Comparison of Catalysts with MIRA21 Model in Heterogeneous Catalytic Hydrogenation of Aromatic Nitro Compounds
Abstract
:1. Introduction
1.1. Long-Time History, Rapid Evolution
1.2. Data Overflow
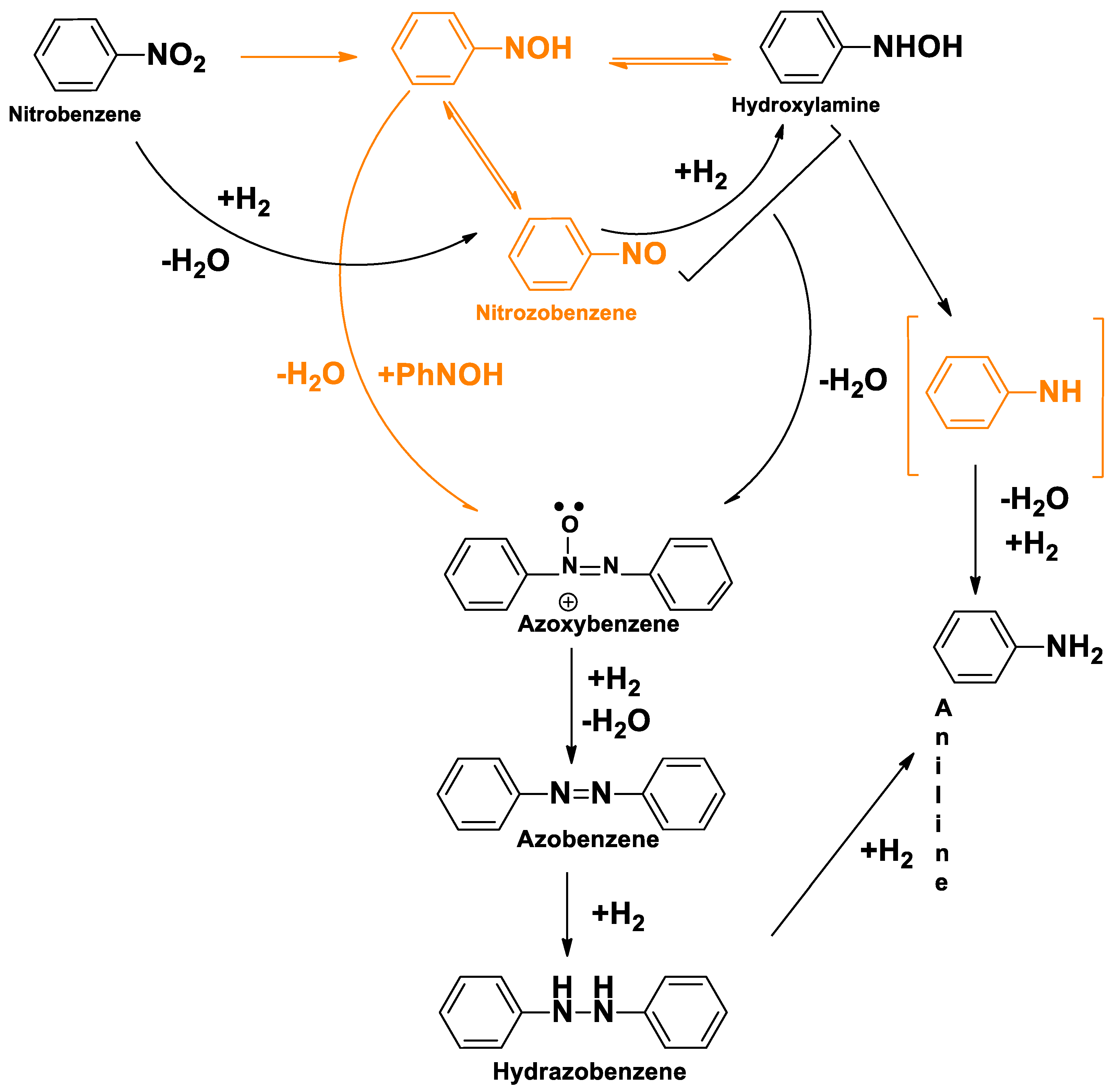
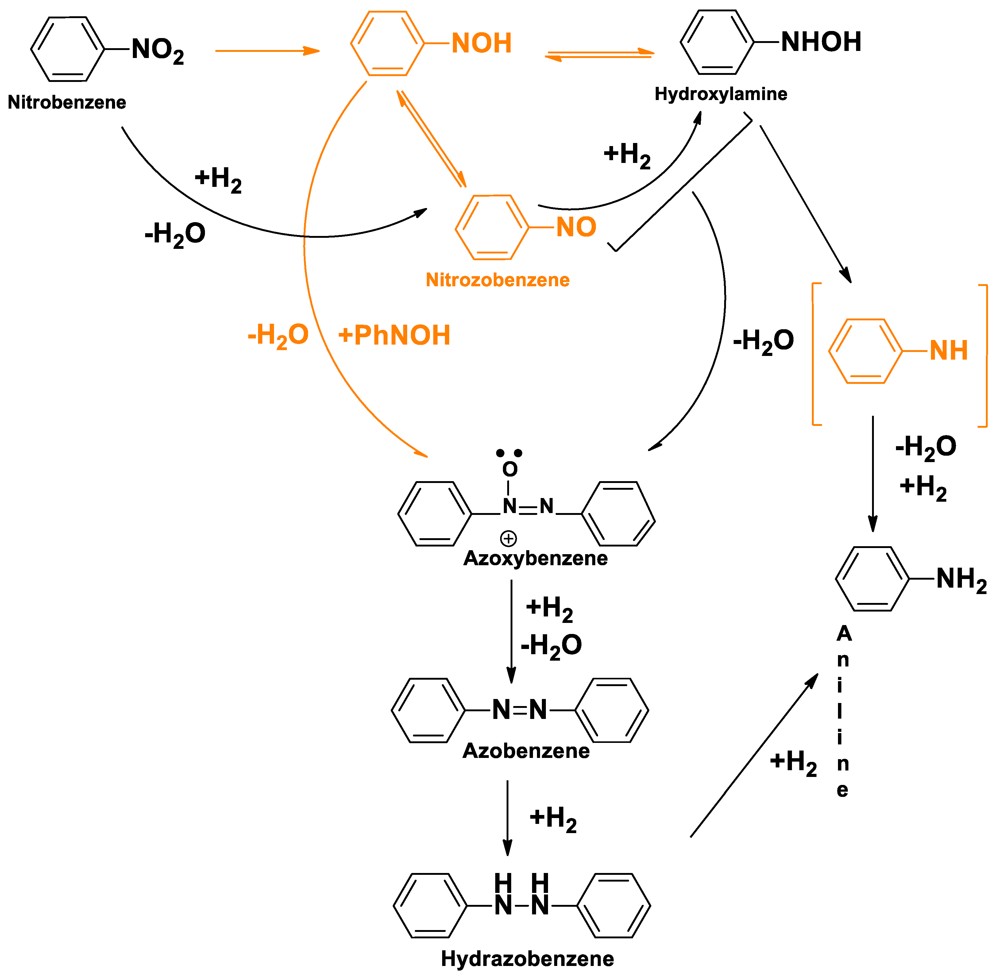
1.3. Catalytic Hydrogenation of Nitro Aromatics
2. Methods—MIRA21 Model
2.1. Descriptor System
2.2. Database
3. Results and Discussion
4. Overall Ranking
| RANK | CAT. ID | CAT. Name in Journal | Reference | KNOWN Parameters | MIRA21 Number | Class. |
|---|---|---|---|---|---|---|
| 13 | HNB_HYD2016_3 | Ni/C-Al2O3 | [61] | 15 | 11.53 | Q1 |
| 14 | HNB_BEI2012_3 | Pt/TiO2/RGO | [64] | 14 | 11.51 | Q1 |
| 15 | HNB_CHE2009_1 * | 1 wt% Pd/HT | [60] | 14 | 11.51 | Q1 |
| 16 | HNB_FUY2018_2 | PtCo nanoparticle | [55] | 14 | 11.49 | Q1 |
| 17 | HNB_FUY2018_1 | PtCo nanoflower | [55] | 14 | 11.47 | Q1 |
| 18 | HNB_BEI2005_2 | Pt CNT | [87] | 15 | 11.42 | Q1 |
| 19 | HNB_GUA2017_2 | Pd/CNT | [73] | 15 | 11.41 | Q1 |
| 20 | HNB_BEI2012_2 | Pt/RGO | [64] | 14 | 11.33 | Q1 |
| 21 | HNB_BEI2005_1 | Pt CNT | [87] | 15 | 11.33 | Q1 |
| 22 | HNB_CHE2009_2 * | 1 wt% Pd/MgO | [60] | 14 | 11.32 | Q1 |
| 23 | HNB_CHE2009_3 * | 1 wt% Pd/ϒ-Al2O3 | [60] | 14 | 11.32 | Q1 |
| 24 | HNB_BEI2013_3 | Pd/MWCNT-SA-3.6 | [86] | 15 | 11.31 | Q1 |
| 25 | HNB_GUA2017_1 | Pd/NCNT | [73] | 15 | 11.30 | Q1 |
| 26 | HNB_BEI2007_3 | Pt/CNTs LRT | [75] | 15 | 11.30 | Q1 |
