A Retrospective Analysis of 10 Years of Liver Surveillance Undertaken in Uveal Melanoma Patients Treated at the Supraregional “Liverpool Ocular Oncology Centre”, UK
Abstract
:Simple Summary
Abstract
1. Introduction
2. Results
2.1. Baseline Characteristics of the Patients
2.2. Prognostic Factors Related to the Risk of Metastatic Disease
2.3. Liver Screening Analysis
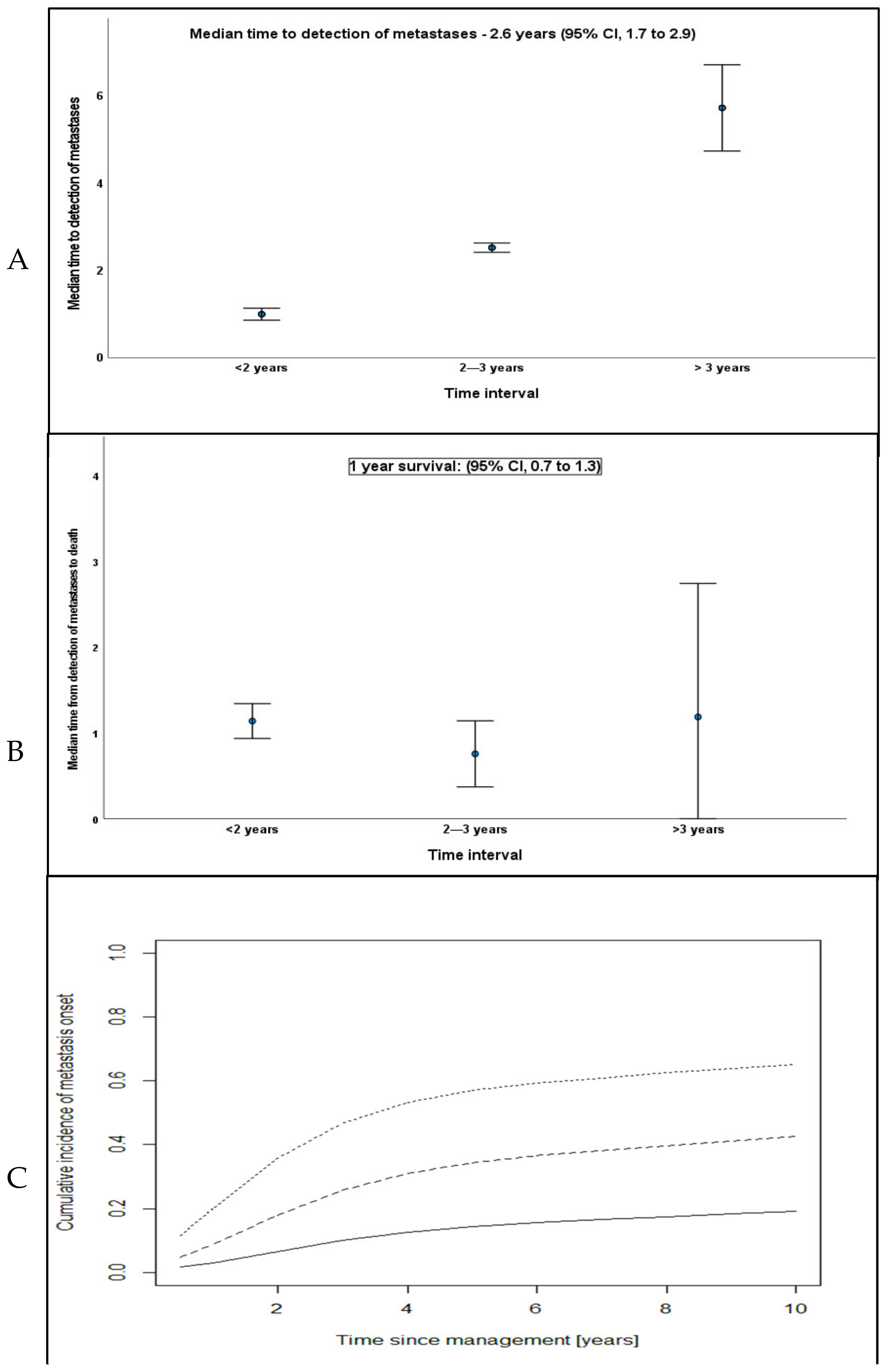
2.4. Characteristics of Metastatic UM, Survival Analyses, and LUMPO3 Predictions
2.5. Survival for UM Patients Who Underwent Metastasectomy
3. Discussion
4. Methods
4.1. Patients
4.2. Data Collection
4.3. Categorization of the Primary Tumors
4.4. Description of Imaging Modality, Frequency, and Regularity
4.5. Description of the Metastases Found
4.6. Time to Detection
4.7. Statistical Analysis
5. Conclusions
Supplementary Materials
Author Contributions
Funding
Institutional Review Board Statement
Informed Consent Statement
Data Availability Statement
Conflicts of Interest
References
- Carvajal, R.D.; Schwartz, G.K.; Tezel, T.; Marr, B.; Francis, J.H.; Nathan, P.D. Metastatic disease from uveal melanoma: Treatment options and future prospects. Br. J. Ophthalmol. 2017, 101, 38–44. [Google Scholar] [CrossRef] [Green Version]
- Abdel-Rahman, M.H.; Cebulla, C.M.; Verma, V.; Christopher, B.N.; Carson, W.E., III; Olencki, T.; Davidorf, F.H. Monosomy 3 status of uveal melanoma metastases is associated with rapidly progressive tumors and short survival. Exp. Eye Res. 2012, 100, 26–31. [Google Scholar] [CrossRef] [Green Version]
- Hawkins, B.S. Collaborative ocular melanoma study randomized trial of i-125 brachytherapy. Clin. Trials 2011, 8, 661–673. [Google Scholar] [CrossRef]
- Hawkins, B.S. The coms randomized trial of iodine 125 brachytherapy for choroidal melanoma: V. Twelve-year mortality rates and prognostic factors: Coms report no. 28. Arch. Ophthalmol. 2006, 124, 1684–1693. [Google Scholar]
- Finger, P.T. Radiation therapy for choroidal melanoma. Surv. Ophthalmol. 1997, 42, 215–232. [Google Scholar] [CrossRef]
- Chang, M.Y.; McCannel, T.A. Local treatment failure after globe-conserving therapy for choroidal melanoma. Br. J. Ophthalmol. 2013, 97, 804–811. [Google Scholar] [CrossRef]
- Diener-West, M.; Hawkins, B.S.; Markowitz, J.A.; Schachat, A.P. A review of mortality from choroidal melanoma. Ii. A meta-analysis of 5-year mortality rates following enucleation, 1966 through 1988. Arch. Ophthalmol. 1992, 110, 245–250. [Google Scholar] [CrossRef]
