Relationship of Mitochondrial-Related Protein Expression with the Differentiation, Metastasis, and Poor Prognosis of Oral Squamous Cell Carcinoma
Abstract
Simple Summary
Abstract
1. Introduction
2. Patients and Methods
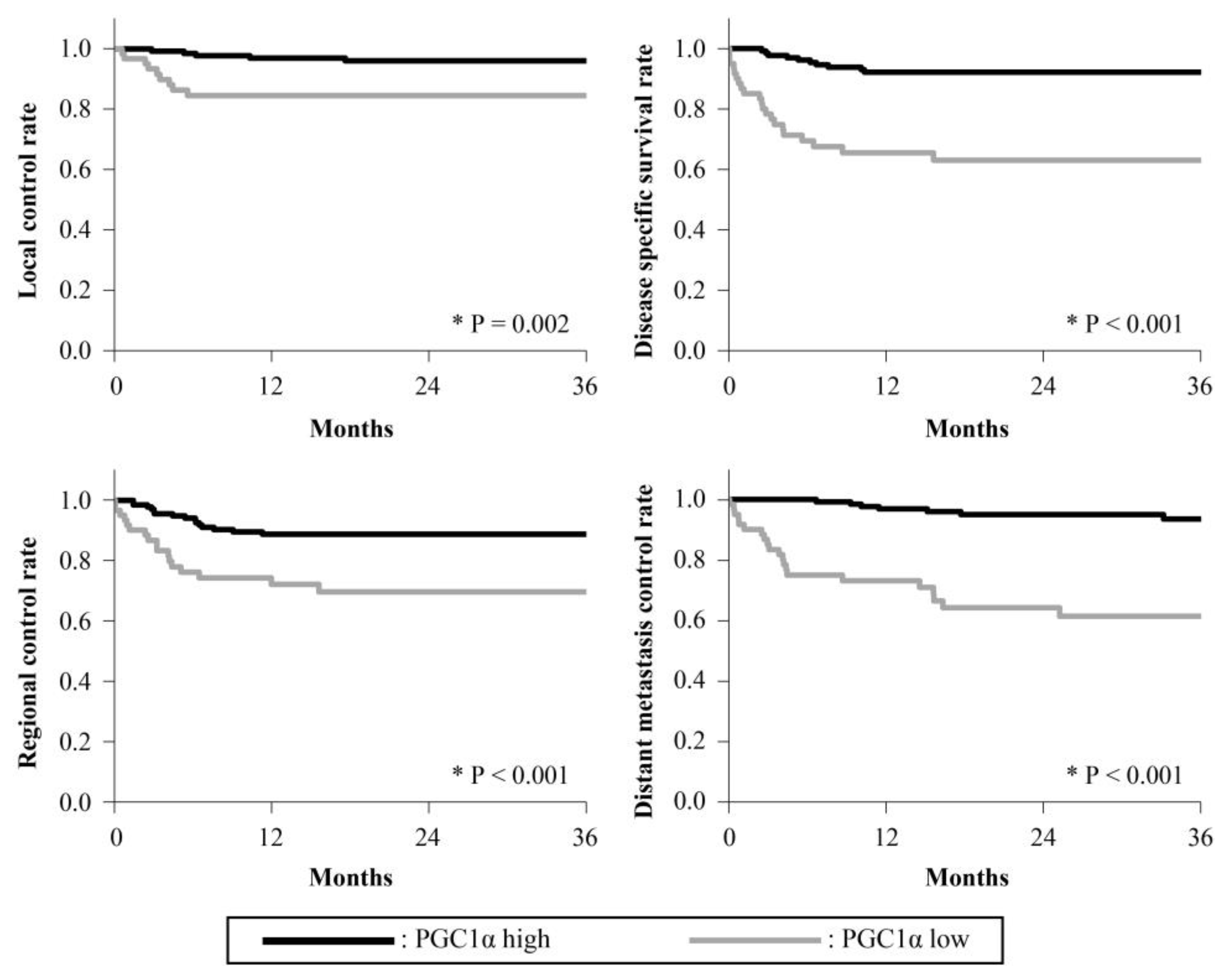
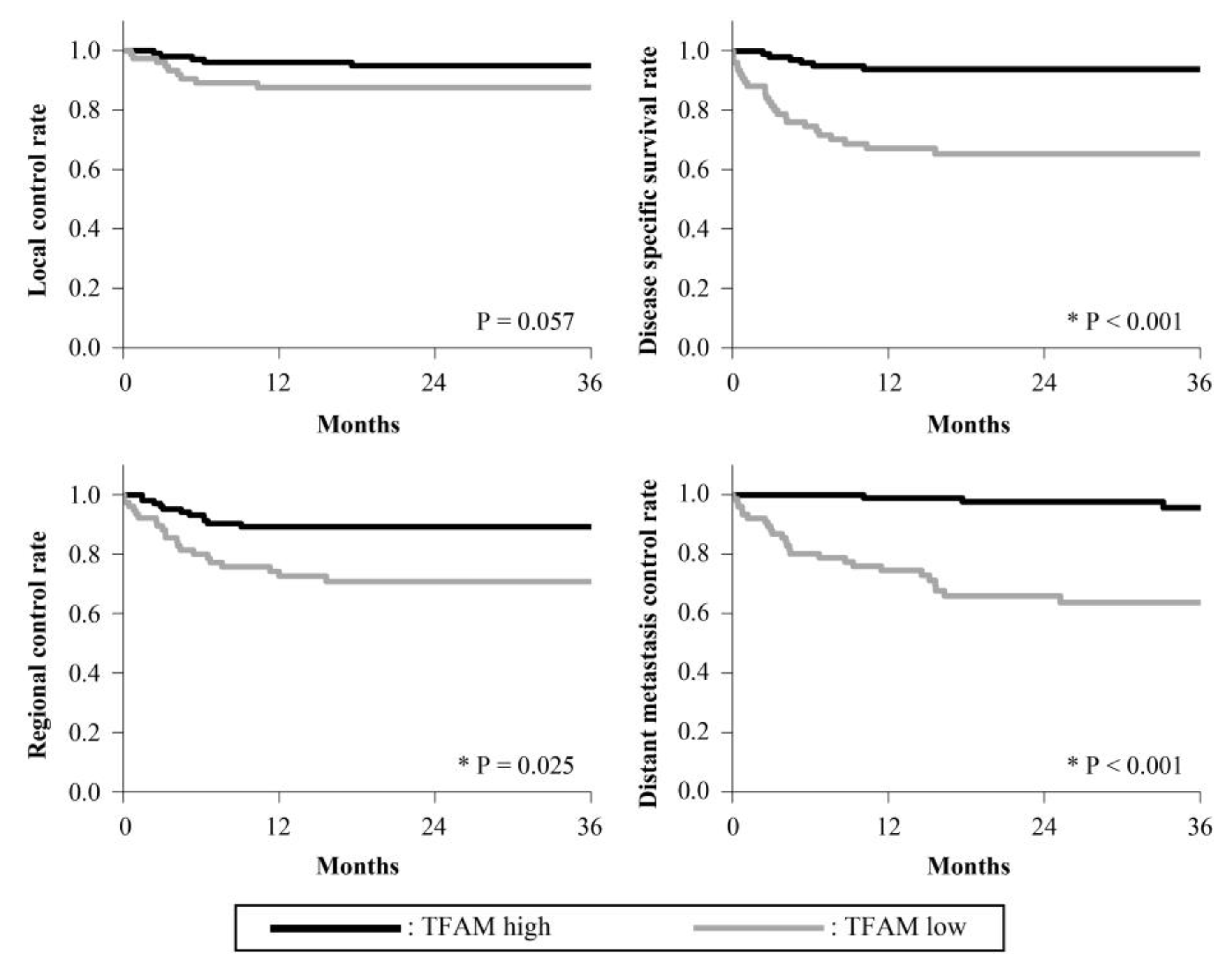
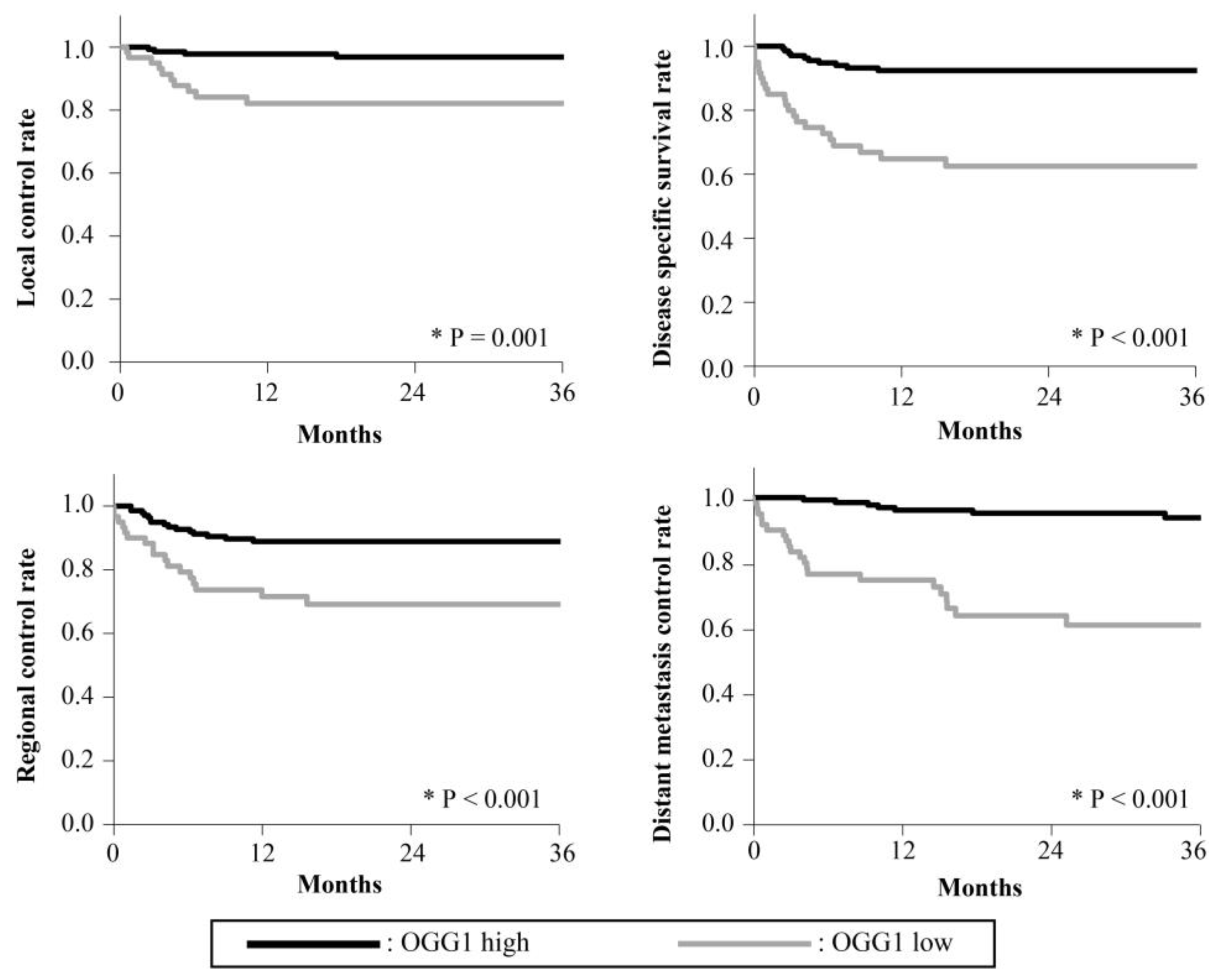
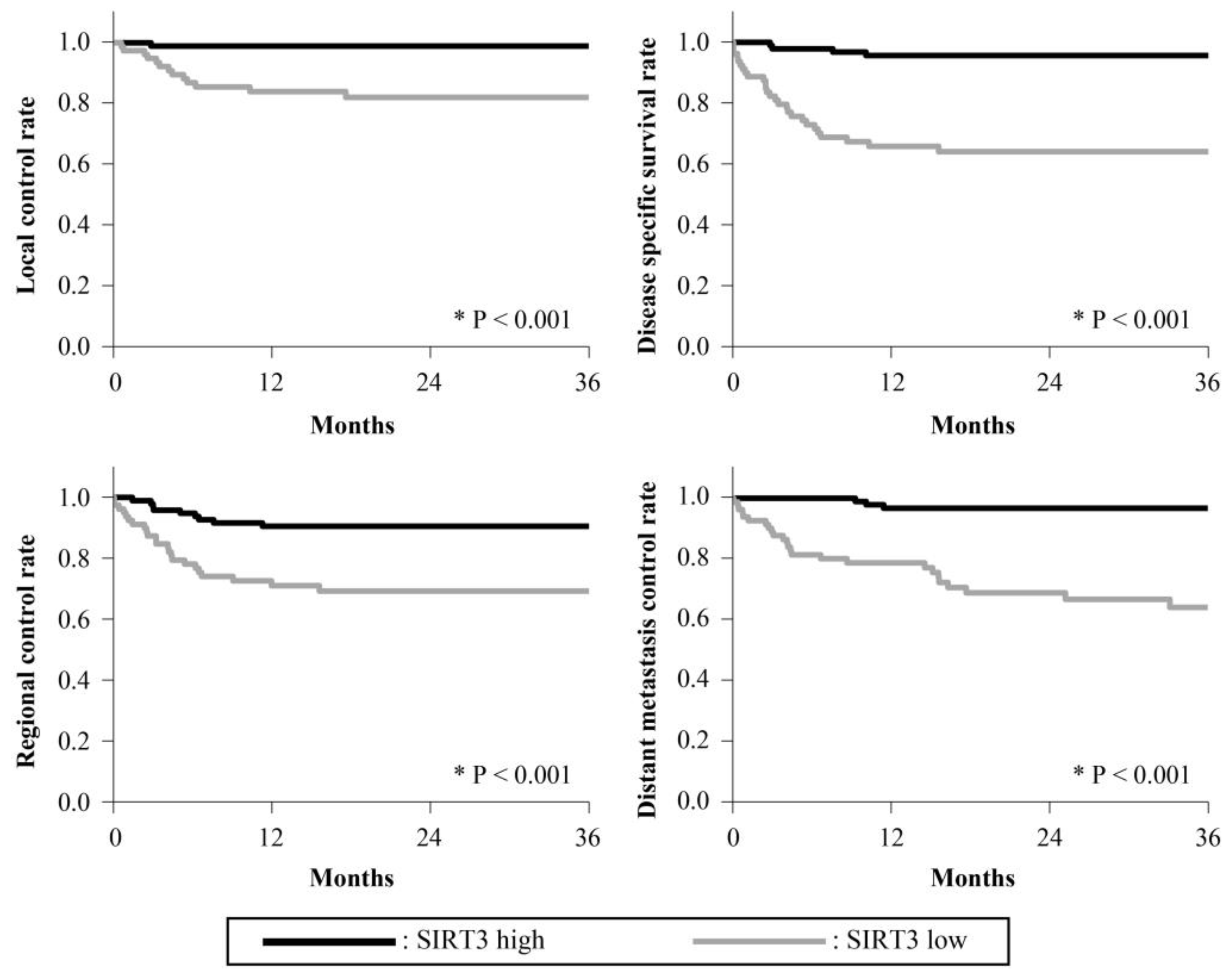
3. Results
4. Discussion
5. Conclusions
Author Contributions
Funding
Institutional Review Board Statement
Informed Consent Statement
Data Availability Statement
Conflicts of Interest
References
- Meng, X.; Lou, Q.Y.; Yang, W.Y.; Wang, Y.R.; Chen, R.; Wang, L.; Xu, T.; Zhang, L. The role of non-coding RNAs in drug resistance of oral squamous cell carcinoma and therapeutic potential. Cancer Commun. 2021, 41, 981–1006. [Google Scholar] [CrossRef]
- Thomson, P.J. Perspectives on oral squamous cell carcinoma prevention-Proliferation, position, progression and prediction. J. Oral Pathol. Med. 2018, 47, 803–807. [Google Scholar] [CrossRef]
- Chen, S.W.; Chou, C.T.; Chang, C.C.; Li, Y.J.; Chen, S.T.; Lin, I.C.; Kok, S.H.; Cheng, S.J.; Lee, J.J.; Wu, T.S.; et al. HMGCS2 enhances invasion and metastasis via direct interaction with PPARα to activate Src signaling in colorectal cancer and oral cancer. Oncotarget. 2017, 8, 22460–22476. [Google Scholar] [CrossRef]
- Annesley, S.J.; Fisher, P.R. Mitochondria in health and disease. Cells 2019, 8, 680. [Google Scholar] [CrossRef]
- Sharma, P.; Sampath, H. Mitochondrial DNA integrity: Role in health and disease. Cells 2019, 8, 100. [Google Scholar] [CrossRef]
- Kausar, S.; Wang, F.; Cui, H. The role of mitochondria in reactive oxygen species generation and its implications for neurodegenerative diseases. Cells 2018, 7, 274. [Google Scholar] [CrossRef]
- Song, S.; Pursell, Z.F.; Copeland, W.C.; Longley, M.J.; Kunkel, T.A.; Mathews, C.K. DNA precursor asymmetries in mammalian tissue mitochondria and possible contribution to mutagenesis through reduced replication fidelity. Proc. Natl. Acad. Sci. USA 2005, 102, 4990–4995. [Google Scholar] [CrossRef] [PubMed]
- Bai, J.; Wu, L.; Wang, X.; Wang, Y.; Shang, Z.; Jiang, E.; Shao, Z. Roles of mitochondria in oral squamous cell carcinoma therapy: Friend or foe? Cancers 2022, 14, 5723. [Google Scholar] [PubMed]
