Simple Summary
Surgery to remove all peritoneal metastases from soft tissue sarcoma combined with heated intraperitoneal chemotherapy has been suggested; however, robust evidence is lacking due to the small number of cases. Therefore, we retrospectively analyzed the results of 10 patients who underwent surgery with heated intraabdominal chemotherapy at our department between 2017 and 2024. Complete removal of all tumor lesions was possible in most of the patients with acceptable rates of postoperative complications. We were therefore able to demonstrate the safety and feasibility of surgery with heated intraabdominal chemotherapy in this subset of patients.
Abstract
(1) Background: Cytoreductive surgery (CRS) with HIPEC is considered the standard of care for selected patients with peritoneal carcinomatosis, but evidence-based treatment recommendations for the therapy of peritoneal sarcomatosis are scarce. (2) Methods: We retrospectively analyzed all adult patients treated with CRS and HIPEC for peritoneal sarcomatosis between 2017 and 2024. (3) Results: Ten patients with a median age of 46.1 years (range: 23–77 years) with metachronous (40%) or synchronous (60%) peritoneal sarcomatosis from six different tumor entities were treated according to tumor board recommendation using CRS and HIPEC with cisplatin and doxorubicin over 60 min at 42.0 °C. The length of stay in the intensive care unit and hospital was 1.24 (0.6–1.9 days) and 11.1 days (6–17 days), respectively. Complete cytoreduction was achieved in 90% of the patients, with a median PSI of 11.5. Postoperative complications occurred in five cases, but no surgical revisions were necessary, and no acute kidney damage was recorded. (4) Conclusions: CRS with HIPEC in the presence of peritoneal sarcomatosis could be safely performed in our collective. Whether this resulted in an oncological treatment benefit cannot be concluded in view of the heterogeneous and small collective. Therefore, larger and prospective studies are warranted.
1. Introduction
Peritoneal sarcomatosis (PS) refers to metastasis from soft tissue sarcoma to the peritoneal surface and may occur simultaneously with the primary tumor or in the course of tumor relapse or progression. Affected patients face a grim prognosis with a median survival of 9 to 18 months despite treatment, including systemic chemotherapy, radiotherapy, or palliative surgery [1,2,3]. Complete surgical resection has been shown to improve overall survival in patients with isolated PS, but the overall survival prospects remain limited, with a median of 23 months [3]. For selected patients with peritoneal metastasis (PM) from ovarian cancer [4,5], pseudomyxoma peritonei [6,7], or peritoneal mesothelioma [8], cytoreductive surgery (CRS) combined with heated intraperitoneal chemotherapy (HIPEC) is considered the standard of care and has been shown to confer oncological benefits. The significance of additional HIPEC in PM from colorectal cancer is currently controversial considering the results of recent clinical trials [9,10,11], whereas the value of CRS has been substantiated [12].
To improve the survival of patients with PS, HIPEC added to CRS has been suggested. The currently available evidence from the literature indicates safety [13] and potential survival advantages for selected patients in whom complete CRS is possible [14,15,16,17,18,19,20,21,22,23]. In a pooled analysis of outcomes from 20 studies, a median overall survival of 29.3 months was reported [24]. However, PS comprises metastases from heterogeneous tumor entities of soft tissue sarcoma, and the prior treatment of affected patients varies greatly. The comparability of the mainly retrospective studies with small cohorts is limited. Prospective and randomized multicenter trials are desirable but have not yet been performed. This is most likely due to the relative rarity of patients with isolated PS without further distant metastasis and the scarcity of patients eligible for complete CRS combined with HIPEC. Before setting up a prospective randomized clinical trial, we first analyzed our own experience with CRS and HIPEC for PS, retrospectively identified all patients who were treated with CRS and HIPEC for PS at our department, and assessed the impact of preoperative systemic treatment on histology, the incidence and severity of postoperative complications, and long-term outcomes following surgery and adjuvant treatment.
2. Materials and Methods
2.1. Data Search and Analysis
All patients treated between 2017 and 2024 who underwent CRS with HIPEC for PS based on a multidisciplinary tumor board recommendation were retrospectively identified from a database documenting all HIPEC procedures at the Department of General, Visceral, and Transplant Surgery at the University Hospital of Tübingen, Germany. The age of patients at the time of CRS and HIPEC, sex, comorbidities, score according to the American Society of Anesthesiologists (ASA), body mass index (BMI), tumor entity and grading, location of the primary tumor, therapy prior to CRS and HIPEC, occurrence of PS relative to primary tumor, extent of PS assessed analogous to the Peritoneal Cancer Index (PCI) according to Jacquet [25], duration of surgery defined by incision–suture time, length of stay in the intensive care unit and total hospital stay, number of procedures performed during CRS, completeness of cytoreduction (CC), concentration of drugs used for HIPEC, temperature and duration of perfusion, application of nephroprotective agents during HIPEC, findings of histopathological examination from resected tumor specimens during CRS, number and severity of postoperative complications according to the classification of Clavien–Dindo [26], additive treatment following CRS and HIPEC, and progression-free (PFS) and overall survival (OS) were retrospectively analyzed.
