Abstract
Iridium(NHC)-catalyzed transfer hydrogenation (TH) of CO2 and inorganic carbonates with glycerol were conducted, demonstrating excellent turnover numbers (TONs) and turnover frequencies (TOFs) for the formation of formate and lactate. Regardless of carbon sources, excellent TOFs of formate were observed (CO2: 10,000 h−1 and K2CO3: 10,150 h−1). Iridium catalysts modified with the triscarbene ligand showed excellent catalytic activity at 200 °C and are a suitable choice for this transformation which requires a high temperature for high TONs of formate. On the basis of the control experiments, the transfer hydrogenation mechanism of CO2 was proposed.
1. Introduction
The transition-metal-catalyzed hydrogenation of CO2 has received great attention for its potential to contribute to the resolution of global warming by converting CO2 to valuable chemicals, thus reducing the CO2 concentration in the air [1,2,3,4,5,6,7,8,9]. The resulting hydrogenated CO2 product, formate, is a sustainable and safe chemical for hydrogen gas storage. Since the pioneering work by Inoue et al. in 1976 [10], a variety of homogeneous catalysts have shown excellent catalytic activity for the hydrogenation of CO2 to form formic acid/formate with high TONs and TOFs [11,12,13,14,15,16,17,18]. In parallel with the hydrogenation of CO2, transfer hydrogenation using sustainable hydrogen sources has been used to further increase the environmental benefits of CO2 utilization. Glycerol, a sustainable hydrogen source, increases the sustainability and economic value of the transfer hydrogenation of CO2 because glycerol is the by-product of the biodiesel process, and glycerol provides hydrogen as well as useful C3 feedstocks, such as lactic acid in the transfer hydrogenation reaction [19,20,21]. The transfer hydrogenation of CO2 and CO2-derived inorganic carbonates with glycerol are relatively less well-studied compared to the glycerol-mediated transfer hydrogenation of aldehydes and ketones, largely due to the gaseous nature of CO2 and the low reactivity of carbonates compared to aldehydes and ketones [22,23,24,25,26,27]. The transfer hydrogenation of CO2 has also been studied using isopropanol as a hydrogen source [28,29,30], but advantages of glycerol such as sustainability and useful C3 product (lactic acid) generation increase the value of glycerol-mediated transfer hydrogenation of CO2.
In recently reported transfer hydrogenation reactions of CO2 with glycerol, including our work, iridium catalysts modified with carbene ligands formed formate and lactate with high TONs and TOFs [22,23,24,25]. The electron-donating property of NHC ligands in the iridium catalysts plays a key role along with the oxidation state of iridium ions and the coordination mode of NHC ligands (mono- or bidentate coordination) in the iridium catalyzed-transfer hydrogenation [31]. Based on our previous report, including theoretical calculations of the iridium-catalyzed transfer hydrogenation of carbonate in glycerol, the energy barrier of the reduction of CO2 with Ir-H was much higher compared to other steps, implying that more thermal energy is required to improve the CO2 reduction [24]. Accordingly, multidentate carbene ligand-modified iridium catalysts showing stability at high temperatures (e.g., 200 °C) were considered to increase TONs and TOFs of the transfer hydrogenation of CO2 and carbonate. Because we found that the triscarbene-modified iridium complexes exhibited excellent catalytic activities in the dehydrogenation of glycerol at high temperatures [32], we posit that triscarbene based-iridium catalysts are good candidates for the transfer hydrogenation of C1 sources, including CO2 and carbonates at high temperatures. In this study, we present the highly efficient, sustainable, and versatile iridium(NHC)-catalyzed transfer hydrogenation of CO2 and inorganic carbonates using biomass-derived glycerol, resulting in excellent TONs and TOFs (Scheme 1).
Scheme 1.
Transfer hydrogenation of CO2 and K2CO3.
