Jet Electrochemical Micromilling of Ti-6Al-4V Using NaCl–Ethylene Glycol Electrolyte
Abstract
1. Introduction
2. Materials and Methods
2.1. Materials and Electrolytes
2.2. Experimental System and Arrangement
3. Results and Discussion
3.1. Polarization Curves
3.2. Electrochemical Impedance Spectroscopy
3.3. JEMM of Ti-6Al-4V
3.3.1. Effects of Feed Depth
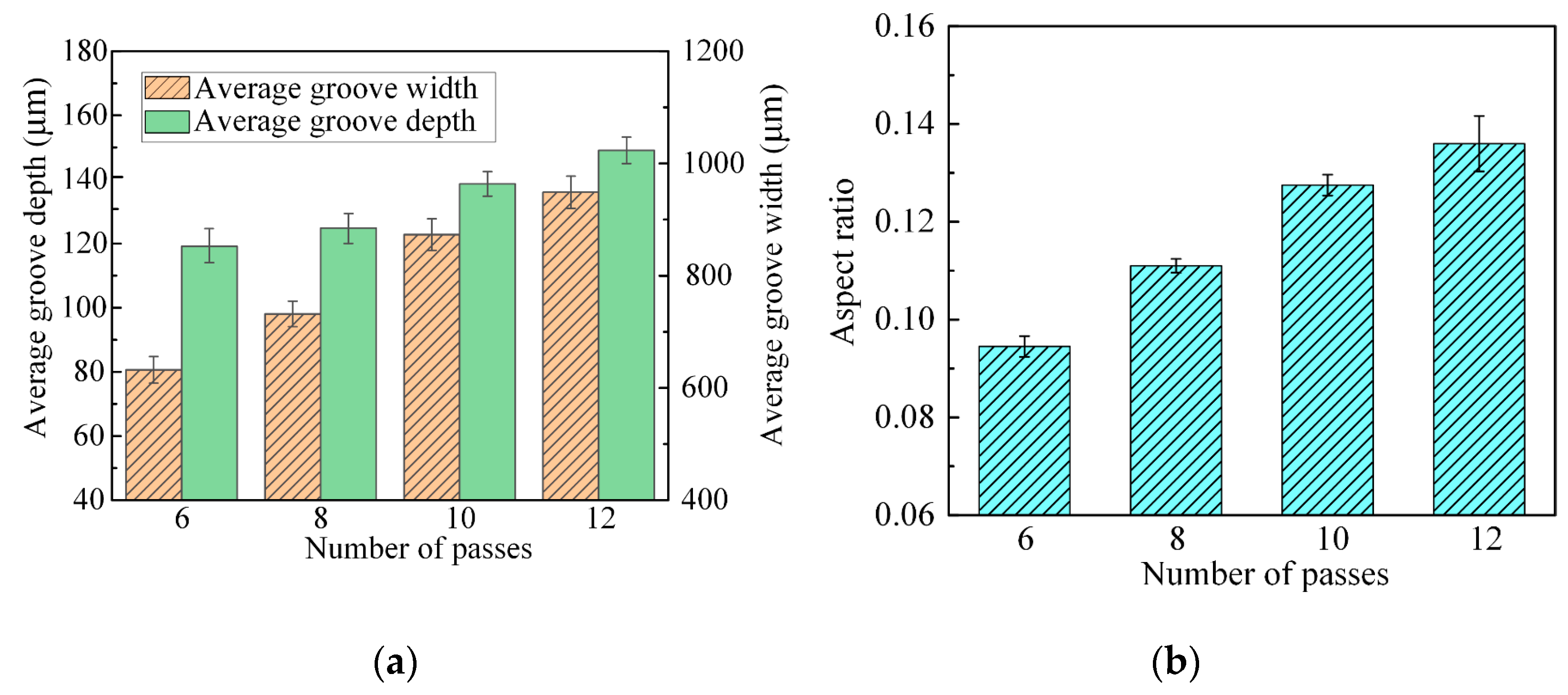
3.3.2. Effects of Number of Passes
3.3.3. Machining of a Microstructure
4. Conclusions
- The results of electrochemical testing indicate that Ti-6Al-4V has a better corrosion resistance in the NaCl-EG electrolyte, which leads to reduced stray corrosion in the non-machined regions. The machining localization and surface quality of the grooves machined by JEMM using the NaCl-EG electrolyte were better than those in the aqueous NaCl electrolyte.
