Conventional Spinal Chordomas: Investigation of SMARCB1/INI1 Protein Expression, Genetic Alterations in SMARCB1 Gene, and Clinicopathological Features in 89 Patients
Abstract
Simple Summary
Abstract
1. Introduction
2. Materials and Methods
3. Results
4. Discussion
5. Conclusions
Supplementary Materials
Author Contributions
Funding
Institutional Review Board Statement
Informed Consent Statement
Data Availability Statement
Acknowledgments
Conflicts of Interest
References
- WHO Classification of Tumours Editorial Board (Ed.) WHO Classification of Tumours 5th Edition: Soft Tissue and Bone Tumours, 5th ed.; WHO Press: Geneva, Switzerland, 2020. [Google Scholar]
- Wedekind, M.F.; Widemann, B.C.; Cote, G. Chordoma: Current status, problems, and future directions. Curr. Probl. Cancer 2021, 45, 100771. [Google Scholar] [CrossRef]
- Ulici, V.; Hart, J. Chordoma. Arch. Pathol. Lab. Med. 2022, 146, 386–395. [Google Scholar] [CrossRef]
- Vujovic, S.; Henderson, S.; Presneau, N.; Odell, E.; Jacques, T.S.; Tirabosco, R.; Boshoff, C.; Flanagan, A.M. Brachyury, a crucial regulator of notochordal development, is a novel biomarker for chordomas. J. Pathol. 2006, 209, 157–165. [Google Scholar] [CrossRef]
- Shih, A.R.; Chebib, I.; Deshpande, V.; Dickson, B.C.; Iafrate, A.J.; Nielsen, G.P. Molecular characteristics of poorly differentiated chordoma. Genes Chromosomes Cancer 2019, 58, 804–808. [Google Scholar] [CrossRef]
- Mobley, B.C.; McKenney, J.K.; Bangs, C.D.; Callahan, K.; Yeom, K.W.; Schneppenheim, R.; Hayden, M.G.; Cherry, A.M.; Gokden, M.; Edwards, M.S.B.; et al. Loss of SMARCB1/INI1 expression in poorly differentiated chordomas. Acta Neuropathol. 2010, 120, 745–753. [Google Scholar] [CrossRef]
- Righi, A.; Cocchi, S.; Maioli, M.; Zoli, M.; Guaraldi, F.; Carretta, E.; Magagnoli, G.; Pasquini, E.; Melotti, S.; Vornetti, G.; et al. SMARCB1/INI1 loss in skull base conventional chordomas: A clinicopathological and molecular analysis. Front. Oncol. 2023, 13, 1160764. [Google Scholar] [CrossRef]
- Kalimuthu, S.N.; Chetty, R. Gene of the month: SMARCB1. J. Clin. Pathol. 2016, 69, 484–489. [Google Scholar] [CrossRef]
- Centore, R.C.; Sandoval, G.J.; Soares, L.M.M.; Kadoch, C.; Chan, H.M. Mammalian SWI/SNF Chromatin Remodeling Complexes: Emerging Mechanisms and Therapeutic Strategies. Trends Genet. 2020, 36, 936–950. [Google Scholar] [CrossRef]
