Abstract
This paper presents a new two-stage approach for suppressing strong clutter and detecting moving targets using scatterers’ spatial structure and signal similarity. Compared with the traditional strong clutter suppression methods, the proposed method considers both the spatial similarity and the channel correlation of the scatterers, effectively alleviating the false alarm probability and avoiding the missed detection problem caused via identifying strong moving targets as strong stationary clutter. Additionally, a detector is presented based on the linear degree of the radial velocity interferometric phase (LDRVP) to eliminate false alarms from isolated strong scatter points and the edges of strong scatterers. The experimental results of the X-band radar indicate the presented approach’s lower false alarm probability and superior robustness.
1. Introduction
Airborne multi-channel along-track interferometry synthetic aperture radar (ATI-SAR) has become an essential method for slow ground-moving target identification due to its high flexibility, short revisit time, low cost, long coherent accumulation time, and high spatial freedom. ATI-SAR combines space, time, and frequency dimensions [,,] to attain excellent clutter suppression. Multi-channel ATI-SAR can realize slow target detection, considering the multi-channel clutter suppression and the interferometric phase sensitivity to the target’s radial velocity. Compared with pulse Doppler radar, the long-term coherent accumulation of SAR can enhance the output signal-to-noise ratio (SNR) of moving targets, thereby improving the moving targets’ identification capability [,,,]. However, since traditional SAR imaging methods are constructed for stationary targets in the observation scene, directly using them to image moving targets will cause the loss of coherent accumulation gain of moving targets due to parameter mismatch, reducing the SNR of moving targets in SAR images and leading to missed detection. In addition, decorrelation factors such as channel inconsistency, speckle fluctuation noise, motion compensation residuals, non-stationarity clutter, and across-track baseline caused by changes in flight posture reduce the clutter suppression effect and aggravate the estimation error of the moving target’s interferometric phase. A low signal-to-clutter ratio (SCR) scenario mainly provides a high false alarm probability (FPA). Furthermore, the slow target has been seriously missed, and moving target identification and parameter estimation efficiency have deteriorated.
Multichannel approaches like displaced phase center antenna (DPCA) [,,], ATI-SAR [,,], space-time adaptive processing (STAP) [,], the degree of radial velocity consistency (DRVC) [], and robust principal component analysis (RPCA) [,] have been extensively employed to identify slowly moving targets. However, the residual energy of the strong scatterer is still significant after clutter suppression by the above algorithms. In the absence of prior information, the above approaches cannot remove the false alarm targets caused by the residual energy of strong clutter [,].
The multi-channel receiving antennas of the along-track interferometric radar system are distributed along the flight direction of the platform. The multi-channel receiving antennas observe the target area with the same viewing angle, and the time interval between channels to acquire data samples is small, usually in the order of milliseconds [,,,]. The scattering characteristics of the scatterers in the scene remain constant during the very short time interval required for the SAR system to cover the baseline length, and can be considered isotropic and coherent during the coherent accumulation time [,]. Therefore, the SAR images acquired by multiple channels have a substantial time/spatial correlation. For strong stationary scatterers with high clutter to noise ratio [], the correlation coefficient and the interferometric phase are close to one and zero, respectively. For a moving target, unlike the static scatterer, the interferometric phase generated by the radial motion of the target is linear with the baseline length [,].
Fortunately, the strong scatterers are mainly artificial (like houses, stationary vehicles, and bridges). Such scatterers’ pixels in the SAR image have a continuous spatial framework, high structure and signal similarity, large amplitude, high inter-channel correlation, and a small interferometric phase [,,]. Therefore, the clutter suppression efficiency can be improved by fusing prior information, such as the scatterers’ spatial structure and the correlation and interferometric phase. In order to realize the mentioned assumption, a two-stage moving target identification approach using scatterers’ spatial structure and signal similarity is presented to resolve the difficulties of high FAP and missing moving targets detected by traditional SAR-GMTI methods in strong scattering scenarios. First, the prior information, such as spatial structure, signal intensity, interferometric phase, and correlation between channels of scatterers, are fused to construct a similarity detector. According to the detection results, the pixel positions of strong scatterers in the scene can be accurately marked to suppress strong clutter. The method considers both the amplitude and the interferometric phase when constructing the similarity detector to avoid the missed detection problem caused by the traditional method of identifying strong moving targets as strong stationary clutter. However, due to the low similarity of the edge of the strong scatterers and the isolated strong scatter to the surrounding pixels, false alarms will be generated after processing in stage I. In order to resolve the issue, the current paper constructs a LDRVP-based detection method using the linear relation between the multi-channel interferometric phases caused by the moving target. The two-stage processing above can efficiently alleviate the FAP and improve the target detection probability.
The rest of the paper is arranged as follows. Section 2 presents the multi-channel SAR-GMTI’s system geometry and signal model. Section 3 illustrates the details of the presented two-stage approach. The overall flowchart of the presented approach is provided in Section 4. Section 5 verifies the efficiency of the presented approach by the actual data acquired through a four-channel airborne ATI-SAR system. Finally, Section 6 summarizes the presented approach based on the experimental results.
