Simulation of Prandtl Nanofluid in the Mixed Convective Flow of Activation Energy with Gyrotactic Microorganisms: Numerical Outlook Features of Micro-Machines
Abstract
1. Introduction
2. Mathematical Modeling
3. Quantities of Interest
4. Computational Solution
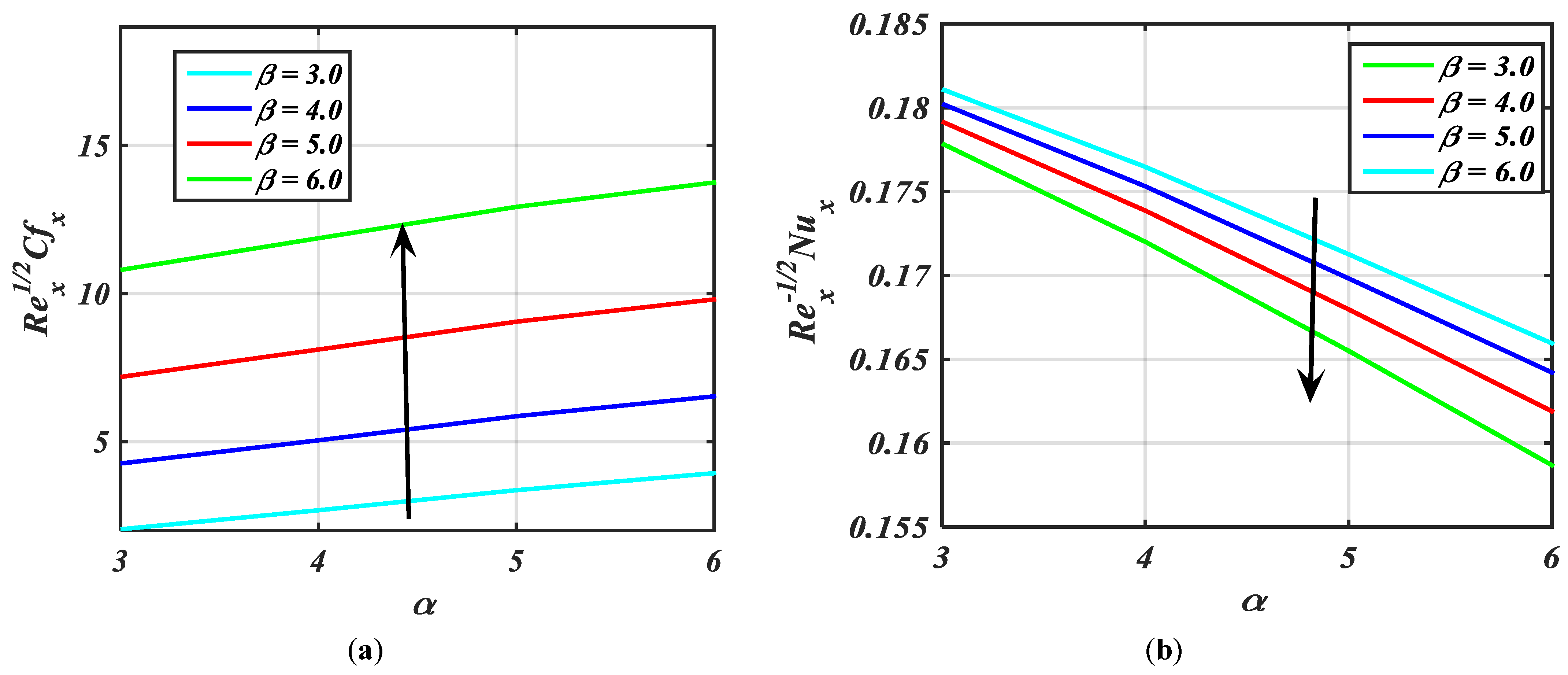
5. Results
6. Conclusions
- Since the bio-convection slows down with higher Rayleigh numbers, the buoyancy effect of nanofluids is less, and nanoparticles cannot rise. Moreover, greater buoyancy is induced, which unquestionably opposes the fluid flow and impacts concentration. Both metrics indicate a significant decrease in flow activity.
