Abstract
MgH2 has become a hot spot in the research of hydrogen storage materials, due to its high theoretical hydrogen storage capacity. However, the poor kinetics and thermodynamic properties of hydrogen absorption and desorption seriously hinder the development of this material. Ti-based materials can lead to good effects in terms of reducing the temperature of MgH2 in hydrogen absorption and desorption. MXene is a novel two-dimensional transition metal carbide or carbonitride similar in structure to graphene. Ti3C2 is one of the earliest and most widely used MXenes. Single-layer Ti3C2 can only exist in solution; in comparison, multilayer Ti3C2 (ML-Ti3C2) also exists as a solid powder. Thus, ML-Ti3C2 can be easily composited with MgH2. The MgH2+ML-Ti3C2 composite hydrogen storage system was successfully synthesized by ball milling. The experimental results show that the initial desorption temperature of MgH2-6 wt.% ML-Ti3C2 is reduced to 142 °C with a capacity of 6.56 wt.%. The Ea of hydrogen desorption in the MgH2-6 wt.% ML-Ti3C2 hydrogen storage system is approximately 99 kJ/mol, which is 35.3% lower than that of pristine MgH2. The enhancement of kinetics in hydrogen absorption and desorption by ML-Ti3C2 can be attributed to two synergistic effects: one is that Ti facilitates the easier dissociation or recombination of hydrogen molecules, while the other is that electron transfer generated by multivalent Ti promotes the easier conversion of hydrogen. These findings help to guide the hydrogen storage properties of metal hydrides doped with MXene.
1. Introduction
Energy is necessary for the survival and development of human society. In recent years, energy crises and environmental pollution have become increasingly serious with the rapid development of the global economy. The development of new energy is an important means by which to remit the contradiction between economic development and environmental protection. As an ideal secondary energy source, hydrogen energy shows many outstanding advantages, such as a high energy density of 142 MJ/kg [1], a wide range of potential sources, light weight, and environmental friendliness.
Considering that the gaseous-state hydrogen storage system shows lower safety and poor hydrogen storage capacity, metal hydrides possess attractive application prospects. Magnesium hydride (MgH2) shows a high theoretical hydrogen storage capacity of 7.6 wt.%, with the benefits of high capacity, abundant sources, low price, light weight, no pollution, etc. In this regard, MgH2 can be developed with good value as a kind of solid hydrogen storage material [2]. As an ionic compound, the adsorption and desorption process of MgH2 involves the formation and fracture of chemical bonds between hydrogen and metal elements, as well as crystal structure changes. Therefore, the dehydrogenation temperature of MgH2 is higher than 300 °C. In addition, the adsorption and desorption kinetics of MgH2 are poor, resulting in the slow reaction rate of absorption and desorption. The activation energy (Ea) of MgH2 is ~143.0–160.6 kJ/mol [3,4,5,6,7]. Therefore, improving the thermodynamic and kinetic properties of hydrogen absorption/desorption reactions of Mg-based hydrogen storage materials is the key aim of current research.
In order to improve the adsorption and desorption performance of MgH2 hydrogen storage materials, researchers have modified MgH2 by alloying [8,9,10,11,12], nanoscaling [13,14,15,16,17,18,19,20], surface modification [21], and catalyst doping [22,23,24,25,26,27,28], among others. The addition of a catalyst can significantly reduce the energy barrier of hydrogen absorption and desorption reactions, thus decreasing the reaction temperature and improving the kinetic performance. Among them, Ti-based catalysts [29,30,31,32,33] can effectively improve the hydrogen absorption and desorption characteristics of MgH2, which has received widespread attention.
MXene is a novel two-dimensional transition metal carbide or carbonitride similar in structure to graphene, which was first synthesized by Gogotsi and Barsoum in 2011 via HF selective etching from its precursor MAX phase [34]. Because of the weak binding force between the A-MX lamellas in the MAX phase, MXene can be eroded from the A atomic layer in the MAX phase with the selection of appropriate etching agents (such as HF, LiF+HCl, NH4HF2, etc.) [35]. The general formula of an MXene is expressed as Mn+1XnTx, in which Tx represents the functional groups (–OH, –F, =O, etc.) attached to the surface of the MXene, produced by chemical etching of the precursor MAX phase. At present, dozens of different components of MXenes have been successfully synthesized. As one of the earliest developed MXenes, Ti3C2 has attracted wide attention in the fields of lubricants [36,37], environmental pollution control [38], energy storage [39,40,41], and wave absorption [41,42], among others, due to its unique physical and chemical properties. In recent years, many scholars have used MXenes to improve the hydrogen absorption and desorption performance of hydrogen storage materials, especially Ti3C2 MXene. Sheng et al. [43] tried to use (Ti0.5V0.5)3C2 to reduce the initial temperature of the hydrogen desorption of MgH2 to 210 °C. MgH2+10 wt.% of (Ti0.5V0.5)3C2 can release hydrogen of 7.0 wt.% at 245 °C, and can absorb 4.8 wt.% of hydrogen at a constant temperature of 120 °C. It was shown that MgH2 reacted with (Ti0.5V0.5)3C2 to form Ti and V metals, which were suggested to act as active catalysts for the hydrogen sorption process. Gao et al. [44] synthesized a sandwich-like Ti3C2/TiO2 via partial oxidation of Ti3C2 MXene. The MgH2+5 wt.% of Ti3C2/TiO2 can release 5.0 wt.% of hydrogen at a constant temperature of 250 °C, and can absorb 4.0 wt.% of hydrogen at a constant temperature of 125 °C. The layered structures and the Ti-containing compounds with multiple valences were considered to be responsible for the improvement of MgH2 by Ti3C2/TiO2. Liu et al. [45] synthesized V2C and Ti3C2 MXenes by exfoliating V2AlC and Ti3AlC2. MgH2+10 wt.% of 2V2C/Ti3C2 initiated hydrogen desorption at around 180 °C, and 5.1 wt.% of hydrogen was desorbed within 60 min at 225 °C. Hydrogen atoms or molecules may preferentially transfer through the MgH2/V2C/Ti3C2 triple-grain boundaries during the desorption process, and through the Mg/Ti3C2 interfaces during the absorption process. V2C and Ti3C2 mainly act as efficient catalysts for MgH2 at the same time. Gao et al. [46] synthesized a few-layer Ti3C2Tx supporting highly dispersed nano-Ni particles through a self-assembly reduction process. MgH2-5 wt.% Ni30/FL-Ti3C2Tx can release approximately 5.83 wt.% hydrogen within 1800 s at 250 °C, and can absorb 5 wt.% hydrogen within 1700 s at 100 °C. This superb hydrogen storage performance was attributed to the combined effects of finely dispersed nano-Ni grown in situ on FL-Ti3C2Tx, the large specific area of FL-Ti3C2Tx, multivalent Ti derived from FL-Ti3C2Tx, and the electronic interaction between Ni and FL-Ti3C2Tx. Chen et al. [47] introduced Ti3C2 into a 4MgH2-LiAlH4 composite; the dehydrogenation onset temperature of the 4MgH2-LiAlH4-Ti3C2 composite was decreased by 64 K and 274 K with 4MgH2-LiAlH4 and with as-milled MgH2, respectively. The destabilization of 4MgH2-LiAlH4 can be ascribed to the Ti formed in situ from the MXene Ti3C2. Few-layer Ti3C2 can only exist in solution in the form of film, and is easy to agglomerate, which reduces the number of active sites of hydrogen absorption and desorption. In comparison, multilayer Ti3C2 (ML-Ti3C2) can exist in the form of a solid powder, which makes it easier to composite with MgH2. Therefore, ML-Ti3C2 may improve the hydrogen absorption and desorption performance of MgH2.
