Abstract
We have studied the parameters of preliminary breakdown (PB) pulses in 395 normal and 319 inverted intracloud (IC) flashes observed in Gifu, Japan, and Ningxia, China, respectively, by using a low-frequency mapping system called fast antenna lightning mapping array (FALMA). These parameters are extracted from the first half of the PB pulses. It is found that compared to normal IC flashes, inverted IC flashes exhibited PB pulses with slower rise times (6.8 vs. 3.1 μs), wider half-peak widths (3.8 vs. 2.5 μs), longer zero-crossing times (26.2 vs. 14 μs), and extended fall times (4 vs. 3.2 μs). We further demonstrated that such discrepancies between normal and inverted IC flashes should not be caused by subjective factors, like noise threshold setting, or objective factors, like signal propagation distance. Based on this analysis, finally, we inferred that the discrepancies should be a reflection of the PB channel properties of normal and inverted IC flashes.
    1. Introduction
It is widely acknowledged that both intracloud (IC) and cloud-to-ground (CG) lightning flashes emit numerous low-frequency (LF) electric field pulses during their preliminary breakdown (PB) processes. These pulses exhibit distinctive characteristics, including bipolar pulse trains and fast-rising pulses superimposed on the initial half cycle of their bipolar shape [,,,,,]. Previous research [,,,] has extensively investigated the statistical properties of PB pulses, revealing significant variability in the pulse parameters.
For example, the duration of PB pulses and the pulse train duration of negative CG flashes in Florida (4.8 μs, 3.4 ms; Nag and Rakov []) were notably shorter on average compared to those in Malaysia (11 μs, 12.3 ms; Baharudin et al. []). This discrepancy is speculated to arise from differences in observation latitudes. However, for positive CG flashes, the interval between adjacent pulses recorded at different latitudes (Zhang et al. []; Miranda et al. []) is nearly consistent (271 vs. 262 μs), albeit almost four times larger than the value reported in Ushio et al. [] (54 μs). The mean width of individual PB pulses also varies widely, ranging from 18.8 to 38 μs (Ushio et al. []; Gomes and Cooray []; Miranda et al. []; Zhang et al. []). Similar discrepancies in PB pulse parameters are observed in IC flashes, as documented in previous research (e.g., Weidman and Krider []; Smith et al. []; Shi et al. []).
Notably, existing statistics for IC flashes predominantly pertain to the normal polarity type, characterized by an upward progression of the PB channel. Conversely, inverted IC flashes, featuring downward PB propagation, have been considerably less studied, leaving our understanding of their PB process limited compared to that of normal IC flashes. Investigating the statistical differences between the PB parameters of normal and inverted IC flashes is therefore of significant interest.
Additionally, as speculated by Zhang et al. [], the factors contributing to these parameter differences are complex, with latitude or geographic location being just one possible factor. Other subjective or objective factors, such as the sensitivity of different observation instruments, signal propagation distance, and methods of distinguishing PB pulses, are also likely to contribute to this parameter diversity. To investigate the causes, a 3D mapping system is apparently needed to record the PB waveforms and locate their positions.
Fortuitously, we have developed a low-frequency mapping system named the fast antenna lightning mapping array (FALMA), which was deployed in Gifu, Japan, and Ningxia, China, respectively, starting in the summer of 2017 and 2019. As reported by Shi et al. [] and Gao et al. [], plenty of normal—and inverted—polarity IC flashes with fine structures are observed in Gifu and Ningxia, respectively. Moreover, the technical parameters of the FALMA in Gifu and Ningxia are similar, allowing us to avoid any influence of the observation equipment when comparing the PB statistics. Motivated by these considerations, we have undertaken this study.
In this paper, we have collected the PB waveforms of normal IC flashes and inverted polarity IC flashes from Gifu and Ningxia. Then, the PB pulses’ parameters of normal and inverted IC flashes are statistically compared. The possible factors that have influences on pulse parameters are further discussed.
2. Observation
In the summer of 2017, the lightning research group at Gifu University, Japan, developed the FALMA []. In March 2019, this observation system was subsequently installed in Ningxia, China, in collaboration with China Science Skyline Tech Co., Ltd. []. Figure 1 illustrates the layout of FALMA sites. The Ningxia FALMA has 24 sites, which are marked by black triangles in Figure 1b. The baseline length ranges from 14 to 375 km, covering an observation area of about 400 km × 300 km. In contrast, the Gifu FALMA is more compact, consisting of 12 sites within a radius of about 45 km centered around Gifu, as shown in Figure 1c.
 
