Abstract
Low Earth orbit (LEO) satellites have unique advantages in navigation because of their high signal intensity and rapid geometric changes in a short period. In order to solve the problem of constellation performance degradation after a potential failure pertaining one or more medium Earth orbit (MEO) navigation satellites, this paper designs the LEO navigation constellation and considers the task requirements of different stages of constellation deployment. Firstly, the LEO navigation constellation is designed by a non-dominated sorting genetic algorithm II (NSGA-II). The average position dilution of precision (PDOP) is 1.676, which is an improvement compared to the average PDOP offered by the four traditional GNSS. Secondly, the staged deployment of constellation takes into account the degradation of constellation performance caused by the failure of MEO navigation satellites, and the Monte Carlo method is used to analyze the case of three simultaneous satellite failures. The results show that a single satellite failure within each orbital plane and adjacent satellites with close phase separation has a great impact on the performance of the MEO navigation constellation. On this basis, a staged deployment strategy was adopted in order to balance cost, risk, and performance. The three phases deploy 66, 156, and 288 satellites, respectively; as a make-up constellation under contingencies, a navigation enhancement constellation, and an independent navigation constellation, the deployment of the staged sub-constellations meets the mission requirements. The constellation design and staged deployment method proposed in this paper can provide reference for the future study of LEO navigation constellations.
    1. Introduction
With the continuous enhancement of user demand for satellite navigation performance, and in order to improve service performance, reliability, and international competitiveness of satellite navigation systems, countries have initiated the planning and development of next-generation navigation systems. The mass production of satellites, reuse of rockets, and maturity of multi-satellite and multi-orbit deployment technology have significantly reduced the deployment cost of constellations, presenting new opportunities for LEO navigation satellite constellations. LEO navigation constellations possess characteristics such as low signal delay and rapid geometric configuration changes, enabling independent navigation or augmentation of existing GNSS.
Constellation design methods mainly include analytical methods, simulation comparison methods, and intelligent optimization methods. The analytical method mainly utilizes the analytical nature of the objective function to find the optimal solution through mathematical tools. The number of satellites and constellation performance indexes of traditional constellation design is fewer, so it can start from the constellation mission requirements and obtain the analytic solution according to the satellite orbit characteristics. This kind of calculation is highly accurate and can seek the optimal solution. However, the mathematical model is complex, the calculation workload is large, and it is difficult to find the global optimal point when the objective function has multiple extreme value points. The simulation comparison method reflects the condition of the real system through the simulation program to obtain a more accurate assessment result. It is more flexible in constellation design and is no longer limited to a single configuration. The advantage is that it can reflect the condition of the real system to obtain more accurate evaluation results. However, it requires a larger cost of time and storage space and is suitable for schemes with fewer parameters and smaller solution space. The intelligent optimization method searches for the optimal solution by simulating the group behavior of natural organisms or introducing random variables. With the increase in constellation design parameters and the complexity of performance index requirements, the intelligent optimization method can be applied to various types of problems. The intelligent optimization method focuses on the diversity of the solution and the convergence speed of the balance. It can experimentally produce relatively good solutions, although it is not possible to verify whether the results obtained are optimal or not, and it is important to note that it may fall into a local optimal solution in the process of solving. Numerous scholars have used different types of intelligent optimization algorithms for constellation design, such as the genetic algorithm (GA) [], multi-objective genetic algorithm (MOGA) [], improved particle swarm optimization algorithm (HRPSO) [], ant colony optimization method [], elite-guided dynamic multi-objective differential evolutionary algorithm (DMODE-EG) [], Bayesian optimization algorithm [], and so on.
Huang et al. identified seven key attributes for the design of a constellation, including coverage, robustness, autonomous collision avoidance, configuration preservation, launch, deployment, and off-orbit disposal. These were simplified into multi-objective optimization problems to determine the optimal constellation on a global scale []. Han et al. utilized PDOP, the number of visible satellites, and orbital altitude as the objective functions. The multi-objective particle swarm optimization (MOPSO) algorithm was employed to optimize the design of three different configuration constellations: a single polar constellation, a single tilt constellation, and a hybrid configuration constellation. The findings indicate that the hybrid constellation exhibits superior coverage performance [].
Yang et al. conducted an analysis of the fundamental performance of the developing BeiDou Global Navigation Satellite System (BDS-3); proposed methodologies for enhancing positioning, navigation, and timing (PNT) services; and highlighted the BDS-3 as a core provider of PNT services to users in deep-space and deep-sea environments [,]. Additionally, they discussed how LEO constellations not only enhance the accuracy, continuity, and availability of PNT services but also improve their reliability, integrity, and security [,]. Guan et al. employed NSGA-III and GA to design LEO global independent navigation constellations as enhanced constellations. They introduced constellations with varying heights and numbers of near-polar constellations along with hybrid configuration constellations []. Liu et al. utilized the NSGA-III optimization algorithm to design LEO augmentation constellations comprising 177 and 186 satellites, demonstrating significant enhancements in GDOP, convergence time, and positioning accuracy performance for the hybrid constellation []. Ma et al. employed a genetic algorithm to design hybrid configuration constellations with varying total numbers of satellites, achieving uniform global coverage at 7°, 15°, and 20° elevation angles for LEO navigation enhancement []. Furthermore, NSGA-III was applied to optimize the design of two LEO navigation enhancement constellations: Polar/Walker (S1) and Walker/Walker (S2), each with different inclinations. The findings indicate that the S2 constellation excels in enhancing global service performance of BDS-3 [].
In comparison to LEO satellites, MEO navigation satellites incur high costs for both production and deployment. They are also vulnerable to service disruptions in complex space environments due to factors such as single-particle flipping, satellite decommissioning, signal shutdown or interference, and life expiration. Shively et al. noted that in geometrically well-formed constellations, even in the absence of critical satellites, there may exist critical pairs as well as critical groups of three or four satellites that render the constellations unreliable. GPS adheres to the most stringent reliability standards, with a worst-case scenario involving up to five critical satellites rendering the constellation unusable []. Zhao et al. analyzed the operational performance of navigation constellations in the Asia-Pacific region under various of single- and double-satellite failure modes and proposed an optimal design model for reconfiguring navigation constellations based on genetic algorithms []. It is essential to examine the relationship between constellation performance and constellation configuration following an MEO satellite failure.
A malfunction in MEO navigation constellations could lead to decreased service performance impacting user experience significantly. Therefore, during the phased deployment, the LEO navigation constellation will complement and enhance the underperforming MEO constellation to ensure a seamless transition of constellation performance. Constellation deployment is an intricate process that cannot be hastily accomplished. Hence, maximizing sub-constellation functionalities at each stage is crucial for incremental performance enhancement while ensuring robust scalability throughout construction phases, thereby striking a balance between costs and risks []. In the literature [], an initial low-cost yet adequately capacitated constellation was established, and the system capacity requirements were increased by launching subsequent satellites and reconstructing existing constellations. Furthermore, a hybrid configuration constellation comprising circular and elliptical orbits was employed for the design of satellite broadcast constellations. Initially, the LEO constellation is being utilized to fulfill a portion of the overall market demand, followed by the utilization of an elliptical satellite constellation to address requirements for high density and capacity growth [].
In this study, an LEO independent hybrid navigation constellation was designed based on the NSGA-II algorithm. The performance degradation of MEO satellites was taken into account when the LEO constellation was deployed in stages, and the mission requirements of different deployment stages of LEO constellations are herein given under the scenario of degradation of MEO constellation performance. Due to the orbital characteristics of an LEO constellation, studies have shown that a hybrid configuration demonstrates better performance than a single configuration when achieving global coverage []. We herein propose a two-layer LEO hybrid navigation constellation configuration. By using the NSGA-II algorithm for a global optimization of the PDOP and the total number of satellites as objective functions, our proposed constellation outperforms or equals four GNSS navigation constellations. Addressing concerns about degraded service due to decommissioning or malfunctioning satellites within MEO navigational constellations, we conducted an in-depth study analyzing how both the quantity and mode of MEO satellite failures impact overall system functionality. Based on these findings, we present a phased deployment strategy for LEO navigation constellations considering MEO performance degradation. The first stage focuses on compensating for MEO satellite failures, followed by regional/navigation enhancement in the Asia-Pacific region during the second stage. Finally, global independent navigation is achieved in the third stage, with performance comparable to the BDS-3 constellation, ensuring smooth transition between stages. This paper is organized as follows: Section 2 describes the problem and the methodology, the results and analysis are presented in Section 3; and the conclusions and discussion are presented in the last section.
2. Problem Description and Methodology
2.1. Optimal Design of LEO Navigation Constellation
2.1.1. Configuration of Constellations
The Walker constellation is characterized by three elements: the total number of satellites N, the orbital planes P, and the phase factor F. The satellite parameters are defined by six elements: semi-major axis , eccentricity , inclination , right ascension of ascending node , argument of perigee , and mean anomaly . The phase factor F is dependent on P: . The number of the first satellite in the initial orbital plane is 1, and for any satellite indexed as  on orbital plane P within the constellation, its  and phase angle  are as follows:
      
