Abstract
Hydroarylation reactions play a pivotal role in organic chemistry due to their versatility and efficiency. In the last 10 years, the scientific production around this reaction has been very high, but in its asymmetric version, the results are less. In this mini review, selected literature examples are considered to draw attention to directions of the asymmetric hydroarylation reaction mediated by transition metal catalysts. The selected works were grouped in two main sections. In the first, we reported examples relating the narrower definition of hydroarylation, namely the metal-catalyzed processes where inactivated aryl moiety undergoes a direct functionalization via insertion of an unsaturated compound. In the second part, hydroarylation reactions take place with the use of pre-activated aryl substrates, usually aryl-iodides or aryl-boronated.
1. Introduction
Hydroarylation reactions enable the formation of new Csp2–Csp3 or Csp2–Csp2 bonds using inactivated aromatic substrates. Its outcome is described as the addition of hydrogen and an aryl group to an unsaturated moiety, resulting in the direct functionalization of the aromatic Csp2–H bond. Readers can find an interesting and exhaustive panorama of this reaction in a relatively recent book [1]. For its versatility, atom economy, and efficiency, this reaction has received a great deal of attention over the years. Looking at the literature production of the last 10 years, a search for the single term “hydroarylation” displays more than 800 papers on Scopus. Among these published works, some examples of metal-free hydroarylation have been outlined [2,3,4,5] but most of the described approaches are based on transition metal catalysis. Refining the research products by the term “asymmetric”, less than 100 papers outcomes attesting how this field remains for a large part unexplored. By inspection of refined papers, chiral induction is promoted by the enantiopure ligand (e.g., TADDOL derived or chiral phosphines) or alternatively by the enantiopure/enantioenreached unsaturated starting material (a single stereoisomer of alkene or an alkyne bearing a fixed stereogenic center close to the triple bond). Therefore, the new carbon-carbon bond formation happens in a stereoselective fashion making the procedure very attractive for its potential application mainly in medicinal chemistry [6,7,8,9,10].
In this framework, selected literature examples, grouped by metal, are considered to draw attention of directions of catalyst development. Thus, the reader will not find a comprehensive analysis of the literature here. The selected works were grouped in two main sections. In the first, we reported examples relating the narrower definition of hydroarylation, namely the metal-catalyzed processes where the inactivated aryl moiety undergoes a direct functionalization via insertion of an unsaturated compound. In this section, gold turned out to be the more employed, nickel was sparsely represented, whereas palladium examples were absent. In the second part of the review, hydroarylation reactions take place with the use of pre-activated aryl substrates. Here, nickel and palladium turned out to be the more-employed metals.
2. Asymmetric Construction of Chiral Compounds Sorted by Metal: The Direct Asymmetric Hydroarylation
2.1. Gold
The first example of gold catalytic asymmetric synthesis was published in 1986, where Ito et al. provided an aldol reaction by using a gold(I) catalyst and an enantiomerically pure ferrocene diphosphane ligand [11]. However, since the 2000s there has been a real explosion of development in gold catalysis [12,13]. In line with this, gold still appeared to be the most widely-used metal in these asymmetric transformations. In this time frame, gold-catalyzed asymmetric hydroarylation of allenes and alkynes as well as the enantioselective synthetic protocols to build helicenes have been widely studied.
Ma and co-workers published a communication about the asymmetric hydroarylation of enantioenriched allenes (1) by using dinuclear achiral [(dppm)Au2Cl2] [dppm=methylenebis(diphenylphosphane)] in combination with AgOTf as catalyst to obtain aromatic ring-fused six-membered cycles containing a chiral stereocenter [14]. When reactions were performed with [AuCl(PPh3)]/AgOTf or [IPrAuCl] [IPr=1,3-bis(2,6-diisopropylphenyl)imidazolium]/AgOTf as alternative catalysts, systems gave low enantiomeric excess (ee). In addition, the reaction performed in the absence of either AgOTf or [(dppm)Au2Cl2] did not proceed attesting a high efficiency of chirality transfer for the [(dppm)Au2Cl2]/AgOTf pair. In the optimized conditions, the gold-catalyzed asymmetric cyclization proved to tolerate well a variety of aryl groups affording the corresponding 1,4-dihydroarene (2) in excellent yields and ee even when heteroaryl-substituted optically active allenes are used as substrate of the reaction (Figure 1).
Figure 1.
Asymmetric hydroarylation of enantioenriched allenes (1) by using dinuclear [(dppm)Au2Cl2]/AgOTf catalytic pair.
In order to investigate the role of [(dppm)Au2Cl2]/AgOTf pair, the authors studied the catalytic system by ESI-MS highlighting key intermediates (Figure 2). To this end, flow injection analysis of a solution of catalysts alone (solution A) and a reaction mixture of aryl allene and concentrated catalyst (solution B) have been transferred separately into the ESI source. Solution A allows the detection of ion [(dppm)Au2OTf]+ at m/z 927.0 providing that an anion exchange between [(dppm)Au2Cl2] and AgOTf occurs. Solution B showed the signal of dinuclear gold ion at m/z 1199.2 corresponding to IM1 or IM2 possible intermediates. Finally, flow injection analysis of reaction mixture after 8 h at room temperature revealed the presence of the product as well as the active intermediate.
Figure 2.
ESI-MS experiments to investigate the active intermediate of catalytic system. Reproduced with permission of [14]. MS spectrum (a) refers to solution A and shows the presence of ion [(dppm)Au2OTf]+ at m/z 927.0; MS spectrum (b) refers to solution B and shows the presence of dinuclear gold ion at m/z 1199.2 corresponding to the two possible intermediates IM1 and IM2; MS spectrum (c) refers to solution C. In this case, the analysis has been performed after 8h and shows the presence of the reaction product along with the active intermediate.
Tanaka’s group reported the gold-catalyzed intramolecular hydroarylation of alkynones (3) for the atroposelective synthesis of axially chiral all-benzenoid biaryls, 4-aryl-2-naphthol derivatives (4) [15]. Different chiral bisphosphine ligands in presence of gold(I) were evaluated (Figure 3). After optimization of reaction conditions in terms of Au complex, ligand and silver salt, the cationic gold(I)/(R)-xyl-binap complex in combination with AgOTf proved to be the best system for the atroposelective intramolecular hydroarylation of several alkynones variously substituted.
Figure 3.
Gold-catalyzed intramolecular hydroarylation of alkynones (3) for the atroposelective synthesis of axially chiral biaryl derivatives (4).
In 2018 Lee and co-workers reported the first example of intermolecular hydroarylations of allenes with efficient axial-to-point chirality transfer [16]. After optimization of the reaction conditions, a wide screening of the enantioenriched allenes (5) and the aryl- and heteroaryl-nucleophiles (6) was conducted affording the corresponding products (7) in excellent yield and regio- and enantioselectivity (Figure 4). It is worth noting that such reactions were previously reported by Widenhoefer [17] and Che [18] to occur with no chirality transfer under gold-catalysis due to competing gold-catalyzed racemization of the allene substrates. Studies about the hydroarylation versus racemization rate were conducted proving that the chirality transfer is efficient under the reaction conditions described by the group because it outcompetes the rate of gold-catalyzed allene racemization.
Figure 4.
Axial-to-point chirality transfer: intermolecular hydroarylations of allenes (5).
In 2021 Zhang’s group published a work about the simultaneous construction of axial and planar chiralities via the gold-catalyzed asymmetric intramolecular hydroarylation of readily available ortho-alkynylferrocene derivatives (8) [19]. Optimization of reaction conditions allowed them to identify a gold complex with a chiral sulfinamide phosphine type ligand (belonging to TY-Phos family) as the best catalytic system showing its potential application in the synthesis of chiral biaryl compounds (Figure 5).
Figure 5.
Gold-catalyzed asymmetric intramolecular hydroarylation of available ortho-alkynyl-ferrocene derivatives (8) together with the structure of the best selected catalyst.
As mentioned before, the asymmetric gold catalyzed hydroarylation turned out to be a very useful method for the enantioselective synthesis of helicenes. In 2016 the group of Tanaka exploited the gold-catalyzed intramolecular quadruple hydroarylation of a tetrayne for the enantioselective synthesis of an aza[10]helicene (11) [20]. Screening of axially chiral biaryl bisphosphine ligands revealed that the gold(I) complex obtained from AuCl(SMe2) and the electron-deficient difluorphos ligand was the best system for achieving both high yield and ee values. It is noteworthy that also the suitable choice of the silver salt and its quantity play a key role in the success of the reaction. Employment of one equivalent of AgOTf with respect to the gold(I)complex gives a monohydroarylation reaction, while the use of 1.5 equivalent leads to the desired quadruple hydroarylated product. The subsequent deprotection and chlorination provided a fully aromatic aza[10]helicene, possessing two pyridine units (Figure 6).
Figure 6.
Gold-catalyzed intramolecular quadruple hydroarylation to obtain aromatic aza[10]helicenes (11) with two pyridine units.
In a later work (2018) by the same group, a similar catalytic system was used to achieve the enantioselective synthesis of fully benzenoid single and double carbo[6]helicenes [21]. In the same year the group of Alcarazo achieved the enantioselective synthesis of variously substituted carbo[6]helicenes (13) by exploiting the gold-catalyzed intramolecular hydroarylation reaction of suitable diynes (12) [22]. To this, a series of cationic phosphonites with a TADDOL skeleton as shared motif and different substituents at phosphorus were produced and tested as chiral ancillary ligands (Figure 7). The study revealed that Au catalysts derived from triazoliumphosphonites are more active than the imidazolium-derivatives ones. The Au complexes obtained from phosphonites with 1,3-dimesityl-1,2,3-triazolium and 1,4-dimesityl-1,2,4-triazolium substituents are the best precatalysts for the desired cyclization considering regio- and enantioselectivity.
Figure 7.
Gold-catalyzed intramolecular hydroarylation reaction of suitable diynes (12) by using cationic phosphonite ligands.
