Abstract
The short-circuit (SC) robustness of SiC MOSFETs is critical for high-power applications, yet 1.2 kV devices often struggle to meet the industry-standard SC withstand time (SCWT) under practical operating conditions. Despite growing interest in higher voltage classes, no prior study has systematically evaluated the SC performance of 1.7 kV SiC MOSFETs. This study provides the first comprehensive evaluation of commercially available 1.7 kV SiC MOSFETs, analyzing their SC performance under varying electrical stress conditions. Results indicate a clear trade-off between SC withstand time (SCWT) and drain-source voltage (VDS), with SCWT decreasing from 32 µs at 400 V to 4 µs at 1100 V. Under 600 V, a condition representative of practical use cases in many high-voltage applications, the devices achieved an SCWT of 12 µs, exceeding the industry-standard 10 µs benchmark—a threshold often unmet by 1.2 kV devices under similar conditions. Failure analysis revealed gate dielectric breakdown as the dominant failure mode at VDS ≤ 600 V, while thermal runaway was observed at higher voltages (VDS = 800 V and 1100 V). These findings underscore the critical importance of robust gate drive designs and effective thermal management. By surpassing the shortcomings of lower voltage classes, 1.7 kV SiC MOSFETs can be a more reliable, and efficient choice for operating at higher voltages in next-generation power systems.
1. Introduction
Silicon carbide (SiC) MOSFETs have gained significant attention in high-power applications due to their superior thermal stability, faster switching speed, and higher breakdown voltage compared to traditional silicon-based devices [1,2]. The increasing demand for high-voltage and high-efficiency systems in electric vehicles (EVs), renewable energy, and grid applications has accelerated the development of SiC metal-oxide-semiconductor field-effect transistors (MOSFETs) [3,4,5,6]. However, short-circuit (SC) robustness remains a critical reliability challenge, particularly in high-voltage applications [7,8,9].
Despite their extensive study and adoption, 1.2 kV SiC MOSFETs face challenges in achieving reliable short-circuit (SC) robustness under high-voltage conditions, often failing to meet the industry-standard short-circuit withstand time (SCWT) in demanding applications. The emerging 1.7 kV class presents new opportunities for applications requiring higher voltage operation including DC–DC converters, traction, and grid-tied systems, where the effective management of SC performance and thermal stress is crucial [10,11].
Although studies on 650 V, 900 V, and 1200 V SiC MOSFETs demonstrate their ability to sustain higher power densities during SC events [12,13,14], these devices—particularly 1200 V SiC MOSFETs—face challenges in maintaining SCWT beyond a 10 µs SCWT under half-rated drain-source voltage and full-rated gate voltage [15,16,17]. Furthermore, their performance degrades under repetitive SC events [18,19], highlighting unique challenges in designing effective protection circuits and enhancing device reliability [20,21].
The 1.7 kV class of SiC MOSFETs represents a significant advancement in voltage capability, material properties, and structural optimizations. Despite their growing adoption, comprehensive studies evaluating the SC robustness of the emerging 1.7 kV class SiC MOSFETs are notably lacking. In this medium voltage range of SiC MOSFETs, few studies, such as those by Lee et al., have focused on the design and electrical properties of trench structures, highlighting their effectiveness in reducing on-resistance and improving breakdown voltage characteristics [22]. Similarly, Bolotnikov et al., provided an extensive optimization study for 1.7 kV SiC MOSFETs, evaluating trade-offs between short-circuit withstand time (SCWT) and conduction losses through design improvements like reduced source doping and channel width adjustments [23]. These works primarily focus on fabricated prototypes rather than commercially available devices. As a result, the SC performance and failure mechanisms of 1.7 kV SiC MOSFETs under varying electrical stress conditions remain unexplored.
To address these research gaps, this study conducts the first comprehensive evaluation of 1.7 kV SiC MOSFETs, specifically investigating SC performance metrics, and failure mechanisms under varying drain-source voltage (VDS: 400 V, 600 V, 800 V, and 1100 V) and gate-source voltage (VGS: −5/15 V, −5/18 V, and −5/20 V) conditions. By addressing this research gap, the findings will offer critical insights into the performance and reliability of 1.7 kV SiC MOSFETs, enabling their effective deployment in high-power applications.
This paper is organized as follows: Section 2 details the experimental setup and device characteristics. Section 3 explores the static characteristics, including transfer characteristics, output characteristics, gate-drain capacitance (Cgd), and breakdown voltage. Section 4 focuses on the short-circuit (SC) analysis under varying drain-source voltage (VDS) and gate-source voltage (VGS) conditions and a comparison of SC performance metrics, and is supplemented with optical microscopy images of post-SC failure. Finally, Section 5 concludes with a summary of findings and suggestions for future research.
2. SC Test Platform and Device Characteristics
Most high-power systems in real world applications run in the 400 V to 1100 V range. Consequently, it is essential to evaluate SC robustness at these practical voltages in order to fully understand device reliability under real world conditions of operation.
To address this need, our study systematically tested 1700 V SiC MOSFETs at voltages ranging from 400 V to 1100 V, covering both moderate and high electrical stress scenarios. Testing up to 1100 V, approximately 2/3 of the device’s rated voltage, aligns with industry practices and reflects realistic operating conditions for high-power systems. Lower voltage tests (400 V and 600 V) offer insights into SCWT under moderate stress, while higher voltage tests (800 V–1100 V) simulate more demanding scenarios, enabling a comprehensive evaluation of device robustness.
We have examined six identical devices with the same specifications, all from the same manufacturer, CREE, under short-circuit (SC) conditions. The key parameters of these devices are listed in Table 1. Testing was conducted under varying DC bus voltages (VDS) of 400 V, 600 V, 800 V, and 1100 V, with gate-source voltages (VGS) of [−5/20 V] as specified in the datasheet [24]. Additionally, the influence of gate-source voltages was analyzed by testing the devices under varying VGS values (15 V, 18 V, 20 V) at a constant VDS of 600 V.
Table 1.
Key device parameters mentioned in their datasheets.
The short-circuit pulse width is systematically increased by 1 μs until the device fails in all conducted SC tests. In this study, we have analyzed SC waveforms, including VGS, IDS, and VDS, to determine the SCWT in a real-time environment. SCWT is defined as the time a device can sustain without catastrophic failure. Specially, we utilized a sudden and significant drop in VGS as the key indicator for gate degradation initiation. This approach aligns with methodologies commonly employed in the literature, where waveform characteristics provide robust insights into device performance. Moreover, to ensure the reliability of our measurements, after each test, the device was allowed to cool down before initiating the next test to avoid heat buildup within the device.
