Abstract
A total of 24 hydropower stations are planned for construction in the upper Yellow River, from the Longyangxia to the Qingtongxia section, with completion anticipated by 2050. These stations represent the densest and highest-capacity reservoirs in China and play a crucial role in the ecological preservation and water resource management of the Yellow River Basin. To assess the ecological impacts of reservoirs on the surrounding environment, we analyzed vegetation dynamics in 10 reservoir areas between 2000 and 2020 using the normalized difference vegetation index (NDVI), examined the relationship between vegetation and climatic elements using biased correlation, and quantified the impacts of climatic factors and reservoir construction on the riparian vegetation using a generalized linear model (GLM) and path analysis. The findings indicated that the rate of vegetation growth declined after reservoir construction, and the overall trend indicated greening. Climate change impacts on riparian vegetation showed significant spatial heterogeneity, and the GLM analysis identified reservoir construction as the primary contributor to riparian vegetation dynamics, with a contribution rate of >50%. Temperature and soil moisture were the main climatic factors influencing vegetation growth in the reservoir area, with a 10–20% contribution rate. Path analysis further verified that reservoir construction directly enhanced riparian vegetation growth (with an impact coefficient of 0.514) and indirectly affected vegetation by altering the microclimate. This study emphasizes the importance of reservoir construction in assessing the relationship between riparian vegetation and climatic factors and provides insights for improved ecological conservation and water resource management strategies.
1. Introduction
The Yellow River, China′s second-longest river, is the country′s largest in terms of sand transport. Its upstream section, stretching 918 km from Longyangxia to Qingtongxia, contains China′s densest and highest-capacity reservoirs. However, while constructing these reservoirs offers significant social and economic benefits, it negatively impacts the local ecological environment. In the Yellow River Basin, the combined effects of reservoir construction and climate change have profoundly affected the regional ecosystem. For example, reservoir construction has led to increased evapotranspiration and reduced soil moisture by altering hydrological conditions, precipitation patterns, and soil properties, thereby affecting vegetation growth and the efficiency of the water cycle [1,2,3,4,5,6,7]. Reservoir construction directly affects vegetation through changes in land use and land cover (LUCC) and indirectly influences vegetation dynamics through climatic factors [8,9,10]. Therefore, the interrelationships between reservoir construction, climate, and vegetation contribute to a more comprehensive assessment of the impacts of reservoirs on ecosystems.
Reservoir construction′s impact on microclimates has attracted significant attention. Large reservoirs significantly influence both hydrological and climatic conditions [11,12]. Grill et al. [13] noted that reservoirs globally alter hydrological conditions, impacting riparian ecosystems and climate, especially temperature and precipitation patterns. Chen et al. [14] reported changes in temperature and humidity due to reservoir construction, which also moderated precipitation. Wang et al. [15] found that reservoirs along the upper Yellow River regulate local temperatures by influencing evapotranspiration and precipitation, affecting long-term climate change.
Reservoir construction alters hydrological conditions, including water levels, soil moisture, and climatic factors, impacting riparian vegetation growth [16]. Zhao et al. [12] demonstrated that such developments influence local climatic conditions, especially evapotranspiration and precipitation. Elevated evapotranspiration over reservoirs reduces air moisture, creating unfavorable conditions for surrounding plant communities. In regions like the Tibetan Plateau, reservoir-induced changes in local microclimates, including elevated temperatures and increased evaporation, impair vegetation health [17]. Wu et al. [11] reported that reservoir construction in the Yellow River Basin inhibited plant growth by altering hydrological dynamics, weakening vegetation, and reducing water cycle efficiency, accelerating ecological degradation. Land-use changes from reservoir construction have exacerbated these challenges. Bao et al. [18] observed water resource imbalances in the middle Yellow River, while Li et al. [19] highlighted the combined impact of reservoir construction and climate change on vegetation. Increased surface evaporation, altered precipitation, and reduced soil water content pose severe threats to plant health, highlighting the ecological consequences of reservoir development.
The section of the upper Yellow River from Longyangxia to Qingtongxia is one of the most densely concentrated areas of terraced reservoirs in China. The construction of these reservoirs has substantially altered the environment and climate, affecting transportation, agriculture, ecosystems, water resources, and energy supply [20,21,22,23]. Reservoir construction causes rapid changes in regional land cover. For instance, reservoir impoundment significantly increases the watershed area and alters the local microclimate and ecosystems. Although previous studies have explored the impacts of reservoirs on local climate change, research on the integrated assessment of both local climate and ecological changes resulting from reservoir construction remains limited [24,25,26]. To address this gap, this study selects the upper Yellow River reservoir as the study site, aiming to analyze the following issues through remote sensing image analysis and GIS technology: (1) assessing the long-term spatial and temporal trend changes of vegetation and climatic factors before and after reservoir construction; (2) exploring the interactions between riparian vegetation, reservoir construction, and climatic factors; and (3) quantifying the contributions of both reservoir construction and climatic factors to the riparian vegetation growth. The findings from this study will provide valuable insights and serve as theoretical references for the development of ecological conservation strategies aimed at mitigating the impacts of environmental changes.
2. Materials and Methods
2.1. Study Area
The study area is located in the upper reaches of the Yellow River in the southeastern part of the Qinghai-Tibetan Plateau (Figure 1a,b), with geographic coordinates of 35°25′N–36°25′N and 100°32′E–103°46′E, covering an area of approximately 15,276.78 km2. The terrain is characterized by plateaus and mountains, with significant variations in elevation. The climate of the region is typical of the plateau continental climate, with a multi-year average temperature of 5.4 ± 2.6 °C (mean ± standard deviation, hereinafter the same), average precipitation of 465.5 ± 54.1 mm, average soil humidity of 24.6 ± 5.0%, and average potential evapotranspiration (ETp) of 928.5 ± 96.4 mm (Figure 1d–g), respectively. Since the 2000s, numerous reservoirs have been constructed, resulting in the densest and highest-capacity terraced hydropower projects represented by the Longyangxia, Lijiaxia, Liujiaxia, and Yanguoxia reservoirs (Figure 1h), with a total installed capacity of 22,500 MW (Table 1). These reservoirs serve multiple purposes, including water conservation, flood control, hydropower generation, and irrigation facilitation. Although reservoir construction regulates hydrological conditions, it also affects riparian vegetation and ecosystems. As a result, the long-term impacts of reservoirs on climate and vegetation have become a prominent area of research in recent years [27].
Figure 1.
Location map of study area: (a,b) location map of study area; (c) elevation map; (d–g) multi-year average temperature, precipitation, ETp, and soil moisture; and (h) satellite view of reservoirs.
Table 1.
Basic properties of each reservoir.
2.2. Data Sources
The hydrological data for this study were mainly sourced from the Yellow River Hydrological Yearbook, which provides detailed information on the major reservoirs in the Yellow River, including name, year of construction, elevation, area, reservoir capacity, average water depth, installed capacity, and size (Table 1). The topographic elevation model (DEM) data, with a spatial resolution of 30 m, were obtained from the geospatial data cloud platform: https://www.gscloud.cn/ (accessed on 13 April 2024). These data were utilized to extract and analyze the topographic features of the study area, forming the basis for examining the spatial relationship between hydrological processes and vegetation changes. The boundary data of the Yellow River Basin were obtained from the Center for Resource and Environmental Science and Data: http://www.resdc.cn/ (accessed on 16 April 2024). These data were used to determine the geographic boundary conditions of the study, enabling a more precise analysis of the ecological changes within the basin. Meteorological data, used to characterize climate change, were retrieved from the National Scientific Data Center for the Tibetan Plateau: https://data.tpdc.ac.cn/ (accessed on 18 April 2024). Based on daily observation data from meteorological stations, annual mean temperature, precipitation, and potential evapotranspiration (ETp) datasets with a spatial resolution of 1 km were generated for the period 2000–2020 through classification, computation, and spatial interpolation. These datasets provide fine-scale climate information to aid the analysis of the relationship between long-term meteorological conditions and changes in riparian vegetation in this study. The normalized difference vegetation index (NDVI) data were obtained from the MOD13Q1 dataset provided by NASA: https://lpdaac.usgs.gov/ (accessed on 24 April 2024). for the period 2000–2020, with spatial and temporal resolutions of 16 d and 250 m, respectively. To minimize errors during data preparation, the maximum value synthesis method was used to calculate the annual NDVI values to capture the optimal vegetation growth conditions throughout the year. The NDVI, a critical indicator of the vegetation growth condition and spatial distribution, is widely used to assess the impact of reservoir development on riparian vegetation. In this study, to ensure comparability with the meteorological dataset, we applied the bilinear interpolation method to the NDVI and soil moisture datasets (with a spatial resolution of 1 km), using the nearest-neighbor algorithm.