The study was approved by the Ethics Committee of the University of Tübingen, Germany, and is registered with the code BO348/2024.
2.2. Surgical Treatment
All surgical procedures were performed under general anesthesia combined with peridural anesthesia if consent was obtained from the patient. Midline laparotomy was performed for surgical exploration and quantification of PS. Similar to PCI in peritoneal carcinomatosis, the Peritoneal Sarcomatosis Index (PSI) was assessed by measuring the size of tumor lesions in each of the 13 defined regions of the peritoneal cavity [25]. If complete (CC0) or almost complete cytoreduction (CC1) was considered achievable, meaning that no macroscopic tumor residuals or nodules larger than 2.5 mm would remain, parietal peritonectomy procedures were combined with visceral organ resections to resect all locations affected by macroscopic signs of PS. If necessary, anastomoses were created immediately after resection and before HIPEC. In preparation for HIPEC, which was applied in an open–closed technique, 5 chest tubes of 24 Charrière size (Covidien, Neustadt an der Donau, Germany) were inserted for in- and outflow and connected to a roller-pump (Performer HT, RanD biotech, Medolla, Italy). The abdominal incision was temporarily sutured in order to perform HIPEC. When the steady state of perfusion was established with 3 L of saline 0.9%, heated to 42.0 °C, filled to the abdominal cavity, 75 mg of cisplatin per square meter of body surface area and 15 mg of doxorubicin per square meter of body surface area, according to the formula of Dubois and Dubois [27], were applied to the circulation. After 60 min, the abdominal cavity was fully drained and rinsed with 6 L of saline 0.9% before the abdominal cavity was reopened and definitively closed. For nephroprotection, sodium thiosulfate was administered during HIPEC and for a further 6 h intravenously.
2.3. Statistical Assessment
The data were stored in Microsoft Excel 2019 (Microsoft Corporation, Redmond, WA, USA) and analyzed using SPSS Statistics Version 28 (Armond, NY, USA). The graphs were designed using SPSS Statistics Version 28 (Armond, NY, USA).
3. Results
3.1. Patients and Treatment Prior to Cytoreductive Surgery with HIPEC
Between 2017 and 2024, nine women and one man, with a median age of 46.1 years (range: 23–77 years), underwent CRS with HIPEC for PS at our institution. Relevant comorbidities were present in six of the ten patients. Nine patients were classified ASA 3, and one patient was ASA 2. The primaries were located in the pelvis in four patients, in the internal female genital organs in four patients, and in the mesentery and the retroperitoneum in one patient each. The histology of the tumors was endometrial stromal sarcoma in three patients, desmoplastic round cell tumor (DSRCT) in two patients, leiomyosarcoma of the uterus in two patients, liposarcoma, carcinosarcoma of the uterine tube, and leiomyosarcoma of the mesentery in one patient, respectively.
PS was detected synchronously with the primary tumor in four patients, whereas six patients were diagnosed with peritoneal tumor recurrence. PS was identified prior to CRS and HIPEC in all patients. The mean time from diagnosis of the primary to CRS with HIPEC was 27.8 months (range: 18–47 months) in patients with metachronous PS and 9 months (range: 5–19 months) in patients with simultaneous PS. Prior to CRS and HIPEC, six patients received neoadjuvant systemic therapy. Two patients had six cycles of vincristine, ifosfamide, doxorubicin, and etoposide (VIDE), and one patient each received three cycles of carbo- or cisplatin combined with paclitaxel, six cycles of doxorubicin combined with ifosfamide, and six cycles of carboplatin with paclitaxel followed by three cycles of liposomal doxorubicin and three cycles of trabectedin. One patient was treated with two cycles of doxorubicin combined with ifosfamide in the third and fourth cycles. The therapy was then changed to four cycles of trabectidin and eighteen cycles of gemcitabine with dacarbazine. Further information is presented in Table 1.
Table 1.
Patient and tumor characteristics. ASA—American Society of Anesthesiologists; CRS—cytoreductive surgery; DSRCT—desmoplastic small round cell tumor; HIPEC—hyperthermic intraperitoneal chemotherapy.
