; Bashir, T.; Yadav, D.; Prasad, G.B.K.S. All New Faces of Diatoms: Potential Source of Nanomaterials and Beyond. Front. Microbiol. 2017, 8, 1239. [Google Scholar] [CrossRef] [PubMed]
- Guieysse, B.; Plouviez, M. Microalgae cultivation: Closing the yield gap from laboratory to field scale. Front. Bioeng. Biotechnol. 2024, 12, 1359755. [Google Scholar] [CrossRef]
- Addad, S.; Exposito, J.-Y.; Faye, C.; Ricard-Blum, S.; Lethias, C. Isolation, Characterization and Biological Evaluation of Jellyfish Collagen for Use in Biomedical Applications. Mar. Drugs 2011, 9, 967–983. [Google Scholar] [CrossRef] [PubMed]
- Hoyer, B.; Bernhardt, A.; Lode, A.; Heinemann, S.; Sewing, J.; Klinger, M.; Notbohm, H.; Gelinsky, M. Jellyfish collagen scaffolds for cartilage tissue engineering. Acta Biomater. 2014, 10, 883–892. [Google Scholar] [CrossRef]
- Balamurugan, E.; Reddy, B.V.; Menon, V.P. Antitumor and antioxidant role of Chrysaora quinquecirrha (sea nettle) nematocyst venom peptide against ehrlich ascites carcinoma in Swiss Albino mice. Mol. Cell. Biochem. 2010, 338, 69–76. [Google Scholar] [CrossRef] [PubMed]
- Leone, A.; Lecci, R.M.; Durante, M.; Piraino, S. Extract from the Zooxanthellate Jellyfish Cotylorhiza tuberculata Modulates Gap Junction Intercellular Communication in Human Cell Cultures. Mar. Drugs 2013, 11, 1728–1762. [Google Scholar] [CrossRef] [PubMed]
- Yu, H.; Liu, X.; Xing, R.; Liu, S.; Guo, Z.; Wang, P.; Li, C.; Li, P. In vitro determination of antioxidant activity of proteins from jellyfish Rhopilema esculentum. Food Chem. 2006, 95, 123–130. [Google Scholar] [CrossRef]
- Mucko, M.; Padisák, J.; Gligora Udovič, M.; Pálmai, T.; Novak, T.; Medić, N.; Gašparović, B.; Peharec Štefanić, P.; Orlić, S.; Ljubešić, Z. Characterization of a high lipid-producing thermotolerant marine photosynthetic pico alga from genus Picochlorum (Trebouxiophyceae). Eur. J. Phycol. 2020, 55, 384–399. [Google Scholar] [CrossRef]
- Llames, M.E.; Quiroga, M.V.; Schiaffino, M.R. Research in ecosystem services provided by bacteria, archaea, and viruses from inland waters: Synthesis of main topics and trends over the last ca. 40 years. Hydrobiologia 2023, 850, 2671–2690. [Google Scholar] [CrossRef]
- Zimmer, M. Green fluorescent protein (GFP): Applications, structure, and related photophysical behavior. Chem. Rev. 2002, 102, 759–781. [Google Scholar] [CrossRef] [PubMed]
- Cabana, D.; Pinna, S.; Farina, S.; Grech, D.; Barbieri, N.; Guala, I. Coastal cultural ecosystem services and adolescents’ subjective well-being. Ambio 2024, 53, 1561–1573. [Google Scholar] [CrossRef] [PubMed]
- Fogg, G.E. Harmful algae—A perspective. Harmful Algae 2002, 1, 1–4. [Google Scholar] [CrossRef]
- Haeckel, E. Kunstformen der Natur; Leipzig und Wien; Verlag des Bibliographischen Instituts: Leipzig, Germany, 1899. [Google Scholar]
- Halpern, M.K.; Rogers, H.S. Inseparable Impulses: The Science and Aesthetics of Ernst Haeckel and Charley Harper. Leonardo 2013, 46, 465–470. [Google Scholar] [CrossRef]
- Jungck, J.R.; Wagner, R.; van Loo, D.; Grossman, B.; Khiripet, N.; Khiripet, J.; Khantuwan, W.; Hagan, M. Art Forms in Nature: Radiolaria from Haeckel and Blaschka to 3D nanotomography, quantitative image analysis, evolution, and contemporary art. Theory Biosci. 2019, 138, 159–187. [Google Scholar] [CrossRef]