2. Results and Discussion
The reaction optimization for the iridium(NHC)-catalyzed transfer hydrogenation of CO2 is shown in Table 1. The iridium(NHC) catalysts used in this reaction are shown in Figure 1; their synthesis and characterization were reported in our previous publication [32]. The X-ray crystal structure of catalyst 3′ including dichloromethane is shown in Figure 2. A single crystal of 3′ was obtained by slow evaporation of a dichloromethane/hexane mixture at −20 °C. The reaction of CO2 (5 bar) and KOH (20 mmol) with catalyst 1 (3.5 × 10−4 mol%) in glycerol (purchased from Aldrich) at 180 °C formed formate and lactate with TONs of 3360 and 3900 (TOFs of 168 and 195 h−1), respectively (entry 1). Formate was formed by the reduction of CO2 using Ir-H, and lactate was formed from dihydroxyacetone and glyceraldehyde which were derived from the dehydrogenation of glycerol [33]. When the gaseous CO2 is added into the mixture, inorganic carbonates are immediately formed in the presence of KOH, and resulting carbonates participate in the transfer hydrogenation. This hypothesis is confirmed by the following observation and the NMR spectrum. The CO2 pressure rapidly dropped from 5 to 1 bar, implying that gaseous CO2 was converted to K2CO3 in the presence of KOH. Based on the 13C NMR analysis of the reaction mixture after pressurizing CO2, the formation of K2CO3 was confirmed (see Supporting Information, Figure S1). After running the reaction for 20 h, the residual gas analysis showed only hydrogen generated from the dehydrogenation of glycerol without residual CO2 (see Supporting Information, Figure S2). Considering the balanced chemical equation of this reaction, 2 equivalents of bases are required. The addition of 40 mmol of KOH to the reaction resulted in slightly reduced TONs of formate but much higher TONs of lactate (entry 2). Because most transfer hydrogenations of CO2 with glycerol are carried out at 150–180 °C [22,23,24,25], the iridium(NHC)-catalyzed transfer hydrogenation of CO2 in glycerol began at 180 °C. As the reaction temperature was increased to 200 °C, TONs of formate and lactate were dramatically increased (entry 3). The effect of CO2 pressure was evaluated (entries 4 and 5). Formate was formed with lower TONs under 1 bar of CO2, which provided less carbon than the reaction of CO2 at 5 bar (entry 3). Although higher CO2 pressure (10 bar) provided more carbon, it also reduced the pH of the solution. The initial pHs of the solutions for entries 4 and 5 were 14.0 and 10.3, respectively. Because the transfer hydrogenation of CO2 in glycerol favors basic media, applying a higher CO2 pressure is not favorable for the formation of both formate and lactate. Upon decreasing the catalyst loading (3.5 × 10−5 mol%), the TONs of formate and lactate were increased to 200,000 (10,000 h−1) and 875,000 (43,800 h−1), respectively (entry 6). Using the conditions of entry 6, mono and bimetallic iridium catalysts involving different types of ligands were employed (entries 7–11). The reactions using monometallic catalysts exhibited higher TONs and TOFs (entries 6, 8, and 10) than bimetallic complex-catalyzed reactions, which is attributed to the higher reactivity of bidentate NHC-coordinated iridium catalysts toward the CO2 reduction.[24] The bimetallic complex 1′ possesses bidentate NHC-coordinated iridium ions (1.75 × 10−5 mol%) and monodentate NHC-coordinated iridium ions (1.75 × 10−5 mol%), whereas the monometallic complex 1 has only bidentate NHC-coordinated iridium ions (3.5 × 10−5 mol%). With catalyst 1, formate and lactate were formed with the highest TOFs for formate (10,000 h−1) and lactate (43,800 h−1) to date (entry 6), and catalysts 2 and 3 also exhibited high TOFs for formate and lactate (entries 8 and 10). In the absence of base, the reaction did not proceed (entry 12). The reaction involving only KOH formed a small amount of formate and lactate (entry 13) [34,35]. The amounts of formate and lactate formed in entry 6 were 1.40 and 6.12 mmol, respectively, while 0.06 mmol of formate and 0.4 mmol of lactate were formed in the absence of catalysts (entry 13). In addition to glycerol, 1,2-propandiol was employed in the presence of catalyst 1, exhibiting much lower TONs of formate (7800).
Table 1.
Transfer hydrogenation of CO2 in glycerol.
Figure 1.
Ir catalysts for the transfer hydrogenation of CO2 and carbonates with glycerol.
Figure 2.
X-ray crystal structure of catalyst 3′.