- Takeda, D.; Hasegawa, T.; Ueha, T.; Sakakibara, A.; Kawamoto, T.; Minamikawa, T.; Sakai, Y.; Komori, T. Decreased mitochondrial copy numbers in oral squamous cell carcinoma. Head Neck 2016, 38, 1170–1175. [Google Scholar] [CrossRef]
- Ventura-Clapier, R.; Garnier, A.; Veksler, V. Transcriptional control of mitochondrial biogenesis: The central role of PGC-1alpha. Cardiovasc. Res. 2008, 79, 208–217. [Google Scholar] [PubMed]
- Tao, L.; Park, J.Y.; Lambert, J.D. Differential prooxidative effects of the green tea polyphenol, (–)-epigallocatechin-3-gallate, in normal and oral cancer cells are related to differences in sirtuin 3 signaling. Mol. Nutr. Food Res. 2015, 59, 203–211. [Google Scholar] [CrossRef]
- Bause, A.S.; Haigis, M.C. SIRT3 regulation of mitochondrial oxidative stress. Exp. Gerontol. 2013, 48, 634–639. [Google Scholar] [CrossRef]
- Kong, X.; Wang, R.; Xue, Y.; Liu, X.; Zhang, H.; Chen, Y.; Fang, F.; Chang, Y. Sirtuin 3, a new target of PGC-1alpha, plays an important role in the suppression of ROS and mitochondrial biogenesis. PLoS ONE 2010, 5, e11707. [Google Scholar] [CrossRef]
- Zhou, X.; Temam, S.; Oh, M.; Pungpravat, N.; Huang, B.L.; Mao, L.; Wong, D.T. Global expression-based classification of lymph node metastasis and extracapsular spread of oral tongue squamous cell carcinoma. Neoplasia 2006, 8, 925–932. [Google Scholar] [CrossRef] [PubMed]
- Ding, X.; Zhang, N.; Cai, Y.; Li, S.; Zheng, C.; Jin, Y.; Yu, T.; Wang, A.; Zhou, X. Down-regulation of tumor suppressor MTUS1/ATIP is associated with enhanced proliferation, poor differentiation and poor prognosis in oral tongue squamous cell carcinoma. Mol. Oncol. 2012, 6, 73–80. [Google Scholar] [CrossRef]
- Lai, C.C.; Lin, P.M.; Lin, S.F.; Hsu, C.H.; Lin, H.C.; Hu, M.L.; Hsu, C.M.; Yang, M.Y. Altered expression of SIRT gene family in head and neck squamous cell carcinoma. Tumor Biol. 2013, 34, 1847–1854. [Google Scholar] [CrossRef]
- Mitra, S.; Izumi, T.; Boldogh, I.; Bhakat, K.K.; Hill, J.W.; Hazra, T.K. Choreography of oxidative damage repair in mammalian genomes. Free. Radic. Biol. Med. 2002, 33, 15–28. [Google Scholar] [CrossRef]
