Abstract
This study aimed to evaluate the performance of a commercial protease (Novo-Pro D (NPD)), both in soluble and immobilized forms, in the hydrolysis of proteins (using casein as model protein). Immobilization of the protease NPD on 6% agarose activated with glyoxyl groups for 24 h at 20 °C and pH 10.0 allowed preparing immobilized biocatalyst with around 90% immobilization yield, 92% recovered activity versus small substrate, and a thermal stability 5.3-fold higher than the dialyzed soluble enzyme at 50 °C and pH 8.0. Immobilization times longer than 24 h lead to a decrease in the recovered activity and did not improve the biocatalyst stability. At 50 °C and pH 6.5, the immobilized NPD was around 20-fold more stable than the dialyzed soluble protease. Versus casein, the immobilized NDP presented a 10% level of activity, but it allowed hydrolyzing casein (26 g/L) at 50 °C and pH 6.5 up to a 40% degree of hydrolysis (DH) after 2 h reaction, while under the same conditions, only a 34% DH was achieved with soluble NPD. In addition, the immobilized NPD showed good reusability, maintaining the DH of casein for at least ten 2h-reaction batches.
1. Introduction
Despite the high potential of enzymes as biocatalysts, their application in industrial processes is limited due to their moderate stability, high cost and economically non-viable recovery [1,2]. This may be partially solved using immobilized enzymes [1,3,4]. The immobilization of enzymes allows their reuse and makes economically viable the use of a high catalyst concentration in the reactor, which decreases the reaction time required to achieve a desirable conversion. Furthermore, at the end of the reaction, the simple physical separation of the catalyst is allowed, avoiding the need for thermal inactivation of the enzyme, which may cause changes in the product properties and prevent the contamination of the product with the enzyme. These last two advantages of immobilized enzymes are especially important tasks when using enzymes in the food industry [5]. Furthermore, the immobilization may increase the thermal stability and improve other enzyme characteristics such as activity, specificity and selectivity [1,6,7,8].
Some improvement of the enzyme operational stability by immobilization within porous supports always occurs because it will prevent enzyme aggregation and interaction with external interfaces [3]. Enzyme immobilization inside porous supports also avoids autolysis [3], a very significant advantage in the case of proteases (hydrolases that catalyze the hydrolysis of peptide bonds of proteins [9,10]). However, the pore size has to be large enough to accommodate the enzyme and minimize diffusional delays [10], what is also particularly important when immobilizing proteases, because both, enzyme and substrate are proteins, large molecules. In this regard, a proper protease orientation regarding the support surface is also necessary, as only properly oriented enzymes will be active versus large substrate like proteins (Figure 1) [10,11].
Figure 1.
Schematic representation of an enzyme (e.g., a protease) immobilized on porous support to be used in the hydrolysis of a large substrate (e.g., a protein such as casein).
Enzyme immobilization by multipoint covalent attachment on large-pore supports, like agarose, activated with aliphatic aldehyde groups, like glyoxyl groups, has already proven to be an excellent immobilization technique for the immobilization and stabilization of several enzymes [12], including proteases [13,14,15,16]. The multipoint immobilization occurs when it is possible to form several linkages between the same enzyme molecule and the support [8]. The higher the number of linkages are formed, the more rigid the tri-dimensional structure of the protein becomes [8]. The number of formed linkages will depend on the activation grade of the support, that is, the number of reactive groups available to react with the enzyme and of the number of reactive groups in the enzyme, the support internal geometry, and the immobilization protocol [17,18]. Agarose is a good choice of support because it fulfills many of the required conditions: a support inert, easy to activate with different groups, available with different pore diameters, offering large flat surfaces to the enzyme, etc. [19]. One peculiarity of agarose-glyoxyl supports is that they need to immobilize the enzyme via the simultaneous formation of several enzyme-support bonds [20]. Enzymes have a low pK amino group (the terminal amino group) and many Lys groups, with an amino in the ε-group with a pK around 10.5, making it compulsory to use an alkaline pH to immobilize the enzymes on agarose-glyoxyl [20]. Exceptions to this rule are those proteins that have several terminal amino groups, for example, multimeric enzymes [21,22] or enzymes forming bimolecular aggregates [20], for example, lipases [23]. In consequence, as a rule, this immobilization/stabilization strategy is only applicable to enzymes that are stable at alkaline pH values (around 10).
In general, endo- and exo-proteases are applied in several biotechnological processes, including food products, the reduction of food protein allergies, the liberation of bioactive peptides, detergent additives, and pharmaceutical uses, among others [10]. Thus, the exploitation of techniques to immobilize and stabilize proteases is a focus of many recent studies [13,16,24,25,26,27].
Different proteases are commercially available for use in the food (human and pet) industries, like Alcalase [28,29,30] and Novo-Pro D (NPD) [28,29,30,31,32], respectively, both marketed by Novozymes A/S. Particularly, the protease Alcalase has been successfully immobilized on different supports [33,34,35,36], including agarose-glyoxyl [13,37,38,39], showing a high thermal stabilization and good performance in the hydrolysis of proteins. Protease NPD presents subtilisin activity, and is produced by submerged cultivation of a genetically modified microorganism. The enzyme protein, which in itself is not genetically modified, is separated and purified from the production organism (Bacillus licheniformis) [40]. This enzyme preparation has showed promising results in the hydrolysis of proteins from soybean hulls [31], potato pulp [28,29], porcine liver [30], catfish by-product [32], and whey proteins [41], but we have been unable to find immobilization studies of NPD in scientific literature.
In this context, this work aimed to immobilize/stabilize the protease NPD on agarose-glyoxyl support. The influence of the immobilization time on the immobilization parameters was evaluated considering immobilization yield, recovered activity and the thermal stability of the immobilized enzyme in the absence of substrate. Soluble and immobilized NPD were also characterized as their pH and temperature activity profiles. The most stable immobilized NPD preparation was evaluated as its performance in the hydrolysis of casein (as a protein model).
2. Results
2.1. Effect of the Immobilization Time on the Immobilization Parameters of NPD on Agarose-Glyoxyl Support
Initially, an enzyme load of 4.6 mg protein/g beads was offered for different immobilization times (1–96 h). Figure 2 shows that the immobilization of NPD on agarose-glyoxyl was slow, requiring 24 h to immobilize around 90% of the offered activity. The low immobilization rate compared to other enzymes immobilized in this support could be related to the fact that the protease is glycosylated (N- and O-linked glycosylation) making less accessible the protein core to the reaction with the support [42]. Glycosylic chains covering Lys residues could also reduce the geometrical and chemical congruence between the enzyme and the support surfaces, in turn, reducing the immobilization rate and the formation of multi-linkages between enzyme and support, which will negatively affect the enzyme stabilization achieved after immobilization. In a recent communication, Bonzom et al. [43] reported that the immobilization of feruloyl esterase (glycosylated and non-glycosylated) on mesoporous silica negatively charged by adsorption exhibited large differences in the immobilization rate and immobilization yield. The non-glycosylated enzyme was rapidly immobilized at all evaluated pHs, while the glycosylated enzyme was slowly immobilized and pH-dependent. This different behavior was attributed to the differences in the isoelectric points of the two enzyme forms due to the glycosylic chains that shield the protein surface.