2. Experimental Details
2.1. Preparation of Material
Multilayer Ti3C2 MXene (ML-Ti3C2) was prepared by selective etching of Al atoms in Ti3AlC2 with an HF/HCl etching agent. The main operation methods were as follows: (1) Preparation of the etching agent: Mixing and stirring 12 mL of HCl (concentration 35–38 wt.%), 2 mL HF (concentration 49 wt.%), and 6 mL deionized water. (2) Etching: 1 g of Ti3AlC2 was slowly added to the mixed solution at 35 °C and stirred at 400 rpm for 24 h. (3) Washing: After etching, the suspension was centrifuged at 3500 rpm for 5 min to achieve the precipitation of multilayer MXene. The precipitation was washed with deionized water 5–6 times until the pH of the supernatant was ≥6, and then the precipitate was collected. (4) Drying: The collected wet powder was placed in the refrigerator for freezing, then placed in the vacuum freeze-drying oven for 24 h. The water between the layers of MXene was frozen into ice, which led to an increase in the layer spacing. In the vacuum freeze-drying oven, the frozen ice directly sublimated in vacuum to prevent the collapse of the interlayer structure. The lyophilized layers of the MXene were well spaced and accordion-like.
The as-synthesized Ti3C2 was introduced into MgH2 by ball milling. Experimentally, 1 g of MgH2 (98%, Lanabai Pharmaceutical Chemical Co. Ltd., Wuhan, China) was mixed into the milling jar with the ML-Ti3C2 in different proportions (MgH2+x wt.% ML-Ti3C2, x = 4, 6, 8, 10) for ball milling. Argon was used in the milling jar as the protective gas. Ball milling was carried out by all-directional planetary ball mill (PMQ0.4L, Zhuodi Instrument and Equipment Co. Ltd., Shanghai, China) at 400 rpm for 24 h; the ball-to-powder ratio was 30:1. For comparison with the former, 1 g of pristine MgH2 was ball milled under the same conditions. The whole experimental process was carried out under strict air isolation conditions.
2.2. Characterization Methods
The phase and structure analysis of samples were tested by X-ray diffractometer (XRD, DX-2700B, Hao Yuan Instrument Co., LTD, Dandong, China). The Cu Kα radiation was used for the incident ray (40 kV, 200 mA) in step scan, with a step length of 0.02 °/s and a sampling time of 1 s. Scanning electron microscopy (SEM, Regulus 8230, Hitachi Manufacturing Co. LTD, Tokyo, Japan) and transmission electron microscopy (TEM, JEM-F200, JEOL, Tokyo, Japan) were used to observe the particle size and microstructure of the samples. A microgrid copper mesh was used to hold the samples in the TEM observations. Energy-dispersive spectrometry (EDS, JED-2300T, JEOL, Tokyo, Japan and GENESIS 2000XMS, Hitachi Manufacturing Co. LTD, Tokyo, Japan) coupled with the TEM and SEM was used to analyze the micro-area composition. X-ray photoelectron spectroscopy (XPS, Thermo Scientific K-Alpha+, Thermo Fisher Scientific, Waltham, MA, USA) was utilized to analyze the chemical environments of atoms before and after the experiments. A differential scanning calorimeter (DSC, TGA/DSC2, Mettler-Toledo group, Zurich, Switzerland) was used to study the thermal behavior in hydrogen desorption. The samples were heated from room temperature to 500 °C in an argon atmosphere (20 mL/min) at rates of 5, 7, 9, and 11 °C/min.
2.3. De/Hydrogenation Characterization
The hydrogen absorption and desorption tests were carried out on a Sieverts-type apparatus (Institute of Metal Materials, Zhejiang University, Zhejiang, China). The apparatus was composed of a temperature-controlled tubular furnace, tubular reactors, high-/low-pressure sensors, temperature sensors, connecting pipes, and a test computer. The amount of hydrogen absorption and desorption of the sample was calculated according to the ideal gas state equation. Experimentally, the sample was weighed to ~100 mg in the glove box (H2O ≤ 0.01 ppm and O2 ≤ 0.01 ppm) each time. During the non-isothermal desorption tests, the sample was heated from room temperature to 400 °C at 2 °C/min at an initial back pressure of 10−4 MPa. During the isothermal absorption tests, the initial hydrogen pressure of 4 MPa was synchronously filled into the reactor, and the sample after hydrogen desorption was heated from room temperature to 300 °C at a heating rate of 2 °C/min. During the isothermal desorption tests, the sample was first heated from room temperature to the target temperature at a rate of 5 °C/min and held for 10 min, and then the valve of the connecting line was quickly opened and kept open for 1 h. During the isothermal absorption tests, the sample was first heated from room temperature to the target temperature at a rate of 5 °C/min and held for 10 min, and then the sample holder was quickly filled with hydrogen at a pressure of 4 MPa and maintained for 1 h. The quantitative information of the experimental details is shown in Table S1.
3. Results and Discussion
3.1. Characterization of ML-Ti3C2
ML-Ti3C2 was successfully obtained by selectively etching the Al layers from Ti3AlC2. Figure 1a shows the XRD patterns of as-synthesized Ti3C2 MXene. Through HF etching, the Al lamellas in the precursor MAX were effectively removed. However, the Ti3AlC2 diffraction peak still existed, indicating that the Al lamellas were not completely removed. Thus, the as-synthesized MXene was a mixture of Ti3C2 and Ti3AlC2. In addition, Ti and the F element in HF formed the TiF3 compound. As is shown in Figure 1b, the sample showed an accordion-like multilayer structure of multilayer MXene, with particle sizes ranging from 10 to 15 microns. EDS mapping was performed to observe the element contents, as outlined in Figure S1. EDS mapping shows that the Ti and C elements were distributed uniformly, but residual Al remained in this material, which is consistent with XRD patterns. The higher content of C may be caused by the sample table of the SEM. The presence of O may arise from the oxidation of Ti3C2 or the oxygen-containing functional groups formed after HF etching [48]. Figure 1c displays the TEM image of Ti3C2, in which the lamellar structure of ML-Ti3C2 can be seen. To further observe the microstructure of ML-Ti3C2, high-resolution TEM (HRTEM) was performed, as shown in Figure 1d. The calculated interplanar spacing of 0.265 nm is consistent with the (101) crystal planes of Ti3C2. Therefore, the XRD, SEM, and HRTEM results all confirm the successful synthesis of the ML-Ti3C2 MXene.
Figure 1.
Characterizations of the as-synthesized ML-Ti3C2: (a) X-ray diffractometer (XRD) patterns of as-synthesized ML-Ti3C2, (b) Scanning electron microscopy (SEM) images, (c) transmission electron microscopy (TEM) image, and (d) High resolution TEM image.