| 27 | HNB_BEI2012_1 | Pt/TiO2 | [64] | 14 | 11.29 | Q1 |
| 28 | HNB_BEI2013_1 | Pd/MWCNT-SA-6.0 | [86] | 15 | 11.28 | Q1 |
| 29 | HNB_GUA2020_2 | Pt/CeO2-R | [76] | 15 | 11.26 | Q1 |
| 30 | HNB_BEI2014_1 | Pd/Fe2O3 | [62] | 15 | 11.11 | Q1 |
| 31 | HNB_BEI2008_1 | Pd/FSA | [72] | 14 | 11.09 | Q1 |
| 32 | HNB_BEI2013_5 | Pd/MWCNT-IM | [86] | 15 | 11.08 | Q1 |
| 33 | HNB_BEI2010_1 | 5 wt% Pt/MWNT | [74] | 14 | 11.04 | Q1 |
| 34 | HNB_WUH2016_1 | C-Fe3O4-Pd | [52] | 14 | 10.98 | Q1 |
| 35 | HNB_GUA2020_1 | Pt/CeO2-C | [76] | 15 | 10.96 | Q1 |
| 36 | HNB_BLO2015_7 | Ru-14 | [68] | 14 | 10.95 | Q1 |
| 37 | HNB_GUA2020_1 | Pt CeO2-R-300 | [76] | 15 | 10.91 | Q1 |
| 38 | HNB_TAI2017_2 | Co@NMC-700 | [89] | 15 | 10.90 | Q1 |
| 39 | HNB_TIA2019_1 | Co-NSPC-N | [69] | 15 | 10.90 | Q1 |
| 40 | HNB_INC2018_1 | Pd/NH2-UiO-66 | [58] | 15 | 10.87 | Q1 |
| 41 | HNB_BEI2010_2 | 27.4 wt% Pt/MWNT | [74] | 14 | 10.85 | Q1 |
| 42 | HNB_BEI2010_3 | 50 wt% Pt/MWNT | [74] | 14 | 10.84 | Q1 |
| 43 | HNB_POR2016_4 | 50 wt% NiO/Al2O3 + SiO2 | [67] | 15 | 10.84 | Q1 |
| 44 | HNB_BEI2007_1 | Pt/CNTs HRT | [75] | 15 | 10.83 | Q1 |
| 45 | HNB_POR2016_2 | 0.3 wt% Pd/Al2O3/1.85 | [67] | 15 | 10.83 | Q1 |
| 46 | HNB_POR2016_1 | 1 wt% Pd/Al2O3 | [67] | 15 | 10.78 | Q1 |
| 47 | HNB_GUA2020_3 | Pt/CeO2-P | [76] | 15 | 10.76 | Q1 |
| 48 | HNB_BLO2015_6 | Ru-12 | [68] | 14 | 10.72 | Q1 |
| 49 | HNB_BLO2015_5 | Ru-7 | [68] | 14 | 10.72 | Q1 |
