Abstract
Detecting inclusions in materials at small scales is of high importance to ensure the quality, structural integrity and performance efficiency of microelectromechanical machines and products. Ultrasound waves are commonly used as a non-destructive method to find inclusions or structural flaws in a material. Mathematical continuum models can be used to enable ultrasound techniques to provide quantitative information about the change in the mechanical properties due to the presence of inclusions. In this paper, a nonlocal size-dependent poroelasticity model integrated with machine learning is developed for the description of the mechanical behaviour of spherical inclusions under uniform radial compression. The scale effects on fluid pressure and radial displacement are captured using Eringen’s theory of nonlocality. The conservation of mass law is utilised for both the solid matrix and fluid content of the poroelastic material to derive the storage equation. The governing differential equations are derived by decoupling the equilibrium equation and effective stress–strain relations in the spherical coordinate system. An accurate numerical solution is obtained using the Galerkin discretisation technique and a precise integration method. A Dormand–Prince solution is also developed for comparison purposes. A light gradient boosting machine learning model in conjunction with the nonlocal model is used to extract the pattern of changes in the mechanical response of the poroelastic inclusion. The optimised hyperparameters are calculated by a grid search cross validation. The modelling estimation power is enhanced by considering nonlocal effects and applying machine learning processes, facilitating the detection of ultrasmall inclusions within a poroelastic medium at micro/nanoscales.
1. Introduction
Accurate theoretical models of background–inclusion media are essential in the quantitative determination of mechanical properties of poroelastic materials such as biological tissues, hydrogels, micro-fibrous scaffolds and micro-porous polymers, in which inclusions such as tumours and structural anomalies are common [1]. These theoretical models allow us to precisely evaluate mechanical features and compare them on an
elastography image (elastogram) in imaging techniques like ultrasound
elastography [2]. A
number of mathematical models have been developed for the mechanical behaviour
of poroelastic materials with inclusions in recent years. Shin et al. [3]
used Eshelby’s model of
elasticity, an analytical method of estimating the elastic properties of
inclusion–matrix media, in order to determine strain and stress components
inside breast tissues with ellipsoidal lesions as inclusions. In another study,
Goswami and his co-workers [4]
developed a theoretical platform using the Caley–Hamilton theorem
and classical elasticity to analyse the shear induced nonlinear mechanics in
phantoms with undesirable inclusions under finite deformations. A poroelastic
model was also presented by Islam and Righetti [5]
using the conventional
poroelasticity theory for investigating the mechanics of biological tissues
containing spherical tumours. Moreover, a numerical mathematical approach was
proposed to study large-scale elastic bodies with thin inclusions based on a
scale-free elasticity theory and finite element technique [6]. Costa and Gentile [7]
developed a discrete doublet
model of mechanics to simulate ultrasound wave propagation within biological
tissues as the poroelastic material, excluding any potential inclusions. In a
recent study conducted by Favata et al. [8], it has been shown that the mechanical behaviour of biological
inclusions at microscale levels is different from those at large scales. The development
of microscale premalignant inclusions leads to stiffness softening, while the
presence of large-scale inclusions is associated with a hardening behaviour,
known as the soft-cell solid tumour paradox [9]. More recently, mathematical models of poroelasticity
[10]
and an artificial neural
network technique [11] have been developed to capture Poisson’s ratio in abnormalities and estimate
mechanical stiffness in inhomogeneous materials.
However, at nano and microscales, the
dimensionless mechanical characteristics of a substance are highly sensitive to
its size [12,13,14,15]. This widely reported phenomenon is known as scale (size) dependency [16,17] and is associated with
several underlying factors including molecular interactions [18]
and stiffness alteration [19]. As classical local elasticity
and poroelasticity models are formulated on the basis of scale-free theories of
continuum mechanics, they lack the ability to capture size effects and, thus,
fail to accurately estimate the mechanical response at nano and microscales.
Peddieson et al. [20] applied a version of nonlocal elasticity, which was first introduced by Eringen [21], to develop scale-dependent beam models suitable for describing the mechanics of nanoscale devices such as small-scale actuators with nanocantilevers as building blocks.
Following this pioneering work, several researchers across the world have
extended the application of nonlocal theories to other small-scale structures
and devices such as nanobeams [22], nanoscale sensors [23], nanoplates [24,25,26] and fluid-conveying microtubes [27,28].
In addition to fundamental small-scale
solid structures, modified nonlocal models have been utilised to assess and
predict the mechanical behaviour of poroelastic, viscoelastic and biological
materials of small sizes [29,30,31]. These structures include, but are not limited to, microtubules [32,33], nanoporous materials with
surface effects [34]
and lipid micro-tubules [35]. In all of these valuable studies, it has been demonstrated that
scale effects have a vital role to play in mechanical deformation. Stress
nonlocality described by the Eringen nonlocal elasticity (nonlocal scale
effect) is associated with small-scale interactions, leading to substantial
stiffness reduction in the structure. Furthermore, it has been recently
demonstrated that nonlocal models hold great promise as highly accurate
mathematical tools for the description and design of microscale systems and phenomena,
especially in biology such as microscale migration of cells [36], microelectromechanical
response [37] and wave
propagation in biological tissues [38].
To the best of our knowledge, to date,
no nonlocal scale-dependent poroelastic model has been developed for the
mechanical deformation of materials with small-scale inclusions. In imaging
technologies such as ultrasound and optical elastography that utilise the
mechanical properties of a given poroelastic material to detect abnormalities,
mathematical models play a crucial role in the accurate visualisation of
mechanical characteristics [5,39]. However, conventional mathematical models are formed based on
classical elasticity theories that fail to capture size effects and thus cannot
be employed at ultrasmall levels [13]. In this paper, stress nonlocality-based size effects on the
mechanical response of poroelastic materials with small-scale inclusions are
studied for the first time. Furthermore, this research represents the first
integration of nonlocal elasticity and a light gradient boosting machine for
addressing inclusion problems. The proposed nonlocal scale-dependent model of
poroelasticity developed in this paper could be used in elastography imaging
techniques to accurately detect inclusions of ultrasmall sizes.
A case study of a potential
application of this model is investigated. The detection of small-scale tumours
in breast tissue (poroelastic medium) is considered as the undesirable
microscale inclusion. To include size dependency, nonlocal elasticity theory is
utilised. The influences of tissue fluid content, hydraulic conductivity and
microfiltration are captured by using a modified version of poroelasticity
theory. The governing differential equations are derived by decoupling the
scale-dependent constitutive relations and equilibrium equation in the
spherical coordinate system. To discretise the decoupled differential
equations, Galerkin method is employed. An accurate solution is presented with
the use of the precise integration method and Dormand–Prince technique. A light
gradient boosting machine learning model is also presented to extract and learn
the underlying patterns in the mechanical behaviour of spherical poroelastic
inclusions. To optimise the model, a grid search cross validation approach is
implemented. A detailed examination of the effects of nonlocal scale
coefficient and inclusion size on the time-dependent fluid pressure and radial
displacement is presented.
2. Nonlocal Poroelasticity Modelling
In this section, a nonlocal
scale-dependent model is developed for poroelastic materials including
small-scale spherical inclusions. In biomedical applications, small-scale
inclusions of interest to be detected by ultrasound imaging or other imaging
techniques are usually a clump of cancer cells with a stiffness lower than
healthy cells [8,9].
This softening behaviour can be effectively incorporated using nonlocal
continuum mechanics as stress nonlocality is associated with structural
stiffness softening. An appropriate model for this case is a refined
combination of Eringen’s nonlocal theory and poroelasticity to account for both
stiffness softening and fluid effects.
The conservation of mass for the fluid
content of a given poroelastic material can be written as [40]
where
,
and n are the fluid density,
fluid velocity and porosity, respectively. Moreover,
, “.” and t indicate the
gradient operator, dot product and time,
respectively.