3.2. De/Hydrogenation Performance of MgH2+ML-Ti3C2
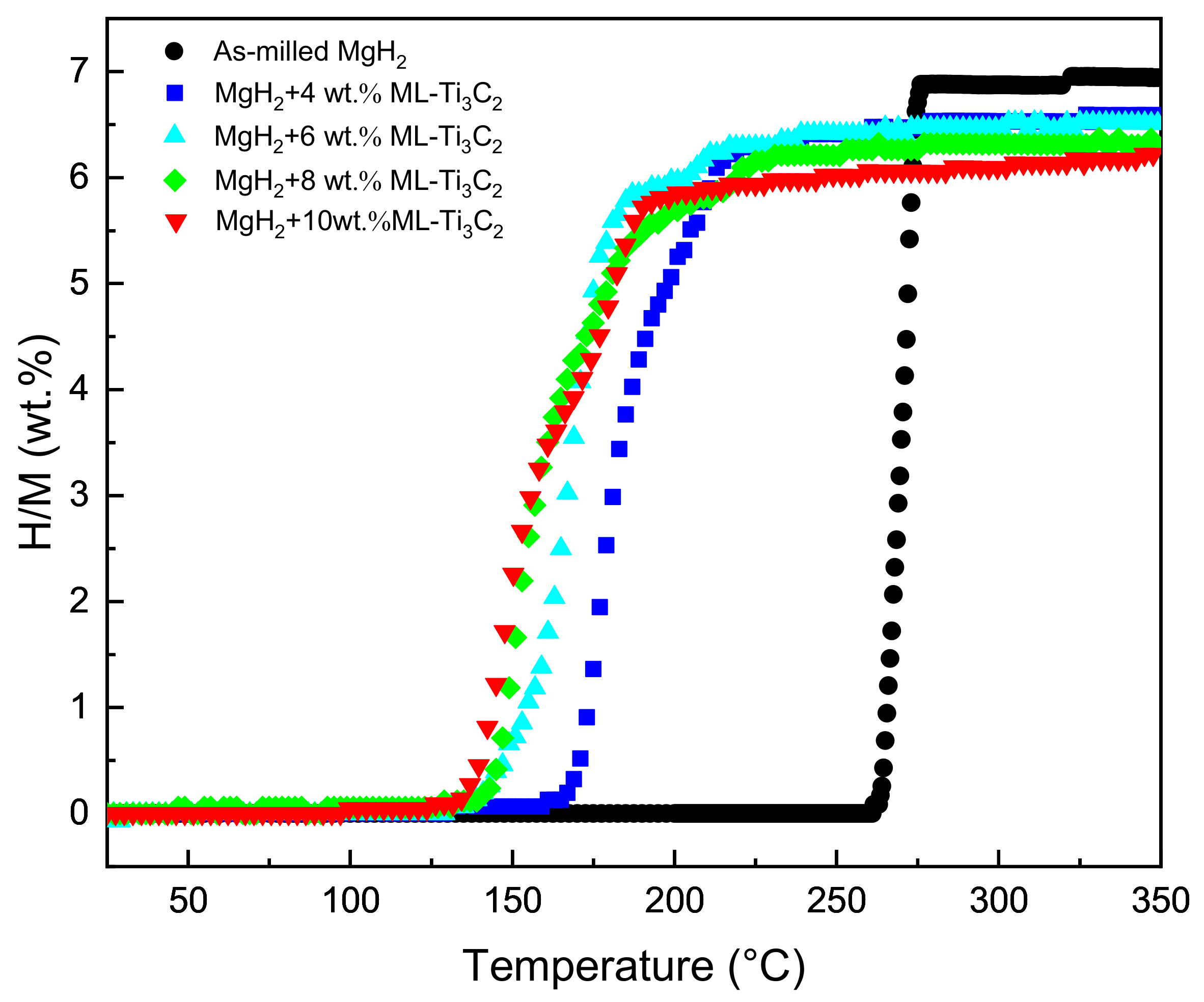
The as-synthesized ML-Ti3C2 was introduced into MgH2 through ball milling to promote the de/hydrogenation performance. The prepared material systems were subjected to non-isothermal hydrogen desorption tests in order to select the best amount of ML-Ti3C2 to add. In contrast, as-milled MgH2 was also tested. Figure 2 displays the non-isothermal hydrogen desorption curves of MgH2+x wt.% ML-Ti3C2, (x = 0, 4, 6, 8, 10). The as-milled MgH2 begins to release hydrogen at around 267 °C, with a hydrogen desorption capacity of 7.0 wt.%. After the addition of ML-Ti3C2, the initial and the peak hydrogen desorption temperatures of the material systems were significantly reduced. With the increase of the amount of ML-Ti3C2, the initial dehydrogenation temperature decreases from 182 °C to 137 °C; however, the hydrogen desorption capacity is gradually weakened. The hydrogen desorption temperature and capacity of the material systems are shown in Table S2. When x = 6, the hydrogen desorption temperature reaches 142 °C, which is ~125 °C lower than that of as-milled MgH2. Continuing to add ML-Ti3C2, the initial dehydrogenation temperature decreases inconspicuously. MgH2-6 wt.% ML-Ti3C2 can also fully release its hydrogen when the temperature increases to 227 °C, showing the best overall hydrogen desorption capacity. Therefore, in subsequent experiments, MgH2-6 wt.% ML-Ti3C2 was taken as the object to discuss its hydrogen absorption and desorption performance.
Figure 2.
Hydrogen desorption performances of MgH2+x wt.% ML-Ti3C2 (x = 0, 4, 6, 8, 10).
To further illustrate the optimization of the dehydrogenation kinetics of MgH2 by Ti3C2, isothermal dehydrogenation of MgH2-6 wt.% ML-Ti3C2 was performed at different temperatures. Figure 3a displays dehydrogenation kinetics curves of MgH2-6 wt.% ML-Ti3C2 at 240 °C, 200 °C, 160 °C, and 140 °C. It is apparent that this sample possesses excellent dehydrogenation kinetics performance at 240 °C, with a hydrogen desorption capacity of 6.45 wt.% in only 10 min. In contrast, as-milled MgH2 does not release hydrogen at same temperature. With the decrease in the test temperature, the initial hydrogen desorption rate of the sample decreases gradually. At 140 °C, there is still 1.95 wt.% of hydrogen that can be released in 10 min, but only 3.63 wt.% can be released in 60 min after extending the test time (Figure S2).
Figure 3.
De/hydrogenation performance curves of MgH2-6 wt.% ML-Ti3C2 and as-milled MgH2. (a) Isothermal dehydrogenation curves at different temperatures. (b) Isothermal rehydrogenation curves at different temperatures. (c) Non-isothermal absorption curves of two samples.
