Abstract
6′/3′-Sialylated N-acetyllactosamine (6′/3′-SLN) is important for discrimination of the source (human or avian) of influenza virus strains. Biotinylated oligosaccharides have been widely used for analysis and quick detection. The development of efficient strategies to synthesize biotin-tagged 6′/3′-SLN have become necessary. Effective mixing is essential for enzymatic solid-phase oligosaccharide synthesis (SPOS). In the current study, newly developed technology ultrahigh-frequency-acoustofluidics (UHFA), which can provide a powerful source for efficient microfluidic mixing, solid-phase oligosaccharide synthesis and one-pot multienzyme (OPME) system, were used to develop a new strategy for oligosaccharide synthesis. Firstly, biotinylated N-acetylglucosamine was designed and chemically synthesized through traditional approaches. Secondly, biotinylated 6′- and 3′-sialyl-N-acetylglucosamines were prepared in solution through two sequential OPME modules in with a yield of ~95%. Thirdly, 6′-SLN was also prepared through UHFA-based enzymatic solid-phase synthesis on magnetic beads with a yield of 64.4%. The current strategy would be potentially used for synthesis of functional oligosaccharides.
1. Introduction
Proteins, nucleic acids, lipids, and carbohydrates are four main types of biomolecules forming the basis of life. Like proteins, nucleic acids and lipids, carbohydrates play key roles in many biological processes such as protein conformation [1], molecular recognition [2], cell proliferation and differentiation [3], and are closely related with occurrence and development of many diseases [4]. However, compared with nucleic acids and proteins, studies toward carbohydrates are lagging behind. In recent years, with the rapid progress in glycobiology, investigations into carbohydrates have received more and more attention.
Sialic acid-containing glycans play important functions in many physiological and pathological processes, including intercellular adhesion, signaling, microbial attachment, etc. [5], and most sialic acid-related biological processes require specific sialic acid forms, glycosidic linkage and defined underlying glycan chains [6]. Furthermore, sialic acid is generally located at the nonreducing ends of the sugar chains [7]. This outmost position and ubiquitous distribution enable sialylated glycans to be involved in numerous cellular processes. For example, studies have shown that hemagglutinin (HA) of human influenza virus strains preferentially binds to oligosaccharides that terminate with 6′-α-sialyl-N-acetyllactosamine (6′-SLN), whereas HA of the avian influenza virus strains prefers oligosaccharides that terminate with 3′-α-sialyl-N-acetyllactosamine (3′-SLN), thereby enabling an interspecific barrier for virus transmission [8]. In addition, aberrant protein sialylation has been closely correlated with various cancers. For instance, prostate cancer features an elevated expression of α2-3-linked glycans [9], whereas breast cancer exhibits overexpression of α2-6-linked glycans [10].
Mutations in the viral HA binding site that switch selectivity from α2-3 to α2-6 sialoglycans are a prerequisite for interspecies transfer and can indicate a newly acquired ability of avian viruses to infect humans [8]. For example, several avian influenza virus subtypes (such as H5N1, H7 or H9N2) broke through the species barrier and gained the ability to infect humans [11]. Therefore, screening tools to identify changes in influenza glycan specificity have been employed for early diagnosis of virus transmissibility and assessment of possible pandemic risks, and are also important for differentiation of the source of influenza virus strains [12]. Sialyllactosamine derivatives-based probes would potentially achieve those goals. Some sialyllactosamine derivatives were synthesized and investigated for that, including imidazolium-tagged 6′/3′-sialyllactosamine [13], multivalent 6′-sialyllactosamine-carrying glyco-nanoparticles [14], and sialylglycopolymers-bearing 6′-sialyllactosamine [15].
Biotin-avidin binding, with a very high affinity (1015M−1) [16], is the strongest known noncovalent interaction in nature and has been extensively exploited for biological applications. That binding can be used for controlled immobilization of biotinylated oligosaccharides onto streptavidin-coated ELISA plates and beads and for tracing carbohydrate binding molecules. Therefore, biotinylated oligosaccharides have been widely used for analysis and detection. For example, biotinylated chondroitin sulfate tetrasaccharides were used for analyzing their interactions with the monoclonal antibodies 2H6 and LY111 [17].The biotinylated derivatives of the oligo-α-(1→3)-D-glucosides could be used to investigate glycan-protein interactions and cytokine induction associated with the immune response to Aspergillus fumigatus [18]. Biotinylated N-acetyllactosamine- and N,N-diacetyllactosamine-based oligosaccharides were used as novel ligands for human galectin-3 [19].
Biotinylated 6′/3′-sialyl-N-acetyllactosamine could be potentially used for early diagnosis of virus transmissibility and assessment of possible pandemic risks too. In 2007, biotinylated 6′/3′-sialyl-N-acetyllactosamine was prepared. p-Aminophenyl glycosides of 6′/3′-sialyl-N-acetyllactosaminide was synthesized starting from p-nitrophenyl-N-acetyl-β-D-glucosaminide through three steps: synthesis of p-nitrophenyl-N-acetyllactosaminide with β-D-galactosidase, followed by chemical reduction of the p-nitrophenyl group and sialylation with recombinant rat α2,3-sialyltransferase and rat liver α2,6-sialyltransferase. Finally, the p-aminophenyl glycosides were biotin-labeled through the coupling with biotinyl-6-aminohexanoic acid to afford biotinylated oligosaccharides. The biotin-labeled sugars were shown to be useful for immobilization and assay of the carbohydrate-lectin interactions by surface plasmon resonance (SPR). Due to low specificity and uncontrolled transglycosylation of β-galactosidase, in addition to the target product-N-acetyllactosamine, β1,6-galactosyl N-acetylglucosamine, trisaccharide and tetrasaccharide were also produced. Moreover, rat sialyltransferases were used for sialylation [20].
Compared to mammalian glycosyltransferases, bacterial ones are less sensitive to nucleotide inhibition, and show broad substrate specificity, and are available in recombinant and soluble form with high expression level. Therefore, bacterial glycosyltransferases are widely used in oligosaccharide synthesis. Considering the fact that effective and economic synthesis oligosaccharide is to combine the sugar nucleotide biosynthetic process with glycosyltransferase-catalyzed reactions, highly efficient bacterial glycosyltransferases based one-pot multienzyme (OPME) [21] methods starting from simple monosaccharides have been developed and used for synthesis of many structurally complicated oligosaccharides.