- Kohashi, K.; Oda, Y. Oncogenic roles of SMARCB1/INI1 and its deficient tumors. Cancer Sci. 2017, 108, 547–552. [Google Scholar] [CrossRef]
- Pawel, B.R. SMARCB1-deficient Tumors of Childhood: A Practical Guide. Pediatr. Dev. Pathol. 2018, 21, 6–28. [Google Scholar] [CrossRef]
- Parker, N.A.; Al-Obaidi, A.; Deutsch, J.M. SMARCB1/INI1-deficient tumors of adulthood. F1000Research 2020, 9, 662. [Google Scholar] [CrossRef]
- Chitguppi, C.; Rabinowitz, M.R.; Johnson, J.; Bar-Ad, V.; Fastenberg, J.H.; Molligan, J.; Berman, E.; Nyquist, G.G.; Rosen, M.R.; Evans, J.E.; et al. Loss of SMARCB1 Expression Confers Poor Prognosis to Sinonasal Undifferentiated Carcinoma. J. Neurol. Surg. Part B Skull Base 2020, 81, 610–619. [Google Scholar] [CrossRef]
- Wang, J.; Andrici, J.; Sioson, L.; Clarkson, A.; Sheen, A.; Farzin, M.; Toon, C.W.; Turchini, J.; Gill, A.J. Loss of INI1 expression in colorectal carcinoma is associated with high tumor grade, poor survival, BRAFV600E mutation, and mismatch repair deficiency. Hum. Pathol. 2016, 55, 83–90. [Google Scholar] [CrossRef]
- Chen, S.; Ulloa, R.; Soffer, J.; Alcazar-Felix, R.J.; Snyderman, C.H.; Gardner, P.A.; Patel, V.A.; Polster, S.P. Chordoma: A Comprehensive Systematic Review of Clinical Trials. Cancers 2023, 15, 5800. [Google Scholar] [CrossRef]
- Wen, X.; Cimera, R.; Aryeequaye, R.; Abhinta, M.; Athanasian, E.; Healey, J.; Fabbri, N.; Boland, P.; Zhang, Y.; Hameed, M. Recurrent loss of chromosome 22 and SMARCB1 deletion in extra-axial chordoma: A clinicopathological and molecular analysis. Genes Chromosomes Cancer 2021, 60, 796–807. [Google Scholar] [CrossRef]
- Choy, E.; MacConaill, L.E.; Cote, G.M.; Le, L.P.; Shen, J.K.; Nielsen, G.P.; Iafrate, A.J.; Garraway, L.A.; Hornicek, F.J.; Duan, Z. Genotyping cancer-associated genes in chordoma identifies mutations in oncogenes and areas of chromosomal loss involving CDKN2A, PTEN, and SMARCB1. PLoS ONE 2014, 9, e101283. [Google Scholar] [CrossRef]
- Wang, L.; Zehir, A.; Nafa, K.; Zhou, N.; Berger, M.F.; Casanova, J.; Sadowska, J.; Lu, C.; Allis, C.D.; Gounder, M.; et al. Genomic aberrations frequently alter chromatin regulatory genes in chordoma. Genes Chromosomes Cancer 2016, 55, 591–600. [Google Scholar] [CrossRef]
- Curcio, C.; Cimera, R.; Aryeequaye, R.; Rao, M.; Fabbri, N.; Zhang, Y.; Hameed, M. Poorly differentiated chordoma with whole-genome doubling evolving from a SMARCB1- deficient conventional cordoma: A case report. Genes Chromosomes Cancer 2021, 60, 43–48. [Google Scholar] [CrossRef]