3.2. Surgical Treatment and Findings from Pathology
During exploratory laparotomy, the PSI was assessed to be between 3 and 24 (median 11.5). Peritonectomy was the most common surgical procedure in nine patients, followed by resection of the greater omentum in eight patients and colon resections in five patients. The mean duration of surgery was 435.2 min (range: 289–659 min). Complete cytoreduction (CC0) was achieved in nine patients, whereas one patient with endometrial stromal sarcoma had almost complete cytoreduction (CC1). The mean number of procedures required for (almost) complete cytoreduction was 3.9 (range: 2–6). In patients who received systemic treatment or radiotherapy prior to CRS, pathological examination of the resected specimen showed no signs of regression in a patient with carcinosarcoma of the fallopian tube despite six cycles of carbo- and cisplatin combined with paclitaxel, and also in a patient with dedifferentiated recurrence of a retroperitoneal liposarcoma that was treated with radiotherapy. In two patients with DSRCT, regression was 10% and 85–95%, respectively, after six cycles of VIDE. A 100% regression was found in a patient with endometrial stromal sarcoma, who received six cycles of doxorubicin and ifosfamide, and in a patient with uterine leiomyosarcoma, who was heavily pretreated with four cycles of doxorubicin, of which two were combined with ifosfamide, followed by four cycles of trabectedin and eighteen cycles of gemcitabine and dacarbazine. In one patient with endometrial stromal sarcoma, six cycles of carboplatin and paclitaxel followed by three cycles of liposomal doxorubicin led to regression of up to 60% in some of the resected sarcomatosis lesions, whereas the other did not show any regression. More detailed information is presented in Table 2.
Table 2.
Extent of peritoneal sarcomatosis and cytoreductive surgery, HIPEC features, and pathological findings. BSA—body surface area; CC—completeness of cytoreduction; HIPEC—hyperthermic intraperitoneal chemotherapy; PSI—peritoneal sarcomatosis index.
3.3. Short-Term Outcomes
The total length of hospital stay was a mean of 11.1 days (range: 6–17), with 1.24 days in the intensive care unit (range: 0.6–1.9). After discharge from in-hospital treatment, no patient was readmitted to our inpatient clinic. Five patients experienced postoperative complications. Three patients experienced one complication each, which was grade 1 according to the Clavien–Dindo classification of postoperative complications in two patients and grade 2 in one patient. One patient experienced two complications, of which one complication was grade 3a due to postoperative pneumothorax requiring the insertion of a chest tube. The comprehensive complication index (CCI) for this patient was therefore 33.5. Another patient experienced three complications with a maximum grade of 2 andthe CCI was 30.8. No patient returned to the operating room, none was readmitted to the intensive care unit, and none died. Further details are provided in Table 3.
Table 3.
Short-term outcomes following CRS and HIPEC for PS. CCI—comprehensive complication index.
3.4. Long-Term Outcomes and Adjuvant Treatment
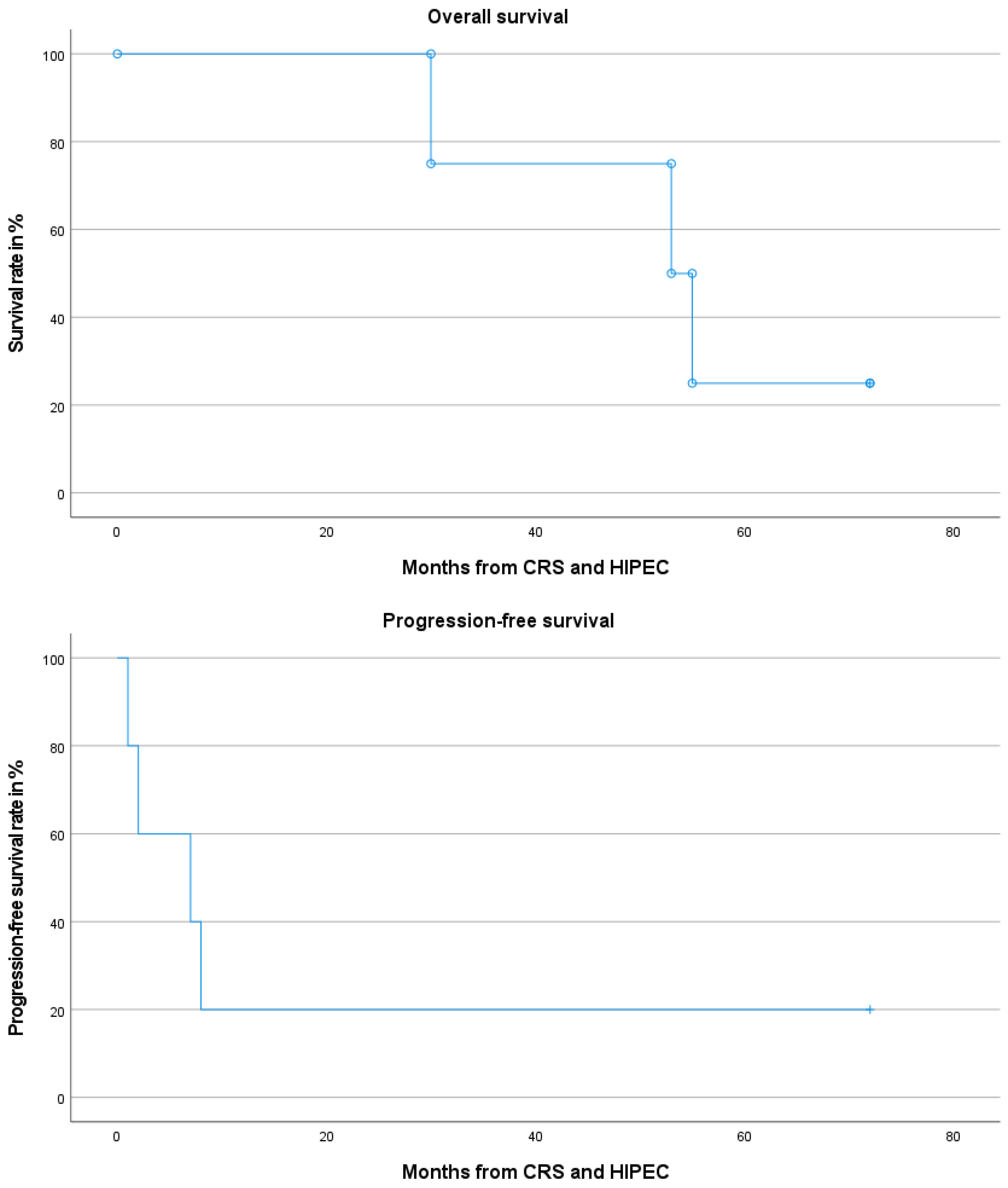