2.3. Analytical Methods
In addition to studying the direct impacts of reservoir construction on the surrounding vegetation, we also investigated the potential indirect impacts of climate change. First, we analyzed trends in the NDVI and climate variables before and after reservoir construction. Next, partial correlation analysis was used to explore the relationship between the NDVI and climate variables. A generalized linear model (GLM) was then employed to quantify the impacts of precipitation, temperature, ETp, soil moisture, and the reservoir on the surrounding vegetation. Finally, path analysis was used to further elucidate the mechanism of the reservoir′s impacts on the surrounding vegetation (Figure 2).
Figure 2.
Flowchart of analytical methods.
2.3.1. Buffer Analysis
Buffer zone analysis is an essential spatial analysis function in Geographic Information Systems (GIS), widely applied in land-use and topographic studies. Mingarro et al. [28] noted that vegetation and climate within a 10 km radius of reservoirs are particularly sensitive to environmental changes, indicating that this area is the core zone of reservoir impacts. Studies by Ouyang et al. [29] and Tian et al. [30] also found that vegetation changes after reservoir construction were most significant within a 10 km range, particularly showing considerable fluctuations in climate responses. Furthermore, research in the middle reaches of the Yangtze River demonstrated that the value of ecosystem services (ESV) varied most significantly within a 10 km radius from the water source, especially in terms of ecological functions such as water source protection and carbon storage [31,32]. Therefore, for the selected reservoirs in the upper reaches of the Yellow River, a 10 km buffer zone around each reservoir was chosen to assess the impact of reservoirs on local climate and vegetation. This approach helps to comprehensively evaluate the effects of reservoir construction on vegetation.
2.3.2. Trend Analysis
To investigate the dynamic changes in vegetation and climate elements within the reservoir area over time, we employed two complementary statistical methods: linear regression analysis and the Mann–Kendall–Sen (MK–Sen) test. These methods enable the identification and quantification of temporal trends at the pixel scale across the study period, supporting a comprehensive assessment of ecological impacts related to reservoir construction.
- Linear Regression Method: We applied the least squares method to perform linear regression on the annual mean values of NDVI and selected climate variables for each pixel. The slope of the fitted line reflects the trend over time and is calculated as
- 2.
- MK–Sen Test: To improve the robustness of trend detection, we applied the MK–Sen test, which integrates the Mann–Kendall (M-K) test, a non-parametric method for assessing the significance of monotonic trends, and Sen′s slope estimator, a non-parametric approach for quantifying the rate of change. This combined method is particularly effective for identifying long-term trends in environmental time-series data, such as the NDVI, temperature, and precipitation.
For each pixel, we computed Sen′s slope (β) to quantify the trend magnitude and derived the corresponding p-value from the M-K test to evaluate its statistical significance. A trend is considered statistically significant when p < 0.05. To facilitate the interpretation of spatial patterns, both the slope values and their significance levels (p-values) are explicitly presented in the figure captions.
2.3.3. Partial Correlation Analysis
As a statistical tool, the partial correlation coefficient measures the degree of linear association between a target variable and a specific variable while controlling for possible interference from other variables [33,34]. In this study, we employed partial correlation analysis to explore the relationship between vegetation changes and meteorological factors, such as temperature, precipitation, ETp, and soil moisture, in the upper Yellow River reservoir area over the past two decades. Specifically, we focused on the changes in these factors before and after reservoir construction. By calculating the partial correlation coefficients between the NDVI and each climatic parameter, we sought to reveal the specific mechanisms through which each factor influences vegetation dynamics. For instance, when investigating the link between the NDVI and temperature, we accounted for the effects of precipitation, ETp, and soil moisture.
where represents the NDVI; , , , and denote temperature, precipitation, ETp, and soil moisture, respectively. This method enables the quantification of each variable′s independent effect on the NDVI under complex climatic conditions, thus enhancing the understanding of vegetation response patterns to climate change in the reservoir area.
2.3.4. Generalized Linear Modeling (GLM)
GLM is a versatile statistical approach that extends traditional linear regression by modeling the relationships between response and explanatory variables. This adaptability makes GLM particularly effective for studying ecosystems, where multiple interacting factors contribute to complex dynamics. Researchers have frequently employed GLM to assess environmental impacts. For example, Jiang et al. [35] investigated the effects of the Three Gorges Reservoir on riparian vegetation. By applying GLM, they quantified how climatic variables, including temperature, precipitation, etc., influenced vegetation dynamics. In this study, we adopt GLM to investigate similar ecological effects, specifically focusing on how reservoir construction impacts riparian vegetation in the study area. To achieve this, we used a set of tailored equations to quantify the contributions of reservoir construction, temperature, precipitation, ETp, and soil moisture to vegetation dynamics. Our analysis not only considered the direct effects of these factors but also explored their interactions.
where represents the NDVI; , , , , and denote temperature, precipitation, ETp, soil moisture, and reservoir construction, respectively, with reservoir construction treated as a categorical variable. , , , , and are the coefficients, while is the residual. Additionally, the relative importance of these five climatic factors on NDVI variation was analyzed using MATLABR2024a.
2.3.5. Path Analysis
In addition to GLM, this study utilized the R package “lavaan” for path analysis to further quantify the complex interactions among reservoir construction, vegetation cover, and climatic factors. Specifically, we examined the direct and indirect impacts of reservoir construction on vegetation cover, precipitation, temperature, ETp, and soil moisture. The interrelationships between variables were further identified by establishing directional relationships between variables and clarifying the relationship between the dependent variable (vegetation change) and the independent variables (reservoir construction and climatic factors), while also examining the impacts of reservoir construction and climate change. We quantified the complex relationship between reservoir construction, regional microclimate, and vegetation through path analysis. A comprehensive understanding of the impacts of reservoir construction on riparian vegetation is essential for assessing the overall ecological impacts of reservoirs [1]. In the path analysis model, we optimized the selection of paths by removing non-significant paths to ensure a more reasonable model structure. During model validation, we employed fit indices such as the relative chi-square (CMIN/DF), root mean square error of approximation (RMSEA), and comparative fit index (CFI) to assess model performance. Specifically, values such as CMIN/DF < 5, RMSEA < 0.05, and CFI > 0.95 indicate that the model fits well and meets reasonable fit criteria. These indices suggest that our path analysis model reliably captures the causal relationships between reservoir construction, climate factors, and the NDVI.