      
    
    Figure 1.
      The layout of the observation sites. The geographical locations of the FALMAs, with the filled color indicating the altitude (a). The FALMAs deployed in Ningxia, China (b), and Gifu, Japan (c), with the black triangles representing the sites. The red and blue points indicate the analyzed PB initiations of inverted and normal IC flashes.
  
For both the Ningxia and Gifu FALMAs, each site is equipped with a fast antenna and a control box to detect and record the electric field. Although the Ningxia FALMA operates at a reduced sampling rate of 10 mega samples per second (ms/s), compared to the Gifu FALMA’s 25 MS/s, other hardware specifications remain consistent across both observation systems [,].
Ningxia and Gifu have apparent various geographical features, as seen in Figure 1. Ningxia is close to the west of the Qinghai–Tibet Plateau, with an average elevation above sea level of about 1565 m, while Gifu is located near the central region of Japan, with an altitude of about 750 m. This makes the lightning types obviously different. The Ningxia FALMA predominantly records inverted polarity IC flashes, while the Gifu FALMA primarily observes normal polarity IC flashes.
Figure 2 gives the electric field change (E-change) waveform and three-dimensional (3D) source locations of a normal IC case. The E-change waveform in Figure 2a follows the atmospheric electricity sign convention. The PB leader channel is initiated at a height of about 7.2 km. During the following 8 ms period, the leader shows an upward progression with a vertical speed of 105 m/s toward a height of about 11.5 km and then turns to propagate horizontally at heights of about 11 km and 7 km, leading to a typical bi-level discharge structure, as shown in Figure 2b. Similar to Zheng et al. [], we define the initially vertical progression as the PB discharge process.
 
      
    
    Figure 2.
      The E-change waveform and 3D source locations of a normal IC case. (a) E-change waveform with time; (b) source altitude with time; and (c) the Gifu FALMA sites. (d) The expanded PB waveform, with the red dots representing the recognized PB pulses. The abbreviation of DU stands for digital unit. (0,0) indicates the location of the GFU site, corresponding to a latitude and longitude of 35.48°N and 136.96°E, respectively.
  
The expanded PB waveform is given in Figure 2d, which is recorded by the site TOK, as marked in Figure 2c. In this study, we use the same method as proposed in Shi et al. [] to distinguish the PB pulse. We first calculate the cumulative probability distribution of the pulse amplitude in each PB waveform. When the cumulative probability reaches 98%, the corresponding amplitude is determined to be the noise level. The pulses exceeding the noise level are identified as PB pulses, marked by red dots in Figure 2d. This method is consistently applied to inverted IC flashes, as depicted in Figure 3.
 
      
    
    Figure 3.
      The E-change waveform and 3D source locations of an inverted IC case. (a) E-change waveform with time; (b) source altitude with time; and (c) the Ningxia FALMA sites. (d) The expanded PB waveform, with the red dots representing the recognized PB pulses. The abbreviation of DU stands for digital unit. (0,0) indicates the location of the ZKY site, corresponding to a latitude and longitude of 38.43°N and 106.17°E, respectively.
  
Eventually, to examine the PB pulses’ characteristics, we select 395 normal IC flashes and 319 inverted polarity IC flashes from Gifu and Ningxia, respectively, identifying 11,584 and 6885 pulses. Using these data, we aim to conduct a comparative analysis of PB pulse parameters such as rise time and fall time. Then, we will explore potential factors influencing these pulse characteristics.
3. Results
As shown in Figure 2 and Figure 3, some of the PB pulses, particularly those with small amplitudes, exhibit an ambiguous bipolar shape that makes it difficult to analyze opposite polarity overshoot. To minimize the statistical errors, we extracted PB pulse parameters from the first half circle of the PB pulses. These parameters include the rise time (tr), half-peak width (tw), falling time (tf), and zero-crossing time (tp). Specifically, the rise time is calculated based on the interval rising from 10% to 90% of the pulse peak amplitude. The half-peak width corresponds to the 50%-peak-crossing time, while the zero-crossing time is the interval between the zero-crossing points. The fall time is indicated by the time difference of the fall from 90% to 10% of the pulse peak amplitude.
Figure 4 illustrates the probability distribution of pulse parameters, distinguishing between normal and inverted IC flashes with blue and red colors, respectively. For rise time, the maximum probability interval for normal IC flashes is between 1 and 2 μs (referred to as the interval [,] μs), while the maximum probability interval for inverted IC flashes falls within [,] μs. Correspondingly, the arithmetical mean (AM) rise times for normal and inverted IC flashes are 3.1 μs and 6.8 μs, indicating that inverted IC flashes generally exhibit longer PB pulse rise times.
 