Figure 2.
Immobilization profiles of Novo-Pro D (NPD) on agarose-glyoxyl (20 °C, pH 10.0, protein load of 4.6 mg/g support). (■) Enzyme control—free enzyme solution under the immobilization conditions, (●) suspension activity, and (▲) supernatant activity. Activities were measured as described in Section 3.2.
The soluble enzyme lost around 20% activity up to 24 h under the immobilization conditions, perhaps partially due to autolysis.
Figure 3 shows the enzyme immobilization yield, recovered activity [44], and stability factor for immobilized enzyme derivatives prepared with different immobilization times. Longer immobilization times allowed a greater amount of an enzyme to link to the support, reaching a 93.2% immobilization yield after 72 h reaction. On the other hand, the recovered activity was reduced if prolonging the immobilization time, decreasing from around 65% (for 1 h) to 25% (for 24–96 h). According to Mateo et al. [20], the first linkage between the primary amino groups from the enzyme and the aldehyde group from the support is fast and reversible. However, additional linkages are necessary to irreversibly immobilize the enzyme to the support, and even more time to increase the number of enzyme support bonds and that way to increase the stability of the enzyme due to its structure rigidification. In fact, half-lives at 50 °C and pH 8.0 for the different derivatives increase up to a maximum value with the immobilization reaction time, but these longer enzyme-support reaction times decreased the recovered activity. Similar findings were reported by Tardioli et al. [25] for the immobilization of the exoprotease carboxypetidase A (CPA) on agarose-glyoxyl, where the enzyme stability increased from 44-fold to around 260-fold when the immobilization time increased from 1 h to 48 h, but the recovered activity decreased from 80% to 42%.
Figure 3.
Enzyme immobilization yield (■), recovered activity (●) and stability factor at 50 °C and pH 8.0 (▲) for different immobilization times (20 °C, pH 10.0, protein load 4.6 mg/g support) of NPD on agarose-glyoxyl. Stability factors were calculated as the ratio between half-lives of immobilized and dialyzed free enzymes, obtained from the Sadana–Henley model fitted to the experimental data of thermal inactivation (Figure S1, Supplementary Materials). Activities were measured as described in Section 3.2.
The half-lives of the dialyzed and non-dialyzed enzymes, calculated based on the Sadana–Henley model [45], were 9.0 and 19.3 h, respectively. These results showed that some stabilizing agents were presented in the commercial crude enzyme preparation, and they caused a 2.2-fold increase in the enzyme half-life of the enzyme under the employed conditions. Therefore, thermal inactivation profiles of the different derivatives (Figure S1, Supplementary Data) were compared with the soluble and dialyzed NPD, as stabilizing reagents were eliminated from the immobilized enzyme environment after washings [13]. As shown in Figure 3, the derivative incubated for 72 h was the most stable one, reaching a stability factor of 12.6-fold at pH 8 (half-life around 110 h).
The results showed in Figure 3 indicated that, as expected, the longer the immobilization times, the higher the immobilization yield and the stability of the immobilized enzyme derivatives and the lower the recovered activities. The multipoint covalent attachment requires a long time to permit the correct alignment between the enzyme and support groups, and in the case of not very rich Lys protein that are glycosylated, this time can be even longer [17]. This can cause also distortion of the enzyme structure and, consequently, a decrease in recovered activity [17]. Nevertheless, the low values of recovered activity even for short immobilization times indicated that another phenomenon might also be occurring in the experiment e.g., some substrate diffusion limitations problems that prevent the visualization of the immobilized enzyme activity [46,47,48,49,50]. The hydrolysis of synthetic substrate N-benzoyl-L-tyrosine ethyl ester (BTEE) used to determine enzyme activity is very fast (the expected activity of this biocatalysts was around 70 UBTEE/g support for derivatives loaded with 4.6 mg protein/g) and the substrate concentration was quite low (0.36 mM), making it difficult to measure all the enzymatic activity immobilized inside the pores of the support. In order to check this hypothesis, a new immobilization experiment was performed using a lower enzyme load. Figure 4 shows the enzymatic immobilization parameters [44], determined for derivatives obtained with different immobilization times (24, 48, 72 and 96 h), using a protein load of 1 mg protein/g beads. It can be observed that a 90% immobilization yield, a stability factor of 5.3-fold (half-life around 48 h), and 92% recovered activity (a value very closed to 100%) were obtained after 24 h immobilization. That is, if the enzyme loading of the support was low enough, this permitted a more precise determination of the inherent immobilization parameters [44]. Longer reaction times allowed an increase in the immobilization yield (97.9% after 96 h reaction), however a lower recovered activity of 69.6% was obtained, without a significant increase in the stabilization factor (5.7-fold) obtained at 24 h reaction (compared to the dialyzed soluble enzyme). In another assay, the use of an even lower enzyme load (0.5 mg protein/g support) allowed obtaining 100% of recovered activity after 24 h reaction (data not shown). Again, an increase of the stability for reaction times longer than 24 h was not observed. Therefore, the previous 12-fold factor in enzyme stabilization could be related to a failure in determining the initial enzyme activity by substrate diffusion limitations effects.
Figure 4.
Enzyme immobilization yield (■), recovered activity (●) and stability factor (▲) for different immobilization times (20 °C, pH 10.0, protein load 1 mg/g support) of NPD on agarose-glyoxyl. Stability factor was calculated as the ratio between half-lives of immobilized and dialyzed free enzymes, obtained from the Sadana–Henley model fitted to the experimental data of thermal inactivation (Figure S2 in Supplementary Materials). Activities were measured as described in Section 3.2.
The stability factors obtained for NPD immobilized on agarose-glyoxyl were much lower than those previously reported for other enzymes immobilized on this support; this may be thousands of orders of magnitude greater for some proteases like trypsin and chymotrypsin, for example [12]. Reaching a high stability factor when performing multipoint immobilization requires an enzyme surface area rich in Lys residues, located in a same plane [37,51].
2.2. Effect of Protein Loading on Immobilized Enzyme Performance
After the previous results, a more systematic study of the effect of enzyme loading on the immobilized enzyme performance was performed. Figure 5 shows the data of enzyme immobilization yield and recovered activity [44] as a function of the used protein loads. High immobilization yields (up to 90%) and recovered activities (up to 92%) were achieved when low enzyme loads were offered to the support. However, the higher the enzyme load, the lower the immobilization yield and recovered activity. When 68.6 mg protein/g support was offered, the immobilization yield was only 20.9% after 24 h. Even increasing the reaction time to 72 h the immobilization yield was 35% (Figure S3, Supplementary Materials). From the data in Figure 6, the maximum amount of immobilized protein was 18.9 mg/g support, although the relative expressed activity versus BTEE (ratio between activity measured of the immobilized NPD and activity theoretically immobilized) rapidly decreased when the loading increased. The decrease in expressed activity should be, as discussed before, associated with diffusional limitations, that increase with the enzyme loading [46,47,48,49,50]. However, the real use of this biocatalyst will not occur in the hydrolysis of BTEE, but in the hydrolysis of proteins, at much higher concentrations, and perhaps these problems may be minimized.