Similarly, the mass balance equation for the solid matrix is obtained as
Here and are the solid matrix density and
velocity, respectively. Assuming that the fluid part and solid components
(particles) are not compressible, and combining the mass balance Equations (1)
and (2), one obtains
where
is the
specific discharge that is associated with the relative velocity () as
where
It is assumed that the fundamental
solid particles and fluid part of the poroelastic material are individually
incompressible [40]. However, the relative sliding, rotating and movement between these components
allow for the overall material and the solid phase as a whole to exhibit compressibility [5]. The volumetric strain of the whole solid part () is related to the displacement
vector () by
Using Equations (3) and (6), the
following relation is obtained
According to Darcy’s
law, the specific discharge of a porous
material is proportionally dependent on the fluid pressure gradient () and the gravity vector () as [40]
in which
,
and
represent the material permeability,
fluid viscosity and fluid pressure, respectively. Substituting Equation (8)
into Equation (7) and considering the effect of potential microfiltration [41], the final version of the mass
balance equation (storage equation) is obtained as
where
and
denote the
hydraulic
conductivity and volumetric weight of the fluid, which are defined
by
and
, respectively.
is the Laplace operator. In the case
of biological inclusions such as solid tumours,
is the total microfiltration
coefficient, which is expressed by [5,41]
where
in which
and
indicate the tumour lymphatic and
vascular microfiltration coefficients, respectively.
,
and
stand for the vascular permeability, surface area and volume, respectively. Similarly,
,
and
are the lymphatic permeability,
surface area and volume, respectively. Equation (9) represents the storage equation of poroelastic
materials from biological tissues to porous micro-polymers. For applications in which there is no microfiltration effect,
is set to zero.
For spherical poroelastic inclusions,
the components of the total stress tensor () are related to the effective stress () and fluid pressure (p) as
Effective stress components can be
interpreted
as the parts of the total stress
tensor that are responsible for porous material deformation. To detect an
inclusion in a given poroelastic medium, in many practical cases, it is assumed
that the average size of the inclusion is very small compared to the medium
size as the whole size [5,42].
Figure 1 shows the schematic representation of a poroelastic medium
including a small-scale inclusion of a spherical shape. A slight compressive
load is applied on the top surface of the medium. A compressor plate is used to
make sure that the compressive load is uniformly distributed on the medium
surface. In practical applications, the compressive force is commonly applied
by utilising an ultrasound transducer, and a number of force sensors can be
used to measure the magnitude of the loading. Since the inclusion size is very
small compared to the distance from the inclusion centre to the loading
location, it is reasonable to assume that the spherical inclusion is subject to
a symmetric uniform radial load, as indicated in Figure 1. Therefore, the
normal stress along the
direction is the same as that of the
direction (). The equilibrium differential
equation is given by
where r denotes the
radial
distance from the inclusion centre.
Substituting Equation (12) into the above equilibrium equation leads to
Figure 1.
(a) Schematic representation of a poroelastic material with a spherical inclusion under compressive loading. (b) A microscopic image of an early human breast tumour in the form of carcinoma in situ as a small-scale biological inclusion (haematoxylin and eosin stains of tissue sections [43]). The internal length-scale parameter could be related to the average distance between individual cells (). Within the inclusion, the average distance between individual cells is much less than that of the healthy background tissue [43].
The average size of the inclusion is
very small compared to the background medium, and thus we can assume that the loading
condition is spherically symmetric on the inclusion surface [5]; this assumption is made as
this study deals with the scale-dependent mechanics of ultrasmall inclusions.
Furthermore, it is assumed that the deflection caused by external loading is
small, leading to geometrical linearity assumption for strain-displacement
relations. In practical applications, especially in biomedical scenarios,
gentle mechanical forces are applied using devices such as an ultrasound
transducer or a mechanical probe. These loading systems are designed to be
comfortable and painless and induce only slight loads on patients’ bodies,
consequently resulting in small displacements and geometric linearity.
To capture the scale effects that are
related to the effective stress nonlocality, Eringen’s theory is used [44]. According to this theory, the
effective stress at a particular point depends not only on the strain
components at that point but also on the strain components at all other points
of the porous material. The stress nonlocality assumption made in Eringen’s
theory allows us to take into account small-scale interactions from a
mechanical point of view. Based on the nonlocal theory of poroelasticity, the
effective stresses are expressed in terms of strain components as
where
Here
and
are Lamé
coefficients, and G and K represent the shear and bulk moduli of
the spherical inclusion, respectively.
and
are a calibration parameter and an
internal characteristics size, respectively. The product of these two features
is widely known as the nonlocal parameter (). In addition,
and
are the strain component and
volumetric strain, respectively. This internal length-scale parameter could be
associated with the average distance between fundamental components within the
inclusion. Figure 1b gives an example of a biomedical inclusion in the form of early
breast tumours. In the tumour, individual cells have developed in closer
proximity to each other compared to the surrounding healthy tissue. The
conditions of the above nonlocal constitutive equations are stress–strain
linearity and material homogeneity. Furthermore, reduced partial differential
equations of nonlocal elasticity, which were introduced by Eringen
[44]
for a group of physically
admissible kernels, have been utilised. These constitutive equations were
obtained from the integral form of nonlocal elasticity by assuming that the
nonlocal modulus is Green’s function of a linear differential operator
[44].
For spherical inclusions, strain
components can be written as
In Equations (18) and (19),
is the displacement along the radial
direction. The effective stress–strain Equations (15) and (16), together with
the equilibrium Equation (14), form three coupled partial differential
equations that govern the deformation behaviour of the inclusion. To calculate
the displacement, strain and fluid pressure, these differential equations need
to be decoupled first. For the sake of brevity, the procedure of decoupling is
not mentioned here. Substituting Equations (17)–(19) into the resultant
decoupled equation leads to
Using the relation of the volumetric
strain given by Equation (19), the mass balance Equation (9) can be rewritten
as
From the above equations, it is found
that the equilibrium equation in terms of the radial displacement and pressure
is dependent on nonlocal influences, while the mass balance equation is not
affected by the stress nonlocality, as expected. When the scale effects
associated with the stress nonlocality are ignored (i.e.,
), the governing differential
equations of the poroelastic material with an ultrasmall spherical inclusion
need to be reduced to those derived based on the classical poroelasticity
theory. Setting the nonlocal parameter equal to zero in Equation (20) yields
On the other hand,
the
first derivative of the volumetric
strain with respect to the radial distance is obtained from Equation (19) as
Substituting Equation (23) into Equation
(22), one obtains
Equation (24), together with the mass
balance Equation (21), are exactly the same as those widely reported in the literature for large-scale
porous spherical inclusions using the classical poroelasticity
[5].
3. Solution Procedure Using Galerkin Technique and PIM
To discretise the nonlocal
scale-dependent governing equations using the Galerkin method, the radial
displacement and fluid pressure are required to be approximated by a set of
appropriate base functions that satisfy the boundary conditions. Consider a
spherical inclusion of radius R embedded in a poroelastic medium under a
uniform radial compression, as shown in Figure 1. From the symmetric condition, the radial
displacement is zero at the inclusion centre, while it reaches its maximum
value at the surface. By contrast, the fluid pressure is at its maximum at the
centre, whereas it is equal to that of the background medium at the inclusion
surface due to the continuity condition. Moreover, since the inclusion and its
loading are symmetric around the centre, there is no fluid flow at the centre
and, thus, the fluid pressure gradient is zero at that point. These boundary
conditions can be written as
in which
,
and
are the maximum radial displacement,
maximum fluid pressure and the background pressure, respectively. In general,
the nonlocal boundary conditions that are imposed on the displacement
components of the inclusion, such as the radial displacement boundary
conditions given by Equation (25), are the same as those of the classical
poroelasticity model. However, nonlocal boundary conditions associated with
stress components such as force resultants and moments deviate from their
classical counterparts because of the effects of the nonlocal constitutive
equations [13]. In
this analysis, only stress nonlocality within the solid phase of the
poroelastic medium is considered, and thus all boundary conditions related to
the fluid phase, such as those specified by Equation (26), are the same as
their corresponding classical boundary conditions.