- Kujala, E.; Makitie, T.; Kivela, T. Very long-term prognosis of patients with malignant uveal melanoma. Investig. Ophthalmol. Vis. Sci. 2003, 44, 4651–4659. [Google Scholar] [CrossRef] [Green Version]
- Burr, J.M.; Mitry, E.; Rachet, B.; Coleman, M.P. Survival from uveal melanoma in england and wales 1986 to 2001. Ophthalmic Epidemiol. 2007, 14, 3–8. [Google Scholar] [CrossRef]
- Diener-West, M.; Reynolds, S.M.; Agugliaro, D.J.; Caldwell, R.; Cumming, K.; Earle, J.D.; Hawkins, B.S.; Hayman, J.A.; Jaiyesimi, I.; Jampol, L.M.; et al. Development of metastatic disease after enrollment in the coms trials for treatment of choroidal melanoma: Collaborative ocular melanoma study group report no. 26. Arch. Ophthalmol. 2005, 123, 1639–1643. [Google Scholar] [PubMed]
- Rietschel, P.; Panageas, K.S.; Hanlon, C.; Patel, A.; Abramson, D.H.; Chapman, P.B. Variates of survival in metastatic uveal melanoma. J. Clin. Oncol. 2005, 23, 8076–8080. [Google Scholar] [CrossRef] [PubMed]
- Group, C.O.M.S. The collaborative ocular melanoma study (coms) randomized trial of pre-enucleation radiation of large choroidal melanoma iii: Local complications and observations following enucleation coms report no. 11. Am. J. Ophthalmol. 1998, 126, 362–372. [Google Scholar]
- Diener-West, M.; Earle, J.; Fine, S.; Hawkins, B.; Moy, C.; Reynolds, S.; Schachat, A.; Straatsma, B. The coms randomized trial of iodine 125 brachytherapy for choroidal melanoma, ii: Characteristics of patients enrolled and not enrolled. Coms report no. 17. Arch. Ophthalmol. 2001, 119, 951–965. [Google Scholar] [PubMed] [Green Version]
- Shields, J.A.; Augsburger, J.J.; Donoso, L.A.; Bernardino, V.B., Jr.; Portenar, M. Hepatic metastasis and orbital recurrence of uveal melanoma after 42 years. Am. J. Ophthalmol. 1985, 100, 666–668. [Google Scholar] [CrossRef]
- Marshall, E.; Romaniuk, C.; Ghaneh, P.; Wong, H.; McKay, M.; Chopra, M.; Coupland, S.E.; Damato, B.E. Mri in the detection of hepatic metastases from high-risk uveal melanoma: A prospective study in 188 patients. Br. J. Ophthalmol. 2013, 97, 159–163. [Google Scholar] [CrossRef]
- Bedikian, A.Y.; Legha, S.S.; Mavligit, G.; Carrasco, C.H.; Khorana, S.; Plager, C.; Papadopoulos, N.; Benjamin, R.S. Treatment of uveal melanoma metastatic to the liver. A review of the md anderson cancer center experience and prognostic factors. Cancer 1995, 76, 1665–1670. [Google Scholar] [CrossRef]
- Gragoudas, E.S.; Egan, K.M.; Seddon, J.M.; Glynn, R.J.; Walsh, S.M.; Finn, S.M.; Munzenrider, J.E.; Spar, M.D. Survival of patents with metastases from uveal melanoma. Ophthalmology 1991, 98, 383–390. [Google Scholar] [CrossRef]