Suemune and co-workers reported the synthesis of a coumarin-fused [6]helicene derivative (15) possessing an internal-edge phenyl substituent by the intramolecular hydroarylation of [5]helicenyl propiolates (14) by using an Au(I)/chiral bis(phosphine) complex as catalyst (Figure 8) [23].
Figure 8.
Path (a) Enantioselective synthesis of 15a by the intramolecular hydroarylation of 14; path (b) Synthetic strategy for coumarin-fused helicene (15) via AuI-catalyzed intramolecular dynamic kinetic hydroarylation. DGDE = diethyleneglycoldibutylether.
After a first racemic synthesis performed with Au(PPh3)Cl-AgSbF6 as catalyst, a screening of reaction conditions for the enantioselective version of the hydroarylation was examined. The study showed that in presence of 2.5 mol% of the chiral catalyst (R)-OMe-DTB-BIPHEP-Au(I) the desired hydroarylation occurs successfully via dynamic kinetic resolution at 50 °C, affording the desired product in 65% yield and ee > 85%. In these reaction conditions, the two enantiomers of 14 are rapidly interconverted while the chiral Au(I) catalyst can recognize one of these helical-enantiomers leading to the corresponding product (15a or 15b) configurationally stable because of the presence of the constructed α-pyrone ring.
Very recently, the group of Alcarazo reported two other works about the intramolecular alkyne hydroarylation catalyzed by TADDOL-derived α-cationic phosphonites as ancillary ligands aimed to the enantioselective synthesis of 1,12-disubstituted [4] helicenes (16) (Figure 9) and dithia[5]helicenes (17) (Figure 10) [24,25]. These studies showed the potentiality of the developed catalytic system, which turned out to provide high enantiopure different helicene-systems.
Figure 9.
Synthetic approaches to the enantioselective synthesis of 1,12-disubstituted [4]helicene (16).
Figure 10.
Enantioselective synthesis of dithia[5]helicenes (17).
2.2. Rhodium
Rhodium-based catalysts are among the most commonly used systems in the C-C bond formation reaction thanks to their versatility and selectivity compared to other catalytic systems [26]. Called RCAA (Rh-catalyzed asymmetric arylation), a general Rh-catalyzed reaction starts with a transmetalation of an activated aryl group producing reactive aryl–rhodium. The intermediate then reacts with double or triple bonds to produce hydroarylated compounds or, in presence of an electrophile, the product of a RCAA-tandem reaction. Asymmetric arylation reactions between aryl- or alkenylboronic acids and olefins have been widely studied by Hayashi and co-workers since the 90s. Coordination of the hydroxorhodium complex with the chiral ligand leads to the [Rh(OH)(coe)2]2/(R)-segphos catalyst system affording the reaction under neutral conditions [27]. During the period of Hayashi’s research, a different system based on a Rh(III)-Cp* catalyst (where Cp* is a pentamethylcyclopentadienyl ligand) was employed by Cramer and co-workers for asymmetric C−H functionalizations [28,29]. While the asymmetric hydroarylation on 1,1-di- or tri-substituted olefins failed to undergo a reaction with rhodium acyclic intermediate pointing toward a weak binding to the metal or difficult migratory insertion, the reaction performed on allyl ethers (18) led to the synthesis of enantioenriched dihydrobenzofurans. The reaction performed with an achiral Cp*Rh(III) complex in absence of an additive furnished the cyclization products (19 and 20) almost without selectivity. Addition of a stoichiometric amount of pivalic acid and catalytic quantities of AgSbF6 provided 19 in 89% yield (Figure 11).
Figure 11.
Aryl hydroxamate C(sp2)–H functionalizations with tethered alkenes: selectivity of achiral ligand and proper acid additive.
The employment of chiral Cp*Rh(III) complexes with an atropochiral biaryl backbone led to a hydroarylated product with very good yields and high ee when the methoxy substituents were present in the ortho positions of the biaryl scaffold (Rh3). The reaction scope showed wide versatility and compatibility with electron-rich and electron-poor arenes, with phenol and nitro substituents and with variously substituted alkenes (Figure 12).
Figure 12.
Cpx Rhodium complexes in enantioselective hydroarylations of aryl hydroxamate 18.
The same chiral catalyst (Rh3 in Figure 12) was used for the first time in oxidative coupling reactions by You’s group, providing the enantioselective synthesis of axially chiral biaryls in high yields and enantioselectivities (up to 99% yields and 98:2 enantiomeric ratio (e.r.)) [30]. The enantioselective addition of N-heteroarenes to terminal and internal 1,3-dienes catalyzed by an Rh catalyst was reported by Meek’s group in 2017. The employment of a new chiral pincer carbodicarbene ligand (CDC, Figure 13) afforded allylic substituted arenes (20) in excellent yields and enantioselectivities (up to 95% yield and up to 98:2 e.r.) [31].
Figure 13.
Asymmetric CDC-Rh(III) catalyzed diene hydroarylation.
Rh-catalyzed intramolecular asymmetric hydroarylation was performed by Breit group on allenylbenzenes (21) for the synthesis of functionalized benzocycles (22) [32]. Employment of the catalytic system formed by Rh, Josiphos ligand (J003-2 in Figure 14), and pyridinium p-toluenesulfonate (PPTS), oxidatively added to the metal-ligand system, provides the enantioselective intramolecular addition of benzenes to allenes in good yields (Figure 14).
Figure 14.
Rh-catalyzed intramolecular asymmetric hydroarylation of allenylbenzenes (21).
2.3. Iridium
Between 2000 and 2010 the examples that reported use of Iridium-catalysts for hydroarylation reaction are few [33,34,35,36]. Among these, only one paper by Togni’s group reports an asymmetric version of the reaction describing the asymmetric intermolecular hydroarylation of norbornene with benzamide catalyzed by Ir(I) complexes [34]. In our first selected example, Ir-catalyzed asymmetric addition of heteroarenes to bicycloalkenes was reported in 2013 by Sevov and Hartwig [37]. After the screening of bisphosphine ligands, the intermolecular asymmetric addition of indoles, thiophenes, pyrroles, and furans to 24, as reported in Figure 15, is obtained in high yield and enantiomeric excess using the catalytic system [Ir(coe)2Cl]2 (coe = cyclooctene)—DTBM-Segphos (DTBM = 3,5-di-tert-butyl-4-methoxy). In all cases, C-C bond formation occurs at the position adjacent to the heteroatom.
Figure 15.
Intermolecular asymmetric addition of heteroaromatic compounds to bicycloalkenes.
Similar bicycloalkene scaffolds were employed by Yamamoto and co-workers to provide alkylated acetophenone (26) and benzamide derivatives with good results [38]. After the optimization of the reaction conditions and the opportune choice of the ligand, the substrate scope disclosed that various substituents on the arene moiety were tolerated. In this reaction, mechanistic studies performed carrying out the reaction in presence of D2O showed that the turnover-limiting step is determined by the C-H bond cleavage (Figure 16).
Figure 16.
Proposed mechanism for the hydroarylation of alkylated acetophenone (26) and benzamide derivatives.
Between 2014 and 2015, Yamamoto published two other papers involving the use of Iridium and a chiral bidentate phosphoramidite ligand (Me-BIPAM) as a catalytic system for the intramolecular asymmetric hydroarylation of α-ketoamides (27) [39,40]. The reaction performed on α-ketoamides occurs with complete regioselectivity and high yields through the enantioselective addition at the C-H bond in the more hindered position in ortho respect to carbonyl group leading to optically active 3-substituted 3-hydroxy-2-oxindoles (28). The reaction scope and mechanistic studies have attested that the turnover-limiting step in the catalytic cycle is driven by carbonyl insertion to the aryl–iridium bond proven by 1H NMR experiments, kinetic isotope effect studies, and Hammett studies (Figure 17).
Figure 17.
Catalytic cycle of intramolecular asymmetric hydroarylation of α-ketoamides (27) catalyzed by [Ir(R,R)-Me-BIPAM].
The asymmetric hydroarylation of vinyl ethers (30) catalyzed by a hydroxoiridium complex with chiral biphosphine ligands was reported by Yorimitsu’s group in 2017 [41]. The reaction was performed with good results on substituted azoles (29) with an N-H bond. The screening of the ligands revealed that (R,R)-QuinoxP* provides the best results for the synthesis of 31 both for the yields and the enantiomeric excess (Figure 18). As demonstrated by the unreactivity of N-methylbenzimidazole under the catalytic conditions, the bond formation between nitrogen and iridium is necessary for C-H activation through the C-Ir bond formation.
Figure 18.
Asymmetric hydroarylation of vinyl ethers (30) catalyzed by a hydroxoiridium complex with (R,R)-QuinoxP.
Two years later, Nishimura and Sakamoto reported the enantioselective synthesis of 2-arylchromanes (34) via olefin isomerization followed by asymmetric hydroarylation [42]. The reaction between 2H-chromenes (32) and aromatic ketones (33) performed with [IrCl(cod)]2 and (R)-DM-segphos, (R)-binap or MeObiphep ligands gave the product (34) in high yields and stereoselectivity. In this case, the coordination of Ir by oxygen leads to C-H activation of the aromatic ketone giving an aryl(hydrido)iridium(I) species B as reported in the catalytic cycle on Figure 19. The olefin isomerization of 2H-chromene into 4H-chromene can be promoted by species B or via π allyl complex F formation by allylic C-H activation. Irreversible carbometalation gives the alkyl-iridium intermediate C and finally the final product is achieved through the reductive elimination and A regeneration.
Figure 19.
Catalytic cycle of synthesis of 2-arylchromane (34) via olefin isomerization followed by asymmetric hydroarylation.
The effect of the aromatic keto- or amide-directing group in the enantioselective hydroarylation of olefins has been also described by Rueping and co-workers [43]. In this work, the reaction affords the synthesis of dihydrobenzofurans (36), important frameworks of biologically active compounds, with high yields and high enantioselectivity (Figure 20). After optimization of reaction conditions and a meticulous screening of ligands and substrates, a careful mechanistic study showed that the presence of the keto-directing group is essential because in its absence no reaction was successfully achieved.