        
      
      
      
      
    
          where  represents the orbital plane number,  represents the number of satellites in each orbital plane, and  represents the serial number of satellites in orbital plane. In Figure 1, the  and phase angle of the constellation are depicted when .
 
      
    
    Figure 1.
      Diagram of satellite orbital plane.
  
2.1.2. Performance Metrics for Navigation Constellation
The performance metrics for a navigation constellation primarily encompass the continuous coverage index, service availability index, service reliability index, and positioning accuracy index. Among these, PDOP provides a robust representation of constellation availability; the smaller the PDOP, the better the constellation’s service performance and precision. In ECEF, the formula for navigation positioning error is as follows:
      
        
      
      
      
      
    
          where  represents the covariance of position and clock error,  denotes the variance of pseudo distance measurements,  converts the ranging standard deviation to the position + the clock error, and  stands for the direction cosine matrix.  is defined by the following formula:
      
        
      
      
      
      
    
The PDOP can be calculated from the elements of :
      
        
      
      
      
      
    
Visible satellites are those observed satellites with an elevation angle higher than the cut-off elevation angle when viewed from the receiver. The availability of more visible satellites provides users with a wider selection, leading to increased navigation accuracy and reliability. The formula for calculating the number of visible satellites is as follows:
      
        
      
      
      
      
    
In the given constellation,  represents the visible  satellite;  denotes the minimum observation elevation angle between the  satellite and the receiver. In this paper, the satellite cut-off elevation angle is uniformly set to 5°.
The constellation configuration adopts a Walker configuration, the principle of 2 is adopted, and the grid of observing stations at Earth’s surface is . The simulation time is divided into 24 h, and the step size is 60 s to analyze the effect of different constellation configurations on the performance of navigation services.
2.1.3. Optimization Algorithms and Models
Compared with the first-generation algorithm, the NSGA-II algorithm introduced a fast non-dominated sorting method to reduce computation time, adopted an elite strategy to preserve outstanding individuals, discarded the shared radius, and implemented a crowding method to enhance uniformity of the solution set in the target space. Crowding distance represents the density of solutions within a frontier and maintains population diversity by calculating the crowding of individuals in the target space. The routine of crowding distance sorting is as follows: Firstly, objective functions are sorted for individuals in every non-domination layer. The maximum and minimum for the m-th objective function are denoted as  and , respectively. Next, crowding distance  is calculated as  [].
To simplify the model, a satellite is placed into a circular orbit and is set as the seed satellite: . The parameter for the satellite is denoted as  with a Walker constellation phase factor , and the constellation parameter is represented by . Consequently, the optimization parameter set for the constellation can be expressed as follows:
      
        
      
      
      
      
    
The objective function of this study incorporates the number of visible satellites and PDOP, applying the 2σ principle to mitigate data outliers as much as possible []. The goal is to minimize the total number of satellites while ensuring a minimal PDOP in order to reduce costs. To avoid polarized optimization results, the PDOP performance of an LEO navigation constellation is constrained by the mid-latitude PDOP from four GNSS constellations, with minimized satellite orbital altitude and inclination.
          