- Enneking, W.F.; Spanier, S.; Goodman, M.A. A system for the surgical staging of musculoskeletal sarcoma. Clin. Orthop. Relat. Res. 1980, 153, 106–120. [Google Scholar] [CrossRef]
- Boriani, S.; Weinstein, J.N.; Biagini, R. Primary bone tumors of the spine. Terminology and surgical staging. Spine 1997, 22, 1036–1044. [Google Scholar] [CrossRef]
- Charlson, M.E.; Pompei, P.; Ales, K.L.; MacKenzie, C.R. A new method of classifying prognostic comorbidity in longitudinal studies: Development and validation. J. Chronic Dis. 1987, 40, 373–383. [Google Scholar] [CrossRef] [PubMed]
- Cocchi, S.; Gamberi, G.; Magagnoli, G.; Maioli, M.; Righi, A.; Frisoni, T.; Gambarotti, M.; Benini, S. CIC rearranged sarcomas: A single institution experience of the potential pitfalls in interpreting CIC FISH results. Pathol. Res. Pract. 2022, 231, 153773. [Google Scholar] [CrossRef] [PubMed]
- Huang, S.C.; Zhang, L.; Sung, Y.S.; Chen, C.L.; Kao, Y.C.; Agaram, N.P.; Antonescu, C.R. Secondary EWSR1 gene abnormalities in SMARCB1-deficient tumors with 22q11-12 regional deletions: Potential pitfalls in interpreting EWSR1 FISH results. Genes Chromosomes Cancer 2016, 55, 767–776. [Google Scholar] [CrossRef] [PubMed]
- Yakkioui, Y.; van Overbeeke, J.J.; Santegoeds, R.; van Engeland, M.; Temel, Y. Chordoma: The entity. Biochim. Biophys. Acta 2014, 1846, 655–669. [Google Scholar] [CrossRef] [PubMed]
- Stacchiotti, S.; Sommer, J.; Chordoma Global Consensus Group. Building a global consensus approach to chordoma: A position paper from the medical and patient community. Lancet Oncol. 2015, 16, e71–e83. [Google Scholar] [CrossRef]
- Duan, R.; Du, W.; Guo, W. EZH2: A novel target for cancer treatment. J. Hematol. Oncol. 2020, 13, 104. [Google Scholar] [CrossRef]
- Rosen, E.Y.; Shukla, N.N.; Bender, J.L.D. EZH2 inhibition: It’s all about the context. J. Natl. Cancer Inst. 2023, 115, 1246–1248. [Google Scholar] [CrossRef]
- Ma, X.; Qi, S.; Duan, Z.; Liao, H.; Yang, B.; Wang, W.; Tan, J.; Li, Q.; Xia, X. Long non-coding RNA LOC554202 modulates chordoma cell proliferation and invasion by recruiting EZH2 and regulating miR-31 expression. Cell Prolif. 2017, 50, e12388. [Google Scholar] [CrossRef] [PubMed]