In comparison with liquid-phase oligosaccharide synthesis, solid-phase oligosaccharide synthesis (SPOS) offers advantages in several aspects: (1) only one purification step is needed in most cases at the end of the reaction; (2) unwanted reagents and side products can be easily removed by washing and filtering, and so excessive glycosyl donor can be used to ensure the high production yield. Enzymatic SPOS, combining advantages of OPME and SPOS in particular, is more desirable since it could offer a real simplification by combining the advantages of the OPME approach with those of the solid-phase method [22].
A micro-fabricated solid-mounted thin-film piezoelectric resonator (SMR) with a frequency of 1.54 GHz has been integrated into microfluidic systems. Experimental and simulation results showed that UHF (ultrahigh frequency)-SMR triggers strong acoustic field gradients to produce efficient and highly localized acoustic streaming vortices, providing a powerful source for microfluidic mixing [23]. Ultrahigh frequency (~2.5 GHz) piezoelectric resonators as acoustic micromixers were excited to produce turbulent flow in microdroplets for in situ, pumping-free, and highly efficient mixing [24]. This ultrahigh-frequency-acoustofluidics (UHFA) was successfully used for classic Diels-Alder reactions [25].
In this study, biotinylated 6′- and 3′-sialyl-N-acetyllactosamine were synthesized by the liquid-phase and SPOS-based OPME approach. Given the fact that efficient mixing is important for SPOS-based OPME synthesis, UHFA was applied for SPOS of biotinylated 6′- and 3′-sialyl-N-acetyllactosamine due to its highly localized acoustic streaming vortices.
2. Results and Discussion
2.1. Design and Synthesis of Biotin-Tagged N-Acetylglucosamine (Biotin-GlcNAc)
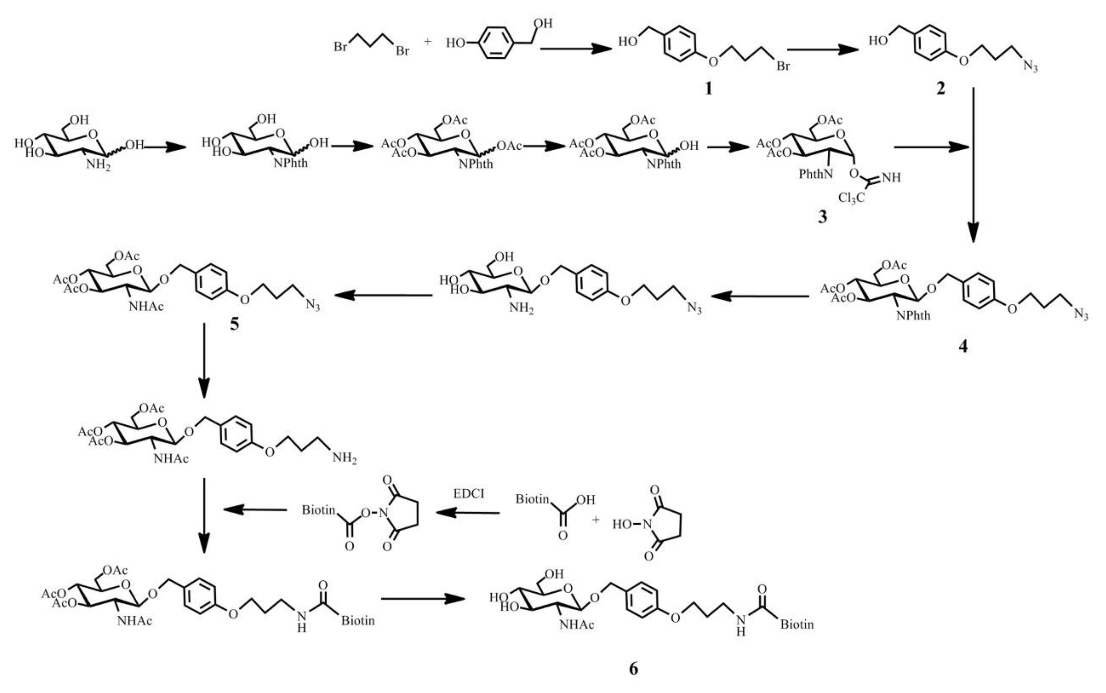
The starting biotinylated monosaccharide acceptor-biotin-tagged N-acetylglucosamine (named as Biotin-GlcNAc in this study) was designed and synthesized through well-known procedures shown in Scheme 1 (Supplementary materials). Compound 1 was synthesized from p-hydroxymethyl phenol and 1,3-dibromo propane in the presence of K2CO3 with medium yield. Compound 2 was prepared from compound with large excess of NaN3 at 95% yield. Compound 3 was synthesized through four steps: glucosamine was first reacted with o-phthalic anhydride, then followed by peracetylation by acetic anhydride and selective hydrolysis of C1-acetate, and finally trichloroacetimidate glycosyl donor compound 4 was obtained stereo specifically. Compound 4 was produced through direct coupling between compounds 2 and 3. Compound 4 was then fully deprotected and followed by selective acetylation at the amino group to give compound 5. Compound 5 was reduced and condensed with N-hydroxysuccinimide (NHS)-activated biotin to afford the final product-Biotin-GlcNAc (compound 6), which was purified by HPLC (High Performance Liquid Chromatography) (Figures S1 and S2 in Supplementary materials). Compound 6 was characterized by NMR and MS (Figure S3 in Supplementary materials).
Scheme 1.
Synthesis of biotin-labeled N-acetylglucosamine (Biotin-GlcNAc).