For the transfer hydrogenation of K2CO3 with glycerol, a mixture of catalyst 1 (3.5 × 10−5 mol%), K2CO3 (40 mmol), and glycerol (42.3 mmol) was heated at 200 °C for 20 h, producing formate and lactate with TONs of 203,000 and 414,000, respectively (Table 2, entry 1). Catalysts 1′, 2, 2′, 3, and 3′ were employed under the conditions of entry 1; the highest TONs and TOFs were achieved with catalyst 1 (Table 2, entries 1–6). Compared to the result of CO2 and KOH, the TONs of formate are similar and the TONs of lactate are lower with K2CO3 due to lesser basicity of K2CO3. The substituents at the carbene ligand or bi/monometallic structure of the catalysts did not make dramatic changes in TONs. The reaction of K2CO3 in 1,2-propandiol formed formate with TONs of 38,000, which is lower than the reactions of glycerol.
Table 2.
Transfer hydrogenation of K2CO3 in glycerol.
To determine the effects of the solubility and basicity of inorganic carbonates in the transfer hydrogenation in glycerol [24,25], the reaction results of KHCO3, Na2CO3, and Cs2CO3 were compared with that of K2CO3 (Scheme 2). The TONs and TOFs for formate formation with KHCO3 were lower than those of K2CO3 due to the low basicity of bicarbonate (KHCO3); the pH of the solution with KHCO3 was 8.6. The reaction using Na2CO3 produced lower TONs and TOFs for formate formation because of the low solubility [24,25]. Although the pH of the solution including Cs2CO3 is the same as K2CO3, the TONs for the formation of formate and lactate were lower than those of K2CO3.
Scheme 2.
Transfer hydrogenation of inorganic carbonate in glycerol.
The catalytic activities of previously reported catalysts in glycerol-mediated transfer hydrogenation of CO2 (or K2CO3) are illustrated (Table 3). The ruthenium-NHC and iridium-abnormal NHC catalysts were employed for CO2 transfer hydrogenation showing much lower TOFs (FA 44 and 90 h−1, LA 70 h−1) than this work (FA 10,000 h−1, LA 43,800 h−1) (entries 1, 3, and 6). The reactions of K2CO3 in glycerol were promoted by ruthenium-NHC and iridium-NHC (bidentate and monodentate) catalysts, exhibiting lower TOFs than current results (entries 2, 4, 5, and 7). Compared to previous work, our iridium-NHC catalysts showed high catalytic activities with extremely low concentrations and at high temperatures, resulting in the highest TOFs of formate and lactate.
Table 3.
Previously reported catalysts for the transfer hydrogenation of CO2 and inorganic carbonates with glycerol.
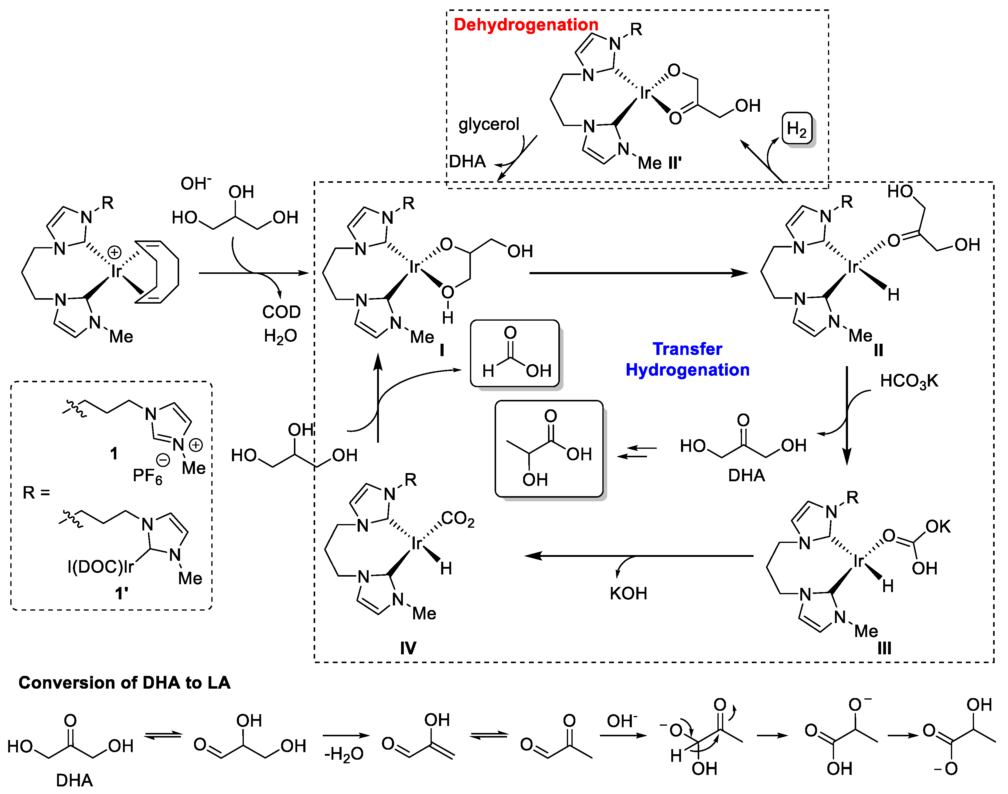
