Impact of Combined Application of Swine Manure Liquid and Phosphorus Fertilizers on Soil Phosphorus and Microbial Communities
Abstract
1. Introduction
2. Materials and Methods
2.1. Materials
2.2. Methods
2.3. Analysis
2.3.1. Collection of Soil Samples
2.3.2. Determination of Soil–Chemical Parameters and Nutrient Status
- (1)
- Soil pH measurement: After the collected soil samples were naturally air-dried, impurities were removed through a 2 mm pore size sieve. Use distilled water or pure water boiled for 10 min to remove dissolved carbon dioxide, weigh 10.0 g of air-dried soil sample and place it in a 50 mL beaker, and add 25 mL of de-CO2 water at a water-to-soil ratio of 2.5:1. Stir with a glass rod for 1 min to fully disperse the soil particles, let stand for 30 min, gently pour the suspended suspension out of the supernatant into a 20 mL small beaker, and measure using a pH meter (PHS-25).
- (2)
- Soil electrical conductivity (EC) measurement: After the collected soil samples were naturally dried, impurities were removed through a 2 mm pore sieve. Weighed 5 g of the sieved soil sample, added 25 mL of deionized water according to the water-to-soil ratio of 5:1, and stirred fully to form a suspension. After mixing, it stood for 30 min, filtered through a 0.45 μm filter membrane to obtain a clear leach, and the EC was determined using a conductometer (PHS-3C).
- (3)
- Soil available phosphorus measurement: Extraction was performed using a 0.5 mol/L NaHCO3 solution, followed by the molybdenum-antimony anti-colorimetric method. In brief, 2.5 g of the soil sample was mixed with 50 mL of NaHCO3 in a conical glass flask. The samples were kept in a shaker for 15 min to mix properly and then filtered. Coloring reagents (ammonium molybdate solution and ascorbic acid solution) were added to the samples and measurements were recorded with a UV spectrophotometer (TU-1810, 700 nm). All the experiments were performed in triplicates and the mean values were calculated.
- (4)
- Total soil phosphorus determination: Following digestion with H2SO4-HClO4, the molybdenum-antimony colorimetric method was applied [19]. Accurately weigh 0.5 g of the air-dried soil sample passed through a 100-mesh sieve, place it in a 50 mL Kelva bottle, wet it with a small amount of water, add H2SO4 8 mL, shake well, add another 10 drops of 70–72% HClO4, shake well, and simmer for 60 min. Pour the cooled solution into a 100 mL volumeter bottle, rinse the Kelvin bottle with water, gently shake the volumeter bottle, and add water to set the volume after it is completely cooled. Let it sit overnight, and the next day carefully drain the upper layer of clarifying liquid for phosphorus determination. Absorb 5 mL of the clarifying liquid or filtrate, inject it into a 50 mL volumetric bottle, and dilute it with water to 30 mL. Add 2 drops of dinitrophenol indicator, add 4 mol/L NaOH solution until the solution turns yellow, and add 1 drop of 2 mol/L H2SO4 to make the yellow color of the solution just fade. Add 5 mL of molybdenum-antimony anti-reagent, then add water to 50 mL, and shake well. After 30 min, the color was compared at 700 nm wavelength, and the absorbance of the blank liquid was 0 to read out the transmittance or absorption value of the measured liquid.
- (5)
- Fractionated soil phosphorus determination [19]: Compared with other methods, the Hedley method reveals the transformation of phosphorus more comprehensively, which is more conducive to this study. Based on the Hedley method, the following steps were performed: Weigh 0.5 g of soil sample, add 30 mL of distilled water to a 50 mL centrifuge tube, shake for 16 h, centrifuge, and filter through a 0.45 μm membrane, preparing for H2O-P measurement. Add 30 mL of 0.5 mol/L NaHCO3 to the residue from step (a), shake for 16 h, centrifuge, filter, and prepare for NaHCO3-Po/Pi measurement. Add 30 mL of 0.1 mol/L NaOH to the residue from step (b), shake for 16 h, centrifuge, filter, and prepare for NaOH-Po/Pi measurement. Add 30 mL of 1 mol/L HCl to the residue from step (c), shake for 16 h, centrifuge, filter, and prepare for HCl-P measurement. Transfer the residue from the centrifuge tube to a 100 mL digestion tube, digest with H2SO4-HClO4, and determine the residual phosphorus using the molybdenum-antimony colorimetric method.