The test platform (Figure 1) consists of a high-voltage, auxiliary power supply, a waveform generator, and an oscilloscope to monitor critical parameters (VDS, IDS, and VGS) during SC events. The SC test PCB integrates a solid-state circuit breaker with an IGBT [25], capacitors (C1, C2, and C3), and a SiC MOSFET driver to control the device under test (DUT). A current shunt was employed to measure the drain current (IDS) during the SC event. Further details of the SC test schematic and platform are available in our previous work [26,27].
Figure 1.
A photograph of the short-circuit characterization test setup is shown. It features the high-voltage power supply, which charges the bus capacitor on the Printed Circuit Board (PCB) and ensures a stable DC bus voltage for the tests. The gate trigger signal, crucial for switching the SiC MOSFETs on and off, is provided by the waveform generator. Simultaneously, the oscilloscope captures key measurements, including the drain-source voltage (VDS), drain current (IDS), and gate-source voltage (VGS) of the SiC MOSFETs during short-circuit testing.
To ensure the reliability of results, two distinct sets of devices were used. The first set, labeled S1 through S5, was exclusively used for static characterization tests, including transfer characteristics, output characteristics, and Cgd. These non-destructive tests provided baseline data for static device performance. A single device, S1, was specifically used for a destructive breakdown voltage test to assess the limit of the CREE device’s ability to sustain breakdown voltages. To evaluate the short-circuit test, a second set of devices, SC1–SC6, was dedicated. The SC tests were performed under varying electrical stress in terms of VDS and VGS. The devices used in static characterization were not employed in the SC test in order to avoid any pre-stress influence on device performance.
3. Static Characteristics Analysis
3.1. Output Characteristics
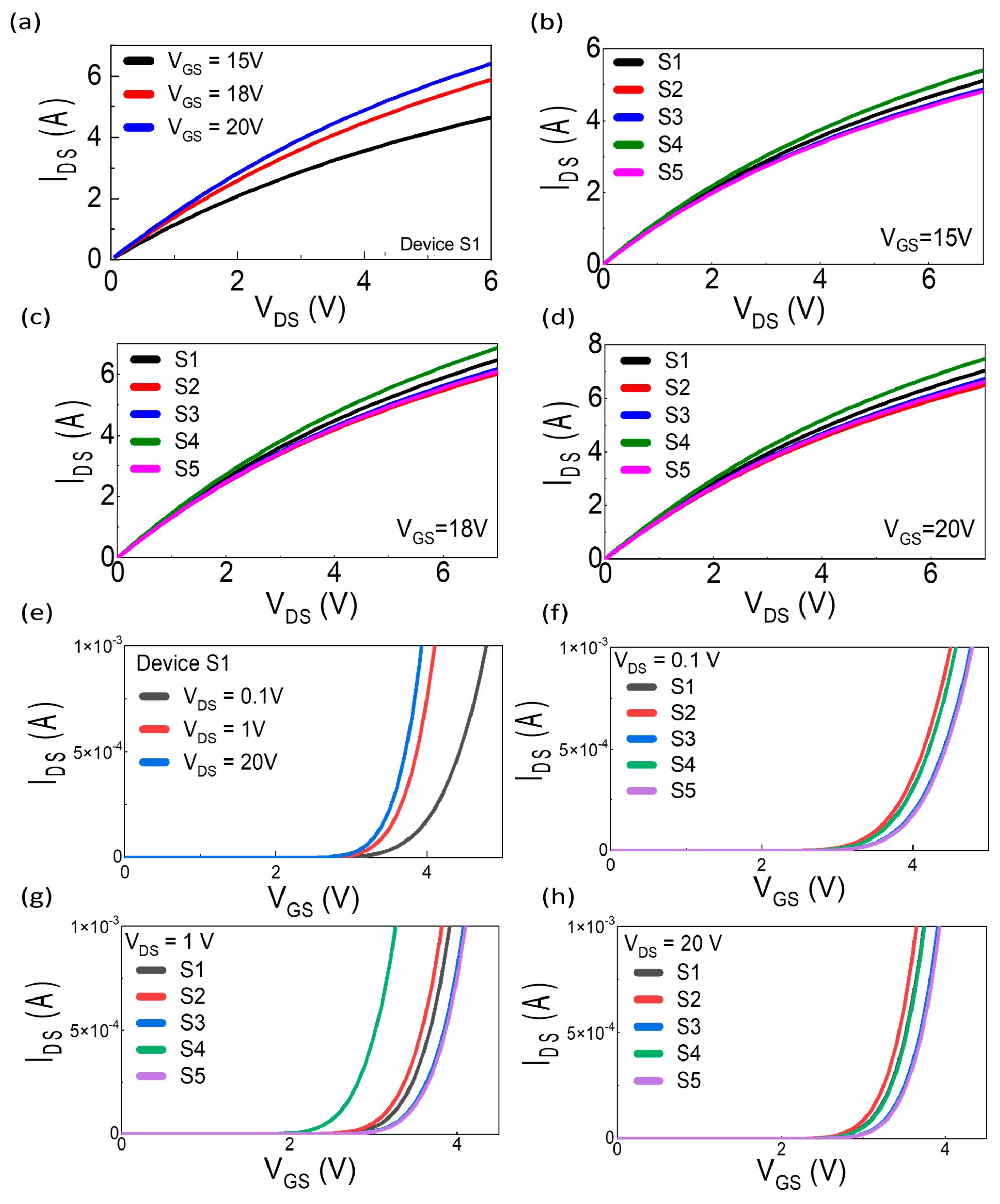
The output characteristic curves of 1.7 kV devices tested under various gate-source voltages are shown in Figure 2a–d.
Figure 2.
(a) Output characteristics of Device S1 at various gate-source voltages (VGS = 15 V, 18 V, and 20 V). (b–d) Output characteristics of devices S1–S5 at VGS = 15 V, 18 V, and 20 V, respectively, showing trends in IDS versus VDS for multiple devices. (e) Transfer characteristics of Device S1 at VDS = 0.1 V, 1 V, and 20 V, illustrating the evolution of IDS with VGS within the same device, with Vth approximately 3.9 V for VDS = 0.1 V. (f–h) Transfer characteristics of multiple devices (S1–S5) at VDS = 0.1, 1 V, and 20 V, showing consistent IDS−VGS trends and minor variations in Vth (ranging from 3.9 V to 4.3 V).