We proposed a catalytic cycle of iridium catalysts based on previous iridium-catalyzed TH reactions in Scheme 3 [24]. The catalysts 1 and 1′ undergo the dissociation of COD from the metal complex at the initial stage. After COD dissociation, deprotonated glycerol is added to form intermediate I, which undergoes β-hydrogen elimination. Replacing dihydroxyacetone (DHA) with bicarbonate affords intermediate III. The released DHA is converted to lactic acid, illustrated at the bottom of the catalytic cycle [33]. The subsequent dehydroxylation and the reduction of CO2 produced formic acid to complete the cycle (main cycle in Scheme 3). Since hydrogen was generated as a by-product, the outer cycle of Scheme 3 illustrates H2 production by the protonation of Ir-H. Due to the presence of H2 gas in the reaction vessel, this reaction may proceed via two separate steps composed of hydrogen generation from glycerol [36,37,38,39] and reduction of CO2 with H2 [3,4,5,6,7,8,9,10,11,12,13,14,15,16,17,18]. Tu’s group published iridium catalysts having three NHC ligands for the dehydrogenation of alcohols, and we also reported triscarbene-modified iridium catalysts for the dehydrogenation of glycerol [32,36]. The reaction of CO2 and H2 was attempted in the presence of Ir(NHC) catalysts, resulting in small amounts of formate (see Supporting Information, Scheme S1). Therefore, the mechanism of the direct hydrogenation of CO2 by H2 can be ruled out.
Scheme 3.
A proposed catalytic cycle.
In conclusion, we have evaluated iridium(NHC)-catalyzed transfer hydrogenation of CO2 and K2CO3 in glycerol. The highest TOF values for the formate formation from CO2 and K2CO3 are 10,000 and 10,150 h−1, respectively. The observed TOFs of the transfer hydrogenation of CO2 and carbonates are the highest values reported under conventional thermal conditions. The combination of high temperature and stable catalysts at such temperatures contributes to high TONs and TOFs of this transformation. We observe the hydrogen generation from glycerol during the reaction, but a reaction mechanism of the direct hydrogenation of CO2 was excluded based on control experiments.
Supplementary Materials
The following are available online at https://www.mdpi.com/article/10.3390/catal11060695/s1, Figure S1: 13C NMR spectrum of the mixture of CO2 (5 bar) and KOH in glycerol (Line Black), KHCO3 (Line Blue) and K2CO3 (Line Red), Figure S2: The GC (gas chromatography) spectrum of the gas obtained from the reaction of CO2 and glycerol (Table 1, entry 6). Only H2 generated by dehydrogenation of glycerol was identified and CO2 was not detected, Scheme S1: The hydrogenation reaction of CO2 and K2CO3. The pressure of H2 (5 bar) was determined based on the observed H2 pressure of transfer hydrogenation using glycerol. The reaction of CO2 and H2 was run with catalysts 1 (3.5 × 10−4 mol%), and the hydrogenation reaction of K2CO3 was run with catalysts 1 (7.5 × 10−4 mol%)., Scheme S2 Transfer hydrogenation of inorganic carbonate in glycerol, Table S1: Transfer hydrogenation of CO2 in glycerol, Table S2: Transfer hydrogenation of K2CO3 in glycerol.
Author Contributions
Conceptualization, H.-Y.J.; investigations, Y.-J.C., K.S., J.-A.K., Y.K.K., W.Y. and H.Y.; writing—original draft preparation, H.-Y.J.; writing—review and editing, H.-Y.J. All authors have read and agreed to the published version of the manuscript.