- Passeri, T.; Dahmani, A.; Masliah-Planchon, J.; Naguez, A.; Michou, M.; El Botty, R.; Vacher, S.; Bouarich, R.; Nicolas, A.; Polivka, M.; et al. Dramatic In Vivo Efficacy of the EZH2-Inhibitor Tazemetostat in PBRM1-Mutated Human Chordoma Xenograft. Cancers 2022, 14, 1486. [Google Scholar] [CrossRef]
- Italiano, A.; Soria, J.C.; Toulmonde, M.; Michot, J.M.; Lucchesi, C.; Varga, A.; Coindre, J.M.; Blakemore, S.J.; Clawson, A.; Suttle, B.; et al. Tazemetostat, an EZH2 inhibitor, in relapsed or refractory B-cell non-Hodgkin lymphoma and advanced solid tumours: A first-in-human, open-label, phase 1 study. Lancet Oncol. 2018, 19, 649–659. [Google Scholar] [CrossRef]
- Gounder, M.M.; Zhu, G.; Roshal, L.; Lis, E.; Daigle, S.R.; Blakemore, S.J.; Michaud, N.R.; Hameed, M.; Hollmann, T.J. Immunologic Correlates of the Abscopal Effect in a SMARCB1/INI1-negative Poorly Differentiated Chordoma after EZH2 Inhibition and Radiotherapy. Clin. Cancer Res. 2019, 25, 2064–2071. [Google Scholar] [CrossRef]





| Parameters | All Samples (n = 89) |
|---|---|
| Gender (N, %) | |
| Male | 51 (57.3%) |
| Female | 38 (42.7%) |
| Age (median, range in years) | 61 (17–86) |
| Age (N, %) | |
| ≤60 years | 42 (47.2%) |
| >60 years | 47 (52.8%) |
| Tumor size (N, %) | |
| <5 cm | 36 (40.4%) |
| ≥5 cm | 39 (43.9%) |
| Not available | 14 (15.7%) |
| Tumor localization | |
| Cervical–thoracic–lumbar region | 43 (48.3%) |
| Sacrococcygeal region | 46 (51.7%) |
| Surgical margin | |
| Adequate | 45 (50.6%) |
| Inadequate | 25 (28.1%) |
| Not available | 19 (21.3%) |
| Ki-67 index (median, range) | 3 (1–12) |
| Ki-67 index (N, %) | |
| ≤3% | 43 (48.3%) |
| >3% | 37 (41.6%) |
| Not evaluable | 9 (10.1%) |
| SMARCB1/INI1 immunohistochemical expression (N, %) | |
| Positive | 52 (58.4%) |
| Positive/negative | 37 (41.6%) |
| Previous surgery | |
| No | 53 (59.6%) |
| Yes | 21 (23.6%) |
| Not available | 15 (16.9%) |
| Previous treatment | |
| No | 59 (66.3%) |
| Yes | 14 (15.7%) |
| Not available | 16 (18%) |
| Type of surgery | |
| En bloc resection | 54 (60.7%) |
| Other surgery | 16 (18%) |
| No surgery | 19 (21.3%) |
| Charlson Comorbidity Index (CCI) | |
| Mean (SD) | 4.1 (0.260) |
| Case Number | Tumor Localization | WBB Classification | Revision Surgery |
|---|---|---|---|
| 1 | L3 | layers A–E; zones 12–1 | NO |
| 2 | sacrum | n.a. | NO |
| 7 | C4–C5 | layers C–E, zones 8–5 | NO |
| 15 | sacrum | n.a. | NO |
| 19 | sacrum | n.a. | NO |
| 25 | L5 | n.a. | YES |
| 29 | C2 | layers A–E; zones 11–7 | NO |
| 34 | C3 | layers A–E; zones 2–8 | NO |