2. Geometry and Signal Model
2.1. Geometry
Figure 1 presents the multi-channel SAR-GMTI system’s observation geometry. The radar operates in the forward side-looking mode and flies in a straight line along with the track orientation (X-axis direction) at speed , and the flight altitude is H. The system distributes channels along the track direction, and the spacing between adjacent channels is d. The leftmost channel works as a sending and receiving channel. In contrast, the remaining channels are only utilized to receive signals. In order to facilitate the analysis, the terrain relief is ignored, and it is considered that the moving target accelerates uniformly in the horizontal plane, and the acceleration vector is , where denotes the vector transpose. Let be the slow time variable. When , the target’s coordinate is , and the initial velocity vector is . Then, the instantaneous coordinate of the moving target can be described as follows []:
Figure 1.
The multichannel SAR-GMTI’s observation geometry.
Based on the geometric structure between the radar and the moving target, the instantaneous range from the center of the transmitting channel and the receiving channel to the moving target can be described as follows [,]:
where denotes the spacing between the channel and the transmitting channel.
Consider a target with relatively stable motion characteristics over the synthetic aperture time. When , the Taylor series expansion of around can be written as follows (after ignoring the third-order and higher-order terms) []:
2.2. Signal Model
The chirp signal is utilized as the sending one. After range compression, the echo signals received by the channel can be described as follows []:
where describes the echo’s intensity; describes the sampling time; describes the speed of light; describes the transmitted signal’s frequency bandwidth; indicates the carrier frequency; and indicates the signal envelope in the azimuth direction.
From the equivalent phase center concept [], the antenna phase center of the receiving channel is equivalent to the center of the reference and receiving channels. Using the range from the target to the reference antenna to represent , we can obtain [,]:
After co-registration versus the reference channel in azimuth orientation, there exists such that the equivalent slant distance of the channel can be described as []:
where represents the time delay of observation of the same target caused by the azimuth baseline between channel and the reference channel.
When the moving target’s acceleration in the cross-orientation and the speed along with the track direction are slight, after the correction of time delay and equivalent phase center, the following relation can be obtained by inserting Equations (3) and (5) into Equation (6) [,]:
According to Equation (7), there is a linear relation between the interference phases of different channels. The same azimuth matching function is utilized to compress the azimuth of each channel. After image registration, the image of the channel can be represented by the image of the reference channel as [,]
For a moving target, the interferometric phase between the image of the channel and the reference one is [,]:
where denotes the function that takes the phase of a complex number; the asterisk * represents the complex conjugate; and represents the moving target’s radial velocity.
The moving target and stationary clutter’s spatial steering vectors in the complex image domain can be described as follows [,]:
where denotes a complex column vector with elements.
In high-resolution SAR images, moving targets may occupy multiple pixels. Thus, the vector composed of the pixel of channels in a non-uniform clutter environment can be described as follows:
where represents a complex vector comprising the pixel of M channels; describes the interferometric phase induced by the moving target’s radial velocity; and describes the moving target’s spatial steering vector. The complex number can represent the moving target’s reflectance and indicates the texture characteristic representing the clutter oscillation. represents the stationary ground clutter, and represents the white noise signal. Hypotheses and indicate the lack and existence of the moving target, respectively.
3. The Proposed Algorithm
3.1. Stage I: Strong Clutter Suppression
Due to the influence of system errors and noise, the strong scatterer clutter’s residual energy is still substantial after the clutter alleviation processing, which will result in numerous false alarms. Without prior information, removing the false alarm induced by strong clutter poses a challenge. In order to solve this problem, a similarity detector is constructed by combining the prior information, such as spatial structure, signal intensity, interferometric phase, and correlation between channels of scatterers According to the detection results, the pixel positions of strong scatterers can be accurately marked to suppress strong clutter. The presented approach considers both the amplitude and the interferometric phase when constructing the similarity detector, avoiding the missed detection problem caused by the traditional method of identifying strong moving targets as strong stationary clutter.
The cross-correlation coefficient between channels can be estimated as follows []:
where describes the number of neighborhood pixels employed in calculating the cross-correlation coefficient.
For the current pixel , the assumption of strong clutter determination based on the correlation coefficient can be expressed as:
The amplitude threshold is the position of the peak of the statistical histogram of the intensity of the complex correlation coefficient. The phase threshold is the position of the peak of the statistical histogram of the phase of the complex correlation coefficient.
When the assumption is satisfied for each pixel in the SAR image, it is preliminarily considered that the pixel is not a strong scatterer. In contrast, when the assumption is satisfied, the pixel is preliminarily considered a strong scatterer.
The strong scatterers’ structure, intensity, and phase information can be combined to calculate the similarity between the pixel to be detected and its surrounding pixels Therefore, the mathematical model can be established as follows []:
where describes the intensity of each image pixel; and describes the spatial correlation between the pixel to be detected and the surrounding ones, indicated by the scatterer’s geometry and spatial distribution.