| 50 | HNB_GUA2020_4 | Pt CeO2-C-600 | [76] | 15 | 10.71 | Q1 |
| 51 | HNB_TAI2017_4 | Co@NMC-900 | [89] | 15 | 10.70 | Q1 |
| 52 | HNB_GUA2017_3 | Pd/CNT | [73] | 15 | 10.67 | Q1 |
| 53 | HNB_BLO2015_3 | Ru-5 | [68] | 14 | 10.63 | Q1 |
| 54 | HNB_MIS2019_2 | Pt/N-BCNT | [51] | 14 | 10.63 | Q1 |
| 55 | HNB_BEI2010_4 | 10 wt% Pt/C | [74] | 14 | 10.62 | Q1 |
| RANK | CATALYST ID | CAT. Name in Journal | Reference | KNOWN Parameters | MIRA21 Number | Class. |
|---|---|---|---|---|---|---|
| 56 | HNB_BLO2015_4 | Ru-11 | [68] | 14 | 10.56 | Q2 |
| 57 | HNB_XIA2019_1 | Ni-Zn/AC-350 | [97] | 15 | 10.51 | Q2 |
| 58 | HNB_MIS2019_3 | Rh/N-BCNT | [51] | 14 | 10.49 | Q2 |
| 59 | HNB_HAN2010_1 | Ni-5/SiO2-EN | [50] | 15 | 10.41 | Q2 |
| 60 | HNB_POR2016_4 | 50 wt% NiO/Al2O3 + SiO2 | [67] | 15 | 10.36 | Q2 |
| 61 | HNB_BEI2013_6 | Pd/AC | [86] | 14 | 10.32 | Q2 |
| 62 | HNB_BEI2007_2 | Pt/AC HRT | [75] | 15 | 10.31 | Q2 |
| 63 | HNB_BLO2015_2 | Ru-16 | [86] | 14 | 10.31 | Q2 |
| 64 | HNB_CAR2018_1 | AuPd/TiO2 (MIM) | [91] | 14 | 10.21 | Q2 |
| 65 | HNB_POR2008_1 | NiFC1 | [56] | 14 | 10.18 | Q2 |
| 66 | HNB_POR2008_2 | NiFC2 | [56] | 14 | 10.17 | Q2 |
| 67 | HNB_HYD2016_1 | Ni/C | [61] | 15 | 10.16 | Q2 |
| 68 | HNB_TIA2019_2 | Co-NSPC-C | [69] | 15 | 10.10 | Q2 |
| 69 | HNB_POR2008_3 | NiFC3 | [56] | 14 | 10.07 | Q2 |
| 70 | HNB_GUA2020_6 | Pt CeO2-P-600 | [76] | 15 | 10.05 | Q2 |