These curves are obtained by plotting the drain current (IDS) as a function of the drain-source voltage (VDS). The typical MOSFET behavior can be seen in Figure 2a, where IDS rises initially with increasing VDS within the ohmic region until it reaches a point of saturation.
Figure 2a illustrates the output characteristics of a single device (S1) tested under different gate-source voltage VGS conditions (15 V, 18 V, and 20 V). At VGS = 15 V, the device achieves a saturation current of approximately 5 A when VDS is around 6 V. With VGS increased to 18 V and 20 V, the saturation current rises to around 6 A and slightly higher, respectively, indicating improved current handling with higher gate drive. The devices have shown improved channel conductivity and reduced on-resistance RON reflecting the higher current with each increasing VGS value (15 V, 18 V, and 20 V).
Figure 2b–d show the comparison of the output characteristics of five devices (S1–S5) from the same vendor under different VGS. When VGS = 15 V, the saturation current at VDS = 6 V varied slightly across devices, attributed to device uniformity variations in the value of channel mobility, threshold voltages, and manufacturing tolerance. The device S4 has performed best at this VGS value, and among all tested devices, demonstrated the highest IDS across the VDS range. In Figure 2c, at VGS = 18 V, all devices show an increase in IDS, confirming the improved channel conductivity at higher gate voltages. Device S4 again exhibits the highest drain current, while Device S2 shows comparatively lower performance.
In Figure 2d, at VGS = 20 V, the drain current further increases for all devices, reaching their maximum current-handling capability. Device S4 continues to outperform the other devices, while Device S2 exhibits the lowest current values at higher gate voltages, possibly due to slight differences in manufacturing or material quality during fabrication process. The slight variations in measured values among devices fall within manufacturing tolerance. The higher VGS results at higher IDS depict a clear correlation in the output characteristics and indicate superior current handling capabilities of the tested 1.7 kV SiC MOSFETs.
3.2. Transfer Characteristics
The transfer characteristic curves of CREE devices were measured at varying VGS values to understand the behavior of IDS with respect to VGS under different VDS conditions. Figure 2e shows the progression of device behavior for a single representative device, S1, tested under three VDS states (VDS = 0.1 V, 1 V, and 20 V), illustrating the evolution of IDS with VGS within the same device. At VDS = 0.1 V, the transfer curves exhibit minimal drain current, which steadily increases at VDS = 1 V, and eventually saturates at VDS = 20 V. This demonstrates the device’s behavior transitioning from the sub-threshold region to the saturation region. This progression highlights the dependence of IDS on both VGS and VDS, reflecting the expected behavior for SiC MOSFETs.
For VDS = 0.1 V, Vth is approximately 3.9 V, at which IDS begins to rise significantly (defined as IDS = 1 mA). Similar observations are made for VDS = 1 V and VDS = 20 V, with Vth shifting slightly due to channel modulation effects.
In Figure 2f, at VDS = 0.1 V, all devices (S1–S5) exhibit minimal drain current (IDS) at low VGS, consistent with sub-threshold operation where the device is not yet fully turned on. As VGS approaches the threshold voltage (Vth), IDS begins to rise significantly, reaching the defined threshold current (IDS = 1 mA). Small variations in IDS across different devices (S1 to S5) can be attributed to sample-to-sample manufacturing differences. Notably, S4 exhibits a slightly lower Vth, around 3.2 V, compared to the typical range of 3.9 V to 4.3 V observed in the other devices, which is within expected manufacturing tolerances.
In Figure 2g, at VDS = 1 V, as VGS increases, the drain current begins to rise more significantly, indicating the device’s transition into the linear or active region. A notable increase in IDS is observed beyond the threshold voltage (Vth). Despite small deviations, the performance of all device samples remains consistent.
In Figure 2h, when VDS = 20 V, under a high drain-source voltage, the devices enter saturation mode as VGS increases beyond Vth, with IDS rising sharply. The saturation mode is a region where IDS become less dependent on VDS, and more strongly influenced by VGS. All device samples (S1 to S5) display similar trends, demonstrating a high level of uniformity in their behavior.
Across multiple devices (S1–S5), Vth ranges from approximately 3.9 V to 4.3 V (based on the definition of IDS = 1 mA), as observed in Figure 2f–h. The slight variations in measured values among devices fall within manufacturing tolerance.
3.3. Gate-Drain Capacitance (Cgd) Characteristics
The Cgd characteristics of the 1.7 kV SiC MOSFET were evaluated for five devices, labeled S1 through S5, as shown in Figure 3a, tested under 100 kHz frequency at room temperature. The Cgd curve reveals a sharp decrease in the Cgd with increasing VDS leveling off to an almost constant low value as VDS approaches 1700 V. All five samples show almost no variation in Cgd behavior, indicating consistent performance. The rapid drop in Cgd with increasing VDS is characteristic of high-voltage SiC MOSFETs, where lower gate-drain capacitance at higher VDS enhances switching efficiency. This stability of Cgd at higher VDS values minimizes switching losses, a beneficial property in high-speed switching applications.
Figure 3.
(a) The gate-drain capacitance (Cgd) characteristics of the five devices (S1–S5) measured at a test frequency of 100 kHz and a temperature of 25 °C. The plot reveals a sharp reduction in Cgd with increasing VDS, leveling off to an almost constant low value at higher voltages. (b) Breakdown voltage characteristics of device S1 were measured, highlighting the relationship between IDS and VDS, and indicating 2240 V as a breakdown voltage point, at which drain current rises rapidly.
3.4. Breakdown Voltage Characteristics
The breakdown voltage characteristic was measured for a single device of the 1.7 kV SiC MOSFET, as shown in Figure 3b. This curve plots IDS against VDS to identify the point at which breakdown occurs. The device remains stable with negligible drain current up to approximately 2200 V. A sharp rise in IDS is observed around 2240 V, indicating the onset of breakdown, which is above the nominal 1700 V rating. The high breakdown voltage confirms the robustness of the SiC MOSFET under high-voltage conditions.
4. SC Capability
4.1. Influence of VDS
The 1.7 kV SiC MOSFET, SC1, was tested at 400 V with the typical VGS −5/20 V value as specified in the datasheet. The SC waveforms of device SC1, including VDS, VGS, and IDS, are presented in Figure 4a during normal operation before failure. The peak SC current (ISC, peak) value reached 51 A after 0.4 µs.
Figure 4.