- Prandtl fluid parameters have a noticeable impact on flow direction. Parameters of fluids have opposite effects on their viscosities. When the values of the fluid’s parameters are made greater, the fluid’s viscosity decreases, and the fluid is subsequently subject to less friction and other forms of resistance. Therefore, the fluid increases.
- For escalating values of and the fluid velocity rises while the field of temperature and nanoparticle concentration declines.
- A reduction in fluid velocity occurs in the presence of nanoparticles with an increase in magnetohydrodynamic, which can be useful for medical treatments such as magnetic therapy and surgeries.
- Prandtl number and Schmidt number both are the reducing functions of nanoparticle concentration and temperature profile, respectively.
- For growth in the magnetic parameter, there is much stronger resistive force in the fluid motion that generates more energy dissipation and ultimately enhances the temperature of the fluid.
- For increasing amounts of Brownian diffusion and thermophoretic parameter the field of temperature rises. Meanwhile, nanoparticle concentration rises because of greater and diminishes for greater .
- An increase in , and (bioconvection parameters) declines density profiles and improves the diffusion rate of microbes.
- The bioconvection with nanoparticle interaction can be used in thermal transpiration for engineering and industrial processes.
Author Contributions
Funding
Institutional Review Board Statement
Informed Consent Statement
Data Availability Statement
Conflicts of Interest
References
- Choi, S.U.S. Enhancing thermal conductivity of fluids with nanoparticles. ASME Public Fed. 1995, 231, 99–106. [Google Scholar]
- Buongiorno, J. Convective Transport in Nanofluids. J. Heat Transf. 2006, 128, 240–250. [Google Scholar] [CrossRef]
- Shehzad, N.; Zeeshan, A.; Ellahi, R.; Vafai, K. Convective heat transfer of nanofluid ina wavy channel: Buongiorno’s mathematical model. J. Mol. Liq. 2016, 222, 446–455. [Google Scholar] [CrossRef]
- Xu, H.; Fan, T.; Pop, I. Analysis of mixed convection flow of a nanofluid in a verticalchannel with the Buongiorno mathematical model. Int. Commun. Heat Mass Transf. 2013, 44, 15–22. [Google Scholar] [CrossRef]
- Khan, W.A.; Pop, I. Boundary-layer flow of a nanofluid past a stretching sheet. Int. J. Heat Mass Transf. 2010, 53, 2477–2483. [Google Scholar] [CrossRef]
- Aziz, A.; Khan, W.A. Natural convective boundary layer flow of a nanofluid pasta convectively heated vertical plate. Int. J. Therm. Sci. 2012, 52, 83–90. [Google Scholar] [CrossRef]
- Sheikholeslami, M.; Hatami, M.; Ganji, D.D. Nanofluid flow and heat transferin a rotating system in the presence of a magnetic field. J. Mol. Liq. 2014, 190, 112–120. [Google Scholar] [CrossRef]
- Afify, A.A.; Bazid, M.A.A. Effects of variable fluid properties on the natural convectiveboundary layer flow of a nanofluid past a vertical plate: Numerical study. J. Comp. Therm. Nanosci. 2014, 11, 210–218. [Google Scholar] [CrossRef]
- Lin, Y.; Zheng, L.; Zhang, X. Radiation effects on Marangoni convection flow andheat transfer in pseudo-plastic non-Newtonian nanofluids with variable thermal conductivity. Int. J. Heat Mass Transf. 2014, 77, 708–716. [Google Scholar] [CrossRef]
- Rashidi, M.; Ganesh, N.V.; Hakeem, A.A.; Ganga, B. Buoyancy effect on MHD flow of nanofluid over a stretching sheet in the presence of thermal radiation. J. Mol. Liq. 2014, 198, 234–238. [Google Scholar] [CrossRef]