One patient with DSRCT was treated with eight cycles of adjuvant vincristine, actinomycin D, and cyclophosphamide and then underwent follow-up for 72 months without signs of recurrence until the preparation of this work. Two patients with extra-abdominal metastases at the time of CRS and HIPEC underwent thoracoscopic resection and further systemic treatment with VIDE. One patient with carcinosarcoma of the fallopian tube received maintenance therapy with niraparib but developed peritoneal and pulmonary recurrence after 7 months. No adjuvant treatment was administered to the remaining patients, but oncological follow-up was initiated. Three patients were lost to follow-up. Two patients experienced a relapse in the peritoneum after 1 and 8 months and died 30 and 53 months after CRS and HIPEC, respectively. One patient developed multifocal recurrence 2 months after CRS and HIPEC and died 55 months after surgery. The median recurrence-free and overall survival was 7 and 53 months, respectively. Oncological outcome parameters are illustrated by Kaplan–Meier curves in Figure 1.
Figure 1.
Kaplan–Meier curves illustrating overall and progression-free survival following CRS and HIPEC for PS.
4. Discussion
With this retrospective investigation, we aimed to analyze the characteristics of patients with PS from our department who underwent CRS and HIPEC and the associated short- and long-term outcomes. Considering the small patient cohort and the variety of tumor entities causing PS included in our work, the possibility of drawing conclusions is certainly limited. Despite the relatively small sample size, as well as the heterogeneity of tumor entities and the treatment prior to CRS and HIPEC, we were able to demonstrate the feasibility of CRS and HIPEC in this cohort with low morbidity and no mortality. However, it is unclear whether the combined treatment of CRS and HIPEC was beneficial in terms of progression-free and overall survival in our cohort, and no conclusions that are transferable to other patients with PS can be drawn. The median overall survival of 53 months in our cohort and almost 6 years of survival without evidence of disease recurrence in one patient with highly aggressive DSRCT following complete CRS with HIPEC may, however, be encouraging for further investigation of this treatment approach within the framework of a prospective clinical trial.
Comparable to peritoneal carcinomatosis, the treatment of PS has developed over the last 30 years, from conservative over-debulking surgery to CRS combined with HIPEC. In 1992, Karakousis et al. demonstrated an improved median overall survival of 23 months in patients with sarcoma disseminated within the abdominal cavity who underwent complete cytoreduction, compared to patients who were not completely resectable, with a median overall survival of 9 months. Survival after 3 years was 28% after CRS, whereas no patient was alive after 3 years if no complete surgical resection was performed [3]. To improve the effect of CRS, additional catheter-based intraperitoneal chemotherapy every 4 weeks was prospectively investigated in 28 patients with PS, 79% of whom had complete cytoreduction with a mean number of 62.4 resected lesions. Given the 5-year survival rate of only 7% in this cohort, this early experience was indeed discouraging [28]. The extent of the peritoneal tumor could be one explanation for the disappointing results.
Although derived from retroperitoneal sarcoma, multifocality and a high number of tumor lesions compared to limited unifocal disease spread have been demonstrated to negatively impact the survival in patients with either primary or recurrent retroperitoneal sarcoma. The 5-year overall survival rate was 60% in the group with unifocal disease, 31% in the multifocal group, and 7% in the group of patients with >7 tumor lesions [2]. These findings are supported by the observation that patients with high-volume PS at the time of diagnosis, independent of the primary tumor histology, have a decreased 2-year survival rate of 24% when compared to patients with low-volume PS who experienced an 82% 2-year survival rate [1].