Figure 20.
Synthesis of dihydrobenzofurans (36) by enantioselective intramolecular hydroarylation of aryloxyolefins (35).
2.4. Nickel
Examples of asymmetric C-H functionalization catalyzed by Ni(0) (usually as bis(cyclooctadiene)nickel complex) are very few and undeveloped before 2018. From the point of view of asymmetric and direct hydroarylation, the published works are very sparsely represented. Here we report the hydroarylation of alkenes allowing to final cyclized products. In detail, the enantioselective intramolecular hydroarylation of 2- and 4-pyridones catalyzed by Ni(0) was reported by Cramer and co-workers [44]. The employment of sterically hindered N-heterocyclic carbenes (NHCs) as chiral ligands derived from IPr (1,3-bis(2,6-diisopropylphenyl)imidazol-2-ylidene) allowed the synthesis of tetrahydroquinolizinones (37 and 38), an important scaffold of several biologically active compounds, in good yields and enantioselectivities (Figure 21).
Figure 21.
Chiral and sterically hindered N-heterocyclic carbenes as ligands in the synthesis of 2- and 4-tetrahydroquinolizinones (37 and 38).
The NHC ligands were also employed in the first example of catalytic enantioselective C-H functionalization of polyfluoroarenes (39) by Shi’s group in 2019 (Figure 22) [45]. A careful reaction optimization and screening of the ligands reveled that exclusive endocyclization occurs in excellent yields and enantioselectivity when ANIPE (L*5 and L*7, chiral version of IPr) or SIPE (L*1, chiral version SIPr) ligands are employed. The high regio-, chemo-, and enantioselectivity were achieved using chiral bulky NHC ligands on a variety of di-, tri-, and tetrafluoro alkenes, styrenes and enamines to produce valuable chiral fluorotetralins (40 and 41). The highly sterically demanding and electro-donating ligands employed in the reaction lead both the exclusive activation of C-H bonds over C-F bonds, and the challenging reductive elimination step and complete endoselective cyclization.
Figure 22.
(a) Catalytic enantioselective C-H functionalization of polyfluoroarenes (39); (b) proposed catalytic cycle.
In the same year Shi’s work was published, Zhou’s group reported the stereoselective synthesis of indanones (43) through the Ni-catalyzed asymmetric intramolecular hydroarylation of enones (42) using a semicorrin ligand [46].
The tested commercially available and usually employed chiral diphosphines did not lead to active nickel catalysts, while bis-oxazolines gave an incomplete conversion of the substrate and low enantioselectivity. Excellent yields and ee were achieved with sterically hindered diarylated semicorrins, which probably undergo an in situ deprotonation forming the active nickel catalyst (Figure 23). The synthesis of various indanones was successfully achieved by nickel-catalyzed reductive cyclization of chalcones with benzyl, alkyl, alkenyl, aryl, and cyclopropyl substituents at the C3 position. Short syntheses of biologically active compounds, (+)-indatraline and its deuterated derivatives, (+)-multisianthol and a precursor of ®-tolterodine using the nickel catalyst were achieved with good yields and high ee (hydroarylation products: yields 64–73%, ee 92–94%), which are not afforded by palladium-catalyzed reductive Heck reaction.
Figure 23.
Stereoselective synthesis of indanones (43) through Ni-semicorrin catalyst.
2.5. Cobalt, Platinum, and Ruthenium
In the last subsection of the first part, few works that examine cobalt, platinum, and ruthenium catalysis are presented. In the selected time window, the only one work about the platinum catalysis involved in a hydroarylation reaction is reported by Toullec [47]. He describes a combinatorial approach aimed at the synthesis of libraries of chiral tris-ligated cationic platinum complexes and their evaluation as catalysts in the asymmetric hydroarylation/cyclization of 1,6-enynes (44). The evaluated catalysts are obtained by the combination of a mono- (L1) and a bidentate (L2) phosphorus ligand where at least one is chiral. The developed strategy allowed for the preparation of a library of 108 chiral [Pt(L1)(L2)]2+ type complexes. The study revealed that high enantioselectivities were obtained exclusively when there is a combination of ligands in which the monodentate ligand is chiral. The best results were achieved with monodentate ligands (L1) R-46 and R-47, (Figure 24) which have similar stereoelectronic properties: C2-symmetric dialkyl aryl phosphanes with medium cone angle and strong s-donating character.
Figure 24.
Asymmetric hydroarylation/cyclization of 1,6-enynes (44).
Looking for examples involving ruthenium as a catalyst for this type of reaction, our research has produced only one result reported by Wang and co-workers [48]. The work describes a ruthenium(II)-catalyzed asymmetric intramolecular hydroarylation assisted by a chiral transient-directing group in the enantioselective synthesis of chiral 3,3-disubstituted 2,3-dihydrobenzofuran (49) (Figure 25). The catalytic system involved a [Ru(p-cymene)Cl2]2 and a chiral amine. The developed catalytic system allowed to obtain the products bearing chiral all-carbon quaternary stereocenters in high yields (up to 98%) and high enantioselectivities (up to >99% ee). Total synthesis of CB2 receptor agonist MDA7 has been successfully achieved by using the developed protocol.
Figure 25.
Enantioselective synthesis of chiral 3,3-disubstituted 2,3-dihydrobenzofurans (49) by ruthenium(II) – chiral amine systems.
Finally, very recently two works about the use of cobalt in the asymmetric hydroarylation of alkynes and alkenes were reported by Lautens’ group [49] and by Shi’s group [50]. The work of Lautens describes an asymmetric hydroarylative cyclization of enynes (51) catalyzed by a Cobalt/(R,R)-QuinoxP leading to the formation of two new C-C bonds and one new C-H bond in excellent yields and excellent enantioselectivities as single diastereo- and regioisomers (Figure 26). After optimization of the reaction conditions, a wide variety of enynes (51) and N-substituted or aryl-substituted indoles (50) was screened, giving in almost all cases the corresponding product in excellent yields and ee (up to 99% yield and 94% ee).
Figure 26.
Cobalt/(R,R)-QuinoxP catalytic systems in the cyclization of enynes (51) with indole derivatives (50).
The following year Shi and co-workers reported the Cp*Co(III)-catalyzed asymmetric hydroarylation of unactivated aliphatic terminal alkenes (54) assisted by an amino acid-based bulky chiral carboxylic acid (CCA) ligand. The pivotal step was the stereoinduction driven by a noncovalent interaction arising from the molecular recognition among the organocobalt(III) intermediate, the coordinated alkene, and the suitable chiral ligand. Several C2-alkylated indoles and pyrroles (55) were produced in high yields and enantioselectivities (up to 95% yield and 96:4 e.r.) by exploiting the protocol which involved the use of a new type of bulky N-phthaloyl-protected amino acids (AAs) as a CCA ligand and the development of a new directing group (DG). Structure of ligand is in Figure 27. DFT studies showed that the role of molecular recognition with the organocobalt(III) intermediate is crucial for the chiral induction step. The designed amino acid differentiates the competing enantioisomeric olefin insertion pathways through noncovalent interaction determining the enantioselectivity of the process.
Figure 27.
Use of amino acid-based bulky chiral carboxylic acid ligand (L*) for the synthesis of chiral C2-alkylated indoles (55).
3. Asymmetric Construction of Chiral Compounds Sorted by Metal: The Asymmetric Hydroarylation of Activated Aryl Portions
3.1. Palladium
Reported for the first time by Cacchi and co-workers, the palladium-catalyzed hydroarylation between olefines and arylhalides or pseudohalides is formally known as a reductive Heck reaction [51,52,53,54]. Although its disclosure dates back to the 1980s, its asymmetric version has only been developed recently. Between 2010 and 2011 Sigman described the hydroarylation of dienes and styrenes trough the reductive formation of π-allyl palladium intermediates under oxidative conditions [55,56]. Despite the use of chiral ligands, only poor enantioselectivity was achieved. In 2013 Liu and Zhou reported the desymmetrization of substituted cyclopentenes through an asymmetric Heck reaction and the first highly enantioselective hydroarylation of bicyclic olefins (56a and 56b) with a Pd catalyst [57]. The ligand of choice for the asymmetric hydroarylation is the 1,1′-spirobiindane-7,7′-bisphosphine oxide,(R)-Xyl-SDP(O), belonging to the phosphine oxides family tested first for the Heck reaction, while the hydride donor was the sodium formate (Figure 28). For the first time in the asymmetric hydroarylation catalyzed by Pd, the reaction was achieved with high yields and ee up to 90% in all cases.
Figure 28.
Asymmetric hydroarylation catalyzed by Pd/(R)-Xyl-SDP(O).
The combination of Cu and Pd as cooperative catalysis in the asymmetric hydroarylation or hydrocyanation is described by the works of Buchwald’s group [58,59,60]. The asymmetric hydroarylation of 57 and 60 leads to the synthesis of 1,1-diarylalkanes (59) and of arenes with β-stereogenic center (62).
Both processes are performed on terminal double bonds and start from the CuH catalyst, generated in situ from a suitable Cu(I) or Cu(II) salt and the chiral ligand. Figure 29 shows investigated substrates and products as well as the structures of chiral ligands. When the hydrocupration is performed on styrene derivatives (57), a benzylic Cu(I) intermediate (58) is formed (Figure 29a). In the second case, when 1,1-disubstituted olefins (60) are employed, the reaction proceeds with anti-Markovnikov regioselectivity, giving the Cu(I) alkyl intermediate (61) (Figure 29b). In Figure 30, the complete catalytic cycle is reported: simultaneously with the copper activity, the Pd(0) complex is oxidatively added to the aryl bromide (63), forming the aryl palladium intermediate (64), which converges in a stereospecific transmetalation with the organocopper species (67). The enantioenriched products (66) are finally furnished via reductive elimination of chiral Pd(II) alkyl complexes (65), regenerating the Pd(0)-Ligand compound. The Cu(I) salt generated in the first catalytic cycle returns the CuH-ligand catalyst by treatment with the silane (R3SiH) and the base (MOR). It is noteworthy that the metal cycles are required to be matched with attention to avoid undesirable side reactions such as aryl bromide reduction. In the first work of Buchwald’s group, the ligands used for the copper and palladium catalytic processes were different and must be chosen properly to furnish a good reactivity of one metal without deactivating the other. After testing several ligands for both the processes, the BrettPhos for the Pd and the DTBM-SEGPHOS for the Cu turned out to be the best ligands in terms of yields and enantioselectivity. The optimized procedure has proven to work well with several aryl bromides and with a variety of vinyl arenes furnishing the products of the resulting hydroarylation reaction with good yields and ee.