As shown in Equation (14), a strong clutter detector is constructed that simultaneously considers image intensity, spatial structure, and interferometric phase.
For a SAR system with channels, the image of channel 1 is employed as the reference image. For the pixel whose coordinate is (), the difference between the pixel of channel 1 (as shown in the red square in Figure 2) and the neighboring pixels at the same position in other channels (as shown in the orange square in Figure 2) is adopted to estimate the spatial and signal similarity.
Figure 2.
Spatial similarity estimation vector.
Compared with the similarity estimation method that only employs the amplitude, the presented approach considers both the amplitude and the interferometric phase, which avoids misidentifying strong moving targets as the background clutter.
The spatial and signal similarity can be calculated based on a multi-channel SAR complex image as follows []:
where is the complex vector composed of the neighborhood pixels of the 2nd to channels. is to take the maximum value function, is to take the minimum function, and is to take the amplitude function.
Performing CFAR detection on the similarity calculated by Equation (14) can mark the pixel positions occupied by strong scatterers to achieve clutter suppression of strong scatterers.
3.2. Stage II: LDRVP-Based Detector
In practice, the edge of the strong scatterer or the isolated strong scatter point is at the junction of the strong and weak pixels, and the similarity with the surrounding pixels is lower. The stage I processing cannot suppress the false alarms generated by these pixels alone. In order to resolve the issue, a detection approach using the linear compatibility of the interferometric phase is proposed to distinguish strong clutter from moving targets to eliminate false alarms caused by the boundary of the area scatterer and insular strong scatter.
The residual images obtained by subtracting adjacent channel SAR images can be described as follows:
The pixel in Equation (16) is interfered with two adjacent images to obtain the interferograms. The phase of the pixel in the interferogram is obtained by Equation (17):
For a target occupying pixels, the pixel phase of the target region in the images interferogram can be expressed as follows:
where is a real matrix with rows and columns.
Considering the interferometric phase entanglement, Equation (18) is transformed into the Euler domain [] to obtain:
where is a complex matrix with rows and columns.
Therefore, the moving object detector using multi-baseline interferometric phase linearity consistency can be described as follows:
The elements of are identical in uniform situations, such as, . The detector describes the compatibility between and the spatial steering vector . The novel identification approach considers the velocity compatibility of moving targets and utilizes the linear features of the multi-channel interference phase of moving targets. The moving target’s interferometric phase meets the linear relationship under the moving targets, while the value of β is near 1. In contrast, the interferometric phase does not meet the linear relationship under the existence of only clutter, and the value of β is considerably smaller than 1.
According to the mentioned discussion, the following hypothesis test can be defined as:
where describes the identification threshold. The detection threshold can be calculated numerically using the position corresponding to the peak of the statistical histogram of in the target region. If exceeds , a moving target exists; otherwise, the moving target does not exist. In reality, attaining analytical relations of FAP and identification threshold is challenging. Accordingly, the identification threshold is obtained through the histogram fitting.
The ATI phase and radial velocity’s maximum likelihood can be estimated as follows:
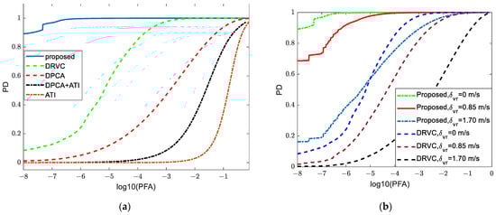
In order to demonstrate the efficiency of the presented approach, this paper compares four traditional identification approaches (ATI, DPCA, DPCA + ATI, and DRVC) in similar simulation situations. In order to reflect the rationality of the experiment, when using DPCA, ATI, and DPCA + ATI algorithms, we perform mean and maximum operations on the data of all channels []. Figure 3a presents the ROCs of five approaches attained by the Monte Carlo simulator. As presented in Figure 3a, the proposed approach can attain the maximum identification probability considering the linear features of the interferometric phase between channels.
Figure 3.
The efficiency analysis under hypothesis . (a) ROC of five identification approaches attained by Monte Carlo simulations; (b) ROC of two identification approaches with various values of .
The current work considers that the motion features of the moving target’s components are compatible over the synthetic aperture time. Nevertheless, in experimental conditions, parameters like terrain oscillations, target rotation, and quick maneuvers will degrade the target motion compatibility. Thus, the impact of radial velocity oscillation on identification efficiency should be verified. Figure 3b presents the results of the proposed and DRVC approaches with various velocity standard deviation . As increases, the identification probabilities of the presented detector and DRVC approach reduce. Nevertheless, the decline in the DRVC approach is more significant, indicating that the presented approach has superior speed robustness, and can better adapt to the moving target with inevitable velocity fluctuation.