3. Results
3.1. Spatial and Temporal Changes in Vegetation
By comparing the rate of change of the NDVI in each reservoir area before and after reservoir construction, the results revealed that NDVI change occurred in distinct stages. Although the NDVI showed an increasing trend in both phases, the rate of vegetation greening significantly declined after reservoir construction compared to the pre-construction phase. For example, the rate of NDVI change was relatively small in the LX, NN, JS, and SG reservoirs. The positive impact of reservoir construction on vegetation recovery was more significant in these areas, with the rate of change decreasing slightly from 0.0076–0.0127 a−1 to 0.0026–0.0047 a−1 (Figure 3). However, the rate of NDVI change in the GB and SZ reservoirs decreased significantly. In GB, the rate dropped from 0.0313 a−1 (p < 0.05) to 0.0021 a−1 (p < 0.05), and in SZ, it declined from 0.0176 a−1 (p < 0.05) to 0.0014 a−1 (p > 0.05), indicating a significant decrease in the rate of vegetation recovery. This trend aligns with the findings of Li et al. [19], who observed that the rate of NDVI increase in the reservoir area significantly declined after reservoir construction, especially in the impoundment area, where vegetation recovery was slower. We believe that although water source regulation during the early stages of reservoir construction facilitated vegetation growth, as the ecological environment gradually stabilized, other environmental factors, such as land-use changes and climate change, might slow down the growth rate of the NDVI. Therefore, while we initially observed a higher NDVI growth rate, we do not expect this growth to continue indefinitely.
Figure 3.
Rate of change of NDVI before and after reservoir construction from 2000 to 2020. Areas with statistically significant trends (p < 0.05) are marked, while p > 0.05 indicates non-significant trends.
Over the past 20 years, all reservoirs have experienced extensive greening, with an upward trend in the NDVI (Figure 4). Before reservoir construction, approximately 90% of the areas exhibited healthy vegetation growth, while around 10% showed slight degradation. However, after the reservoirs were constructed, the proportion of areas with significant increases in the NDVI declined, particularly in regions such as LX, HF, JS, and SG, where the NDVI decreases were 56%, 61%, 60%, and 68%, respectively. The spatial distribution of these changes is not uniform, with a particularly noticeable decline in the NDVI around the reservoirs. Specifically, the NDVI within a 1–2 km radius of the reservoirs showed a significant decrease, likely due to the destruction of original vegetation communities during reservoir construction and the negative effects of urban expansion. In the reservoir buffer zones, the area of degraded vegetation increased significantly, accounting for approximately 20% of the total area. Of these degraded areas, about 5% exhibited severe degradation, with the majority located in urbanized regions. While the overall trend in the reservoir areas indicates a greening effect, the degradation in surrounding areas, especially near the shorelines, remains a concern. Spatial analysis (Figure 4) further reveals a marked decrease in the NDVI within a 1–2 km radius around the reservoirs, which can likely be attributed to the destruction of native vegetation and the expansion of urban areas. Although regions farther from the reservoirs have seen significant vegetation recovery, aided by the regulating role of water sources, the ecological impacts around the reservoirs remain pronounced. These findings underscore the long-term effects of reservoir construction on surrounding ecosystems, particularly in the context of changes in microclimate and hydrological conditions, highlighting the complexity and urgency of ecological protection in these areas.
Figure 4.
NDVI change process from 2000 to 2020.
Research has shown that reservoir water storage regulation significantly impacts grasslands and water bodies within watersheds, particularly in areas proximal to the water source, where the vegetation NDVI is notably reduced [29]. Additionally, Cao et al. [36] reported that the vegetation NDVI changes in the upper Yellow River region due to reservoir construction exhibited significant spatial and temporal differences. Specifically, vegetation near the impoundment area recovered slowly, with a marked decrease in growth rates. These studies confirm the long-term adverse effects of reservoir construction on adjacent ecosystems, particularly the substantial slowdown in NDVI growth under altered microclimatic and hydrological conditions. Similar trends have been observed in other regions [37].
3.2. Temporal and Spatial Variability of Climatic Factors
As illustrated in Figure 5, the post-reservoir construction period is characterized by marked increases in vegetation cover, temperature, precipitation, ETp, and soil moisture compared to the pre-construction period. However, the rate of change varies significantly across regions.
Figure 5.
Mean (m) and slope (t) of each reservoir environmental factor before and after reservoir construction. (a–e) represent NDVI, temperature, precipitation, ETp, and soil moisture, respectively.
We observed an overall increasing trend in the NDVI (vegetation cover) within the buffer zones of all reservoirs. However, following reservoir impoundment, the rate of vegetation growth in the terrace watersheds was comparatively slower (Figure 5a), suggesting that the construction of terrace reservoirs may have inhibited vegetation growth. The temperature trend after reservoir construction mirrored the trend before construction; however, the rate of temperature increase declined (Figure 5b), indicating that reservoir storage contributed to a reduction in the interannual rate of temperature rise. Regarding precipitation (Figure 5c), an overall increase was observed, except for the ZG, KY, GB, and SZ reservoirs, where precipitation trends declined. This variation highlights the spatial heterogeneity of reservoir impacts on precipitation, which appear strongly influenced by the reservoirs′ locations and geographical characteristics. Changes in ETp were also notable (Figure 5d), with most areas experiencing increased ETp after reservoir construction, although the overall rate declined. This finding indicates that reservoir storage reduces natural ETp. Notably, the NN and LJ reservoirs exhibited a shift from decreasing to increasing trends, potentially due to the reservoirs altering local microclimatic conditions, thereby enhancing water vapor availability and promoting ETp. For soil moisture (Figure 5e), an increase was recorded along the reservoir banks post-construction, with a markedly accelerated growth rate. However, the LX and NN reservoir areas showed declining rates of soil moisture growth. In conclusion, reservoirs exert a sustained moderating effect on the local climate, with region-specific patterns of influence that may be closely associated with the intrinsic characteristics of the reservoirs and topographic conditions. Consequently, the impact of reservoirs on the local climate is multifaceted and complex.
The NDVI exhibited notable spatial changes (Figure 6a), particularly in the LX to SG reservoir regions, where a pronounced downward trend was observed post-construction. This trend indicates that water storage activities contributed to the degradation of regional vegetation. However, vegetation along the lower bank of the SG reservoir increased significantly, suggesting that the reservoir improved water distribution in the lower elevation areas, thereby promoting vegetation growth. Regarding temperature changes (Figure 6b), an overall upward trend was observed before reservoir construction, with the most pronounced increases occurring in the NN to KY region. Clear spatial heterogeneity emerged post-construction, with temperature variations ranging from 0.025–0.045 °C/a to −0.088–0.192 °C/a. The cooling trend was predominantly concentrated in the reservoir areas, indicating that the construction of terraced reservoirs effectively moderated the local climate, reduced warming, and improved the environment. For precipitation (Figure 6c), an increasing trend was observed across all regions before construction, except downstream of SG. After construction, precipitation increased markedly, with the overall trend shifting from −2.36–9.18 mm/a to 3.38–15.53 mm/a, particularly in the LJ to SG region. ETp (Figure 6d) exhibited an overall increasing trend before construction but decreased significantly after construction, changing from −1.18 to 2.16 mm/a to −5.80 to −2.10 mm/a. This result indicates that the reservoir effectively reduced local ETp. Soil moisture (Figure 6e) showed a decreasing trend in most areas before construction, with slight increases observed in certain areas upstream of KY. After construction, soil moisture increased significantly, particularly in areas around the reservoir. This change aligns with the observed increase in precipitation, indicating that reservoir construction substantially enhanced soil moisture retention and regulation capacity, thereby improving the regional water supply.
Figure 6.
Spatial trends in terraced watersheds before and after reservoir impoundment. B indicates before reservoir construction; A indicates after reservoir construction. (a–e) represent NDVI, temperature, precipitation, ETp, and soil moisture, respectively.
3.3. Relationship Between Vegetation and Climatic Factors
Reservoir construction plays a crucial role in vegetation restoration and ecological improvement in the environmentally fragile regions of the Yellow River′s upper reaches. Partial correlation analysis revealed differences in the partial correlation coefficients between climatic factors (e.g., temperature, precipitation, ETp, and soil moisture) and vegetation changes before and after reservoir impoundment (Figure 7). These findings highlight the reservoirs′ significant influence on local climate regulation and water resource management.
Figure 7.
Spatial distribution of partial correlation coefficients between climatic factors and changes in vegetation cover. B indicates before reservoir construction; A indicates after reservoir construction. (a–d) represent temperature, precipitation, evapotranspiration, and soil moisture, respectively.