In order to study the effect of ML-Ti3C2 on the hydrogen absorption performance of MgH2, the non-isothermal hydrogen absorption of the MgH2-6 wt.% ML-Ti3C2 system was first tested (with as-milled MgH2 as a control group). Figure 3c displays the absorption curves of two samples. It should be noted that MgH2-6 wt.% ML-Ti3C2 system shows excellent hydrogen absorption performance, immediately beginning to absorb hydrogen at room temperature (6.3 wt.%). However, the as-milled MgH2 after dehydrogenation does not react until 70 °C. The hydrogen absorption temperature of the sample with ML-Ti3C2 is reduced by 35 °C. The initial hydrogenation temperature and hydrogen absorption capacity of two samples are outlined in Table S3. Figure 3b displays the isothermal hydrogen absorption curves of the MgH2-6 wt.% ML-Ti3C2 system at temperatures of 150 °C, 125 °C, 100 °C, and 75 °C. All of the curves show excellent hydrogen absorption kinetics, with 150 °C being the best and 75 °C the worst, which reaches more than 80% of the saturated hydrogen absorption capacity of the corresponding temperature within 60 s. In addition, at lower temperatures (75 °C and 100 °C), the hydrogen absorption capacity of the MgH2-6 wt.% ML-Ti3C2 system reaches 4.20 wt.% and 4.86 wt.%, respectively. The initial hydrogenation temperature and de/hydrogenation capacity of MgH2-6 wt.% ML-Ti3C2 are outlined in Table 1. Overall, adding ML-Ti3C2 to MgH2 effectively improves the kinetics of hydrogen adsorption and desorption.
Table 1.
The initial hydrogenation temperature and de/hydrogenation capacity of MgH2-6 wt.% ML-Ti3C2.
3.3. Kinetics and Thermodynamics of Hydrogen Desorption
DSC analyses were further used to investigate the impact of ML-Ti3C2 MXene on the dehydrogenation kinetics thermodynamics of MgH2. Figure 4a,b show the DSC profiles of MgH2-6 wt.% ML-Ti3C2 and as-milled MgH2, respectively, at different heating rates (5, 7, 9, and 11 °C/min). With an increase in the heating rate, the hydrogen decomposition peaks shift to higher temperatures. The decomposition of MgH2-6 wt.% ML-Ti3C2 presents two thermal events, which may be caused by uneven grain size [49,50]. Furthermore, the Kissinger equation [51] was utilized to estimate the decomposition energy barrier (Ea) of MgH2. The Kissinger equation is as follows:
where β represents the heating rate used in the DSC tests, Tm represents the peak temperature in the DSC curves, Ea represents the activation energy, R represents the universal gas constant, and A is also a constant. Figure 4c displays Kissinger’s plots and the corresponding fitting lines of MgH2-6 wt.% ML-Ti3C2 and as-milled MgH2. The fitting equations obtained by the Kissinger equation are as follows:
ln (β/Tm2) = −Ea/RTm + A
y = (−11.92038 ± 0.20321)x + (9.11676 ± 0.33879)
y = (−18.41333 ± 0.1712)x + (18.95006 ± 0.27678)
Figure 4.
Differential scanning calorimeter (DSC) curves of (a) MgH2-6 wt.% ML-Ti3C2 and (b) as-milled MgH2 at various heating rates. (c) Kissinger’s plots and corresponding fitting lines for MgH2-6 wt.% ML-Ti3C2 and as-milled MgH2.
The Ea of dehydrogenation, obtained by the Kissinger equation, is 99.11 ± 1.69kJ/mol and 153.09 ± 1.42 kJ/mol for the composite system and the as-milled MgH2 respectively. It should be noted that the composite system reduces the activation energy by 35.3%. The addition of ML-Ti3C2 makes the hydrogen desorption in the two steps of the system shift to lower temperatures, but the temperature of the first step decreases more greatly. The hydrogen desorption peak in the second step widens noticeably, indicating that Ti3C2 improves the first desorption of MgH2 more greatly [52]. In addition, after the integral of the DSC curve, the enthalpy change of the MgH2-6 wt.% ML-Ti3C2 and the as-milled MgH2 is approximately 75.46 kJ/mol H2 and 78.91 kJ/mol H2, respectively. Therefore, the addition of Ti3C2 does not obviously improve the thermodynamic properties. This could be associated with the fact that the introduction of multilayer Ti3C2 leads neither to significant particle size refinement of MgH2 nor to the formation of any kind of solid solution with Ti [53]. The lower dehydrogenation temperature of the composite can effectively contribute to the kinetic improvement of MgH2 via the addition of ML-Ti3C2.
3.4. The Mechanisms for Improving the Hydrogen Storage Properties
To study the mechanisms for improving the hydrogen storage properties of MgH2 via the addition of ML-Ti3C2, the microstructures, morphologies, and valence states of the elements were further analyzed via XRD, SEM, EDS, TEM, and XPS. Figure 5a displays the XRD patterns of as-milled, dehydrogenative, and rehydrogenative MgH2-6 wt.% ML-Ti3C2. After ball milling, the MgH2 phase shows obvious peak broadening and decreased diffraction intensity due to its small particle size and poor crystallinity [54]. In addition, a small amount of MgO and TiO2 is produced, which may be due to the air entering the ball mill tank during ball milling. After dehydrogenation, no MgH2 phase can be observed, indicating that all of that phase has been converted to Mg, but a small amount of MgO impurities still exist. After rehydrogenation, most of the Mg is converted into MgH2, which indicates the good reversibility of the sample in the process of hydrogen absorption and desorption. It is worth noting that no C-related peak value can be detected in the XRD patterns of the three samples, which indicates that the decomposition of ML-Ti3C2 or the lack of strong crystallinity may occur during the balling process, leading to undetectable results.
Figure 5.
(a) XRD patterns of as-milled, dehydrogenative, and rehydrogenative MgH2-6 wt.% ML-Ti3C2. (b) SEM image of MgH2-6 wt.% ML-Ti3C2 after ball milling. (c) SEM image of MgH2-6 wt.% ML-Ti3C2 after dehydrogenation. (d,e) SEM images of MgH2-6 wt.% ML-Ti3C2 after rehydrogenation.
Figure 5b−e display the SEM images of MgH2-6 wt.% ML-Ti3C2 after (5b) ball milling (5c) dehydrogenation and (5d,e) rehydrogenation. Figure S3a,b display elemental mappings after dehydrogenation and rehydrogenation. The particle sizes of ball-milled and hydrogenated samples range from 0.1 to 2 μm, and the distribution is relatively loose. As MXene is broken and reduced, Ti and C are uniformly dispersed in the MgH2 matrix, increasing the number of reactive sites. After rehydrogenation, the particles expand and come into close contact. This close particle contact is not conducive to the hydrogen absorption kinetics of pure MgH2 [45]. However, with the addition of ML-Ti3C2, hydrogen can easily be spatially transferred through the interface between MgH2 and ML-Ti3C2. In general, the practical catalytic efficiency for solid-phase reactions depends not only on the intrinsic properties of the catalyst, but also on the uniform distribution of the catalytic phases, and their physicochemical interactions with the reacting phases [55]. What can be observed through the electron image and corresponding elemental mappings of MgH2-6 wt.% ML-Ti3C2 is that the ball milling of MgH2 and Ti3C2 mixtures results in particle refinement and uniform dispersion of the catalytic phase, which means the Mg, Ti, and C are distributed uniformly in the sample. This uniform distribution provides enough active catalytic sites to significantly improve the hydrogen absorption kinetics of MgH2.