CRS with or without HIPEC has become a widely adopted treatment option with curative intention for selected patients with PS, demonstrating promising overall survival rates compared to palliative treatment, with acceptable rates of morbidity [29,30,31,32]. A recently published systematic review with meta-analysis, including 16 studies with a total of 320 patients, has expanded evidence supporting CRS and HIPEC for PS, demonstrating a median disease-free survival of 12.0 months (95% CI: 8.0–16.0), a median overall survival of 29.3 months (95% CI: 23.8–34.8), and an overall survival of 34.6 months (95% CI: 23.2–45.9) in the subgroup of patients in whom complete cytoreduction had been achieved. In the subset of patients with leiomyosarcoma and liposarcoma, which were the majority of tumor entities, the median overall survival was 33.5 months (95% CI: 15.9–51.1) and 39.1 months (95% CI: 20.8–57.5), respectively [24]. In our analysis, the overall progression-free survival was 7 months, and the median overall survival was 53 months. Of all the patients included in the systematic review, 35% had leiomyosarcoma, 28.1% had liposarcoma, 9% had gastrointestinal stromal tumors (GIST), 4.7% had DSRCT, and 3.1% had endometrial stromal sarcoma. In contrast, our study cohort was substantially smaller than that in the pooled analysis. As regards that analysis, the percentage of female patients was 62.5% and therefore lower than that in our cohort (90%), and the median age was 51.2 years, compared to 46.1 years in our cohort. There were no GISTs included in our work. The distribution of tumor entities was comparable between leiomyosarcoma (20%) and liposarcoma (10%), but the proportion of DSRCT (20%) and endometrial stromal sarcoma (30%) was higher in our cohort. Of the 236 patients with specified information, 65 had synchronous PS, and 171 had recurrent disease at the peritoneum. Therefore, the results are not necessarily comparable, and conclusions must be drawn with caution. Cytoreduction status was available for 256 patients, of whom CC-0 status was achieved in 203 patients at a mean PCI of 11.8. In our study cohort, the complete cytoreduction rate was 90%, and the median PCI was 11.5. Serious complications occurred in 17.4% of all patients (95% CI: 9.8–26.3), and the length of stay was 16.0 days (95% CI: 12.2–19.8) in the systematic review, whereas the total length of stay was 11.1 days (range: 6–17 days) in our analysis, and no serious complications ≥ grade IIIb according to the Clavien–Dindo classification of postoperative complications occurred.
The comparability is not only restricted due to the heterogeneity of primary tumor histologies included in most analyses but also because of the lack of evidence-based standardization of HIPEC protocols. The systematic review has revealed that five different chemotherapeutic agents alone or in combination were administered for 1–2 h at temperatures between 40 and 43 °C. For certain patients, adjustments of dose, duration, or temperature were made. Such variations in HIPEC protocols and their implications for the comparability of study results have already been described for the treatment of PM from colorectal cancer [33]. In order to further investigate HIPEC following CRS in PS, a standardized HIPEC protocol with pre-clinically proven effectiveness should be established before broad clinical implementation of this therapeutic approach.
5. Conclusions
To date, there are no results from prospective clinical trials demonstrating improved outcomes by additional HIPEC following complete CRS in PS. Considering the promising results from mainly retrospective analyses, a prospective clinical study should soon be initiated utilizing an evidence-based HIPEC protocol. Despite the improved survival prospects in patients who were treated with CRS and HIPEC, the fact that the majority of recurrences are locoregional does emphasize the need to also investigate more effective treatment options in parallel for patients with PS.
Author Contributions
Conceptualization, C.Y., R.L. and J.S.; methodology, C.Y. and J.S.; validation, A.L.M. and R.L.; formal analysis, C.Y., R.L. and J.S.; investigation, C.Y., R.L. and J.S.; resources, A.L.M. and R.L.; data curation, C.Y. and J.S.; writing—original draft preparation, C.Y. and J.S.; writing—review and editing, A.L.M. and R.L.; visualization, C.Y. and J.S.; supervision, A.L.M. and R.L. All authors have read and agreed to the published version of the manuscript.
Funding
This research received no external funding but we acknowledge support from the Open Access Publication Fund of the University of Tübingen.
Institutional Review Board Statement
The study was conducted in accordance with the Declaration of Helsinki and was approved by the Ethics Committee of the University Hospital of Tübingen, Germany (code BO348/2024).
Informed Consent Statement
Informed consent was obtained from all subjects involved in the study.
Data Availability Statement
Data are available upon reasonable request from the corresponding author.
Conflicts of Interest
The authors declare no conflicts of interest.