This study revealed a predominantly positive correlation between temperature and the NDVI (Figure 7a). This positive correlation became more pronounced following reservoir construction, particularly around the reservoir area, while the overall correlation remained positive. This finding indicates that the influence of temperature on vegetation increased over the study period. Precipitation consistently demonstrated a positive correlation with the NDVI (Figure 7b). However, the area exhibiting a negative correlation expanded after reservoir construction, especially in the upstream section of the SG reservoir, suggesting that the impact of precipitation on vegetation weakened during the study period. The correlation between ETp and the NDVI underwent a notable shift (Figure 7c), transitioning from positive to negative after reservoir construction, signifying that water loss due to ETp constrained vegetation growth. Regarding soil moisture (Figure 7d), its correlation with the NDVI displayed significant spatial variability before reservoir construction, with positive correlations upstream and negative correlations downstream, demarcated by the boundary of the GB reservoir. After reservoir construction, the degree of positive correlation decreased, particularly around the reservoir area, indicating that reduced soil moisture contributed to vegetation development post-construction. These findings underscore the significant role of reservoir construction in modulating regional water supply and influencing vegetation growth.
As shown in Figure 8, the correlation coefficients between the climatic factors and the NDVI changed significantly after reservoir storage, highlighting the profound impact of reservoir construction on local climate and vegetation growth. Notably, most reservoirs exhibited trends comparable to those of the ZT reservoir, where the correlation between temperature and the NDVI increased, while the correlations between the NDVI and precipitation, ETp, and soil moisture decreased. The positive correlation between temperature and the NDVI generally increased after reservoir construction. However, this correlation shifted from negative to positive in some areas, such as the HF and JS reservoirs. This indicates that reservoir construction altered local climatic conditions, enhancing the positive effect of temperature on vegetation growth. Conversely, the correlation between precipitation and the NDVI decreased, as observed in the ZT basin, where it reduced from 0.319 to 0.194. This trend indicates that reservoir construction increased regional precipitation, thereby promoting vegetation growth. The correlation between ETp and the NDVI shifted from positive (0.122) to negative (−0.092), suggesting that reservoir construction altered the microclimate, with increased water loss subsequently inhibiting vegetation growth. Similarly, the positive correlation between soil moisture and the NDVI weakened. For example, in the ZT watershed, this correlation decreased from 0.274 to 0.184, suggesting that elevated soil moisture levels after reservoir construction negatively affected plant growth. In summary, reservoir construction positively influenced vegetation by increasing temperature, precipitation, and soil moisture while exacerbating the negative impacts of ETp on vegetation. These findings suggest that reservoirs play a positive role in regulating the regional water cycle and promoting vegetation recovery. However, their overall impact on local climatic conditions requires further comprehensive ecological investigation.
Figure 8.
Correlation coefficients between climatic factors and vegetation changes before and after reservoir construction.
4. Discussion
4.1. Biased Correlation Analysis of Vegetation and Climate Factors
Our results indicated that the NDVI showed a consistent growth trend before and after reservoir construction. However, the growth rate declined following reservoir impoundment (Figure 3), and significant vegetation degradation was observed in areas near the reservoir (Figure 4), suggesting that reservoir impoundment positively impacted the regional vegetation but negatively impacted vegetation in the areas around the reservoir.
Temperature is the main variable in the interaction of reservoir vegetation with precipitation, temperature, ETp, and soil moisture. As shown in Figure 8, the correlation between the NDVI and temperature remained consistently positive before and after reservoir construction, with this correlation strengthening post-construction. This trend aligns with the findings of Wen et al. [37] and Tian et al. [38], which suggest that the increase in temperature following reservoir construction facilitated vegetation growth in the reservoir area. Liu et al. [39] showed that temperature increases positively influenced the NDVI of grasses and shrubs in the upper reaches of the Yellow River. Vegetation growth is significantly correlated with temperature; however, extremes in temperature, either too high or too low, can hinder vegetation growth. The optimal temperature range for vegetation growth varies across regions. For example, the optimal temperature for the Tibetan Plateau is approximately 7 °C, above 22 °C in the middle and lower reaches of the Yangtze River and in the south, and between 5 °C and 15 °C in the Yellow River Basin [36,39,40].
The relationship between precipitation and vegetation is critical in ecological studies, particularly in regions such as the Yellow River Basin, where water resources are limited. Our results (Figure 8) indicated a positive correlation between precipitation and the NDVI, suggesting that increased precipitation promotes vegetation growth in the reservoir areas [41]. However, this positive correlation weakened after the reservoirs were constructed, indicating that the alteration of hydrological conditions due to reservoir construction in the upper Yellow River Basin significantly suppressed the response of vegetation to precipitation [42,43]. The findings of Wen et al. [37] for the Three Gorges Reservoir and Mallick et al. [44] for the Bisha Basin in Saudi Arabia further confirmed that reservoir construction weakened the correlation between precipitation and the NDVI. Additionally, related studies have shown that the vegetation NDVI exhibits a strong correlation with precipitation in China, especially in grasslands and deciduous broadleaf forests, where an annual precipitation of 150–500 mm is the appropriate range; however, excessively low or high precipitation levels can inhibit vegetation growth [14,45].
The reservoir construction significantly altered the interaction between ETp and vegetation growth in the region. As illustrated in Figure 8, ETp and the NDVI exhibited a predominantly negative correlation, which became more evident after reservoir construction [46,47,48]. These findings suggest that reservoirs enhance local ETp, thus reducing water availability for plant growth and limiting vegetation development. Reservoirs in the upper Yellow River region exert complex ecological effects, primarily by modifying the basin′s hydrological conditions, which subsequently impact vegetation dynamics [49]. Specifically, the availability of water resources significantly influences the relationship between ETp and the NDVI in this region. Under drought conditions, an increase in vegetation cover typically leads to a decrease in ETp, further highlighting the critical role of soil moisture in sustaining vegetation [50,51,52].
Soil moisture is critical for vegetation growth. Typically, increased soil moisture fosters vegetation recovery and development. However, our findings indicated that the positive impact of soil moisture on the NDVI was diminished during reservoir construction. This effect was primarily attributed to factors such as ETp and an uneven distribution of precipitation [41,53]. As indicated in prior studies, excessive soil moisture can lead to root hypoxia in plants and the leaching of essential soil nutrients. Conversely, insufficient moisture levels limit photosynthesis and hinder vegetation growth. Notably, research highlights that maintaining soil moisture within the range of 25–33% optimizes plant transpiration and carbon fixation, enabling vegetation to reach its maximum growth potential [54,55,56].
The effects of climate change on vegetation dynamics in the upper reservoir area of the Yellow River exhibit clear spatial variability. Precipitation and temperature are key factors influencing vegetation distribution. In areas covered by grass and shrubs, precipitation plays a significant role in determining NDVI values [57]. The NDVI has been increasing in the Yellow River Basin, with this increase positively correlated with temperature and precipitation. However, this trend is not uniform and varies with location and time [58]. At lower elevations in the Yellow River area, temperature is the dominant factor affecting the NDVI, especially in arid and semi-arid regions [59]. Diurnal temperature variations are also critical to vegetation growth in these regions, with higher daytime temperatures particularly beneficial for plant growth [60]. A key finding of this study is that after reservoir construction, temperature and soil moisture exert a stronger influence on the NDVI than precipitation and ETp. This suggests that reservoir construction has likely altered local microclimatic conditions, making soil moisture and temperature the dominant drivers of vegetation changes in the reservoir area.