2.3.3. Determination of Soil Microbial Indices
2.3.4. Data Analysis and Calculation
3. Results and Discussion
3.1. Effects of Combined Application of SML and Phosphorus Fertilizer on Soil Phosphorus Forms
3.1.1. Effects on Soil pH and EC
3.1.2. Impact on Soil Available Phosphorus Content
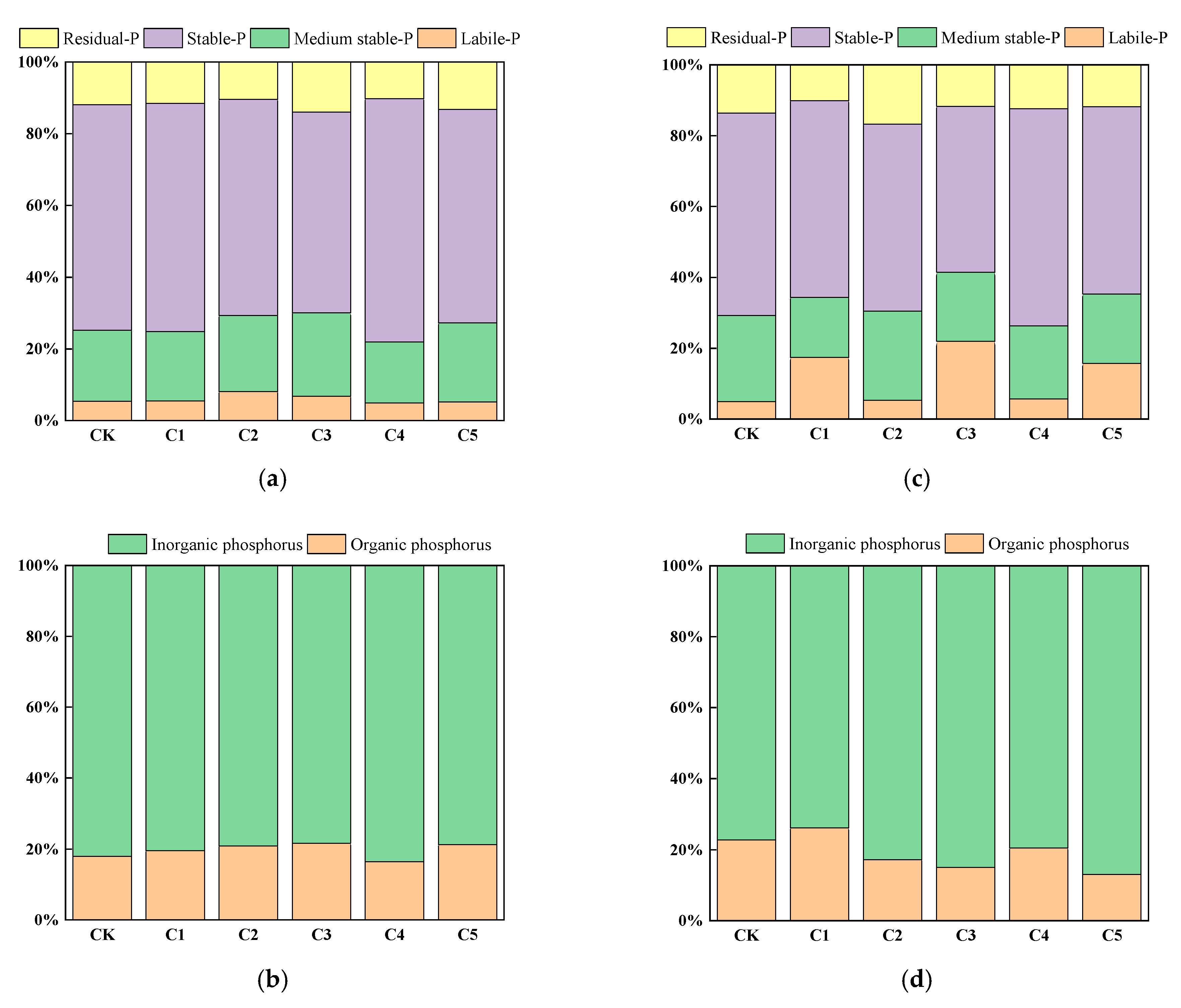
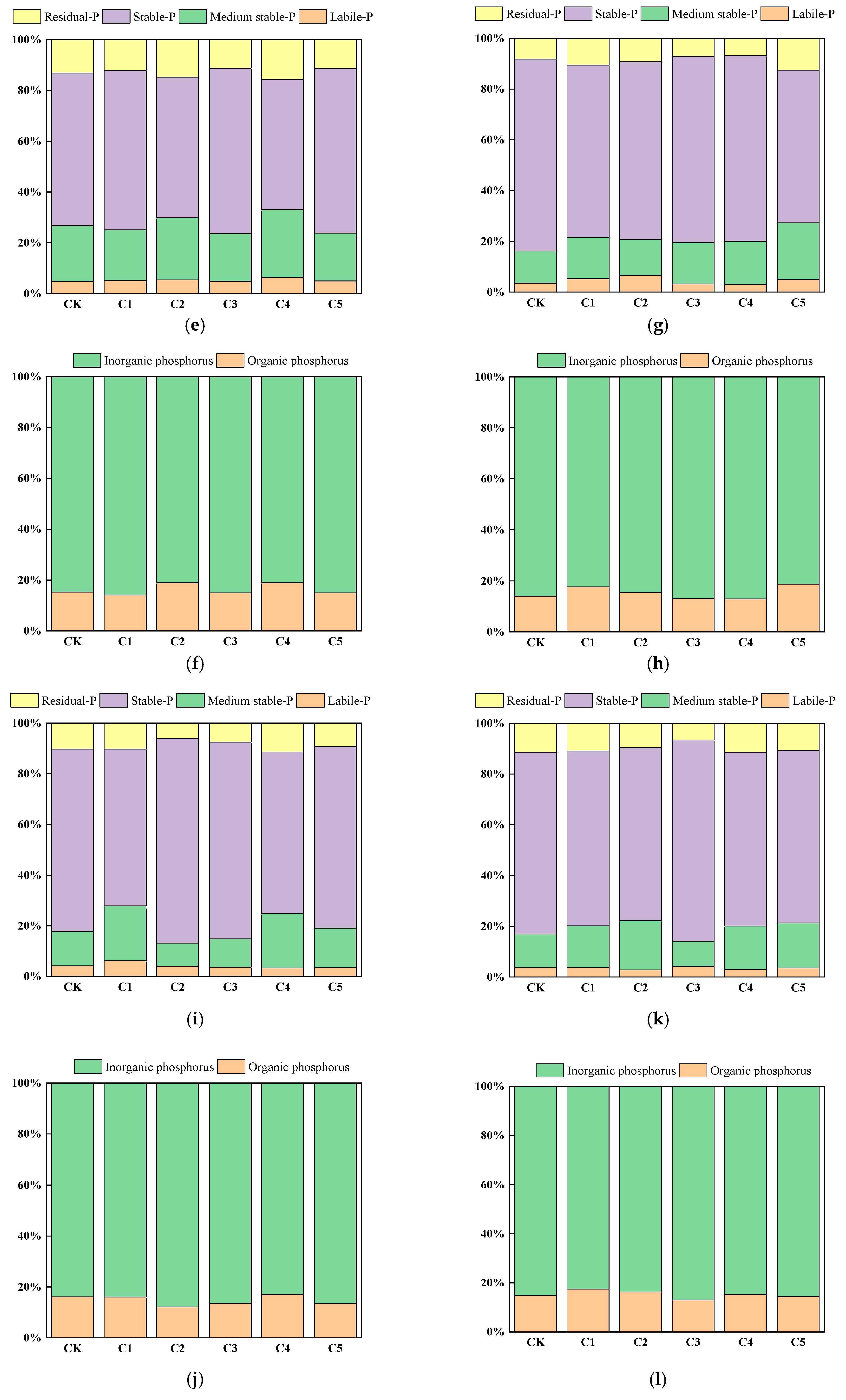
3.1.3. Effect on Soil Phosphorus Fractions
3.2. Impact of Combined SML and Chemical Phosphorus Fertilizer on Soil Microbes
3.2.1. The Effect on Soil Bacteria
3.2.2. The Effect on Fungus
4. Conclusions
Supplementary Materials
Author Contributions
Funding
Data Availability Statement
Conflicts of Interest
References
- Xu, Q.; Zhang, T.; Niu, Y.Q.; Mukherjee, S.; Abou-Elwafa, S.F.; Nguyen, N.S.H.; Al Aboud, N.M.; Wang, Y.K.; Pu, M.J.; Zhang, Y.R.; et al. A comprehensive review on agricultural waste utilization through sustainable conversion techniques, with a focus on the additives effect on the fate of phosphorus and toxic elements during composting process. Sci. Total Environ. 2024, 942, 173567. [Google Scholar] [CrossRef] [PubMed]
- Hollas, C.E.; Do Amaral, K.; Lange, M.V.; Higarashi, M.M.; Steinmetz, R.; Barros, E.C.; Mariani, L.F.; Nakano, V.; Kunz, A.; Sanches-Pereira, A.; et al. Life cycle assessment of waste management from the Brazilian pig chain residues in two perspectives: Electricity and biomethane production. J. Clean. Prod. 2022, 354, 131654. [Google Scholar] [CrossRef]
- Polley, S.; Biswas, S.; Kesh, S.S.; Maity, A.; Batabyal, S. The link between animal manure and zoonotic disease. Anim. Manure 2022, 64, 297–333. [Google Scholar]
- Zhang, T.; Xu, H.Y.; Li, H.H.; He, X.Y.; Shi, Y.J.; Kruse, A. Microwave digestion-assisted HFO/biochar adsorption to recover phosphorus from swine manure. Sci. Total Environ. 2018, 621, 1512–1526. [Google Scholar] [CrossRef]
- Varma, V.S.; Parajuli, R.; Scott, E.; Canter, T.; Lim, T.T.; Popp, J.; Thoma, G. Dairy and swine manure management-Challenges and perspectives for sustainable treatment technology. Sci. Total Environ. 2021, 778, 146319. [Google Scholar] [CrossRef]
- Zhang, T.; Wu, X.S.; Shaheen, S.M.; Zhao, Q.; Liu, X.J.; Rinklebe, J.; Ren, H.Q. Ammonium nitrogen recovery from digestate by hydrothermal pretreatment followed by activated hydrochar sorption. Chem. Eng. J. 2020, 379, 122254. [Google Scholar] [CrossRef]
- Candido, D.; Bolsan, A.C.; Hollas, C.E.; Venturin, B.; Tápparo, D.C.; Bonassa, G.; Antes, F.G.; Steinmetz, R.; Bortoli, M.; Kunz, A. Integration of swine manure anaerobic digestion and digestate nutrients removal/recovery under a circular economy concept. J. Environ. Manag. 2022, 301, 113825. [Google Scholar] [CrossRef]