- Kohno, T.; Shinmura, K.; Tosaka, M.; Tani, M.; Kim, S.R.; Sugimura, H.; Nohmi, T.; Kasai, H.; Yokota, J. Genetic polymorphisms and alternative splicing of the hOGG1 gene, that is involved in the repair of 8-hydroxyguanine in damaged DNA. Oncogene 1998, 16, 3219–3225. [Google Scholar] [CrossRef]
- Paz-Elizur, T.; Krupsky, M.; Blumenstein, S.; Elinger, D.; Schechtman, E.; Livneh, Z. DNA repair activity for oxidative damage and risk of lung cancer. J. Natl. Cancer Inst. 2003, 95, 1312–1319. [Google Scholar] [CrossRef]
- Gangwar, R.; Ahirwar, D.; Mandhani, A.; Mittal, R.D. Do DNA repair genes OGG1, XRCC3 and XRCC7 have an impact on susceptibility to bladder cancer in the north Indian population? Mutat. Res. 2009, 680, 56–63. [Google Scholar] [CrossRef] [PubMed]
- Sova, H.; Jukkola-Vuorinen, A.; Puistola, U.; Kauppila, S.; Karihtala, P. 8-hydroxydeoxyguanosine: A new potential independent prognostic factor in breast cancer. Br. J. Cancer 2010, 102, 1018–1023. [Google Scholar] [CrossRef]
- Paz-Elizur, T.; Ben-Yosef, R.; Elinger, D.; Vexler, A.; Krupsky, M.; Berrebi, A.; Shani, A.; Schechtman, E.; Freedman, L.; Livneh, Z. Reduced repair of the oxidative 8-oxoguanine DNA damage and risk of head and neck cancer. Cancer Res. 2006, 66, 11683–11689. [Google Scholar] [CrossRef]
- Brieleyt, J.D.; Gospodarowicz, M.K.; Wittekind, C. TNM Classification of Malignant Tumors, 8th ed.; Willey Blackwell: Hoboken, NJ, USA, 2017; p. 272. [Google Scholar]
- Wang, Z.; Choi, S.; Lee, J.; Huang, Y.T.; Chen, F.; Zhao, Y.; Lin, X.; Neuberg, D.; Kim, J.; Christiani, D.C. Mitochondrial variations in non-small cell lung cancer (NSCLC) survival. Cancer Inform. 2015, 14 (Suppl. S1), CIN-S13976. [Google Scholar] [CrossRef] [PubMed]
- Koc, E.C.; Haciosmanoglu, E.; Claudio, P.P.; Wolf, A.; Califano, L.; Friscia, M.; Cortese, A.; Koc, H. Impaired mitochondrial protein synthesis in head and neck squamous cell carcinoma. Mitochondrion 2015, 24, 113–121. [Google Scholar] [CrossRef]
- Zu, Y.; Chen, X.F.; Li, Q.; Zhang, S.T.; Si, L.N. PGC-1α activates SIRT3 to modulate cell proliferation and glycolytic metabolism in breast cancer. Neoplasma 2021, 68, 352–361. [Google Scholar] [CrossRef]