Figure 5.
Effect of protein loading on enzyme immobilization yield (bars) and recovered activity (line) in the immobilization of NPD on agarose-glyoxyl at 20 °C, pH 10.0 and 24 h reaction time.
Figure 6.
Protein immobilized (■) and effectiveness factor (▲) vs. protein load offered to the immobilization of NPD on agarose-glyoxyl at 20 °C and pH 10.0 for 24 h reaction time.
Considering the fact that an increase in the immobilization time (from 24 to 72 h) allowed an increase of only 26% in the biocatalyst thermal stability, 24 h immobilization time was selected for further studies. The load of 1 mg protein/g support was also selected, in order to avoid substrate diffusion effects that interfere with the determination of the immobilized enzyme stability.
2.3. Effect of Temperature and pH on the NPD Activity
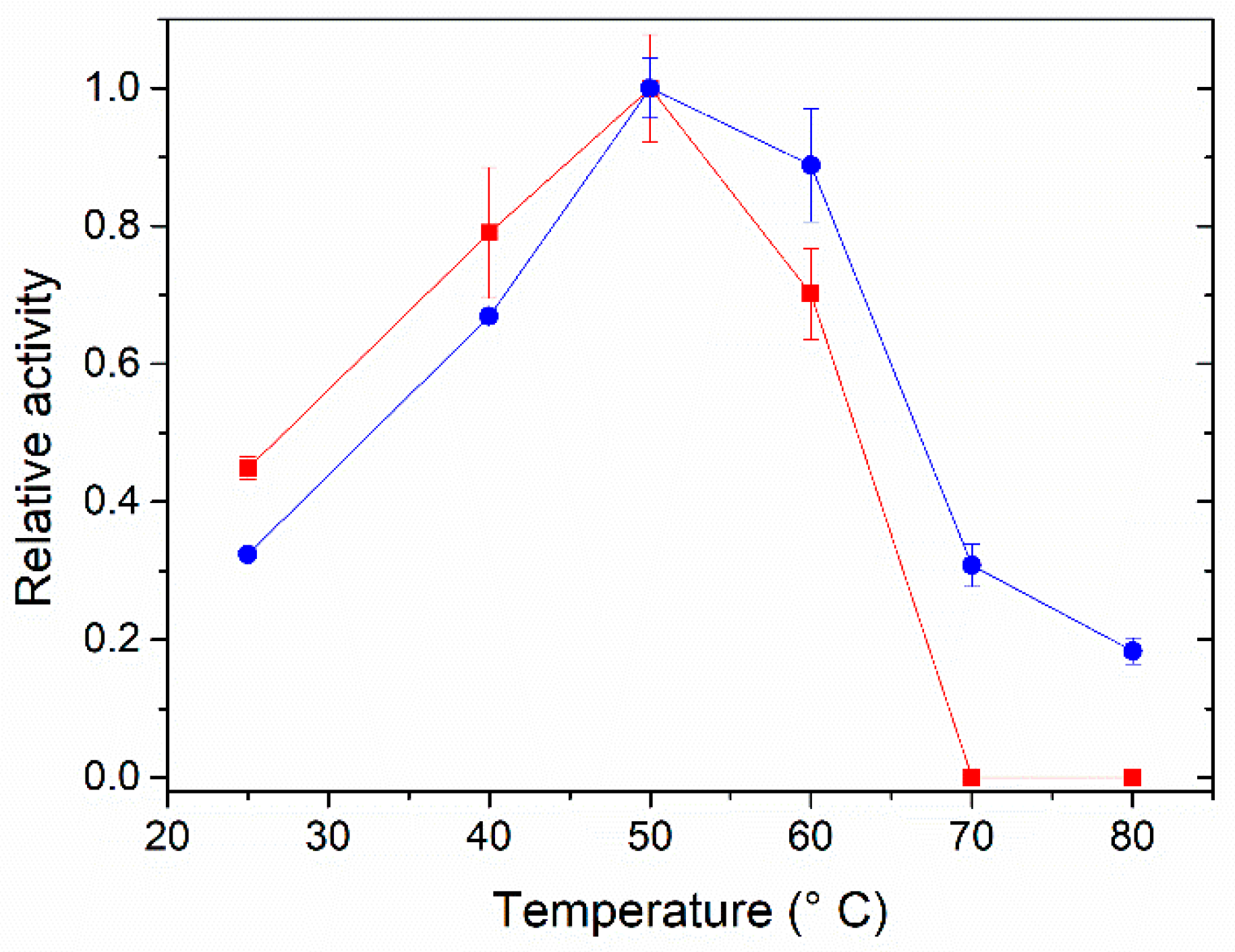
Figure 7 shows the effect of temperature on the activities of soluble and immobilized NPD on agarose-glyoxyl. Both, soluble and immobilized enzymes, have the maximum activity at 50 °C. However, the immobilized enzyme retained around 30% activity at 80 °C, while the soluble enzyme was fully inactivated at 70 °C. This relatively high retention of activity at temperatures well over the ones where the free enzyme is fully inactivated, while not altering optimal temperature, suggests that some minority population of enzyme molecules can become more strongly stabilized after enzyme immobilization (e.g., a subpopulation of enzyme molecules with a lower glycosylation degree), maintaining its activity at higher temperatures but not increasing the overall temperature where the biocatalysts expressed the maximum activity.
Figure 7.
Profile of activity vs. temperature for (■) free and (●) immobilized NPD (24 h immobilization time on agarose-glyoxyl). Activity assay conditions: hydrolysis of 0.36 mM N-benzoyl-L-tyrosine ethyl ester (BTEE) at different temperatures and pH 7.0 for 5 min.
In any case, this increased the window of conditions where the enzyme may be utilized. Similar results have been reported in other instances [52,53].
The effect of pH on the NPD (soluble and immobilized) activity is shown in Figure 8A. The pH values of maximum activity for soluble and immobilized enzymes were around pH 8.0-9.0. At acidic pH, the activities of both free and immobilized enzymes decreased, but the immobilized enzyme always maintained more activity than the free one. This could be correlated with the enzyme stability at the different pH values (Figure 8B), here the greatest difference was at pH 6, where the residual activity of the immobilized enzyme doubled compared to that of the free enzyme.
Figure 8.
(A) Activities of (■) free and (●) immobilized NPD with 24 h on agarose-glyoxyl at 25 °C and different pHs and (B) profile of residual enzymatic activity, measured under standard conditions (hydrolysis of 0.36 mM BTEE solution at 25 °C and pH 7.0 for 5 min, Section 2.2), after 4 h of incubation at different pH values.
In general, differences in the properties of immobilized enzymes from those isolated and purified (the case of free enzymes) are reported, because macromolecular crowding in the microenvironment of the immobilized enzyme and enzyme-support interactions can mimic nonspecific interactions with heterogeneous constituents in the interior of living cells [54].