      
        
      
      
      
      
    
The  represents the average, while  denotes the minimum number of satellites in the constellation.
The process of constellation optimization based on NSGA-II is illustrated in Figure 2.
 
      
    
    Figure 2.
      Constellation optimization design model based on NSGA-II algorithm.
  
Relevant scholars have investigated the minimum positioning configuration set of GDOP, proposed the minimum GDOP hybrid Walker configuration, and derived the formula for the extreme value condition of GDOP at the center of the earth for the hybrid Walker configuration [].
          
      
        
      
      
      
      
    
          where = 2 represents the number of Walker configurations,  denotes the count of satellites in the  Walker constellation, and  signifies the inclination of satellites in the  Walker constellation.
Equation (8) is an underdetermined equation, and the only geometrical condition to determine the minimum GDOP combined configuration needs to be given with certain conditions. Therefore, based on the optimized results of the LEO tilt constellation, we determine the optimized range of the corresponding orbital inclination of the LEO polar constellation through Equation (8). After the introduction of one Walker configuration, another Walker configuration should make appropriate adjustments to the satellite orbit parameters (orbit inclination). When optimizing the polar constellation, refer to Equation (8) and change the index in the formula from GDOP to PDOP.
2.2. MEO Satellite Failure and Staged Deployment
2.2.1. Satellite Failure Model
The availability of a constellation, also referred to as constellation value (CV), quantifies the navigation performance of various constellation configurations in the event of satellite failure and indicates the constellation’s availability under specific thresholds. The formula for calculating the  is as follows:
      
        
      
      
      
      
    
The initial time of simulation, denoted as , and the total duration of simulation, denoted as , are defined. Additionally,  represents the PDOP of the  grid at time ;  is the precision factor threshold;  is a Boolean function;  stands for the total number of grid points; and  denotes the area of the  grid point. The area of  is the grid of points.
Single-satellite failures, double-satellite failures, and three-satellite failures refer to the number of failures of satellites in the MEO navigation constellation. The failure modes of single or double satellites are limited and can be simulated using an enumeration method. Conversely, three satellites or more satellites present a wider range of failure modes, necessitating the use of the Monte Carlo method to effectively address random probability events. While the Monte Carlo method can approach the optimal solution with increased sampling times, it also results in significantly higher computational energy consumption. The likelihood of failure for three satellites or more MEO navigation satellites is low. This paper specifically examines the impact of three-satellite failure on constellation performance, and its model is applicable to analyzing failures involving four or more satellites.
The three-satellite failure flow chart based on the Monte Carlo method is depicted in Figure 3. It is assumed that the failure probability of the MEO navigation constellation is uniform, with  satellites in the constellation,  of which fail, resulting in  combinations of failed satellites and  satellites providing navigation services. Firstly, we establish the input–output relationship and simplify its mathematical form to express the relationship between  and , with  representing the CV. Secondly, we determine the variable’s value range based on , which represents the total number of constellations without repetition. Finally, considering practical scenarios, we determine simulation times and analyze experimental data.
 
      
    
    Figure 3.
      Analysis of three-satellite failure based on Monte Carlo method.
  
2.2.2. Staged Deployment Model
The staged constellation deployment strategy involves breaking down the overall mission requirements into multi-stage components, taking into account performance index, ground coverage, vehicle selection, launch conditions, and various other factors that influence the design outcomes at each stage. Consequently, the design process is conducted based on both current and future mission requirements within the framework of this strategy. Furthermore, it is essential for the staged constellation design to ensure that each stage’s constellation builds upon its predecessor and possesses the capability to expand into the subsequent stage. Redundant design was considered in the optimized design of the LEO constellation so that the performance impact arising from the failure of several satellites could be ignored, while the cost of LEO satellites as well as the launching costs were low, and the performance degradation of the LEO compensatory constellation was not taken into account.
In accordance with the current task requirements and future performance demands of the constellation, it is divided into Z sub-constellations for staged deployment. The staged deployment strategy of the constellation is illustrated in Figure 4. The primary factor influencing constellation performance is the number of orbital planes, and ensuring satisfactory service performance in target areas constitutes a fundamental condition for constellation design. The deployment model is as follows:
 
      
    
    Figure 4.
      The staged deployment strategy of constellations.
  
The optimization metric is the PDOP, which is achieved by adding LEO constellations to make the PDOP of the hybrid constellations meet the corresponding requirements after the failure of the MEO navigation constellation satellites. The optimization variable is the number of orbital planes deployed in the LEO constellation so that the hybrid navigation constellation performance meets the required PDOP value. The deployment of orbital planes and the number of satellites per orbital plane depends on the configuration of the LEO constellation design.
          
      
        
      
      
      
      
    
          where  and  represent performance parameters of the constellation,  denotes the quantity of stage project constellations,  stands for the number of performance parameters, and  indicates the minimum elevation requirement.
3. Results
3.1. Optimization Results and Analysis
3.1.1. The Impact of Orbital Altitude on LEO Satellites
The higher the altitude of the satellite, the larger its coverage area. Factors such as the ionosphere in space, Van Allen radiation belt, and regression orbit should also be taken into consideration [,]. Zhang et al. utilized the mean orbital elements to establish a trajectory model for common sub-satellite points under  conditions and proposed inclination schemes for different orbital heights to alleviate pressure on ground stations []. The satellite adopts a near-circular orbit and only accounts for the  perturbation while ignoring the influence of short period terms using the average orbital radical. The variation of the orbital elements and the nodal regression are depicted by the following formulas.
          