- Nathan, P.; Hassel, J.C.; Rutkowski, P.; Baurain, J.F.; Butler, M.O.; Schlaak, M.; Sullivan, R.J.; Ochsenreither, S.; Dummer, R.; Kirkwood, J.M.; et al. Overall survival benefit with tebentafusp in metastatic uveal melanoma. N. Engl. J. Med. 2021, 385, 1196–1206. [Google Scholar] [CrossRef]
- Modi, S.; Gibson, T.; Vigneswaran, G.; Patel, S.; Wheater, M.; Karydis, I.; Gupta, S.; Takhar, A.; Pearce, N.; Ottensmeier, C. Chemosaturation with percutaneous hepatic perfusion of melphalan for metastatic uveal melanoma. Melanoma Res. 2022, 32, 103. [Google Scholar] [CrossRef]
- Damato, B.; Duke, C.; Coupland, S.E.; Hiscott, P.; Smith, P.A.; Campbell, I.; Douglas, A.; Howard, P. Cytogenetics of uveal melanoma: A 7-year clinical experience. Ophthalmology 2007, 114, 1925–1931.e1921. [Google Scholar] [CrossRef]
- Eleuteri, A.; Taktak, A.F.; Coupland, S.E.; Heimann, H.; Kalirai, H.; Damato, B. Prognostication of metastatic death in uveal melanoma patients: A markov multi-state model. Comput. Biol. Med. 2018, 102, 151–156. [Google Scholar] [CrossRef] [PubMed]
- Kivelä, T.; Kujala, E. Prognostication in eye cancer: The latest tumor, node, metastasis classification and beyond. Eye 2013, 27, 243–252. [Google Scholar] [CrossRef] [Green Version]
- Royer-Bertrand, B.; Torsello, M.; Rimoldi, D.; El Zaoui, I.; Cisarova, K.; Pescini-Gobert, R.; Raynaud, F.; Zografos, L.; Schalenbourg, A.; Speiser, D. Comprehensive genetic landscape of uveal melanoma by whole-genome sequencing. Am. J. Hum. Genet. 2016, 99, 1190–1198. [Google Scholar] [CrossRef] [PubMed] [Green Version]
- White, V.A.; Chambers, J.D.; Courtright, P.D.; Chang, W.Y.; Horsman, D.E. Correlation of cytogenetic abnormalities with the outcome of patients with uveal melanoma. Cancer 1998, 83, 354–359. [Google Scholar] [CrossRef]
- Scholes, A.G.; Damato, B.E.; Nunn, J.; Hiscott, P.; Grierson, I.; Field, J.K. Monosomy 3 in uveal melanoma: Correlation with clinical and histologic predictors of survival. Investig. Ophthalmol. Vis. Sci. 2003, 44, 1008–1011. [Google Scholar] [CrossRef] [PubMed] [Green Version]
- Damato, B.; Dopierala, J.; Klaasen, A.; van Dijk, M.; Sibbring, J.; Coupland, S.E. Multiplex ligation-dependent probe amplification of uveal melanoma: Correlation with metastatic death. Investig. Ophthalmol. Vis. Sci. 2009, 50, 3048–3055. [Google Scholar] [CrossRef] [PubMed] [Green Version]