2.2. Sequential OPME Synthesis of Biotinylated 6′/3′-sialyl-N-Acetylglucosamine in Solution
With chemically prepared Biotin-GlcNAc (compound 6) in hand, a one-pot two-enzyme β1,4-galactosylation system (OPME 1) was adopted for introducing β1,4-linked galactose to Biotin-GlcNAc based on previous report (Scheme 2) [26]. Considering the fact that UDP-Gal (CAS No. 137868-52-1, catalog No. 254155, $648/50 mg) (J&K Scientific Ltd., Beijing, China) was much more expensive than UDP-Glc (CAS No.117756-22-6, catalog No. 542767, $30/50 mg) (J&K Scientific Ltd., Beijing, China), UDP-Gal was selected as the starting material for OPME 1. Thus, in this one-pot two-enzyme system (OPME 1), UDP-Glc was converted into UDP-Gal by an Escherichia coli UDP-galactose isomerase (EcGalE) (Figure S4 in Supplementary materials). The in situ generated UDP-Gal donor was then used by a Neisseria meningitides β1,4-galactosyltransferase (NmLgtB) to afford Compound I during 16 h with the yield of 94.8% after convenient BioGel P-2 gel filtration purification (Figure S5 in Supplementary materials) (Figure 1) (Table 1). Compound I (C I) was purified by HPLC and confirmed by mass spectrometry with m/z 773.07 (predicted molecular weight 772.32) and NMR (Figures S9, S16 and S17 in Supplementary materials).
Scheme 2.
OPMEs synthesis of biotin-tagged 6′-and 3′-sialyl-N-acetyllactosamine. Biotinylated 6′- and 3′-sialyl-N-acetyllactosamine would be synthesized by three enzymatic modules: OPME 1 consisting of GalE and NmLgtB, OPME 2 including NmCSS and Pd2,6ST, and OPME 3 comprising NmCSS and PmST1. GalE: Escherichia coli UDP-galactose C4-epimerase; NmLgtB: Neisseria meningitides β1,4-galactosyltransferase; NmCSS: Neisseria meningitidis CMP-sialic acid synthetase; Pd2,6ST: Photobacterium damselae α2,6-sialyltransferase; PmST1 M144D: Pasteurella multocida α2,3-sialyltransferase.
Figure 1.
HPLC analysis of OPME 1-catalyzed synthesis of compound I (C I).
Table 1.
Yields of three OPMEs by different approaches.
To fulfill the final sialylation step, a one-pot two-enzyme α2,6/2,3-sialylation system (OPME 2 or OPME 3) was adopted for introducing α2,6/2,3-linked sialic acid (N-acetylneuraminic acid, Neu5Ac) to the galactose unit of Compound I (Scheme 2). In this one-pot two-enzyme system (OPME 2 or OPME 3), Neu5Ac was converted into CMP-Neu5Ac in the presence of cytidine 5’-triphosphate (CTP), and a recombinant CMP-sialic acid synthetase from Neisseria meningitides (NmCSS), and the resulting CMP-Neu5Ac as a donor was used by an α2,6-sialyltransferase (Pd2,6ST: α2,6-sialyltransferase from Photobacterium damsela) and an α2,3-sialyltransferase (PmST1: α2,3-sialyltransferase from Pasteurella multocida) for the formation of compound II and III in the yield of around 95% after convenient Bio-Gel P-2 gel filtration purification respectively (Figure S6–S8, S10 and S12 in Supplementary materials) (Table 1). Compounds 2 and 3 were characterized by MS and NMR (Figures S11, S13 and S18–S21 in Supplementary materials).
Until now, biotin-labeled 6′/3′-sialyl-N-acetylglucosamine was only synthesized by Zeng et al. [20]. However, galactosidase, which led to lower yield of targeted galactosylation, and rat sialyltransferases were used. Bacterial galactosyltransferase and sialyltransferases were used in the current study instead, which led to highly efficient galactosylation and sialylation, respectively.
2.3. Ultrahigh-Frequency-Acoustofluidics (UHFA)-Based Solid-Phase Sequential OPME Synthesis of Biotinylated 6′-sialyl-N-Acetylglucosamine
Considering the fact that efficient mixing is one of the main characteristics of ultrahigh-frequency-acoustofluidics (UHFA), which is important for solid-phase oligosaccharide synthesis (SPOS)-based enzymatic synthesis, UHFA-based solid-phase sequential OPME synthesis of biotinylated 6′-sialyl-N-acetylglucosamine was attempted (Scheme 3 and Scheme 4).
Scheme 3.
Ultrahigh-frequency-acoustofluidics (UHFA)-based solid-phase sequential OPME synthesis of Compound I (C I).
Scheme 4.
Ultrahigh-frequency-acoustofluidics (UHFA)-based solid-phase sequential OPME synthesis of Compound II (C II).
Streptavidin magnetic beads (Dyna beads) from Invitrogen were used as solid-phase carriers. GlcNAc-Biotin (compound 6) or Compound I was attached to the surface of streptavidin magnetic beads through strong interaction between biotin and streptavidin. OPME 1- and 2-catalyzed reactions were performed on surface of magnetic beads on the UHFA platform. Both reactionslasted for 24 h. After enzymatic reactions were stopped, the product (Compound I or II) was released from magnetic beads by reversibly disrupting biotin-streptavidin interaction through heating at 70 °C [27] on a metal bath, and analyzed by MS, demonstrating the feasibility of UHFA-based solid-phase sequential OPME synthesis of compound I and II (Figure 2 and Figure 3). Unfortunately, the yields of two OPMEs-catalyzed reactions were only around 58.6–64.4% (Table 1). Despite attempts with increases in amounts of enzymes, UDP-Glc, sialic acid and CTP, or reaction time, the yields of UHFA-based synthesis of compound I and II through two OPMEs were not improved too much. In addition, even washing of magnetic beads after coupling and repeated coupling with fresh enzymes and nucleotide sugars (or “double-coupling”) did not lead to better yields. The results were consistent with previous ones of solid-phase-based enzymatic synthesis of oligosaccharides. Obviously, there were unreactive acceptor sites present on the surface of magnetic beads. This is a well-known phenomenon in chemical solid-phase synthesis, caused by, e.g., capping by an undesired chemical group during the coupling procedure or steric factors. In our case, it was reasonable to assume that the low yields were caused not by capping but rather by steric factors. The relatively short length of the linker (11 atoms, approximately 13 Å in the most extended conformation) connecting the acceptor monosaccharide or disaccharide to biotin and the size of enzymes such as glycosyltransferases (galactosyltransferase or sialyltransferase) (diameter approximately 60 Å, assuming a globular form) should make at least some acceptor sites “unapproachable” by the enzymes or lead to steric interference between enzymes and magnetic beads and also less conformational flexibility [28]. Moreover, the binding of biotin to streptavidin on the surface of magnetic beads would make that worse [29]. In addition, we think the low yields were possibly due to heterogeneous reactions catalyzed by two OPMEs.