      
        
      
      
      
      
    
          where  represents the angular velocity of the Earth’s rotation,  and  are two positive integers that are prime to one another, and R/D is defined as the repetition factor,  is the mean angular velocity,  is the nodal period of the satellite orbit, and  the nodal day, which represents the time required for the Earth to rotate one revolution relative to the ascending node of its orbit;  stands for Earth’s radius, and  is the terrestrial gravitation constant. , , and  denote, respectively, the precession rate of argument of perigee, precession rate of mean anomaly, and right ascension of ascending node under non-spherical perturbation influence from Earth.
, , and  are the first derivative of the semi-major axis, eccentricity, and inclination.
As seen in Figure 5b, the repetition factor R/D gradually decreases and changes more obviously with the increase in satellite orbit altitude but increases slowly with the increase in inclination angle, so the return orbit setting is mainly through the selection of a suitable orbit altitude. In addition, if the satellite orbit altitude is too high, the influence of the Van Allen radiation belt will reduce the satellite life and increase the deployment cost. On the other hand, if the orbit altitude is too low, it will be affected by the atmosphere and other regenerative forces, which will increase the frequency of required satellite control maneuvers and reduce the satellite life span. Thus, the satellite altitude optimization range of 1100 km~1200 km is selected after weighing the influencing factors of the three parties.
 
      
    
    Figure 5.
      Analysis of altitude parameters for orbital constellation: (a) Distribution of ionospheric, Van Allen radiation belts, and the satellite orbital altitudes; (b) the relationship between satellite orbital altitude and inclination and the period of regression period.
  
3.1.2. The Impact of Orbital Inclination on LEO Satellites
Using a satellite at an orbital altitude of 1100 km and an inclination of 55° as a case study, this analysis examines the distribution characteristics of average coverage for a single satellite with inclinations ranging from 40°~70° along different latitudes. The average number of visible satellites is illustrated in Figure 6.
 
      
    
    Figure 6.
      Average number of visible satellites.
  
As depicted in Figure 6, the number of visible satellites in mid-latitudes decreases with increasing inclination, while it increases in polar regions. Given China’s geographical position between the north latitude 10°~55°, LEO tilt constellations primarily serve the mid-latitude area. The selection of satellite inclination must also consider the carrying capacity of ground rockets; greater orbital inclinations will result in higher energy consumption by launch vehicles. Therefore, the satellite inclination for LEO tilt constellations should be chosen between around 45° and 55°.
3.1.3. Optimization Design of LEO Tilt Constellation
The LEO hybrid constellation adopts a layered design. On the one hand, considering the overall optimization will make the design space larger but will also increase the computation load exponentially. On the other hand, considering that the different hierarchical constellations undertake different navigation tasks, step-by-step optimization can be the first to serve the more populated mid-latitude regions and then to meet the polar service area. The optimization process can consider the constellation configuration, expandability, and redundancy.
The constellation parameters were configured with the minimum observation elevation , grid , and a global navigation service area. The selection of the orbital plane and the number of satellites in the tilt constellation is based on predetermined conditions, while the optimization parameter upper and lower limits are as follows:
      
        
      
      
      
      
    
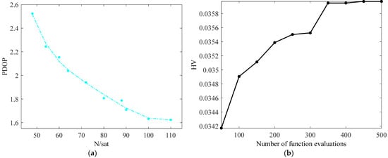
By fine-tuning the algorithm parameters, a population size of 50 and a maximum evolutionary generation of 500 were selected. The hypervolume (HV) was employed as a metric for diversity assessment [], where larger HV values indicate superior solution sets. The optimization results and the HV evaluation index are depicted in Figure 7.
 
      
    
    Figure 7.
      Optimization results of LEO tilt constellation: (a) optimization results and (b) evaluation index.
  
Figure 7a utilizes the PDOP and total number of satellites in the LEO tilt constellation as the objective function, with the average PDOP of the BDS-3 constellation between 60° north and south latitude serving as the constraint function. The average PDOP constraint function is approximately 2.0. For a Walker 216/18/1 constellation configuration, the average PDOP is around 2.0. As the total number of constellation satellites increases, for a Walker 280/20/1 configuration, the average PDOP decreases to about 1.5; however, this also leads to increased costs associated with constellation deployment, operation, and control. Considering performance, cost, configuration, and scalability factors, Walker 216/18/1 was chosen as the LEO tilt constellation configuration.
Constellation performance refers to the PDOP, i.e., cost simplified as the total number of satellites in the constellation. The constellation configuration and scalability need to consider the selection of the orbital plane and the number of satellites per orbital plane in the constellation optimal design. Scalability is expressed, as the sub-constellation should be expanded from the previous sub-constellation and has the ability to expand to the next sub-constellation. In Figure 7b, the evaluation index HV converges in the 300th generation, signifying the feasibility of the optimization results.
Table 1 presents five optimization results of the LEO tilt constellation scheme. The number of coverage reps across different schemes is approximately 11, with a variation in PDOP of around 0.17. Taking into account the altitude and inclination of the constellation comprehensively, Scheme 3, i.e., Walker 216/18/1:150/50 (N = 216, P = 18, F = 1, h = 1150 km, i = 50), was chosen as the deployment and construction scheme for the LEO tilt constellation. Other solutions served as backup options.
 
       
    
    Table 1.
    LEO tilt constellation scheme.
  
3.1.4. Optimization Design of LEO Polar Constellation
Both LEO tilt constellations and LEO polar constellations can be used as independent constellations to provide navigation services to mid-latitudes as well as high latitudes, while LEO hybrid navigation constellations can provide global services. From Equation (8), the optimization range for satellite inclination within a polar constellation is illustrated in Figure 8.
 
      
    
    Figure 8.
      Inclination optimization range of polar constellation.
  
As depicted in Figure 8, the optimal inclination range for the polar Walker is determined through the LEO tilt constellation setup. Here,  represents the LEO tilt constellation, and  denotes the LEO polar constellation. The simulation analysis considers a total of 300 satellites in  with an inclination of approximately 50°, while for the  polar constellation, there are about 40 to 120 satellites, with an inclination range of around 64°~90°. When  = 2, there exist an infinite number of hybrid Walker configurations with polar Walker configurations. After introducing one Walker configuration, the orbital inclination angle of the other Walker configuration should be appropriately adjusted based on the minimum GDOP of a single Walker configuration.
Hence, the optimization parameters for an LEO polar constellation are constrained by upper and lower limits:
      
        
      
      
      
      
    
          where the PDOP constraint condition for a single constellation is modified to accommodate a hybrid constellation. The constraint condition is set at 65°~90° north and south latitude, with settings consistent with those in the previous section for other scenarios. Additionally, polar constellations featuring different configurations of LEO tilt constellations are presented along with optimization results and HV in Figure 9.
 