- Cheng, Y.; Ren, X.; Gowda, A.S.; Shan, Y.; Zhang, L.; Yuan, Y.S.; Patel, R.; Wu, H.; Huber-Keener, K.; Yang, J.W.; et al. Interaction of Sirt3 with OGG1 contributes to repair of mitochondrial DNA and protects from apoptotic cell death under oxidative stress. Cell Death Dis. 2013, 4, e731. [Google Scholar] [CrossRef]
- Hallberg, B.M.; Larsson, N.G. TFAM forces mtDNA to make a U-turn. Nat. Struct. Mol. Biol. 2011, 18, 1179–1181. [Google Scholar] [CrossRef]
- Zhu, Y.; Xu, J.; Hu, W.; Wang, F.; Zhou, Y.; Xu, W.; Gong, W.; Shao, L. TFAM depletion overcomes hepatocellular carcinoma resistance to doxorubicin and sorafenib through AMPK activation and mitochondrial dysfunction. Gene 2020, 753, 144807. [Google Scholar] [CrossRef]
- Zhu, Y.; Yan, Y.; Principe, D.R.; Zou, X.; Vassilopoulos, A.; Gius, D. SIRT3 and SIRT4 are mitochondrial tumor suppressor proteins that connect mitochondrial metabolism and carcinogenesis. Cancer Metab. 2014, 2, 15. [Google Scholar] [PubMed]
- Nakayama, Y.; Yamauchi, M.; Minagawa, N.; Torigoe, T.; Izumi, H.; Kohno, K.; Yamaguchi, K. Clinical significance of mitochondrial transcription factor A expression in patients with colorectal cancer. Oncol. Rep. 2012, 27, 1325–1330. [Google Scholar] [CrossRef]
- Gao, W.; Wu, M.; Wang, N.; Zhang, Y.; Hua, J.; Tang, G.; Wang, Y. Increased expression of mitochondrial transcription factor A and nuclear respiratory factor-1 predicts a poor clinical outcome of breast cancer. Oncol. Lett. 2018, 15, 1449–1458. [Google Scholar] [CrossRef]
- Hsieh, Y.T.; Tu, H.F.; Yang, M.H.; Chen, Y.F.; Lan, X.Y.; Huang, C.L.; Chen, H.M.; Li, W.C. Mitochondrial genome and its regulator TFAM modulates head and neck tumourigenesis through intracellular metabolic reprogramming and activation of oncogenic effectors. Cell Death Dis. 2021, 12, 961. [Google Scholar] [CrossRef]
- Urra, F.A.; Fuentes-Retamal, S.; Palominos, C.; Rodríguez-Lucart, Y.A.; López-Torres, C.; Araya-Maturana, R. Extracellular matrix signals as drivers of mitochondria bioenergetics and metabolic plasticity of cancer cells during metastasis. Front. Cell Dev. Biol. 2021, 9, 751301. [Google Scholar] [CrossRef]
- Valcarcel-Jimenez, L.; Macchia, A.; Crosas-Molist, E.; Schaub-Clerigué, A.; Camacho, L.; Martín-Martín, N.; Cicogna, P.; Viera-Bardón, C.; Fernández-Ruiz, S.; Rodriguez-Hernandez, I.; et al. PGC1α suppresses prostate cancer cell invasion through ERRα transcriptional control. Cancer Res. 2019, 79, 6153–6165. [Google Scholar] [CrossRef]