| 71 | HNB_BEI2013_4 | Pd NPs-4.3 | [86] | 14 | 10.04 | Q2 |
| 72 | HNB_WUH2019_1 | Co@CN-800 | [71] | 13 | 9.99 | Q2 |
| 73 | HNB_TOU2020_1 | PdB | [70] | 14 | 9.92 | Q2 |
| 74 | HNB_CAR2018_7 | AuPd/TiO2 (SIM) | [91] | 14 | 9.89 | Q2 |
| 75 | HNB_BEI2010_5 | 5 wt% Pt/C | [74] | 14 | 9.88 | Q2 |
| 76 | HNB_BLO2015_1 | Ru-18 | [68] | 14 | 9.77 | Q2 |
| 77 | HNB_TAI2017_9 | Co@NC@SiO2-800 | [89] | 14 | 9.75 | Q2 |
| 78 | HNB_LAN2020_2 | γ-Fe2O3/NPC-700 | [57] | 14 | 9.70 | Q2 |
| 79 | HNB_TAI2017_12 | Co@NMC-800 (1:2) | [89] | 13 | 9.60 | Q2 |
| 80 | HNB_LAN2020_1 | γ-Fe2O3/NPC-600 | [57] | 14 | 9.58 | Q2 |
| 81 | HNB_CAR2018_3 | Pd/TiO2 (MIM) | [91] | 14 | 9.56 | Q2 |
| 82 | HNB_TIA2019_3 | Co-NSPC-S | [69] | 15 | 9.55 | Q2 |
| 83 | HNB_CHA2016_3 | Ni1.99P-s-1 h | [53] | 13 | 9.54 | Q2 |
| 84 | HNB_BEI2017_1 | Co3S4 | [63] | 13 | 9.51 | Q2 |
| 85 | HNB_TOK2004_1 | Pt/C 200 °C-2 h | [90] | 14 | 9.47 | Q2 |
| 86 | HNB_TAI2017_5 | Co/NMC-800 | [89] | 13 | 9.47 | Q2 |
| 87 | HNB_TAI2017_7 | Co@NMC-800-H2SO4 | [89] | 13 | 9.43 | Q2 |
| 88 | HNB_TAI2017_8 | Co@NC-800 | [89] | 14 | 9.42 | Q2 |
| 89 | HNB_CAR2018_6 | AuPd/TiO2 (CIM) | [91] | 14 | 9.39 | Q2 |
| 90 | HNB_HAR2019_1 | FeOx@CN-hpes-400 | [54] | 13 | 9.39 | Q2 |
| 91 | HNB_LAN2020_4 | γ-Fe2O3/NPC-900 | [57] | 14 | 9.35 | Q2 |
| 92 | HNB_TOK2004_3 | Pt/C 500 °C-2 h | [90] | 14 | 9.35 | Q2 |
| 93 | HNB_TIA2019_4 | Co-NSPC-Cl | [69] | 15 | 9.32 | Q2 |