      
    
    Figure 9.
      Optimization results of LEO polar constellation: (a) optimization results and (b) evaluation index.
  
Based on the configuration of the tilt constellation Walker 216/18/1:1115/50, optimization is performed for the LEO polar constellation. Figure 9a utilizes the PDOP of the hybrid constellation and the total number of satellites in the LEO polar constellation as the optimization objectives while imposing a constraint function based on the average PDOP (approximately 2.0) within a latitude range of 65°~90° for BDS-3 constellation configuration. The average PDOP for Walker72/8/1 configuration is approximately 1.96, and it increases to about 1.62 with an increase in total satellites for Walker 100/10/1 configuration. Considering performance, cost, constellation configuration, and scalability, Walker72/8/1 was chosen as the optimal LEO polar constellation configuration. In Figure 9b, the evaluation index HV converges at generation 350, indicating the feasibility of the optimization results.
Table 2 presents the optimized LEO polar constellation scheme for an LEO tilt constellation configuration. The number of coverage of the five schemes is approximately 13, with a variation in PDOP of around 0.1491. Taking into account the altitude and inclination of the constellation comprehensively, Scheme 4, i.e., Walker 72/8/1:1176/85 (N = 72, P = 8, F = 1, h = 1176 km, i = 85), was chosen as the deployment and construction scheme for the LEO polar constellation.
 
       
    
    Table 2.
    LEO polar constellation scheme.
  
3.2. Staged Deployment of LEO Constellation for MEO Navigation Satellite Failure
3.2.1. Failure Analysis of Single and Double Satellite in MEO Navigation Constellation
Based on the number of satellites in failure, satellite failure modes are categorized as single-satellite failure, double-satellite failure, and three-satellite failure. They can also be classified according to the orbital plane of the failed satellite into coplanar and non-coplanar satellite failures []. In this study, failure mode  denotes the  satellite failure on the  orbital plane; for example, failure mode 11 represents the first satellite failure on the first orbital plane.
In this paper, a universal MEO global navigation constellation is presented. Using the Walker 24/3/1 global navigation constellation as a case study, the orbital altitude of the constellation satellites is 20,000 km with an inclination of 55°. The PDOP ≤ 4 criterion is applied along with the 2σ principle, with minimum observation elevation denoted as  and grid denoted as . Simulation analysis investigated the impact of partial satellite failures on global navigation service performance within a 24 h period.
Assuming an equal failure probability for all satellites in the constellation, the minimum PDOP is 2.102, and the CV of the constellation is 100% when all satellites are operational, as depicted in Figure 10. The minimum CV of a single-satellite failure constellation is approximately 99.773%, while that of a double-satellite failure is about 93.193%. Single- and double-satellite failures exhibit negligible impact on constellation service performance, thus necessitating the simulation of three-satellite failure.
 
      
    
    Figure 10.
      Variation in CV following the failure of a single and double satellite: (a) single-satellite failure and (b) double-satellite failure.
  
3.2.2. Analysis of Three-Satellite Failure Based on Monte Carlo Method
Given the  (2024) combinations of three-satellite failures, which represent a multitude of failure modes, making enumeration impractical, the Monte Carlo method was employed. The health status of constellation performance after a three-satellites failure can be categorized into four levels:
When , the constellation health status is excellent.
When , the constellation health status is good.
When , the constellation health status is moderate.
When , the constellation health status is poor.
The three-satellite failure simulation parameters are configured identically to those of single and double satellites. In this section, the Monte Carlo method is employed to conduct 1000 random simulations of the three-satellite failure model within the constellation, with the simulation results presented in Figure 11.
 
      
    
    Figure 11.
      Simulation results of three-satellite failure: (a) proportion of different failure modes and (b) simulation times and CV.
  
In Figure 11a, the minimum CV for the constellation falls in the ranges 96~100%, 91~95%, 86~90%, and 81~85%, representing proportions of 22.30%, 60.30%, 15.00%, and 2.40%, respectively. As depicted in Figure 11b, the mean CV of the constellations is calculated as 94.83%( dash line). The majority of CV fluctuates between 89~98%. There is a small probability that three-satellite failure would degrade the constellation’s health status from “excellent” to “poor”(red circle). As the number of failed satellites increases, the CV decreases, and its global navigation service performance also deteriorates.
The correlation between the failure mode probability of various satellites and the minimum CV is illustrated in Figure 12, where  denotes the failure of  satellites in the  orbital plane.
 
      
    
    Figure 12.
      Ten modes of three-satellite failure.
  
Figure 12 examines the failure modes of satellites, analyzing 10 different scenarios. The left bar chart (blue) illustrates the proportion of each case in the simulations, while the right bar chart (red) depicts the minimum CV for each scenario. Notably, a single failure within each orbital plane significantly impacts the overall constellation performance, with a simulation probability of 25.30% and a minimum CV of 84.11. Conversely, the failure of three satellites within the same orbital plane has minimal impact on the constellation, occurring with probabilities of 2.50%, 3.30%, and 2.40%, respectively, and resulting in a minimum CV of approximately 92.57. Additionally, failures involving two satellites or one satellite from different orbital planes rank second in terms of their impact on the constellation after the failure of three satellites within the same orbital; these occur with probabilities in the range of 9.60%~12%, yielding respective minimum CVs between around 88.98 and 89.19.
3.3. Staged Deployment of LEO Constellation
The deployment strategy of the constellation will significantly impact the enhancement level of performance indicators within the service area. Specifically, with each launch of a certain number of satellites, there will be a steady improvement in the performance indicators of the constellation for the service area. The LEO navigation constellation may undergo multiple stages of task requirements, such as regional navigation constellation, global navigation augmentation constellation, and global independent navigation constellation. It is essential to comprehensively consider the task requirements at each stage of the constellation in order to successfully execute staged deployment of the LEO navigation constellation.
Based on the deployment model, this section examines the constellation index as PDOP, with the least orbital plane of the constellation serving as the constraint function and  representing the elevation angle of the constellation. Analysis of the simulation Table 3 data revealed that 66 satellites are initially deployed to mitigate MEO service performance degradation during emergencies such as satellite retirement. It includes4 orbital planes within the tilt constellation (cyan) and 2 orbital planes within the polar constellation (blue). In the second stage, 156 satellites are deployed for navigation augmentation constellation, and the tilt and polar constellations are expanded to accommodate 10 and 4 orbital planes, respectively. In the third stage, 288 satellites are deployed, independently operating their own systems to provide comprehensive PNT services []. Figure 13 illustrates the staged deployment spatial configuration of the LEO hybrid navigation constellation.
 