- Hayat, T.; Ullah, I.; Muhammad, T.; Alsaedi, A. Magnetohydrodynamic (MHD) three-dimensional flow of second grade nanofluid by a convectively heated exponentially stretching surface. J. Mol. Liq. 2016, 220, 1004–1012. [Google Scholar] [CrossRef]
- Muhammad, N.; Nadeem, S. Ferrite nanoparticles Ni- ZnFe2O4, Mn- ZnFe2O4 and Fe2O4 in the flow of ferromagnetic nanofluid. Eur. Phys. J. Plus 2017, 132, 377. [Google Scholar] [CrossRef]
- Muhammad, N.; Nadeem, S.; Zaman, F.D. Transmission of thermal energy in a ferromagnetic nanofluid flow. Int. J. Mod. Phys. B 2022, 36, 32. [Google Scholar] [CrossRef]
- Chu, Y.-M.; Shankaralingappa, B.; Gireesha, B.; Alzahrani, F.; Khan, M.I.; Khan, S.U. RETRACTED: Combined impact of Cattaneo-Christov double diffusion and radiative heat flux on bio-convective flow of Maxwell liquid configured by a stretched nano-material surface. Appl. Math. Comput. 2021, 419, 126883. [Google Scholar] [CrossRef]
- Xiong, P.-Y.; Hamid, A.; Chu, Y.-M.; Khan, M.I.; Gowda, R.J.P.; Kumar, R.N.; Prasannakumara, B.C.; Qayyum, S. Dynamics of multiple solutions of Darcy–Forchheimer saturated flow of Cross nanofluid by a vertical thin needle point. Eur. Phys. J. Plus 2021, 136, 1–22. [Google Scholar] [CrossRef]
- Soomro, F.A.; Zaib, A.; Haq, R.U.; Sheikholeslami, M. Dual nature solution of water functionalized copper nanoparticles along a permeable shrinkingcylinder: FDM approach. Int. J. Heat Mass Transf. 2019, 192, 1242–1249. [Google Scholar] [CrossRef]
- Reddy, C.S.; Ali, F.; Ahmed, M.F.A.F. Aspects on unsteady for MHD flow of Cross nanofluid having gyrotactic motile microorganism due to convectively heated sheet. Int. J. Ambient. Energy 2021, 43, 6028–6040. [Google Scholar] [CrossRef]
- Ali, F.; Zaib, A. Unsteady flow of an Eyring-Powell nanofluid near stagnation point past a convectively heated stretching sheet. Arab. J. Basic Appl. Sci. 2019, 26, 215–224. [Google Scholar] [CrossRef]
- Ahmed, M.F.; Zaib, A.; Ali, F.; Bafakeeh, O.T.; Tag-ElDin, E.S.M.; Guedri, K.; Elattar, S.; Khan, M.I. Numerical Computation for Gyrotactic Microorganisms in MHD Radiative Eyring–Powell Nanomaterial Flow by a Static/Moving Wedge with Darcy–Forchheimer Relation. Micromachines 2022, 13, 1768. [Google Scholar] [CrossRef]
- Loganathan, K.; Alessa, N.; Jain, R.; Ali, F.; Zaib, A. Dynamics of Ree-Eyring nanofluid subject to free convection, bio-convection, heat source, and thermal radiation over a convectively heated Riga plate: Attributes of heat and mass transfer. Front. Phys. 2022, 10, 974562. [Google Scholar] [CrossRef]
- Akbar, N.S.; Maraj, E.; Noor, N.; Habib, M.B. Exact solutions of an unsteady thermal conductive pressure driven peristaltic transport with temperature-dependent nanofluid viscosity. Case Stud. Therm. Eng. 2022, 35, 102124. [Google Scholar] [CrossRef]
- Akram, J.; Akbar, N.S.; Tripathi, D. Entropy generation in electroosmotically aided peristaltic pumping of MoS2 Rabinowitsch nanofluid. Fluid Dyn. Res. 2022, 54, 015507. [Google Scholar] [CrossRef]
- Faizan, M.; Ali, F.; Loganathan, K.; Zaib, A.; Reddy, C.A.; Abdelsalam, S.I. Entropy Analysis of Sutterby Nanofluid Flow over a Riga Sheet with Gyrotactic Microorganisms and Cattaneo–Christov Double Diffusion. Mathematics 2022, 10, 3157. [Google Scholar] [CrossRef]
- Al-Farhany, K.; Al-Muhja, B.; Loganathan, K.; Periyasamy, U.; Ali, F.; Sarris, I.E. Analysis of Convection Phenomenon in Enclosure Utilizing Nanofluids with Baffle Effects. Energies 2022, 15, 6615. [Google Scholar] [CrossRef]
- Mustafa, M.; Abbasbandy, S.; Hina, S.; Hayat, T. Numerical investigation on mixed convective peristaltic flow of fourth grade fluid with Dufour and Soret effects. J. Taiwan Inst. Chem. Eng. 2014, 45, 308–316. [Google Scholar] [CrossRef]