Figure 6a,b display the XPS spectra of C 1s and Ti 2p of the as-milled, dehydrogenative, and rehydrogenative MgH2-6 wt.% ML-Ti3C2. The C 1s XPS spectrum can be divided into four peaks: 282.0 eV, 284.8 eV, 286.5 eV, and 288.9 eV, which can be fitted to Ti−C [43], C−C [56], C−O [57], and O=C−O [57], respectively. It can be observed that Ti−C exists, hardly changes, and cannot be completely broken through ball milling, dehydrogenation, or rehydrogenation. The Ti 2p XPS spectrum after ball milling is parallel to four sets of 2p1/2−2p3/2 spin−orbit doublets at 453.7/459.8 eV, 455.1/460.9 eV, 457.0/462.2 eV, and 458.9/464.6 eV, which can be fitted to Ti0 [52], Ti−C [43], Ti3+ [58], and TiO2 [59], respectively. The appearance of Ti0 and Ti3+ indicates a possible chemical reduction reaction between ML-Ti3C2 and MgH2, which reduces Ti3C2 to Ti0 and Ti3+ during ball milling. After dehydrogenation, Ti2+ (456.4/461.5 eV) [57] appears, except for Ti0, Ti−C, Ti3+, and TiO2, indicating that the Ti3+ is further reduced to form Ti2+. After rehydrogenation, the content of Ti2+ increases, indicating that the reduction reaction of Ti is accompanied by the hydrogen absorption and desorption reaction.
Figure 6.
X-ray photoelectron spectroscopy (XPS) spectra of C 1s (a) and Ti 2p (b) of the as-milled, dehydrogenative, and rehydrogenative MgH2-6 wt.% ML-Ti3C2.
To further prove the points detailed above, Figure 7a,b show the EDS mappings of MgH2-6 wt.% ML-Ti3C2 after ball milling, and TEM and HRTEM images of the as-milled MgH2-6 wt.% ML-Ti3C2. Layered structures cannot be found via the TEM image. Combined with the EDS mappings, the microstructures of ML-Ti3C2 collapse, and are well dispersed on the MgH2 particles. The HRTEM analysis in Figure 7b clearly shows the different kinds of interplanar spacings (0.190, 0.221, 0.199, 0.210, 0.214, 0.153, and 0.235 nm), corresponding to the crystal planes of Mg(102), MgH2(200), MgH2(210), MgO(200),Ti(002), Ti3C2(105), TiO2(213), and Ti(002), respectively. Taking the TEM images, XRD patterns, and XPS spectra into account, it appears that a series of redox reactions occurred during the ball milling. A part of Ti−C fractured, Ti3+ and Ti2+ were reduced to form metallic Ti, H− was oxidized into H2, and Mg2+ was reduced to form metallic Mg. In addition, on account of a small amount of O2 having seeped into the ball mill tank, Mg and Ti combined with O2 to form MgO and TiO2, respectively. Some reaction equations during the ball milling are as follows:
Ti3+ + 3e− = Ti
Ti2+ + 2e− = Ti
2H− − 2e− = H2 ↑
Mg2+ + 2e− = Mg
Figure 7.
(a) Electron image and corresponding elemental mappings of MgH2-6 wt.% ML-Ti3C2 after ball milling, and (b) TEM and HRTEM images of the as-milled MgH2-6 wt.% ML-Ti3C2 (A–G: Subfigures of the middle image of Figure 2. (b) and corresponding interplanar spacings).
Based on the characterization analysis results above, the mechanisms by which ML-Ti3C2 improves the kinetic performance of hydrogen absorption and desorption by MgH2 can be preliminarily described. In the ball milling process, the zero-valent titanium formed in situ is uniformly dispersed on the surface of MgH2, which increases the active site of hydrogen absorption and desorption. In addition, Ti can make the hydrogen molecules on its surface easier to dissociate and recombine [60]. At the interface of MgH2-6 wt.% ML-Ti3C2, the displacement of Ti and Mg formed in situ in the MgH2 results in the deformation of MgH2 structure, which can destroy the Mg–H bond and generate vacancies [61]. The electron transfer caused by the change in Ti valence in the process of dehydrogenation and rehydrogenation can promote the recombination of hydrogen atoms into hydrogen molecules [33], as well as the conversion between Mg2+ and Mg, or between H− and H2 [62], thus promoting the hydrogen absorption/desorption kinetics of MgH2. In conclusion, the enhancement of hydrogen absorption and desorption kinetics by ML-Ti3C2 can be attributed to two synergistic effects: one is that Ti facilitates the easier dissociation or recombination of hydrogen molecules, while the other is that the electron transfer generated by multivalent Ti promotes the easier conversion of hydrogen.
4. Conclusions
Multilayer Ti3C2 MXene was prepared by etching the precursor Ti3AlC2, and was then introduced into MgH2 by ball milling. The best performance of MgH2-x wt.% ML-Ti3C2 composite hydrogen storage materials prepared with different addition ratios reached an initial desorption temperature of 142 °C with a desorption amount of 6.56 wt.%, which is 125 °C lower than the initial desorption temperature of pristine MgH2. Outstanding hydrogen absorption and desorption performance indicates that the two-dimensional structure similar to that of graphene generates a large number of active sites and a high specific surface area, effectively facilitating the transport and diffusion of hydrogen in the system. The activation energy decreases from approximately 153 kJ/mol of pristine MgH2 to approximately 99 kJ/mol of MgH2-6 wt.% ML-Ti3C2—a decrease of 35.3%. DSC shows that the addition of ML-Ti3C2 does not significantly improve the thermodynamic properties, but greatly improves the kinetic properties of desorption. After dehydrogenation, hydrogen absorption easily begins at room temperature, which is 40 °C lower than that of pristine MgH2, while the amount of hydrogen absorption reaches 6.3 wt.%, showing good reversibility. In the ball milling process, the metallic Ti formed in situ is uniformly dispersed on the surface of MgH2, which increases the number of active sites of hydrogen absorption and desorption, and simultaneously promotes the dissociation of hydrogen molecules. The conversion between Mg2+/Mg and H−/H is promoted by electron transfer due to the change in Ti valence during dehydrogenation and rehydrogenation. The enhancement of hydrogen absorption and desorption kinetics by Ti3C2 can be attributed to the joint result of Ti facilitating the easier dissociation or recombination of hydrogen molecules, along with the electron transfer generated by multivalent Ti facilitating the easier conversion of hydrogen.
Supplementary Materials
The following are available online at https://www.mdpi.com/article/10.3390/mi12101190/s1, Figure S1: EDS electron image and corresponding elemental mappings of Ti3C2, Figure S2: Isothermal dehydrogenation curve at 140 °C in 60 min of MgH2-6 wt.% ML-Ti3C2, Figure S3: Electron image and corresponding elemental mappings of MgH2-6 wt.% ML-Ti3C2, Table S1: The quantitative information of the experimental details, Table S2: Initial dehydrogenation temperature and hydrogen desorption capacity of different additive amount of ML-Ti3C2, Table S3: The initial hydrogenation temperature and hydrogen absorption capacity of MgH2-6 wt.% ML-Ti3C2 and as-milled MgH2.
Author Contributions
Conceptualization, Z.W. and J.F.; methodology, N.L.; software, Z.W.; validation, J.F. and N.L.; formal analysis, N.L.; investigation, Z.W.; data curation, Z.W. and L.K.; writing—original draft preparation, Z.W.; writing—review and editing, L.K.; supervision, N.L. and J.W.; All authors have read and agreed to the published version of the manuscript.