Figure 29.
Asymmetric hydroarylation by Cu/Pd cooperative catalysis for the synthesis of 1,1-diarylalkanes (59) (a) and for the synthesis of arenes with β-stereogenic center (62) (b).
Figure 30.
Proposed catalytic cycle of reaction in Figure 29b.
The issue of the employment of two different ligands was overcome in a recent work where the ligand of choice, the DTBM-SEGPHOS, is the same for both the metals. The asymmetric hydroarylation through the dual Pd-CuH catalysis described in this work, is performed on numerous 1,1-disubstituted alkenes and aryl bromides providing access in a single-step process to arenes with β-stereogenic centers, motifs founded in many drugs and natural products [61,62,63]. After Buchwald’s and Zhou’s works, Zhu and co-workers developed an asymmetric intramolecular reductive Heck reaction of N-aryl acrylamides [64]. The reaction protocol developed by Zhu exploits a diboron–water specie as a hydride donor for the reduction of C(sp3)-Pd intermediate. Synthesis of enantioenriched 3,3-disubstituted oxindoles (71) with a quaternary stereocenter was achieved with high yields and ee using a catalytic amount of PdCl2(MeCN)2-ligand as catalyst, DABCO (1,4-diazabicyclo[2.2.2]octane) as base, and a stoichiometric amount of B2(OH)4/H2O as the hydride donor. Choice of the chiral ligand determines not only the enantioselectivity of the reaction, but also the reaction pathways: when PPh3 is used the reaction leads to the carboborylation product, while using (S)-tBuPHOX as ligand, the reaction pathway switches, affording hydroarylation products (Figure 31).
Figure 31.
Asymmetric intramolecular reductive Heck reaction of N-aryl acrylamides (70).
The following year, Zhang’s group reported the first example of highly enantioselective intramolecular hydroarylation of allyl aryl ethers through a reductive Heck reaction catalyzed by palladium [65]. Similar benzofuran scaffolds were obtained by direct hydroarylation reaction employing rhodium as transition metal catalyst. Here, the reaction was performed exploiting a new chiral sulfonamide monophosphine ligand, N-Me-XuPhos, prepared in a one-pot synthesis by the deprotonation of the dicyclohexyl phosphine borane with nBuLi and treatment with 1,2-dibromobenzene. Subsequent quenching by NH4Cl aq. or MeOTf, and deprotection performed with Et2NH afforded XuPhos and N-Me-XuPhos with moderate yields and excellent diastereoselectivities. The hydroarylation of allyl aryl ethers (72) using N-Me-XuPhos ligands, afforded a variety of optically active 3,3-Disubstituted 2,3-Dihydrobenzofuran (73) (Figure 32) and a series of CB2 receptor agonists with high chemo- and enantioselectivity (70–91% yields with 91–95% ee) (Figure 33).
Figure 32.
Asymmetric intramolecular reductive Heck reaction of allyl aryl ethers (72).
Figure 33.
CB2 receptor agonists obtained with synthesis in Figure 32.
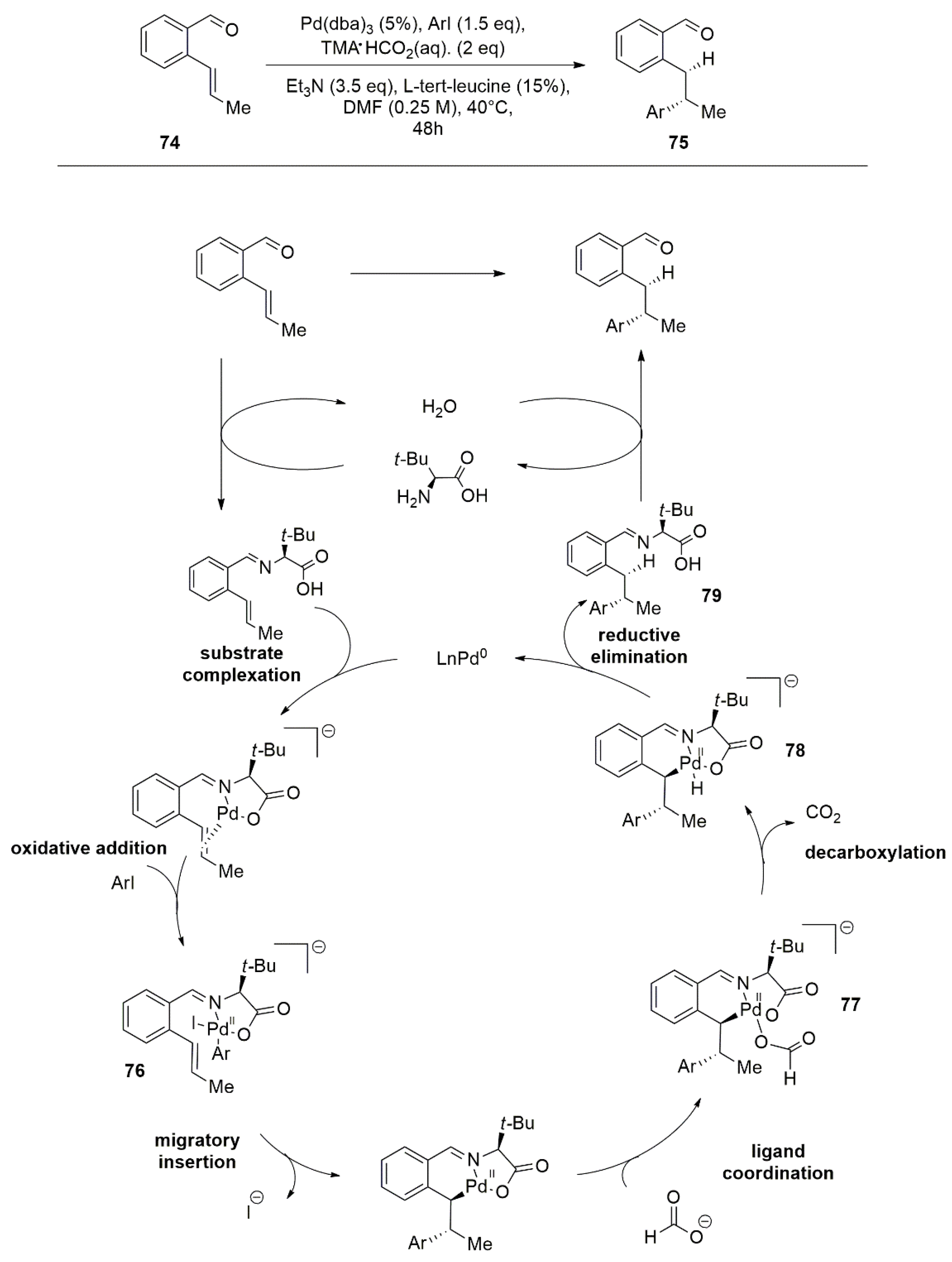
Inspired by asymmetric organocatalysis, Engle and coworkers have developed an enantioselective reductive Heck hydroarylation of alkenes that takes advantage of a chiral transient directing group (TDG) [66]. The chiral TDG class selected are chiral amines, in particular amino acids (L-tert-leucine in Figure 34), which lead to a stereocontrolled migratory insertion with alkenyl benzaldehydes (74) under mild conditions. The authors have hypothesized that the reaction occurs through dual catalytic cycles (Figure 34) where, after the coordination with the imine, the oxidative addition of the aryl iodide leads to the active palladium intermediate (76) followed by migratory insertion of aryl moiety and the additional formate coordination. Following this, the intermediate (77) decarboxylates afford a Pd-H species (78). Finally, the reductive elimination returns the L-Pd(0) species and subsequent dissociation conducts to the product (79).
Figure 34.
Palladium reductive Heck hydroarylation of alkenes (74) assisted by L-tert-leucine.
3.2. Nickel
Hydroarylation reactions involving catalytic organoligand/Ni systems and pre-activated arene are more represented compared to the direct counterpart (Section 2.4). Between 2019 and 2021 Zhu’s group published several works in high-impact journals where the catalytic systems involved Nickel and preactivated arenes in hydroarylation reactions [67,68,69,70,71]. At first, a racemic version of the hydroarylation of boron-containing alkenes (80) was reported. In this reaction, NiH species generated in situ catalyze both the chain walking process and subsequent cross-coupling, leading to α-functionalized alkyl boronate species with excellent chemo- and regioselectivity. Moreover, the asymmetric version of the reaction performed on these substrates by using (S,S)-Cy-Biox as the chiral ligand (L* in the scheme of Figure 35) delivered the product (81) in good yield but with low enantioselectivity.
Figure 35.
Hydroarylation of boron containing alkene (80) and benzyl iodide by using Ni/(S,S)-Cy-Biox.