| 35 | C2 | layers A–E; zones 9–4 | NO |
| 40 | L3 | n.a. | YES |
| 42 | sacrum | n.a. | YES |
| 44 | C2–C3 | layers A–E; zones 6–2 | NO |
| 45 | L4–L5 | n.a. | YES |
| 48 | L2 | n.a. | YES |
| 52 | sacrum | n.a. | YES |
| 58 | T2–T3 | n.a. | YES |
| 64 | T9 | layers A–E; zones 9–1 | YES |
| 66 | C2 | layers A–E; zones 7–4 | NO |
| 68 | C2 | layers A–E; zones 11–5 | NO |
| 71 | C5–C6 | n.a. | YES |
| 72 | coccyx | n.a. | NO |
| 73 | sacrum | n.a. | YES |
| 78 | sacrum | n.a. | NO |
| 79 | C1–C2 | layers A–E; zones 6–3 | NO |
| 89 | sacrum | n.a. | NO |
| SMARCB1/INI1 + (n = 52) | SMARCB1/INI +/− (n = 37) | p-Value | |
|---|---|---|---|
| Gender (N, %) Male Female | |||
| 28 (53.8%) | 23 (62.2%) | 0.516 | |
| 24 (46.2%) | 14 (37.8%) | ||
| Age (median, range in years) | 61.5 (28–86) | 59 (17–79) | 0.511 |
| Age (N, %) | |||
| ≤60 years | 22 (42.3%) | 20 (54.1%) | 0.291 |
| >60 years | 30 (57.7%) | 17 (45.9%) | |
| Tumor size (N, %) | |||
| <5 cm | 20 (38.5%) | 16 (43.2%) | |
| ≥5 cm | 20 (38.5%) | 19 (51.4%) | 0.818 |
| Not available | 12 (23%) | 2 (5.4%) | |
| Tumor localization | |||
| Cervical–thoracic–lumbar region | 20 (38.5%) | 23 (62.2%) | 0.033 |
| Sacrococcygeal region | 32 (61.5%) | 14 (37.8%) | |
| Surgical margin | |||
| Adequate | 30 (57.7%) | 15 (40.5%) | |
| Inadequate | 8 (15.3%) | 17 (46%) | 0.007 |
| Not available | 14 (27%) | 5 (13.5%) | |
| Ki-67 index (median, range in percentage) | 3 (1–12%) | 3 (1–9%) | 0.459 |
| Ki-67 index (N, %) | |||
| ≤3% | 26 (50%) | 17 (46%) | |
| >3% | 24 (46.2%) | 13 (35%) | 0.817 |
| Not evaluable | 2 (3.8%) | 7 (19%) |
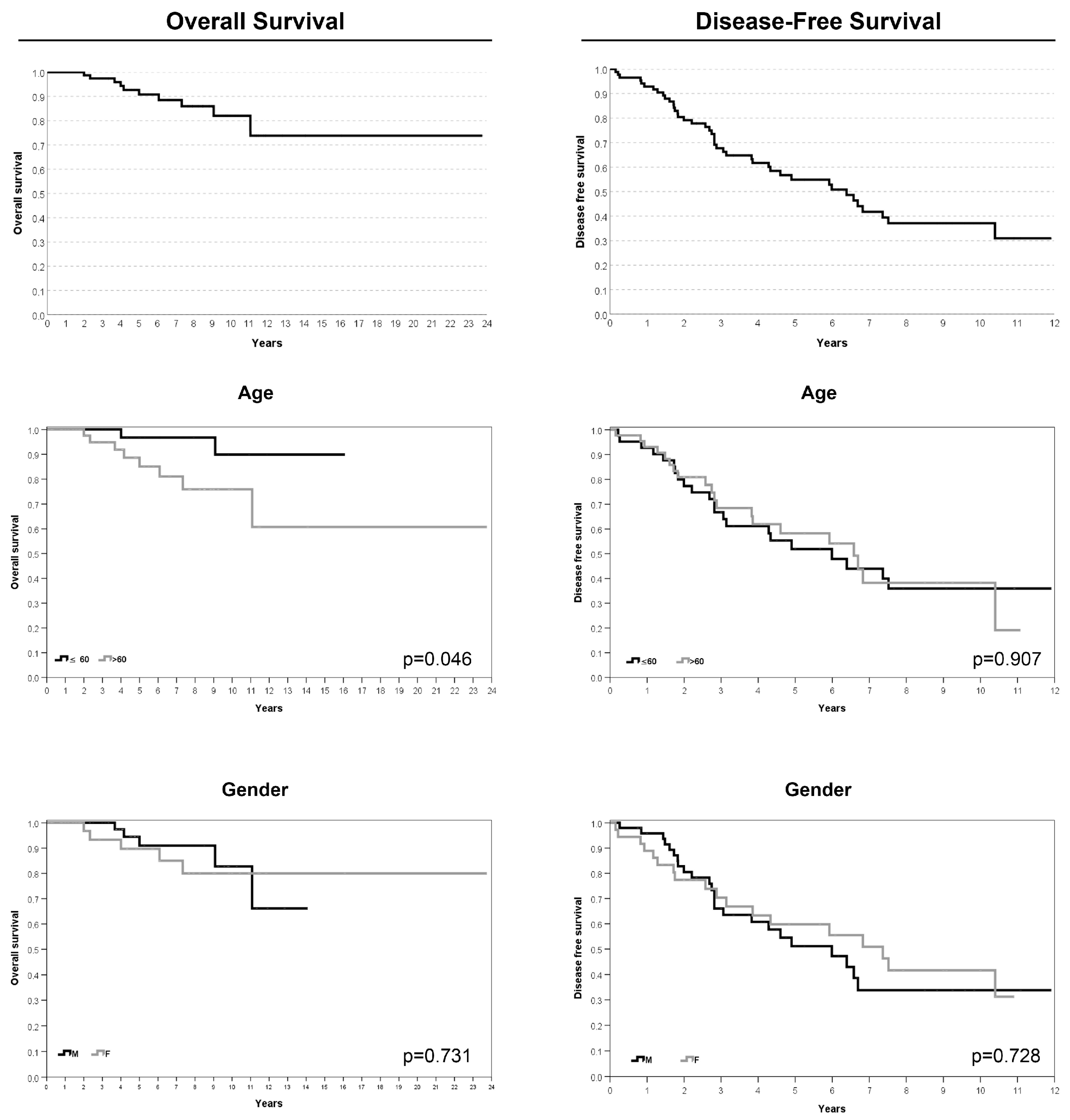
| 5 Years—OS % (SE) | p-Value | 5 Years—DFS % (SE) | p-Value | |
|---|---|---|---|---|
| Entire sample | 90.8% (3.6%) | 54.9% (6%) | ||
| Gender (N, %) | ||||
| Male | 91% (5%) | 0.731 | 51.1% (8.1%) | 0.728 |
| Female | 89.7% (5.6%) | 59.8% (8.8%) | ||
| Age (N, %) | ||||
| ≤60 years | 96.8% (3.2%) | 0.046 | 51.9% (8.3%) | 0.907 |
| >60 years | 85.1% (6.2%) | 58.3% (8.5%) | ||
| Tumor size (N, %) | ||||
| <5 cm | 90.5% (5.2%) | 0.800 | 52.7% (9%) | 0.486 |
| ≥5 cm | 94.4% (5.4%) | 49.7% (9.3%) | ||
| Tumor localization | ||||
| Cervical–thoracic–lumbar region | 87.7% (5.8%) | 0.477 | 44.2% (8.5%) | 0.017 |
| Sacrococcygeal region | 94.6% (3.7%) | 64.8% (8.1%) | ||
| Surgical margin | ||||
| Adequate | 96.8% (3.2%) | 0.065 | 61% (8%) | 0.009 |