- Rospond-Kubiak, I.; Wroblewska-Zierhoffer, M.; Twardosz-Pawlik, H.; Kociecki, J. The liverpool uveal melanoma prognosticator online (lumpo) for prognosing metastasis free survival in the absence of cytogenetic data after ruthenium brachytherapy for uveal melanoma. Acta Ophthalmol. 2015, 93. [Google Scholar] [CrossRef]
- DeParis, S.W.; Taktak, A.; Eleuteri, A.; Enanoria, W.; Heimann, H.; Coupland, S.E.; Damato, B. External validation of the liverpool uveal melanoma prognosticator online. Investig. Ophthalmol. Vis. Sci. 2016, 57, 6116–6122. [Google Scholar] [CrossRef] [Green Version]
- Cunha Rola, A.; Taktak, A.; Eleuteri, A.; Kalirai, H.; Heimann, H.; Hussain, R.; Bonnett, L.J.; Hill, C.J.; Traynor, M.; Jager, M.J. Multicenter external validation of the liverpool uveal melanoma prognosticator online: An oog collaborative study. Cancers 2020, 12, 477. [Google Scholar] [CrossRef] [Green Version]
- Eleuteri, A.; Rola, A.C.; Kalirai, H.; Hussain, R.; Sacco, J.; Damato, B.E.; Heimann, H.; Coupland, S.E.; Taktak, A.F.G. Cost-utility analysis of a decade of liver screening for metastases using the liverpool uveal melanoma prognosticator online (lumpo). Comput. Biol. Med. 2021, 130, 104221. [Google Scholar] [CrossRef]
- Aaberg, T.M., Jr.; Cook, R.W.; Oelschlager, K.; Maetzold, D.; Rao, P.K.; Mason, J.O., 3rd. Current clinical practice: Differential management of uveal melanoma in the era of molecular tumor analyses. Clin. Ophthalmol. 2014, 8, 2449–2460. [Google Scholar] [CrossRef] [PubMed] [Green Version]
- Nathan, P.; Cohen, V.; Coupland, S.; Curtis, K.; Damato, B.; Evans, J.; Fenwick, S.; Kirkpatrick, L.; Li, O.; Marshall, E.; et al. Uveal melanoma uk national guidelines. Eur. J. Cancer 2015, 51, 2404–2412. [Google Scholar] [CrossRef] [PubMed] [Green Version]
- Nebhan, C.A.; Johnson, D.B.; Deppen, S.A.; Daniels, A.B. Surveillance for metastatic disease. In Uveal Melanoma: Biology and Management; Bernicker, E.H., Ed.; Springer International Publishing: Cham, Switzerland, 2021; pp. 153–171. [Google Scholar]
- Diener-West, M.; Reynolds, S.M.; Agugliaro, D.J.; Caldwell, R.; Cumming, K.; Earle, J.D.; Green, D.L.; Hawkins, B.S.; Hayman, J.; Jaiyesimi, I. Screening for metastasis from choroidal melanoma: The collaborative ocular melanoma study group report 23. J. Clin. Oncol. 2004, 22, 2438–2444. [Google Scholar] [CrossRef] [PubMed]
- Rantala, E.S.; Hernberg, M.M.; Lundin, M.; Lundin, J.; Kivelä, T.T. Metastatic uveal melanoma managed with best supportive care. Acta Oncol. 2021, 60, 135–139. [Google Scholar] [CrossRef]
- Eskelin, S.; Pyrhonen, S.; Summanen, P.; Prause, J.U.; Kivela, T. Screening for metastatic malignant melanoma of the uvea revisited. Cancer 1999, 85, 1151–1159. [Google Scholar] [CrossRef]