- Fang, C.; Zhang, T.; Jiang, R.F.; Ohtake, H. Phosphate enhance recovery from wastewater by mechanism analysis and optimization of struvite settleability in fluidized bed reactor. Sci. Rep. 2016, 6, 32215. [Google Scholar] [CrossRef]
- Deng, Y.; Zhang, T.; Clark, J.; Aminabhavi, T.; Kruse, A.; Tsang, D.C.W.; Sharma, B.K.; Zhang, F.S.; Ren, H.Q. Mechanisms and modelling of phosphorus solid–liquid transformation during the hydrothermal processing of swine manure. Green Chem. 2020, 22, 5628–5638. [Google Scholar] [CrossRef]
- He, X.M.; Zhang, T.; Ren, H.Q.; Li, G.X.; Ding, L.L.; Pawlowski, L. Phosphorus recovery from biogas slurry by ultrasound/H2O2 digestion coupled with HFO/biochar adsorption process. Waste Manag. 2017, 60, 219–229. [Google Scholar] [CrossRef]
- Duan, Y.H.; Yang, H.B.; Shi, T.H.; Zhang, W.J.; Xu, M.G.; Gao, S.D. Long-term manure application to improve soil macroaggregates and plant-available nitrogen in a mollisol. Soil Till. Res. 2021, 211, 105035. [Google Scholar] [CrossRef]
- Ahmed, W.; Huang, J.; Kaillou, L.; Qaswar, M.; Khan, M.N.; Chen, J.; Sun, G.; Huang, Q.H.; Liu, Y.R.; Liu, G.R.; et al. Changes in phosphorus fractions associated with soil chemical properties under long-term organic and inorganic fertilization in paddy soils of southern China. PLoS ONE 2019, 14, 0216881. [Google Scholar] [CrossRef] [PubMed]
- Yang, Z.Y.; Zhang, Y.P.; Wang, Y.Z.; Zhang, H.F.; Zhu, Q.R.; Yan, B.J.; Fei, J.C.; Rong, X.M.; Peng, J.W.; Luo, G.W. Intercropping regulation of soil phosphorus composition and microbially-driven dynamics facilitates maize phosphorus uptake and productivity improvement. Field Crop. Res. 2022, 287, 108666. [Google Scholar] [CrossRef]
- Gu, Y.; Zhang, X.; Tu, S.; Lindstrom, K. Soil microbial biomass, crop yields, and bacterial community structure as affected by long-term fertilizer treatments under wheat-rice cropping. Eur. J. Soil Biol. 2009, 45, 239–246. [Google Scholar] [CrossRef]
- Liao, J.C. Environmental Quality Evaluation of Soil and Irrigation Water of Tea Garden in Anxi County, China. J. Agric. Resour. Environ. 2013, 30, 72. [Google Scholar]
- Zhang, Q.M.; Xiang, R.J.; Zhan, L.; Wan, Y.; Zhong, Z.Y.; You, X.Y.; Qi, Y. Content and morphology characteristics of heavy metals in phosphate fertilizers in Hunan province. Nonferr. Met. Sci. Eng. 2016, 7, 125–130. [Google Scholar]
- Zhou, Y.R.; Ni, T.; Wei, L.U.; Yu, Z.; Guang, W.; Shi, H.; Gang, Z.; Gao, Q. Mechanism of heterogeneous distribution of Cr-containing dispersoids in DC casting 7475 aluminum alloy. Trans. Nonferr. Met. Soc. China 2022, 32, 1416–1427. [Google Scholar] [CrossRef]
- Coutu, A.; Mottelet, S.; Guérin, S.; Rocher, V.; Pauss, A.; Ribeiro, T. Methane yield optimization using mix response design and bootstrapping: Application to solid-state anaerobic co-digestion process of cattle manure and damp grass. Bioresour. Tech. Rep. 2022, 17, 100883. [Google Scholar] [CrossRef]