- The aspect ratio of the grooves machined via JEMM using the NaCl-EG electrolyte could be effectively enhanced by multiple passes. The depth, width, and aspect ratio of the grooves increased with an increasing feed depth and with more passes. However, an excessive feed depth and number of passes led to significant stray corrosion at the groove edges. Therefore, a feed depth of 20 µm and 10 passes were selected as the optimal parameters.
- A square annular microstructure with a high geometric dimensional consistency and a high surface quality was achieved on Ti-6Al-4V vis JEMM with multiple passes using a NaCl-EG electrolyte. The width, depth, and surface roughness of the microstructure were 959 ± 3.4 µm, 119.8 ± 3 µm, and 0.539 ± 0.015 µm, respectively.
Author Contributions
Funding
Data Availability Statement
Conflicts of Interest
Correction Statement
References
- Park, S.J.; Lee, J.H.; Yang, J.; Moon, S.K.; Son, Y.; Park, J. Enhanced energy absorption of additive-manufactured Ti-6Al-4V parts via hybrid lattice structures. Micromachines 2023, 14, 1982. [Google Scholar] [CrossRef] [PubMed]
- Luo, H.; Li, J.; Ye, J.; Tan, J.; Rashad, M.; Chen, X.; Han, S.; Zheng, K.; Zhao, T.; Pan, F. Effect of Ti-6Al-4V particle reinforcements on mechanical properties of Mg-9Al-1Zn alloy. Trans. Nonferr. Met. Soc. China 2022, 32, 3238–3249. [Google Scholar] [CrossRef]
- Dalmau, A.; Muñoz, A.I.; Mischler, S. Current and friction transients during tribocorrosion of a biomedical titanium alloy sliding against zirconia. Wear 2023, 524–525, 204821. [Google Scholar] [CrossRef]
- Liu, Y.; Li, M.; Niu, J.; Lu, S.; Jiang, Y. Fabrication of taper free micro-holes utilizing a combined rotating helical electrode and short voltage pulse by ECM. Micromachines 2019, 10, 28. [Google Scholar] [CrossRef] [PubMed]
- Wang, X.; Qu, N.; Fang, X. Reducing stray corrosion in jet electrochemical milling by adjusting the jet shape. J. Mater. Process. Technol. 2019, 264, 240–248. [Google Scholar] [CrossRef]
- Du, H.; Chen, H.; Zhu, Z.; Wang, Z.; To, S. Novel hybrid machining process of titanium alloy for texturing high-quality microstructure array surfaces. Surf. Coat. Technol. 2023, 462, 129494. [Google Scholar] [CrossRef]
- Qu, N.; Fang, X.; Zhang, J.; Kong, H.; Liu, Y.; Wang, M.; Yue, X.; Ma, Y.; Shen, Z.; Chen, J. Macro Electrochemical Milling and Its Hybrid Variants. Chin. J. Aeronaut. 2023; in press. [Google Scholar] [CrossRef]
- Sahoo, P.; Patra, K. Cumulative reduction of friction and size effects in micro milling through proper selection of coating thickness of TiAlN coated tool: Experimental and analytical assessments. J. Manuf. Process. 2021, 67, 635–654. [Google Scholar] [CrossRef]
- Ezugwu, E.O.; Wang, Z.M. Titanium alloys and their machinability—A review. J. Mater. Process. Technol. 1997, 68, 262–274. [Google Scholar] [CrossRef]
- Gu, Z.; Chen, X.; Xu, Z.; Ye, Z.; Li, G. Investigation on bidirectional pulse electrochemical micromachining of micro dimples. Micromachines 2021, 12, 1108. [Google Scholar] [CrossRef]
- Qu, N.; Fang, X.; Li, W.; Zeng, Y.; Zhu, D. Wire electrochemical machining with axial electrolyte flushing for titanium alloy. Chin. J. Aeronaut. 2013, 26, 224–229. [Google Scholar] [CrossRef]