       
    
    Table 3.
    Event denotes the PDOP of the constellation in different scenarios.
  
 
      
    
    Figure 13.
      Staged deployment spatial configuration of the LEO hybrid navigation constellation. (a) Stage I compensation. (b) Stage II global navigation augmentation. (c) Stage III global BDS-3 level.
  
“Event” denotes the PDOP of the constellation in different scenarios, where 24MEO +  denotes the Walker 24/3/1 serviced in conjunction with LEO navigational enhancement constellation, and  denotes the 10 orbital planes of the LEO tilt constellation and 4 orbital planes of the polar constellation.
4. Discussion
4.1. Comparison of LEO Constellation Scheme with GNSS
In order to further verify the feasibility of the optimization schemes, the five optimization schemes were compared at different latitudes around the world as well as with the four major GNSS operating in orbit, and the PDOP comparison analysis is shown in Figure 14.
 
      
    
    Figure 14.
      Five optimization schemes are compared with the PDOP of GNSS constellations: (a) LEO tilt constellation scheme and (b) LEO hybrid constellation scheme.
  
As can be seen from Figure 14a, the constellation performance between 40° north and south latitude is in reverse order, with Scheme 5 being better than the other schemes and the constellation orbital altitude having a greater influence. Between 60° north and south latitude, the influence of incline on the constellation performance gradually increases. Combining the orbit altitude, incline, and constellation performance, Scheme 3 was selected as the final optimized design result, and at the same time, the constellation performance of Scheme 3 between 20° north and south latitude is close to that of BDS 24MEO, Galileo, and GLONASS.
LEO tilt constellations are utilized for navigation services in mid-latitudes. To achieve global navigation, the design of a polar constellation is essential to enhance coverage and navigation accuracy in polar regions. As depicted in Figure 14b, the quantity of GPS satellites and the distinctive configuration of BDS-3 constellations exhibit a slight advantage over LEO hybrid navigation constellations within latitudes 0°~20° north and south, with the average PDOP of LEO hybrid navigation constellations being 1.676, surpassing that of the four GNSS navigation constellations. The performance and arrangement of LEO hybrid navigation constellations satisfactorily meet the design requirements.
4.2. Analysis of Different Failure Modes
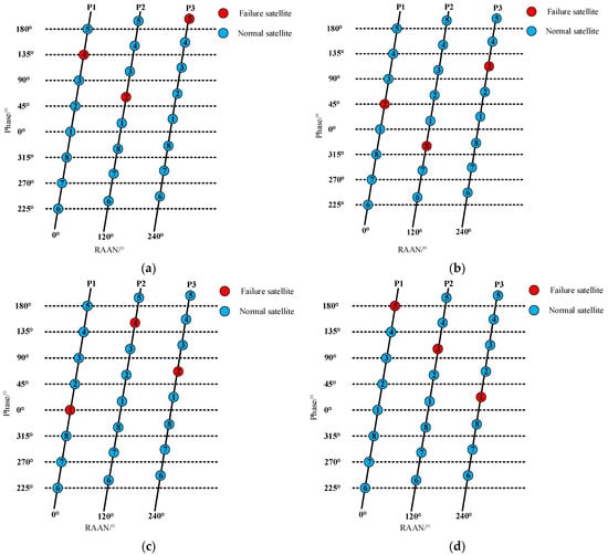
Section 3.2.2 analyzes the possible degradation of constellation performance due to the failure of three satellites in the Walker 24/3/1, and it is necessary to analyze the distribution of the geometric positions of the three failed satellites in space.
The correlation between 10 distinct satellite failure modes and constellation health status is illustrated in Table 4. As shown in Table 4, the constellation’s health status is excellent or good for the 1st~3rd-satellite failure modes and mostly good overall. This ensures that the constellation can continue to provide users with high-quality navigation services. The 4th-satellite failure mode has a low probability of affecting navigation services negatively, representing the only instance among the 10 failure modes where “poor” health is observed. For the 5th- to 10th-satellite failure modes, the constellation’s health status is generally good or excellent, resulting in a moderate reduction in navigation service quality compared to the 1st~3rd modes.
 
       
    
    Table 4.
    Satellite failure modes and constellation health status.
  
In order to analyze the minimum CV data of the constellation, 512 simulations were conducted for a single failure within each orbital plane, and Table 5 presents the failure modes of the top 10 with the most severe performance degradation. According to Table 4, the minimum CV corresponds to a failure mode of 14-22-35, with a CV of 83.9751 indicating a decline in the performance health status of the constellation to poor.
 
       
    
    Table 5.
    Failure modes of the top 10 with the most severe performance degradation.
  
The space phase of a single failure within each orbital plane is shown in Figure 15. The failure mode characterized by the occurrence of a single-satellite failure within each orbital plane and the phase of adjacent satellites is relatively close, which exerts a significant influence on constellation performance.
 
      
    
    Figure 15.
      The space phase of a single failure within each orbital plane: (a) failure modes of 14-22-35; (b) failure modes of 12-28-33; (c) failure modes of 11-24-32; (d) failure modes of 15-23-31.
  