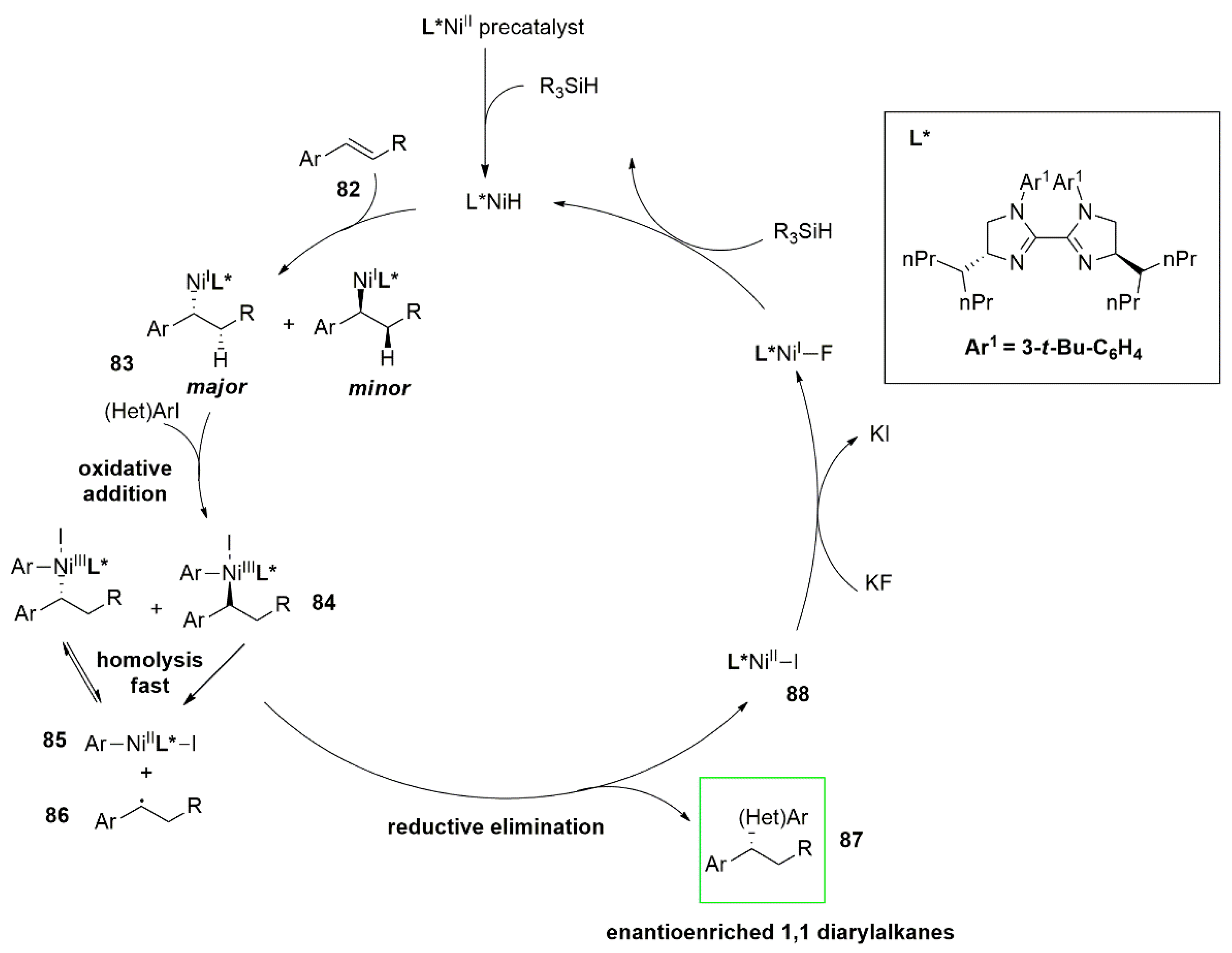
A highly enantio- and regioselective NiH-catalyzed reductive hydroarylation of vinylarenes (82) with aryl iodides was reported. The developed protocol involves the employment of a bis imidazoline (BIm)–nickel complex as catalyst. The proposed mechanism (Figure 36) shows that after formation of an alkyl–nickel intermediate (83) by the reaction between the catalyst and the alkene, the oxidative addition of aryl iodide occurs. Homolysis of the Ni-C bond could form a Ni(II)/benzylic radical pair in fast equilibrium with the Ar-Ni(III)-alkyl intermediate (84). Next, the enantio-determining step of the process is due to the enantioselective recombination of the benzylic radical (86) with the Ar-Ni(II)-I complex (85). An irreversible reductive elimination of the Ar-Ni(III)–alkyl complex (84) provides an enantioenriched 1,1-diarylalkane product (87) and nickel(I) iodide (88). Regeneration of the catalyst L-Ni(I)H occurs through ligand exchange with KF and subsequent reaction with a stoichiometric hydrosilane reagent. After a screening of the ligands and reaction optimization, numerous alkenes and aryl iodide components bearing a variety of functional groups proved to be suitable for the reaction allowing the synthesis of enantioenriched 1,1 diarylalkanes.
Figure 36.
NiH-catalyzed asymmetric reductive hydroarylation of vinylarenes (82) with aryl iodides.
The same system based on chiral bis imidazoline–Nickel complex gave excellent results, also for the enantioselective hydroarylation of N-acyl enamines. Furthermore, the employment of chiral BIm-Ni systems in the asymmetric reductive hydroarylation of vinyl amides (89) for the synthesis of enantioenriched α-arylbenzamides (90) was reported by Nevado [72]. Different aromatic substituents on the ligand’s nitrogen atoms and isopropyl side chain were tested, leading to the product in moderate yields but with good enantioselectivity. The employment of the ligand L*IV and the optimization of the reaction conditions allowed for the obtaining of a wide variety of α-arylbenzamides in good yields and with high enantioselectivity (Figure 37).
Figure 37.
Bis-imidazoline-Nickel complex employed to synthesize enantioenriched α-arylbenzamides (90).
Mechanistic studies suggested that the presence of radical scavengers do not significantly affect the reaction outcome. Oxidative addition of the chiral alkyl-aryl-NiIII complex to the vinyl amide leads to the first intermediate, which allows the insertion of the aryl moiety in a highly enantioselective manner. Notably, DFT calculations showed that the amide moiety plays a pivotal role in the stabilization of the Ni center and thus to stereodefined Csp3-Csp2 bond formation. The use of aryl- or vinylboronic species in the asymmetric hydroarylation/hydroalkenylation of styrenes and 1,3-dienes was reported by the research groups of Mei, Murcum and Zhou [73,74,75]. Inspired by Zhou and co-workers’ studies, Stanley’s group recently reported the catalytic enantioselective hydroarylations of vinylarenes (91) with aryl boronic acids in the presence of a catalyst generated in situ by 2.5 mol% of the nickel precatalyst Ni(cod)2 and 0.5 mol% of the chiral bisoxazoline ligand trans-Ph2BOX aimed at the synthesis of chiral 1,1-diarylethanes (93) (Figure 38a) [76]. As reported in Figure 38b, the reactions performed with arylboronic acids having electron-withdrawing substitutents allowed the preparation of the corresponding 1,1-diarylethanes with less than 80% ee, while boronic acids having electron-donating groups gave the desired products with greater than 90% ee. These results are consistent that the transmetallation with the aryl-boron nucleophile is a determinant for the enantioselectivity of the reaction. In addition to the presence of electrondeficient arylboronic acids, the absence of a base slows down the rate of trasmetalation, and isomerization of the nickel benzyl species may cause loss of enantioselectivity.
Figure 38.
(a) Synthesis of chiral 1,1-diarylethanes (93) trough Ni/ trans-Ph2BOX. Catalyst are generated in situ. (b) Mechanism of concerted hydronickelation.
3.3. Rhodium
Asymmetric arylation reaction between aryl– or alkenyl–boronic acids and olefins has been widely studied by Hayashi and co-workers since the 90s [77,78,79,80]. Recently, Hayashi’s group has published a work about the Rh-catalyzed asymmetric hydroarylation of 3-pyrrolines [27]. After optimization of reaction conditions in terms of solvent, temperature, use or not of the additive KOH and the opportune choice of the ligand, the desired hydroarylated product was achieved with high chemoselectity and excellent enantiomeric excess, eliminating the formation of byproducts. Coordination of the hydroxorhodium complex with the ligand leads to the [Rh(OH)(coe)2]2/(R)-segphos catalyst system affording the reaction under neutral conditions. The asymmetric hydroarylation of 3-pyrrodines with arylboroxines provides a variety of 3-arylpyrrolidines which are important biologically active compounds.
Aryloboroxines ((ArBHO)3) (95) have been also used as key reagents in the asymmetric hydroarylation of divinylphosphine oxides (94) (RP(O)(CH=CH2)2) [81]. The reaction provides the corresponding monoarylated products (96 and 97) giving the deasymmetrization and the enantioselective formation of the product with a P-stereogenic center. Also in this case, a Segphos ligand, the (R)-DTBM-segphos was found to be the best ligand regarding chemo- and enantioselectivity (Figure 39). Carbon–carbon bond formation occurs between one of the two vinyl groups and the aryl moiety, while the other double bond is reduced to ethyl group. Divinylphosphine oxides and aryl boroxines bearing different substituents were tested under the optimized reaction conditions. When the reaction is performed between the aryl boroxine and the divinylphosphine oxide with bulky substituents (R- in the list of Figure 39), high yields and ee in the formation of the product (R)-96 were observed, while the use of less bulky substituents leads to a lowering of yield and/or enantioselectivity. Concerning the substituted arylboroxines, para- or meta- substituents lead to product 96 in high yields with good enantioselectivity. Ortho-substitution leads to an increase in ee but also to a decrease in 96/97 selectivity, up to an inversion in favor of the product 97 (ratio 96/97 = 19/81) when the 2-fluorophenylboronic acid is used.
Figure 39.
Asymmetric hydroarylation of divinylphosphine oxides (94) and aryl boroxines (95). Catalyst complex: Rh/(R)-DTBM-segphos.
In the same year, Wang and co-workers reported an example of Rh-catalyzed asymmetric hydroarylation for kinetic resolution and dynamic kinetic resolution of chromenes [82]. This strategy exploits the preferential coordination of the Rh-Ligand complex with one of the two enantiomers of the racemic mixture while the formation of the other intermediate is much less favorable because of steric repulsion (Figure 40). Therefore, one enantiomer (98) undergoes the transformation in 2,3-diaryl chromene (99) through the asymmetric hydroarylation reaction leaving the other optically pure unreacted flavene.