Funding
This research was funded by the Korean Research Foundation, grant number 2020M3H7A1098283 and 2019R1A2C1084021.
Data Availability Statement
The data presented in this study are openly available in catalysts-11-00695-SI at https://www.mdpi.com/article/10.3390/catal11060695/s1.
Acknowledgments
This study was supported by the Carbon to X Program (No. 2020M3H7A1098283) and the National Research Foundation Program (No. 2019R1A2C1084021) by the Ministry of Science and ICT, Republic of Korea.
Conflicts of Interest
The authors declare no conflict of interest.
References
- Onishi, N.; Laurenczy, G.; Beller, M.; Himeda, Y. Recent progress for reversible homogeneous catalytic hydrogen storage in formic acid and in methanol. Coord. Chem. Rev. 2018, 373, 317–332. [Google Scholar] [CrossRef]
- Sordakis, K.; Tang, C.; Vogt, L.K.; Junge, H.; Dyson, P.J.; Beller, M.; Laurenczy, G. Homogeneous catalysis for sustainable hydrogen storage in formic acid and alcohols. Chem. Rev. 2018, 118, 372–433. [Google Scholar] [CrossRef] [PubMed]
- Eppinger, J.; Huang, K.-W. Formic acid as a hydrogen energy carrier. ACS Energy Lett. 2017, 2, 188–195. [Google Scholar] [CrossRef]
- Jessop, P.G.; Ikariya, T.; Noyori, R. Homogeneous hydrogenation of carbon-dioxide. Chem. Rev. 1995, 95, 259–272. [Google Scholar] [CrossRef]
- Jessop, P.G.; Joό, F.; Tai, C.C. Recent advances in the homogeneous hydrogenation of carbon dioxide. Coord. Chem. Rev. 2004, 248, 2425–2442. [Google Scholar] [CrossRef]
- Himeda, Y. Conversion of CO2 into formate by homogeneously catalyzed hydrogenation in water: Tuning catalytic activity and water solubility through the acid-base equilibrium of the ligand. Eur. J. Inorg. Chem. 2007, 3927–3941. [Google Scholar] [CrossRef]
- Tanaka, R.; Yamashita, M.; Nozaki, K. Catalytic hydrogenation of carbon dioxide using Ir(III)-pincer complexes. J. Am. Chem. Soc. 2009, 131, 14168–14169. [Google Scholar] [CrossRef]
- Loges, B.; Boddien, A.; Gartner, F.; Junge, H.; Beller, M. Catalytic generation of hydrogen from formic acid and its derivatives: Useful hydrogen storage materials. Top. Catal. 2010, 53, 902–914. [Google Scholar] [CrossRef]
- Wang, W.-H.; Himeda, Y.; Muckerman, J.T.; Manbeck, G.F.; Fujita, E. CO2 Hydrogenation to formate and methanol as an alternative to photo- and electrochemical CO2 reduction. Chem. Rev. 2015, 115, 12936–12973. [Google Scholar] [CrossRef]
- Inoue, Y.; Izumida, H.; Sasaki, Y.; Hashimoto, H. Catalytic fixation of carbon dioxide to formic acid by transition-metal complexes under mild conditions. Chem. Lett. 1976, 5, 863–864. [Google Scholar] [CrossRef]
- Klankermayer, J.; Wesselbaum, S.; Beydoun, K.; Leitner, W. Selective catalytic synthesis using the combination of carbon dioxide and hydrogen: Catalytic chess at the interface of energy and chemistry. Angew. Chem. Int. Ed. 2016, 55, 7296–7343. [Google Scholar] [CrossRef]
- Papp, G.; Csorba, J.; Laurenczy, G.; Joó, F. A charge/discharge device for chemical hydrogen storage and generation. Angew. Chem. Int. Ed. 2011, 50, 10433–10435. [Google Scholar] [CrossRef]
- Himeda, Y.; Miyazawa, S.; Hirose, T. Interconversion between formic acid and H2/CO2 using rhodium and ruthenium catalysts for CO2 fixation and H2 storage. ChemSusChem 2011, 4, 487–493. [Google Scholar] [CrossRef] [PubMed]