- Schütt, F. Analytische Plankton-Studien. Ziele, Methoden und Anfangs-Resultate der Quantitativ-Analytischen Planktonforschung; Lipsius & Tischer: Kiel, Germany, 1892. [Google Scholar]
- Dolan, J.R. Jewels of Scientific Illustration from Oceanographic Reports in the Library of the Institute de la Mer de Villefranche. Arts Sci. 2024, 8, 62–79. [Google Scholar] [CrossRef]
- Ferrara, C.; Lega, M.; Fusco, G.; Bishop, P.; Endreny, T. Characterization of Terrestrial Discharges into Coastal Waters with Thermal Imagery from a Hierarchical Monitoring Program. Water 2017, 9, 500. [Google Scholar] [CrossRef]
- Iermano, I.; Liguori, G.; Iudicone, D.; Buongiorno Nardelli, B.; Colella, S.; Zingone, A.; Saggiomo, V.; Ribera d’Alcalà, M. Filament formation and evolution in buoyant coastal waters: Observation and modelling. Prog. Oceanogr. 2012, 106, 118–137. [Google Scholar] [CrossRef]
- Baldantoni, D.; Bellino, A.; Lofrano, G.; Libralato, G.; Pucci, L.; Carotenuto, M. Biomonitoring of nutrient and toxic element concentrations in the Sarno River through aquatic plants. Ecotoxicol. Environ. Saf. 2018, 148, 520–527. [Google Scholar] [CrossRef]
- Kokoszka, F.; Conversano, F.; Iudicone, D.; Ferron, B.; Bouruet-Aubertot, P. A Turbulence Survey in the Gulf of Naples, Mediterranean Sea, during the Seasonal Destratification. J. Mar. Sci. Eng. 2023, 11, 499. [Google Scholar] [CrossRef]
- Russo, L.; Casella, V.; Marabotti, A.; Jordán, F.; Congestri, R.; D’Alelio, D. Trophic hierarchy in a marine community revealed by network analysis on co-occurrence data. Food Webs 2022, 32, e00246. [Google Scholar] [CrossRef]
- Russo, L.; Bellardini, D.; Zampicinini, G.; Jordán, F.; Congestri, R.; D’Alelio, D. From metabarcoding time series to plankton food webs: The hidden role of trophic hierarchy in providing ecological resilience. Mar. Ecol. 2023, 44, e12733. [Google Scholar] [CrossRef]
- Anschütz, A.-A.; Maselli, M.; Traboni, C.; Boon, A.R.; Stolte, W. Importance of integrating mixoplankton into marine ecosystem policy and management-Examples from the Marine Strategy Framework Directive. Integr. Environ. Assess. Manag. 2024, 20, 1366–1383. [Google Scholar] [CrossRef]
- Mansour, J.S.; Anestis, K. Eco-Evolutionary Perspectives on Mixoplankton. Front. Mar. Sci. 2021, 8, 666160. [Google Scholar] [CrossRef]
- Traboni, C.; Calbet, A.; Saiz, E. Mixotrophy upgrades food quality for marine calanoid copepods. Limnol. Oceanogr. 2021, 66, 4125–4139. [Google Scholar] [CrossRef]
- Schneider, L.K.; Anestis, K.; Mansour, J.; Anschütz, A.A.; Gypens, N.; Hansen, P.J.; John, U.; Klemm, K.; Martin, J.L.; Medic, N.; et al. A dataset on trophic modes of aquatic protists. Biodivers. Data J. 2020, 8, e56648. [Google Scholar] [CrossRef]
- Vidussi, F.; Claustre, H.; Manca, B.B.; Luchetta, A.; Marty, J.-C. Phytoplankton pigment distribution in relation to upper thermocline circulation in the eastern Mediterranean Sea during winter. J. Geophys. Res. Oceans 2001, 106, 19939–19956. [Google Scholar] [CrossRef]
- Costanza, R.; de Groot, R.; Sutton, P.; van der Ploeg, S.; Anderson, S.J.; Kubiszewski, I.; Farber, S.; Turner, R.K. Changes in the global value of ecosystem services. Glob. Environ. Change 2014, 26, 152–158. [Google Scholar] [CrossRef]
- de Groot, R.; Brander, L.; Van Der Ploeg, S.; Costanza, R.; Bernard, F.; Braat, L.; Christie, M.; Crossman, N.; Ghermandi, A.; Hein, L.; et al. Global estimates of the value of ecosystems and their services in monetary units. Ecosyst. Serv. 2012, 1, 50–61. [Google Scholar] [CrossRef]