The DRVC algorithm only considers the stability of moving targets between adjacent pixels. In contrast, the proposed algorithm considers the spatial structure of strong scatterers, the correlation between multiple channels in clutter suppression, the stability of target motion characteristics and the linear characteristics of the interferometric phase between channels in target detection. This demonstrates the superiority of the proposed algorithm to the DRVC algorithm.
4. Algorithm Implementation and Computational Complexity Analysis
4.1. Algorithm Implementation
The current paper proposes a two-stage moving target detection method based on spatial structure, signal similarity, and LDRVP. First, Equations (13) and (14) are utilized to suppress the strong scatterers. Second, the proposed interferometric phase linear consistency method eliminates the false alarms caused by strong scatterer edges and isolated strong scatterers.
As shown in Figure 4, the flowchart of the presented approach mainly includes four steps. The particular implementation algorithm is described as follows:
Figure 4.
The flowchart of the presented approach. The red square denotes the pixels of the moving targets detected, and the green square denotes the pixels of false alarms.
Step 1: Preliminary selection based on correlation coefficient
The proper amplitude threshold and phase threshold of the correlation coefficient are chosen based on the correlation coefficient’s statistical histogram. When the amplitude of the pixel to be detected exceeds , and the phase is less than , then the pixel is regarded as a strong scatterer.
Step 2: Spatial and signal similarity estimation
The spatial and signal similarities are calculated for the pixels selected in Step 1 to derive the structure data of all of the strong scatterers.
Step 3: Strong scatterer suppression
CFAR detection is performed on the similarity obtained in Step 2 to obtain the position information of pixels occupied by strong scattering questions. In Figure 4, “1”means a strong clutter pixel, and “0” means the pixel may contain moving objects.
Step 4: Moving target detection using LDRVP
The interferometric phase’s linear consistency of each detection result in Step 3 and surrounding pixels is calculated according to Equation (20). CFAR detection is performed according to the set threshold, and the strong clutter false alarm in the identification results of the previous step is eliminated (the green box in Figure 4 represents the strong clutter false alarm) to attain the final identification result.
4.2. Computational Complexity Analysis
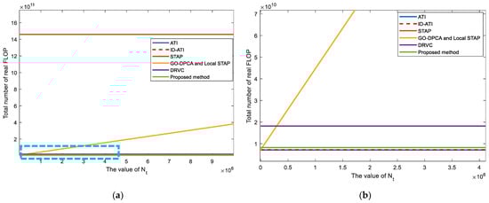
In order to illustrate the computational complexity, we compare the floating point operation (FLOP) of the six algorithms. Table 1 shows the amount of computation for each critical step of the six algorithms. and denote the number of pixels in the SAR image. denotes the number of channels. is the number of radial velocity when researching the maximum test statistics in each pixel. denotes the pixels contained in the potential target. denotes the number of pixels contained in the sample window selected to calculate the covariance matrix. denotes the number of pixels contained in a single target. denotes the pixels contained in the strong background clutter. represents the number of pixels that the potential target contains after strong background clutter are eliminated.
Table 1.
Computational complexity of six methods.
We plot the FLOP curves of six methods according to Table 1 with , , , , , , , and . Figure 5a shows that the computational complexity of STAP is much higher than that of the other five algorithms. The Figure 5b is a local magnification of the blue box area in Figure 5a. It can be seen from Figure 5b that the FLOP number of the proposed algorithm is slightly higher than ATI and ID-ATI [], but all of them are in the order of 109.Therefore, the proposed method does not increase the computational complexity significantly.
Figure 5.
Comparison of six algorithms’ computational complexity. (a) The FLOP curves of six methods; (b) local magnification of the blue box area.
In summary, strong clutter suppression and moving target detection are achieved using two-stage processing. After the above processing, the proposed method can effectively reduce the false alarm targets caused by strong clutter and improve the detection performance of weak targets without significantly increasing the computational complexity.
5. Experimental Results
The current paper evaluates the performance of the presented approach using an airborne X-band radar system with four channels. The essential parameters are presented in Table 2.
Table 2.
The essential parameters of the system.
Figure 6a presents the experimental platform. The region illuminated by the radar contains abundant ground properties (such as buildings, country paths, groves, paddy farms, and other physiognomies with different scattering configurations) to further evaluate the presented approach’s adaptability. The experiment employs the three tricycles (as shown in Figure 6b) as the cooperative target to evaluate the presented approach’s efficiency.
Figure 6.
Platform and cooperative targets. (a) The airplane employed in the test; (b) the cooperative targets.
Figure 6 presents the observation scene’s SAR image, where the three cooperative targets are marked with red rectangular boxes, denoted as T1, T2, and T3, respectively. Figure 7 illustrates that the moving targets are defocused, and their coordinates in the SAR image deviate from the actual positions.
Figure 7.
The SAR image of the observation scene.