Drain-source voltage (VDS), gate-voltage (VGS) and SC current (IDS) waveforms of devices SC1–SC4, tested under various VDS, during normal operation, before failure: (a) Device SC1 tested under 400 V, with VGS drop highlighted in the inset; (b) Device SC2 tested under 600 V, (c) Device SC3 tested under 800 V, and (d) Device SC4 tested under 1100 V.
In the SC process, high local temperatures and the intensive electric field applied to the gate oxide cause higher leakage currents in the gate. Consequently, the VGS of devices decreases gradually as the duration of the SC pulse (TSC) increases. As the SC pulse width extended to 32 μs, a tail current (Itail) of approximately 1.8 A began to appear, accompanied by a minor reduction in VGS of 0.2 V. This small VGS drop indicates the robustness of the gate drive circuit, which maintains high stability throughout operation. It is noteworthy that this reduction in VGS does not begin immediately after the short circuit starts but becomes more pronounced as TSC progresses, consistent with known gate degradation mechanisms. The inset in Figure 4a highlights this behavior, showing a VGS drop of 0.2 V during the final pulse before failure.
Additionally, VDS remains constant at 400 V throughout the SC event, with no significant voltage drop observed. This indicates robust performance during extended SC exposure prior to failure. The SCWT of SC1 was measured as 32 µs at VDS = 400 V. The minimal tail current and stable gate performance further emphasize the device’s thermal and electrical robustness.
The short-circuit behavior of the SC2 device was evaluated at VDS = 600 V with VGS = −5/20 V. The waveforms for VDS, VGS, and IDS are shown in Figure 4b. During the SC event, VDS remains stable at 600 V with no significant fluctuations, demonstrating the device’s ability to maintain voltage integrity. A slight Vdrop of 0.4 V was observed, which is larger than the 0.2 V drop at 400 V, indicating increased stress on the gate drive circuit. However, the drop remains within acceptable limits.
The ISC, peak current reached 54 A and then gradually declined. The tail current (Itail) stabilized at 2.7 A before failure. The SCWT was recorded as 12 µs, reflecting a significant reduction compared to 32 µs at 400 V. The shorter SCWT highlights the increased stress on the device under higher VDS conditions, caused by severe power dissipation [28].
The short-circuit behavior of the SC3 device was evaluated at VDS = 800 V with VGS = −5/20 V. The waveforms for VDS, VGS, and IDS during normal operation are presented in Figure 4c. During the SCWT period, VDS remains stable at 800 V with no significant fluctuations, indicating robust voltage control under increased stress. A significant gate voltage drop of 0.6 V was observed, larger than the drops recorded at 400 V (0.2 V) and 600 V (0.4 V). This suggests higher gate stress and potential gate charge leakage under elevated VDS [29,30]. The ISC, peak of device SC3 reached 56 A, then gradually declined, with an Itail stabilizing at approximately 2.2 A before device failure. The SCWT was recorded as 7 µs, representing a 41% reduction compared to the 600 V test and a 78% reduction compared to the 400 V test.
The SC4 device was tested at VDS = 1100 V with VGS = −5/20 V. The short-circuit waveforms, including VDS, VGS, and IDS, are depicted in Figure 4d. During the short-circuit event, VDS remains stable at 1100 V with no significant fluctuations, demonstrating the device’s robust voltage control under extreme stress. A gate voltage drop of 0.4 V was observed, similar to the 600 V test, reflecting moderate gate leakage under high electric field stress.
The ISC, peak reached 47 A, lower than the 56 A observed at 800 V. This reduction may be attributed to the higher electric field stress limiting the initial current surge. Following the peak, IDS gradually declined, with the Itail stabilizing at approximately 1 A before failure. The SCWT was recorded as 4 µs, the shortest among all tested voltages, indicating the device’s reduced tolerance to high VDS levels.
Figure 5 illustrates the progression of failure in Device SC1 and Device SC3 under 400 V and 800 V stress, respectively. The SC1 device demonstrated gate degradation as a failure mode under a stress condition of 400 V as shown in Figure 5a. This is evidenced by the gradual decline in IDS and an incremental drop in VGS, indicative of stress-induced damage to the gate oxide [31,32]. At SC pulse width (Tsc) = 32.5 µs, the initiation of gate degradation becomes apparent, marked by a small but noticeable decline in VGS, accompanied by a reduction in IDS. This simultaneous behavior reflects the onset of stress-induced damage to the gate dielectric and its impact on the device’s current conduction capability.
Figure 5.
Short-circuit (SC) waveforms, including drain-source voltage (VDS), gate voltage (VGS), and SC current (IDS), are presented for the following: (a) Device SC1, tested at 400 V, and (b) Device SC3, tested at 800 V. [Gray: normal device operation; blue: onset of device degradation; red: device failure due to gate breakdown or thermal runaway].
At 33 µs, a sudden and significant VGS drop (1 V) and an increase in tail current to 3 A was observed, suggesting that the applied stress has reached a critical threshold, leading to dielectric breakdown. The reduction in IDS from 51 A to 39 A also supports this observation, suggesting gate degradation leading to device failure. Moreover, upon inspecting the device terminals after the SC test, only gate-source terminals were found to be shorted, with a significant reduction in resistance value (RGS = 290 Ω). In contrast, the drain-source (RDS) junction remained in a blocking state, hence VDS was maintained through the SC duration. These electrical changes reflect increased stress on the gate dielectric and the progressive weakening of the device, ultimately leading to gate-dielectric breakdown [29].
Importantly, while degradation begins at 32.5 µs, the SCWT is recorded at 32 µs, as this is the last point before significant degradation occurs. Similar VGS and IDS behavior has also been observed in other SiC MOSFETs under SC conditions [29,33].
These findings highlight the device’s capability to handle short-circuit conditions with minimal voltage fluctuation and a stable gate drive performance up to the point of failure. The extended SCWT, coupled with the controlled tail current, demonstrates the robustness of the 1.7 kV SiC MOSFET under challenging operating conditions. The initiation of degradation at 32.5 µs and eventual failure at 33 µs provide valuable insights for circuit designers, emphasizing the importance of robust gate drive designs to maximize reliability in fault-prone environments.
Under a condition of VDS = 800 V, the SC3 device exhibited thermal runaway as the failure mode, as depicted in Figure 5b. This failure occurred approximately 11 µs after the short-circuit pulse ended, representing a delayed thermal runaway mechanism rather than the conventional failure during the short-circuit pulse. This observation suggests a distinct progression of events where residual thermal and electrical stresses continued to affect the device even after turn-off.