Figure 40.
Rhodium-catalyzed hydroarylation of 2-aryl chromenes: Deuterium-labeling experiment and proposed mechanism.
After optimization of reaction conditions and screening of several biphosphines ligands, which showed that (R)-Difluorphos gave the best results, the authors examined the scope with respect of variously substituted flavenes and aryl boronic acids. Good yields and excellent ee were obtained in most cases, proving that the substituents on both the benzopyran and C2-phenyl ring have limited effect on the enantioselectivity and most of the aryl boronic acids provides the desired product with good results. Further application of this strategy was developed for dynamic resolution of chromene acetals providing the desired products, which could be easily transformed into chiral isoflavones or hydroxycoumarin.
Analogously to the Zhu work about the employment of diboron–water species as a hydride source for the Pd-catalyzed asymmetric synthesis of disubstituted oxindoles, Xu and co-workers have recently developed a Rh(I)-diene catalytic system able to exploit water as proton source for the asymmetric hydroarylation of α-aminoalkyl acrylates (100) with boronic acids [83]. In the same year, Xia’s group developed an efficient protocol using a well-designed chiral Rh-diene catalyst with arylboronic acids and alkenylboronic acids in the enantioselective hydroarylation/hydroalkenylation of benzo[b]thiophene 1,1-dioxides (102) [84]. This protocol is free of base and additive, and it uses water as co-solvent. Structures of employed chiral ligands were in Figure 41 together with scheme of reactions.
Figure 41.
Diboron–water species as hydride source for the Rh-catalyzed asymmetric synthesis of α-aminoalkyl acrylates (101) (by Xu) and benzo[b]thiophene 1,1-dioxides (103 or 104) (by Xia).
4. Conclusions
For higher value substrates that possess chiral molecules bearing at least an aromatic moiety, efficient asymmetric transition metal catalyzed addition of arene C-H bonds to unsaturated bonds could provide an atom economical pathway to a variety of useful chemicals. This review reported the metal/ligand systems that offer good reactivity and high enantioselectivity of desired products. To facilitate reading, the works have been classified by metal in two main sections: starting (i) from unactivated arenes or (ii) from activated ones. The number of works belonging to the first section is constantly growing and strongly represented by those that use gold as a metal. On the other hand, in the second section, three metals are present: palladium, nickel and rhodium. In addition to metal identity, systematic changes in the ligand structures (i.e., in terms of steric hindrance and electronic effects) have provided a good basis for the design of optimal catalytic systems.
Author Contributions
Conceptualization, A.C. and M.D.A.; data analysis, A.S. and A.I.; writing—original draft preparation, M.D.A.; writing—review and editing, A.C. and A.I.; supervision, A.C. All authors have read and agreed to the published version of the manuscript.
Funding
This research received no external funding.
Conflicts of Interest
The authors declare no conflict of interest.
References
- Ackermann, L.; Gunnoe, T.B.; Habgood, L.G. Catalytic Hydroarylation of Carbon-Carbon Multiple Bonds; Wiley-VCH: Weinheim Germany, 2018. [Google Scholar]
- Pramanik, A.; Ghatak, A. Current Trends on C–C Bond Formation Through Regioselective Hydroarylation of Alkynes and Alkenes Using Metal Free Catalysts. Tetrahedron 2022, 112, 132757. [Google Scholar] [CrossRef]
- Zhang, P.; Tsuji, N.; Ouyang, J.; List, B. Strong and Confined Acids Catalyze Asymmetric Intramolecular Hydroarylations of Unactivated Olefins with Indoles. J. Am. Chem. Soc. 2021, 143, 675–680. [Google Scholar] [CrossRef]
- Arae, S.; Beppu, S.; Kawatsu, T.; Igawa, K.; Tomooka, K.; Irie, R. Asymmetric Synthesis of Axially Chiral Benzocarbazole Derivatives Based on Catalytic Enantioselective Hydroarylation of Alkynes. Org. Lett. 2018, 20, 4796–4800. [Google Scholar] [CrossRef] [PubMed]
- Dai, W.; Lu, H.; Jiang, X.-L.; Gao, T.-T.; Shi, F. Organocatalytic asymmetric hydroarylation of o-hydroxyl styrenes via remote activation of phenylhydrazones. Tetrahedron Asymmetry 2015, 26, 109–117. [Google Scholar] [CrossRef]
- Snieckus, V.; Zhang, Y. Synthesis of α- and β-C-Glycosyl Arenes by Direct Iridium-Catalyzed Hydroarylation. Synfacts 2019, 15, 0599. [Google Scholar]
- Zhang, Y. Syntheses of vinylindoles via a Brønsted acid catalyzed highly regio- and stereoselective cis-hydroarylation of ynamides. Tetrahedron Lett. 2005, 46, 6483–6486. [Google Scholar] [CrossRef]
- Kumar, G.; Qu, Z.-W.; Grimme, S.; Chatterjee, I. Boron-Catalyzed Hydroarylation of 1,3-Dienes with Arylamines. Org. Lett. 2021, 23, 8952–8957. [Google Scholar] [CrossRef] [PubMed]
- Badir, S.-O.; Lipp, A.; Krumb, M.; Cabrera-Afonso, M.-J.; Kammer, L.-M.; Wu, V.-E.; Huang, M.; Csakai, A.; Marcaurelle, L.-A.; Molander, G.-A. Photoredox-mediated hydroalkylation and hydroarylation of functionalized olefins for DNA-encoded library synthesis. Chem. Sci. 2021, 12, 12036–12045. [Google Scholar] [CrossRef]
- Cai, B.; Yang, Q.; Meng, L.; Wang, J.-J. Kinetic Resolution of 2-Substituted 1,2-Dihydroquinolines by Rhodium-Catalyzed Asymmetric Hydroarylation. Chin. J. Chem. 2021, 39, 1606–1610. [Google Scholar] [CrossRef]
- Ito, Y.; Sawamura, M.; Hayashi, T.J. Catalytic asymmetric aldol reaction: Reaction of aldehydes with isocyanoacetate catalyzed by a chiral ferrocenylphosphine-gold(I) complex. J. Am. Chem. Soc. 1986, 108, 6405–6406. [Google Scholar] [CrossRef]
- Hashmi AS, K.; Hutchings, G.J. Gold Catalysis. Angew. Chem. Int. Ed. 2006, 45, 7896–7936. [Google Scholar] [CrossRef] [PubMed]
- Shahzad, S.-A.; Sajid, M.-A.; Khan, Z.-A.; Canseco-Gonzalez, D. Gold catalysis in organic transformations: A review. Synth. Commun. 2017, 47, 735–755. [Google Scholar] [CrossRef]
- Qiu, Y.; Zhou, J.; Li, J.; Fu, C.; Guo, Y.; Wang, H.; Ma, S. Asymmetric Construction of Six-Membered Rings by Cyclization of Allenes with Dinuclear Gold Catalysis. Chem. Eur. J. 2015, 21, 15939–15943. [Google Scholar] [CrossRef] [PubMed]
- Satoh, M.; Shibata, Y.; Kimura, Y.; Tanaka, K. Atroposelective Synthesis of Axially Chiral All-Benzenoid Biaryls by the Gold-Catalyzed Intramolecular Hydroarylation of Alkynones. Eur. J. Org. Chem. 2016, 2016, 4465–4469. [Google Scholar] [CrossRef]
- Sutherland, D.-R.; Kinsman, L.; Angiolini, S.-M.; Rosair, G.-M.; Lee, A.-L. Gold(I)-Catalysed Hydroarylation of 1,3-Disubstituted Allenes with Efficient Axial-to-Point Chirality Transfer. Chem. Eur. J. 2018, 24, 7002–7009. [Google Scholar] [CrossRef]
- Toups, K.-L.; Liu, G.-T.; Widenhoefer, R.-A. Gold(I)-catalyzed hydroarylation of allenes with indoles. J. Organomet. Chem. 2009, 694, 571–575. [Google Scholar] [CrossRef] [PubMed]
- Wang, M.-Z.; Zhou, C.-Y.; Guo, Z.; Wong, E.-L.-M.; Wong, M.-K.; Che, C.-M. Gold(I)-Catalyzed Enantioselective Intermolecular Hydroarylation of Allenes with Indoles and Reaction Mechanism by Density Functional Theory Calculations. Chem. Asian J. 2011, 6, 812–824. [Google Scholar] [CrossRef]
- Zhang, P.-C.; Li, Y.-L.-; He, J.; Wu, H.-H.; Li, Z.; Zhang, J. Simultaneous construction of axial and planar chirality by gold/TY-Phos-catalyzed asymmetric hydroarylation. Nat. Commun. 2021, 12, 4609. [Google Scholar] [CrossRef] [PubMed]