- Su, X.H.; Zhang, T.; Zhao, J.Y.; Mukherjee, S.; Alotaibi, N.M.; Abou-Elwafa, S.F.; Tran, H.T.; Bolan, N.S. Phosphorus fraction in hydrochar from co-hydrothermal carbonization of swine manure and rice straw: An optimization analysis based on response surface methodology. Water 2024, 16, 2208. [Google Scholar] [CrossRef]
- Aula, L.; Omara, P.; Dhillon, J.S.; Fornah, A.; Raun, W.R. Influence of applied cattle manure on winter wheat (Triticumaestivum L.) Grain yield, soil pH and soil organic carbon. Commun. Soil Sci. Plan. 2019, 50, 2056–2064. [Google Scholar] [CrossRef]
- Laurent, C.; Bravin, M.N.; Crouzet, O.; Pelosi, C.; Tillard, E.; Lecomte, P.; Lamy, I. Increased soil pH and dissolved organic matter after a decade of organic fertilizer application mitigates copper and zinc availability despite contamination. Sci. Total Environ. 2020, 709, 135927. [Google Scholar] [CrossRef] [PubMed]
- Dong, W.; Zhang, X.; Wang, H.; Dai, X.Q.; Sun, X.M.; Qiu, W.W.; Yang, F.T. Effect of different fertilizer application on the soil fertility of paddy soils in red soil region of southern China. PLoS ONE 2012, 7, 0044504. [Google Scholar] [CrossRef] [PubMed]
- Eghball, B. Soil properties as influenced by phosphorus- and nitrogen-based manure and compost applications. Agron. J. 2022, 94, 128–135. [Google Scholar]
- Song, K.; Xue, Y.; Zheng, X.Q.; Lv, W.G.; Qiao, H.X.; Qin, Q.; Yang, J.J. Effects of the continuous use of organic manure and chemical fertilizer on soil inorganic phosphorus fractions in calcareous soil. Sci. Rep. 2017, 7, 1164. [Google Scholar] [CrossRef] [PubMed]
- Arif, M.; Ali, S.; Ilyas, M.; Riaz, M.; Akhtar, K.; Ali, K.; Adnan, M.; Fahad, S.; Khan, I.; Shah, S.H.; et al. Enhancing phosphorus availability, soil organic carbon, maize productivity and farm profitability through biochar and organic-inorganic fertilizers in an irrigated maize agroecosystem under semi-arid climate. Soil Use Manag. 2021, 37, 104–119. [Google Scholar] [CrossRef]
- Xun, W.B.; Xiong, W.; Huang, T.; Ran, W.; Li, D.C.; Shen, Q.R.; Li, Q.; Zhang, R.F. Swine manure and quicklime have different impacts on chemical properties and composition of bacterial communities of an acidic soil. Appl. Soil Ecol. 2016, 100, 38–44. [Google Scholar] [CrossRef]
- Qaswar, M.; Li, D.C.; Huang, J.; Han, T.F.; Ahmed, W.; Ali, S.; Khan, M.N.; Khan, Z.H.; Xu, Y.M.; Li, Q.; et al. Dynamics of organic carbon and nitrogen in deep soil profile and crop yields under long-term fertilization in wheat-maize cropping system. J. Integr. Agric. 2022, 21, 826–839. [Google Scholar] [CrossRef]
- Gil-Sotres, F.; Trasar-Cepeda, C.; Leirós, M.C.; Seoane, S. Different approaches to evaluating soil quality using biochemical properties. Soil Boil. Biochem. 2005, 37, 877–887. [Google Scholar] [CrossRef]