4.3. Analysis of Staged Deployment Scheme
The staged deployment of the LEO hybrid navigation constellation can be divided into three stages, and the three stages correspond to three scenarios in the simulation analysis. The first scenario analyzes the PDOP value of the 24MEO satellite in the maximum case of the failure mode and compensates for the navigation performance degradation by increasing the LEO constellation. The second scenario analyzes the performance enhancement through the LEO navigation augmentation constellation under the normal operation of 24MEO. The third scenario analyzes the differences between LEO independent navigation and GNSS.
Figure 16 presents an analysis of the staged deployment of PDOP in various scenarios for LEO hybrid navigation constellations. In the absence of failures in the 24MEO constellation, the average PDOP is 2.348. The most significant impact on satellite failure mode was observed with 14-22-35, resulting in an increase in the constellation average PDOP to 5.208. Following the addition of the first stage of LEO to augment the constellation, there was a recovery in the average PDOP to 2.206. Furthermore, with the inclusion of the second stage of LEO navigation augmentation constellation, there was a decrease in average PDOP to 1.456, thereby achieving higher precision navigation services. Additionally, for the third stage of LEO independent navigation constellation, an average PDOP of 1.676 was achieved—outperforming that of the BDS-3 constellation, which had an average PDOP of 2.049.
 
      
    
    Figure 16.
      Staged deployment of PDOP in various scenarios for LEO hybrid navigation constellations.
  