| 94 | HNB_TOK2004_2 | Pt/C 300 °C-2 h | [90] | 14 | 9.31 | Q2 |
| 95 | HNB_CAR2018_4 | AuPd/MgO (MIM) | [91] | 14 | 9.30 | Q2 |
| 96 | HNB_HYD2008_4 * | Ru/SBA-15 | [88] | 12 | 9.25 | Q2 |
| 97 | HNB_LAN2020_5 | γ-Fe2O3/NPC-1000 | [57] | 14 | 9.22 | Q2 |
| 98 | HNB_HYD2008_5 * | Ru/SBA-15 | [88] | 12 | 9.15 | Q2 |
| 99 | HNB_POR2008_4 | RNi | [56] | 13 | 9.12 | Q2 |
| 100 | HNB_HAN2010_4 | Ni-15/SiO2-EN | [50] | 13 | 9.11 | Q2 |
| 101 | HNB_TOK2004_4 | Pt/C 600 °C-2 h | [90] | 14 | 9.08 | Q2 |
| 102 | HNB_HYD2008_3 * | Ru/SBA-15 | [88] | 12 | 9.03 | Q2 |
| 103 | HNB_CHA2016_2 | Ni1.91P-s-0.5 h | [53] | 13 | 8.97 | Q2 |
| RANK | CATALYST ID | CAT. Name in Journal | Reference | KNOWN Parameters | MIRA21 Number | Class. |
|---|---|---|---|---|---|---|
| 104 | HNB_CHA2016_4 | Ni2.05P-s-3 h | [53] | 13 | 8.88 | Q3 |
| 105 | HNB_GUA2020_3 | Pt CeO2-C-300 | [76] | 13 | 8.88 | Q3 |
| 106 | HNB_NAN2014_1 | Pt/AlO(OH) | [80] | 11 | 8.81 | Q3 |
| 107 | HNB_HAN2010_2 | Ni-5/SiO2-NI | [50] | 15 | 8.80 | Q3 |
| 108 | HNB_BEI2007_4 | Pt/AC LRT | [75] | 15 | 8.76 | Q3 |
| 109 | HNB_HAN2010_3 | Ni-5/SiO2-AC | [50] | 15 | 8.76 | Q3 |
| 110 | HNB_HAN2010_3 | Ni-5/SiO2-AC | [50] | 15 | 8.75 | Q3 |
| 111 | HNB_CHA2016_1 | Ni1.96P-s-10 min | [53] | 13 | 8.69 | Q3 |
| 112 | HNB_TAI2017_1 | Co@NMC-600 | [89] | 14 | 8.63 | Q3 |
| 113 | HNB_HYD2008_2 * | Ru/SBA-15 | [88] | 12 | 8.60 | Q3 |