      
    
    Figure 4.
      Parameter statistics of PB pulses in normal and inverted IC flashes. (a) Rise time; (b) half-peak width; (c) fall time; and (d) zero-crossing time. The abbreviations AM, GM, and SD indicate the arithmetic mean, the geometric mean, and the standard deviation, respectively.
  
The AM half-peak width of the PB pulses is narrower in normal IC flashes than inverted polarity IC flashes (2.5 versus 3.8 μs), showing the highest percentages in the range of [1,2] and [2,3] μs, respectively. Comparable trends are observed in the falling time and zero-crossing time, as detailed in Figure 4c,d. For example, the mean zero-crossing time in inverted IC flashes is almost twice as large as that in normal IC flashes (26.2 versus. 14 μs).
The statistical results for normal IC flashes align with previously reported values in the literature, such as a half-peak width of 15.3 μs (Wu et al. []) and a rise time of 3.1 μs (Shi et al. []). Conversely, due to the scarcity of studies on inverted polarity IC flashes, direct comparisons with existing research are not feasible.
Overall, compared to normal IC flashes, the PB pulse of the inverted polarity IC flashes has a slower rise time, a wider half-peak width or pulse width, and a longer fall time (rise time: 6.8 vs. 3.1 μs, half-peak width: 3.8 vs. 2.5 μs, fall time: 4 vs. 3.2 μs, and pulse width: 26.2 vs. 14 μs).
4. Discussion
To further explore the marked differences in Section 3, we have investigated potential factors that could significantly influence these statistical results.
4.1. Subjective Factor: The Threshold Used in Identifying PB Pulses
As outlined in Section 2, we have set the cumulative probability of 98% as a threshold value to identify PB pulses. Figure 5 gives the identified pulse number using various thresholds. It shows that the pulse sample size decreases with the increasing threshold. When the cumulative probability is set from 0.935 to 0.995, the identified PB pulses in normal/inverted IC flashes change from 27987/15497 to 5144/2366. This significant variance necessitates a separate analysis of pulse parameters under different thresholds, as depicted in Figure 6.
 
      
    
    Figure 5.
      The identified PB pulse samples vary with the cumulative probability threshold.
  
 
      
    
    Figure 6.
      The AM values of PB pulse parameters changing with the cumulative probability threshold. (a) Rise time; (b) half-peak width; (c) fall time; and (d) zero-crossing time.
  
In general, the half-peak width and falling time in both normal and inverted polarity IC flashes present a decreasing tendency with an increasing cumulative probability threshold. Conversely, the zero-crossing time in Figure 6d increases with the cumulative probability threshold. It is common sense that a larger cumulative probability threshold corresponds to fewer pulses in number, but with higher amplitude. Therefore, the result in Figure 6 indicates that the large (small) components in the statistics of half-peak width and falling time (zero-crossing time) are attributed to those PB pulses with a relatively small magnitude. Across these thresholds, the distinctions in PB pulse parameters between normal and inverted IC flashes are consistent with those reported in Figure 4.
It is puzzling that the AM rise time of the inverted (normal) IC flashes slightly increases (decreases) with the cumulative probability. We speculate that it may be related to a combination of the noise level and pulse amplitude. The Ningxia FALMA, characterized by its dry environment and high grounding resistance, is likely to exhibit a higher electromagnetic noise level than the Gifu FALMA. The rise time, measured from 10% to the pulse peak amplitude, is affected accordingly. For smaller amplitude pulses in Ningxia, the 10%-peak-crossing point is prematurely marked when the surrounding electromagnetic noise surpasses 10% of the pulse peak, leading to shorter rise times at lower thresholds. As for the statistics of rise time in normal IC flashes, the explanation of the half-peak width and falling time is applicable.
Therefore, it is clear that the subjectivity inherent in setting recognition thresholds profoundly influences the statistical results of PB pulse parameters. Still, when using the same threshold, we find that, as before, the PB pulse parameters for inverted IC flashes remain substantially larger than those for normal IC flashes, corroborating the previous findings in Figure 4.
4.2. Objective Factor: Signal Propagation Distance
4.2.1. The Influence on the AM Value of All PB Pulses
Many previous researchers (e.g., Zhang et al. []; Ushio et al. []) have suggested the effect of signal propagation distance on all of the PB pulses’ parameters. Despite this, concrete evidence of the relationship between these parameters and the propagation distance remains absent. This section aims to verify the above suggestion further.
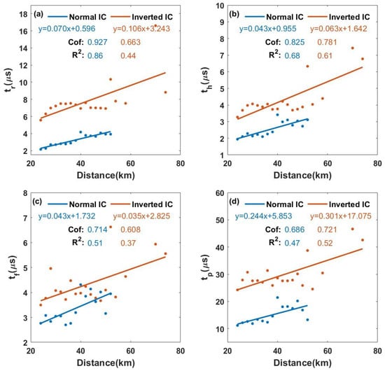
Figure 7 shows the distance between the PB location and the FALMA site. The AM distance for normal IC flashes is 39.9 km, which is smaller than the 50.4 km observed for inverted IC flashes. Considering the findings from Figure 7 and Figure 4, a hypothesis was naturally proposed that PB pulse parameters are dependent on distance.
 