Based on the boundary conditions given
by Equations (25) and (26), the following expressions are suggested for the
radial displacement and the fluid pressure inside the spherical inclusion
where
and
are the base functions of the radial
displacement and fluid pressure, respectively. The number of base functions for
the inclusion displacement and pressure are denoted by M and N,
respectively. The proposed solution for the displacement and fluid pressure are
not uniform, as can be seen from Equations (27) and (28). The second part of
the solution on the right-hand side of these equations describes how radial
displacement and fluid pressure change by the radial coordinate r.
However, it is assumed that the loading condition on the surface of the
inclusion is uniform. This assumption is made since the average size of the
inclusion is very small compared to the background medium and, thus, the load
is applied at a far distance from the inclusion. This makes the remote-load
assumption valid and, hence, the loading condition on the inclusion surface is
uniform according to the Eshelby theory [5,42]. In general, there are two types of widely used ultrasound
elastography: (1) quasi-static and (2) dynamic. In the quasi-static technique,
an external mechanical force is applied by a gradual compressive load, while in
dynamic elastography, mechanical load is induced using vibrating probes or
applying acoustic radiation forces [45]. In this analysis, the ultrasound elastography mode is of a
quasi-static form, resulting in a static uniform load on the inclusion surface.
Substituting Equations (27) and (28)
into Equations (20) and (21), multiplying both sides of each governing equation
by its appropriate base function, and integrating over the whole volume of the
spherical inclusion, the following discretised equations are obtained
In general, the volume element in the
spherical coordinate system is
, where
and are the azimuthal and polar angles,
respectively. Due to the symmetry of the problem, the element volume used to
perform the integration over the inclusion body in the above discretised
equations is . The fluid pressure of the background
at the interface is assumed to be zero () [5]. To avoid any numerical error caused by unscaled features and
parameters, a set of dimensionless parameters is introduced by
Here, Hag is the aggregate modulus of the spherical inclusion. The discretised Equations (29) and (30) can be written in a compact way, as follows
where
,
,
and
are
calculated using Equations (29) and (30) by performing all integrations over the inclusion body. For the
sake of convenience, Equations (32) and (33) can be expressed in a matrix form
as
where
Equations (34) and (35) give a set of
time-dependent ordinary differential
equations in a matrix form. From these two equations, one can obtain
in which
is the initial value of the vector
at
. Matrix H is defined by
Based on the
procedure
used in the precise integration method (PIM), a time step
dimensionless parameter
is introduced by [46,47]
Using Equation (40), the vector of
dimensionless
pressure
is calculated as
where
and
The recommended value for the
is twenty [47], which is
commonly utilised in PIM. From Equation (43) and by adopting such a big value for
, it is found that the new time
interval is very small. Thus, the following
approximation of the exponential function is valid by employing the Taylor
expansion
where
In Equation (44),
denotes the identity matrix. In view
of Equations (44) and (42), we have
The time-dependent part of the fluid pressure of the spherical inclusion is obtained by substituting Equation (46) into Equation (41). The time-dependent part of the radial displacement can be calculated by Equation (37). The
resultant time-dependent parts are then substituted into Equations (27) and (28) to obtain the final solution.
4. Analytical Solution for One Galerkin Term
An analytical
solution can be calculated for the simplest case where one Galerkin term is assumed for both the radial displacement and the fluid pressure of the inclusion. Using Equations (27) and (28), we have
Substituting Equations (47) and (48)
into the mass balance and equilibrium equations, and using the Galerkin
technique, the resultant time-dependent equations are
where
Substituting Equation (49) into Equation (50), and
then solving the resultant time-dependent ordinary equation, one obtains
In which
. Using Equations (47), (48) and (52), together with the definition of
dimensionless parameters given by Equation (31), the radial displacement and
fluid pressure of the spherical inclusion are
5. Dormand–Prince Technique for Two Galerkin Terms
In this section, an approximate solution is given for the
radial displacement and fluid pressure inside the ultrasmall inclusion by
assuming two Galerkin terms and using the Dormand–Prince technique [48]. This method is a numerical
embedded technique from the Runge–Kutta family for solving differential
equations of ordinary types. To accurately extract the fourth- and fifth-order
solutions, the Dormand–Prince method utilises a six-function evaluation
approach. Using Equations (27) and (28), the two Galerkin-term approximation
leads to
Substituting Equations (55) and (56)
into the governing equations of the spherical inclusion, multiplying the
resultant equations by their corresponding base functions and integrating over
the whole inclusion body, the time-dependent discretised equations are
Obtaining the dimensionless vector of
time-dependent radial displacements and substituting them into Equation (58)
leads to
where
The vector of dimensionless fluid
pressure of the spherical inclusion is calculated by writing a Matlab code
using the Dormand–Prince technique. Similar numerical solutions can also be
developed for more than two Galerkin terms.
6. Analytical Solution for Local Large-Scale Spherical Inclusions
For the sake of comparison and
validation, an analytical solution is obtained for local large-scale spherical
inclusions where there are no scale effects. Setting the nonlocal parameter
equal to zero (), the governing equations of the
inclusion are reduced to
Integrating both sides of Equation
(62) with respect to the radial coordinate parameter r, the volumetric
strain is obtained by
where
denotes the
integration
constant that is generally related to the initial condition. For
simplification and ease of use, the subscripts “tot” and “ag” are
dropped from the microfiltration coefficient and aggregate modulus (i.e.,
and
),
respectively. The volumetric strain, fluid pressure and the integration
constant are [5]
Substituting Equation (65) into Equation
(64) leads to
The second and first derivatives of Equation
(66) with respect to r are
Using Equations (63), (66) and (67),
the following relation is obtained for the spherical inclusion
The integration constant is affected
by the initial conditions, and they can be taken in a way that this constant
becomes zero () [5]. Let us define two dimensionless parameters as and . Using these definitions, Equation
(68) is expressed by
Now, a new parameter is introduced for
the sake of convenience as
Equation (70) is used to change the
variable in Equation (69) as
Performing the Laplace transform on
both sides of Equation (71) leads to the following equation in the domain
where
It is observed that the Laplace
transform in conjunction with the change in variables results in a less complex
differential equation that is easier to be solved analytically. The solution of
Equation (72) can be written as
where C1 and C2
depend only on s and are obtained by using the boundary conditions.
Substituting Equation (74) into Equation (70), we have
Using the first relation of Equation
(65), together with the definition of dimensionless time (), the following relation is obtained
between and
Taking the Laplace transform of Equation
(76) leads to
To calculate the coefficients of , namely C1 and C2, the
boundary conditions of the spherical inclusion are used as follows [49]
and
Here , and are Poisson ratio, Young’s modulus and stress on the spherical inclusion surface, respectively. Taking the Laplace transform of Equations (78) and (79), and substituting Equations (75)–(77) into the resultant relations of the boundary conditions, one can obtain
Substituting Equation (80) into Equation
(75) leads to the following relation
Using the complex inversion integral
[40], the Laplace transform inverse
of Equation (81) can be calculated as
where
is obtained from the following relation
7. Integration of Nonlocal Poroelastic Model with Light Gradient Boosting Machine
The nonlocal poroelastic model has
been developed based on some assumptions and limitations including material
linearity, spherical shapes for inclusions and small ratios of inclusion radius
to poroelastic medium length. However, in practical applications, a violation
of at least one of these assumptions could happen, which restricts the
application of the scale-dependent nonlocal poroelastic model. Overcoming all
the limitations of the above nonlocal model by the use of nonlinear nonlocal
poroelasticity is either impossible or comes with significant mathematical
challenges and computational costs. Integration of the nonlocal continuum model
of poroelasticity with a light gradient boosting machine (LGBM) enables greater
flexibility for extracting patterns in experimental and computational data, as
well as for incorporating additional effects such as nonlinearity and
geometrical imperfections. The LGBM is an open source, fast and efficient
gradient boosting framework developed by Microsoft [50]
that has been recently used
for many machine learning tasks in various applications
[51,52,53]. Its high speed, lower
memory usage and efficient performance, particularly when working on
large-scale datasets, make this machine learning algorithm an ideal candidate
to be integrated with the nonlocal poroelastic model. Another reason for
suitability of the LGBM is the capability of handling both regression and
classification problems. Inclusion models are often used to detect
imperfections and abnormalities such as solid tumours, in which both
classifications and regression tasks might be needed.