2.4. Thermal Stability at pH 6.5 of Soluble and Immobilized NPD
The thermal stabilities of dialyzed soluble and immobilized NPD (24 h of reaction on agarose-glyoxyl) were evaluated at 50 °C and pH 6.5. This pH was chosen because is an appropriate choice to hydrolyze caseins, which are the main proteins in cow’s milk, whose pH is around 6.4 to 6.8 [55,56]. Figure 9 shows that the immobilized NPD was around 20-fold more stable than the soluble enzyme under these conditions (216 and 10.6 h of half-lives, respectively). The difference in enzyme stability was higher under these conditions. Explanations may be diverse; a higher proteolysis of the free enzyme, or a higher tendency to aggregation, or that the immobilized enzyme has protected the area more relevant for enzyme inactivation under pH 6.5 and not so if the inactivation was performed at pH 8 [57].
Figure 9.
Thermal inactivation profiles of NPD, (■) dialyzed free and (●) immobilized on agarose-glyoxyl (AgGly), for 24 h at 50 °C and pH 6.5. Activities were measured as described in Section 3.2.
2.5. Performance of Soluble and Immobilized NPD in the Hydrolysis of Casein
Table 1 shows the activity recovered immobilizing 1.4 and 18.9 mg of protein/g of support. The table shows that while the activity versus BTEE drastically decreased when the enzyme loading increased (63.3 to 13.8%), the same did not occur when using casein, where (at both loadings) the activity was just over 15% average. This suggested that there was not substrate diffusional limitations in this reaction, and that the decrease in enzyme activity was caused by the distortion of the enzyme (that could affect more drastically the hydrolysis of the more stable peptide bond rather than of the ester). Steric hindrances could be also discarded, as they should become maximized using maximum support loading [7].
Table 1.
Recovered activities (RA) of low- and high-loaded NPD derivatives (24 h reaction at 20 °C and pH 10) measured with small (BTEE) and large (casein) substrates.
Figure 10 shows the degree of hydrolysis (DH) of casein (26 g/L) at 50 °C and pH 6.5 using different concentrations of the soluble NPD (g protein/L reactor). A high degree of hydrolysis was reached for all tested enzyme concentrations in a short reaction time (4 h), i.e., 32.3%, 34.5% and 37.1% for 0.08, 0.26 and 0.78 g protein/L reactor, respectively. From an industrial point of view, at least if only the cost of enzymes is considered, an increase of around 5% in the DH requiring an increase of around 10-fold in the enzyme concentration would be not economically viable. Thus, the lowest enzyme concentration was selected to evaluate the performance of NPD immobilized on agarose-glyoxyl loaded (AgGly-NPD) with 18 mg protein/g support in the hydrolysis of casein under the conditions described above.
Figure 10.
Profile of hydrolysis of casein (26 g/L) at 50 °C, pH 6.5 and 500 rpm stirring catalyzed by free NPD at different loads (g protein/L reactor): (■) 0.78, (●) 0.26 and (▲) 0.08.
Figure 11A,B shows that using AgGly-NPD, the initial rates were significantly lower than using the free enzyme, up to around 5-fold, as expected from the data in Table 1. However, the degrees of hydrolysis reached 40.5% and 41.1%, respectively, using immobilized enzyme concentrations in the reactor of 0.08 and 0.26 g protein/L.
Figure 11.
Profile of hydrolysis of casein (26 g/L) at 50 °C, pH 6.5 and 500 rpm stirring catalyzed by free and immobilized NPD (AgGly-NPD loaded with 18.9 mg protein/g support) using an enzyme concentration in the reactor of (A) 0.08 g/L and (B) 0.26 g/L.
Tardioli et al. [13] reported a maximum degree of hydrolysis of around 20% for the hydrolysis of casein (10 g/L) by Alcalase immobilized on agarose-glyoxyl after 4 h reaction at 45 °C and pH 8.0. In another communication, Rosa et al. [41] evaluated the performance of Alcalase and NPD (both in free form) in the hydrolysis of whey protein concentrate (240 g/L) at 65 °C (pH 8.0) and 50 °C (pH 9.0), respectively. After a 5 h reaction, the degrees of hydrolyses reached 15.5% and 18.5%. The authors observed a rapid hydrolysis rate until 90 min of reaction, heading to a plateau after 120 min of reaction. Similar behavior was observed in our work using free NPD (Figure 10 and Figure 11), but the plateau was reached after 60 min, probably due to different enzyme/substrate ratios used. In a recent work, Maluf et al. [30] hydrolyzed porcine liver protein (20 wt.% in water) with free Alcalase and NPD at 60–64 °C and pH 6.4 for 5 h reaction. They reported a degree of hydrolysis up to 28%, with NPD being more efficient than Alcalase. These comparisons show that NPD is a good option to be used in the preparation of protein hydrolysates. In addition, the higher DH obtained in our work using the immobilized enzyme (around 40%) could be due to the inactivation of the soluble enzyme in the process conditions that prevent it from reaching the maximum DH, which may suggest new advantages in the uses of immobilized enzymes [16,58,59,60].
Figure 12 shows the DH achieved in repeated batches of casein hydrolysis reusing the immobilized biocatalyst (AgGly-NPD). Two hours of reaction time was used to be more precise on the correlation of reaction yields and enzyme activity. After ten 2h-reaction batches, the degree of casein hydrolysis decreases only from a maximum of 26.5% to 24.2% (that is not significant). Thus, NPD immobilized on agarose-glyoxyl showed an excellent performance for the hydrolysis of proteins, even if initially the enzyme activity versus this substrate seemed very low.
Figure 12.
Reuse assay (cycles of 2 h-reaction batches) of NPD immobilized on agarose-glyoxyl (10 mg protein/g support) in the hydrolysis of casein (26 g/L) at 50 °C, pH 6.5 and 500 rpm stirring, using an enzyme concentration in the reactor of 0.26 g/L.
3. Materials and Methods
3.1. Materials
Protease Novo-Pro D (NPD) was gently provided from Novozymes Latin America Ltda (Araucária, Brazil). Sepharose™ CL-6B (6% agarose) was purchased from GE Healthcare (Uppsala, Sweden). N-benzoyl-L-tyrosine ethyl ester (BTEE), glycidol, bovine serum albumin (BSA), cellulose acetate membrane and Bradford reagent were supplied from Sigma-Aldrich (St. Louis, MO, USA). Sodium periodate was obtained from Qhemis (Jundiaí-SP, Brazil), and sodium borohydride from Neon (São Paulo-SP, Brazil). All other reagents were of analytical grade and were used as received. Agarose-glyoxyl was prepared as previously reported [61].
3.2. Standard Enzyme Activity Assay Using a Small Substrate
The enzyme activity was measured by spectrophotometry at 25 °C following the increased absorbance at 258 nm, during 5 min, that occurred due to the hydrolysis of BTEE [62]. The reaction mixture was composed of 140 μL of 8 mM BTEE in anhydrous ethanol, 2.8 mL of 100 mM sodium phosphate at pH 7.0 and 140 μL enzyme solution. The final concentration of BTEE in the assay was 0.36 mM. The activity was calculated using a molar extinction coefficient of 870 M−1cm−1 and expressed in BTEE units (UBTEE).