- Frenkel, S.; Nir, I.; Hendler, K.; Lotem, M.; Eid, A.; Jurim, O.; Pe’er, J. Long-term survival of uveal melanoma patients after surgery for liver metastases. Br. J. Ophthalmol. 2009, 93, 1042–1046. [Google Scholar] [CrossRef]
- Gomez, D.; Wetherill, C.; Cheong, J.; Jones, L.; Marshall, E.; Damato, B.; Coupland, S.; Ghaneh, P.; Poston, G.; Malik, H. The liverpool uveal melanoma liver metastases pathway: Outcome following liver resection. J. Surg. Oncol. 2014, 109, 542–547. [Google Scholar] [CrossRef]
- Rantala, E.S.; Peltola, E.; Helminen, H.; Hernberg, M.; Kivelä, T.T. Hepatic ultrasonography compared with computed tomography and magnetic resonance imaging at diagnosis of metastatic uveal melanoma. Am. J. Ophthalmol. 2020, 216, 156–164. [Google Scholar] [CrossRef]
- Balasubramanya, R.; Selvarajan, S.K.; Cox, M.; Joshi, G.; Deshmukh, S.; Mitchell, D.G.; O’Kane, P. Imaging of ocular melanoma metastasis. Br. J. Radiol. 2016, 89, 20160092. [Google Scholar] [CrossRef] [Green Version]
- Rivoire, M.; Kodjikian, L.; Baldo, S.; Kaemmerlen, P.; Négrier, S.; Grange, J.-D. Treatment of liver metastases from uveal melanoma. Ann. Surg. Oncol. 2005, 12, 422–428. [Google Scholar] [CrossRef]
- Lane, A.M.; Kim, I.K.; Gragoudas, E.S. Survival rates in patients after treatment for metastasis from uveal melanoma. JAMA Ophthalmol. 2018, 136, 981–986. [Google Scholar] [CrossRef] [PubMed]
- Lorigan, J.G.; Wallace, S.; Mavligit, G.M. The prevalence and location of metastases from ocular melanoma: Imaging study in 110 patients. AJR Am. J. Roentgenol. 1991, 157, 1279–1281. [Google Scholar] [CrossRef] [PubMed]
- Hand, F.; Doherty, S.; Gullo, G.; Geoghegan, J.; Crown, J.; Hoti, E. Metastatic uveal melanoma: A valid indication for liver resection. J. BUON Off. J. Balk. Union Oncol. 2020, 25, 1161–1165. [Google Scholar]
- Piperno-Neumann, S.; Servois, V.; Mariani, P.; Plancher, C.; Lévy-Gabriel, C.; Lumbroso-Le Rouic, L.; Couturier, J.; Asselain, B.; Desjardins, L.; Cassoux, N. Prospective study of surveillance testing for metastasis in 100 high-risk uveal melanoma patients. J. Fr. Ophtalmol. 2015, 38, 526–534. [Google Scholar] [CrossRef]
- Servois, V.; Bouhadiba, T.; Dureau, S.; Da Costa, C.; Almubarak, M.M.; Foucher, R.; Savignoni, A.; Cassoux, N.; Pierron, G.; Mariani, P. Iterative treatment with surgery and radiofrequency ablation of uveal melanoma liver metastasis: Retrospective analysis of a series of very long-term survivors. Eur. J. Surg. Oncol. 2019, 45, 1717–1722. [Google Scholar] [CrossRef]