Unlike traditional mechanisms that attribute thermal runaway to immediate parasitic BJT activation or thermal carrier generation, this delayed failure highlights the interplay of localized thermal gradients, material degradation, and time-dependent structural weakening. Post-pulse, the junction temperature had begun to decline, ruling out the peak junction temperature as the sole trigger for the observed collapse of VDS and surge in IDS. Residual thermal stress and uneven cooling can create localized hot spots, which contribute to delayed degradation processes. Failures occurring after turn-off could also be attributed to molten aluminum diffusing through the adhesion layer into the P-well/N-drift junction, driven by high die temperatures over the course of several microseconds [13,34].
Moreover, the presence of a tail current (~3.9 A) sustained power dissipation after turn-off, delaying cooling and contributing to thermal feedback that aggravated localized hot spots and intensified material and structural degradation. At 19 µs, the VDS collapses, marking the onset of catastrophic failure. Simultaneously, IDS is increased sharply and the behavior reflects the loss of current control as the device structure degrades progressively. On the other hand, we observe a spike in the gate-source voltage due to residual electric field stress and increased leakage current caused by the time-dependent weakening of the gate dielectric. Thus, residual thermal effects and structural weakening are apparently important failure causes. This shows that high-voltage SiC MOSFET delayed failures are likely due to innovative device designs and efficient thermal management.
4.2. Influence of VGS
The 1.7 kV SiC MOSFETs were tested at a fixed 600 V with the typical VGS = −5/15 V, −5/18 V, and −5/20 V to assess the device influence under varying gate voltages. The SC waveforms of devices (SC5, SC6, and SC2), including gate-source voltage (VGS) and drain current (IDS), are shown in Figure 6, presenting the impact of gate drive voltage on SC performance and failure mechanisms.
Figure 6.
Gate-voltage (VGS) and SC current (IDS) waveforms of three devices tested at fixed VDS of 600 V with various VGS. (a). Device SC5 tested under VGS (−5/15 V) (b). Device SC6 tested under VGS (−5/18 V) (c). Device SC2 tested under VGS (−5/20 V). This figure illustrates the progression of devices from normal operation during SC to the onset of gate failure.
In Figure 6a, at VGS = −5/15 V, the SCWT was recorded as 14 µs, with an Itail stabilizing at approximately 3.2 A. During the short-circuit event, the gate voltage experienced a minimal drop (Vdrop) of 0.2 V, indicating relatively low stress on the gate oxide. The ISC, peak reached 30 A, reflecting reduced channel conductivity due to the lower gate drive voltage.
Notably, in the VGS waveform, after the device had been turned off for 3.5 µs, VGS exhibited an unexpected rise from −5 V to −3.5 V, suggesting the onset of thermal stress and potential gate-source leakage. Despite this anomaly, the VDS remained stable throughout, indicating effective blocking by the body diode. The failure mechanism was identified as gate dielectric breakdown, marked by electrical changes indicating increased stress on the gate dielectric and the overall integrity of the device.
When tested at VGS = −5/18 V, the SCWT decreased to 12 µs, with Itail stabilizing at 3 A as shown in Figure 6b. The gate voltage exhibited a larger drop (Vdrop) of 0.6 V during the short-circuit event, indicating increased stress on the gate oxide compared to the −5/15 V condition. The ISC, peak reached 45 A, reflecting improved channel conductivity at the higher gate drive voltage. Similarly, in the VGS waveform, after the device has been turned off for 5 µs, VGS unexpectedly rose from −5 V to −3 V, again indicative of thermal stress leading to gate-source leakage. The consistent stability of VDS highlights the continued effectiveness of the body diode. The failure mechanism remained gate dielectric breakdown.
Under VGS = −5/20 V, the SCWT remained at 12 µs, with an Itail of 3.2 A as shown in Figure 6c. The gate voltage drop (Vdrop) is 0.6 V, reflecting the stress on the gate oxide. The ISC, peak reached 54 A, the highest value observed, indicating enhanced channel conductivity due to the increased gate drive voltage. In the VGS waveform, after the device has been turned off for 4.5 µs, VGS rose unexpectedly from −5 V to −2.5 V, a pattern consistent with the other conditions and indicative of thermal stress causing gate-source leakage. Despite irregularities in the VGS waveforms, the drain-source voltage blocking remained intact, whereas the gate-source terminals were found to be shorted upon inspection. Thus, gate dielectric breakdown is once again attributed as the device failure mechanism.
These results show a consistent trend of ISC, peak enhancement and reduction in SCWT with increasing VGS values, along with anomalies in the gate-source voltage waveform. Hence, these observations highlight thermal stress and its impact on the gate, eventually leading to gate failure. These findings underscore the importance of optimizing the gate driver to balance channel conductivity and device resilience for high-voltage applications, especially under high-stress environments.
4.3. SC Performance Metrics and Comparison
Figure 7a presents bar chart results for four devices (SC1, SC2, SC3, and SC4) tested under various VDS values of 400 V, 600 V, 800 V, and 1100 V, respectively. The SC1 device exhibited the longest SCWT of 32 µs, followed by SC2 with 12 µs, SC3 with 7 µs, and SC4 with the shortest SCWT of only 4 µs, indicating the worst performance. A clear trend emerges, where SCWT decreases as VDS increases, attributed to enhanced power dissipation and accelerated thermal runaway. This reduction in SCWT with increasing voltage stress highlights a limitation that needs attention to improve device resilience.
Figure 7.
Short-circuit (SC) performance metrics under varying VDS (ranging from 400 V to 1100 V): (a) SCWT, (b) SC energy, and (c) SC peak power.
Figure 7b illustrates the bar chart results of SC energy (ESC) for the same four devices tested under the same VDS values. SC1 achieved the highest ESC of 0.24 J, followed by SC2 with 0.18 J and SC3 with 0.16 J, whereas SC4 exhibited the lowest ESC of 0.11 J. This data reveals a clear downward trend in ESC with increasing VDS. This pattern is likely due to enhanced thermal dissipation and reduced energy accumulation time resulting from shorter SCWT at elevated VDS. These findings underscore the thermal management capabilities of the 1.7 kV devices.
The SC peak power results, illustrated in Figure 7c, demonstrate a consistent increase with increasing VDS. Device SC1 exhibited a peak power of 20 kW at 400 V, SC2 demonstrated 32 kW at 600 V, SC3 attained 44 kW at 800 V, and SC4 achieved 50 kW at 1100 V. These results reflect the higher energy dissipation at elevated voltage conditions while maintaining thermal and structural integrity.