References
- Bilimoria, M.M.; Holtz, D.J.; Mirza, N.Q.; Feig, B.W.; Pisters, P.W.; Patel, S.; Pollock, R.E.; Benjamin, R.S.; Papadopoulos, N.E.; Plager, C.; et al. Tumor volume as a prognostic factor for sarcomatosis. Cancer 2002, 94, 2441–2446. [Google Scholar] [CrossRef]
- Anaya, D.A.; Lahat, G.; Liu, J.; Xing, Y.; Cormier, J.N.; Pisters, P.W.; Lev, D.C.; Pollock, R.E. Multifocality in retroperitoneal sarcoma: A prognostic factor critical to surgical decision-making. Ann. Surg. 2009, 249, 137–142. [Google Scholar] [CrossRef] [PubMed]
- Karakousis, C.P.; Blumenson, L.E.; Canavese, G.; Rao, U. Surgery for disseminated abdominal sarcoma. Am. J. Surg. 1992, 163, 560–564. [Google Scholar] [CrossRef] [PubMed]
- van Driel, W.J.; Koole, S.N.; Sikorska, K.; Schagen van Leeuwen, J.H.; Schreuder, H.W.R.; Hermans, R.H.M.; de Hingh, I.; van der Velden, J.; Arts, H.J.; Massuger, L.; et al. Hyperthermic Intraperitoneal Chemotherapy in Ovarian Cancer. N. Engl. J. Med. 2018, 378, 230–240. [Google Scholar] [CrossRef]
- Aronson, S.L.; Lopez-Yurda, M.; Koole, S.N.; Schagen van Leeuwen, J.H.; Schreuder, H.W.R.; Hermans, R.H.M.; de Hingh, I.; van Gent, M.; Arts, H.J.G.; van Ham, M.; et al. Cytoreductive surgery with or without hyperthermic intraperitoneal chemotherapy in patients with advanced ovarian cancer (OVHIPEC-1): Final survival analysis of a randomised, controlled, phase 3 trial. Lancet Oncol. 2023, 24, 1109–1118. [Google Scholar] [CrossRef]
- Kusamura, S.; Barretta, F.; Yonemura, Y.; Sugarbaker, P.H.; Moran, B.J.; Levine, E.A.; Goere, D.; Baratti, D.; Nizri, E.; Morris, D.L.; et al. The Role of Hyperthermic Intraperitoneal Chemotherapy in Pseudomyxoma Peritonei After Cytoreductive Surgery. JAMA Surg. 2021, 156, e206363. [Google Scholar] [CrossRef] [PubMed]
- Govaerts, K.; Chandrakumaran, K.; Carr, N.J.; Cecil, T.D.; Dayal, S.; Mohamed, F.; Thrower, A.; Moran, B.J. Single centre guidelines for radiological follow-up based on 775 patients treated by cytoreductive surgery and HIPEC for appendiceal pseudomyxoma peritonei. Eur. J. Surg. Oncol. J. Eur. Soc. Surg. Oncol. Br. Assoc. Surg. Oncol. 2018, 44, 1371–1377. [Google Scholar] [CrossRef] [PubMed]
- Verma, V.; Sleightholm, R.L.; Rusthoven, C.G.; Koshy, M.; Sher, D.J.; Grover, S.; Simone, C.B., 2nd. Malignant Peritoneal Mesothelioma: National Practice Patterns, Outcomes, and Predictors of Survival. Ann. Surg. Oncol. 2018, 25, 2018–2026. [Google Scholar] [CrossRef]
- Arjona-Sánchez, A.; Espinosa-Redondo, E.; Gutiérrez-Calvo, A.; Segura-Sampedro, J.J.; Pérez-Viejo, E.; Concepción-Martín, V.; Sánchez-García, S.; García-Fadrique, A.; Prieto-Nieto, I.; Barrios-Sanchez, P.; et al. Efficacy and Safety of Intraoperative Hyperthermic Intraperitoneal Chemotherapy for Locally Advanced Colon Cancer: A Phase 3 Randomized Clinical Trial. JAMA Surg. 2023, 158, 683–691. [Google Scholar] [CrossRef]
- Klaver, C.E.L.; Wisselink, D.D.; Punt, C.J.A.; Snaebjornsson, P.; Crezee, J.; Aalbers, A.G.J.; Brandt, A.; Bremers, A.J.A.; Burger, J.W.A.; Fabry, H.F.J.; et al. Adjuvant hyperthermic intraperitoneal chemotherapy in patients with locally advanced colon cancer (COLOPEC): A multicentre, open-label, randomised trial. Lancet Gastroenterol. Hepatol. 2019, 4, 761–770. [Google Scholar] [CrossRef]
- Goere, D.; Glehen, O.; Quenet, F.; Ducreux, M.; Guilloit, J.-M.; Texier, M.; Benhamou, E.; Elias, D.; BIG-RENAPE; PRODIGE. Results of a randomized phase 3 study evaluating the potential benefit of a second-look surgery plus HIPEC in patients at high risk of developing colorectal peritoneal metastases (PROPHYLOCHIP-NTC01226394). J. Clin. Oncol. 2018, 36, 3531. [Google Scholar] [CrossRef]