- Mahmood, T.; Merkin, J.H. Mixed convection on a vertical circular cylinder. J. Appl. Math. Phys. 1988, 39, 186–203. [Google Scholar] [CrossRef]
- Ahmad, S.; Pop, I. Mixed convection boundary layer flow from a vertical flat plate embedded in a porous medium filled with nanofluids. Int. Commun. Heat Mass Transf. 2010, 37, 987–991. [Google Scholar] [CrossRef]
- Imtiaz, M.; Hayat, T.; Alsaedi, A. Mixed convection flow of Casson nanofluid over a stretching cylinder with convective boundary conditions. Adv. Powder Technol. 2016, 27, 2245–2256. [Google Scholar] [CrossRef]
- Zhao, T.; Khan, M.I.; Chu, Y. Artificial neural networking (ANN) analysis for heat and entropy generation in flow of non-Newtonian fluid between two rotating disks. Math. Methods Appl. Sci. 2021, 46, 3012–3030. [Google Scholar] [CrossRef]
- Nazeer, M.; Hussain, F.; Khan, M.I.; Rehman, A.U.; El-Zahar, E.R.; Chu, Y.-M.; Malik, M. RETRACTED: Theoretical study of MHD electro-osmotically flow of third-grade fluid in micro channel. Appl. Math. Comput. 2022, 420, 126868. [Google Scholar] [CrossRef]
- Nazeer, M.; Hussain, F.; Ahmad, M.O.; Saeed, S.; Khan, M.I.; Kadry, S.; Chu, Y.-M. Multi-phase flow of Jeffrey Fluid bounded within magnetized horizontal surface. Surf. Interfaces 2020, 22, 100846. [Google Scholar] [CrossRef]
- Nazeer, M.; Hussain, F.; Shahzad, Q.; Khan, M.I.; Kadry, S.; Chu, Y.-M. Perturbation solution of the multiphase flows of third grade dispersions suspended with Hafnium and crystal particles. Surf. Interfaces 2020, 22, 100803. [Google Scholar] [CrossRef]
- Akbar, N.S.; Nadeem, S.; Lee, C. Peristaltic flow of a Prandtl fluid model in an asymmetric channel. Int. J. Phys. Sci. 2012, 7, 687–695. [Google Scholar]
- Akbar, N.S.; Khan, Z.H.; Haq, R.U.; Nadeem, S. Dual solutions in MHD stagnation-pointflow of Prandtl fluid impinging on shrinking sheet. Appl. Math. Mech. 2014, 35, 813–820. [Google Scholar] [CrossRef]
- Hayat, T.; Zahir, H.; Tanveer, A.; Alsaedi, A. Influences of Hall current and chemical reaction in mixed convective peristaltic flow of Prandtl fluid. J. Magn. Magn. Mater. 2016, 407, 321–327. [Google Scholar] [CrossRef]
- Soomro, F.A.; Haq, R.U.; Khan, Z.H.; Zhang, Q. Passive control of nanoparticle due toconvective heat transfer of Prandtl fluid model at the stretching surface. Chin. J. Phys. 2017, 000, 1–8. [Google Scholar]
- Hayat, T.; Aslam, N.; Alsaedi, A.; Rafiq, M. Numerical analysis for endoscope and Soret and Dufour effects on peristalsis of Prandtl fluid. Results Phys. 2017, 7, 2855–2864. [Google Scholar] [CrossRef]
- Kumar, K.G.; Haq, R.U.; Rudraswamy, N.; Gireesha, B. Effects of mass transfer on MHD three dimensional flow of a Prandtl liquid over a flat plate in the presence of chemical reaction. Results Phys. 2017, 7, 3465–3471. [Google Scholar] [CrossRef]
- Sajid, T.; Sabir, Z.; Tanveer, S.; Arbi, A.; Altamirano, G.C. Upshot of radiative rotating Prandtl fluid flow over a slippery surface embedded with variable species diffusivity and multiple convective boundary conditions. Heat Transf. 2020, 50, 2874–2894. [Google Scholar] [CrossRef]
- Khan, I.; Hussain, A.; Malik, M.; Mukhtar, S. On magnetohydrodynamics Prandtl fluid flow in the presence of stratification and heat generation. Phys. A Stat. Mech. Its Appl. 2020, 540, 123008. [Google Scholar] [CrossRef]
- Bestman, Natural convection boundary layer with suction and mass transfer in a porous medium. Int. J. Eng. Res. 1990, 14, 389–396.