Figure 2.
MS analysis of UHFA-based solid-phase sequential OPME synthesis of Compound I (C I).
Figure 3.
MS analysis of UHFA-based solid-phase sequential OPME synthesis of Compound II (C II).
Continuous UHFA-based solid-phase sequential synthesis of biotinylated 6′-sialyl-N-acetylglucosamine catalyzed by OPME 1 and OPME 2 was not attempted due to the observation that yield of OPME 1-catalyzed UHFA-based solid-phase synthesis of Compound I was below 50%.
The results of UHFA-based solid-phase sequential OPME synthesis of biotinylated 6′-sialyl-N-acetylglucosamine were also compared with those of traditional solid-phase sequential OPME synthesis, which was carried out in Eppendorf tubes by using a tube rotator at 37 °C (Figures S11 and S12 in Supplementary materials). It seems that yields of UHFA-based solid-phase approach were about 15% higher than those of Eppendorf tube-based one (Table 1).
3. Materials and Methods
3.1. General Information
Unless otherwise stated, chemicals were purchased and used without further purification. Gel filtration chromatography was performed using a column (100 cm × 2.5 cm) packed with Bio-Gel P-2 Fine resins (Bio-Rad, Hercules, CA, USA). 1H and 13C NMR spectra were recorded on Bruker AVANCE-500 or Bruker AVANCE-400 spectrometer (Brucker, Bremen, Germany) at 25 °C. Low and high ESI (Electrospray ionization) (Thermo Fisher Scientific, Waltham, MA, USA) and MALDI-TOF (Matrix-Assisted Laser Desorption/Ionization Time of Flight) (Brucker, Bremen, Germany) mass spectra were obtained at Institute of Process Engineering, Chinese Academy of Sciences.
3.2. Enzymes Used in the Current Study
Neisseria meningitides CMP-sialic acid synthetase (NmCSS) [30,31], Photobacterium damselae α2,6-sialyltransferase (Pd2,6ST) [32,33], Escherichia coli UDP-galactose isomerase (GalE) [31,34], Neisseria meningitides β1,4-galactosyltransferase (NmLgtB) [26,31], Pasteurella multocida α2,3-sialyltransferase 1 M144D mutant (PmST1 M144D) [31,35] were expressed and purified as reported in the literature (Figures S3 and S4 in Supplementary materials).
3.3. OPME (One-Pot Multienzyme) 1-Catalyzed Reaction in Solution
OPME 1 includes GalE (UDP-galactose isomerase) and NmLgtB (β1,4-galactosyltransferase). The enzyme-catalyzed reaction was carried out in a 10 mL centrifuge tube, including UDP-glucose (UDP-Glc, 3.6 mM, 1.2 equiv), compound 6 (Biotin-GlcNAc, 3 mM, 1.0 equiv) (Supplementary materials), Tris-HCl buffer (100 mM, pH 7.5), MgCl2 (20 mM), GalE (0.1 mg/mL) and NmLgtB (0.1 mg/mL). Reaction was performed overnight at 37 °C, 140 rpm, and was monitored by reversephase HPLC (wavelength: 230 nm, C18 column) with the following conditions: flow rate at 1 mL/min; A: H2O, B: acetonitrile, B increased from 5% to 50% within 30 min. When an optimal yield was achieved, the reaction was stopped by adding the same volume of cold ethanol and kept at 4 °C for 30 min, the mixture was centrifuged at 12,000 rpm for 30 min and the precipitates were removed. The supernatant was concentrated, and compound I (C I) was purified by preparative HPLC using the above HPLC conditions. Compound I (CI) (yield: 94.8%), white solid after lyophilization. 1H NMR400 MHz (MeOD/D2O) δ 7.23 (d, J = 8.0 Hz, 2H), 6.88 (d, J = 8.0 Hz, 2H), 4.78 (d, J = 12.0 Hz, 1H), 4.52 (d, J = 12.0 Hz, 2H), 4,45 (m, 2H), 4.37 (d, J = 8.0 Hz, 1H), 4.24 (dd, J = 8.0, 4.0 Hz, 1H), 4.0 (dd, J = 8.0, 4.0 Hz, 2H), 3.93 (1H), 3.89 (d, J = 4.0 Hz, 1H), 3.80 (d, J = 4.0 Hz, 2H), 3.73 (d, J = 8.0 Hz, 1H), 3.68 (d, J = 4.0 Hz, 1H), 3.60 (dd, J = 8.0, 4.0 Hz, 2H), 3.53 (d, J = 8.0 Hz, 1H), 3.50 (s, 2H), 3.48 (d, J = 4.0 Hz, 1H), 3.38 (d, J = 4.0 Hz, 1H), 3.36 (d, J = 4.0 Hz, 1H), 3.34 (d, J = 4.0 Hz, 1H), 3.15 (m, 1H), 2.89 (dd, J = 8.0, 4.0 Hz, 2H), 2.67 (d, J = 4.0 Hz, 1H), 2.20 (dd, J = 8.0, 4.0 Hz, 2H), 1.97 (t, J = 8.0 Hz, 2H), 1.94 (s, 3H), 1.65 (m, 3H), 1.41 (m, 2H); 13C NMR (400 MHz, MeOD/D2O) δ 175.00, 172.5, 165.00, 158.75, 130.0, 129.5, 114.00, 103.9, 100.1, 79.9, 76.0, 75.5, 74.5, 73.0, 72.7, 71.5, 70.0, 69.0, 65.5, 62.5, 61.5, 60.4, 57.0, 56.0, 39.6, 36.0, 35.5, 28.0, 27.8, 27.6, 21.8, 16.5; ESI-MS m/z calculated for C34H52N4O14S [M+H]+ 773.32, found 773.07.