4.2. Contribution of Climatic Factors and Reservoir Construction to Vegetation Cover
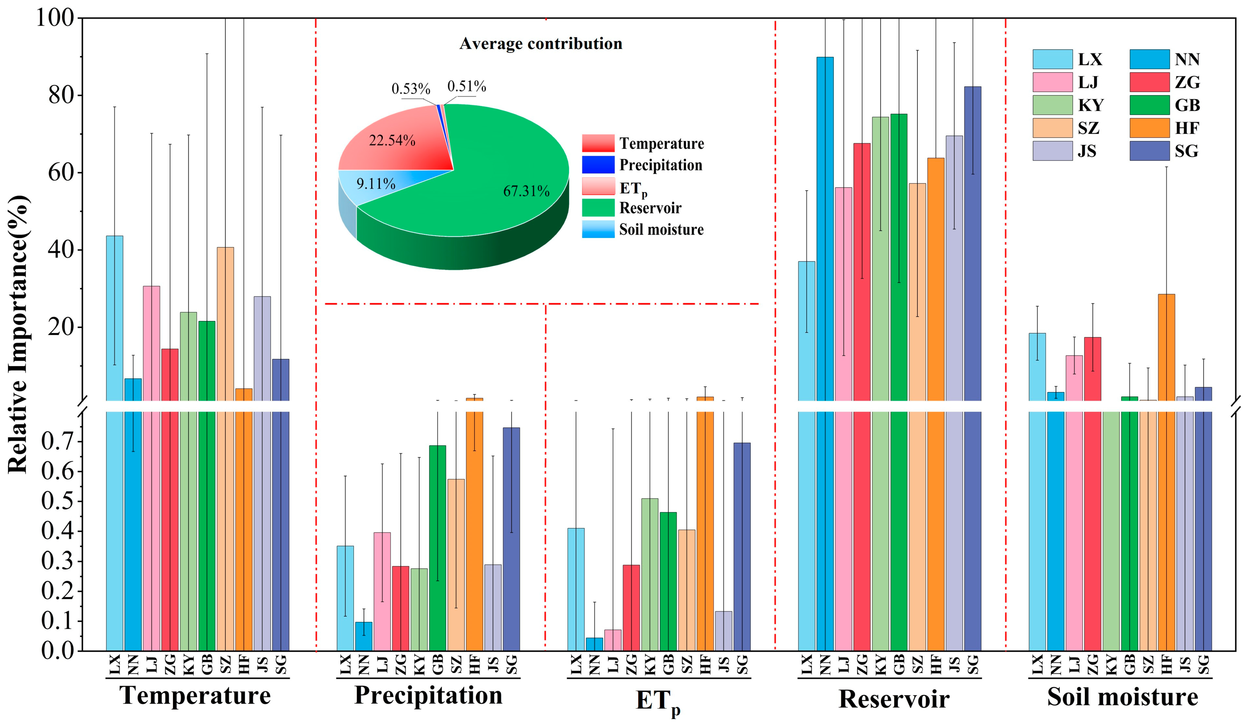
The results of the GLM analysis indicated that reservoir construction was the main factor driving vegetation change, with an average contribution of 67.31% (Figure 9). Specifically, reservoir construction accounted for 89.93% and 82.25% of the observed NDVI changes in NN and SG, respectively, demonstrating that reservoirs significantly promoted local vegetation growth. In comparison, the influence of climatic conditions on vegetation growth appeared more limited [37,61,62]. Among the climatic variables examined, temperature and soil moisture had the most substantial influence on vegetation, contributing an average of 22.54% and 9.11% to vegetation growth, respectively. Notably, the mean contribution of reservoir construction to vegetation growth in LX and SZ was 37.04% and 57.2%, respectively, while the mean contribution of temperature change to photosynthesis and energy conversion processes of plants in the area was 43.7% and 40.7%, respectively. This indicates that temperature changes in the region are crucial to the physiological activities of plants, and the reservoir contributes positively to vegetation growth. However, as temperature emerges as a dominant factor, the ability of reservoirs to regulate vegetation is relatively weakened. Furthermore, in the HF, LX, and ZG reservoirs, the contribution of soil moisture content to the growth of surrounding vegetation was 28.58%, 18.59%, and 17.43%, respectively, highlighting soil moisture as a critical factor for vegetation development in the arid and semi-arid regions of the upper Yellow River Basin. Notably, the average contributions of precipitation and ETp to the NDVI of the upper Yellow River Basin were 0.53% and 0.51%, respectively, which are significantly lower than those of temperature and soil moisture. These findings suggest that vegetation recovery in this region relies more on the stable water supply provided by reservoirs than on natural precipitation. Reservoirs effectively improve the environment for vegetation growth by reducing surface evaporation and increasing regional humidity [41,48].
Figure 9.
Relative importance of climatic factors and reservoirs on NDVI.
With the implementation of ecological restoration measures, vegetation in the arid and semi-arid regions of the upper Yellow River Basin is gradually recovering, with reservoirs playing a crucial role in ecosystem regulation [43]. Vegetation growth in these areas is not only influenced by precipitation and temperature but also by the vegetation lag effect [63]. The impacts of climate change on vegetation dynamics vary significantly across reservoir areas in the upper Yellow River Basin (Figure 9), primarily due to differences in the basic attributes of the reservoirs and their geographic locations. Nevertheless, temperature and soil moisture remain the main drivers of vegetation response in the region [41,50,64,65].
4.3. Quantifying Path Relationships Between Climate, Reservoir Construction, and Vegetation Cover
The results of the path analysis showed that reservoir construction not only directly influences vegetation growth but also regulates the regional climate, with climate change also having a certain impact on vegetation growth, highlighting the complex interaction between reservoir construction, climatic factors, and vegetation (Figure 10). The path coefficients for the effects of reservoir construction on temperature, precipitation, ETp, and soil moisture were 0.04, 0.14, −0.075, and 0.061, respectively, indicating that reservoir construction increases regional temperature, precipitation, and soil moisture while decreasing regional ETp, with the most significant effect on precipitation. The path coefficients for the effects of reservoir construction, temperature, precipitation, ETp, and soil moisture on vegetation were 0.514, 0.255, 0.107, −0.226, and 0.31, respectively. Reservoir construction had the largest direct impact on vegetation, followed by the indirect effects of temperature, precipitation, soil moisture, and ETp. Notably, ETp negatively affected the NDVI, indicating that increasing temperature, precipitation, and soil moisture, while reducing ETp, will promote vegetation growth in the reservoir area.
Figure 10.
Impact of reservoir construction on vegetation growth in reservoir areas. (a,b) Map of changes in environmental factors before and after reservoir construction; (c) Pathways between climate, reservoir construction, and vegetation cover.
Reservoir construction plays a pivotal role in promoting vegetation recovery by modifying hydrological conditions and optimizing land use. Moderate temperatures are particularly advantageous because they enhance photosynthesis, whereas elevated temperatures accelerate water evaporation, thereby inhibiting plant growth [66]. Reservoirs significantly contribute to increasing soil moisture levels through water storage, which provides essential support for plant development [67]. However, in the upper Yellow River region, this benefit is often offset by high ETp rates that reduce soil moisture availability, ultimately limiting vegetation growth, even with additional water supplied by reservoirs [15,30]. Notably, precipitation had a relatively minor effect on the NDVI, likely due to the regulatory functions of reservoirs, which mitigate the direct influence of precipitation and reduce vegetation′s reliance on natural precipitation [61].
4.4. Limitations of the Study
Although this study focuses on the impact of reservoir construction on land-cover changes, we recognize that other factors, such as urbanization and agricultural expansion, also play a significant role in regional ecological dynamics. Future research should consider these factors to provide a more comprehensive ecological analysis. Additionally, the effects of population growth and socio-economic changes on water resource demand and land-use patterns cannot be overlooked. Incorporating these elements into the analysis framework will enhance our understanding of the ecological impacts of reservoir construction. The influence of reservoirs on the upstream Yellow River ecosystem extends beyond land-cover changes, encompassing aspects such as water availability and sedimentation. These factors warrant further exploration in future studies. A comprehensive consideration of these multidimensional factors will help assess the long-term impact of reservoir infrastructure on the watershed′s ecological system. In terms of data, this study has limitations, including a relatively small number of data points and the absence of a reservoir control group, which may affect the comprehensiveness of the analysis. Future research should incorporate more control groups and employ buffer zone analyses at different scales to provide a more detailed spatial assessment of ecological impacts, offering deeper insights into the multifaceted effects of reservoir construction on the environment.