- Filonenko, G.A.; van Putten, R.; Schulpen, E.N.; Hensen, E.J.M.; Pidko, E.A. Highly efficient reversible hydrogenation of carbon dioxide to formats using a ruthenium PNP-pincer catalyst. ChemCatChem 2014, 6, 1526–1530. [Google Scholar] [CrossRef]
- Kothandaraman, J.; Czaun, M.; Goeppert, A.; Haiges, R.; Jones, J.-P.; May, R.B.; Prakash, G.K.S.; Olah, G.A. Amine-free reversible hydrogen storage in formate salts catalysed by ruthenium pincer complex without pH control or solvent change. ChemSusChem 2015, 8, 1442–1451. [Google Scholar] [CrossRef]
- Horváth, H.; Papp, G.; Szabolcsi, R.; Kathó, Á.; Joó, F. Water-soluble iridium-NHC-phosphine complexes as catalysts for chemical hydrogen batteries based on formate. ChemSusChem 2015, 8, 3036–3038. [Google Scholar] [CrossRef] [PubMed]
- Siek, S.; Burks, D.B.; Gerlach, D.L.; Liang, G.; Tesh, J.M.; Thompson, C.R.; Qu, F.; Shankwitz, J.E.; Vasquez, R.M.; Chambers, N.; et al. Iridium and ruthenium complexes of N-heterocyclic carbene- and pyridinol-derived chelates as catalysts for aqueous carbon dioxide hydrogenation and formic acid dehydrogenation: The role of the alkali metal. Organometallics 2017, 36, 1091–1106. [Google Scholar] [CrossRef]
- Kanega, R.; Onishi, N.; Szalda, D.J.; Ertem, M.Z.; Muckerman, J.T.; Fujita, E.; Himdea, Y. CO2 hydrogenation catalysts with deprotonated picolimaide ligands. ACS Catal. 2017, 7, 6426–6429. [Google Scholar] [CrossRef]
- Díaz-Álvarez, A.E.; Cadierno, V. Glycerol: A promising green solvent and reducing agent for metal-catalyzed transfer hydrogenation reactions and nanoparticles formation. Appl. Sci. 2013, 3, 55–69. [Google Scholar] [CrossRef]
- Zassinovich, G.; Mestroni, G.; Gladiali, S. Asymmetric hydrogen transfer reactions promoted by homogeneous transition metal catalysis. Chem. Rev. 1992, 92, 1051–1069. [Google Scholar] [CrossRef]
- Crabtree, R.H. Transfer hydrogenation with glycerol as H-donor: Catalyst activation, deactivation and homogeneity. ACS Sustain. Chem. Eng. 2019, 7, 15845–15853. [Google Scholar] [CrossRef]
- Heltzel, J.M.; Finn, M.; Ainembabazi, D.; Wang, K.; Voutchkova-Kostal, A.M. Transfer hydrogenation of carbon dioxide and bicarbonate from glycerol under aqueous conditions. Chem. Commun. 2018, 54, 6184–6187. [Google Scholar] [CrossRef]
- Kumar, A.; Semwal, S.; Choudhury, J. Catalytic conversion of CO2 to formate with renewable hydrogen donors: An ambient-pressure and H2-independent strategy. ACS Catal. 2019, 9, 2164–2168. [Google Scholar] [CrossRef]
- Cheong, Y.-J.; Sung, K.; Park, S.; Jung, J.; Jang, H.-Y. Valorization of chemical wates: Ir(biscarbene)-catalyzed transfer hydrogenation of inorganic carbonates using glycerol. ACS Sustain. Chem. Eng. 2020, 8, 6972–6978. [Google Scholar] [CrossRef]
- Ainembabazi, D.; Wang, K.; Finn, M.; Ridenour, J.; Voutchkova-Kostal, A. Efficient transfer hydrogenation of carbonate salts from glycerol using water-soluble iridium N-heterocyclic carbene catalysts. Green Chem. 2020, 22, 6093–6104. [Google Scholar] [CrossRef]
- Brieger, G.; Nestrick, T.J. Catalytic transfer hydrogenation. Chem. Rev. 1974, 74, 567–580. [Google Scholar] [CrossRef]
- Wang, D.; Astruc, D. The golden age of transfer hydrogenation. Chem. Rev. 2015, 115, 6621–6686. [Google Scholar] [CrossRef]