| Inadequate | 82.2% (9.3%) | 23.2% (10.4%) | ||
| Ki-67 index (N, %) | ||||
| ≤3% | 89.6% (5.7%) | 0.648 | 60.5% (7.9%) | 0.125 |
| >3% | 96.7% (3.3%) | 47.3% (9.1%) | ||
| SMARCB1/INI1 immunohistochemical expression (N, %) | ||||
| Positive | 94.8% (3.6%) | 0.210 | 58.6% (8.8%) | 0.275 |
| Positive/negative | 85.5% (6.8%) | 49.4% (9.1%) | ||
| Previous surgery | ||||
| No | 88.9% (4.8%) | 0.98 | 66.3% (7.5%) | <0.0005 |
| Yes | 93.7% (7.4%) | 25.3% (10.4%) | ||
| Previous treatment | ||||
| No | 90.6% (4.5%) | 0.858 | 54.4% (7.4%) | 0.56 |
| Yes | 90.0% (9.5%) | 58.4% (14.5%) | ||
| Type of surgery | ||||
| En bloc resection | 88.7% (4.8%) | 0.693 | 61.6% (7.2%) | 0.899 |
| Other | 90.0% (9.5%) | 44.7% (17.1%) | ||
| Charlson Comorbidity Index (CCI) | ||||
| ≤4 | 92.3% | 0.076 | 63.0% (7.3%) | 0.011 |
| >4 | 83.8% | 39.3% (10.2%) |
| 5 years—OS | p-Value | HR | 95.0% CI | ||
| Inferior | Superior | ||||
| CCI | 0.043 | 1.694 | 1.018 | 2.820 | |
| 5 years—DFS | p-Value | HR | 95.0% CI | ||
| Inferior | Superior | ||||
| CCI | 0.078 | 1.222 | 0.978 | 1.528 | |
| p-Value | HR | 95.0% CI | |||
|---|---|---|---|---|---|
| Inferior | Superior | ||||
| Phase 1 | CCI | 0.788 | 1.110 | 0.519 | 2.373 |
| margin (1 vs. 0) * | 0.006 | 29.965 | 2.619 | 342.854 | |
| age (˃60 vs. ≤60) | 0.050 | 19.600 | 1.001 | 383.640 | |
| Phase 2 | margin (1 vs. 0) * | 0.006 | 30.049 | 2.634 | 342.745 |
| age (˃60 vs. ≤60) | 0.012 | 24.592 | 2.019 | 299.586 | |
| p-Value | HR | 95.0% CI | |||
|---|---|---|---|---|---|
| Inferior | Superior | ||||
| Phase 1 | Ki67 | 0.037 | 1.216 | 1.012 | 1.461 |
| margin (1 vs. 0) * | 0.036 | 2.501 | 1.060 | 5.904 | |
| localization | 0.233 | 0.530 | 0.187 | 1.504 | |
| previous surgery | 0.321 | 1.489 | 0.678 | 3.270 | |
| CCI | 0.008 | 1.526 | 1.119 | 2.079 | |
| type of surgery (other) | 0.556 | 0.681 | 0.189 | 2.447 | |
| type of Surgery(en bloc resection) | 0.868 | 0.913 | 0.313 | 2.664 | |
| Phase 2 | Ki67 | 0.033 | 1.216 | 1.016 | 1.455 |
| margin (1 vs. 0) * | 0.026 | 2.598 | 1.119 | 6.032 | |
| localization | 0.210 | 0.548 | 0.214 | 1.403 | |
| previous surgery | 0.279 | 1.529 | 0.709 | 3.298 | |
| CCI | 0.004 | 1.513 | 1.141 | 2.007 | |
| Phase 3 | Ki67 | 0.032 | 1.216 | 1.017 | 1.453 |
| margin (1 vs. 0) * | 0.018 | 2.771 | 1.195 | 6.429 | |
| localization | 0.203 | 0.547 | 0.216 | 1.383 | |
| CCI | 0.004 | 1.517 | 1.143 | 2.013 | |
| Phase 4 | Ki67 | 0.061 | 1.188 | 0.992 | 1.421 |