- Signorile, A.; De Rasmo, D.; Cormio, A.; Musicco, C.; Rossi, R.; Fortarezza, F.; Palese, L.L.; Loizzi, V.; Resta, L.; Scillitani, G.; et al. Human ovarian cancer tissue exhibits increase of mitochondrial biogenesis and cristae remodeling. Cancers 2019, 11, 1350. [Google Scholar] [CrossRef]
- Cheng, C.F.; Ku, H.C.; Lin, H. PGC-1α as a pivotal factor in lipid and metabolic regulation. Int. J. Mol. Sci. 2018, 19, 3447. [Google Scholar] [CrossRef]
- Zanoni, D.K.; Montero, P.H.; Migliacci, J.C.; Shah, J.P.; Wong, R.J.; Ganly, I.; Patel, S.G. Survival outcomes after treatment of cancer of the oral cavity (1985–2015). Oral Oncol. 2019, 90, 115–121. [Google Scholar] [CrossRef] [PubMed]
- Jones, H.B.; Sykes, A.; Bayman, N.; Sloan, P.; Swindell, R.; Patel, M.; Musgrove, B. The impact of lymphovascular invasion on survival in oral carcinoma. Oral Oncol. 2009, 45, 10–15. [Google Scholar] [CrossRef] [PubMed]
- Huang, S.; Zhu, Y.; Cai, H.; Zhang, Y.; Hou, J. Impact of lymphovascular invasion in oral squamous cell carcinoma: A meta-analysis. Oral Surg. Oral Med. Oral Pathol. Oral Radiol. 2021, 131, 319–328.e1. [Google Scholar]
- Fives, C.; Feeley, L.; O’Leary, G.; Sheahan, P. Importance of lymphovascular invasion and invasive front on survival in floor of mouth cancer. Head Neck 2016, 38 (Suppl. S1), E1528–E1534. [Google Scholar] [CrossRef]






| Positive Expression Level, % | |||
|---|---|---|---|
| Factor | Negative | Cutoff Value a | Positive |
| PGC-1α | ≤ | 18.27 | < |
| TFAM | ≤ | 37.96 | < |
| OGG1 | ≤ | 22.51 | < |
| MTUS1 | ≤ | 32.00 | < |
| SIRT3 | ≤ | 26.16 | < |
| Characteristic | No. of Patients | (%) |
|---|---|---|
| Age (years) | ||
| <70 | 97 | 49.2 |
| ≥70 | 100 | 50.8 |
| Sex | ||
| Male | 106 | 53.8 |
| Female | 91 | 46.2 |
| Tobacco use | ||
| Smoker | 59 | 29.9 |
| Non-smoker | 138 | 70.1 |
| Alcohol consumption | ||
| Drinker | 77 | 39.1 |
| Non-drinker | 120 | 60.9 |
| PS | ||
| ≤1 | 190 | 96.4 |
| >2 | 7 | 3.6 |
| Primary tumor site | ||
| Upper gingiva | 30 | 15.2 |
| Lower gingiva | 43 | 21.9 |
| Buccal mucosa | 16 | 8.1 |
| Tongue | 92 | 46.7 |
| Oral floor | 16 | 8.1 |