- Cui, X.W.; Zhang, Y.Z.; Gao, J.S.; Peng, F.Y.; Gao, P. Long-term combined application of manure and chemical fertilizer sustained higher nutrient status and rhizospheric bacterial diversity in reddish paddy soil of central south China. Sci. Rep. 2018, 8, 16554. [Google Scholar] [CrossRef]
- Wang, Q.F.; Jiang, X.; Guan, D.W.; Wei, D.; Zhao, B.S.; Ma, M.C.; Chen, S.F.; Li, L.; Cao, F.M.; Li, J. Long-term fertilization changes bacterial diversity and bacterial communities in the maize rhizosphere of Chinesemollisols. Appl. Soil Ecol. 2018, 125, 88–96. [Google Scholar] [CrossRef]
- Zhu, M.; Xu, D.; Si, G.; Peng, C.; Yuan, J.; Zhao, S. Effects of different organic fertilisers on the microbial functional diversity and bacterial communities in a tobacco soil. Arch. Agron. Soil Sci. 2022, 69, 1566–1578. [Google Scholar] [CrossRef]
- Bi, Q.F.; Li, K.J.; Zheng, B.X.; Liu, X.P.; Li, H.Z.; Jin, B.J.; Ding, K.; Yang, X.R.; Lin, X.Y.; Zhu, Y.G. Partial replacement of inorganic phosphorus (P) by organic manure reshapes phosphate mobilizing bacterial community and promotes P bioavailability in a paddy soil. Sci. Total Environ. 2020, 703, 134977. [Google Scholar] [CrossRef] [PubMed]
- Li, Y.; Liu, X.M.; Zhang, L.; Xie, Y.H.; Cai, X.L.; Wang, S.J.; Lian, B. Effects of short-term application of chemical and organic fertilizers on bacterial diversity of cornfield soil in a karst area. J. Soil Sci. Plant Nut. 2020, 20, 2048–2058. [Google Scholar] [CrossRef]
- Rahman, M.S.; Schefe, C.; Weatherley, A. The combined addition of citric and aromatic organic acids to an acid soil prolongs phosphorus availability. Soil Sci. Soc. Am. J. 2023, 87, 797–807. [Google Scholar] [CrossRef]
- Wakelin, S.A.; Colloff, M.J.; Harvey, P.R.; Marschner, P.; Gregg, A.L.; Rogers, S.L. The effects of stubble retention and nitrogen application on soil microbial community structure and functional gene abundance under irrigated maize. FEMS Microbiol. Ecol. 2007, 59, 661–670. [Google Scholar] [CrossRef]
- Wu, L.N.; Jiang, Y.; Zhao, F.Y.; He, X.F.; Liu, H.F.; Yu, K. Increased organic fertilizer application and reduced chemical fertilizer application affect the soil properties and bacterial communities of grape rhizosphere soil. Sci. Rep. 2020, 10, 9568. [Google Scholar] [CrossRef]
- Tanunchai, B.; Ji, L.; Schroeter, S.A.; Wahdan, S.; Hossen, S.; Delelegn, Y.; Buscot, F.; Lehnert, A.S.; Alves, E.G.; Hilke, I.; et al. Fungaltraits vs. Funguild: Comparison of ecological functional assignments of leaf- and needle-associated fungi across 12 temperate tree species. Microb. Ecol. 2023, 85, 411–428. [Google Scholar] [CrossRef]