Funding
This work was supported by the Science and Technology Research Project of Chongqing Municipal Education Commission (KJQN201912908) and the Science and Technology Research Program of Chongqing Municipal Education Commission (KJQN201912903).
Conflicts of Interest
There are no conflict to declare.
References
- Schapbach, L.; Zuttel, A. Hydrogen-storage materials for mobile applications. Nature 2001, 414, 353–358. [Google Scholar] [CrossRef]
- Jia, Y.; Sun, C.; Shen, S.; Zou, J.; Mao, S.S.; Yao, X. Combination of nanosizing and interfacial effect: Future perspective for designing Mg-based nanomaterials for hydrogen storage. Renew. Sustain. Energy Rev. 2015, 44, 289–303. [Google Scholar] [CrossRef]
- Chen, G.; Zhang, Y.; Chen, J.; Guo, X.; Zhu, Y.; Li, L. Enhancing hydrogen storage performances of MgH2 by Ni nano-particles over mesoporous carbon CMK-3. Nanotechnology 2018, 29, 265705. [Google Scholar] [CrossRef]
- Fan, M.-Q.; Liu, S.-S.; Zhang, Y.; Zhang, J.; Sun, L.-X.; Xu, F. Superior hydrogen storage properties of MgH2-10 wt.% TiC composite. Energy 2010, 35, 3417–3421. [Google Scholar] [CrossRef]
- Ma, T.; Isobe, S.; Wang, Y.; Hashimoto, N.; Ohnuki, S. Catalytic Effect of Nb2O5 in MgH2-Nb2O5 Ball-Milled Composites. Catalysts 2012, 2, 344–351. [Google Scholar] [CrossRef] [Green Version]
- Malka, I.E.; Czujko, T.; Bystrzycki, J. Catalytic effect of halide additives ball milled with magnesium hydride. Int. J. Hydrogen Energy 2010, 35, 1706–1712. [Google Scholar] [CrossRef]
- Mao, J.; Guo, Z.; Yu, X.; Liu, H.; Wu, Z.; Ni, J. Enhanced hydrogen sorption properties of Ni and Co-catalyzed MgH2. Int. J. Hydrogen Energy 2010, 35, 4569–4575. [Google Scholar] [CrossRef]
- De Lima Andreani, G.F.; Martins Triques, M.R.; Kiminami, C.S.; Botta, W.J.; Roche, V.; Jorge, A.M., Jr. Characterization of hydrogen storage properties of Mg-Fe-CNT composites prepared by ball milling, hot-extrusion and severe plastic deformation. Int. J. Hydrogen Energy 2016, 41, 23092–23098. [Google Scholar] [CrossRef]
- Gkanas, E.I.; Damian, A.; Ioannidou, A.; Stoian, G.; Lupu, N.; Gjoka, M.; Makridis, S.S. Synthesis, characterisation and hydrogen sorption properties of mechanically alloyed Mg(Ni1-xMnx)(2). Mater. Today Energy 2019, 13, 186–194. [Google Scholar] [CrossRef]
- Luo, Q.; Li, J.; Li, B.; Liu, B.; Shao, H.; Li, Q. Kinetics in Mg-based hydrogen storage materials: Enhancement and mechanism. J. Magnes. Alloy. 2019, 7, 58–71. [Google Scholar] [CrossRef]
- Skryabina, N.; Aptukov, V.; Romanov, P.; Fruchart, D.; de Rango, P.; Girard, G.; Grandini, C.; Sandim, H.; Huot, J.; Lang, J.; et al. Microstructure Optimization of Mg-Alloys by the ECAP Process Including Numerical Simulation, SPD Treatments, Characterization, and Hydrogen Sorption Properties. Molecules 2019, 24, 89. [Google Scholar] [CrossRef] [Green Version]
- Yong, H.; Guo, S.; Yuan, Z.; Qi, Y.; Zhao, D.; Zhang, Y. Phase transformation, thermodynamics and kinetics property of Mg90Ce5RE5 (RE = La, Ce, Nd) hydrogen storage alloys. J. Mater. Sci. Technol. 2020, 51, 84–93. [Google Scholar] [CrossRef]
- Liu, Y.; Zou, J.; Zeng, X.; Wu, X.; Tian, H.; Ding, W.; Wang, J.; Walter, A. Study on hydrogen storage properties of Mg nanoparticles confined in carbon aerogels. Int. J. Hydrogen Energy 2013, 38, 5302–5308. [Google Scholar] [CrossRef]
- Schneemann, A.; White, J.L.; Kang, S.; Jeong, S.; Wan, L.F.; Cho, E.S.; Heo, T.W.; Prendergast, D.; Urban, J.J.; Wood, B.C.; et al. Nanostructured Metal Hydrides for Hydrogen Storage. Chem. Rev. 2018, 118, 10775–10839. [Google Scholar] [CrossRef] [PubMed]
- Sun, Y.; Ma, T.; Aguey-Zinsou, K.-F. Magnesium Supported on Nickel Nanobelts for Hydrogen Storage: Coupling Nanosizing and Catalysis. Acs. Appl. Nano Mater. 2018, 1, 1272–1279. [Google Scholar] [CrossRef]
- Vajo, J.; Pinkerton, F.; Stetson, N. Nanoscale phenomena in hydrogen storage. Nanotechnology 2009, 20, 200201. [Google Scholar] [CrossRef] [PubMed]
- Xia, G.; Tan, Y.; Chen, X.; Sun, D.; Guo, Z.; Liu, H.; Ouyang, L.; Zhu, M.; Yu, X. Monodisperse Magnesium Hydride Nanoparticles Uniformly Self-Assembled on Graphene. Adv. Mater. 2015, 27, 5981–5988. [Google Scholar] [CrossRef]
- Xia, G.; Tan, Y.; Wu, F.; Fang, F.; Sun, D.; Guo, Z.; Huang, Z.; Yu, X. Graphene-wrapped reversible reaction for advanced hydrogen storage. Nano Energy 2016, 26, 488–495. [Google Scholar] [CrossRef] [Green Version]
- Yu, X.; Tang, Z.; Sun, D.; Ouyang, L.; Zhu, M. Recent advances and remaining challenges of nanostructured materials for hydrogen storage applications. Prog. Mater. Sci. 2017, 88, 1–48. [Google Scholar] [CrossRef]
- Zhang, Q.; Huang, Y.; Xu, L.; Zang, L.; Guo, H.; Jiao, L.; Yuan, H.; Wang, Y. Highly Dispersed MgH2 Nanoparticle-Graphene Nanosheet Composites for Hydrogen Storage. Acs. Appl. Nano Mater. 2019, 2, 3828–3835. [Google Scholar] [CrossRef]
- Aktekin, B.; Eyovge, C.; Ozturk, T. Carbon coating of magnesium particles. J. Alloy. Compd. 2017, 720, 17–21. [Google Scholar] [CrossRef]
- Huang, Y.; An, C.; Zhang, Q.; Zang, L.; Shao, H.; Liu, Y.; Zhang, Y.; Yuan, H.; Wang, C.; Wang, Y. Cost-effective mechanochemical synthesis of highly dispersed supported transition metal catalysts for hydrogen storage. Nano Energy 2021, 80, 105535. [Google Scholar] [CrossRef]