      
    
    Figure 7.
      A histogram of the distance between PB initiation and the recorded FALMA sites.
  
To examine this hypothesis, we analyzed the relationship between the parameters of PB pulses and their distance from the FALMA site. Figure 8 presents a scatter plot of the AM parameters against distance, with linear fits denoted by solid lines. Blue and orange dots individually represent the PB parameters of normal and inverted IC flashes. In Figure 8a, the rise time of PB pulses in normal (inverted) IC flashes increases by 0.6 (1.0) μs for every 10 km increment, with a correlation coefficient of 0.92 (0.66). The remaining three parameters in Figure 8b–d show the same dependence on distance. Such a dependence is similar to the findings on return strokes (Leal and Rakov []; Li et al. [], Shi et al. []). Therefore, it is concluded that the AM parameter values of all PB pulses in various ranges show a positive correlation with the propagation distance.
 
      
    
    Figure 8.
      Scatterplots of the AM values for inverted (orange dots) and normal (blue dots) IC flashes’ PB pulse parameters in different distance ranges. The fitted curves are represented by dashed lines with the equation and fitting goodness marked in the upper area of the subplots. (a) Rise time; (b) half-peak width; (c) fall time; and (d) zero-crossing time. The abbreviations Cof and R2 indicate the correlation coefficient and fitting goodness.
  
4.2.2. Influence on Individual PB Pulse
As stated in Section 4.1, the parameter of small-amplitude pulses that travel long propagation distances will be substantially influenced by background noise. To further examine the phenomenon in Figure 8 and mitigate the impact of inaccurate parameter statistics caused by small-amplitude pulses obscured by background noise, we have conducted a separate analysis. This analysis exclusively calculated the parameters of the largest PB pulses radiated by the same PB discharge event. PB pulse recordings were collected at both near and far FALMA sites, each at a distance larger than 10 km to ensure that the observed PB pulses predominantly reflect the radiation component without significant electrostatic or induction components (as defined by Uman et al. []).
An example is provided in Figure 9. Figure 9a,b display the PB waveforms from the near (KSG) and far (TYT) FALMA sites, respectively. As shown in Figure 9c, the distances from the PB locations to the KSG and TYT sites are approximately 33.49 km and 60.55 km, respectively, defined as Dnear and Dfar. The largest PB pulses are marked with red dots. We calculated the ratio of Dnear to Dfar, as well as the ratio of the parameters of the largest pulses at the near sites to those at the far sites.
 
      
    
    Figure 9.
      An illustration of the PB waveform recorded at the near and far FALMA sites. (a) The PB waveform recording at the near FALMA site with a distance of 33.49 km; (b) the PB waveform recording at the far FALMA site with a distance of 60.55 km; and (c) the geographical locations of the PB discharge event and FALMA sites.
  