- Miao, G.; Ao, S.; Chen, X.; Fang, X.; Zhu, D. Fabrication of semicircular micro-grooves on Ti6Al4V by through-mask scanning electrochemical machining. Int. J. Adv. Manuf. Technol. 2023, 126, 3175–3192. [Google Scholar] [CrossRef]
- Hackert-Oschätzchen, M.; Meichsner, G.; Zinecker, M.; Martin, A.; Schubert, A. Micro machining with continuous electrolytic free jet. Precis. Eng. 2012, 36, 612–619. [Google Scholar] [CrossRef]
- Hackert-Oschätzchen, M.; Martin, A.; Meichsner, G.; Zinecker, M.; Schubert, A. Microstructuring of carbide metals applying jet electrochemical machining. Precis. Eng. 2013, 37, 621–634. [Google Scholar] [CrossRef]
- Mitchell-Smith, J.; Speidel, A.; Clare, A.T. Advancing electrochemical jet methods through manipulation of the angle of address. J. Mater. Process. Technol. 2018, 255, 364–372. [Google Scholar] [CrossRef]
- Clare, A.T.; Speidel, A.; Bisterov, I.; Jackson-Crisp, A.; Mitchell-Smith, J. Precision enhanced electrochemical jet processing. CIRP Ann. 2018, 67, 205–208. [Google Scholar] [CrossRef]
- Guo, C.; Qian, J.; Reynaerts, D. Fabrication of mesoscale channel by scanning micro electrochemical flow cell (SMEFC). Micromachines 2017, 8, 143. [Google Scholar] [CrossRef]
- Guo, C.; Qian, J.; Reynaerts, D. Electrochemical machining with scanning micro electrochemical flow cell (SMEFC). J. Mater. Process. Technol. 2017, 247, 171–183. [Google Scholar] [CrossRef]
- Guo, C.; Qian, J.; Reynaerts, D. Deterministic removal strategy for machine vision assisted scanning micro electrochemical flow cell. J. Manuf. Process. 2018, 34, 167–178. [Google Scholar] [CrossRef]
- Zhang, X.; Song, X.; Ming, P.; Li, X.; Zeng, Y.; Cai, J. The effect of electrolytic jet orientation on machining characteristics in jet electrochemical machining. Micromachines 2019, 10, 404. [Google Scholar] [CrossRef]
- Xinchao, L.; Pingmei, M.; Xinmin, Z.; Yanhua, Z.; Xudong, S.; Ge, Q.; Xingshuai, Z. Kerosene-submerged horizontal jet electrochemical machining with high localization. J. Electrochem. Soc. 2019, 166, E453–E464. [Google Scholar] [CrossRef]
- Hung, J.C.; Liu, J.H.; Fan, Z.W. Fabrication of microscale concave and grooves through mixed-gas electrochemical jet machining. Precis. Eng. 2019, 55, 310–321. [Google Scholar] [CrossRef]
- Cao, W.; Wang, D.; Cui, G.; Zhang, J.; Zhu, D. Improvement on the machining accuracy of titanium alloy casing during counter-rotating electrochemical machining by using an insulation coating. Surf. Coat. Technol. 2022, 443, 128585. [Google Scholar] [CrossRef]
- Xue, L.; Qu, N. Macro-electrolyte jet machining of TC4 titanium alloy using a rear-end tilt tool. Precis. Eng. 2024, 85, 328–336. [Google Scholar] [CrossRef]
- Wang, D.; Cao, W.; He, B. Formation of a convex structure during the counter-rotating electrochemical machining of TC4 titanium alloy in NaCl solution. Int. J. Electrochem. Sci. 2019, 14, 9042–9057. [Google Scholar] [CrossRef]
- Yin, Y.; Zhang, J.; Huo, J.; Zhao, K.; Zhu, X.; Meng, X.; Han, Q.; Ma, Y.; Fu, Z.; Yin, J. Effect of microstructure on the passive behavior of selective laser melting-fabricated Hastelloy X in NaNO3 solution. Mater. Charact. 2020, 165, 110370. [Google Scholar] [CrossRef]