5. Conclusions
As a typical ecologically sensitive area in China, the upper Yellow River Basin is the focus of this study, which analyzes the impacts of climate change and reservoir construction on vegetation dynamics. The main findings are as follows:
- (1)
- The study reveals that vegetation cover in the upper Yellow River Basin reservoir exhibits an overall increasing trend. However, the rate of vegetation growth slows to approximately half its original pace after reservoir construction. Additionally, the NDVI shows a marked decline within 1–2 km of the reservoir.
- (2)
- Climate change is primarily reflected in increases in temperature, precipitation, ETp, and soil moisture after reservoir construction, with marked regional differences in the rates of change. Following reservoir construction, the rate of temperature rise declined, while both precipitation and soil moisture showed substantial increases. In contrast, ETp significantly decreased. These trends exhibited spatial heterogeneity, predominantly concentrated near the reservoir area.
- (3)
- Reservoir construction strengthened the positive correlation between temperature and the NDVI while weakening the positive correlation between precipitation and soil moisture, as revealed by bias correlation analysis. Additionally, the correlation between ETp and the NDVI shifted from positive to negative after reservoir construction.
- (4)
- GLM analysis revealed that reservoir construction was the primary factor promoting riparian vegetation growth, contributing over 50%. Among climatic factors, temperature and soil moisture had the most substantial impact on vegetation growth, with precipitation and ETp having lesser effects. This finding suggests that regional vegetation growth did not solely depend on precipitation, as the reservoir effectively supplemented natural precipitation shortages, playing a crucial role in promoting vegetation growth.
- (5)
- Path analysis and meteorological factor analysis results were consistent, further confirming that reservoirs indirectly influence vegetation growth by regulating the local climate (e.g., enhancing precipitation, mitigating temperature increases, and raising soil humidity). Reservoir construction not only directly improves water availability for vegetation growth in the reservoir area but also indirectly fosters vegetation growth through microclimate modification.
Author Contributions
Conceptualization, P.M.; methodology, P.M.; software, L.C. and Q.J.; validation, P.M., Q.H. and Y.C.; formal analysis, Z.L. (Zekun Li); survey, N.H.; resources, P.M. and C.L.; data curation, P.M. and L.C.; writing—original draft preparation, P.M. and L.C.; writing—review and editing, P.M. and L.C.; visualization, P.M.; supervision, J.P. and Z.L. (Zhenhong Li); project administration, Z.J.; and funding acquisition, Q.H. and P.M. All authors have read and agreed to the published version of the manuscript.
Funding
This research was funded by the National Key Research and Development Program of China (2023YFC3008401), the National Natural Science Foundation of China (42477175), the Key Research and Development Program of Shaan-xi (2024SF-YBXM-539) and Fundamental Research Funds for the Central Universities, CHD (300102264903, 300102264911, 300102263401, 300102264914, 300102264908).
Data Availability Statement
This study was performed based on public-access data. The data that support the findings of this study are available from the corresponding author upon reasonable request.
Conflicts of Interest
The authors declare no conflicts of interest.
References
- Chen, L.; Yang, M.; Liu, X.; Lu, X. Attribution and Sensitivity Analysis of Runoff Variation in the Yellow River Basin under Climate Change. Sustainability 2022, 14, 14981. [Google Scholar] [CrossRef]
- Hu, Q.; Li, C.; Wang, Z.; Liu, Y.; Liu, W. Continuous monitoring of the surface water area in the Yellow River basin during 1986–2019 using available Landsat imagery and the Google Earth Engine. ISPRS Int. J. Geo-Inf. 2022, 11, 305. [Google Scholar] [CrossRef]
- Qin, Y.; Yang, D.; Gao, B.; Wang, T.; Chen, J.; Chen, Y.; Wang, Y.; Zheng, G. Impacts of climate warming on the frozen ground and eco-hydrology in the Yellow River source region, China. Sci. Total Environ. 2017, 605, 830–841. [Google Scholar] [CrossRef]
- Su, X.; Li, X.; Niu, Z.; Wang, N.; Liang, X. A new complexity-based three-stage method to comprehensively quantify positive/negative contribution rates of climate change and human activities to changes in runoff in the upper Yellow River. J. Clean. Prod. 2021, 287, 125017. [Google Scholar] [CrossRef]
- Wang, R.; Dong, Z.; Zhou, Z. Effect of decreasing soil frozen depth on vegetation growth in the source region of the Yellow River for 1982–2015. Theor. Appl. Climatol. 2020, 140, 1185–1197. [Google Scholar] [CrossRef]
- Ma, P.; Peng, J.; Wang, Q.; Zhuang, J.; Zhang, F. The mechanisms of a loess landslide triggered by diversion-based irrigation: A case study of the South Jingyang Platform, China. Bull. Eng. Geol. Environ. 2019, 78, 4945–4963. [Google Scholar] [CrossRef]
- Ma, P.; Peng, J.; Nan, Y.; Wang, N.; Liu, K.; Wei, B.; Wang, S. The shear behavior of the slip zone loess and landslide mechanism. J. Asian Earth Sci. 2023, 257, 105833. [Google Scholar] [CrossRef]
- Eekhout, J.P.; Boix-Fayos, C.; Pérez-Cutillas, P.; de Vente, J. The impact of reservoir construction and changes in land use and climate on ecosystem services in a large Mediterranean catchment. J. Hydrol. 2020, 590, 125208. [Google Scholar] [CrossRef]
- Li, D.; Tian, P.; Luo, H.; Hu, T.; Dong, B.; Cui, Y.; Khan, S.; Luo, Y. Impacts of land use and land cover changes on regional climate in the Lhasa River basin, Tibetan Plateau. Sci. Total Environ. 2020, 742, 140570. [Google Scholar] [CrossRef]
- Chen, L.; Ma, P.; Nan, Y.; Liu, K. Impacts of Cascade Reservoirs on Adjacent Climate and Land Use Change in the Upper Yellow River, China. Appl. Sci. 2025, 15, 2816. [Google Scholar] [CrossRef]
- Wu, H.; Zhang, J.; Bao, Z.; Wang, G.; Wang, W.; Yang, Y.; Wang, J.; Kan, G. The impacts of natural and anthropogenic factors on vegetation change in the Yellow-Huai-Hai River Basin. Front. Earth Sci. 2022, 10, 959403. [Google Scholar] [CrossRef]
- Zhao, Y.; Liu, S.; Shi, H. Impacts of dams and reservoirs on local climate change: A global perspective. Environ. Res. Lett. 2021, 16, 104043. [Google Scholar] [CrossRef]
- Grill, G.; Lehner, B.; Thieme, M.; Geenen, B.; Tickner, D.; Antonelli, F.; Babu, S.; Borrelli, P.; Cheng, L.; Crochetiere, H. Mapping the world’s free-flowing rivers. Nature 2019, 569, 215–221. [Google Scholar] [CrossRef] [PubMed]