5.1. Experiment A: Strong Scatterer Suppression out Moving Target Region
The strong scatterer area in the yellow box (as shown in Figure 7) is chosen as the study object to evaluate the efficiency of the presented method in Section 3.1. This area is a factory building with a metal roof, as illustrated in Figure 8a. Figure 8b,c show the coherence coefficients between two adjacent channels and their statistical histograms, respectively. These figures demonstrate that the strong scattering region’s correlation coefficient is relatively high, and the correlation coefficient of the peak value of the statistical histogram is about 0.9999. Figure 8d,e describe the interferometric phase and its statistical histogram, respectively. The interferometric phase in the strong scattering region fluctuates around zero, and the interferometric phase at the peak of the statistical histogram is just 0.001 rad. The above results verify that the strong scattering region has a significant amplitude, continuous spatial framework, large amplitude, high inter-channel correlation, and small interferometric phase.

Figure 8.
Characteristic analysis of strong scatterers. (a) Strong scatterer; (b) correlation coefficient; (c) the correlation coefficient’s statistical histograms; (d) interferometric phase; (e) statistical histograms of the interferometric phase; (f) the DPCA result.
Figure 8f describes the clutter suppression result using the DPCA approach. The pixel intensity in the strong scatterer area is 20 dB higher than in the surrounding weak scattering area. Many false alarm targets will appear after directly applying the CFAR test to the DPCA processing result, as shown in Figure 9a (the red points in the figure highlight the detected false alarm targets). The pixel positions of strong scatterers extracted by Equations (13) and (14) are presented in Figure 9b (the yellow points in the figure highlight the pixel positions of strong scatterers). The presented approach can accurately mark the strong scatterers’ pixel positions in the scene. Figure 9c,d show the clutter suppression effect and detection results after removing the strong scatterer pixels, respectively. The number of false alarm targets identified by the proposed approach is considerably smaller than the detection results in Figure 8f, reflecting the presented approach’s ability to efficiently reduce the false alarm probability.
Figure 9.
Strong scatterer suppression out moving target region. (a) DPCA test results; (b) strong scatter location extraction results; (c) strong scatterer suppression results of the presented approach; (d) detection results of Stage I.
5.2. Experiment B: Strong Scatterer Suppression in the Moving Target Area
In order to evaluate the capability of the presented approach in preventing the missed detection problem induced by the traditional method of identifying strong moving targets as strong static clutter, an area containing both moving objects and strong clutter was chosen as the research object, as presented in Figure 10a. The pixels with higher intensity in the image are composed of strong clutter and moving targets. Figure 10b presents the DPCA result without strong clutter extraction. It can be seen that the clutter noise ratio of the strong scatterer is close to 25 dB after clutter elimination, indicating that it still has a strong residual energy. Performing CFAR detection directly on it will generate many false alarm targets.
Figure 10.
Strong scatterer suppression in the target region. (a) SAR image; (b) DPCA results.
In this experiment, the correlation coefficient threshold and the interference phase threshold are set as 0.99 and 0.15 rad when suppressing strong scatterers. Figure 11a shows the coordinates of the extracted strong scatterer only considering the amplitude and spatial structure. It is impossible to distinguish whether a pixel with strong energy is a clutter or a moving target by only considering the amplitude and spatial structure information, so the moving target is mistakenly rejected as strong clutter, eventually leading to the moving target’s missed identification. Figure 11b describes the pixel coordinates of the strong scatterers extracted by the presented approach, which simultaneously considers the amplitude, spatial structure, channel correlation, and interferometric phase information. Therefore, it can distinguish whether a pixel with strong energy is stationary clutter or a moving target, thereby avoiding misidentifying the strong moving target as stationary clutter.

Figure 11.
Strong scatterer suppression in the target region. (a) The clutter extracted by the method in []; (b) the strong scatterer clutter extracted by the presented approach; (c) the clutter alleviation results of the approach in []; (d) the clutter suppression results of the presented approach.
Figure 11c,d describe the clutter suppression results after removing the strong scatterers by the approach in [] and the presented approach, respectively. The presented approach retains the moving target when removing the strong scatterers. Unlike the method in [], the proposed method avoids the problem of erroneously treating strong moving targets as strong clutter, thereby reducing the missed detection probability of moving targets.
In this test, the FAP is chosen as . Figure 12a,b describe the identification results of the approach in [] and the presented approach, respectively. The red points in the figures highlight the identified target pixel. The image size is 301 (azimuth) × 401 (range). The number of pixels identified by the approach in [] is 212, of which the number of false alarm points is 41, and the target contains 171 pixels. The number of pixels identified by the presented approach is 357, of which the number of false alarm points is 8, and the target includes 349 pixels. Table 3 describes the specific detection results. The actual FAP is the ratio of the number of identified “false alarm pixels” to the total number of pixels in the image [,,,]. The FAP of the identification results of the two methods is and , respectively, demonstrating the presented approach’s ability to suppress the false alarm probability.
Figure 12.
The results of the two methods. (a) The approach in []; (b) the presented approach.
Table 3.
Comparing the test results.