- Tanaka, M.; Shibata, Y.; Nakamura, K.; Teraoka, K.; Uekusa, H.; Nakazono, K.; Takata, T.; Tanaka, K. Gold-Catalyzed Enantioselective Synthesis, Crystal Structure, and Photophysical/Chiroptical Properties of Aza [10]helicenes. Chem. Eur. J. 2016, 22, 9537–9541. [Google Scholar] [CrossRef]
- Satoh, M.; Shibata, Y.; Tanaka, K. Enantioselective Synthesis of Fully Benzenoid Single and Double Carbohelicenes via Gold-Catalyzed Intramolecular Hydroarylation. Chem. Eur. J. 2018, 24, 5434–5438. [Google Scholar] [CrossRef] [PubMed]
- Nicholls, L.-D.-M.; Marx, M.; Hartung, T.; González-Fernández, E.; Golz, C.; Alcarazo, M. TADDOL-Derived Cationic Phosphonites: Toward an Effective Enantioselective Synthesis of [6]Helicenes via Au-Catalyzed Alkyne Hydroarylation. ACS Catal. 2018, 8, 6079–6085. [Google Scholar] [CrossRef]
- Usui, K.; Yamamoto, K.; Ueno, Y.; Igawa, K.; Hagihara, R.; Masuda, T.; Ojida, A.; Karasawa, S.; Tomooka, R.-K.; Hirai, G.; et al. Internal-Edge-Substituted Coumarin-Fused [6]Helicenes: Asymmetric Synthesis, Structural Features, and Control of Self-Assembly. Chem. Eur. J. 2018, 24, 14617–14621. [Google Scholar] [CrossRef] [PubMed]
- Hartung, T.; Machleid, R.; Simon, M.; Golz, C.; Alcarazo, M. Enantioselective Synthesis of 1,12-Disubstituted [4]Helicenes. Angew. Chem. 2020, 132, 5709–5713. [Google Scholar] [CrossRef]
- Pelliccioli, V.; Hartung, T.; Simon, M.; Golz, C.; Licandro, E.; Cauteruccio, S.; Alcarazo, M. Enantioselective Synthesis of Dithia [5]helicenes and their Postsynthetic Functionalization to Access Dithia [9]helicenes. Angew. Chem. Int. Ed. 2022, 61, e202114577. [Google Scholar] [CrossRef] [PubMed]
- Tian, P.; Dong, H.-Q.; Lin, G.-Q. Rhodium-Catalyzed Asymmetric Arylation. ACS Catal. 2012, 2, 95–119. [Google Scholar] [CrossRef]
- So, C.M.; Kume, S.; Hayashi, T. Rhodium-Catalyzed Asymmetric Hydroarylation of 3-Pyrrolines Giving 3-Arylpyrrolidines: Protonation as a Key Step. J. Am. Chem. Soc. 2013, 135, 10990–10993. [Google Scholar] [CrossRef]
- Ye, B.; Donets, P.-A.; Cramer, N. Chiral Cp-Rhodium(III)-Catalyzed Asymmetric Hydroarylations of 1,1-Disubstituted Alkenes. Angew. Chem. Int. Ed. 2014, 53, 507–511. [Google Scholar] [CrossRef] [PubMed]
- Ye, B.; Cramer, N. Chiral Cyclopentadienyls: Enabling Ligands for Asymmetric Rh(III)-Catalyzed C−H Functionalizations. Acc. Chem. Res. 2015, 48, 1308–1318. [Google Scholar] [CrossRef] [PubMed]
- Zheng, J.; You, S.-L. Construction of Axial Chirality by Rhodium-Catalyzed Asymmetric Dehydrogenative Heck Coupling of Biaryl Compounds with Alkenes. Angew. Chem. Int. Ed. 2014, 53, 13244–13247. [Google Scholar] [CrossRef]
- Marcum, J.-S.; Roberts, C.-C.; Manan, R.-S.; Cervarich, T.-N.; Meek, S.-J. Chiral Pincer Carbodicarbene Ligands for Enantioselective Rhodium-Catalyzed Hydroarylation of Terminal and Internal 1,3-Dienes with Indoles. J. Am. Chem. Soc. 2017, 139, 15580–15583. [Google Scholar] [CrossRef] [PubMed]
- Berthold, D.; Klett, J.; Breit, B. Rhodium-catalyzed asymmetric intramolecular hydroarylation of allenes: Access to functionalized benzocycles. Chem. Sci. 2019, 10, 10048. [Google Scholar] [CrossRef] [PubMed]
- Matsumoto, T.; Taube, D.-J.; Periana, R.-A.; Taube, H.; Yoshida, H. Anti-Markovnikov Olefin Arylation Catalyzed by an Iridium Complex. J. Am. Chem. Soc. 2000, 122, 7414–7415. [Google Scholar] [CrossRef]
- Aufdenblatten, R.; Diezi, S.; Togni, A. Iridium(I)-Catalyzed Asymmetric Intermolecular Hydroarylation of Norbornene with Benzamide. Mon. Für Chem. 2000, 131, 1345–1350. [Google Scholar] [CrossRef]
- Bhalla, G.; Oxgaard, J.; Goddard, W.-A., III; Periana, R.-A. Anti-Markovnikov Hydroarylation of Unactivated Olefins Catalyzed by a Bis-tropolonato Iridium(III) Organometallic Complex. Organometallics 2005, 24, 3229–3232. [Google Scholar] [CrossRef]
- Bischof, S.-M.; Ess, D.-H.; Meier, S.-K.; Oxgaard, J.; Nielsen, R.-J.; Bhalla, G.; Goddard, W.-A., III; Periana, R.-A. Benzene C-H Bond Activation in Carboxylic Acids Catalyzed by O-Donor Iridium(III) Complexes: An Experimental and Density Functional Study. Organometallics 2010, 29, 742–756. [Google Scholar] [CrossRef]
- Sevov, C.-S.; Hartwig, J.-F. Iridium-Catalyzed Intermolecular Asymmetric Hydroheteroarylation of Bicycloalkenes. J. Am. Chem. Soc. 2013, 135, 2116–2119. [Google Scholar] [CrossRef]
- Yamamoto, Y. Cationic Iridium/S-Me-BIPAM-Catalyzed Direct Asymmetric Intermolecular Hydroarylation of Bicycloalkenes. Angew. Chem. Int. Ed. 2015, 54, 9894–9897. [Google Scholar]
- Shirai, T.; Ito, H.; Yamamoto, Y. Cationic Ir/Me-BIPAM-Catalyzed Asymmetric Intramolecular Direct Hydroarylation of a-Ketoamides. Angew. Chem. 2014, 126, 2696–2699. [Google Scholar] [CrossRef]
- Shirai, T.; Yamamoto, Y. Scope and Mechanistic Studies of the Cationic Ir/Me-BIPAMCatalyzed Asymmetric Intramolecular Direct Hydroarylation Reaction. Organometallics 2015, 34, 3459–3463. [Google Scholar] [CrossRef]
- Yamauchi, D.; Nishimura, T.; Yorimitsu, H. Asymmetric hydroarylation of vinyl ethers catalyzed by a hydroxoiridium complex: Azoles as effective directing groups. Chem. Commun. 2017, 53, 2760–2763. [Google Scholar] [CrossRef]
- Sakamoto, K.; Nishimura, T. Iridium-Catalyzed Asymmetric Hydroarylation of Chromene Derivatives with Aromatic Ketones: Enantioselective Synthesis of 2-Arylchromanes. Adv. Synth. Catal. 2019, 361, 2124–2128. [Google Scholar] [CrossRef]
- Shinde, V.-S.; Mane, M.-V.; Cavallo, L.; Rueping, M. Iridium-Catalyzed Enantioselective Hydroarylation of Alkenes through C-H bond Activation: Experiment and Computation. Chem. Eur. J. 2020, 26, 8308–8313. [Google Scholar] [CrossRef] [PubMed]
- Diesel, J.; Finogenova, A.-M.; Cramer, N. Nickel-Catalyzed Enantioselective Pyridone C–H Functionalizations Enabled by a Bulky N-Heterocyclic Carbene Ligand. J. Am. Chem. Soc. 2018, 140, 4489–4493. [Google Scholar] [CrossRef]
- Cai, Y.; Ye, X.; Liu, S.; Shi, S.-L. Nickel/NHC-Catalyzed Asymmetric C-H Alkylation of Fluoroarenes with Alkenes: Synthesis of Enantioenriched Fluorotetralins. Angew. Chem. 2019, 131, 13567–13571. [Google Scholar] [CrossRef]
- Qin, X.; Lee, M.-W.-Y.-; Zhou, J.-S. Asymmetric Hydroarylation of Enones via Nickel-Catalyzed 5-Endo-Trig Cyclization. Org. Lett. 2019, 21, 5990–5994. [Google Scholar] [CrossRef]
- Pradal, A.; Gladiali, S.; Michelet, V.; Toullec, P.-Y. Combinatorial Approach to Chiral Tris-ligated Carbophilic Platinum Complexes: Application to Asymmetric Catalysis. Chem. Eur. J. 2014, 20, 7128–7135. [Google Scholar] [CrossRef]
- Li, G.; Liu, Q.; Vasamsetty, L.; Guo, W.; Wang, J. Ruthenium(II)-Catalyzed Asymmetric Inert C-H Bond Activation Assisted by a Chiral Transient Directing Group. Angew. Chem. Int. Ed. 2020, 59, 3475–3479. [Google Scholar] [CrossRef]
- Whyte, A.; Torelli, A.; Mirabi, B.; Prieto, L.; Rodríguez, J.-F.; Lautens, M. Cobalt-Catalyzed Enantioselective Hydroarylation of 1,6-Enynes. J. Am. Chem. Soc. 2020, 142, 9510–9517. [Google Scholar] [CrossRef]
- Liu, Y.-H.; Xie, P.-P.; Liu, L.; Fan, J.; Zhang, Z.-Z.; Hong, X.; Shi, B.-F. Cp*Co(III)-Catalyzed Enantioselective Hydroarylation of Unactivated Terminal Alkenes via C−H Activation. J. Am. Chem. Soc. 2021, 143, 19112–19120. [Google Scholar] [CrossRef]
- Cacchi, S. The palladium-catalyzed hydroarylation and hydrovinylation of carbon-carbon multiple bonds: New perspectives in organic synthesis. Pure Appl. Chem. 1990, 62, 713–722. [Google Scholar] [CrossRef]