- Quénet, F.; Elias, D.; Roca, L.; Goéré, D.; Ghouti, L.; Pocard, M.; Facy, O.; Arvieux, C.; Lorimier, G.; Pezet, D.; et al. Cytoreductive surgery plus hyperthermic intraperitoneal chemotherapy versus cytoreductive surgery alone for colorectal peritoneal metastases (PRODIGE 7): A multicentre, randomised, open-label, phase 3 trial. Lancet Oncol. 2021, 22, 256–266. [Google Scholar] [CrossRef] [PubMed]
- Bonvalot, S.; Cavalcanti, A.; Le Péchoux, C.; Terrier, P.; Vanel, D.; Blay, J.Y.; Le Cesne, A.; Elias, D. Randomized trial of cytoreduction followed by intraperitoneal chemotherapy versus cytoreduction alone in patients with peritoneal sarcomatosis. Eur. J. Surg. Oncol. J. Eur. Soc. Surg. Oncol. Br. Assoc. Surg. Oncol. 2005, 31, 917–923. [Google Scholar] [CrossRef] [PubMed]
- Abu-Zaid, A.; Azzam, A.; Abuzaid, M.; Elhassan, T.; Albadawi, N.; Alkhatib, L.; AlOmar, O.; Alsuhaibani, A.; Amin, T.; Al-Badawi, I.A. Cytoreductive Surgery plus Hyperthermic Intraperitoneal Chemotherapy for Management of Peritoneal Sarcomatosis: A Preliminary Single-Center Experience from Saudi Arabia. Gastroenterol. Res. Pract. 2016, 2016, 6567473. [Google Scholar] [CrossRef] [PubMed]
- Baratti, D.; Pennacchioli, E.; Kusamura, S.; Fiore, M.; Balestra, M.R.; Colombo, C.; Mingrone, E.; Gronchi, A.; Deraco, M. Peritoneal sarcomatosis: Is there a subset of patients who may benefit from cytoreductive surgery and hyperthermic intraperitoneal chemotherapy? Ann. Surg. Oncol. 2010, 17, 3220–3228. [Google Scholar] [CrossRef]
- Bryan, M.L.; Fitzgerald, N.C.; Levine, E.A.; Shen, P.; Stewart, J.H.; Votanopoulos, K.I. Cytoreductive surgery with hyperthermic intraperitoneal chemotherapy in sarcomatosis from gastrointestinal stromal tumor. Am. Surg. 2014, 80, 890–895. [Google Scholar] [CrossRef]
- Díaz-Montes, T.P.; El-Sharkawy, F.; Lynam, S.; Harper, A.; Sittig, M.; MacDonald, R.; Gushchin, V.; Sardi, A. Efficacy of Hyperthermic Intraperitoneal Chemotherapy and Cytoreductive Surgery in the Treatment of Recurrent Uterine Sarcoma. Int. J. Gynecol. Cancer 2018, 28, 1130–1137. [Google Scholar] [CrossRef]
- Gusani, N.J.; Cho, S.W.; Colovos, C.; Seo, S.; Franko, J.; Richard, S.D.; Edwards, R.P.; Brown, C.K.; Holtzman, M.P.; Zeh, H.J.; et al. Aggressive surgical management of peritoneal carcinomatosis with low mortality in a high-volume tertiary cancer center. Ann. Surg. Oncol. 2008, 15, 754–763. [Google Scholar] [CrossRef]
- Karamveri, C.; Pallas, N.; Kyziridis, D.; Hristakis, C.; Kyriakopoulos, V.; Kalakonas, A.; Vaikos, D.; Tentes, A.K. Cytoreductive Surgery in Combination with HIPEC in the Treatment of Peritoneal Sarcomatosis. Indian J Surg Oncol 2019, 10, 40–45. [Google Scholar] [CrossRef]
- Naffouje, S.A.; Tulla, K.A.; Salti, G.I. A Simplified Peritoneal Sarcomatosis Score for patients treated with cytoreductive surgery and hyperthermic intraperitoneal chemotherapy. J. Gastrointest. Oncol. 2018, 9, 1138–1143. [Google Scholar] [CrossRef]
- Rossi, C.R.; Deraco, M.; De Simone, M.; Mocellin, S.; Pilati, P.; Foletto, M.; Cavaliere, F.; Kusamura, S.; Gronchi, A.; Lise, M. Hyperthermic intraperitoneal intraoperative chemotherapy after cytoreductive surgery for the treatment of abdominal sarcomatosis: Clinical outcome and prognostic factors in 60 consecutive patients. Cancer 2004, 100, 1943–1950. [Google Scholar] [CrossRef] [PubMed]
- Sardi, A.; Sipok, A.; Baratti, D.; Deraco, M.; Sugarbaker, P.; Salti, G.; Yonemura, Y.; Sammartino, P.; Glehen, O.; Bakrin, N.; et al. Multi-institutional study of peritoneal sarcomatosis from uterine sarcoma treated with cytoreductive surgery and hyperthermic intraperitoneal chemotherapy. Eur. J. Surg. Oncol. J. Eur. Soc. Surg. Oncol. Br. Assoc. Surg. Oncol. 2017, 43, 2170–2177. [Google Scholar] [CrossRef] [PubMed]