- Zaib, A.; Rashidi, M.M.; Chamkha, A.; Bhattacharyya, K. Numerical solution of second law analysis for MHD Casson nanofluid past a wedge with activation energy and binary chemical reaction. Int. J. Numer. Methods Heat Fluid Flow 2017, 27, 2816–2834. [Google Scholar] [CrossRef]
- Maleque, K.A. Effects of Binary Chemical Reaction and Activation Energy on MHD Boundary Layer Heat and Mass Transfer Flow with Viscous Dissipation and Heat Generation/Absorption. ISRN Thermodyn. 2013, 2013, 284637. [Google Scholar] [CrossRef]
- Maleque, K.A. Effects of exothermic/endothermic chemical reactions with Arrhenius activation energy on MHD free convection and mass transfer flow inpresence of thermal radiation. J. Thermodyn. 2013, 2013, 692516. [Google Scholar] [CrossRef]
- Chamkha, A.J.; Khaled, A.R.A. Hydromagnetic combinedheat and mass transfer by natural convection from a permeable surface embedded in a fluid satural porous medium. Int. J. Numer. Methods 2000, 10, 455–476. [Google Scholar]
- Waqas, H.; Khan, S.U.; Hassan, M.; Bhatti, M.; Imran, M. Analysis on the bioconvection flow of modified second-grade nanofluid containing gyrotactic microorganisms and nanoparticles. J. Mol. Liq. 2019, 291, 111231. [Google Scholar] [CrossRef]
- Shafique, Z.; Mustafa, M.; Mushtaq, A. Boundary layer flow of Maxwell fluid inrotating frame with binary chemical reaction and activation energy. Res. Phys. 2016, 6, 627–633. [Google Scholar]
- Khan, M.I.; Alzahrani, F.; Hobiny, A.; Ali, Z. Estimation of entropy generation in Carreau-Yasuda fluid flow using chemical reaction with activation energy. J. Mater. Res. Technol. 2020, 9, 9951–9964. [Google Scholar] [CrossRef]
- Muhammad, N.; Lashin, M.M.A.; Alkhatib, S. Simulation of turbulence flow in OpenFOAM using the large eddy simulation model. Proc. Inst. Mech. Eng. Part E J. Process. Mech. Eng. 2022, 236, 2252–2265. [Google Scholar] [CrossRef]
- Ahmed, N.; Muhammad, N.; Zaman, F.D. CFD-based simulation of heat transfer in a rectangular channel. Int. J. Mod. Phys. B 2022, 2350133. [Google Scholar] [CrossRef]
- Mahmood, T.; Zaman, F.D.; Muhammad, N. Mathematical analysis of heat and fluid flow in a square cavity. Int. J. Mod. Phys. B 2022, 37, 2350023. [Google Scholar] [CrossRef]
- Chu, Y.-M.; Khan, M.I.; Abbas, T.; Sidi, M.O.; Alharbi, K.A.M.; Alqsair, U.F.; Khan, S.U.; Malik, M. Radiative thermal analysis for four types of hybrid nanoparticles subject to non-uniform heat source: Keller box numerical approach. Case Stud. Therm. Eng. 2022, 40, 102474. [Google Scholar] [CrossRef]
- Liu, C.; Ying, P. Theoretical study of novel B–C–O compounds with non-diamond isoelectronic. Chin. Phys. B 2022, 31, 26201. [Google Scholar] [CrossRef]
- Bafakeeh, O.T.; Raza, A.; Khan, S.U.; Khan, M.I.; Nasr, A.; Ben Khedher, N.; Tag-Eldin, E.S.M. Physical Interpretation of Nanofluid (Copper Oxide and Silver) with Slip and Mixed Convection Effects: Applications of Fractional Derivatives. Appl. Sci. 2022, 12, 10860. [Google Scholar] [CrossRef]