A total of 391 normal IC and 303 inverted IC flashes are used, excluding other IC flashes due to a lack of PB waveform recordings at the far FALMA sites. As shown in Figure 10, the AM values of Dnear and Dfar in normal (inverted) IC flashes are 31.7 (30.7) km and 66.6 (72.8) km. The statistical results from Gifu, Japan, for normal IC flashes are presented in Figure 11, where the proportions of cases in which the ratio of four pulse parameters observed at near stations exceeds those at far stations are all below 50% (rise time: 46.8%; half-peak width: 28.4%; fall time: 36.8%; and zero-crossing time: 42.5%). This suggests that PB pulses with longer propagation distances tend to exhibit parameters with larger values, aligning with the observations from Figure 8. Conversely, the results for inverted IC flashes, shown in Figure 12, contradict those in Figure 11, with all proportions exceeding 50% (rise time: 62.4%; half-peak width: 63.4%; fall time: 61.4%; and zero-crossing time: 70.3%). This implies that the PB pulse parameters for inverted IC flashes are predominantly larger at near stations than at far stations.
 
      
    
    Figure 10.
      The statistics of the distances between the PB locations and the near/far FALMA sites. (a) Normal IC flashes; (b) inverted IC flashes.
  
 
      
    
    Figure 11.
      The comparison between the parameters of the largest PB pulses in normal IC flashes measured from the near and far FALMA sites. (a) Rise time; (b) half-peak width; (c) fall time; and (d) zero-crossing time.
  
 
      
    
    Figure 12.
      The comparison between the parameters of the largest PB pulses in inverted IC flashes measured from the near and far FALMA sites. (a) Rise time; (b) half-peak width; (c) fall time; and (d) zero-crossing time.
  
To validate these findings, we also averaged the individual amplitude-normalized PB pulse waveforms from near and far stations on a time scale from −30 to 30 μs (where t = 0 corresponds to the peak of the largest PB pulse). The resulting waveforms, depicted in Figure 13 with color-coded lines, reveal that for normal IC flashes, the waveform averaged at near stations is encompassed within that from far stations. However, for inverted IC flashes, the near-station averaged PB pulse waveform nearly exceeds the far-station averaged waveform. The relative positions of the near-station and far-station averaged waveforms in Figure 13 further corroborate the results presented in Figure 11 and Figure 12.
 
      
    
    Figure 13.
      The average (color-coded lines) and individual (thin gray lines) amplitude-normalized PB pulse waveforms from near and far stations, shown on a time scale from −30 to 30 μs (where t = 0 corresponds to the peak of the largest PB pulse). (a) Normal IC flashes; (b) inverted IC flashes.
  
We speculate that the attenuation of high-frequency components during the propagation of electromagnetic waves on finite conductivity and lossy ground may be one of the factors that accounts for the discrepancies observed in this study. Indeed, the PB pulses at far sites tend to be less sharp, leading to slower rise times, larger fall times, and wider half-peak widths or zero-crossing times, as evidenced by the statistical results of normal IC flashes in Figure 11.
Other factors may be related to the characteristics intrinsic to the PB channel, such as initiation altitude, channel length, current propagation velocity, and the peak current of PB pulses. The AM PB initiation altitudes of normal and inverted IC flashes in this paper are 8.1 km and 7.1 km, respectively. As demonstrated by Li et al. [], discharge events occurring at higher altitudes with lower air density will produce pulses with slower rise times. We believe that other PB channel characteristics also have a significant influence on PB pulse parameters. Regarding the inconsistent effects of propagation distance on the PB pulse parameters at proximal (~30 km) and distant (~60 km) sites between normal and inverted IC flashes, as shown in Figure 11 and Figure 12, we speculate that they could be related to various combinations of PB channel characteristics. To test this speculation, we have made a simple simulation of the PB pulses using the conventional transmission line model (Karunarathne et al. [] and Wu et al. []), as detailed in Appendix A. This simulation revealed that different combinations of channel properties could have a notable influence on pulse morphology. Hence, it is inferred that discrepancies should be a reflection of the PB channel properties of normal and inverted IC flashes.
5. Conclusions
In this paper, we have analyzed the parameters of PB pulses in 395 normal and 319 inverted IC flashes that were observed by the Gifu and Ningxia FALMAs, respectively, identifying 11,584 and 6885 pulses. On the basis of the dataset, the PB parameters, characterized by rise time, half-peak width, fall time, and zero-crossing time, were compared between normal and inverted IC flashes. The main conclusions are as follows.
	  