- Chen, Z.; Wang, W.; Fu, J. Vegetation response to precipitation anomalies under different climatic and biogeographical conditions in China. Sci. Rep. 2020, 10, 830. [Google Scholar] [CrossRef]
- Wang, S.; Fu, B.; Piao, S.; Lü, Y.; Ciais, P.; Feng, X.; Wang, Y. Reduced sediment transport in the Yellow River due to anthropogenic changes. Nat. Geosci. 2016, 9, 38–41. [Google Scholar] [CrossRef]
- Tealdi, S.; Camporeale, C.; Ridolfi, L. Modeling the impact of river damming on riparian vegetation. J. Hydrol. 2011, 396, 302–312. [Google Scholar] [CrossRef]
- Wang, J.; Chen, X.; Liu, J.; Hu, Q. Changes of precipitation-runoff relationship induced by climate variation in a large glaciated basin of the Tibetan Plateau. J. Geophys. Res. Atmos. 2021, 126, e2020JD034367. [Google Scholar] [CrossRef]
- Bao, Z.; Zhang, J.; Wang, G.; Chen, Q.; Guan, T.; Yan, X.; Liu, C.; Liu, J.; Wang, J. The impact of climate variability and land use/cover change on the water balance in the Middle Yellow River Basin, China. J. Hydrol. 2019, 577, 123942. [Google Scholar] [CrossRef]
- Li, P.; Sheng, M.; Yang, D.; Tang, L. Evaluating flood regulation ecosystem services under climate, vegetation and reservoir influences. Ecol. Indic. 2019, 107, 105642. [Google Scholar] [CrossRef]
- Yang, S.L.; Shi, B.; Fan, J.; Luo, X.; Tian, Q.; Yang, H.; Chen, S.; Zhang, Y.; Zhang, S.; Shi, X. Streamflow decline in the yellow river along with socioeconomic development: Past and future. Water 2020, 12, 823. [Google Scholar] [CrossRef]
- Xu, M.; Kang, S.; Chen, X.; Wu, H.; Wang, X.; Su, Z. Detection of hydrological variations and their impacts on vegetation from multiple satellite observations in the Three-River Source Region of the Tibetan Plateau. Sci. Total Environ. 2018, 639, 1220–1232. [Google Scholar] [CrossRef] [PubMed]
- Li, Z.; Ma, P.; Zhuang, J.; Mu, Q.; Kong, J.; Zhao, L.; Peng, J. Permeability characteristics, structural failure characteristics, and triggering process of loess landslides in two typical strata structures. Eng. Geol. 2024, 341, 107728. [Google Scholar] [CrossRef]
- Li, Z.; Ma, P.; Han, N.; Jiao, Q.; Chen, L.; Ran, L.; Jia, Z.; Zhao, L.; Nan, J.; Peng, J. The failure modes and evolution process of loess landslide dams via flume tests. Landslides 2025, 1–17. [Google Scholar] [CrossRef]
- Tranmer, A.W.; Weigel, D.; Marti, C.L.; Vidergar, D.; Benjankar, R.; Tonina, D.; Goodwin, P.; Imberger, J. Coupled reservoir-river systems: Lessons from an integrated aquatic ecosystem assessment. J. Environ. Manag. 2020, 260, 110107. [Google Scholar] [CrossRef] [PubMed]
- Zeng, Y.; Liu, D.; Guo, S.; Xiong, L.; Liu, P.; Yin, J.; Tian, J.; Deng, L.; Zhang, J. Impacts of water resources allocation on water environmental capacity under climate change. Water 2021, 13, 1187. [Google Scholar] [CrossRef]
- Yan, D.; Lai, Z.; Ji, G. Using budyko-type equations for separating the impacts of climate and vegetation change on runoff in the source area of the yellow river. Water 2020, 12, 3418. [Google Scholar] [CrossRef]
- Verbist, K.; Maureira-Cortés, H.; Rojas, P.; Vicuña, S. A stress test for climate change impacts on water security: A CRIDA case study. Clim. Risk Manag. 2020, 28, 100222. [Google Scholar] [CrossRef]
- Mingarro, M.; Cancela, J.P.; BurÓn-Ugarte, A.; García-Barros, E.; Munguira, M.L.; Romo, H.; Wilson, R.J. Butterfly communities track climatic variation over space but not time in the Iberian Peninsula. Insect Conserv. Divers. 2021, 14, 647–660. [Google Scholar] [CrossRef]
- Ouyang, W.; Hao, F.; Zhao, C.; Lin, C. Vegetation response to 30 years hydropower cascade exploitation in upper stream of Yellow River. Commun. Nonlinear Sci. Numer. Simul. 2010, 15, 1928–1941. [Google Scholar] [CrossRef]
- Tian, S.; Xu, M.; Jiang, E.; Wang, G.; Hu, H.; Liu, X. Temporal variations of runoff and sediment load in the upper Yellow River, China. J. Hydrol. 2019, 568, 46–56. [Google Scholar] [CrossRef]
- Fu, B.; Li, Y.; Wang, Y.; Zhang, B.; Yin, S.; Zhu, H.; Xing, Z. Evaluation of ecosystem service value of riparian zone using land use data from 1986 to 2012. Ecol. Indic. 2016, 69, 873–881. [Google Scholar] [CrossRef]
- Yang, Y.; Wang, Y.; Cong, N.; Wang, N.; Yao, W. Impacts of the Three Gorges Dam on riparian vegetation in the Yangtze River Basin under climate change. Sci. Total Environ. 2024, 912, 169415. [Google Scholar] [CrossRef] [PubMed]
- Zhang, Y.; Liang, W.; Liao, Z.; Han, Z.; Xu, X.; Jiao, R.; Liu, H. Effects of climate change on lake area and vegetation cover over the past 55 years in Northeast Inner Mongolia grassland, China. Theor. Appl. Climatol. 2019, 138, 13–25. [Google Scholar] [CrossRef]
- Zhu, Y.; Luo, P.; Zhang, S.; Sun, B. Spatiotemporal analysis of hydrological variations and their impacts on vegetation in semiarid areas from multiple satellite data. Remote Sens. 2020, 12, 4177. [Google Scholar] [CrossRef]
- Jiang, W.; Niu, Z.; Wang, L.; Yao, R.; Gui, X.; Xiang, F.; Ji, Y. Impacts of drought and climatic factors on vegetation dynamics in the Yellow River Basin and Yangtze River Basin, China. Remote Sens. 2022, 14, 930. [Google Scholar] [CrossRef]
- Cao, Y.; Xie, Z.; Huang, X.; Cui, M.; Wang, W.; Li, Q. Vegetation dynamics and its trends associated with extreme climate events in the Yellow River Basin, China. Remote Sens. 2023, 15, 4683. [Google Scholar] [CrossRef]
- Wen, Z.; Wu, S.; Chen, J.; Lü, M. NDVI indicated long-term interannual changes in vegetation activities and their responses to climatic and anthropogenic factors in the Three Gorges Reservoir Region, China. Sci. Total Environ. 2017, 574, 947–959. [Google Scholar] [CrossRef]
- Tian, M.; Zhou, J.; Jia, B.; Lou, S.; Wu, H. Impact of three gorges reservoir water impoundment on vegetation–climate response relationship. Remote Sens. 2020, 12, 2860. [Google Scholar] [CrossRef]
- Liu, L.; Xiao, F. Spatial temporal correlations of NDVI with precipitation and temperature in Yellow River Basin. Chin. J. Ecol. 2006, 25, 477. [Google Scholar]
- He, B.; Chen, A.; Jiang, W.; Chen, Z. The response of vegetation growth to shifts in trend of temperature in China. J. Geogr. Sci. 2017, 27, 801–816. [Google Scholar] [CrossRef]
- Han, J.; Zhang, X.; Wang, J.; Zhai, J. Geographic exploration of the driving forces of the NDVI spatial differentiation in the Upper Yellow River Basin from 2000 to 2020. Sustainability 2023, 15, 1922. [Google Scholar] [CrossRef]
- Jia, L.; Yu, K.X.; Li, Z.B.; Li, P.; Xu, G.C.; Cheng, Y.T.; Zhang, X.; Yang, Z. The effect of meteorological drought on vegetation cover in the Yellow River basin, China. Int. J. Climatol. 2022, 42, 4830–4849. [Google Scholar] [CrossRef]