3.3. NPD Immobilization Procedure
A suspension at a final ratio of 1:10, mass of support:volume, of enzyme solution (in 100 mM sodium bicarbonate buffer pH 10), was gently stirred at 20 °C for different time periods. Activities in the initial enzyme solution, in the supernatant of the immobilization and in an enzyme control kept under the same conditions as the immobilization suspension were monitored during the immobilization reaction [44]. As the enzyme-support reaction end point, 1 mg of sodium borohydride/mL suspension was added to convert Schiff bases to secondary amine bonds and to reduce residual glyoxyl groups to inert hydroxyl groups [14]. After 30 min reaction at 20 °C, the biocatalysts were recovered by filtration, washed with distilled water, and 100 mM sodium phosphate buffer pH 7. The biocatalyst was suspended in this buffer and its activity was measured under optimal conditions (described in the Section 3.2).
Different enzyme loads (expressed as U/g support) were evaluated in the NDP immobilization under the same conditions described above. It was evaluated for a protein load of 5 or 1 mg/g support for all assays, except for assays of maximum loading of the support, where 1 to 70 mg/g of support were used. For all cases, the enzyme solution was prepared in 100 mM sodium bicarbonate buffer pH 10 by adding a known volume of the commercial enzyme, whose activity was previously measured under optimal conditions (described in the Section 3.2).
The parameters of immobilization yield (IY), immobilized theoretical activity (referred to activity disappeared of the supernatant) and recovered activity (RA) [44] were calculated according to Equations (1)–(3):
3.4. pH and Temperature Effects on Enzyme Activity
The effect of the pH on the enzymatic activities of soluble and immobilized NPD versus BTEE was evaluated at 25 °C, using different 100 mM buffers: sodium citrate pH 4.0 and 5.0, sodium phosphate pH 6.0, 6.5, 7.0, and 8.0 and sodium carbonate pH 9.0, 10.0 and 11.0. Other specifications are described in Section 3.2.
The effect of the temperature on the enzyme activities of soluble and immobilized NPD in BTEE hydrolysis was evaluated at pH 7.0 (100 mM sodium phosphate pH 7.0) in a 25–80 °C range. Other specifications are described in Section 3.2.
3.5. Thermal and pH Stabilities of Soluble and Immobilized NPD
Thermal stabilities of NPD immobilized on agarose-glyoxyl (AgGly-NPD), soluble commercial enzymes and dialyzed soluble enzymes (15 h at 4 °C against 10 mM sodium phosphate buffer pH 8 in a 12–14 kDa cut-off cellulose acetate membrane, to eliminate likely stabilizer agents) were evaluated at 50 °C, pH 8.0 (0.1 M phosphate buffer) up to 96 h and pH 6.5 (0.1 M phosphate buffer) up to 268 h. A thermal deactivation model [45] was used to fit the experimental data and the biocatalyst half-life was calculated. The stability factor was defined as the ratio between the half-lives of immobilized and dialyzed soluble enzymes.
The stability of soluble and immobilized NPD was evaluated at 25° C at different pH values using different 100 mM buffers: sodium citrate pH 4.0 and 5.0, sodium phosphate pH 6.0, 6.5, 7.0, and 8.0 and sodium carbonate at pH 9.0, 10.0 and 11.0. After 4 h, the residual enzyme activities in BTEE hydrolysis were measured under standard conditions (pH 7.0 and 25 °C as described in Section 3.2).
3.6. Protein Hydrolysis Assays and Biocatalyst Reuse
Casein hydrolysis (26 g/L) was performed at 50 °C and pH 6.5 for 4 h using soluble and the most stable immobilized NPD at enzyme loads in the reactor of 0.78, 0.26 and 0.08 g of protein/L. The concentration of casein solution was selected to be near to its concentration in cow’s milk (around 30 g/L) [63,64]. The results of the degree of hydrolysis (DH) were calculated from the volume of potassium hydroxide solution consumed to keep the pH 6.5 constant using the Equation (4) [65]:
where B is the volume of base consumed to keep the pH constant (in mL), Nb is the base concentration (in mol/L), α is the average degree of dissociation of α-amine groups (values reported by Adler-Nissen for each temperature and pH [65]), MP is the mass of protein (in g), and htot is the total number of peptide bonds that can be cleaved in the protein substrate (for casein, 8.2 mEq/g).
DH (%) = B × Nb × 1/α × 1/MP × 1/htot × 100
Reuse assays were carried out with casein hydrolysis (26 g/L) at 50 °C and pH 6.5 for 2 h using as catalyst the most stable AgGly-NPD. The enzyme load in the reactor was 0.26 g of protein/L. Between each batch, the biocatalyst was recovered by filtration and washed with distilled water. The Equation (4) was used to calculate the DH values.
3.7. Protein Assay
The concentration of protein was measured by the Bradford’s method [66], using bovine serum albumin (BSA) as the standard protein.
4. Conclusions
The covalent immobilization of NDP on agarose activated with glyoxyl groups (AgGly) allowed the preparation of a biocatalyst 20 times more stable than the free enzyme at 50 °C and pH 6.5. AgGly support could be loaded with around 20 mg protein/g support and the high-loaded derivative exhibited excellent performance in the hydrolysis of casein although the initial activity decreased almost 10-fold. The immobilized enzyme reached around a 40% degree of hydrolysis at 50 °C and pH 6.5 in a short reaction time. Moreover, the high-loaded derivative activity was maintained intact when reused for 10 cycles in that reaction. The excellent performance at these conditions makes the derivative attractive to be exploited in the hydrolysis of milk proteins (not only caseins, but also α-lactoalbumin and β-lactoglobulin) [56,64,67] (study in course in our group), and perhaps of other proteins of high nutritional value discarded as by-products in food industries, e.g., whey [13] and porcine liver [30] proteins.
Supplementary Materials
The following are available online at https://www.mdpi.com/2073-4344/10/5/466/s1, Figure S1: Thermal inactivation profiles of free and immobilized Novo-Pro D (NPD) at 50 °C and pH 8.0 (0.1 M sodium phosphate buffer). Continuous line: Sadana–Henley thermal inactivation model [45] fitted to the experimental data. Figure S2: Thermal inactivation profiles of soluble and immobilized Novo-Pro D (NPD) at 50 °C and pH 8.0 (0.1 M sodium phosphate buffer). Continuous line: Sadana–Henley thermal inactivation model [45] fitted to the experimental data. Figure S3: Immobilization profiles of Novo Pro-D (NPD) on agarose-glyoxyl (20 ºC, pH 10.0, protein load offered of 66.3 mg/g support).
Author Contributions
Conceptualization, R.L.C.G. and P.W.T.; methodology, L.A.L. and P.K.N.; investigation, L.A.L; data curation, P.W.T. and R.F.-L.; writing—original draft preparation, L.A.L; writing—review and editing, P.K.N., P.W.T., R.L.C.G. and R.F.-L.; supervision, P.K.N., P.W.T. and R.L.C.G.; funding acquisition, R.L.C.G., P.W.T. and R.F.-L. All authors have read and agreed to the published version of the manuscript.