5.3. Experiment C: Moving Target Detection Based on LDRVP
It should be noted that the detection results processed by the method in Section 3.1 still have false alarms at the boundaries of strong and isolated scatterers due to the low similarity of scatterer edges or isolated scatter points to surrounding pixels, as presented in Figure 9d and Figure 12b. In order to demonstrate the presented approach’s efficiency, four traditional identification approaches have been compared under the same simulation situations, as shown in Figure 3.
Figure 13 shows the results of clutter suppression and moving target detection for SAR images of the observed scene. As shown in Figure 13, the residual energy in the strong clutter region is still strong. Many false alarm targets will be generated when directly employing the traditional moving target detection method, as presented in the area in Figure 9a. However, the proposed method detects six targets, in which T1~T3 and Q1~Q3 are cooperative and non-cooperative, respectively. The results demonstrate the proposed method’s potential to reduce false alarm targets efficiently.
Figure 13.
Clutter suppression and moving target detection results for and .
Next, after adjusting various FAPs and the number of pixels contained in the target, it is demonstrated that the LDRVP-based identification approach has lower FAP and better robustness than existing methods. The curves in the number of targets identified by the proposed approach and the DRVC approach with are shown in Figure 14a. Figure 14b describes the number of targets identified by the proposed approach under different conditions. The presented method can converge at a smaller value than the DRVC method. When and , six targets are identified by the presented approach as shown in Figure 13, in which T1~T3 are cooperative targets and the remaining ones are non-cooperative. However, 37 moving targets are detected by the DRVC algorithm in the same data, while most are false alarm targets. The experimental results indicate the advantages of the presented approach in terms of lower FAP and better robustness.
Figure 14.
The number of detected targets in the X-band measured data. (a) DRVC and presented approach; (b) the curves of and detected target under different values of Pa.
6. Conclusions
This paper proposes a strong clutter alleviation and moving target detection method using scatterer spatial structure and signal similarity to address the high false alarm probability and the missed detection of moving targets caused by traditional SAR-GMTI methods in strong scattering environments. Compared with the conventional strong scatterer suppression approach, the proposed method considers both the scatterers’ spatial similarity and channel correlation, effectively alleviating the false alarm probability and avoiding the missed detection problem caused by identifying strong moving targets as strong stationary clutter. In addition, a detector using the interferometric phase’s linear consistency is proposed to remove the false alarms induced by the boundaries of strong area scatterers and isolated strong scatter points. The experimental results of the X-band radar indicate the presented approach’s fewer false alarms and superior robustness.
The existing algorithms assume the consistency of motion characteristics of each part of the moving target in the coherent integration time. However, in practical situations, terrain fluctuations, target rotation, and rapid maneuvers weaken the target motion’s consistency. Therefore, more complex motion models should be investigated in depth.
Author Contributions
Conceptualization, Q.D. and C.S. (Chong Song); Software, Q.D. and W.L.; Formal analysis, Q.D. and K.W.; Investigation, C.S. (Chong Song); Data curation, C.S. (Chen Song); Writing—original draft, Q.D.; Writing—review & editing, Q.D. and R.S.; Project administration, Q.D. and M.X.; Funding acquisition, B.W. All authors have read and agreed to the published version of the manuscript.
Funding
The current study was supported by the National Natural Science Foundation of China under Grant No.41971329.
Data Availability Statement
Data sharing is not applicable.
Acknowledgments
The authors would like to thank the staff of the National Key Laboratory of Microwave Imaging Technology, the Aerospace Information Research Institute, and the Chinese Academy of Sciences, for their valuable conversations and comments.