SC energy density and SC current density measurements further highlight the robustness of 1.7 kV devices. SC energy density (ED) values decreased consistently with increasing VDS, with SC1 achieving 0.172 J/mm2 at 400 V and SC4 reducing to 0.079 J/mm2 at 1100 V, as shown in Figure 8a. Conversely, SC current density demonstrated a peak value of 40.28 A/mm2 for SC3 at 800 V before declining to 33.81 A/mm2 for SC4 at 1100 V (Figure 8b).
Figure 8.
Short-circuit (SC) performance metrics under varying VDS (ranging from 400 V to 1100 V): (a) SC energy density and (b) SC current density.
The SC current density increases from 400 V to 800 V due to the enhanced electric field driving higher carrier velocity in the JFET and drift regions, resulting in higher ISC, peak. However, beyond 800 V, at 1100 V, the SC current density declines could be attributed to the following factors:
- Reduction in peak SC (ISC, peak):
Short-circuit current density (JSC) is derived as
JSC = ISC, peak/Active Area
- In our experiments, the peak SC current values were measured as 51 A at 400 V, 54 A at 600 V, 56 A at 800 V, and 47 A at 1100 V. This reduction in ISC, peak at 1100 V directly results in a lower SC current density value.
- Thermal effects and phonon scattering: Higher VDS leads to significant power dissipation, causing a temperature rise in the JFET and drift regions. This increases phonon scattering, which reduces carrier mobility and lowers peak SC current, consequently decreasing SC current density.
- Electric field saturation: At 1100 V, the electric field in the JFET region becomes extremely strong, leading to carrier velocity saturation, where further increases in VDS do not proportionally enhance current.
- Localized stress and degradation: High electric field concentrations at extreme VDS cause self-heating and localized degradation in the JFET region, further limiting ISC, peak.
- The influence of circuit tolerances on VGS: Minor tolerances in the gate drive circuit components could also result in small fluctuations in VGS during the short-circuit event. These fluctuations, while minor, could influence the channel conductivity and therefore impact the SC current. At higher VDS (e.g., 1100 V), these small variations could become more pronounced due to the increased electric field stress, further contributing to the decline in SC current density.
The ability of 1700 V SiC MOSFETs to achieve an SCWT of 12 µs under 600 V test conditions demonstrates their robustness and suitability for high-voltage applications. While 600 V serves as a typical testing condition, it is also relevant for auxiliary power supplies in three-phase converters, where DC bus voltages often fall within a wide range of 300 V to 1000 V [35,36]. By achieving a 12 µs SCWT at 600 V even at elevated VGS levels, these devices represent a significant advancement over 1.2 kV counterparts, which typically achieve only 7 µs under similar electrical stress [27]. These results indicate that 1.7 kV SiC MOSFETs deliver excellent performance and are better suited for applications driven by high performance and reliability, particularly as they surpassed the industry-standard 10 µs SCWT benchmark under 600 V test conditions.
Figure 9 provides optical microscope (OM) images of all tested devices (SC1–SC6) post-decapsulation, highlighting failure mechanisms under various short-circuit (SC) test conditions. Enlarged views of the SiC chips offer detailed inspection of failure points.
Figure 9.
Optical microscope images of decapsulated SiC MOSFETs (SC1–SC6) with enlarged views of chips, after short-circuit testing. (a,b) SC1 and SC2, tested at 400 V and 600 V, show minimal damage. (c,d) SC3 and SC4, tested at 800 V and 1100 V, display severe thermal runaway damage with molten metal shorting electrodes. (e,f) SC5 and SC6, tested at 600 V under varying VGS (−5/16 V, −5/18 V), show intermediate damage. These images illustrate the progressive increase in failure severity with higher voltage stress.
Devices SC1 and SC2 (Figure 9a,b), tested at lower voltages (400 V and 600 V), display minimal damage, with SCWTs of 32 µs and 12 µs, respectively. However, SC1 exhibits slightly more damage compared to SC2, likely due to its prolonged SCWT at 400 V. Enlarged views confirm intact wire bonds and minimal material degradation, indicating limited thermal stress.
In contrast, devices SC3 and SC4 (Figure 9c,d), tested at higher voltages (800 V and 1100 V), suffer catastrophic failure. Enlarged views reveal molten metal shorting the electrodes and severe thermal damage across the chip surface, confirming thermal runaway as the dominant failure mechanism. Extensive burn marks and melted structures reflect the significant instantaneous temperature rise during SC events at elevated voltages.
Devices SC5 and SC6 (Figure 9e,f), tested at 600 V under varying VGS conditions (−5/16 V and −5/18 V), exhibit intermediate damage levels, similar to SC2. However, SC5 shows greater physical damage than SC6, attributed to its longer SCWT (14 µs compared to 12 µs).
These results underscore the interplay between SCWT and VDS in determining the extent of thermal and physical damage. While higher VDS accelerates thermal runaway, prolonged SCWT at lower voltages can result in comparable damage. These findings highlight the critical importance of robust thermal and electrical management in device designs for high-power applications.
5. Conclusions
In this paper, the short circuit (SC) robustness of commercially available 1.7 kV SiC MOSFETs has been comprehensively evaluated under varying drain-source voltages (400 V, 600 V, 800 V, and 1100 V) and gate-source voltages (−5 V/15 V, −5 V/18 V, and −5 V/20 V). The results showed a clear tradeoff between SC withstand time (SCWT) and applied voltage, with SCWT values decreasing with increasing VDS from 32 µs at 400 V to 4 µs at 1100 V. However, under 600 V—a scenario close to the practical rated voltage for applications—the devices achieved an SCWT of 12 µs, surpassing the conventional industry benchmark of 10 µs. This performance underscores the potential of 1.7 kV SiC MOSFETs for high-voltage applications requiring durability and efficiency.
While no fundamentally new failure mechanisms were observed in the 1.7 kV SiC MOSFET device, the primary failure modes were consistent with those reported for 1.2 kV devices. Moreover, in our study we found that devices tested ≤ 600 V demonstrated gate dielectric or gate degradation failures, while devices tested at 800–1100 V exhibited thermal runaway as the dominant failure mode.