In the LGBM, a strong predictive model
is created by the combination of several weak estimators (decision trees). The
estimators are developed sequentially, in which each estimator tries to correct
the errors caused by the previous ensembled decision trees. A leaf-wise tree
growth approach is used, in which only leaves with maximum reduction in the
loss function are chosen to expand the decision tree. Compared to level-wise
tree growth, this approach generally leads to lower loss values and higher
accuracies. However, leaf-wise tree growth algorithms are more prone to
overfitting, especially on small datasets.
In this analysis, three different
types of boosting strategies are utilised for the LGBM integrated with the
nonlocal continuum model: (1) gradient-based one-side sampling (GOSS), (2)
dropouts meet multiple additive regression trees (DART) and (3) traditional
gradient boosting decision tree (GBDT). The GOSS utilises a subsampling
procedure to place more emphasis on subsamples with higher gradients. In fact,
subsamples with high gradients play a more significant role in building
decision trees. In addition to the general advantages of subsampling such as
variety introduction, rapid training process and less chance of overfitting,
GOSS-based subsampling benefits from improved efficiency, less memory usage and
faster convergence. On the other hand, the DART boosting algorithm addresses
the problem of over-specialisation by employing the idea of dropouts from deep
learning. During each iteration, random dropouts are conducted to avoid
over-reliance on earlier trees and improve the generalisation of the model.
Figure 2 shows the required steps involved in the integration of the
nonlocal poro-elasticity model and the LGBM algorithm of machine learning.
First, inclusion features such as average radius, nonlocal scale coefficient,
elastic modulus, Poisson’s ratio and hydraulic conductivity, as well as the
times of interest, are given to the nonlocal scale-dependent model of
poroelasticity, and the inclusion’s pressure and radial displacement are
obtained. The calculated fluid pressures and displacements are then employed to
build a training dataset for fitting the LGBM model. Depending on the
availability of experimental tools and measurements, empirical observations can
also be supplied, leading to a more robust and accurate hybrid model of
poroelastic inclusions that would be capable of incorporating additional
effects such as nonlinearity and geometrical imperfections. Overall, nonlocal
poroelasticity results account for the underlying physics of the inclusion
problem, while the experimental data could help incorporate the violation of
any assumption made in the nonlocal continuum modelling.
Figure 2.
Integration of the nonlocal poroelasticity model with the light gradient boosting machine learning to predict the mechanical characteristics of small-scale spherical inclusions. First, the material properties of the inclusion are given to the nonlocal poroelastic model to obtain the fluid pressure and displacement field (theoretical data). If experimental observations are available, they are recommended to be added to the training and test datasets to account for additional complexities in the mechanics of poroelastic inclusions. At the next step, the collected dataset is divided into two subsets for training and testing. A common approach is to use 70% of data for training (i.e., LGBM model fitting) and the rest for an accuracy test. During the model fitting, parameter optimisation is conducted to obtain the optimal LGBM model with minimum error.
In this study, the light gradient
boosting machine learning model is developed using open-source python libraries
including scikit-learn 1.2.2, pandas version 1.5.3, lightGBM 3.3.5 and NumPy
1.24.3. The scaling process is performed on numerical features such as
inclusion radius and nonlocal scale coefficient using the ‘StandardScaler’
function from the scikit-learn preprocessing package [54]. This process is necessary to
assure that all numerical features are in the same standard scale, facilitating
model convergence and preventing certain features from being overshadowed by
others. A dataset of 34,100 data points obtained by the scale-dependent
nonlocal poroelastic model of small-scale spherical inclusions is used. The
test size is set to 30%, making training and test datasets of 23,870 and 10,230
points, respectively. The ‘ColumnTransformer’ function from the scikit-learn
compose package is utilised for the fast and robust transformation operation on
the columns of the data frame with the inclusion’s features. A machine learning
pipeline combined with a grid search cross validation framework is developed
for an efficient and smooth hyperparameter tuning process. The scoring metrics
for ranking machine learning models and finding the best configuration of
hyperparameters is set to the negative root mean squared error. The number of
estimators (decision tress) and leaves on each tree are taken in the range of 1–200
and 1–51, respectively, for the hyperparameter tuning. In addition, different
values of learning rate between 0.01 and 0.2 and various maximum depths in the
range of −1 to 100 are considered. Here, negative values are used to indicate
that there is no restriction on the number of leaves. The machine learning
pipeline includes three different boosting algorithms as GOSS, DART and GBDT.
The best LGBM estimator with the minimum root mean squared error is obtained
and applied for predicting the inclusion fluid pressure or radial displacement
on unseen test data.
8. Results and Discussion
In this section, the results of the
nonlocal poroelastic model and LGBM are presented and discussed on one of the
most common applications of the inclusion–background models, which is the
mechanical behaviour of solid tumours. First, to verify the accuracy of the
nonlocal poroelasticity modelling, the volumetric strain of the present model
is plotted in Figure 3
and compared to the one reported in Ref. [5]
for local large-scale spherical
tumours using the classical poroelasticity theory. The results are shown at
various radial distances from the centre of the solid tumour. The tumour
radius, Young’s modulus, Poisson’s ratio, hydraulic conductivity per volumetric
weight and microfiltration coefficient are, respectively, taken as R = 3
mm, E = 97.02 kPa, = 0.45, = 1.8 × 10−13 m4/Ns, = 5 × 10−9 1/Pa·s [5]. To make a reasonable
comparison, scale effects related to the stress nonlocality are neglected. It
is found that the results of our modelling approach closely match those
reported in the literature.
Figure 3.
A validation study for the volumetric strain of large-scale local spherical tumours using classical poroelasticity; reported results are from Ref. [5]; the volumetric strain is defined as the sum of all normal strain components; the tumour radius is 3 mm, and the results are calculated at the two different locations r = 1 mm and 1.5 mm (r is measured from the tumour centre).
To further prove the validity of the
mathematical scale-dependent modelling, the fluid pressure within the spherical
tumour is plotted against time in Figure 4. The numerical results are demonstrated for two different solution
procedures: (1) PIM and (2) Dormand–Prince method. Moreover, one and two
Galerkin terms are assumed in Figure 4a,b, respectively. The fluid pressure is calculated at r = 0.5
R. The initial value of the dimensionless fluid pressure is set to 0.01.
The Dormand–Prince solution procedure is implemented using a Matlab program. An
excellent match is found between the two numerical techniques for the fluid
pressure of spherical tumours using the scale-dependent nonlocal
poroelasticity.

Figure 4.
A validation study for the fluid pressure of small-scale spherical tumours for (a) one Galerkin term and (b) two Galerkin terms; size effects are incorporated using the scale-dependent nonlocal poroelasticity; the nonlocal scale coefficient is set to 0.2; the number of Galerkin terms refers to the number of base functions used to approximate the fluid pressure.
To show the convergence of the
solution, the tissue fluid pressure is shown in Figure 5 versus the number of
base functions. The calculations are performed for three different time values.
The tumour radius, Young’s modulus, Poisson’s ratio, hydraulic conductivity per
volumetric weight and microfiltration coefficient are the same as those mentioned
above for plotting Figure 3. The fluid pressure is numerically obtained at the midpoint between
the tumour centre and surface. It is found that after about ten base functions,
the results are converged in all cases. Figure 6 illustrates the fluid pressure of a spherical tumour
against time for four various Galerkin terms (base functions). This figure
shows how important it is to consider a sufficient number of Galerkin terms in
calculating the fluid pressure of the tumour. Neither one nor two Galerkin
terms are sufficient to obtain a reliable numerical solution. However, the
cases of ten and fifteen base functions are very close to each other, which
indicates that the results converge.
Figure 5.
A convergence study for the solution procedure presented; 200 time steps are considered in numerical calculations using the PIM.
Figure 6.
Fluid pressure of spherical tumours versus time for different Galerkin terms; the number of base functions of the radial displacement is the same as that of the fluid pressure.