- Yin, Y.; Zhang, J.; Yang, S.; Liu, T.; Han, Q.; Zhang, Z.; Yang, H. Effect of microstructure on the electrochemical dissolution behaviour of hastelloy® X superalloy processed by selective laser melting and heat treatments. Mater. Des. 2021, 206, 109828. [Google Scholar] [CrossRef]
- Yin, Y.; Li, H.; Pan, S.; Zhang, J.; Han, Q.; Yang, S. Electrochemical behaviour of passivation film formed on slm-fabricated Hastelloy X superalloy surface in 10 wt% NaNO3 solution. Corros. Sci. 2022, 206, 110494. [Google Scholar] [CrossRef]














| Property | Parameter |
|---|---|
| Chemical structure | HOCH2CH2OH |
| Boiling point | 197.85 °C |
| Density | 1.1155 g/cm3 |
| Melting point | −12.6 °C |
| Viscosity | 0.02 Pa·s |
| Solubility of NaCl | 5 wt% (room temperature) |
| Element | Ti | V | Fe | Al | H | O | N | C |
|---|---|---|---|---|---|---|---|---|
| Mass fraction | 89.335% | 4% | 0.3% | 6% | 0.015% | 0.2% | 0.05% | 0.1% |
| Machining Condition | Parameter |
|---|---|
| Material | Ti-6Al-4V |
| Inner diameter of nozzle | 300 µm |
| Outer diameter of nozzle | 600 µm |
| Electrolyte concentration | 1 mol/L |
| Electrolyte temperature (°C) | 25 |
| Electrolyte pressure (MPa) | 1 |
| Machining gap (µm) | 200 |
| Applied voltage (V) | 35 |
| Feed rate (µm/s) | 75 |
| Sample | Ecorr (mVSCE) | Jcorr (µA cm−2) |
|---|---|---|
| NaCl-EG electrolyte | −409 ± 6 | 1.395 ± 0.064 |
| aqueous NaCl electrolyte | −522 ± 7 | 4.716 ± 0.409 |
| Sample | Rs (Ω/cm2) | CPE-T (Ω−1sPcm−2) | CPE-P | Rct (Ω/cm2) | W-R (Ω/cm2) | W-T | W-P |
|---|---|---|---|---|---|---|---|
| NaCl-EG electrolyte | 98.76 | 2.4899 × 10−5 | 0.8712 | 11,717 | 191.9 | 0.01409 | 0.35247 |
| aqueous NaCl electrolyte | 1.048 | 8.5899 × 10−6 | 0.8261 | 329.7 | 728.1 | 0.33524 | 0.34574 |
Disclaimer/Publisher’s Note: The statements, opinions and data contained in all publications are solely those of the individual author(s) and contributor(s) and not of MDPI and/or the editor(s). MDPI and/or the editor(s) disclaim responsibility for any injury to people or property resulting from any ideas, methods, instructions or products referred to in the content. |
© 2024 by the authors. Licensee MDPI, Basel, Switzerland. This article is an open access article distributed under the terms and conditions of the Creative Commons Attribution (CC BY) license (https://creativecommons.org/licenses/by/4.0/).
Share and Cite
Niu, S.; Huang, K.; Ming, P.; Wang, S.; Zhao, F.; Qin, G.; Liu, H. Jet Electrochemical Micromilling of Ti-6Al-4V Using NaCl–Ethylene Glycol Electrolyte. Micromachines 2024, 15, 173. https://doi.org/10.3390/mi15020173
Niu S, Huang K, Ming P, Wang S, Zhao F, Qin G, Liu H. Jet Electrochemical Micromilling of Ti-6Al-4V Using NaCl–Ethylene Glycol Electrolyte. Micromachines. 2024; 15(2):173. https://doi.org/10.3390/mi15020173
Chicago/Turabian StyleNiu, Shen, Kaiqiang Huang, Pingmei Ming, Siru Wang, Fei Zhao, Ge Qin, and Huan Liu. 2024. "Jet Electrochemical Micromilling of Ti-6Al-4V Using NaCl–Ethylene Glycol Electrolyte" Micromachines 15, no. 2: 173. https://doi.org/10.3390/mi15020173
APA StyleNiu, S., Huang, K., Ming, P., Wang, S., Zhao, F., Qin, G., & Liu, H. (2024). Jet Electrochemical Micromilling of Ti-6Al-4V Using NaCl–Ethylene Glycol Electrolyte. Micromachines, 15(2), 173. https://doi.org/10.3390/mi15020173