| Patient’s Features | Total | (%) |
|---|---|---|
| Median age at primary treatment (Range) | 61 years (22–94 years) | |
| Gender | ||
| Male | 337 | 55% |
| Female | 278 | 45% |
| Tumors Median Largest Basal Diameter (range) | 14.6 mm (2.4–26 mm) | |
| Tumors Median Ultrasound Height (range) | 6.3 mm (0.7–20.2 mm) | |
| Ciliary body involvement | ||
| No | 432 | 70% |
| Yes | 183 | 30% |
| Extraocular melanoma | ||
| No | 558 | 91% |
| Yes | 57 | 9% |
| Epithelioid cells present | ||
| No | 244 | 40% |
| Yes | 334 | 54% |
| N/A 1 | 37 | 6% |
| Closed PAS+ Loops present | ||
| No | 125 | 20% |
| Yes | 238 | 39% |
| N/A 2 | 252 | 41% |
| Mitotic count | ||
| 0–1 | 31 | 5% |
| 2–3 | 121 | 20% |
| 4–7 | 141 | 23% |
| >7 | 76 | 12% |
| N/A 2 | 246 | 40% |
| Chromosome 1p | ||
| Normal | 257 | 42% |
| Loss | 135 | 22% |
| Other 1 | 40 | 6% |
| N/A 3 | 183 | 30% |
| Chromosome 3 | ||
| Normal | 158 | 26% |
| Loss | 330 | 54% |
| Other 2 | 62 | 10% |
| N/A 4 | 65 | 10% |
| Chromosome 6p | ||
| Normal | 216 | 35% |
| Gain | 137 | 22% |
| Other 3 | 79 | 13% |
| N/A 3 | 183 | 30% |
| Chromosome 6q | ||
| Normal | 293 | 48% |
| Loss/Gain | 98 | 16% |
| Other 4 | 41 | 6% |
| N/A 3 | 183 | 30% |
| Chromosome 8p | ||
| Normal | 271 | 44% |
| Loss/Gain | 129 | 21% |
| Other 4 | 32 | 5% |
| N/A 3 | 183 | 30% |
| Chromosome 8q | ||
| Normal | 139 | 23% |
| Gain | 257 | 42% |
| Other 3 | 37 | 6% |
| N/A 3 | 182 | 29% |
| Follow-up time (years) | ||
| Median | 5.1 years | |
| Range | (0.2–32 years) | |
| Status | ||
| Alive | 375 | 61% |
| Dead | 240 | 39% |
| Cause of death | ||
| Metastatic | 187 | 78% |
| Other | 24 | 10% |
| Unknown | 29 | 12% |
| Modality of Scans | Number of Patients | (%) | Number of Scans | (%) | Number of Metastases | (%) | Number of Events | (%) | Censored | (%) | Median Survival (Years) | 95% Confidence Interval | |
|---|---|---|---|---|---|---|---|---|---|---|---|---|---|
| Lower | Upper | ||||||||||||
| MRI | 137 | (22%) | 983 | (26%) | 30 | (13%) | 33 | (24%) | 104 | (76%) | 23.014 | 20.278 | 25.750 |
| CT | 3 | (0.5%) | 7 | (0.2) | 1 | (0.4%) | 2 | (67%) | 1 | (33%) | 4.633 | 0.000 | 9.419 |
| US | 239 | (39%) | 513 | (13%) | 56 | (25%) | 84 | (35%) | 155 | (55%) | 14.116 | 12.455 | 15.777 |
| MRI + CT | 36 | (6%) | 400 | (10%) | 26 | (11%) | 21 | (58%) | 15 | (42%) | 7.656 | 5.907 | 9.404 |
| MRI + US | 87 | (14%) | 644 | (17%) | 25 | (11%) | 28 | (32%) | 59 | (68%) | 10.225 | 8.641 | 11.810 |
| CT + US | 18 | (3%) | 84 | (2%) | 7 | (3%) | 10 | (56%) | 8 | (44%) | 6.630 | 4.790 | 8.469 |