The failure behavior, as characterized electrically and through optical microscopy, suggested signs of gate oxide degradation and thermal runaway, emphasizing the importance of robust gate drive designs and effective thermal management strategies. The influence of gate-source voltage revealed a trade-off between increased channel conductivity and device stability, further reinforcing the need for optimal operating conditions.
This study is limited to the evaluation of SC robustness for a single vendor’s devices. Future studies should extend research to include multiple devices from different vendors and across various generations to enhance the understanding of 1.7 kV SiC MOSFETs. Moreover, the systematic post SC failure should also be analyzed through standard methods, i.e., Lock-in Thermal Emission Microscopy (LITEM) or Focused Ion Beam (FIB) techniques; this could provide deeper insights into physical degradation. The aid of simulations to explore device physics and the detailed analysis on how specific design features affect SC performance is also very important. Exploring these factors will provide deeper insights into SC performance of the emerging 1.7 kV SiC MOSFET and help its widespread adoption in high-power applications.
Author Contributions
Conceptualization, S.M. and N.R.; methodology, K.S. and N.R.; experiments, S.M.; validation, Y.W. and S.M.; formal analysis, S.M.; investigation, S.M.; resources, N.R.; data curation, S.M.; writing—original draft preparation, S.M.; writing—review and editing, C.W., Y.W. and N.R.; funding acquisition, N.R., H.X., J.W. and K.S. All authors have read and agreed to the published version of the manuscript.
Funding
This research was supported by “Leading Goose” R&D Program of Zhejiang under Grant 2024C01113 and Zhejiang Provincial Natural Science Foundation of China under Grant LD24F040003—The APC was funded by ZJU-Hangzhou Global Scientific and Technological Innovation Center, Hangzhou 311200, China. The funder was not involved in the study design, collection, analysis, interpretation of data, the writing of this article, or the decision to submit it for publication.
Data Availability Statement
The data presented in this study are available on request from the corresponding author.
Conflicts of Interest
Author Jiakun Wang has affiliations with Hangzhou Silicon Magic Semiconductor Technology Co., Ltd. The remaining authors declare that the research was conducted in the absence of any commercial or financial relationships that could be construed as a potential conflict of interest.
References
- Wang, J.; Jiang, X. Review and analysis of SiC MOSFETs’ ruggedness and reliability. IET Power Electron. 2020, 13, 445–455. [Google Scholar] [CrossRef]
- Ceccarelli, L.; Reigosa, P.D.; Iannuzzo, F.; Blaabjerg, F. A survey of SiC power MOSFETs short-circuit robustness and failure mode analysis. Microelectron. Reliab. 2017, 76–77, 272–276. [Google Scholar] [CrossRef]
- Xu, H. SiC MOSFETs—The Inevitable Trend for 800V Electric Vehicle Air Conditioning Compressors. IEEE Trans. Veh. Technol. 2024, 1–14. [Google Scholar] [CrossRef]
- Shi, B. A Review of Silicon Carbide MOSFETs in Electrified Vehicles: Application, Challenges, and Future Development; John Wiley and Sons Inc.: Hoboken, NJ, USA, 2023. [Google Scholar]
- Giannakis, A.; Peftitsis, D. MVDC distribution grids and potential applications: Future trends and protection challenges. In Proceedings of the 2018 20th European Conference on Power Electronics and Applications (EPE’18 ECCE Europe), Riga, Latvia, 17–21 September 2018. [Google Scholar]
- She, X.; Huang, A.Q.; Lucia, O.; Ozpineci, B. Review of Silicon Carbide Power Devices and Their Applications. IEEE Trans. Ind. Electron. 2017, 64, 8193–8205. [Google Scholar] [CrossRef]
- Sun, J.; Xu, H.; Wu, X.; Yang, S.; Guo, Q.; Sheng, K. Short circuit capability and high temperature channel mobility of SiC MOSFETs. In Proceedings of the International Symposium on Power Semiconductor Devices and ICs, Sapporo, Japan, 28 May–1 June 2017; pp. 399–402. [Google Scholar]
- Wang, Z. Temperature-Dependent Short-Circuit Capability of Silicon Carbide Power MOSFETs. IEEE Trans. Power Electron. 2016, 31, 1555–1566. [Google Scholar] [CrossRef]
- Castellazzi, A.; Fayyaz, A.; Romano, G.; Yang, L.; Riccio, M.; Irace, A. SiC power MOSFETs performance, robustness and technology maturity. Microelectron. Reliab. 2016, 58, 164–176. [Google Scholar] [CrossRef]
- Dong, D.; Agamy, M.; Bebic, J.Z. A Modular SiC High-Frequency Solid-State Transformer for Medium-Voltage Applications: Design, Implementation, and Testing. IEEE J. Emerg. Sel. Top. Power Electron. 2019, 7, 768–778. [Google Scholar] [CrossRef]
- Hruska, M.; Bhatnagar, P.; Sleven, M. Benefits of Using the New 1700V and 3300V High Power Modules for Traction Applications. In Proceedings of the PCIM Europe Digital Days 2021; International Exhibition and Conference for Power Electronics, Intelligent Motion, Renewable Energy and Energy Management, Online, 3–7 May 2021. [Google Scholar]
- Cao, L.; Gao, Z.; Guo, Q.; Sheng, K. Experimental Investigations of SiC MOSFETs under Short-Circuit Operations. In Proceedings of the ISPSD, Shanghai, China, 19–23 May 2019; pp. 227–230. [Google Scholar]
- Deng, X.; Hu, B. 1200-V SiC MOSFET Short-Circuit Ruggedness Evaluation and Methods to Improve Withstand Time. IEEE J Emerg. Sel. Top Power Electron. 2022, 10, 5059–5069. [Google Scholar]
- Pala, V.; Wang, G.; Hull, B.; Allen, S.; Casady, J.; Palmour, J. Record-low 10 mω SiC MOSFETs in TO-247, rated at 900V. In Proceedings of the Conference Proceedings—IEEE-APEC, Long Beach, CA, USA, 20–24 March 2016; pp. 979–982. [Google Scholar]