Conflicts of Interest
The authors declare no conflict of interest.
References
- Budillon, A.; Gierull, C.H.; Pascazio, V.; Schirinzi, G. Along-Track Interferometric SAR Systems for Ground-Moving Target Indication: Achievements, Potentials, and Outlook. IEEE Geosci. Remote Sens. Mag. 2020, 8, 46–63. [Google Scholar] [CrossRef]
- Zeng, C.; Li, D.; Luo, X.; Song, D.; Liu, H.; Su, J. Ground Maneuvering Targets Imaging for Synthetic Aperture Radar Based on Second-Order Keystone Transform and High-Order Motion Parameter Estimation. IEEE J. Sel. Top. Appl. Earth Obs. Remote Sens. 2019, 12, 4486–4501. [Google Scholar] [CrossRef]
- Huang, P.; Zhang, X.; Zou, Z.; Liu, X.; Liao, G.; Fan, H. Road-Aided Along-Track Baseline Estimation in a Multichannel SAR-GMTI System. IEEE Geosci. Remote Sens. Lett. 2021, 18, 1416–1420. [Google Scholar] [CrossRef]
- Wang, W.; An, D.; Luo, Y.; Zhou, Z. The Fundamental Trajectory Reconstruction Results of Ground Moving Target from Single-Channel CSAR Geometry. IEEE Trans. Geosci. Remote Sens. 2018, 56, 5647–5657. [Google Scholar] [CrossRef]
- Wang, X.; Gao, G.; Zhou, S.; Zou, H. A Clutter Suppression Approach for SAR-GMTI Based on Dual-Channel DPCA. J. Radars 2014, 3, 241–248. [Google Scholar]
- Li, Y.; Wang, Y.; Liu, B.; Zhang, S.; Nie, L.; Bi, G. A New Motion Parameter Estimation and Relocation Scheme for Airborne Three-Channel CSSAR-GMTI Systems. IEEE Trans. Geosci. Remote Sens. 2019, 57, 4107–4120. [Google Scholar] [CrossRef]
- Chen, H.; Wang, Z.; Gao, W.; Sun, H.; Lu, Y.; Li, Y. Knowledge-Aided Ground Moving Target Relocation for Airborne Dual-Channel Wide-Area Radar by Exploiting the Antenna Pattern Information. Remote Sens. 2021, 13, 4724. [Google Scholar] [CrossRef]
- Wang, Z.; Wang, Y.; Xing, M.; Sun, G.C.; Zhang, S.; Xiang, J. A Novel Two-Step Scheme Based on Joint GO-DPCA and Local STAP in Image Domain for Multichannel SAR-GMTI. IEEE J. Sel. Top. Appl. Earth Obs. Remote Sens. 2021, 14, 8259–8272. [Google Scholar] [CrossRef]
- Cerutti-Maori, D.; Sikaneta, I. A Generalization of DPCA Processing for Multichannel SAR/GMTI Radars. IEEE Trans. Geosci. Remote Sens. 2013, 51, 560–572. [Google Scholar] [CrossRef]
- Yi, C.; Bo, Q.; Shengli, W. DPCA motion compensation technique based on multiple phase centers. In Proceedings of the IEEE Cie International Conference on Radar, Chengdu, China, 24–27 October 2011. [Google Scholar] [CrossRef]
- Casalini, E.; Henke, D.; Meier, E. GMTI in Circular Sar Data Using STAP. In Proceedings of the 2016 Sensor Signal Processing for Defence (SSPD), Edinburgh, UK, 22–23 September 2016; pp. 1–5. [Google Scholar] [CrossRef]
- Hu, X.; Wang, B.; Xiang, M.; Wang, Z. A Novel Airborne Dual-Antenna InSAR Calibration Method for Backprojection Imaging Model. IEEE Access 2021, 9, 43001–43012. [Google Scholar] [CrossRef]
- Wang, X.; Deng, B.; Wang, H.; Qin, Y. Velocity estimation of moving target based on concatenated ATI and inverse radon transform in three-channel circular SAR. In Proceedings of the 2017 Progress in Electromagnetics Research Symposium—Fall (PIERS—FALL), Singapore, 19–22 November 2017; pp. 1613–1617. [Google Scholar] [CrossRef]
- Shu, Y.; Liao, G.; Yang, Z. Robust Radial Velocity Estimation of Moving Targets Based on Adaptive Data Reconstruction and Subspace Projection Algorithm. IEEE Geosci. Remote Sens. Lett. 2014, 11, 1101–1105. [Google Scholar] [CrossRef]
- Liu, B.; Yin, K.; Li, Y.; Shen, F.; Bao, Z. An Improvement in Multichannel SAR-GMTI Detection in Heterogeneous Environments. IEEE Trans. Geosci. Remote Sens. 2015, 53, 810–827. [Google Scholar] [CrossRef]
- Yang, D.; Yang, X.; Liao, G.; Zhu, S. Strong Clutter Suppression via RPCA in Multichannel SAR/GMTI System. IEEE Geosci. Remote Sens. Lett. 2015, 12, 2237–2241. [Google Scholar] [CrossRef]
- Li, J.; Huang, Y.; Liao, G.; Xu, J. Moving Target Detection via Efficient ATI-GoDec Approach for Multichannel SAR System. IEEE Geosci. Remote Sens. Lett. 2016, 13, 1320–1324. [Google Scholar] [CrossRef]
- Tian, M.; Yang, Z.; Xu, H.; Liao, G.; Wang, W. An enhanced approach based on energy loss for multichannel SAR-GMTI systems in heterogeneous environment. Digit. Signal Process. 2018, 78, 393–403. [Google Scholar] [CrossRef]
- Sheng, H.; Zhang, C.; Gao, Y.; Wang, K.; Liu, X. Dual-channel SAR moving target detector based on WVD and FAC. In Proceedings of the 2016 CIE International Conference on Radar (RADAR), Guangzhou, China, 10–13 October 2016; pp. 1–5. [Google Scholar] [CrossRef]