5. Conclusions
Firstly, the LEO navigation constellation adopts a segmented optimization method. The tilt constellation and polar constellation are designed to meet the navigation performance requirements for middle latitude and polar regions, respectively. Taking into account satellite constellation altitude, inclination, navigation performance, cost, and scalability, the optimal tilt constellation construction scheme is Walker 216/18/1:150/50. Similarly, the optimal polar constellation construction scheme is Walker 72/8/1:1176/85. The average PDOP for tilt and polar constellations are 2.0 and 1.96, respectively, satisfying latitude constraints. The average PDOP of the designed LEO hybrid navigation constellation is 1.676—outperforming traditional navigation constellations. The performance and configuration of the LEO hybrid navigation constellation meet the design requirements effectively.
Furthermore, considering the diverse failure modes of three satellites in the MEO navigation constellation and the extensive manual screening workload, the Monte Carlo method was employed to analyze satellite failures. The findings indicate that in three-satellite failure mode, a single-satellite failure within each orbital plane and the phase of adjacent satellites is relatively close, significantly impacting the overall constellation performance. To identify the most impactful satellite failure mode on the MEO navigation constellation’s performance, simulating the model of a single-satellite failure within each orbital plane can reduce computational costs and offer insights for constellation backup. This approach is adaptable to various constellation configurations and four or more satellite failure modes.
The staged deployment strategy accounts for the potential degradation of constellation service performance resulting from the failure of MEO navigation satellites. The LEO hybrid navigation constellation is deployed in three stages, each tailored to different mission requirements and aimed at steadily improving overall constellation performance. In the initial stage, 66 satellites are deployed to compensate navigational performance loss following the failure of MEO satellites. Subsequently, in the second stage, deployment involves 156 satellites, with a target PDOP of 1.456 to enhance navigation capabilities in response to more demanding needs. Finally, a total of 288 satellites are deployed in third stage. With an average PDOP of 1.676 achieved by this stage, an independent system capable of operating autonomously is established to provide comprehensive PNT services as a backup navigation system.
In conclusion, the LEO hybrid navigation constellation proposed in this study and its deployment strategy exhibit promising potential in terms of constellation navigation performance, cost effectiveness, and scalability. Future research should explore additional types of constellations, with an expectation that this study will offer valuable insights and practical applications for LEO constellation technology. In practical engineering, as the positioning quality is also related to range measurement quality, it also requires a high-quality ranging payload on LEOs. LEO satellites are developing in the direction of low cost and high integration.
Author Contributions
Conceptualization—W.X., M.H., and Y.R.; funding acquisition—M.H.; investigation—W.X., X.W., and M.Y.; methodology—W.X.; writing—original draft, W.X.; writing—review and editing, M.H., Y.R., X.W., and M.Y. All authors have read and agreed to the published version of the manuscript.
Funding
This research was funded by the National Natural Science Foundation of China (Grant No. 61403416).
Data Availability Statement
The original contributions presented in the study are included in the article, further inquiries can be directed to the corresponding author.
Acknowledgments
The authors would like to extend their sincere gratitude to the Min Hu’s team at the University of Space Engineering for providing the computing system and method guidance.
Conflicts of Interest
The authors declare no conflicts of interest.
References
- Melaku, S.D.; Kim, H.-D. Optimization of Multi-Mission CubeSat Constellations with a Multi-Objective Genetic Algorithm. Remote Sens. 2023, 15, 1572. [Google Scholar] [CrossRef]
- Deccia, C.M.; Wiese, D.N.; Nerem, R.S. Using a multiobjective genetic algorithm to design satellite constellations for recovering Earth system mass change. Remote Sens. 2022, 14, 3340. [Google Scholar] [CrossRef]
- Wang, X.; Zhang, H.; Bai, S.; Yue, Y. Design of agile satellite constellation based on hybrid-resampling particle swarm optimization method. Acta Astronaut. 2021, 178, 595–605. [Google Scholar] [CrossRef]
- Imoto, Y.; Satoh, S.; Obata, T.; Yamada, K. Optimal constellation design based on satellite ground tracks for Earth observation missions. Acta Astronaut. 2023, 207, 1–9. [Google Scholar] [CrossRef]
- Deng, Z.; Ge, W.; Yin, L.; Dai, S. Optimization design of two-layer Walker constellation for LEO navigation augmentation using a dynamic multi-objective differential evolutionary algorithm based on elite guidance. GPS Solut. 2023, 27, 26. [Google Scholar] [CrossRef] [PubMed]
- Jiang, C.; Luo, Z.; Guan, M.; Zhu, H. Low orbit regional enhanced navigation constellation for BDS3 design based on Bayesian optimization algorithm. Geod. Geodyn. 2024; in press. [Google Scholar] [CrossRef]
- Huang, S.; Colombo, C.; Bernelli-Zazzera, F. Multi-criteria design of continuous global coverage Walker and Street-of-Coverage constellations through property assessment. Acta Astronaut. 2021, 188, 151–170. [Google Scholar] [CrossRef]
- Han, Y.; Wang, L.; Fu, W.; Zhou, H.; Li, T.; Xu, B.; Chen, R. LEO navigation augmentation constellation design with the multi-objective optimization approaches. Chin. J. Aeronaut. 2021, 34, 265–278. [Google Scholar] [CrossRef]
- Yang, Y.; Mao, Y.; Sun, B. Basic performance and future developments of BeiDou global navigation satellite system. Satell. Navig. 2020, 1, 1. [Google Scholar] [CrossRef]
- Yang, Y.; Ren, X.; Jia, X.; Sun, B. Development trends of the national secure PNT system based on BDS. Sci. China Earth Sci. 2023, 66, 929–938. [Google Scholar] [CrossRef]
- Yang, Y.; Mao, Y.; Ren, X.; Jia, X.; Sun, B. Demand and key technology for a LEO constellation as augmentation of satellite navigation systems. Satell. Navig. 2024, 5, 11. [Google Scholar] [CrossRef]
- Yin, K.; Li, R.; Wang, C.; Teng, J. Credibility research of BeiDou navigation satellites based on LEO constellation enhancement. In Proceedings of the 13th China Satellite Navigation Conference, Beijing, China, 25–27 May 2022. [Google Scholar]
- Guan, M.; Xu, T.; Gao, F.; Nie, W.; Yang, H. Optimal walker constellation design of LEO-based global navigation and augmentation system. Remote Sens. 2020, 12, 1845. [Google Scholar] [CrossRef]
- Liu, J.; Hao, J.; Yang, Y.; Xu, Z.; Liu, W.; Wu, R. Design optimisation of low earth orbit constellation based on BeiDou Satellite Navigation System precise point positioning. IET Radar Sonar Navig. 2022, 16, 1241–1252. [Google Scholar] [CrossRef]
- Ma, F.; Zhang, X.; Li, X.; Cheng, J.; Guo, F.; Hu, J.; Pan, L. Hybrid constellation design using a genetic algorithm for a LEO-based navigation augmentation system. GPS Solut. 2020, 24, 62. [Google Scholar] [CrossRef]
- Teng, Y.; Jia, X.; Peng, G. LEO navigation augmentation constellation design and precise point positioning performance analysis based on BDS-3. Adv. Space Res. 2023, 72, 1944–1960. [Google Scholar] [CrossRef]
- Shively, C. Satellite criticality concepts for unavailability and unreliability of GNSS satellite navigation. Navigation 1993, 40, 429–450. [Google Scholar] [CrossRef]
- Zhao, S.; Zhang, Y.; Dai, H.; Qi, Y. Failure Performance and Reconstruction Method of Satellite Navigation System. Aerosp. Control. Appl. 2018, 44, 49–55. [Google Scholar]
- De Weck, O.L.; De Neufville, R.; Chaize, M. Staged deployment of communications satellite constellations in low earth orbit. J. Aerosp. Comput. Inf. Commun. 2004, 1, 119–136. [Google Scholar] [CrossRef]
- Chaize, M. Enhancing the Economics of Satellite Constellations via Staged Deployment and Orbital Reconfiguration. Doctoral Dissertation, Massachusetts Institute of Technology, Cambridge, MA, USA, 2003. [Google Scholar]
- Chan, S.; Samuels, A.; Shah, N.; Underwood, J.; de Weck, O. Optimization of Hybrid Satellite Constellations using Multiple Layers and Mixed Circular-Elliptical Orbits. In Proceedings of the 22nd AIAA International Communications Satellite Systems Conferenc & Exhibit, Monterey, CA, USA, 9–12 May 2004. [Google Scholar]
- Durand, J.-M.; Michal, T.; Bouchard, J. GPS availability, part I: Availability of service achievable for different categories of civil users. Navigation 1990, 37, 123–139. [Google Scholar] [CrossRef]
- Xue, S.; Yang, Y. Combined walker configurations with minimal GDOP. Geomat. Inf. Sci. Wuhan Univ. 2016, 41, 380–387. [Google Scholar]
- Zhang, Y.; Li, Z.; Li, R.; Wang, Z.; Yuan, H.; Song, J. Orbital design of LEO navigation constellations and assessment of their augmentation to BDS. Adv. Space Res. 2020, 66, 1911–1923. [Google Scholar] [CrossRef]
- Zhang, Y.; Jia, L.; Yu, J.; Liang, S. LEO constellation configuration design method with constant trajectory of subsatellite points. Chin. Space Sci. Technol. 2023, 43, 116–122. [Google Scholar]
- Tian, Y.; Cheng, R.; Zhang, X.; Jin, Y. PlatEMO: A MATLAB platform for evolutionary multi-objective optimization. IEEE Comput. Intell. Mag. 2017, 12, 73–87. [Google Scholar] [CrossRef]
- He, L.; Dai, W.; Wang, H.; He, X.; Zhou, Y.; Liu, C. Elevating performance in BDS-3 Precise Point Positioning Ambiguity Resolution through LEO augmented constellations. Measurement 2024, 236, 115010. [Google Scholar] [CrossRef]
| Disclaimer/Publisher’s Note: The statements, opinions and data contained in all publications are solely those of the individual author(s) and contributor(s) and not of MDPI and/or the editor(s). MDPI and/or the editor(s) disclaim responsibility for any injury to people or property resulting from any ideas, methods, instructions or products referred to in the content. | 
© 2024 by the authors. Licensee MDPI, Basel, Switzerland. This article is an open access article distributed under the terms and conditions of the Creative Commons Attribution (CC BY) license (https://creativecommons.org/licenses/by/4.0/).