- Deng, X. Short-Circuit Capability Prediction and Failure Mode of Asymmetric and Double Trench SiC MOSFETs. IEEE Trans. Power Electron. 2021, 36, 8300–8307. [Google Scholar] [CrossRef]
- Reigosa, P.D.; Iannuzzo, F.; Ceccarelli, L. Failure Analysis of a Degraded 1.2 kV SiC MOSFET after Short Circuit at High Temperature. In Proceedings of the 2018 IEEE International Symposium on the Physical and Failure Analysis of Integrated Circuits (IPFA), Singapore, 16–19 July 2018. [Google Scholar]
- Jiang, X. Failure modes and mechanism analysis of SiC MOSFET under short-circuit conditions. Microelectron. Reliab. 2018, 88–90, 593–597. [Google Scholar] [CrossRef]
- Yu, R. Degradation Analysis of Planar, Symmetrical and Asymmetrical Trench SiC MOSFETs Under Repetitive Short Circuit Impulses. IEEE Trans. Power Electron. 2023, 38, 10933–10946. [Google Scholar] [CrossRef]
- Zhang, Z.; Liang, L.; Fei, H. Investigation on safe-operating-area degradation and failure modes of SiC MOSFETs under repetitive short-circuit conditions. Power Electron. Devices Compon. 2023, 4, 100026. [Google Scholar] [CrossRef]
- Lyu, G.; Ali, H.; Tan, H.; Peng, L.; Ding, X. Review on Short-Circuit Protection Methods for SiC MOSFETs. Energies 2024, 17, 4523. [Google Scholar] [CrossRef]
- Anwar, M.A.; Ali, M.; Pu, D.; Bodepudi, S.C.; Lv, J.; Shehzad, K.; Wang, X.; Imran, A.; Zhao, Y.; Dong, S.; et al. Graphene-Silicon Diode for 2-D Heterostructure Electrical Failure Protection. IEEE J. Electron Devices Soc. 2022, 10, 970–975. [Google Scholar] [CrossRef]
- Lee, J.H.; Kang, E.G. A Study on the Electrical Properties of High Voltage SiC Power MOSFET with Double Trench Structures. In Proceedings of the 2023 IEEE Workshop on Wide Bandgap Power Devices and Applications in Asia (WiPDA Asia), Hsinchu, Taiwan, 27–29 August 2023. [Google Scholar]
- Bolotnikov, A.; Losee, P.; Ghandi, R.; Halverson, A.; Stevanovic, L. Optimization of 1700V SIC MOSFET for Short Circuit Ruggedness; Materials Science Forum, Trans Tech Publications Ltd.: Bäch, Switzerland, 2019; pp. 801–804. [Google Scholar]
- Wolfspeed/CREE. C2M1000170D Datasheet. Available online: https://assets.wolfspeed.com/uploads/2024/01/Wolfspeed_C2M1000170D_data_sheet.pdf (accessed on 24 September 2024).
- Littlefuse. IGBT, IXBH16N170 Datasheet. Available online: https://www.littelfuse.com/assetdocs/littelfuse-discrete-igbts-ixb-16n170-datasheet?assetguid=803acd33-1022-4639-8291-dfbc7a628038 (accessed on 24 September 2024).
- Makhdoom, S.; Ren, N.; Wang, C.; Wu, Y.; Wang, H.; Sheng, K. Comparative Evaluation of Short Circuit Robustness Across Generation of 1.2kV SiC MOSFETs. J. Phys. Conf. Ser. 2024, 2809, 012002. [Google Scholar] [CrossRef]
- Makhdoom, S.; Ren, N.; Wang, C.; Lin, C.; Wu, Y.; Sheng, K. Comprehensive Short Circuit Behavior and Failure Analysis of 1.2 kV SiC MOSFETs Across Multiple Vendors and Generations. IEEE Access 2024, 12, 191442–191460. [Google Scholar] [CrossRef]
- Namai, M.; An, J.; Yano, H.; Iwamuro, N. Investigation of short-circuit failure mechanisms of SiC MOSFETs by varying DC bus voltage. Jpn. J. Appl. Phys. 2018, 57, 074102. [Google Scholar] [CrossRef]
- Reigosa, P.D.; Iannuzzo, F.; Ceccarelli, L. Effect of short-circuit stress on the degradation of the SiO2 dielectric in SiC power MOSFETs. Microelectron. Reliab. 2018, 88–90, 577–583. [Google Scholar] [CrossRef]
- Boige, F.; Richardeau, F. Gate leakage-current analysis and modelling of planar and trench power SiC MOSFET devices in extreme short-circuit operation. Microelectron. Reliab. 2017, 76–77, 532–538. [Google Scholar] [CrossRef]
- Nguyen, T.T.; Ahmed, A.; Thang, T.V.; Park, J.H. Gate Oxide Reliability Issues of SiC MOSFETs Under Short-Circuit Operation. IEEE Trans. Power Electron. 2015, 30, 2445–2455. [Google Scholar] [CrossRef]
- Liu, J.; Zhang, G.; Wang, B.; Li, W.; Wang, J. Gate failure physics of SiC MOSFETs under short-circuit stress. IEEE Electron Device Lett. 2020, 41, 103–106. [Google Scholar] [CrossRef]
- Zou, Y.; Wang, J.; Xu, H.; Wang, H. Investigation of SiC Trench MOSFETs’ Reliability under Short Circuit Conditions. Materials 2022, 15, 598. [Google Scholar] [CrossRef] [PubMed]
- Han, K.; Kanale, A.; Baliga, B.J.; Ballard, B.; Morgan, A.; Hopkins, D.C. New short-circuit failure mechanism for 1.2 Kv 4H-SiC MOSFETs and JBS FETs. In Proceedings of the 2018 IEEE 6th Workshop on Wide Bandgap Power Devices and Applications (WiPDA), Atlanta, GA, USA, 31 October–2 November 2018; pp. 108–113. [Google Scholar]
- Wide Range Input Auxiliary Power Supply, for Three Phase Power Converter, Application Notes. Available online: https://www.pnjsemi.com/mtsc/uploads/single/PNDM17P650A1_HV_flyback_Aux-Power_Application_Ver1.1_%281%29.pdf (accessed on 24 November 2024).
- IMBF170R650M1. Infenion 1700V SiC MOSFET. Available online: https://www.infineon.com/cms/en/product/power/mosfet/silicon-carbide/discretes/imbf170r650m1/ (accessed on 24 November 2024).
Disclaimer/Publisher’s Note: The statements, opinions and data contained in all publications are solely those of the individual author(s) and contributor(s) and not of MDPI and/or the editor(s). MDPI and/or the editor(s) disclaim responsibility for any injury to people or property resulting from any ideas, methods, instructions or products referred to in the content. |
© 2025 by the authors. Licensee MDPI, Basel, Switzerland. This article is an open access article distributed under the terms and conditions of the Creative Commons Attribution (CC BY) license (https://creativecommons.org/licenses/by/4.0/).