- Mukherjee, P.K.; Mendoza-Mendoza, A.; Zeilinger, S.; Horwitz, B.A. Mycoparasitism as a mechanism of trichoderma-mediated suppression of plant diseases. Fungal Biol. Rev. 2022, 39, 15–33. [Google Scholar] [CrossRef]
- Ibrahim, M.M.; Zhang, H.X.; Guo, L.M.; Chen, Y.L.; Heiling, M.; Zhou, B.Q.; Mao, Y.L. Biochar interaction with chemical fertilizer regulates soil organic carbon mineralization and the abundance of key C-cycling-related bacteria in rhizosphere soil. Eur. J. Soil Biol. 2021, 106, 103350. [Google Scholar] [CrossRef]
- Xie, S.Y.; He, X.Y.; Ali Alshehri, M.; Abou-Elwafa, S.F.; Zhang, T. Elevated effect of hydrothermal treatment on phosphorus transition between solid-liquid phase in swine manure. Results Eng. 2024, 24, 102887. [Google Scholar] [CrossRef]
- Liu, G.; Xu, Q.; Abou-Elwafa, S.F.; Ali Alshehri, M.; Zhang, T. Hydrothermal carbonization technology for wastewater treatment under the “Dual Carbon” goals: Current status, trends, and challenges. Water 2024, 16, 1749. [Google Scholar] [CrossRef]
- Dominchin, M.F.; Verdenelli, R.A.; Berger, M.G.; Aoki, A.; Meriles, J.M. Impact of N-fertilization and peanut shell biochar on soil microbial community structure and enzyme activities in a Typic Haplustoll under different management practices. Eur. J. Soil Biol. 2021, 104, 103298. [Google Scholar] [CrossRef]
- Neina, D. The role of soil pH in plant nutrition and soil remediation. Appl. Environ. Soil Sci. 2019, 5794869. [Google Scholar] [CrossRef]
- Azeem, M.; Hayat, R.; Hussain, Q.; Tahir, M.I.; Imran, M.; Abbass, Z.; Sajid, M.; Latif, A.; Irfan, M. Effects of biochar and NPK on soil microbial biomass and enzyme activity during 2 years of application in the arid region. Arab. J. Geosci. 2019, 12, 311. [Google Scholar] [CrossRef]
















| Parameters | Measured Value | Agricultural Standard | Detection Basis |
|---|---|---|---|
| pH | 8.2 | 5.5–8.5 | GB/T 6920 [15] |
| Cadmium | 0.00014 mg/kg | ≤0.04 mg/kg | GB/T 23349 [16] |
| Mercury | <0.00004 mg/kg | ≤0.4 mg/kg | GB/T 23349 [16] |
| Arsenic | 0.0028 mg/kg | ≤0.3 mg/kg | GB/T 23349 [16] |
| Lead | 0.0153 mg/kg | ≤1.2 mg/kg | GB/T 23349 [16] |
| Copper | 0.1 mg/kg | ≤1 mg/kg | GB 7475 [17] |
| Zinc | 0.666 mg/kg | ≤2 mg/kg | GB 7475 [17] |
| Soil Layer | Group | Treatment | H2O-P (mg/kg) | NaHCO3-P (mg/kg) | NaOH-P (mg/kg) | HCl-P (mg/kg) | Residual-P (mg/kg) | ||
|---|---|---|---|---|---|---|---|---|---|
| Pi | Po | Pi | Po | ||||||
| 0–20 cm | T1 | CK | 3.30 c | 34.67 a | 14.17 b | 147.2 a | 45.12 a | 611.79 a | 115.4 bc |
| C1 | 4.45 ab | 31.23 a | 24.64 ab | 151.2 a | 64.12 a | 706.05 a | 128.2 b | ||
| C2 | 5.75 a | 40.24 a | 36.21 a | 145.6 a | 71.40 a | 615.06 a | 106.2 c | ||
| C3 | 5.82 a | 41.4 a | 27.47 ab | 198.4 a | 57.92 a | 616.64 a | 153.8 a | ||