- (1)
- On average, the PB pulses in inverted IC flashes have slower rise times (6.8 vs. 3.1μs), wider half-peak widths (3.8 vs. 2.5 μs) or pulse widths (26.2 vs. 14 μs), and longer fall times (4 vs. 3.2μs) than those in normal IC flashes.
- (2)
- The subjectively set threshold used when identifying PB pulses has a considerable influence on the PB pulse samples. It is hypothesized that a lower threshold will yield a higher number of small-amplitude pulses, whose parameters are affected by background noise. Although the statistical results of PB pulse parameters vary significantly with different thresholds, as long as the same threshold is used, the PB pulse parameters for inverted IC flashes remain consistently larger than those for normal IC flashes.
- (3)
- The average PB parameters, which were divided into different ranges, show positive correlations with propagation distance. Taking the rise time as an example, the linear fit of PB pulses in normal (inverted) IC flashes indicates that the rise time increases by 0.6 (1.0) μs for every 10 km increment. The remaining three parameters show the same dependence on distance.
- (4)
- The influence of propagation distance on the parameters of the largest PB pulses was examined. The results show that for normal/inverted IC flashes, the proportion of cases where the ratio of four pulse parameters observed at near stations to those observed at far stations is more than 1 is below/above 50%. The impact of propagation distance on the largest PB pulse parameters manifests inconsistently between normal and inverted IC flashes. Possible reasons are discussed.
Author Contributions
Conceptualization, D.S.; methodology, D.S.; software, D.S.; validation, D.S.; formal analysis, D.S.; resources, P.G., J.S., D.W., and T.W.; writing—original draft preparation, D.S. and J.Z.; writing—review and editing, D.S.; visualization, D.S.; funding acquisition, D.Z., Q.Q., S.K., and P.G. All authors have read and agreed to the published version of the manuscript.
Funding
This work was supported in part by the National Natural Science Foundation of China (grant 42305070), the Open Research Program of the State Key Laboratory of Severe Weather (2023LASW-B04), the Natural Science Foundation for High Education of Jiangsu Province (24KJB470031), and the Yinchuan Science and Technology Support Program Project (2023GX03).
Data Availability Statement
The original contributions presented in the study are included in the article, further inquiries can be directed to the corresponding author.
Acknowledgments
The authors would like to thank the research members at Gifu University, Japan, and China Science Skyline Tech. Co., China, for their help in carrying out the observation experiments.
Conflicts of Interest
Authors Dongdong Shi and Panliang Gao were employed by the company China Science Skyline Tech. Co. The remaining authors declare that the research was conducted in the absence of any commercial or financial relationships that could be construed as a potential conflict of interest.
Appendix A
The E-change pulse modeling is based on the assumption of a current pulse traveling along a vertical transmission line, as depicted in Figure A1.
 
      
    
    Figure A1.
      An illustration of the calculation of the electric field from the PB channel.
  
In the traditional transmission line (TL) model (Uman and Mclain []), the attenuation factor f (z’) is set as a constant of 1. Hence, current pulse is described by Equation (A1):
      
        
      
      
      
      
    
        where  denotes the peak current value and τ1 and τ2 represent the rise and fall time constants of the current pulse waveform, respectively. η and n are the correlation and gradient factors. The current pulse is inserted at the channel bottom (h1) and then propagates toward the channel end (h2) during the simulation of PB pulses for normal and inverted IC flashes. The distance from the observation point to an altitude element dz’ is denoted as , where D is the horizontal distance from the observation point. The signal is assumed to propagate on a perfectly conducive ground. Thus,  at any given point can be written as shown in Equation (A2) (Uman et al. []):
      
        
      
      
      
      
    
In order to achieve optimal simulation results, we used Particle Swarm Optimization to try different sets of parameters until the correlation coefficient between the simulated and observed pulses was more than 0.98. Figure A2a–d show the simulated PB pulses of normal and inverted IC flashes using different combinations of parameters. Taking normal IC flashes as examples, we can see that in Figure A2a, the calculated PB pulse has a larger rise time at a distance of 60 km compared to 30 km. Conversely, Figure A2b demonstrates that with different PB channel properties, the rise time of the PB pulse at 60 km is shorter than that at 30 km. The same phenomenon can also occur in inverted flashes, as seen in Figure A2c,d. Thus, variations in PB channel properties can significantly influence the parameters of the PB pulse.
 