- Cacchi, S.; Arcadi, A. Palladium-Catalyzed Conjugate Addition Type Reaction of Aryl Iodides with α,β-Unsaturated Ketones. J. Org. Chem. 1983, 48, 4236–4240. [Google Scholar] [CrossRef]
- Fernández-Alvarez, F.-J.; Iglesias, M.; Oro, L.-A.; Passarelli, V. Bond Activation and Catalysis. In Comprehensive Inorganic Chemistry II, 2nd ed.; Reedijk, J., Poeppelmeier, K., Eds.; Elsevie: Amsterdam, The Netherlands, 2013; pp. 399–432. [Google Scholar]
- Cacchi, S.; Fabrizi, G. Carbopalladation of Alkynes Followed by Trapping with Nucleophilic Reagents. In Handbook of Organopalladium Chemistry for Organic Synthesis; Wiley Online: Hoboken, NJ, USA, 2002; pp. 1335–1359. [Google Scholar]
- Liao, L.; Sigman, M.-S. Palladium-Catalyzed Hydroarylation of 1,3-Dienes with Boronic Esters via Reductive Formation of π-Allyl Palladium Intermediates under Oxidative Conditions. J. Am. Chem. Soc. 2010, 132, 10209–10211. [Google Scholar] [CrossRef] [PubMed]
- Podhajsky, S.-M.; Iwai, Y.; Cook-Sneathen, A.; Sigman, M.-S. Asymmetric palladium-catalyzed hydroarylation of styrenes and dienes. Tetrahedron 2011, 67, 4435–4441. [Google Scholar] [CrossRef] [PubMed]
- Liu, S.; Zhou, J.-S. Desymmetrization of cyclic olefins via asymmetric Heck reaction and hydroarylation. Chem. Commun. 2013, 49, 11758–11760. [Google Scholar] [CrossRef]
- Friis, S.-D.; Pirnot, M.-T.; Buchwald, S.-L. Asymmetric Hydroarylation of Vinylarenes Using a Synergistic Combination of CuH and Pd Catalysis. J. Am. Chem. Soc. 2016, 138, 8372–8375. [Google Scholar] [CrossRef]
- Lu, Z.; Buchwald, S.-L. Enantioselective Preparation of Arenes with b-Stereogenic Centers: Confronting the 1,1-Disubstituted Olefin Problem Using CuH/Pd Cooperative Catalysis. Angew. Chem. Int. Ed. 2020, 59, 16128–16132. [Google Scholar] [CrossRef]
- Schuppe, A.-W.; Borrajo-Calleja, G.-M.; Buchwald, S.-L. Enantioselective Olefin Hydrocyanation without Cyanide. J. Am. Chem. Soc. 2019, 141, 18668–18672. [Google Scholar] [CrossRef]
- Chang, J.; Reiner, J.; Xie, J. Progress on the Chemistry of Dibenzocyclooctadiene Lignans. J. Chem. Rev. 2005, 105, 4581–4609. [Google Scholar] [CrossRef]
- Lednicer, D. The Organic Chemistry of Drug Synthesis. In Organic Chem. Synthesis; Wiley: Hoboken, NJ, USA, 2007; Volume 7. [Google Scholar]
- Wang, R.; Liu, D.; Li, X.; Zhang, J.; Cui, D.; Wan, X. Synthesis and Stereospecific Polymerization of a Novel Bulky Styrene Derivative. Macromolecules 2016, 49, 2502–2510. [Google Scholar] [CrossRef]
- Kong, W.; Wang, Q.; Zhu, J. Water as a Hydride Source in Palladium-Catalyzed Enantioselective Reductive Heck Reactions. Angew. Chem. Int. Ed. 2017, 56, 3987–3991. [Google Scholar] [CrossRef]
- Zhang, Z.-M.; Xu, B.; Qian, Y.; Wu, L.; Wu, Y.; Zhou, L.; Liu, Y.; Zhang, J. Palladium-Catalyzed Enantioselective Reductive Heck Reactions:Convenient Access to 3,3-Disubstituted 2,3-Dihydrobenzofuran. Angew. Chem. Int. Ed. 2018, 130, 10530–10534. [Google Scholar] [CrossRef]
- Oxtoby, L.-J.; Li, Z.-Q.; Tran, V.-T.; Erbay, T.-G.; Deng, R.; Liu, P.; Engle, K.-M. A Transient-Directing-Group Strategy Enables Enantioselective Reductive Heck Hydroarylation of Alkenes. Angew. Chem. Int. Ed. 2020, 132, 8970–8975. [Google Scholar] [CrossRef]
- Zhang, Y.; Han, B.; Zhu, S. Rapid Access to Highly Functionalized Alkyl Boronates by NiH-Catalyzed Remote Hydroarylation of Boron-Containing Alkenes. Angew. Chem. Int. Ed. 2019, 131, 13998–14002. [Google Scholar] [CrossRef]
- He, Y.; Liu, C.; Yu, L.; Zhu, S. Enantio- and Regioselective NiH-Catalyzed Reductive Hydroarylation of Vinylarenes with Aryl Iodides. Angew. Chem. Int. Ed. 2020, 59, 21530–21534. [Google Scholar] [CrossRef] [PubMed]
- Xue, Y.; Chen, J.; Song, P.; He, Y.; Zhu, S. Nickel-Catalyzed Regiodivergent Reductive Hydroarylation of Styrenes. Synlett 2021, 32, 1647–1651. [Google Scholar]
- Zhang, Y.; Ma, J.; Chen, J.; Meng, L.; Liang, Y.; Zhu, S. A relay catalysis strategy for enantioselective nickel-catalyzed migratory hydroarylation forming chiral a-aryl alkylboronates. Chem 2021, 7, 3171–3188. [Google Scholar] [CrossRef]
- He, Y.; Song, H.; Chen, J.; Zhu, S. NiH-catalyzed asymmetric hydroarylation of N-acyl enamines to chiral benzylamines. Nat. Commun. 2021, 12, 638. [Google Scholar] [CrossRef]
- Cuesta-Galisteo, S.; Schçrgenhumer, J.; Wei, X.; Merino, E.; Nevado, C. Nickel-Catalyzed Asymmetric Synthesis of a-Arylbenzamides. Angew. Chem. Int. Ed. 2021, 133, 1629–1633. [Google Scholar] [CrossRef]
- Chen, Y.-G.; Shuai, B.; Xu, X.-T.; Li, Y.-Q.; Yang, Q.-L.; Qiu, H.; Zhang, K.; Fang, P.; Mei, T.-S. Nickel-catalyzed Enantioselective Hydroarylation and Hydroalkenylation of Styrenes. J. Am. Chem. Soc. 2019, 141, 3395–3399. [Google Scholar] [CrossRef]
- Lv, X.-Y.; Fan, C.; Xiao, L.-J.; Xie, J.-H.; Zhou, Q.-L. Ligand-Enabled Ni-Catalyzed Enantioselective Hydroarylation of Styrenes and 1,3-Dienes with Arylboronic Acids. CCS Chem. 2019, 1, 328–334. [Google Scholar] [CrossRef]
- Marcum, J.-S.; Taylor, T.-R.; Meek, S.-J. Enantioselective Synthesis of Functionalized Arenes by Nickel-Catalyzed Site-Selective Hydroarylation of 1,3-Dienes with Aryl Boronates. Angew. Chem. Int. Ed. 2020, 59, 14070–14075. [Google Scholar] [CrossRef] [PubMed]
- Tran, H.-N.; Burgett, R.-W.; Stanley, L.-M. Nickel-Catalyzed Asymmetric Hydroarylation of Vinylarenes: Direct Enantioselective Synthesis of Chiral 1,1-Diarylethanes. J. Org. Chem. 2021, 86, 3836–3849. [Google Scholar] [CrossRef] [PubMed]
- Sakai, M.; Hayashi, H.; Miyaura, N. Rhodium-catalyzed conjugate addition of aryl-or 1-alkenylboronic acids to enones. Organometallics 1997, 16, 4229. [Google Scholar] [CrossRef]
- Takaya, Y.; Ogasawara, M.; Hayashi, T.; Sakai, M.; Miyaura, N. Rhodium-catalyzed asymmetric 1, 4-addition of aryl-and alkenylboronic acids to enones. J. Am. Chem. Soc. 1998, 120, 5579–5580. [Google Scholar] [CrossRef]
- Hayashi, T.; Yamasaki, K. Rhodium-catalyzed asymmetric 1, 4-addition and its related asymmetric reactions. Chem. Rev. 2003, 103, 2829–2844. [Google Scholar] [CrossRef]
- Berthon, G.; Hayashi, T. Catalytic Asymmetric Conjugate Reactions; Córdova, A., Ed.; Wiley-VCH: Weinheim, Germany, 2010; Chapter 1; p. 1. [Google Scholar]
- Wang, Z.; Hayashi, T. Rhodium-Catalyzed Enantioposition-Selective Hydroarylation of Divinylphosphine Oxides with Aryl Boroxines. Angew. Chem. Int. Ed. 2018, 130, 1718–1722. [Google Scholar] [CrossRef]
- Yang, Q.; Wang, Y.; Luo, S.; Jun Wang, J. Kinetic Resolution and Dynamic Kinetic Resolution of Chromene by Rhodium-Catalyzed Asymmetric Hydroarylation. Angew. Chem. Int. Ed. 2019, 131, 5397–5401. [Google Scholar] [CrossRef]
- Chen, J.P.; Li, Y.; Liu, C.; Wang, T.; Chung, L.W.; Xu, M.H. Water as a Direct Proton Source for Asymmetric Hydroarylation Catalyzed by a Rh(I)−Diene: Access to Nonproteinogenic β2/γ2/δ2-Amino Acid Derivatives. Org. Lett. 2021, 23, 571–577. [Google Scholar] [CrossRef]
- Hu, F.; Jia, J.; Li, X.; Xia, Y. Enantioselective Hydroarylation or Hydroalkenylation of Benzo[b]thiophene 1,1-Dioxides with Organoboranes. Org. Lett. 2021, 23, 896–901. [Google Scholar] [CrossRef]
Publisher’s Note: MDPI stays neutral with regard to jurisdictional claims in published maps and institutional affiliations. |
© 2022 by the authors. Licensee MDPI, Basel, Switzerland. This article is an open access article distributed under the terms and conditions of the Creative Commons Attribution (CC BY) license (https://creativecommons.org/licenses/by/4.0/).








