- Zhang, C.; Khorshidi, H.; Najafi, E.; Ghasemi, M. Fresh, mechanical and microstructural properties of alkali-activated composites incorporating nanomaterials: A comprehensive review. J. Clean. Prod. 2023, 384, 135390. [Google Scholar] [CrossRef]
- Jahanshahi, H.; Yao, Q.; Khan, M.I.; Moroz, I. Unified neural output-constrained control for space manipulator using tan-type barrier Lyapunov function. Adv. Space Res. 2022, in press. [CrossRef]
- Fu, Q.; Luo, K.; Song, Y.; Zhang, M.; Zhang, S.; Zhan, J.; Duan, J.; Li, Y. Study of Sea Fog Environment Polarization Transmission Characteristics. Appl. Sci. 2022, 12, 8892. [Google Scholar] [CrossRef]
- Bafakeeh, O.T.; Raghunath, K.; Ali, F.; Khalid, M.; Tag-ElDin, E.S.M.; Oreijah, M.; Guedri, K.; Ben Khedher, N.; Khan, M.I. Hall Current and Soret Effects on Unsteady MHD Rotating Flow of Second-Grade Fluid through Porous Media under the Influences of Thermal Radiation and Chemical Reactions. Catalysts 2022, 12, 1233. [Google Scholar] [CrossRef]
- Zhao, G.; Shi, L.; Yang, G.; Zhuang, X.; Cheng, B. 3D fibrous aerogels from 1D polymer nanofibers for energy and environmental applications. J. Mater. Chem. A 2022, 11, 512–547. [Google Scholar] [CrossRef]
- Li, S.; Khan, M.I.; Alzahrani, F.; Eldin, S.M. Heat and mass transport analysis in radiative time dependent flow in the presence of Ohmic heating and chemical reaction, viscous dissipation: An entropy modeling. Case Stud. Therm. Eng. 2023, 42, 102722. [Google Scholar] [CrossRef]
- Liu, Y.; Xu, K.-D.; Li, J.; Guo, Y.-J.; Zhang, A.; Chen, Q. Millimeter-Wave E-Plane Waveguide Bandpass Filters Based on Spoof Surface Plasmon Polaritons. IEEE Trans. Microw. Theory Tech. 2022, 70, 4399–4409. [Google Scholar] [CrossRef]
- Li, S.; Puneeth, V.; Saeed, A.M.; Singhal, A.; Al-Yarimi, F.A.M.; Khan, M.I.; Eldin, S.M. Analysis of the Thomson and Troian velocity slip for the flow of ternary nanofluid past a stretching sheet. Sci. Rep. 2023, 13, 2340. [Google Scholar] [CrossRef] [PubMed]
- Xu, K.-D.; Guo, Y.-J.; Liu, Y.; Deng, X.; Chen, Q.; Ma, Z. 60-GHz Compact Dual-Mode On-Chip Bandpass Filter Using GaAs Technology. IEEE Electron. Device Lett. 2021, 42, 1120–1123. [Google Scholar] [CrossRef]
- Abbasi, A.; Farooq, W.; Tag-ElDin, E.S.M.; Khan, S.U.; Khan, M.I.; Guedri, K.; Elattar, S.; Waqas, M.; Galal, A.M. Heat Transport Exploration for Hybrid Nanoparticle (Cu, Fe3O4)-Based Blood Flow via Tapered Complex Wavy Curved Channel with Slip Features. Micromachines 2022, 13, 1415. [Google Scholar] [CrossRef]
















| N | |||||||
|---|---|---|---|---|---|---|---|
| 3 | 3 | 1 | 2 | 2.03698 | 0.17786 | 1.22888 | 1.28241 |
| 1.5 | 2.67861 | 0.17200 | 1.23905 | 1.25891 | |||
| 2 | 3.35552 | 0.16550 | 1.24924 | 1.23295 | |||
| 2.5 | 3.93163 | 0.15868 | 1.25876 | 1.20612 | |||
| 4 | 4 | 1 | 2.5 | 4.25839 | 0.17917 | 1.23363 | 1.28710 |
| 1.5 | 5.04095 | 0.17386 | 1.24298 | 1.26572 | |||
| 2 | 5.85392 | 0.16797 | 1.25244 | 1.24210 | |||
| 2.5 | 6.52558 | 0.16190 | 1.26124 | 1.21804 | |||
| 5 | 5 | 1 | 3 | 7.18129 | 0.18023 | 1.23717 | 1.29105 |