| C4 | 4.49 ab | 30.37 a | 22.61 ab | 150.7 a | 50.48 a | 798.24 a | 120.7 bc | ||
| C5 | 3.68 c | 30.33 a | 24.40 ab | 181.4 a | 65.80 a | 668.63 a | 148.3 a | ||
| T2 | CK | 2.99 b | 27.91 b | 17.28 a | 164.56 c | 72.04 a | 555.54 b | 132.41 b | |
| C1 | 2.39 b | 41.03 a | 15.15 a | 219.36 ab | 89.27 a | 585.06 ab | 185.18 a | ||
| C2 | 8.80 a | 43.72 a | 12.47 a | 194.68 bc | 43.40 ab | 706.63 ab | 142.87 b | ||
| C3 | 6.38 a | 38.86 ab | 10.75 a | 175.36 bc | 33.60 b | 722.83 ab | 125.39 b | ||
| C4 | 6.06 a | 43.52 a | 12.63 a | 265.92 a | 41.40 ab | 606.48 ab | 184.40 a | ||
| C5 | 7.24 a | 42.43 a | 13.68 a | 177.01 bc | 17.68 b | 759.30 a | 116.80 b | ||
| T3 | CK | 4.45 b | 29.71 b | 7.20 b | 177.48 bc | 11.48 a | 519.07 b | 113.36 ab | |
| C1 | 7.28 b | 34.37 ab | 9.93 b | 195.64 abc | 11.28 a | 647.01 ab | 124.14 ab | ||
| C2 | 9.06 a | 30.76 ab | 17.06 a | 233.80 ab | 28.76 a | 591.43 ab | 157.55 a | ||
| C3 | 5.43 b | 27.58 b | 12.01 ab | 150.44 b | 23.12 a | 604.75 ab | 104.15 b | ||
| C4 | 6.03 b | 45.18 a | 14.64 ab | 259.64 a | 21.08 a | 536.44 b | 163.64 a | ||
| C5 | 5.69 b | 34.24 ab | 13.73 ab | 178.64 bc | 26.96 a | 709.52 a | 123.36 ab | ||
| 20–40 cm | T1 | CK | 0.285 c | 9.86 b | 10.02 b | 48.9 bc | 23.76 a | 434.64 abc | 46.85 a |
| C1 | 1.055 b | 14.5 b | 13.41 b | 64.18 abc | 26.54 a | 378.37 bc | 58.72 a | ||
| C2 | 2.7 a | 27.02 a | 21.37 a | 82.83 a | 26.64 a | 542.31 a | 71.21 a | ||
| C3 | 0.86 bc | 10.03 b | 10.14 b | 48.47 bc | 25.01 a | 490.90 ab | 47.32 a | ||
| C4 | 0.635 bc | 8.07 b | 10.01 b | 44.29 c | 23.67 a | 467.98 ab | 43.73 a | ||
| C5 | 1.345 a | 11.85 b | 11.04 b | 76.97 ab | 16.51 a | 295.01 c | 61.22 a | ||
| T2 | CK | 1.535 ab | 7.27 b | 14.92 a | 58.32 bcd | 17.64 b | 402.72 a | 57.31 b | |
| C1 | 0.51 b | 12.84 b | 25.71 a | 87.02 ab | 10.42 b | 389.98 a | 64.97 b | ||
| C2 | 4.70 a | 8.27 b | 13.01 a | 33.18 d | 26.09 ab | 521.39 a | 39.52 b | ||
| C3 | 1.99 ab | 8.50 b | 10.74 a | 40.93 cd | 24.66 ab | 451.92 a | 43.73 b | ||
| C4 | 2.22 ab | 13.97 a | 7.08 b | 115.72 a | 30.66 a | 432.82 a | 77.61 a | ||
| C5 | 1.33 b | 14.63 a | 6.41 b | 76.96 bc | 19.94 b | 449.03 a | 57.94 b | ||
| T3 | CK | 0.645 a | 11.94 a | 6.70 a | 58.95 ab | 11.23 a | 378.41 a | 60.12 ab | |
| C1 | 1.225 a | 16.45 a | 5.95 a | 67.12 ab | 34.77 a | 428.19 a | 67.93 ab | ||
| C2 | 2.475 a | 9.36 a | 4.14 ab | 76.75 a | 34.53 a | 389.45 a | 54.19 ab | ||
| C3 | 2.165 a | 10.75 a | 9.57 a | 28.15 b | 25.03 a | 425.88 a | 35.46 b | ||
| C4 | 1.94 a | 9.93 a | 8.11 a | 96.87 a | 16.96 a | 455.39 a | 75.89 a | ||
| C5 | 0.715 a | 15.42 a | 3.90 b | 83.25 a | 17.16 a | 385.35 a | 60.28 ab | ||
| Bacterial | Treatment | OTUs | Diversity index | Effective strip number | ACE | ||
| Shannon index | Chao1 index | Simpson index | |||||