Figure 7 is plotted to discuss the influence of the nonlocal scale
coefficient (NLSC) on the fluid pressure of the spherical tumour. The NLSC is
defined as the ratio of nonlocal parameter to the tumour radius as , leading to a dimensionless scale
parameter related to the stress nonlocality. Ten base functions are considered
for both radial displacement and fluid pressure of the spherical tumour. Three
different biological samples are taken into account for the spherical tumour.
The poroelastic properties of these samples are listed in Table 1. The radius of the
spherical tumour is set at R = . For comparison purposes, the case of
classical local poroelasticity, in which scale effects are ignored, is also
considered. It is observed that as the NLSC is increased from 0 to 0.1, the
fluid pressure at r = 0.5 R increases. This can be interpreted as
one consequence of stiffness reduction due to the nonlocal effect. An increase
in the NLSC leads to a considerable decrease in the structural stiffness of the
tissue solid matrix, and this means that the tissue becomes softer and the pore
fluid pressure is enhanced. From a clinical point of view, this finding is very
important as it would result in improving the resolution of elastography
imaging.
Figure 7.
Fluid pressure of spherical tumours versus time for different nonlocal scale coefficients (NLSC): (a) sample A, (b) sample B and (c) sample C; the NLSC is defined as the ratio of the nonlocal parameter to the tumour radius; the nonlocal parameter is the product of the calibration parameter and the internal characteristics length; the average distance between two neighbouring cells inside the malignant tissue can be taken as the internal characteristic length of spherical tumours.
Table 1.
Poroelastic properties of three different tumour samples [5]; these properties were experimentally measured using mechanical testing. They were taken from the malignant lesions of human breast tissues. All three samples have the same Young’s modulus (E) and Poisson’s ratio (); however, the hydraulic conductivity per volumetric weight and the microfiltration coefficient of the samples are different.
Figure 8 depicts the effect of spherical tumour size and time on the fluid
pressure at the half space between the tumour centre and surface. The figure
also compares the nonlocal scale-dependent poroelasticity with the classical
one for three different samples (samples A, B and C). When the radius of the
spherical tumour decreases, the fluid pressure decreases as well. Furthermore,
the fluid pressure gradually reduces over time. The only exception is the very
early moments of imposing the applied compressive loading. At a certain time
long enough after the loading, the fluid pressure vanishes inside the spherical
tumour. For smaller tumours, the specific time corresponding to the loss of
fluid pressure is considerably lower. Figure 8 demonstrates the promising capability of the nonlocal
scale-dependent poroelasticity compared to the classical poroelasticity in
estimating the fluid pressure within spherical tumours of ultrasmall sizes
(less than 500 µm in radius). The clinical use of the proposed nonlocal
poroelasticity model could result in a substantial improvement in the accuracy
and sensitivity of the tissue mechanical property measurement using
elastography imaging, especially for tumours of small-scale sizes.

Figure 8.
Fluid pressure of spherical tumours versus time for different tumour sizes: (a) sample A, (b) sample B and (c) sample C. Arrows indicate the improvement in the fluid pressure resolution by incorporating nonlocal effects.
The variation in the radial
displacement with time is plotted in Figure 9
for various values of NLSCs for the three different
biological samples. Young’s modulus, Poisson’s ratio and the geometrical
features of the three samples are the same. However, they differ in terms of
the hydraulic conductivity per volumetric weight and microfiltration
coefficient, as can be seen from Table 1. The radial displacement is calculated at r = 0.5 R.
Ten base functions (ten Galerkin terms) are supposed for both the radial
displacement and fluid pressure of the spherical tumour in all case studies.
From Figure 9, it
can be concluded that the nonlocal scale coefficient has a vital role to play
in the mechanical behaviour of small-scale tumours. As the scale effect related
to the solid stress nonlocality inside the spherical tumour increases, larger
radial displacements are observed. The validity of this finding is backed up by
the evidence that nonlocal effects lead to a reduction in stiffness, making the
tissue more prone to mechanical deformation. This finding is very important
from a clinical point of view as the sensitivity and accuracy of the
elastography-based cancer diagnosis could be significantly improved by taking
into account these effects using the nonlocal poroelasticity theory.

Figure 9.
Radial displacement of spherical tumours versus time for different nonlocal scale coefficients (NLSC): (a) sample A, (b) sample B and (c) sample C. The classical poroelasticity model can be obtained from the nonlocal scale-dependent one when the effect of the NLSC is ignored. Ten base functions are considered for both the radial displacement and fluid pressure approximations. The radial displacement is obtained at r = 0.5 R.
A light gradient boosting machine
(LGBM) algorithm is presented and integrated with the scale-dependent nonlocal
poroelastic model of small-scale spherical inclusions. To show the accuracy and
capability of the integrated model, the results of the nonlocal model for
sample A are used as an example to build the training and test datasets. The
radius of the inclusion, dimensionless nonlocal scale coefficient and time are
used as the inputs of the LGBM model, while the fluid pressure at the middle
distance from the inclusion centre to its surface is adopted as the label of
the training and test datasets. Table 2 lists some general statistical information including the mean,
median, maximum, minimum, first and third quartiles of the input features and
fluid pressure as the target variable. The dataset includes 34,100 records,
with 30% of them as the test data and 70% as the training data. A
hyperparameter tuning procedure based on the grid search cross validation
approach has been conducted to obtain the optimised parameters of the LGBM
model. The negative root mean squared error is used to assess the performance of
each configuration of the model parameters. The number of estimators and leaves
on each tree are taken in the range of 1–200 and 1–51, respectively. Different
learning rates between 0.01 and 0.2 and various maximum depths from −1 to 100
are also considered in the grid search cross validation. A negative maximum
depth means that there is no limitation in terms of the number of leaves on the
decision trees. Three different boosting types, GOSS, DART and GBDT, are
considered in this analysis. Table 3 lists the results of the hyperparameter tuning for six different
LGBM configurations. The mean test score is the negative root mean squared
error of the training data. The optimised parameters of the best LGBM model are
obtained as learning rate = 0.1, maximum depth = 100, number of decision trees
= 200 and number of leaves = 51 (boosting type = GOSS). The root mean squared
errors of this model on training and test data are 0.03389 and 0.03083,
respectively. These values indicate the high accuracy of the LGBM model and no
sign of overfitting as the performance of the model is even better on the
unseen test data compared to the training data. In Table 4, the predicted fluid
pressure is compared with the actual test fluid pressure obtained by the
nonlocal model at the mid-distance from the centre to the surface of the
spherical inclusion. Various values of the inclusion radii and nonlocal
coefficients are taken into consideration. It is found that the results of the
LGBM are in excellent agreement with those of the scale-dependent nonlocal
model of poroelasticity, indicating the promising capability of the light
gradient boosting frameworks to predict the mechanics of poroelastic
inclusions.
Table 2.
General statistical information about the training dataset used to fit the LGBM model. The first three columns include data about the average radius in micron, dimensionless nonlocal scale coefficient and time, which are considered as the inputs in the analysis. The fluid pressure column is considered as the target (label) column.
Table 3.
Mean test scores of different boosting algorithms used in the LGBM model. The mean test score is used to rank the model in the hyperparameter tuning process. This scoring metric is set to the negative root mean squared error.
Table 4.
Predicted pressure using the LGBM versus those of the test dataset for various values of inclusion radius, nonlocal scale coefficients and time. Percentage error is defined as “100 × abs(predicted pressure − test pressure)/test pressure” in which abs represents the absolute function.