| MRI + CT + US | 95 | (15%) | 1223 | (32%) | 84 | (37%) | 62 | (65%) | 33 | (35%) | 7.375 | 5.777 | 8.974 |
| Overall | 615 | 3854 | 229 | (37%) | 240 | (39%) | 375 | (61%) | 17.067 | 15.576 | 18.557 | ||
| Groups | Total Number of Patients (%) | Number of Events % | Censored % | Sig. | Median Survival (Years) | 95% Confidence Interval | ||||
|---|---|---|---|---|---|---|---|---|---|---|
| Lower | Upper | |||||||||
| 1 | 108 | 17.6% | 100 | 92.6% | 8 | 7.4% | p < 0.001 | 2.011 | 1.791 | 2.232 |
| 2 | 121 | 19.6% | 94 | 77.7% | 27 | 22.3% | p < 0.001 | 6.810 | 5.778 | 7.841 |
| 3 | 386 | 62.8% | 46 | 11.9% | 340 | 88.1% | p < 0.001 | 26.484 | 24.847 | 28.071 |
| Overall | 615 | 100% | 240 | 30.3% | 375 | 61.1% | 5.065 | 15.440 | 18.471 | |
Publisher’s Note: MDPI stays neutral with regard to jurisdictional claims in published maps and institutional affiliations. |
© 2022 by the authors. Licensee MDPI, Basel, Switzerland. This article is an open access article distributed under the terms and conditions of the Creative Commons Attribution (CC BY) license (https://creativecommons.org/licenses/by/4.0/).
Share and Cite
Rola, A.C.; Kalirai, H.; Taktak, A.F.G.; Eleuteri, A.; Krishna, Y.; Hussain, R.; Heimann, H.; Coupland, S.E. A Retrospective Analysis of 10 Years of Liver Surveillance Undertaken in Uveal Melanoma Patients Treated at the Supraregional “Liverpool Ocular Oncology Centre”, UK. Cancers 2022, 14, 2187. https://doi.org/10.3390/cancers14092187
Rola AC, Kalirai H, Taktak AFG, Eleuteri A, Krishna Y, Hussain R, Heimann H, Coupland SE. A Retrospective Analysis of 10 Years of Liver Surveillance Undertaken in Uveal Melanoma Patients Treated at the Supraregional “Liverpool Ocular Oncology Centre”, UK. Cancers. 2022; 14(9):2187. https://doi.org/10.3390/cancers14092187
Chicago/Turabian StyleRola, Alda Cunha, Helen Kalirai, Azzam F. G. Taktak, Antonio Eleuteri, Yamini Krishna, Rumana Hussain, Heinrich Heimann, and Sarah E. Coupland. 2022. "A Retrospective Analysis of 10 Years of Liver Surveillance Undertaken in Uveal Melanoma Patients Treated at the Supraregional “Liverpool Ocular Oncology Centre”, UK" Cancers 14, no. 9: 2187. https://doi.org/10.3390/cancers14092187
APA StyleRola, A. C., Kalirai, H., Taktak, A. F. G., Eleuteri, A., Krishna, Y., Hussain, R., Heimann, H., & Coupland, S. E. (2022). A Retrospective Analysis of 10 Years of Liver Surveillance Undertaken in Uveal Melanoma Patients Treated at the Supraregional “Liverpool Ocular Oncology Centre”, UK. Cancers, 14(9), 2187. https://doi.org/10.3390/cancers14092187