3.4. OPME 2-Catalyzed Reaction in Solution
OPME 2 includes NmCSS (sialic acid synthase) and Pd2,6ST (α2,6-sialyltransferase). The enzyme-catalyzed reaction was done in a 10 mL centrifuge tube at 37 °C and 140 rpm, including compound CI (1.0 equiv), sialic acid (1.2 equiv), CTP (1.5 equiv), Tris-HCl buffer (100 mM, pH 8.5), MgCl2 (20 mM), NmCSS (0.1 mg/mL) and Pd2,6ST (0.18 mg/mL). Reaction was followed by reverse phase HPLC (wavelength: 230 nm, C18 column) with the same conditions as above. When an optimal yield was achieved, the reaction was stopped by adding the same volume of cold ethanol and kept at 4 °C for 30 min, the mixture was centrifuged at 12,000 rpm for 30 min and the precipitates were removed. The supernatant was concentrated, and compound II (C II) was purified by BioGel P-2 column (eluted with H2O). Compound II (C II) (yield: 95.4%), white solid after lyophilization. 1H NMR400 MHz (MeOD/D2O) δ 8.38 (br, 1H), 8.02 (d, J= 8.0 Hz, 2H), 7.25 (d, J = 8.0 Hz, 1H), 6.96 (d, J = 8.0 Hz, 1H), 6.06 (d, J = 8.0 Hz, 2H), 5.93 (br, 2H), 4.53 (br, 1H), 4.43 (br, 1H), 4.37 (br, 1H), 4.04–3.32 (m, 16H), 2.62 (m, 4H), 2.15 (m, 2H), 1.96 (br, 6H), 1.86 (d, J = 16.0 Hz, 4H), 1.63 (t, J = 16.0 Hz, 2H), 1.25 (m, 2H), 1.09 (br, 6H); 13C NMR (400 MHz, MeOD/D2O) δ 175.1, 171.6, 169.4, 166.8, 155.4, 142.0, 136.2, 124.8, 119.7(2C), 114.8 (2C), 97.2, 92.5, 89.2, 86.8, 83.5, 80.6, 75.4, 75.3, 74.4, 72.6, 71.7, 70.4, 69.7, 69.6, 68.4, 68.3, 65.8, 65.1, 62.9, 62.6, 62.5, 61.9, 60.6, 51.8, 51.7, 47.8, 40.1, 37.1, 36.9, 35.5, 25.2, 22.0, 21.0. HRMS (ESI) m/z calculated for C45H69N5O22S [M−H]− 1062.32, found 1062.40751.
3.5. OPME 3-Catalyzed Reaction
OPME3 includes NmCSS (sialic acid synthase) and PmST1 (α2,3-sialyltransferase M144D). The enzyme-catalyzed reaction was done in a 10 mL centrifuge tube at 37 °C and 140 rpm, including compound CI (1.0 equiv), sialic acid (1.2 equiv), CTP (1.5 equiv), Tris-HCl buffer (100 mM, pH 8.5), MgCl2 (20 mM), NmCSS (0.1 mg/mL) and PmST1 (0.2 mg/mL). Reaction was followed by reverse phase HPLC (wavelength: 230 nm, C18 column) with the same conditions as above. When an optimal yield was achieved, the reaction was stopped by adding the same volume of cold ethanol and kept at 4 °C for 30 min, the mixture was centrifuged at 12,000 rpm for 30 min and the precipitates were removed. The supernatant was concentrated, and compound III (C III) was purified by BioGel P-2 column (eluted with H2O). Compound III (C III)(yield: 94.5%), white solid after lyophilization. 1H NMR400 MHz (MeOD/D2O) δ 8.37 (br, 1H), 8.02 (d, J = 4.0 Hz, 2H), 7.24 (d, J = 8.0 Hz, 1H), 6.95 (d, J = 8.0 Hz, 1H), 6.06 (d, J = 4.0 Hz, 2H), 5.92 (br, 2H), 4.53 (d, J = 12.0 Hz, 1H), 4.47 (d, J = 8.0 Hz, 1H), 4.42 (br, 1H), 4.04–3.43 (m, 16H), 2.64 (m, 4H), 2.16 (m, 2H), 1.96 (br, 6H),1.83 (br, 4H), 1.61 (t, J = 16.0 Hz, 2H), 1.24 (m, 2H), 1.09 (br, 6H);13C NMR (400 MHz, MeOD/D2O) δ 175.1, 171.8, 171.5, 166.3, 155.4, 141.8, 136.2, 122.3, 121.7(2C), 117.6 (2C), 99.8, 96.5, 89.2, 86.8, 83.5, 78.7, 75.4, 74.8, 74.2, 72.7, 71.7, 70.5, 69.7, 69.6, 68.3, 68.2, 65.8, 65.1, 62.9, 62.6, 62.5, 61.9, 60.6, 51.8, 51.7, 45.8, 44.5, 39.6, 35.5, 27.5, 25.2, 24.0, 22.0. MALDI-TOF-MS m/z calculated for C45H69N5O22S [M−H]− 1062.32, found 1062.342.
3.6. Ultrahigh-Frequency-Acoustofluidics (UHFA)-Based Solid-Phase Sequential OPME Synthesis of Biotinylated 6′-sialyl-N-Acetylglucosamine
The fabrication process of the hypersonic device—Solid Mount Resonator (SMR) was performed according to a published procedure [36]. The experimental set-up was very similar to the published one [25,36].