| margin (1 vs. 0) * | 0.019 | 2.667 | 1.173 | 6.059 | |
| CCI | 0.004 | 1.502 | 1.142 | 1.976 | |
Disclaimer/Publisher’s Note: The statements, opinions and data contained in all publications are solely those of the individual author(s) and contributor(s) and not of MDPI and/or the editor(s). MDPI and/or the editor(s) disclaim responsibility for any injury to people or property resulting from any ideas, methods, instructions or products referred to in the content. |
© 2024 by the authors. Licensee MDPI, Basel, Switzerland. This article is an open access article distributed under the terms and conditions of the Creative Commons Attribution (CC BY) license (https://creativecommons.org/licenses/by/4.0/).
Share and Cite
Maioli, M.; Cocchi, S.; Gambarotti, M.; Benini, S.; Magagnoli, G.; Gamberi, G.; Griffoni, C.; Gasbarrini, A.; Ghermandi, R.; Noli, L.E.; et al. Conventional Spinal Chordomas: Investigation of SMARCB1/INI1 Protein Expression, Genetic Alterations in SMARCB1 Gene, and Clinicopathological Features in 89 Patients. Cancers 2024, 16, 2808. https://doi.org/10.3390/cancers16162808
Maioli M, Cocchi S, Gambarotti M, Benini S, Magagnoli G, Gamberi G, Griffoni C, Gasbarrini A, Ghermandi R, Noli LE, et al. Conventional Spinal Chordomas: Investigation of SMARCB1/INI1 Protein Expression, Genetic Alterations in SMARCB1 Gene, and Clinicopathological Features in 89 Patients. Cancers. 2024; 16(16):2808. https://doi.org/10.3390/cancers16162808
Chicago/Turabian StyleMaioli, Margherita, Stefania Cocchi, Marco Gambarotti, Stefania Benini, Giovanna Magagnoli, Gabriella Gamberi, Cristiana Griffoni, Alessandro Gasbarrini, Riccardo Ghermandi, Luigi Emanuele Noli, and et al. 2024. "Conventional Spinal Chordomas: Investigation of SMARCB1/INI1 Protein Expression, Genetic Alterations in SMARCB1 Gene, and Clinicopathological Features in 89 Patients" Cancers 16, no. 16: 2808. https://doi.org/10.3390/cancers16162808
APA StyleMaioli, M., Cocchi, S., Gambarotti, M., Benini, S., Magagnoli, G., Gamberi, G., Griffoni, C., Gasbarrini, A., Ghermandi, R., Noli, L. E., Alcherigi, C., Ferrari, C., Bianchi, G., Asioli, S., Pignotti, E., & Righi, A. (2024). Conventional Spinal Chordomas: Investigation of SMARCB1/INI1 Protein Expression, Genetic Alterations in SMARCB1 Gene, and Clinicopathological Features in 89 Patients. Cancers, 16(16), 2808. https://doi.org/10.3390/cancers16162808