| T classification | ||
| 1 | 36 | 18.3 |
| 2 | 66 | 33.5 |
| 3 | 30 | 15.2 |
| 4a/b | 65 | 33.0 |
| N classification | ||
| 0 or 1 | 154 | 78.2 |
| 2 or 3 | 43 | 21.8 |
| ENE | ||
| Positive | 25 | 12.7 |
| Negative | 42 | 21.3 |
| Non lymph node metastasis or non-neck dissection | 130 | 66.0 |
| Multiple neck metastases | ||
| Positive | 37 | 18.8 |
| Negative | 87 | 44.2 |
| Non-neck dissection | 73 | 37.0 |
| Margin | ||
| Positive | 28 | 14.2 |
| Negative | 169 | 85.8 |
| Tumor differentiation | ||
| Well | 109 | 55.4 |
| Moderate | 71 | 36.0 |
| Poor | 17 | 8.6 |
| Vascular invasion | ||
| Positive | 61 | 31.0 |
| Negative | 136 | 69.0 |
| Nerve invasion | ||
| Positive | 41 | 20.8 |
| Negative | 156 | 79.2 |
| Lymphatic invasion | ||
| Positive | 41 | 20.8 |
| Negative | 156 | 79.2 |
| Disease control Status | ||
| Survival | 153 | 77.7 |
| Death of local failure | 14 | 7.1 |
| Death of regional failure | 8 | 4.1 |
| Death of distant metastasis | 10 | 5.1 |
| Death of other disease | 12 | 6.1 |
| PGC-1α Expression | TFAM Expression | OGG1 Expression | MTUS1 Expression | SIRT3 Expression | ||||||||||||
|---|---|---|---|---|---|---|---|---|---|---|---|---|---|---|---|---|
| n | Negative | Positive | p-Value | Negative | Positive | p-Value | Negative | Positive | p-Value | Negative | Positive | p-Value | Negative | Positive | p-Value | |
| Age | 0.281 | 0.115 | 0.757 | 0.196 | 0.254 | |||||||||||
| <70 | 100 | 27 | 73 | 37 | 63 | 29 | 71 | 37 | 63 | 41 | 59 | |||||
| ≥70 | 97 | 34 | 63 | 47 | 50 | 31 | 66 | 45 | 52 | 48 | 49 | |||||
| Gender | 0.219 | 0.665 | 0.279 | 0.664 | 0.254 | |||||||||||
| Male | 1106 | 37 | 69 | 47 | 59 | 36 | 70 | 46 | 60 | 52 | 54 | |||||
| Female | 91 | 24 | 67 | 37 | 54 | 24 | 67 | 36 | 55 | 37 | 54 | |||||
| Exposure to tobacco | 0.867 | 0.638 | 0.738 | 1.000 | 1.000 | |||||||||||
| Smoker | 59 | 19 | 40 | 27 | 32 | 19 | 40 | 25 | 34 | 27 | 32 | |||||
| Non | 1138 | 42 | 96 | 57 | 81 | 41 | 97 | 57 | 81 | 62 | 76 | |||||
| Exposure to alcohol | 0.346 | 0.557 | 0.875 | 0.459 | 1.000 | |||||||||||
| Drinker | 77 | 27 | 50 | 35 | 42 | 24 | 53 | 35 | 42 | 35 | 42 | |||||
| Non | 1120 | 34 | 86 | 49 | 71 | 36 | 84 | 47 | 73 | 54 | 66 | |||||
| PS | 0.679 | 1.000 | 1.000 | 0.702 | 0.703 | |||||||||||