- Mangi, S.C.; Davis, C.E.; Payne, L.A.; Austen, M.C.; Simmonds, D.; Beaumont, N.J.; Smyth, T. Valuing the regulatory services provided by marine ecosystems. Environmetrics 2011, 22, 686–698. [Google Scholar] [CrossRef]
- Borja, A.; Murillas-Maza, A.; Pascual, M.; Uyarra, M.C. Marine and Coastal Ecosystems: Delivery of Goods and Services, Through Sustainable Use and Conservation. In Ecosystem Services and River Basin Ecohydrology; Chicharo, L., Müller, F., Fohrer, N., Eds.; Springer: Dordrecht, The Netherlands, 2015; pp. 83–105. [Google Scholar]
- Luisetti, T.; Turner, R.K.; Bateman, I.J.; Morse-Jones, S.; Adams, C.; Fonseca, L. Coastal and marine ecosystem services valuation for policy and management: Managed realignment case studies in England. Ocean Coast. Manag. 2011, 54, 212–224. [Google Scholar] [CrossRef]
- D’Alelio, D.; Eveillard, D.; Coles, V.J.; Caputi, L.; Ribera d’Alcalà, M.; Iudicone, D. Modelling the complexity of plankton communities exploiting omics potential: From present challenges to an integrative pipeline. Curr. Opin. Syst. Biol. 2019, 13, 68–74. [Google Scholar] [CrossRef]





Disclaimer/Publisher’s Note: The statements, opinions and data contained in all publications are solely those of the individual author(s) and contributor(s) and not of MDPI and/or the editor(s). MDPI and/or the editor(s) disclaim responsibility for any injury to people or property resulting from any ideas, methods, instructions or products referred to in the content. |
© 2025 by the authors. Licensee MDPI, Basel, Switzerland. This article is an open access article distributed under the terms and conditions of the Creative Commons Attribution (CC BY) license (https://creativecommons.org/licenses/by/4.0/).
Share and Cite
Russo, L.; Bellardini, D.; Casotti, R.; Licandro, P.; Mazzocchi, M.G.; Murillas, A.; Percopo, I.; Sarno, D.; D’Alelio, D. The Spatiotemporal Variability of Marine Plankton Ecosystem Services at the Regional Scale: A Combined Approach Using a Systematic Review and Network Analysis. Sustainability 2025, 17, 1182. https://doi.org/10.3390/su17031182
Russo L, Bellardini D, Casotti R, Licandro P, Mazzocchi MG, Murillas A, Percopo I, Sarno D, D’Alelio D. The Spatiotemporal Variability of Marine Plankton Ecosystem Services at the Regional Scale: A Combined Approach Using a Systematic Review and Network Analysis. Sustainability. 2025; 17(3):1182. https://doi.org/10.3390/su17031182
Chicago/Turabian StyleRusso, Luca, Daniele Bellardini, Raffaella Casotti, Priscilla Licandro, Maria Grazia Mazzocchi, Arantza Murillas, Isabella Percopo, Diana Sarno, and Domenico D’Alelio. 2025. "The Spatiotemporal Variability of Marine Plankton Ecosystem Services at the Regional Scale: A Combined Approach Using a Systematic Review and Network Analysis" Sustainability 17, no. 3: 1182. https://doi.org/10.3390/su17031182
APA StyleRusso, L., Bellardini, D., Casotti, R., Licandro, P., Mazzocchi, M. G., Murillas, A., Percopo, I., Sarno, D., & D’Alelio, D. (2025). The Spatiotemporal Variability of Marine Plankton Ecosystem Services at the Regional Scale: A Combined Approach Using a Systematic Review and Network Analysis. Sustainability, 17(3), 1182. https://doi.org/10.3390/su17031182