Funding
This research was funded by National Council for Scientific and Technology Development (CNPq), grant numbers 141487/2016-0, 422131/2016-4; Coordenação de Aperfeiçoamento de Pessoal de Nível Superior – Brazil (CAPES), Finance Code 001 and Spanish Ministerio de Ciencia e Innovación, grant number CTQ2017-86170-R.
Acknowledgments
The authors thank Novozymes Latin America Ltda (Araucária, Brazil) for gently providing the protease Novo-Pro D.
Conflicts of Interest
The authors declare no conflict of interest.
References
- Datta, S.; Christena, L.R.; Rajaram, Y.R.S. Enzyme immobilization: An overview on techniques and support materials. 3 Biotech 2012, 3, 1–9. [Google Scholar] [CrossRef]
- DiCosimo, R.; McAuliffe, J.; Poulose, A.J.; Bohlmann, G. Industrial use of immobilized enzymes. Chem. Soc. Rev. 2013, 42, 6437–6474. [Google Scholar] [CrossRef]
- Garcia-Galan, C.; Berenguer-Murcia, Á.; Fernandez-Lafuente, R.; Rodrigues, R.C. Potential of different enzyme immobilization strategies to improve enzyme performance. Adv. Synth. Catal. 2011, 353, 2885–2904. [Google Scholar] [CrossRef]
- Zhao, X.S.; Bao, X.Y.; Guo, W.; Lee, F.Y. Immobilizing catalysts on porous materials. Mater. Today 2006, 9, 32–39. [Google Scholar] [CrossRef]
- Bilal, M.; Asgher, M.; Cheng, H.; Yan, Y.; Iqbal, H.M.N. Multi-point enzyme immobilization, surface chemistry, and novel platforms: A paradigm shift in biocatalyst design. Crit. Rev. Biotechnol. 2019, 39, 202–219. [Google Scholar] [CrossRef]
- Eş, I.; Vieira, J.D.G.; Amaral, A.C. Principles, techniques, and applications of biocatalyst immobilization for industrial application. Appl. Microbiol. Biotechnol. 2015, 99, 2065–2082. [Google Scholar] [CrossRef]
- Rodrigues, R.C.; Ortiz, C.; Berenguer-Murcia, Á.; Torres, R.; Fernández-Lafuente, R. Modifying enzyme activity and selectivity by immobilization. Chem. Soc. Rev. 2013, 42, 6290–6307. [Google Scholar] [CrossRef]
- Mateo, C.; Palomo, J.M.; Fernandez-Lorente, G.; Guisan, J.M.; Fernandez-Lafuente, R. Improvement of enzyme activity, stability and selectivity via immobilization techniques. Enzyme Microb. Technol. 2007, 40, 1451–1463. [Google Scholar] [CrossRef]
- dos Santos Aguilar, J.G.; Sato, H.H. Microbial proteases: Production and application in obtaining protein hydrolysates. Food Res. Int. 2018, 103, 253–262. [Google Scholar] [CrossRef]
- Tavano, O.L.; Berenguer-Murcia, A.; Secundo, F.; Fernandez-Lafuente, R. Biotechnological Applications of Proteases in Food Technology. Compr. Rev. Food Sci. Food Saf. 2018, 17, 412–436. [Google Scholar] [CrossRef]
- Hernandez, K.; Fernandez-Lafuente, R. Control of protein immobilization: Coupling immobilization and site-directed mutagenesis to improve biocatalyst or biosensor performance. Enzyme Microb. Technol. 2011, 48, 107–122. [Google Scholar] [CrossRef]
- Mateo, C.; Palomo, J.M.; Fuentes, M.; Betancor, L.; Grazu, V.; López-Gallego, F.; Pessela, B.C.C.; Hidalgo, A.; Fernández-Lorente, G.; Fernández-Lafuente, R.; et al. Glyoxyl agarose: A fully inert and hydrophilic support for immobilization and high stabilization of proteins. Enzyme Microb. Technol. 2006, 39, 274–280. [Google Scholar] [CrossRef]
- Tardioli, P.W.; Pedroche, J.; Giordano, R.L.C.; Fernández-Lafuente, R.; Guisán, J.M. Hydrolysis of proteins by immobilized-stabilized alcalase-glyoxyl agarose. Biotechnol. Prog. 2003, 19, 352–360. [Google Scholar] [CrossRef]
- Blanco, R.M.; Guisan, J.M. Stabilization of enzymes by multipoint covalent attachment to agarose-aldehyde gels. Borohydride reduction of trypsin-agarose derivatives. Enzyme Microb. Technol. 1989, 11, 360–366. [Google Scholar] [CrossRef]
- López-Gallego, F.; Montes, T.; Fuentes, M.; Alonso, N.; Grazu, V.; Betancor, L.; Guisán, J.M.; Fernández-Lafuente, R. Improved stabilization of chemically aminated enzymes via multipoint covalent attachment on glyoxyl supports. J. Biotechnol. 2005, 116, 1–10. [Google Scholar] [CrossRef]
- Siar, E.H.; Zaak, H.; Kornecki, J.F.; Zidoune, M.N.; Barbosa, O.; Fernandez-Lafuente, R. Stabilization of ficin extract by immobilization on glyoxyl agarose. Preliminary characterization of the biocatalyst performance in hydrolysis of proteins. Process Biochem. 2017, 58, 98–104. [Google Scholar] [CrossRef]
- Pedroche, J.; del Mar Yust, M.; Mateo, C.; Fernández-Lafuente, R.; Girón-Calle, J.; Alaiz, M.; Vioque, J.; Guisán, J.M.; Millán, F. Effect of the support and experimental conditions in the intensity of the multipoint covalent attachment of proteins on glyoxyl-agarose supports: Correlation between enzyme–support linkages and thermal stability. Enzyme Microb. Technol. 2007, 40, 1160–1166. [Google Scholar] [CrossRef]
- Santos, J.C.S.; Barbosa, O.; Ortiz, C.; Berenguer-Murcia, A.; Rodrigues, R.C.; Fernandez-Lafuente, R. Importance of the support properties for immobilization or purification of enzymes. ChemCatChem 2015, 7, 2413–2432. [Google Scholar] [CrossRef]
- Zucca, P.; Fernandez-Lafuente, R.; Sanjust, E. Agarose and its derivatives as supports for enzyme immobilization. Molecules 2016, 21, 1577. [Google Scholar] [CrossRef]
- Mateo, C.; Abian, O.; Bernedo, M.; Cuenca, E.; Fuentes, M.; Fernandez-Lorente, G.; Palomo, J.M.; Grazu, V.; Pessela, B.C.C.C.; Giacomini, C.; et al. Some special features of glyoxyl supports to immobilize proteins. Enzyme Microb. Technol. 2005, 37, 456–462. [Google Scholar] [CrossRef]
- Bolivar, J.M.; Rocha-Martin, J.; Mateo, C.; Cava, F.; Berenguer, J.; Vega, D.; Fernandez-Lafuente, R.; Guisan, J.M. Purification and stabilization of a glutamate dehygrogenase from Thermus thermophilus via oriented multisubunit plus multipoint covalent immobilization. J. Mol. Catal. B Enzym. 2009, 58, 158–163. [Google Scholar] [CrossRef]