| R1 | 4719 | 10.04 | 5162.26 | 0.997 | 1.14 × 105 | 5245 | |
| R2 | 4564 | 9.97 | 5040.42 | 0.997 | 1.12 × 105 | 5111 | |
| R3 | 4408 | 9.81 | 4823.25 | 0.996 | 1.11 × 105 | 4892 | |
| R4 | 4637 | 10.01 | 5113.22 | 0.997 | 1.14 × 105 | 5191 | |
| R5 | 4642 | 9.99 | 5085.44 | 0.997 | 1.17 × 105 | 5195 | |
| R6 | 4750 | 10.02 | 5204.74 | 0.997 | 1.16 × 105 | 5279 | |
| Fungi | Treatment | OTUs | Diversity index | Effective strip number | ACE | ||
| Shannon index | Chao1 index | Simpson index | |||||
| R1 | 992 | 5.486 | 1098.84 | 0.935 | 1.14 × 105 | 1116 | |
| R2 | 1101 | 5.437 | 1214.37 | 0.927 | 1.09 × 105 | 1229 | |
| R3 | 843 | 5.729 | 926.71 | 0.955 | 1.11 × 105 | 942 | |
| R4 | 809 | 5.416 | 901.75 | 0.936 | 1.11 × 105 | 923 | |
| R5 | 782 | 4.683 | 877.65 | 0.872 | 1.16 × 105 | 903 | |
| R6 | 823 | 5.092 | 927.11 | 0.918 | 1.11 × 105 | 948 | |
Disclaimer/Publisher’s Note: The statements, opinions and data contained in all publications are solely those of the individual author(s) and contributor(s) and not of MDPI and/or the editor(s). MDPI and/or the editor(s) disclaim responsibility for any injury to people or property resulting from any ideas, methods, instructions or products referred to in the content. |
© 2025 by the authors. Licensee MDPI, Basel, Switzerland. This article is an open access article distributed under the terms and conditions of the Creative Commons Attribution (CC BY) license (https://creativecommons.org/licenses/by/4.0/).
Share and Cite
Pu, M.; Zhang, Y.; Mukherjee, S.; Alharbi, S.F.; Singh, R.K.; Abou-Elwafa, S.F.; Trindade, H.; Zhang, T. Impact of Combined Application of Swine Manure Liquid and Phosphorus Fertilizers on Soil Phosphorus and Microbial Communities. Sustainability 2025, 17, 2037. https://doi.org/10.3390/su17052037
Pu M, Zhang Y, Mukherjee S, Alharbi SF, Singh RK, Abou-Elwafa SF, Trindade H, Zhang T. Impact of Combined Application of Swine Manure Liquid and Phosphorus Fertilizers on Soil Phosphorus and Microbial Communities. Sustainability. 2025; 17(5):2037. https://doi.org/10.3390/su17052037
Chicago/Turabian StylePu, Mingjun, Yingyu Zhang, Santanu Mukherjee, Saif F. Alharbi, Rupesh Kumar Singh, Salah F. Abou-Elwafa, Henrique Trindade, and Tao Zhang. 2025. "Impact of Combined Application of Swine Manure Liquid and Phosphorus Fertilizers on Soil Phosphorus and Microbial Communities" Sustainability 17, no. 5: 2037. https://doi.org/10.3390/su17052037
APA StylePu, M., Zhang, Y., Mukherjee, S., Alharbi, S. F., Singh, R. K., Abou-Elwafa, S. F., Trindade, H., & Zhang, T. (2025). Impact of Combined Application of Swine Manure Liquid and Phosphorus Fertilizers on Soil Phosphorus and Microbial Communities. Sustainability, 17(5), 2037. https://doi.org/10.3390/su17052037