Streptavidin magnetic beads were washed 4 times with buffer 1 (PBS containing 0.01% Tween 20), and were diluted to 5 mg/mL with buffer 1 in a 2 mL Eppendorf tube. Compound 6 or compound I was added, and tube was rotated up and down for 30 min at room temperature to ensure that compound 6 or compound I would be bound to streptavidin, which is equivalent to compound 6 or compound I was immobilized onto magnetic beads. Then supernatant was separated from magnetic beads with a magnet, and magnetic beads were washed 4 times with buffer 1. Magnetic beads were then resuspended in buffer 1 containing 10 mg/mL BSA, and transferred into a plastic chamber which was immobilized onto the top of the device. The components for OPME 1 or OPME 2-catalyzed reaction as above excluding compound 6 or compound I were premixed, and added into the plastic chamber. Finally, the chamber was covered with a lid, and 200 mW power was applied to the resonator. The enzymatic reactions were lasted for 24 h at 37 °C. Magnetic beads were separated from supernatant with a magnet, and washed 4 times with PBS. Then magnetic beads were responded in 20 μL deionized water, and heated on a metal bath at 70 °C and 1000 rpm for 5 min. Finally, deionized water was separated from magnetic beads, and used for MALDI-TOF-MS analysis.
3.7. Optimization of UHFA-Based Solid-Phase Sequential OPME Synthesis of Biotinylated 6′-sialyl-N-Acetylglucosamine
To improve the yields of UHFA-based solid-phase OPME synthesis of biotinylated 6′-sialyl-N-acetylglucosamine, the following conditions were tested: (1) increasing amounts of enzymes, UDP-Glc, sialic acid and CTP; (2) extending reaction time to 48 h; (3) washing magnetic beads after 24 h, and adding a new batch of enzymes and substrates.
3.8. Traditional Solid-Phase Sequential OPME Synthesis of Biotinylated 6′-sialyl-N-Acetylglucosamine
For comparison, traditional solid-phase sequential OPME synthesis of biotinylated 6′-sialyl-s-acetylglucosamine was also carried out as above except OPME 1 and OPME 2-catalyzed reactions were done in 2 mL of Eppendorf tubes by using a tube rotator at 37 °C for 24 h.
4. Conclusions
In conclusion, using biotin-labeled N-acetylglucosamine (Biotin-GlcNAc) synthesized by chemical method as the glycosyl receptor, the one-pot multi-enzyme (OPME) synthesis strategy was successfully adopted to achieve the liquid-phase enzymatic synthesis of biotinlylated 6′/3′-sialyl-N-acetylglucosamine (6′/3′-SLN). Biotinylated 6′-sialyl-N-acetylglucosamine (6′-SLN) was also prepared through ultrahigh-frequency-acoustofluidics (UHFA)-based solid-phase sequential OPME system on magnetic beads. The biotinylated 6′/3′-sialyl-N-acetylglucosamine synthesized here would be used to identify whether influenza viruses can infect humans or the source (human or avian) of influenza virus strains. Alternatively, in order to reuse enzymes or to reduce production cost of enzymes, immobilization of glycosyltransferases and/or related enzymes, which has been successfully for oligosaccharide synthesis [37,38], could be used for synthesis of 6′/3′-SLN too. All in all, this novel UHFA-based solid-phase synthetic strategy could be potentially applied toother organic and enzymatic synthesis.
Supplementary Materials
The following are available online at https://www.mdpi.com/2073-4344/10/11/1347/s1, Synthetic procedures for biotin-tagged N-acetylglucosamine (Biotin-GlcNAc). Figure S1. Purification of biotinylated N-acetylglucosamine (Biotin-GlcNAc) by reverse HPLC. Figure S2. HPLC analysis of purified biotinylated N-acetylglucosamine (Biotin-GlcNAc). Figure S3. MS analysis of purified Biotin-GlcNAc. Figure S4. SDS PAGE analysis of purified GalE. Figure S5. SDS PAGE analysis of purified NmLgtB. Figure S6. SDS PAGE analysis of purified NmCSS. Figure S7. SDS PAGE analysis of purified Pd26ST. Figure S8. SDS PAGE analysis of purified PmST1 (M144D). Figure S9. MS analysis of purified Compound I (C I). Figure S10. HPLC analysis of OPME 2-catalyzed synthesis of compound II (C II). Figure S11. MS analysis of purified Compound II (C II). Figure S12. HPLC analysis of OPME 3-catalyzed synthesis of compound III (C III). Figure S13. MS analysis of purified Compound III (C III). Figure S14. MS analysis of traditional solid-phase sequential OPME synthesis of Compound I (C I). Figure S15. MS analysis of traditional solid-phase sequential OPME synthesis of Compound II (C II). Figure S16. 1H NMR analysis of purified Compound I (C I). Figure S17. 13C NMR analysis of purified Compound I (C I). Figure S18. 1H NMR analysis of purified Compound II (C II). Figure S19. 13C NMR analysis of purified Compound II (C II). Figure S20. 1H NMR analysis of purified Compound III (C III). Figure S21. 13C NMR analysis of purified Compound III (C III).
Author Contributions
Conceptualization, J.-J.L., Y.D., M.P., X.D.; Methodology, validation, investigation, formal analysis, data curation, M.G., L.W., T.L., Z.Z. and L.R.; Writing-original draft preparation, M.G. and J.-J.L.; Writing-review and editing, M.G. and J.-J.L.; Supervision, J.-J.L., Y.D., M.P., H.C. and X.D.; Project administration, J.-J.L.; Funding acquisition, Y.D. All authors have read and agreed to the published version of the manuscript.
Funding
This research was funded by National Natural Science Foundation of China (grant number 21877114).
Conflicts of Interest
The authors declare no conflict of interest.