- Grazu, V.; Betancor, L.; Montes, T.; Lopez-gallego, F.; Guisan, J.M.; Fernandez-Lafuente, R. Glyoxyl agarose as a new chromatographic matrix. Enzyme Microb. Technol. 2006, 38, 960–966. [Google Scholar] [CrossRef]
- Lima, L.N.; Aragon, C.C.; Mateo, C.; Palomo, J.M.; Giordano, R.L.C.; Tardioli, P.W.; Guisan, J.M.; Fernandez-Lorente, G. Immobilization and stabilization of a bimolecular aggregate of the lipase from Pseudomonas fluorescens by multipoint covalent attachment. Process Biochem. 2013, 48, 118–123. [Google Scholar] [CrossRef]
- Bashir, F.; Asgher, M.; Hussain, F.; Randhawa, M.A. Development and characterization of cross-linked enzyme aggregates of thermotolerant alkaline protease from Bacillus licheniformis. Int. J. Biol. Macromol. 2018, 113, 944–951. [Google Scholar] [CrossRef]
- Tardioli, P.W.; Fernández-Lafuente, R.; Guisán, J.M.; Giordano, R.L.C. Design of new immobilized-stabilized carboxypeptidase a derivative for production of aromatic free hydrolysates of proteins. Biotechnol. Prog. 2003, 19, 565–574. [Google Scholar] [CrossRef]
- Atacan, K.; Çakıroğlu, B.; Özacar, M. Covalent immobilization of trypsin onto modified magnetite nanoparticles and its application for casein digestion. Int. J. Biol. Macromol. 2017, 97, 148–155. [Google Scholar] [CrossRef]
- Pedroche, J.; Yust, M.M.; Girón-Calle, J.; Vioque, J.; Alaiz, M.; Mateo, C.; Guisán, J.M.; Millán, F. Stabilization-immobilization of carboxypeptidase A to aldehyde-agarose gels: A practical example in the hydrolysis of casein. Enzyme Microb. Technol. 2002, 31, 711–718. [Google Scholar] [CrossRef]
- Kamnerdpetch, C.; Weiss, M.; Kasper, C.; Scheper, T. An improvement of potato pulp protein hydrolyzation process by the combination of protease enzyme systems. Enzyme Microb. Technol. 2007, 40, 508–514. [Google Scholar] [CrossRef]
- Waglay, A.; Karboune, S. Enzymatic generation of peptides from potato proteins by selected proteases and characterization of their structural properties. Biotechnol. Prog. 2016, 32, 420–429. [Google Scholar] [CrossRef]
- Maluf, J.U.; Fiorese, M.L.; Maestre, K.L.; Dos Passos, F.R.; Finkler, J.K.; Fleck, J.F.; Borba, C.E. Optimization of the porcine liver enzymatic hydrolysis conditions. J. Food Process Eng. 2020, 43, e13370. [Google Scholar] [CrossRef]
- Rojas, M.J.; Siqueira, P.F.; Miranda, L.C.; Tardioli, P.W.; Giordano, R.L.C. Sequential proteolysis and cellulolytic hydrolysis of soybean hulls for oligopeptides and ethanol production. Ind. Crops Prod. 2014, 61, 202–210. [Google Scholar] [CrossRef]
- Tan, Y.; Chang, K.-C.; Meng, S. Comparing the kinetics of the hydrolysis of by-product from channel catfish (Ictalurus punctatus) fillet processing by eight proteases. LWT 2019, 111, 809–820. [Google Scholar] [CrossRef]
- Žuža, M.G.; Milašinović, N.Z.; Jonović, M.M.; Jovanović, J.R.; Kalagasidis Krušić, M.T.; Bugarski, B.M.; Knežević-Jugović, Z.D. Design and characterization of alcalase–chitosan conjugates as potential biocatalysts. Bioprocess Biosyst. Eng. 2017, 40, 1713–1723. [Google Scholar] [CrossRef]
- Yang, A.; Long, C.; Xia, J.; Tong, P.; Cheng, Y.; Wang, Y.; Chen, H. Enzymatic characterisation of the immobilised Alcalase to hydrolyse egg white protein for potential allergenicity reduction. J. Sci. Food Agric. 2017, 97, 199–206. [Google Scholar] [CrossRef]
- Ferreira, L.; Ramos, M.A.; Dordick, J.S.; Gil, M.H. Influence of different silica derivatives in the immobilization and stabilization of a Bacillus licheniformis protease (Subtilisin Carlsberg). J. Mol. Catal. B Enzym. 2003, 21, 189–199. [Google Scholar] [CrossRef]
- Ait Braham, S.; Hussain, F.; Morellon-Sterling, R.; Kamal, S.; Kornecki, J.F.; Barbosa, O.; Kati, D.E.; Fernandez-Lafuente, R. Cooperativity of covalent attachment and ion exchange on alcalase immobilization using glutaraldehyde chemistry: Enzyme stabilization and improved proteolytic activity. Biotechnol. Prog. 2019, 35, e2768. [Google Scholar] [CrossRef]
- Hussain, F.; Arana-Peña, S.; Morellon-Sterling, R.; Barbosa, O.; Braham, S.A.; Kamal, S.; Fernandez-Lafuente, R. Further stabilization of alcalase immobilized on glyoxyl supports: Amination plus modification with glutaraldehyde. Molecules 2018, 23, 3188. [Google Scholar] [CrossRef]
- Tardioli, P.W.; Sousa, R.; Giordano, R.C.; Giordano, R.L.C. Kinetic model of the hydrolysis of polypeptides catalyzed by Alcalase® immobilized on 10% glyoxyl-agarose. Enzyme Microb. Technol. 2005, 36, 555–564. [Google Scholar] [CrossRef]
- Sousa, R.; Lopes, G.P.; Tardioli, P.W.; Giordano, R.L.C.; Almeida, P.I.F.; Giordano, R.C. Kinetic model for whey protein hydrolysis by alcalase multipoint-immobilized on agarose gel particles. Brazilian J. Chem. Eng. 2004, 21, 147–153. [Google Scholar] [CrossRef]
- Novozymes A/S. Novo-Pro D, Product Data Sheet. 2007; 1–2. [Google Scholar]
- da Rosa, L.O.L.; Santana, M.C.; Azevedo, T.L.; Brígida, A.I.S.; Godoy, R.; Pacheco, S.; Mellinger-Silva, C.; Cabral, L.M.C. A comparison of dual-functional whey hydrolysates by the use of commercial proteases. Food Sci. Technol. 2018, 38, 31–36. [Google Scholar] [CrossRef]
- Goettig, P. Effects of glycosylation on the enzymatic activity and mechanisms of proteases. Int. J. Mol. Sci. 2016, 17, 1969. [Google Scholar] [CrossRef]
- Bonzom, C.; Hüttner, S.; Mirgorodskaya, E.; Chong, S.L.; Uthoff, S.; Steinbüchel, A.; Verhaert, R.M.D.; Olsson, L. Glycosylation influences activity, stability and immobilization of the feruloyl esterase 1a from Myceliophthora thermophila. AMB Express 2019, 9, 126. [Google Scholar] [CrossRef]
- Boudrant, J.; Woodley, J.M.; Fernandez-Lafuente, R. Parameters necessary to define an immobilized enzyme preparation. Process Biochem. 2020, 90, 66–80. [Google Scholar] [CrossRef]