- Ren, Y.; Liu, J.; Liu, S.; Wang, Z.; Liu, T.; Shalamzari, M.J. Effects of climate change on vegetation growth in the Yellow River Basin from 2000 to 2019. Remote Sens. 2022, 14, 687. [Google Scholar] [CrossRef]
- Mallick, J.; AlMesfer, M.K.; Singh, V.P.; Falqi, I.I.; Singh, C.K.; Alsubih, M.; Kahla, N.B. Evaluating the NDVI–rainfall relationship in Bisha watershed, Saudi Arabia using non-stationary modeling technique. Atmosphere 2021, 12, 593. [Google Scholar] [CrossRef]
- Zhang, B.; Cui, L.; Shi, J.; Wei, P. Vegetation dynamics and their response to climatic variability in China. Adv. Meteorol. 2017, 2017, 8282353. [Google Scholar] [CrossRef]
- Guillod, B.P.; Orlowsky, B.; Miralles, D.G.; Teuling, A.J.; Seneviratne, S.I. Reconciling spatial and temporal soil moisture effects on afternoon rainfall. Nat. Commun. 2015, 6, 6443. [Google Scholar] [CrossRef]
- Wang, Z.; Cui, Z.; He, T.; Tang, Q.; Xiao, P.; Zhang, P.; Wang, L. Attributing the evapotranspiration trend in the upper and middle reaches of Yellow River Basin using global evapotranspiration products. Remote Sens. 2021, 14, 175. [Google Scholar] [CrossRef]
- Xu, S.; Yu, Z.; Yang, C.; Ji, X.; Zhang, K. Trends in evapotranspiration and their responses to climate change and vegetation greening over the upper reaches of the Yellow River Basin. Agric. For. Meteorol. 2018, 263, 118–129. [Google Scholar] [CrossRef]
- Qiu, J.; Li, T.-J.; Li, F.-F. Evaluation of environmental and ecological impacts of the leading large-scale reservoir on the upper reaches of the Yellow River. Sustainability 2019, 11, 3818. [Google Scholar] [CrossRef]
- Jiang, Z.-Y.; Yang, Z.-G.; Zhang, S.-Y.; Liao, C.-M.; Hu, Z.-M.; Cao, R.-C.; Wu, H.-W. Revealing the spatio-temporal variability of evapotranspiration and its components based on an improved Shuttleworth-Wallace model in the Yellow River Basin. J. Environ. Manag. 2020, 262, 110310. [Google Scholar] [CrossRef]
- Sun, R.; Gao, X.; Liu, C.-M.; Li, X.-W. Evapotranspiration estimation in the Yellow River Basin, China using integrated NDVI data. Int. J. Remote Sens. 2004, 25, 2523–2534. [Google Scholar] [CrossRef]
- Zhang, X.; Wang, G.; Xue, B.; Wang, Y.; Wang, L. Spatiotemporal variation of evapotranspiration on different land use/cover in the inner Mongolia reach of the Yellow River Basin. Remote Sens. 2022, 14, 4499. [Google Scholar] [CrossRef]
- Guo, L.; Zhu, B.; Jin, H.; Zhang, Y.; Min, Y.; He, Y.; Shi, H. Spatial-temporal variation characteristics and influencing factors of soil moisture in the Yellow River Basin using ESA CCI SM products. Atmosphere 2022, 13, 962. [Google Scholar] [CrossRef]
- Engstrom, R.; Hope, A.; Kwon, H.; Stow, D. The relationship between soil moisture and NDVI near Barrow, Alaska. Phys. Geogr. 2008, 29, 38–53. [Google Scholar] [CrossRef]
- Huang, C.; Yang, Q.; Huang, W. Analysis of the spatial and temporal changes of NDVI and its driving factors in the Wei and Jing River Basins. Int. J. Environ. Res. Public Health 2021, 18, 11863. [Google Scholar] [CrossRef]
- Joiner, J.; Yoshida, Y.; Anderson, M.; Holmes, T.; Hain, C.; Reichle, R.; Koster, R.; Middleton, E.; Zeng, F.-W. Global relationships among traditional reflectance vegetation indices (NDVI and NDII), evapotranspiration (ET), and soil moisture variability on weekly timescales. Remote Sens. Environ. 2018, 219, 339–352. [Google Scholar] [CrossRef] [PubMed]
- Cao, R.; Jiang, W.; Yuan, L.; Wang, W.; Lv, Z.; Chen, Z. Inter-annual variations in vegetation and their response to climatic factors in the upper catchments of the Yellow River from 2000 to 2010. J. Geogr. Sci. 2014, 24, 963–979. [Google Scholar] [CrossRef]
- Lu, C.; Hou, M.; Liu, Z.; Li, H.; Lu, C. Variation characteristic of NDVI and its response to climate change in the middle and upper reaches of Yellow River Basin, China. IEEE J. Sel. Top. Appl. Earth Obs. Remote Sens. 2021, 14, 8484–8496. [Google Scholar] [CrossRef]
- Gu, H.; Luo, J.; Li, G.; Yao, Y.; Huang, Y.; Huang, D. Spatial-Temporal Variations of Active Accumulated Temperature and Its Impact on Vegetation NDVI in the Source Region of China’s Yellow River. Water 2022, 14, 3458. [Google Scholar] [CrossRef]
- Ma, L.; Xia, H.; Meng, Q. Spatiotemporal variability of asymmetric daytime and night-time warming and its effects on vegetation in the Yellow River Basin from 1982 to 2015. Sensors 2019, 19, 1832. [Google Scholar] [CrossRef]
- Feng, J.; Dong, B.; Qin, T.; Liu, S.; Zhang, J.; Gong, X. Temporal and Spatial Variation Characteristics of NDVI and Its Relationship with Environmental Factors in Huangshui River Basin from 2000 to 2018. Pol. J. Environ. Stud. 2021, 30, 3043. [Google Scholar] [CrossRef]
- Jian, S.; Zhang, Q.; Wang, H. Spatial–temporal trends in and attribution analysis of vegetation change in the Yellow River Basin, China. Remote Sens. 2022, 14, 4607. [Google Scholar] [CrossRef]
- Zhang, X.; Cao, Q.; Chen, H.; Quan, Q.; Li, C.; Dong, J.; Chang, M.; Yan, S.; Liu, J. Effect of vegetation carryover and climate variability on the seasonal growth of vegetation in the upper and middle reaches of the Yellow River Basin. Remote Sens. 2022, 14, 5011. [Google Scholar] [CrossRef]
- Peng, R. Many rivers’ harnessing all needs to study and revise data of water sediment in the new period. J. Water Resour. Res. 2015, 4, 303–309. [Google Scholar] [CrossRef]
- Song, W.; Xu, Q.; Fu, X.; Wang, C.; Pang, Y.; Song, D. EFDC simulation of fishway in the Diversion Dahaerteng River to Danghe Reservoir, China. Ecol. Indic. 2019, 102, 704–715. [Google Scholar] [CrossRef]
- Deng, X.; Song, C.; Liu, K.; Ke, L.; Zhang, W.; Ma, R.; Zhu, J.; Wu, Q. Remote sensing estimation of catchment-scale reservoir water impoundment in the upper Yellow River and implications for river discharge alteration. J. Hydrol. 2020, 585, 124791. [Google Scholar] [CrossRef]
- Zhang, X.; Qiao, W.; Lu, Y.; Huang, J.; Xiao, Y. Quantitative analysis of the influence of the Xiaolangdi reservoir on water and sediment in the middle and lower reaches of the Yellow River. Int. J. Environ. Res. Public Health 2023, 20, 4351. [Google Scholar] [CrossRef]
Disclaimer/Publisher’s Note: The statements, opinions and data contained in all publications are solely those of the individual author(s) and contributor(s) and not of MDPI and/or the editor(s). MDPI and/or the editor(s) disclaim responsibility for any injury to people or property resulting from any ideas, methods, instructions or products referred to in the content. |
© 2025 by the authors. Licensee MDPI, Basel, Switzerland. This article is an open access article distributed under the terms and conditions of the Creative Commons Attribution (CC BY) license (https://creativecommons.org/licenses/by/4.0/).