References
- Parodi, A.J. Role of N-oligosaccharide endoplasmic reticulum processing reactions in glycoprotein folding and degradation. Biochem. J. 2000, 348 Pt 1, 1–13. [Google Scholar] [CrossRef]
- Varki, A. Biological roles of glycans. Glycobiology 2016, 27, 3–49. [Google Scholar] [CrossRef] [PubMed]
- Angata, K.; Fukuda, M. Roles of Polysialic Acid in Migration and Differentiation of Neural Stem Cells. Methods Enzym. 2010, 479, 25–36. [Google Scholar] [CrossRef]
- Dube, D.H.; Bertozzi, C.R. Glycans in cancer and inflammation—Potential for therapeutics and diagnostics. Nat. Rev. Drug Discov. 2005, 4, 477–488. [Google Scholar] [CrossRef] [PubMed]
- Chen, X. Human Milk Oligosaccharides (HMOS): Structure, Function, and Enzyme-Catalazed Synthesis. Adv. Carbohydr. Chem. Biochem. 2015, 72, 113–190. [Google Scholar] [CrossRef]
- Varki, A. Sialic acids in human health and disease. Trends Mol. Med. 2008, 14, 351–360. [Google Scholar] [CrossRef]
- Varki, A. Glycan-based interactions involving vertebrate sialic-acid-recognizing proteins. Nat. Cell Biol. 2007, 446, 1023–1029. [Google Scholar] [CrossRef]
- Stevens, J.; Blixt, O.; Glaser, L.; Taubenberger, J.K.; Palese, P.; Paulson, J.C.; Wilson, I.A. Glycan Microarray Analysis of the Hemagglutinins from Modern and Pandemic Influenza Viruses Reveals Different Receptor Specificities. J. Mol. Biol. 2006, 355, 1143–1155. [Google Scholar] [CrossRef]
- Munkley, J.; Mills, I.G.; Elliott, D.J. The role of glycans in the development and progression of prostate cancer. Nat. Rev. Urol. 2016, 13, 324–333. [Google Scholar] [CrossRef]
- Yuan, Y.; Wu, L.; Shen, S.; Wu, S.; Burdick, M.M. Effect of alpha 2,6 sialylation on integrin-mediated adhesion of breast cancer cells to fibronectin and collagen IV. Life Sci. 2016, 149, 138–145. [Google Scholar] [CrossRef]
- Imai, M.; Kawaoka, Y. The role of receptor binding specificity in interspecies transmission of influenza viruses. Curr. Opin. Virol. 2012, 2, 160–167. [Google Scholar] [CrossRef] [PubMed]
- Huang, M.L.; Cohen, M.; Fisher, C.J.; Schooley, R.T.; Gagneux, P.; Godula, K. Determination of receptor specificities for whole influenza viruses using multivalent glycan arrays. Chem. Commun. 2015, 51, 5326–5329. [Google Scholar] [CrossRef] [PubMed]
- Sittel, I.; Galan, M.C. Chemo-enzymatic synthesis of imidazolium-tagged sialyllactosamine probes. Bioorg. Med. Chem. Lett. 2015, 25, 4329–4332. [Google Scholar] [CrossRef] [PubMed]
- Ogata, M.; Umemura, S.; Sugiyama, N.; Kuwano, N.; Koizumi, A.; Sawada, T.; Yanase, M.; Takaha, T.; Kadokawa, J.-I.; Usui, T. Synthesis of multivalent sialyllactosamine-carrying glyco-nanoparticles with high affinity to the human influenza virus hemagglutinin. Carbohydr. Polym. 2016, 153, 96–104. [Google Scholar] [CrossRef] [PubMed]
- Gambaryan, A.S.; Tuzikov, A.B.; Piskarev, V.E.; Yamnikova, S.S.; Lvov, D.K.; Robertson, J.S.; Bovin, N.V.; Matrosovich, M.N. Specification of Receptor-Binding Phenotypes of Influenza Virus Isolates from Different Hosts Using Synthetic Sialylglycopolymers: Non-Egg-Adapted Human H1 and H3 Influenza A and Influenza B Viruses Share a Common High Binding Affinity for 6′-Sialyl(N-acetyllactosamine). Virology 1997, 232, 345–350. [Google Scholar] [CrossRef] [PubMed]
- Diamandis, E.P.; Christopoulos, T.K. The Biotin-(Strept)Avidin System—Principles and Applications in Biotechnology. Clin. Chem. 1991, 37, 625–636. [Google Scholar] [CrossRef]
- Matsushita, K.; Nakata, T.; Takeda-Okuda, N.; Nadanaka, S.; Kitagawa, H.; Tamura, J.-I. Synthesis of chondroitin sulfate CC and DD tetrasaccharides and interactions with 2H6 and LY111. Bioorg. Med. Chem. 2018, 26, 1016–1025. [Google Scholar] [CrossRef]
- Komarova, B.S.; Wong, S.S.W.; Orekhova, M.V.; Tsvetkov, Y.E.; Krylov, V.B.; Beauvais, A.; Bouchara, J.-P.; Kearney, J.F.; Aimanianda, V.; Latgé, J.P.; et al. Chemical Synthesis and Application of Biotinylated Oligo-α-(1 → 3)-d-Glucosides To Study the Antibody and Cytokine Response against the Cell Wall α-(1 → 3)-d-Glucan of Aspergillus fumigatus. J. Org. Chem. 2018, 83, 12965–12976. [Google Scholar] [CrossRef]
- Böcker, S.; Elling, L. Biotinylated N-Acetyllactosamine- and N,N-Diacetyllactosamine-Based Oligosaccharides as Novel Ligands for Human Galectin-3. Bioengineering 2017, 4, 31. [Google Scholar] [CrossRef]
- Zeng, X.; Sun, Y.; Ye, H.; Liu, J.; Xiang, X.; Zhou, B.; Uzawa, H. Effective chemoenzymatic synthesis of p-aminophenyl glycosides of sialyl N-acetyllactosaminide and analysis of their interactions with lectins. Carbohydr. Res. 2007, 342, 1244–1248. [Google Scholar] [CrossRef]
- Yu, H.; Chen, X. One-pot multienzyme (OPME) systems for chemoenzymatic synthesis of carbohydrates. Org. Biomol. Chem. 2016, 14, 2809–2818. [Google Scholar] [CrossRef] [PubMed]