- Sanz, S.; Azua, A.; Peris, E. (η6-arene)Ru(bis-NHC) complexes for the reduction of CO2 to formate with hydrogen and by transfer hydrogenation with iPrOH. Dalton Trans. 2010, 39, 6339–6343. [Google Scholar] [CrossRef] [PubMed]
- Azua, A.; Sanz, S.; Peris, E. Water-soluble IrIII N-heterocyclic carbene based catalysts for the reduction of CO2 to formate by transfer hydrogenation and the deuteration of aryl amines in water. Chem. Eur. J. 2011, 17, 3963–3967. [Google Scholar] [CrossRef] [PubMed]
- Sanz, S.; Benítez, M.; Peris, E. A New approach to the reduction of carbon dioxide: CO2 reduction to formate by transfer hydrogenation in iPrOH. Organometallics 2010, 29, 275–277. [Google Scholar] [CrossRef]
- Iglesias, M.; Oro, L.A. A leap forward in iridium-NHC catalysis: New horizons and mechanistic insights. Chem. Soc. Rev. 2018, 47, 2772–2808. [Google Scholar] [CrossRef] [PubMed]
- Cheong, Y.-J.; Sung, K.; Kim, J.; Kim, Y.K.; Jang, H.-Y. Highly efficient iridium-catalyzed production of hydrogen and lactate from glycerol: Rapid hydrogen evolution by bimetallic iridium catalysts. Eur. J. Inorg. Chem. 2020, 4064–4068. [Google Scholar] [CrossRef]
- Lu, Z.; Cherepakhin, V.; Demianets, I.; Lauridsen, P.J.; Williams, T.J. Iridium-based hydride transfer catalysts: From hydrogen storage to fine chemicals. Chem. Commun. 2018, 54, 7711–7724. [Google Scholar] [CrossRef] [PubMed]
- Ouali, A.; Majoral, J.-P.; Caminade, A.-M.; Taillefer, M. NaOH-promoted hydrogen transfer: Does NaOH or traces of transition metals catalyze the reaction? ChemCatChem 2009, 1, 504–509. [Google Scholar] [CrossRef]
- Ramírez-López, C.A.; Ochoa-Gómez, J.R.; Fernández-Santos, M.; Gómez-Jiménez-Aberasturi, O.; Alonso-Vicario, A.; Torrecilla-Soria, J. Synthesis of lactic acid by alkaline hydrothermal conversion of glycerol at high glycerol concentration. Ind. Eng. Chem. Res. 2010, 49, 6270–6278. [Google Scholar] [CrossRef]
- Wu, J.; Shen, L.; Chen, Z.-N.; Zheng, Q.; Xu, Z.; Tu, T. Iridium-catalyzed selective cross-coupling of ethylene glycol and methanol to lactic acid. Angew. Chem. Int. Ed. 2020, 59, 10421–10425. [Google Scholar] [CrossRef]
- Sharninghausen, L.S.; Campos, J.; Manas, M.G.; Crabtree, R.H. Efficient selective and atom economic catalytic conversion of glycerol to lactic acid. Nat. Commun. 2014, 5, 5084–5092. [Google Scholar] [CrossRef]
- Sun, Z.; Liu, Y.; Chen, J.; Huang, C.; Tu, T. Robust iridium coordination polymers: Highly selective, efficient, and recyclable catalysts for oxidative conversion of glycerol to potassium lactate with dihydrogen liberation. ACS Catal. 2015, 5, 6573–6578. [Google Scholar] [CrossRef]
- Wu, J.; Shen, L.; Duan, S.; Chen, Z.-N.; Zheng, Q.; Liu, Y.; Sun, Z.; Clark, J.H.; Xu, X.; Tu, T. Selective catalytic dehydrogenative oxidation of bio-polyols to lactic acid. Angew. Chem. Int. Ed. 2020, 59, 13871–13878. [Google Scholar] [CrossRef]
Publisher’s Note: MDPI stays neutral with regard to jurisdictional claims in published maps and institutional affiliations. |
© 2021 by the authors. Licensee MDPI, Basel, Switzerland. This article is an open access article distributed under the terms and conditions of the Creative Commons Attribution (CC BY) license (https://creativecommons.org/licenses/by/4.0/).