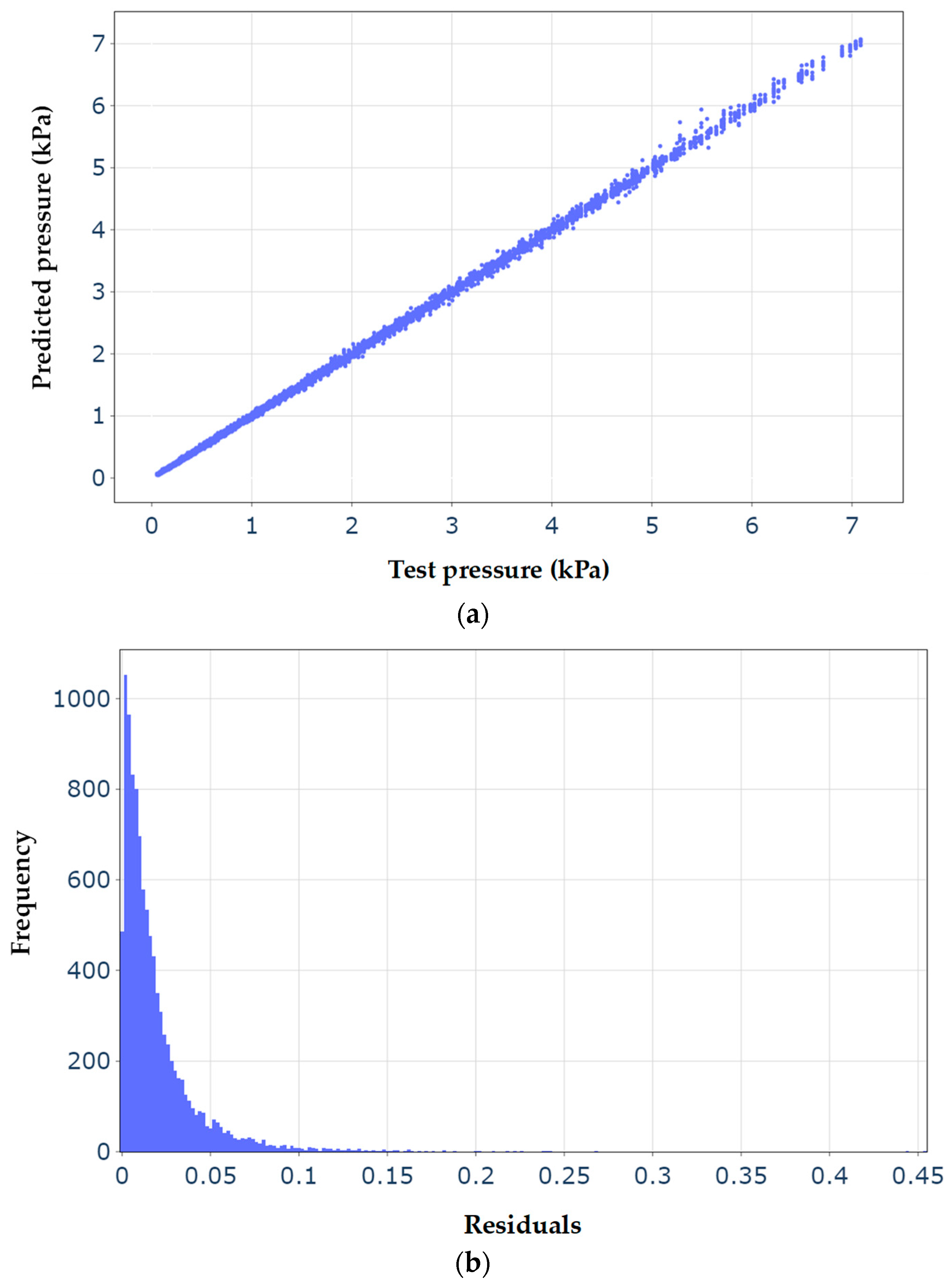
Figure 10a shows the variation in the fluid pressure of the small-scale
spherical inclusion predicted by the best model of the LGBM versus the
reference test fluid pressure obtained by the scale-dependent nonlocal
poroelasticity model. To plot this figure, all 10,230 records of the test dataset
are used to give an overview of the performance of the machine learning model.
In addition, the histogram of the residuals of the fluid pressure within the spherical poroelastic inclusion is described in Figure 10b. The residuals are
defined as the difference between the predicated and test fluid pressure. It
can be concluded that the predicted fluid pressures closely match those of the
test data almost in all cases. In addition, the majority of residuals are less
than 0.075, providing an additional indicator of the goodness of the optimised
LGBM model.
Figure 10.
(a) Predicted pressure versus the actual test pressure in terms of kPa; the predicted pressure is obtained by the best light gradient bosting machine learning algorithm with the GOSS boosting type, learning rate = 0.1, maximum depth = 100, number of estimators = 200 and number of leaves = 51. (b) Histogram of the residuals of the fluid pressure for all data points of the test dataset; residuals are defined as the absolute value of “predicted pressure-test pressure”.
In the machine
learning model, the fluid pressure at the middle of the inclusion radius is
adopted to train the model and obtain optimised hyperparameters. The optimised
model is then used to make reasonable estimations on unseen new data, as
evidenced by our test data verification outlined above. In practice, there are
two scenarios in which the present model would be useful: (1) When the size of
the inclusion is determined by other imaging techniques such as magnetic
resonance imaging (MRI) or computed tomography (CT); in this case, the model
can be used to determine the inclusion type. For example, in biomedical
applications, the model plays a crucial role in distinguishing benign tumours
from malignant ones by comparing estimated mechanical characteristics with
benchmark data. (2) A trial-and-error procedure for estimating the size of an
inclusion involves systematically adjusting the parameters of a model until a
satisfactory match is achieved between the predicted outcomes and observed
data. In the context of this work’s case study on tumours and interstitial
fluid pressure, this could refer to the process of iteratively refining the
parameters related to the size of the tumour till the predictions align with
experimental or clinical measurements. The present model relates the
interstitial fluid pressure to the mechanical characteristics and size of the
inclusion and could be useful in the iterative process to minimise the
difference between the observation and theoretical estimation. In terms of
proof of possibility, it is noteworthy that experimental studies have
demonstrated that the interstitial fluid pressure is an important biomarker in
solid tumours, significantly affecting the cancer microenvironment [55]. The clinical measurement
of fluid pressure can be achieved using direct (invasive) techniques such as
servo-controlled micropipette and wick-in-needle, as well as indirect
(non-invasive) methods including ultrasound elastography and dynamic contrast MRI [56].
9. Conclusions
A nonlocal scale-dependent
poroelasticity model has been developed for the mechanical response of
spherical inclusions under radial compression. Scale effects related to the
effective stress nonlocality were captured by using Eringen’s continuum
mechanics. To derive the scale-dependent governing equations of the spherical
inclusion, effective stress differential relations and the equilibrium equation
were decoupled. The storage equation was derived based on the conservation of
mass law for both fluid content and solid matrix. The Galerkin technique was
employed to discretise the scale-dependent governing equation and the storage
equation of the spherical inclusion, and then the numerical results were
calculated using the PIM. For comparison and verification studies, a Dormand–Prince
solution procedure and an analytical solution were presented for nonlocal
small-scale and local large-scale inclusions, respectively. To obtain a
reliable converged solution, ten base functions (Galerkin terms) were taken
into consideration. The nonlocal model was integrated with an LGBM model for
the fast and robust prediction of the mechanical behaviour of poroelastic
inclusions in practical applications. The mechanical parameters calculated by
the LGBM were in an excellent agreement with those estimated by the nonlocal
continuum approach. It was found that nonlocal effects lead to a substantial
increase in the fluid pressure within the spherical inclusion. Moreover, the
radial displacement is underestimated using the classical local model of
poroelasticity. These findings are rooted in the fact that the stress
nonlocality is linked with a reduction in structural stiffness. Application of
the proposed nonlocal scale-dependent poroelasticity model integrated with the LGBM
results in a significant enhancement in the accuracy of the fluid pressure and
radial displacement estimations within spherical inclusions subject to uniform
radial loading. The specific time corresponding to the fluid pressure loss in
the inclusion is greatly affected by the hydraulic conductivity per volumetric
weight. The inclusions tend to consolidate much faster when the hydraulic
conductivity is increased, and thus the specific time related to the fluid
pressure loss is much lower. This leads to a constant radial displacement
within the spherical inclusion, which is not dependent on time anymore.
10. Patents
Ali Farajpour, Wendy V. Ingman,
“Scale-dependent elastography method for de-tection of small inclusions in
biological tissue”. Applicant: The University of Adelaide, Application number:
PCT/AU2023/050855. Patent Cooperation Treaty (PCT) Submission Date: 1 September 2023.