| 0 or 1 | 1190 | 58 | 132 | 81 | 109 | 58 | 132 | 80 | 110 | 85 | 105 | |||||
| More than 2 | 7 | 3 | 4 | 3 | 4 | 2 | 5 | 2 | 5 | 4 | 3 | |||||
| Primary tumor site | 0.001 * | 0.001 * | 0.005 * | <0.001 * | 0.007 * | |||||||||||
| Tongue | 92 | 18 | 74 | 27 | 65 | 19 | 73 | 26 | 66 | 32 | 60 | |||||
| Otherwise | 1105 | 43 | 62 | 57 | 48 | 41 | 64 | 56 | 49 | 57 | 48 | |||||
| T classification | <0.001 * | <0.001 * | <0.001 * | <0.001 * | <0.001 * | |||||||||||
| T1, T2 | 1102 | 8 | 94 | 15 | 87 | 8 | 94 | 16 | 86 | 17 | 85 | |||||
| T3, T4 | 95 | 53 | 42 | 69 | 26 | 52 | 43 | 66 | 29 | 72 | 23 | |||||
| N classification | <0.001 * | <0.001 * | <0.001 * | <0.001 * | <0.001 * | |||||||||||
| 0 or 1 | 1154 | 29 | 125 | 46 | 108 | 26 | 128 | 46 | 108 | 52 | 102 | |||||
| >2 | 43 | 32 | 11 | 38 | 5 | 34 | 9 | 36 | 7 | 37 | 6 | |||||
| ENE | 0.022 * | 0.013 * | 0.044 * | 0.064 | 0.056 | |||||||||||
| Positive | 25 | 18 | 7 | 22 | 3 | 18 | 7 | 20 | 5 | 21 | 4 | |||||
| Negative | 42 | 17 | 25 | 24 | 18 | 19 | 23 | 23 | 19 | 25 | 17 | |||||
| Vascular invasion | <0.001 * | <0.001 * | <0.001 * | <0.001 * | <0.001 * | |||||||||||
| Positive | 61 | 30 | 31 | 39 | 22 | 30 | 31 | 40 | 21 | 43 | 18 | |||||
| Negative | 1136 | 31 | 105 | 45 | 91 | 30 | 106 | 42 | 94 | 46 | 90 | |||||
| Nerve invasion | 0.008 * | <0.001 * | 0.007 * | 0.002 * | 0.001 * | |||||||||||
| Positive | 41 | 20 | 21 | 28 | 13 | 20 | 21 | 26 | 15 | 28 | 13 | |||||
| Negative | 1156 | 41 | 115 | 56 | 100 | 40 | 116 | 56 | 100 | 61 | 95 | |||||
| Lymphatic invasion | 0.008 * | 0.032 * | 0.055 | 0.007 * | 0.004 * | |||||||||||
| Positive | 41 | 20 | 21 | 24 | 17 | 18 | 23 | 25 | 16 | 27 | 14 | |||||
| Negative | 1156 | 41 | 115 | 60 | 96 | 42 | 114 | 57 | 99 | 62 | 94 | |||||
| Multiple neck metastases | <0.001 * | <0.001 * | <0.001 * | 0.003 * | <0.001 * | |||||||||||
| Positive | 37 | 26 | 11 | 32 | 5 | 27 | 10 | 29 | 8 | 32 | 5 | |||||
| Negative | 87 | 29 | 58 | 42 | 45 | 29 | 58 | 42 | 45 | 47 | 40 | |||||
| Tumor differentiation | 0.014 * | 0.072 | 0.051 | 0.018 * | 0.125 | |||||||||||
| Well, Moderate | 180 | 51 | 129 | 73 | 107 | 51 | 129 | 70 | 110 | 78 | 102 | |||||
| Poor | 17 | 10 | 7 | 11 | 6 | 9 | 8 | 12 | 5 | 11 | 6 | |||||