      
    
    Figure A2.
      Simulated PB pulses of normal and inverted IC flashes using different PB channel parameters. The black and red lines represent the modeled PB pulse waveforms at a distance of 30 km and 60 km, respectively. (a,b) represent PB pulses of normal IC flashes, while (c,d) represent PB pulses of inverted IC flashes.
  
References
- Weidman, C.D.; Krider, E.P. The radiation field wave forms produced by intracloud lightning discharge processes. J. Geophys. Res. Oceans 1979, 84, 3159–3164. [Google Scholar] [CrossRef]
- Gomes, C.; Cooray, V.; Jayaratne, C. Comparison of preliminary breakdown pulses observed in Sweden and in Sri Lanka. J. Atmos. Sol.-Terr. Phys. 1998, 60, 975–979. [Google Scholar] [CrossRef]
- Stolzenburg, M.; Marshall, T.C.; Karunarathne, S.; Karunarathna, N.; Vickers, L.E.; Warner, T.A.; Orville, R.E.; Betz, H.-D. Luminosity of initial breakdown in lightning. J. Geophys. Res. Atmos. 2013, 118, 2918–2937. [Google Scholar] [CrossRef]
- Stolzenburg, M.; Marshall, T.C.; Karunarathne, S.; Karunarathna, N.; Vickers, L.E.; Warner, T.A.; Orville, R.E. Leader observations during the initial breakdown stage of a lightning flash. J. Geophys. Res. Atmos. 2014, 119, 12198–12221. [Google Scholar] [CrossRef]
- Wu, T.; Yoshida, S.; Akiyama, Y.; Stock, M.; Ushio, T.; Kawasaki, Z. Preliminary breakdown of intracloud lightning: Initiation altitude, propagation speed, pulse train characteristics, and step length estimation. J. Geophys. Res. Atmos. 2015, 120, 9071–9086. [Google Scholar] [CrossRef]
- Shi, D.; Wang, D.; Wu, T.; Takagi, N. Temporal and spatial characteristics of preliminary breakdown pulses in intracloud lightning flashes. J. Geophys. Res. Atmos. 2019, 124, 12901–12914. [Google Scholar] [CrossRef]
- Nag, A.; Rakov, V.A. Pulse trains that are characteristic of preliminary breakdown in cloud-to-ground lightning but are not followed by return stroke pulses. J. Geophys. Res. Atmos. 2008, 113, D01102. [Google Scholar] [CrossRef]
- Nag, A.; Rakov, V.A. Electric field pulse trains occurring prior to the first stroke in negative cloud-to-ground lightning. IEEE Trans. Electromagn. Compat. 2009, 51, 147–150. [Google Scholar] [CrossRef]
- Baharudin, Z.A.; Ahmad, N.A.; Fernando, M.; Cooray, V.; Mäkelä, J.S. Comparative study on preliminary breakdown pulse trains observed in Johor, Malaysia and Florida, USA. Atmos. Res. 2012, 117, 111–121. [Google Scholar] [CrossRef]
- Zhu, Y.; Rakov, V.A.; Tran, M.D. A study of preliminary breakdown and return stroke processes in high-intensity negative lightning discharges. Atmosphere 2016, 7, 130. [Google Scholar] [CrossRef]
- Zhang, Y.; Zhang, Y.; Lu, W.; Zheng, D.; Meng, Q. An analysis of the initial breakdown pulses for positive cloud-to-ground flashes. IEEJ Trans. Power Energy 2012, 132, 542–547. [Google Scholar] [CrossRef]
- Miranda, F.J.; Pinto, J.O.; Saba, M.M.F. Occurrence of characteristic pulses in positive ground lightning in Brazil. In Proceedings of the 19th International Lightning Detection Conference (ILDC), Tucson, AZ, USA, 24–25 April 2006. [Google Scholar]
- Ushio, T.; Kawasaki, Z.I.; Matsu-ura, K.; Wang, D. Electric fields of initial breakdown in positive ground flash. J. Geophys. Res. Atmos. 1998, 103, 14135–14139. [Google Scholar] [CrossRef]
- Gomes, C.; Cooray, V. Radiation field pulses associated with the initiation of positive cloud to ground lightning flashes. JJ. Atmos. Sol.-Terr. Phys. 2004, 66, 1047–1055. [Google Scholar] [CrossRef]