| 1.5 | 8.10691 | 0.17531 | 1.24602 | 1.27115 | |||
| 2 | 9.04690 | 0.16982 | 1.25500 | 1.24902 | |||
| 2.5 | 9.80026 | 0.16421 | 1.26330 | 1.22664 | |||
| 6 | 6 | 1 | 3.5 | 10.79610 | 0.18110 | 1.23994 | 1.29434 |
| 1.5 | 11.86671 | 0.17647 | 1.24845 | 1.27555 | |||
| 2 | 12.92448 | 0.17126 | 1.25709 | 1.25449 | |||
| 2.5 | 13.74878 | 0.16595 | 1.26500 | 1.23322 |
| Nb = 0.1 | Khan and Pop [5] | Present Result | Accuracy | |||
|---|---|---|---|---|---|---|
| Nt | ||||||
| 0.1 | 0.9524 | 2.1294 | 0.9523 | 2.1290 | 99.985% | 99.9812% |
| 0.2 | 0.6932 | 2.2740 | 0.6931 | 2.2735 | 99.985% | 99.9780% |
| 0.3 | 0.5201 | 2.5286 | 0.5200 | 2.5278 | 99.980% | 99.9683% |
| 0.4 | 0.4026 | 2.7952 | 0.4026 | 2.7941 | 100% | 99.9606% |
| 0.5 | 0.3211 | 3.0351 | 0.3210 | 3.0338 | 99.968% | 99.9571% |
| M | Kumar et al. [56] | Current Result | Accuracy |
|---|---|---|---|
| 1.0 | −1.41421 | −1.41421 | 100% |
| 5.0 | −2.44948 | −2.44949 | 99.9995% |
| 10.0 | −3.31662 | −3.31662 | 100% |
| 50.0 | −7.14142 | −7.14143 | 99.9998% |
| 500.0 | −22.3830 | −22.3830 | 100% |
| 1000.0 | −31.6386 | −31.6385 | 99.9996% |
Disclaimer/Publisher’s Note: The statements, opinions and data contained in all publications are solely those of the individual author(s) and contributor(s) and not of MDPI and/or the editor(s). MDPI and/or the editor(s) disclaim responsibility for any injury to people or property resulting from any ideas, methods, instructions or products referred to in the content. |
© 2023 by the authors. Licensee MDPI, Basel, Switzerland. This article is an open access article distributed under the terms and conditions of the Creative Commons Attribution (CC BY) license (https://creativecommons.org/licenses/by/4.0/).
Share and Cite
Zafar, S.S.; Alfaleh, A.; Zaib, A.; Ali, F.; Faizan, M.; Abed, A.M.; Elattar, S.; Khan, M.I. Simulation of Prandtl Nanofluid in the Mixed Convective Flow of Activation Energy with Gyrotactic Microorganisms: Numerical Outlook Features of Micro-Machines. Micromachines 2023, 14, 559. https://doi.org/10.3390/mi14030559
Zafar SS, Alfaleh A, Zaib A, Ali F, Faizan M, Abed AM, Elattar S, Khan MI. Simulation of Prandtl Nanofluid in the Mixed Convective Flow of Activation Energy with Gyrotactic Microorganisms: Numerical Outlook Features of Micro-Machines. Micromachines. 2023; 14(3):559. https://doi.org/10.3390/mi14030559
Chicago/Turabian StyleZafar, S. S., Ayman Alfaleh, A. Zaib, Farhan Ali, M. Faizan, Ahmed M. Abed, Samia Elattar, and M. Ijaz Khan. 2023. "Simulation of Prandtl Nanofluid in the Mixed Convective Flow of Activation Energy with Gyrotactic Microorganisms: Numerical Outlook Features of Micro-Machines" Micromachines 14, no. 3: 559. https://doi.org/10.3390/mi14030559
APA StyleZafar, S. S., Alfaleh, A., Zaib, A., Ali, F., Faizan, M., Abed, A. M., Elattar, S., & Khan, M. I. (2023). Simulation of Prandtl Nanofluid in the Mixed Convective Flow of Activation Energy with Gyrotactic Microorganisms: Numerical Outlook Features of Micro-Machines. Micromachines, 14(3), 559. https://doi.org/10.3390/mi14030559