Author Contributions
Research idea, A.F. and W.V.I.;
mathematical formulation, A.F.; software, A.F.; validation, A.F. and W.V.I.;
data analysis, A.F.; investigation, A.F. and W.V.I.; resources, A.F. and
W.V.I.; data curation, A.F.; writing—original draft preparation, A.F.; writing—review
and editing, W.V.I.; visualization, A.F.; supervision, W.V.I.; project
administration, W.V.I.; funding acquisition, A.F. and W.V.I. All authors have
read and agreed to the published version of the manuscript.
Funding
This project was funded by the Adelaide Medical School Building Research Leaders Award given to A.F and the Robinson Research Institute’s Innovation Seed Funding.
Institutional Review Board Statement
As existing mechanical properties of
breast tissues were used in this research, ethical review and approval were
waived by the University of Adelaide Human Research Ethics Committee.
Informed Consent Statement
Patient consent was waived because the
research involved the use of existing collections of data that contain only
non-identifiable data about human beings.
Data Availability Statement
Data available upon request.
Conflicts of Interest
The authors declare no conflicts of
interest.
References
- Sack, I. Magnetic resonance elastography from fundamental soft-tissue mechanics to diagnostic imaging. Nat. Rev. Phys. 2023, 5, 25–42. [Google Scholar] [CrossRef]
- Ormachea, J.; Parker, K. Elastography imaging: The 30 year perspective. Phys. Med. Biol. 2020, 65, 24TR06. [Google Scholar] [CrossRef]
- Shin, B.; Gopaul, D.; Fienberg, S.; Kwon, H.J. Application of Eshelby’s solution to elastography for diagnosis of breast cancer. Ultrason. Imaging 2016, 38, 115–136. [Google Scholar] [CrossRef] [PubMed]
- Goswami, S.; Ahmed, R.; Khan, S.; Doyley, M.M.; McAleavey, S.A. Shear induced non-linear elasticity imaging: Elastography for compound deformations. IEEE Trans. Med. Imaging 2020, 39, 3559–3570. [Google Scholar] [CrossRef]
- Islam, M.T.; Righetti, R. An analytical poroelastic model of a spherical tumor embedded in normal tissue under creep compression. J. Biomech. 2019, 89, 48–56. [Google Scholar] [CrossRef] [PubMed]
- Vynnytska, L.; Savula, Y. Mathematical modeling and numerical analysis of elastic body with thin inclusion. Comput. Mech. 2012, 50, 533–542. [Google Scholar] [CrossRef]
- Costa, G.; Gentile, F. A nanomechanical model enables comprehensive characterization of biological tissues in ultrasound imaging. Biomed. Phys. Eng. Express 2020, 6, 035026. [Google Scholar] [CrossRef] [PubMed]
- Favata, A.; Paroni, R.; Recrosi, F.; Tomassetti, G. Competition between epithelial tissue elasticity and surface tension in cancer morphogenesis. Int. J. Eng. Sci. 2022, 176, 103677. [Google Scholar] [CrossRef]
- Fuhs, T.; Wetzel, F.; Fritsch, A.W.; Li, X.; Stange, R.; Pawlizak, S.; Kießling, T.R.; Morawetz, E.; Grosser, S.; Sauer, F. Rigid tumours contain soft cancer cells. Nat. Phys. 2022, 18, 1510–1519. [Google Scholar] [CrossRef]
- Islam, M.T.; Tang, S.; Liverani, C.; Saha, S.; Tasciotti, E.; Righetti, R. Non-invasive imaging of Young’s modulus and Poisson’s ratio in cancers in vivo. Sci. Rep. 2020, 10, 7266. [Google Scholar] [CrossRef]
- Scott, J.M.; Arani, A.; Manduca, A.; McGee, K.P.; Trzasko, J.D.; Huston III, J.; Ehman, R.L.; Murphy, M.C. Artificial neural networks for magnetic resonance elastography stiffness estimation in inhomogeneous materials. Med. Image Anal. 2020, 63, 101710. [Google Scholar] [CrossRef]
- Taloni, A.; Vodret, M.; Costantini, G.; Zapperi, S. Size effects on the fracture of microscale and nanoscale materials. Nat. Rev. Mater. 2018, 3, 211–224. [Google Scholar] [CrossRef]
- Ghayesh, M.H.; Farajpour, A. A review on the mechanics of functionally graded nanoscale and microscale structures. Int. J. Eng. Sci. 2019, 137, 8–36. [Google Scholar] [CrossRef]
- Xu, X.; Karami, B.; Janghorban, M. On the dynamics of nanoshells. Int. J. Eng. Sci. 2021, 158, 103431. [Google Scholar] [CrossRef]
- Jiang, Y.; Li, L.; Hu, Y. A nonlocal surface theory for surface–bulk interactions and its application to mechanics of nanobeams. Int. J. Eng. Sci. 2022, 172, 103624. [Google Scholar] [CrossRef]
- Agrawal, R.; Peng, B.; Gdoutos, E.E.; Espinosa, H.D. Elasticity size effects in ZnO nanowires—A combined experimental-computational approach. Nano Lett. 2008, 8, 3668–3674. [Google Scholar] [CrossRef]
- Chu, Y.; Ragab, T.; Basaran, C. The size effect in mechanical properties of finite-sized graphene nanoribbon. Comput. Mater. Sci. 2014, 81, 269–274. [Google Scholar] [CrossRef]
- Pelliciari, M.; Marcello Tarantino, A. A nonlinear molecular mechanics model for graphene subjected to large in-plane deformations. Int. J. Eng. Sci. 2021, 167, 103527. [Google Scholar] [CrossRef]
- Farajpour, A.; Howard, C.Q.; Robertson, W.S.P. On size-dependent mechanics of nanoplates. Int. J. Eng. Sci. 2020, 156, 103368. [Google Scholar] [CrossRef]
- Peddieson, J.; Buchanan, G.R.; McNitt, R.P. Application of nonlocal continuum models to nanotechnology. Int. J. Eng. Sci. 2003, 41, 305–312. [Google Scholar] [CrossRef]
- Eringen, A.C. On differential equations of nonlocal elasticity and solutions of screw dislocation and surface waves. J. Appl. Phys. 1983, 54, 4703–4710. [Google Scholar] [CrossRef]
- Chen, Y.; Zhang, M.; Su, Y.; Zhou, Z. Coupling analysis of flexoelectric effect on functionally graded piezoelectric cantilever nanobeams. Micromachines 2021, 12, 595. [Google Scholar] [CrossRef]
- Su, Y.; Zhou, Z. Electromechanical analysis of flexoelectric nanosensors based on nonlocal elasticity theory. Micromachines 2020, 11, 1077. [Google Scholar] [CrossRef]
- Zhang, L.; Zhang, Y.; Liew, K. Vibration analysis of quadrilateral graphene sheets subjected to an in-plane magnetic field based on nonlocal elasticity theory. Compos. Part B Eng. 2017, 118, 96–103. [Google Scholar] [CrossRef]
- Bouadi, A.; Bousahla, A.A.; Houari, M.S.A.; Heireche, H.; Tounsi, A. A new nonlocal HSDT for analysis of stability of single layer graphene sheet. Adv. Nano Res. 2018, 6, 147. [Google Scholar]
- Sadeghian, M.; Palevicius, A.; Janusas, G. Nonlinear Thermal/Mechanical Buckling of Orthotropic Annular/Circular Nanoplate with the Nonlocal Strain Gradient Model. Micromachines 2023, 14, 1790. [Google Scholar] [CrossRef] [PubMed]
- Ma, T.; Mu, A. Study on the Stability of Functionally Graded Simply Supported Fluid-Conveying Microtube under Multi-Physical Fields. Micromachines 2022, 13, 895. [Google Scholar] [CrossRef]
- Ma, T.; Mu, A. Analysis of Nonlinear Vibration of Functionally Graded Simply Supported Fluid-Conveying Microtubes Subjected to Transverse Excitation Loads. Micromachines 2022, 13, 2114. [Google Scholar] [CrossRef]