- Smith, E.M.; Marshall, T.C.; Karunarathne, S.; Siedlecki, R.; Stolzenberg, M. Initial breakdown pulse parameters in intracloud and cloud-to-ground lightning flashes. J. Geophys. Res. Atmos. 2018, 123, 2129–2140. [Google Scholar] [CrossRef]
- Shi, D.; Wang, D.; Wu, T.; Takagi, N. Correlation between the first return stroke of negative CG lightning and its preceding discharge processes. J. Geophys. Res. Atmos. 2019, 124, 8501–8510. [Google Scholar] [CrossRef]
- Shi, D.; Wang, D.; Wu, T.; Takagi, N. A comparison on the E-change pulses occurring in the bi-level polarity-opposite charge regions of the intracloud lightning flashes. J. Geophys. Res. Atmos. 2020, 125, e2020JD032996. [Google Scholar] [CrossRef]
- Gao, P.; Wu, T.; Wang, D. Initial results of long-term continuous observation of lightning discharges by FALMA in Chinese inland plateau region. Atmosphere 2021, 12, 514. [Google Scholar] [CrossRef]
- Wu, T.; Wang, D.; Takagi, N. Lightning mapping with an array of fast antennas. Geophys. Res. Lett. 2018, 45, 3698–3705. [Google Scholar] [CrossRef]
- Zheng, D.; Shi, D.; Zhang, Y.; Zhang, Y.; Lyu, W.; Meng, Q. Initial leader properties during the preliminary breakdown processes of lightning flashes and their associations with initiation positions. J. Geophys. Res. Atmos. 2019, 124, 8025–8042. [Google Scholar] [CrossRef]
- Leal, A.F.R.; Rakov, V.A. Characterization of lightning electric field waveforms using a large database: 2. Analysis and results. IEEE Trans. Electromagn. Compat. 2021, 63, 1989–1997. [Google Scholar] [CrossRef]
- Li, J.; Cai, L.; Wang, J.; Zhou, M.; Fan, Y.; Li, Q. Electrical field parameters of natural return strokes at different distances. IEEE Trans. Electromagn. Compat. 2022, 64, 786–794. [Google Scholar] [CrossRef]
- Shi, D.; Gao, P.; Wu, T.; Wang, D.; Jiang, W. Pulse parameters and peak currents of return strokes observed by the Ningxia FALMA in the Chinese inland areas. Remote Sens. 2022, 14, 1838. [Google Scholar] [CrossRef]
- Uman, M.A.; McLain, D.K.; Krider, E.P. The electromagnetic radiation from a finite antenna. Am. J. Phys. 1975, 43, 33–38. [Google Scholar] [CrossRef]
- Li, X.; Cui, X.; Lu, T.; Li, D.; Chen, B.; Fu, Y. Influence of air pressure on the detailed characteristics of corona current pulse due to positive corona discharge. Phys. Plasmas 2016, 23, 123516. [Google Scholar] [CrossRef]
- Karunarathne, N.; Marshall, T.C.; Karunarathne, S.; Stolzenburg, M. Studying sequences of initial breakdown pulses in cloud-to-ground lightning flashes. J. Geophys. Res. Atmos. 2020, 125, e2019JD032104. [Google Scholar] [CrossRef]
- Wu, B.; Zhang, G.; Wen, J.; Zhang, T.; Li, Y.; Wang, Y. The characteristic and current model of radiation impulse in lightning initial preliminary breakdown process. J. Appl. Meteor. Sci. 2017, 28, 555–567. (In Chinese) [Google Scholar]
- Uman, M.A.; Mclain, D.K. Magnetic Field of Lightning Return Stroke. J. Geophys. Res. Atmos. 1969, 74, 6899–6910. [Google Scholar] [CrossRef]
| Disclaimer/Publisher’s Note: The statements, opinions and data contained in all publications are solely those of the individual author(s) and contributor(s) and not of MDPI and/or the editor(s). MDPI and/or the editor(s) disclaim responsibility for any injury to people or property resulting from any ideas, methods, instructions or products referred to in the content. | 
© 2024 by the authors. Licensee MDPI, Basel, Switzerland. This article is an open access article distributed under the terms and conditions of the Creative Commons Attribution (CC BY) license (https://creativecommons.org/licenses/by/4.0/).