- Spiliotis, J.; Kopanakis, N.; Argyriou, E.O.; Vafias, E.; Efstathiou, E. Locoregional treatment of peritoneal sarcomatosis A single-centre experience. Ann. Ital. Chir. 2016, 87, 333–336. [Google Scholar] [PubMed]
- Wong, L.C.K.; Li, Z.; Fan, Q.; Tan, J.W.; Tan, Q.X.; Wong, J.S.M.; Ong, C.J.; Chia, C.S. Cytoreductive surgery (CRS) with hyperthermic intraperitoneal chemotherapy (HIPEC) in peritoneal sarcomatosis-A systematic review and meta-analysis. Eur. J. Surg. Oncol. J. Eur. Soc. Surg. Oncol. Br. Assoc. Surg. Oncol. 2022, 48, 640–648. [Google Scholar] [CrossRef]
- Jacquet, P.; Sugarbaker, P.H. Peritoneal-plasma barrier. Cancer Treat. Res. 1996, 82, 53–63. [Google Scholar]
- Dindo, D.; Demartines, N.; Clavien, P.A. Classification of surgical complications: A new proposal with evaluation in a cohort of 6336 patients and results of a survey. Ann. Surg. 2004, 240, 205–213. [Google Scholar] [CrossRef]
- Dubois, D.F. A formula to estimate the approximate surface area if height and body mass be known. Arch. Intern. Med. 1916, 17, 863–871. [Google Scholar] [CrossRef]
- Karakousis, C.P.; Kontzoglou, K.; Driscoll, D.L. Intraperitoneal chemotherapy in disseminated abdominal sarcoma. Ann. Surg. Oncol. 1997, 4, 496–498. [Google Scholar] [CrossRef]
- Klingler, F.; Ashmawy, H.; Häberle, L.; Esposito, I.; Schimmöller, L.; Knoefel, W.T.; Krieg, A. Treatment Pathways and Prognosis in Advanced Sarcoma with Peritoneal Sarcomatosis. Cancers 2023, 15, 1340. [Google Scholar] [CrossRef]
- Almasri, M.S.; Hakeam, H.A.; Alnajashi, N.S.; Alzamil, L.A.; Azzam, A.Z.; Amin, T.M. Cytoreductive Surgery with Bidirectional Intraoperative Chemotherapy (BDIC) Using Intravenous Ifosfamide Plus Hyperthermic Intraperitoneal Chemotherapy (HIPEC) in Patients with Peritoneal Sarcomatosis: A Retrospective Cohort Study. Ann. Surg. Oncol. 2024, 31, 2368–2377. [Google Scholar] [CrossRef]
- Lopez-Ramirez, F.; Sardi, A.; Studeman, K.; King, M.C.; Falla-Zuniga, L.F.; Nikiforchin, A.; Baron, E.; Nieroda, C.; Gushchin, V.; Diaz-Montes, T. Outcomes after cytoreductive surgery and hyperthermic intraperitoneal chemotherapy for peritoneal dissemination from ovarian carcinosarcoma. Eur. J. Surg. Oncol. J. Eur. Soc. Surg. Oncol. Br. Assoc. Surg. Oncol. 2023, 49, 1495–1503. [Google Scholar] [CrossRef]
- Muñoz Casares, F.C.; Padillo Ruiz, F.J.; González de Pedro, C.; Gómez Barbadillo, J.; Martín Broto, J.; Almoguera González, F.; Díaz Gómez, D.; Fernández-Hernández, J.; González López, J.A.; Asencio Pascual, J.M. Radical cytoreductive surgery and hyperthermic intraperitoneal chemotherapy in the treatment of peritoneal sarcomatosis: Results from a reference center and considerations based on current evidence. Cir. Esp. (Engl. Ed.), 2024; in press. [Google Scholar] [CrossRef]
- Yurttas, C.; Hoffmann, G.; Tolios, A.; Haen, S.P.; Schwab, M.; Konigsrainer, I.; Konigsrainer, A.; Beckert, S.; Loffler, M.W. Systematic Review of Variations in Hyperthermic Intraperitoneal Chemotherapy (HIPEC) for Peritoneal Metastasis from Colorectal Cancer. J. Clin. Med. 2018, 7, 567. [Google Scholar] [CrossRef] [PubMed]
Disclaimer/Publisher’s Note: The statements, opinions and data contained in all publications are solely those of the individual author(s) and contributor(s) and not of MDPI and/or the editor(s). MDPI and/or the editor(s) disclaim responsibility for any injury to people or property resulting from any ideas, methods, instructions or products referred to in the content. |
© 2024 by the authors. Licensee MDPI, Basel, Switzerland. This article is an open access article distributed under the terms and conditions of the Creative Commons Attribution (CC BY) license (https://creativecommons.org/licenses/by/4.0/).