- Gierull, C.H.; Sikaneta, I.; Cerutti-Maori, D. Two-Step Detector for RADARSAT-2′s Experimental GMTI Mode. IEEE Trans. Geosci. Remote Sens. 2013, 51, 436–454. [Google Scholar] [CrossRef]
- Teng, F.; Hong, W.; Lin, Y. Aspect Entropy Extraction Using Circular SAR Data and Scattering Anisotropy Analysis. Sensors 2019, 19, 346. [Google Scholar] [CrossRef]
- Du, B.; Qiu, X.; Huang, L.; Lei, S.; Lei, B.; Ding, C. Analysis of the Azimuth Ambiguity and Imaging Area Restriction for Circular SAR Based on the Back-Projection Algorithm. Sensors 2019, 19, 4920. [Google Scholar] [CrossRef]
- Ge, B.; An, D.; Zhou, Z. Parameter Estimation and Imaging of Three-Dimensional Moving Target in Dual-Channel CSAR-GMTI Processing. In Proceedings of the 2020 IEEE Radar Conference (RadarConf20), Florence, Italy, 21–25 September 2020; pp. 1–5. [Google Scholar] [CrossRef]
- An, D.; Wang, W.; Zhou, Z. Refocusing of Ground Moving Target in Circular Synthetic Aperture Radar. IEEE Sens. J. 2019, 19, 8668–8674. [Google Scholar] [CrossRef]
- Shuxuan, C.; Limin, J.; Maosheng, X.; Lideng, W.; Pengbin, Z. Detection ground slow moving target by airborne Along- and Across-Track interferometric SAR. In Proceedings of the 2011 IEEE CIE International Conference on Radar, Chengdu, China, 24–27 October 2011; Volume 2, pp. 1623–1626. [Google Scholar] [CrossRef]
- Shuxuan, C. Ground Slow Moving Target Indication for Airborne Dual-antenna Interferometric SAR. Ph.D. Thesis, Graduate University of Chinese Academy of Sciences, Beijing, China, 2011. [Google Scholar]
- Dong, Q.; Wang, B.; Xiang, M.; Wang, Z.; Wang, Y.; Song, C. A Novel Detection Scheme in Image Domain for Multichannel Circular SAR Ground-Moving-Target Indication. Sensors 2022, 22, 2596. [Google Scholar] [CrossRef]
- Baselice, F.; Budillon, A.; Ferraioli, G.; Pascazio, V.; Schirinzi, G. Multibaseline SAR Interferometry from Complex Data. IEEE J. Sel. Top. Appl. Earth Obs. Remote Sens. 2014, 7, 2911–2918. [Google Scholar] [CrossRef]
- Budillon, A.; Evangelista, A.; Pascazio, V.; Schirinzi, G. Multi-baseline along track SAR interferometric systems for ground moving target indication. In Proceedings of the 2010 IEEE International Geoscience and Remote Sensing Symposium, Honolulu, HI, USA, 25–30 July 2010; pp. 2924–2927. [Google Scholar] [CrossRef]
- Gierull, C.H. Closed-Form Expressions for InSAR Sample Statistics and Its Application to Non-Gaussian Data. IEEE Trans. Geosci. Remote Sens. 2021, 59, 3967–3980. [Google Scholar] [CrossRef]
- Al, J.; Cao, Z.; Mao, Y.; Zhang, W.; Wang, F.; Jin, J. An Improved Bilateral CFAR Ship Detection Algorithm for SAR Image in Complex Environment. J. Radars 2021, 10, 499–515. [Google Scholar] [CrossRef]
- Leng, X.; Ji, K.; Yang, K.; Zou, H. A Bilateral CFAR Algorithm for Ship Detection in SAR Images. IEEE Geosci. Remote Sens. Lett. 2015, 12, 1536–1540. [Google Scholar] [CrossRef]
- Yue, D.X.; Xu, F.; Frery, A.C.; Jin, Y.Q. Synthetic Aperture Radar Image Statistical Modeling: Part One-Single-Pixel Statistical Models. IEEE Geosci. Remote Sens. Mag. 2021, 9, 82–114. [Google Scholar] [CrossRef]
- Qin, X.; Zhou, S.; Zou, H.; Gao, G. A CFAR Detection Algorithm for Generalized Gamma Distributed Background in High-Resolution SAR Images. IEEE Geosci. Remote Sens. Lett. 2013, 10, 806–810. [Google Scholar] [CrossRef]
- Silva, A.; Baumgartner, S.V.; Krieger, G. Training Data Selection and Update Strategies for Airborne Post-Doppler STAP. IEEE Trans. Geosci. Remote Sens. 2019, 57, 5626–5641. [Google Scholar] [CrossRef]
- D’Hondt, O.; Guillaso, S.; Hellwich, O. Iterative Bilateral Filtering of Polarimetric SAR Data. IEEE J. Sel. Top. Appl. Earth Obs. Remote Sens. 2013, 6, 1628–1639. [Google Scholar] [CrossRef]
Disclaimer/Publisher’s Note: The statements, opinions and data contained in all publications are solely those of the individual author(s) and contributor(s) and not of MDPI and/or the editor(s). MDPI and/or the editor(s) disclaim responsibility for any injury to people or property resulting from any ideas, methods, instructions or products referred to in the content. |
© 2023 by the authors. Licensee MDPI, Basel, Switzerland. This article is an open access article distributed under the terms and conditions of the Creative Commons Attribution (CC BY) license (https://creativecommons.org/licenses/by/4.0/).