- Sahmani, S.; Aghdam, M. Size-dependent axial instability of microtubules surrounded by cytoplasm of a living cell based on nonlocal strain gradient elasticity theory. J. Theor. Biol. 2017, 422, 59–71. [Google Scholar] [CrossRef] [PubMed]
- Civalek, Ö.; Demir, C. A simple mathematical model of microtubules surrounded by an elastic matrix by nonlocal finite element method. Appl. Math. Comput. 2016, 289, 335–352. [Google Scholar] [CrossRef]
- Demir, C.; Civalek, Ö. Torsional and longitudinal frequency and wave response of microtubules based on the nonlocal continuum and nonlocal discrete models. Appl. Math. Model. 2013, 37, 9355–9367. [Google Scholar] [CrossRef]
- Gao, Y.; Lei, F.-M. Small scale effects on the mechanical behaviors of protein microtubules based on the nonlocal elasticity theory. Biochem. Biophys. Res. Commun. 2009, 387, 467–471. [Google Scholar] [CrossRef]
- Farajpour, A.; Rastgoo, A. Influence of carbon nanotubes on the buckling of microtubule bundles in viscoelastic cytoplasm using nonlocal strain gradient theory. Results Phys. 2017, 7, 1367–1375. [Google Scholar] [CrossRef]
- Zheng, C.; Zhang, G.; Mi, C. On the strength of nanoporous materials with the account of surface effects. Int. J. Eng. Sci. 2021, 160, 103451. [Google Scholar] [CrossRef]
- Sahmani, S.; Aghdam, M. Nonlinear vibrations of pre-and post-buckled lipid supramolecular micro/nano-tubules via nonlocal strain gradient elasticity theory. J. Biomech. 2017, 65, 49–60. [Google Scholar] [CrossRef]
- Chen, L.; Painter, K.; Surulescu, C.; Zhigun, A. Mathematical models for cell migration: A non-local perspective. Philos. Trans. R. Soc. B 2020, 375, 20190379. [Google Scholar] [CrossRef]
- Singh, S.; Krishnaswamy, J.A.; Melnik, R. Biological cells and coupled electro-mechanical effects: The role of organelles, microtubules, and nonlocal contributions. J. Mech. Behav. Biomed. Mater. 2020, 110, 103859. [Google Scholar] [CrossRef]
- Zhang, Q.; Sun, Y.; Yang, J. Propagation and reflection of plane waves in biological tissue based on nonlocal TPL thermoelasticity. Int. Commun. Heat Mass Transf. 2021, 128, 105587. [Google Scholar] [CrossRef]
- Kennedy, B.F.; Wijesinghe, P.; Sampson, D.D. The emergence of optical elastography in biomedicine. Nat. Photonics 2017, 11, 215–221. [Google Scholar] [CrossRef]
- Verruijt, A. Theory and problems of poroelasticity. Delft Univ. Technol. 2013, 71. [Google Scholar]
- Leiderman, R.; Barbone, P.E.; Oberai, A.A.; Bamber, J.C. Coupling between elastic strain and interstitial fluid flow: Ramifications for poroelastic imaging. Phys. Med. Biol. 2006, 51, 6291. [Google Scholar] [CrossRef] [PubMed]
- Eshelby, J.D. The determination of the elastic field of an ellipsoidal inclusion, and related problems. Proc. R. Soc. London Ser. A Math. Phys. Sci. 1957, 241, 376–396. [Google Scholar]
- Bernhardt, S.M.; Dasari, P.; Wrin, J.; Raymond, W.; Edwards, S.; Walsh, D.; Townsend, A.R.; Price, T.J.; Ingman, W.V. Discordance in 21-gene recurrence scores between paired breast cancer samples is inversely associated with patient age. Breast Cancer Res. 2020, 22, 90. [Google Scholar] [CrossRef] [PubMed]
- Eringen, A.C.; Wegner, J. Nonlocal continuum field theories. Appl. Mech. Rev. 2003, 56, B20–B22. [Google Scholar] [CrossRef]
- Sigrist, R.M.; Liau, J.; El Kaffas, A.; Chammas, M.C.; Willmann, J.K. Ultrasound elastography: Review of techniques and clinical applications. Theranostics 2017, 7, 1303. [Google Scholar] [CrossRef] [PubMed]
- Farajpour, M.R.; Shahidi, A.R.; Tabataba’i-Nasab, F.; Farajpour, A. Vibration of initially stressed carbon nanotubes under magneto-thermal environment for nanoparticle delivery via higher-order nonlocal strain gradient theory. Eur. Phys. J. Plus 2018, 133, 219. [Google Scholar] [CrossRef]
- Wan-Xie, Z. On precise integration method. J. Comput. Appl. Math. 2004, 163, 59–78. [Google Scholar] [CrossRef]
- Dehrouyeh-Semnani, A.M.; Nikkhah-Bahrami, M.; Yazdi, M.R.H. On nonlinear vibrations of micropipes conveying fluid. Int. J. Eng. Sci. 2017, 117, 20–33. [Google Scholar] [CrossRef]
- Mason, D.; Solomon, A.; Nicolaysen, L. Evolution of stress and strain during the consolidation of a fluid-saturated porous elastic sphere. J. Appl. Phys. 1991, 70, 4724–4740. [Google Scholar] [CrossRef]
- Ke, G.; Meng, Q.; Finley, T.; Wang, T.; Chen, W.; Ma, W.; Ye, Q.; Liu, T.-Y. Lightgbm: A highly efficient gradient boosting decision tree. Adv. Neural Inf. Process. Syst. 2017, 30, 3149–3157. [Google Scholar]
- Fan, J.; Ma, X.; Wu, L.; Zhang, F.; Yu, X.; Zeng, W. Light Gradient Boosting Machine: An efficient soft computing model for estimating daily reference evapotranspiration with local and external meteorological data. Agric. Water Manag. 2019, 225, 105758. [Google Scholar] [CrossRef]
- Chakraborty, D.; Elhegazy, H.; Elzarka, H.; Gutierrez, L. A novel construction cost prediction model using hybrid natural and light gradient boosting. Adv. Eng. Inform. 2020, 46, 101201. [Google Scholar] [CrossRef]
- Guo, J.; Yun, S.; Meng, Y.; He, N.; Ye, D.; Zhao, Z.; Jia, L.; Yang, L. Prediction of heating and cooling loads based on light gradient boosting machine algorithms. Build. Environ. 2023, 236, 110252. [Google Scholar] [CrossRef]
- Pedregosa, F. Scikit-learn: Machine learning in python Fabian. J. Mach. Learn. Res. 2011, 12, 2825. [Google Scholar]
- Salavati, H.; Debbaut, C.; Pullens, P.; Ceelen, W. Interstitial fluid pressure as an emerging biomarker in solid tumors. Biochim. Biophys. Acta (BBA)-Rev. Cancer 2022, 1877, 188792. [Google Scholar] [CrossRef] [PubMed]
- Halldorsdottir, V.G.; Dave, J.K.; Marshall, A.; Forsberg, A.I.; Fox, T.B.; Eisenbrey, J.R.; Machado, P.; Liu, J.-B.; Merton, D.A.; Forsberg, F. Subharmonic-aided pressure estimation for monitoring interstitial fluid pressure in tumors: Calibration and treatment with paclitaxel in breast cancer xenografts. Ultrasound Med. Biol. 2017, 43, 1401–1410. [Google Scholar] [CrossRef] [PubMed]
Disclaimer/Publisher’s Note: The statements, opinions and data contained in all publications are solely those of the individual author(s) and contributor(s) and not of MDPI and/or the editor(s). MDPI and/or the editor(s) disclaim responsibility for any injury to people or property resulting from any ideas, methods, instructions or products referred to in the content. |
© 2024 by the authors. Licensee MDPI, Basel, Switzerland. This article is an open access article distributed under the terms and conditions of the Creative Commons Attribution (CC BY) license (https://creativecommons.org/licenses/by/4.0/).