- Sadana, A.; Henley, J.P. Single-step unimolecular non-first-order enzyme deactivation kinetics. Biotechnol. Bioeng. 1987, 30, 717–723. [Google Scholar] [CrossRef]
- Pronk, S.; Lindahl, E.; Kasson, P.M. Dynamic heterogeneity controls diffusion and viscosity near biological interfaces. Nat. Commun. 2014, 5, 1–7. [Google Scholar] [CrossRef]
- Regan, D.L.; Lilly, M.D.; Dunnill, P. Influence of intraparticle diffuisional limitation on the observed kinetics of immobilized enzymes and on catalyst design. Biotechnol. Bioeng. 1974, 16, 1081–1093. [Google Scholar] [CrossRef]
- Shen, L.; Chen, Z. Critical review of the impact of tortuosity on diffusion. Chem. Eng. Sci. 2007, 62, 3748–3755. [Google Scholar] [CrossRef]
- Bolivar, J.M.; Consolati, T.; Mayr, T.; Nidetzky, B. Shine a light on immobilized enzymes: Real-time sensing in solid supported biocatalysts. Trends Biotechnol. 2013, 31, 194–203. [Google Scholar] [CrossRef]
- Boniello, C.; Mayr, T.; Klimant, I.; Koenig, B.; Riethorst, W.; Nidetzky, B. Intraparticle concentration gradients for substrate and acidic product in immobilized cephalosporin C amidase and their dependencies on carrier characteristics and reaction parameters. Biotechnol. Bioeng. 2010, 106, 528–540. [Google Scholar] [CrossRef]
- Milessi, T.S.S.; Kopp, W.; Rojas, M.J.; Manrich, A.; Baptista-Neto, A.; Tardioli, P.W.; Giordano, R.C.; Fernandez-Lafuente, R.; Guisan, J.M.; Giordano, R.L.C. Immobilization and stabilization of an endoxylanase from Bacillus subtilis (XynA) for xylooligosaccharides (XOs) production. Catal. Today 2016, 259, 130–139. [Google Scholar] [CrossRef]
- Dal Magro, L.; Kornecki, J.F.; Klein, M.P.; Rodrigues, R.C.; Fernandez-Lafuente, R. Optimized immobilization of polygalacturonase from Aspergillus niger following different protocols: Improved stability and activity under drastic conditions. Int. J. Biol. Macromol. 2019, 138, 234–243. [Google Scholar] [CrossRef]
- Dal Magro, L.; Kornecki, J.F.; Klein, M.P.; Rodrigues, R.C.; Fernandez-Lafuente, R. Pectin lyase immobilization using the glutaraldehyde chemistry increases the enzyme operation range. Enzyme Microb. Technol. 2020, 132, 109397. [Google Scholar] [CrossRef]
- Minton, A.P. How can biochemical reactions within cells differ from those in test tubes? J. Cell Sci. 2006, 119, 2863–2869. [Google Scholar] [CrossRef]
- Vieira, D.C.; Lima, L.N.; Mendes, A.A.; Adriano, W.S.; Giordano, R.L.C.R.C.R.L.C.; Giordano, R.L.C.R.C.R.L.C.; Tardioli, P.W. Hydrolysis of lactose in whole milk catalyzed by β-galactosidase from Kluyveromyces fragilis immobilized on chitosan-based matrix. Biochem. Eng. J. 2013, 81, 54–64. [Google Scholar] [CrossRef]
- Sgarbieri, V.C. Structural and physicochemical properties of milk proteins. Brazilian J. food Technol. 2005, 8, 43–56. [Google Scholar]
- Sanchez, A.; Cruz, J.; Rueda, N.; Dos Santos, J.C.S.; Torres, R.; Ortiz, C.; Villalonga, R.; Fernandez-Lafuente, R. Inactivation of immobilized trypsin under dissimilar conditions produces trypsin molecules with different structures. RSC Adv. 2016, 6, 27329–27334. [Google Scholar] [CrossRef]
- Siar, E.-H.; Arana-Peña, S.; Barbosa, O.; Zidoune, M.; Fernandez-Lafuente, R. Immobilization/stabilization of ficin extract on glutaraldehyde-activated agarose beads. Variables that control the final stability and activity in protein hydrolyses. Catalysts 2018, 8, 149. [Google Scholar] [CrossRef]
- Siar, E.-H.; Morellon-Sterling, R.; Zidoune, M.N.; Fernandez-Lafuente, R. Amination of ficin extract to improve its immobilization on glyoxyl-agarose: Improved stability and activity versus casein. Int. J. Biol. Macromol. 2019, 133, 412–419. [Google Scholar] [CrossRef]
- Siar, E.-H.; Morellon-Sterling, R.; Zidoune, M.N.; Fernandez-Lafuente, R. Use of glyoxyl-agarose immobilized ficin extract in milk coagulation: Unexpected importance of the ficin loading on the biocatalysts. Int. J. Biol. Macromol. 2020, 144, 419–426. [Google Scholar] [CrossRef]
- Guisán, J. Aldehyde-agarose gels as activated supports for immobilization-stabilization of enzymes. Enzyme Microb. Technol. 1988, 10, 375–382. [Google Scholar] [CrossRef]
- Hummel, B.C.W. A modified spectrophotometric determination of chymotrypsin, trypsin, and thrombin. Can. J. Biochem. Physiol. 1959, 37, 1393–1399. [Google Scholar] [CrossRef]
- Tsabouri, S.; Douros, K.; Priftis, K. Cow’s milk allergenicity. Endocr. Metab. Immune Disord. Targets 2014, 14, 16–26. [Google Scholar] [CrossRef]
- Miciński, J.; Kowalski, I.M.; Zwierzchowski, G.; Szarek, J.; Pierożyński, B.; Zabłocka, E. Characteristics of cow’s milk proteins including allergenic properties and methods for its reduction. Polish Ann. Med. 2013, 20, 69–76. [Google Scholar] [CrossRef]
- Adler-Nissen, J. Enzymic Hydrolysis of Food Proteins; Elsevier Applied Science Publishers: New York, NY, USA, 1986. [Google Scholar]
- Bradford, M.M. A rapid and sensitive method for the quantitation of microgram quantities of protein utilizing the principle of protein-dye binding. Anal. Biochem. 1976, 72, 248–254. [Google Scholar] [CrossRef]
- Naito, K.; Iio, T.; Katagi, M.; Yoshikawa, Y.; Ohtsuka, H.; Orino, K. Binding analysis of bovine milk proteins, especially casein interactions and the interaction between α-casein and lactoferrin, using beads immobilised with zinc ion, poly-l-lysine or α-casein. Int. Dairy J. 2020, 105, 104690. [Google Scholar] [CrossRef]
© 2020 by the authors. Licensee MDPI, Basel, Switzerland. This article is an open access article distributed under the terms and conditions of the Creative Commons Attribution (CC BY) license (http://creativecommons.org/licenses/by/4.0/).