- Liu, J.; Ma, Z.; Liu, Z.; Tang, Q.; Zhu, Y.; Lin, H.; Zhang, Y.; Zhang, J.; Liu, Y.; Li, L. Synergistic effect of rGO supported Ni3Fe on hydrogen storage performance of MgH2. Int. J. Hydrogen Energy 2020, 45, 16622–16633. [Google Scholar] [CrossRef]
- Ma, Z.; Zhang, J.; Zhu, Y.; Lin, H.; Liu, Y.; Zhang, Y.; Zhu, D.; Li, L. Facile Synthesis of Carbon Supported Nano-Ni Particles with Superior Catalytic Effect on Hydrogen Storage Kinetics of MgH2. Acs. Appl. Energy Mater. 2018, 1, 1158–1165. [Google Scholar] [CrossRef]
- Meena, P.; Singh, R.; Sharma, V.K.; Jain, I.P. Role of NiMn9.3Al4.0Co14.1Fe3.6 alloy on dehydrogenation kinetics of MgH2. J. Magnes. Alloy. 2018, 6, 318–325. [Google Scholar] [CrossRef]
- Sulaiman, N.N.; Juahir, N.; Mustafa, S.; Yap, F.A.H.; Ismail, M. Improved hydrogen storage properties of MgH2 catalyzed with K2NiF6. J. Energy Chem. 2016, 25, 832–839. [Google Scholar] [CrossRef]
- Yahya, M.S.; Ismail, M. Catalytic effect of SrTiO3 on the hydrogen storage behaviour of MgH2. J. Energy Chem. 2019, 28, 46–53. [Google Scholar] [CrossRef] [Green Version]
- Yao, P.; Jiang, Y.; Liu, Y.; Wu, C.; Chou, K.-C.; Lyu, T.; Li, Q. Catalytic effect of Ni@rGO on the hydrogen storage properties of MgH2. J. Magnes. Alloy. 2020, 8, 461–471. [Google Scholar] [CrossRef]
- Grzech, A.; Lafont, U.; Magusin, P.C.M.M.; Mulder, F.M. Microscopic Study of TiF3 as Hydrogen Storage Catalyst for MgH2. J. Phys. Chem. C 2012, 116, 26027–26035. [Google Scholar] [CrossRef]
- Shao, H.; Felderhoff, M.; Schueth, F.; Weidenthaler, C. Nanostructured Ti-catalyzed MgH2 for hydrogen storage. Nanotechnology 2011, 22, 235401. [Google Scholar] [CrossRef] [PubMed]
- Wang, J.S.; Zhang, W.; Han, S.M.; Qin, F. Improvement in hydrogen storage properties of MgH2 catalyzed with BaTiO3 additive. In Proceedings of the 2nd International Conference on New Material and Chemical Industry, Sanya, China, 13–15 November 2021. [Google Scholar]
- Zhang, L.; Chen, L.; Fan, X.; Xiao, X.; Zheng, J.; Huang, X. Enhanced hydrogen storage properties of MgH2 with numerous hydrogen diffusion channels provided by Na2Ti3O7 nanotubes. J. Mater. Chem. A 2017, 5, 6178–6185. [Google Scholar] [CrossRef]
- Cui, J.; Wang, H.; Liu, J.; Ouyang, L.; Zhang, Q.; Sun, D.; Yao, X.; Zhu, M. Remarkable enhancement in dehydrogenation of MgH2 by a nano-coating of multi-valence Ti-based catalysts. J. Mater. Chem. A 2013, 1, 5603–5611. [Google Scholar] [CrossRef]
- Naguib, M.; Mochalin, V.N.; Barsoum, M.W.; Gogotsi, Y.G. Two-Dimensional Materials: 25th Anniversary Article: MXenes: A New Family of Two-Dimensional Materials (Adv. Mater. 7/2014). Adv. Mater. 2014, 26, 982. [Google Scholar] [CrossRef]
- Hu, Q.; Sun, D.; Wu, Q.; Wang, H.; Wang, L.; Liu, B.; Zhou, A.; He, J. MXene: A New Family of Promising Hydrogen Storage Medium. J. Phys. Chem. A 2013, 117, 14253–14260. [Google Scholar] [CrossRef] [PubMed]
- Zhang, X.; Xue, M.; Yang, X.; Wang, Z.; Luo, G.; Huang, Z.; Sui, X.; Li, C. Preparation and tribological properties of Ti3C2(OH)(2) nanosheets as additives in base oil. Rsc Adv. 2015, 5, 2762–2767. [Google Scholar] [CrossRef]
- Zhang, H.; Wang, L.; Chen, Q.; Li, P.; Zhou, A.; Cao, X.; Hu, Q. Preparation, mechanical and anti-friction performance of MXene/polymer composites. Mater. Des. 2016, 92, 682–689. [Google Scholar] [CrossRef]
- Zhang, X.; Lei, J.; Wu, D.; Zhao, X.; Jing, Y.; Zhou, Z. A Ti-anchored Ti2CO2 monolayer (MXene) as a single-atom catalyst for CO oxidation. J. Mater. Chem. A 2016, 4, 4871–4876. [Google Scholar] [CrossRef]
- Xie, Y.; Naguib, M.; Mochalin, V.N.; Barsoum, M.W.; Gogotsi, Y.; Yu, X.; Nam, K.-W.; Yang, X.-Q.; Kolesnikov, A.I.; Kent, P.R.C. Role of Surface Structure on Li-Ion Energy Storage Capacity of Two-Dimensional Transition-Metal Carbides. J. Am. Chem. Soc. 2014, 136, 6385–6394. [Google Scholar] [CrossRef]
- Yan, P.; Zhang, R.; Jia, J.; Wu, C.; Zhou, A.; Xu, J.; Zhang, X. Enhanced supercapacitive performance of delaminated two-dimensional titanium carbide/carbon nanotube composites in alkaline electrolyte. J. Power Sources 2015, 284, 38–43. [Google Scholar] [CrossRef]
- Yun, T.; Kim, H.; Iqbal, A.; Cho, Y.S.; Lee, G.S.; Kim, M.-K.; Kim, S.J.; Kim, D.; Gogotsi, Y.; Kim, S.O.; et al. Electromagnetic Shielding of Monolayer MXene Assemblies. Adv. Mater. 2020, 32, e1906769. [Google Scholar] [CrossRef] [PubMed]
- Liu, J.; Zhang, H.-B.; Sun, R.; Liu, Y.; Liu, Z.; Zhou, A.; Yu, Z.-Z. Hydrophobic, Flexible, and Lightweight MXene Foams for High-Performance Electromagnetic-Interference Shielding. Adv. Mater. 2017, 29, 1702367. [Google Scholar] [CrossRef]
- Shen, Z.; Wang, Z.; Zhang, M.; Gao, M.; Hu, J.; Du, F.; Liu, Y.; Pan, H. A novel solid-solution MXene (Ti0.5V0.5)3C2 with high catalytic activity for hydrogen storage in MgH2. Materialia 2018, 1, 114–120. [Google Scholar] [CrossRef]
- Gao, H.; Liu, Y.; Zhu, Y.; Zhang, J.; Li, L. Catalytic effect of sandwich-like Ti3C2/TiO2(A)-C on hydrogen storage performance of MgH2. Nanotechnology 2020, 31, 115404. [Google Scholar] [CrossRef]