- Tolborg, J.F.; Petersen, L.; Jensen, K.J.; Mayer, C.; Jakeman, D.L.; Warren, R.A.J.; Withers, S.G. Solid-Phase Oligosaccharide and Glycopeptide Synthesis Using Glycosynthases. J. Org. Chem. 2002, 67, 4143–4149. [Google Scholar] [CrossRef] [PubMed]
- Cui, W.; Zhang, H.; Zhang, H.; Yang, Y.; He, M.; Qu, H.; Pang, W.; Zhang, D.; Duan, X. Localized ultrahigh frequency acoustic fields induced micro-vortices for submilliseconds microfluidic mixing. Appl. Phys. Lett. 2016, 109, 253503. [Google Scholar] [CrossRef]
- Chen, C.; Shang, Z.; Gong, J.; Zhang, F.; Zhou, H.; Tang, B.; Xu, Y.; Zhang, C.; Yang, Y.; Mu, X. Electric Field Stiffening Effect in c-Oriented Aluminum Nitride Piezoelectric Thin Films. ACS Appl. Mater. Interfaces 2018, 10, 1819–1827. [Google Scholar] [CrossRef]
- Qu, H.; Yang, Y.; Chang, Y.; Tang, Z.; Pang, W.; Wang, Y.; Zhang, H.; Duan, X. On-chip integrated multiple microelectromechanical resonators to enable the local heating, mixing and viscosity sensing for chemical reactions in a droplet. Sens. Actuators B Chem. 2017, 248, 280–287. [Google Scholar] [CrossRef]
- Lau, K.; Thon, V.; Yu, H.; Ding, L.; Chen, Y.; Muthana, M.M.; Wong, D.; Huang, R.; Chen, X. Highly efficient chemoenzymatic synthesis of β1–4-linked galactosides with promiscuous bacterial β1–4-galactosyltransferases. Chem. Commun. 2010, 46, 6066–6068. [Google Scholar] [CrossRef]
- Holmberg, A.; Blomstergren, A.; Nord, O.; Lukacs, M.; Lundeberg, J.; Uhlén, M. The biotin-streptavidin interaction can be reversibly broken using water at elevated temperatures. Electrophoresis 2005, 26, 501–510. [Google Scholar] [CrossRef]
- Blixt, O.; Norberg, T. Solid-Phase Enzymatic Synthesis of a Sialyl Lewis X Tetrasaccharide on a Sepharose Matrix. J. Org. Chem. 1998, 63, 2705–2710. [Google Scholar] [CrossRef]
- Darst, S.A.; Ahlers, M.; Meller, P.H.; Kubalek, E.W.; Blankenburg, R.; Ribi, H.O.; Ringsdorf, H.; Kornberg, R.D. Two-dimensional crystals of streptavidin on biotinylated lipid layers and their interactions with biotinylated macromolecules. Biophys. J. 1991, 59, 387–396. [Google Scholar] [CrossRef]
- Yu, H.; Yu, H.; Karpel, R.; Chen, X. Chemoenzymatic synthesis of CMP—Sialic acid derivatives by a one-pot two-enzyme system: Comparison of substrate flexibility of three microbial CMP—Sialic acid synthetases. Bioorg. Med. Chem. 2004, 12, 6427–6435. [Google Scholar] [CrossRef]
- Zhang, Y.; Meng, C.; Jin, L.; Chen, X.; Wang, F.; Cao, H. Chemoenzymatic synthesis of α-dystroglycan core M1 O-mannose glycans. Chem. Commun. 2015, 51, 11654–11657. [Google Scholar] [CrossRef] [PubMed]
- Yu, H.; Huang, S.; Chokhawala, C.H.; Sun, M.; Zheng, H.; Chen, X. Highly Efficient Chemoenzymatic Synthesis of Naturally Occurring and Non-Natural α-2,6-Linked Sialosides: AP. damsela α-2,6-Sialyltransferase with Extremely Flexible Donor-Substrate Specificity. Angew. Chem. Int. Ed. 2006, 45, 3938–3944. [Google Scholar] [CrossRef] [PubMed]
- Meng, X.; Yao, W.; Cheng, J.; Zhang, X.; Jin, L.; Yu, H.; Chen, X.; Wang, F.; Cao, H. Regioselective Chemoenzymatic Synthesis of Ganglioside Disialyl Tetrasaccharide Epitopes. J. Am. Chem. Soc. 2014, 136, 5205–5208. [Google Scholar] [CrossRef] [PubMed]
- Chen, X.; Zhang, W.; Wang, J.; Fang, J.; Wang, P.G. Production of α-Galactosyl Epitopes via Combined Use of Two Recombinant Whole Cells Harboring UDP-Galactose 4-Epimerase and α-1,3-Galactosyltransferase. Biotechnol. Prog. 2000, 16, 595–599. [Google Scholar] [CrossRef] [PubMed]
- Sugiarto, G.; Lau, K.; Qu, J.; Li, Y.; Lim, S.; Mu, S.; Ames, J.B.; Fisher, A.J.; Chen, X. A Sialyltransferase Mutant with Decreased Donor Hydrolysis and Reduced Sialidase Activities for Directly Sialylating Lewisx. ACS Chem. Biol. 2012, 7, 1232–1240. [Google Scholar] [CrossRef] [PubMed]
- Pan, S.; Zhang, H.; Liu, W.; Wang, Y.; Pang, W.; Duan, X. Biofouling Removal and Protein Detection Using a Hypersonic Resonator. ACS Sens. 2017, 2, 1175–1183. [Google Scholar] [CrossRef]
- Chen, X.; Fang, J.; Zhang, J.; Liu, Z.; Shao, J.; Kowal, P.; Andreana, P.; Wang, P.G. Sugar Nucleotide Regeneration Beads (Superbeads): A Versatile Tool for the Practical Synthesis of Oligosaccharides. J. Am. Chem. Soc. 2001, 123, 2081–2082. [Google Scholar] [CrossRef]
- Naruchi, K.; Nishimura, S.-I. Membrane-Bound Stable Glycosyltransferases: Highly Oriented Protein Immobilization by a C-Terminal Cationic Amphipathic Peptide. Angew. Chem. Int. Ed. 2011, 50, 1328–1331. [Google Scholar] [CrossRef]
Publisher’s Note: MDPI stays neutral with regard to jurisdictional claims in published maps and institutional affiliations. |
© 2020 by the authors. Licensee MDPI, Basel, Switzerland. This article is an open access article distributed under the terms and conditions of the Creative Commons Attribution (CC BY) license (http://creativecommons.org/licenses/by/4.0/).