| 95% CI | ||||
|---|---|---|---|---|
| Variable | p-Value | Hazard Ratio | Lower | Upper |
| PGC-1α | <0.001 * | 4.684 | 2.189 | 10.022 |
| Vascular invasion | <0.001 * | 5.690 | 2.598 | 12.464 |
Disclaimer/Publisher’s Note: The statements, opinions and data contained in all publications are solely those of the individual author(s) and contributor(s) and not of MDPI and/or the editor(s). MDPI and/or the editor(s) disclaim responsibility for any injury to people or property resulting from any ideas, methods, instructions or products referred to in the content. |
© 2023 by the authors. Licensee MDPI, Basel, Switzerland. This article is an open access article distributed under the terms and conditions of the Creative Commons Attribution (CC BY) license (https://creativecommons.org/licenses/by/4.0/).
Share and Cite
Murakami, A.; Takeda, D.; Hirota, J.; Saito, I.; Amano-Iga, R.; Yatagai, N.; Arimoto, S.; Kakei, Y.; Akashi, M.; Hasegawa, T. Relationship of Mitochondrial-Related Protein Expression with the Differentiation, Metastasis, and Poor Prognosis of Oral Squamous Cell Carcinoma. Cancers 2023, 15, 4071. https://doi.org/10.3390/cancers15164071
Murakami A, Takeda D, Hirota J, Saito I, Amano-Iga R, Yatagai N, Arimoto S, Kakei Y, Akashi M, Hasegawa T. Relationship of Mitochondrial-Related Protein Expression with the Differentiation, Metastasis, and Poor Prognosis of Oral Squamous Cell Carcinoma. Cancers. 2023; 15(16):4071. https://doi.org/10.3390/cancers15164071
Chicago/Turabian StyleMurakami, Aki, Daisuke Takeda, Junya Hirota, Izumi Saito, Rika Amano-Iga, Nanae Yatagai, Satomi Arimoto, Yasumasa Kakei, Masaya Akashi, and Takumi Hasegawa. 2023. "Relationship of Mitochondrial-Related Protein Expression with the Differentiation, Metastasis, and Poor Prognosis of Oral Squamous Cell Carcinoma" Cancers 15, no. 16: 4071. https://doi.org/10.3390/cancers15164071
APA StyleMurakami, A., Takeda, D., Hirota, J., Saito, I., Amano-Iga, R., Yatagai, N., Arimoto, S., Kakei, Y., Akashi, M., & Hasegawa, T. (2023). Relationship of Mitochondrial-Related Protein Expression with the Differentiation, Metastasis, and Poor Prognosis of Oral Squamous Cell Carcinoma. Cancers, 15(16), 4071. https://doi.org/10.3390/cancers15164071