- Liu, H.Z.; Lu, C.L.; Wang, X.C.; Xu, L.; Huang, X.T.; Wang, X.H.; Ning, H.; Lan, Z.Q.; Guo, J. Combinations of V2C and Ti3C2 MXenes for Boosting the Hydrogen Storage Performances of MgH2. Acs Appl. Mater. Interfaces 2021, 13, 13235–13247. [Google Scholar] [CrossRef] [PubMed]
- Gao, H.; Shao, Y.; Shi, R.; Liu, Y.; Zhu, J.; Liu, J.; Zhu, Y.; Zhang, J.; Li, L.; Hu, X. Effect of Few-Layer Ti3C2Tx Supported Nano-Ni via Self-Assembly Reduction on Hydrogen Storage Performance of MgH2. Acs. Appl. Mater. Interfaces 2020, 12, 47684–47694. [Google Scholar] [CrossRef]
- Chen, G.; Zhang, Y.; Cheng, H.; Zhu, Y.; Li, L.; Lin, H. Effects of two-dimension MXene Ti3C2 on hydrogen storage performances of MgH2-LiAlH4 composite. Chem. Phys. 2019, 522, 178–187. [Google Scholar] [CrossRef]
- Wang, Z.; Yu, K.; Feng, Y.; Qi, R.; Ren, J.; Zhu, Z. VO2(p)-V2C(MXene) Grid Structure as a Lithium Polysulfide Catalytic Host for High-Performance Li–S Battery. ACS Appl. Mater. Interfaces 2019, 11, 44282–44292. [Google Scholar] [CrossRef] [PubMed]
- Shang, C.X.; Guo, Z.X. Effect of carbon on hydrogen desorption and absorption of mechanically milled MgH 2. J. Power Sources 2004, 129, 73–80. [Google Scholar] [CrossRef]
- Wang, Y.; Li, L.; An, C.; Wang, Y.; Chen, C.; Jiao, L.; Yuan, H. Facile synthesis of TiN decorated graphene and its enhanced catalytic effects on dehydrogenation performance of magnesium hydride. Nanoscale 2014, 6, 6684. [Google Scholar] [CrossRef]
- Blaine, R.L.; Kissinger, H.E. Homer Kissinger and the Kissinger equation. Thermochim. Acta 2012, 540, 1–6. [Google Scholar] [CrossRef]
- Liu, Y.F.; Du, H.F.; Zhang, X.; Yang, Y.X.; Gao, M.X.; Pan, H.G. Superior catalytic activity derived from a two-dimensional Ti3C2 precursor towards the hydrogen storage reaction of magnesium hydride. Chem. Commun. 2016, 52, 705–708. [Google Scholar] [CrossRef]
- Zhu, W.; Panda, S.; Lu, C.; Ma, Z.; Khan, D.; Dong, J.; Sun, F.; Xu, H.; Zhang, Q.; Zou, J. Using a Self-Assembled Two-Dimensional MXene-Based Catalyst (2D-Ni@Ti3C2) to Enhance Hydrogen Storage Properties of MgH2. Acs. Appl. Mater. Interfaces 2020, 12, 50333–50343. [Google Scholar] [CrossRef] [PubMed]
- Wang, Z.Y.; Zhang, X.L.; Ren, Z.H.; Liu, Y.; Hu, J.J.; Li, H.W.; Gao, M.X.; Pan, H.G.; Liu, Y.F. In situ formed ultrafine NbTi nanocrystals from a NbTiC solid-solution MXene for hydrogen storage in MgH2. J. Mater. Chem. A 2019, 7, 14244–14252. [Google Scholar] [CrossRef]
- Huang, X.; Xiao, X.; Zhang, W.; Fan, X.; Zhang, L.; Cheng, C.; Li, S.; Ge, H.; Wang, Q.; Chen, L. Transition metal (Co, Ni) nanoparticles wrapped with carbon and their superior catalytic activities for the reversible hydrogen storage of magnesium hydride. Phys. Chem. Chem. Phys. 2017, 19, 4019–4029. [Google Scholar] [CrossRef] [PubMed]
- Narayanasamy, M.; Kirubasankar, B.; Shi, M.; Velayutham, S.; Wang, B.; Angaiah, S.; Yan, C. Morphology restrained growth of V(2)O(5)by the oxidation of V-MXenes as a fast diffusion controlled cathode material for aqueous zinc ion batteries. Chem. Commun. 2020, 56, 6412–6415. [Google Scholar] [CrossRef]
- Halim, J.; Cook, K.M.; Naguib, M.; Eklund, P.; Gogotsi, Y.; Rosen, J.; Barsoum, M.W. X-ray photoelectron spectroscopy of select multi-layered transition metal carbides (MXenes). Appl. Surf. Sci. 2016, 362, 406–417. [Google Scholar] [CrossRef] [Green Version]
- Xian, K.; Gao, M.; Li, Z.; Gu, J.; Shen, Y.; Wang, S.; Yao, Z.; Liu, Y.; Pan, H. Superior Kinetic and Cyclic Performance of a 2D Titanium Carbide Incorporated 2LiH+MgB2 Composite toward Highly Reversible Hydrogen Storage. Acs. Appl. Energy Mater. 2019, 2, 4853–4864. [Google Scholar] [CrossRef]
- Zhang, X.; Leng, Z.; Gao, M.; Hu, J.; Du, F.; Yao, J.; Pan, H.; Liu, Y. Enhanced hydrogen storage properties of MgH2 catalyzed with carbon-supported nanocrystalline TiO2. J. Power Sources 2018, 398, 183–192. [Google Scholar] [CrossRef]
- Tan, Y.; Zhu, Y.; Li, L. Excellent catalytic effects of multi-walled carbon nanotube supported titania on hydrogen storage of a Mg-Ni alloy. Chem. Commun. 2015, 51, 2368–2371. [Google Scholar] [CrossRef] [PubMed] [Green Version]
- Cui, J.; Liu, J.; Wang, H.; Ouyang, L.; Sun, D.; Zhu, M.; Yao, X. Mg-TM (TM: Ti, Nb, V, Co, Mo or Ni) core-shell like nanostructures: Synthesis, hydrogen storage performance and catalytic mechanism. J. Mater. Chem. A 2014, 2, 9645–9655. [Google Scholar] [CrossRef]
- Chen, M.; Xiao, X.; Zhang, M.; Liu, M.; Huang, X.; Zheng, J.; Zhang, Y.; Jiang, L.; Chen, L. Excellent synergistic catalytic mechanism of in-situ formed nanosized Mg2Ni and multiple valence titanium for improved hydrogen desorption properties of magnesium hydride. Int. J. Hydrogen Energy 2019, 44, 1750–1759. [Google Scholar] [CrossRef]
Publisher’s Note: MDPI stays neutral with regard to jurisdictional claims in published maps and institutional affiliations. |
© 2021 by the authors. Licensee MDPI, Basel, Switzerland. This article is an open access article distributed under the terms and conditions of the Creative Commons Attribution (CC BY) license (https://creativecommons.org/licenses/by/4.0/).