| 114 | HNB_BEI2005_3 | Pt AC | [87] | 14 | 8.50 | Q3 |
| 115 | HNB_BEI2005_1 | Cu/SiO2 | [66] | 11 | 8.49 | Q3 |
| 116 | HNB_TAI2017_10 | Ni@NMC-800 | [89] | 13 | 8.43 | Q3 |
| 117 | HNB_BEI2013_7 | Pd/Al2O3 | [86] | 13 | 8.42 | Q3 |
| 118 | HNB_CAR2018_5 | AuPd/C (MIM) | [91] | 14 | 8.38 | Q3 |
| 119 | HNB_TOK2004_5 | Pt/C 750 °C-3 h | [90] | 14 | 8.38 | Q3 |
| 120 | HNB_TAI2017_6 | CoOx@NMC-800 | [89] | 13 | 8.26 | Q3 |
| 121 | HNB_XIA2021_2 | 0.075%Pt/SBA-15 | [42] | 14 | 8.17 | Q3 |
| 122 | HNB_GUA2020_5 | Pt CeO2-P-300 | [76] | 13 | 8.16 | Q3 |
| 123 | HNB_HAN2010_5 | Raney Ni | [50] | 13 | 8.09 | Q3 |
| 124 | HNB_CAR2018_2 | Au/TiO2 (MIM) | [91] | 14 | 8.04 | Q3 |
| 125 | HNB_HYD2008_1 * | Ru/SBA-15 | [88] | 12 | 7.99 | Q3 |
| 126 | HNB_TAI2017_11 | Fe@NMC-800 | [89] | 13 | 7.92 | Q3 |
| 127 | HNB_NAN2014_3 | Pt/MWCNTs | [80] | 10 | 7.92 | Q3 |
| 128 | HNB_XIA2021_3 | 0.07%Pt/ZrO2 | [42] | 14 | 7.90 | Q3 |
| 129 | HNB_XIA2021_4 | 0.09%Pt/γ-Al2O3 | [42] | 14 | 7.89 | Q3 |
| 130 | HNB_NAN2014_2 | Pt/Al2O3 | [80] | 10 | 7.86 | Q3 |
| 131 | HNB_BEI2013_8 | Pd/SiO2 | [86] | 13 | 7.84 | Q3 |
| 132 | HNB_NAN2014_4 | Pt/AC | [80] | 10 | 7.80 | Q3 |
| 133 | HNB_GLA2002_3 | Pd/CSXU | [81] | 10 | 7.77 | Q3 |
| 134 | HNB_GLA2002_2 | Pd/CA1 | [81] | 10 | 7.57 | Q3 |
| 135 | HNB_SHA2015_2 | Pt/C | [79] | 12 | 7.45 | Q3 |
| 136 | HNB_BEI2013_9 | Pd/MgO | [86] | 13 | 7.41 | Q3 |
| 137 | HNB_GLA2002_1 | Pd/CN1 | [81] | 10 | 7.26 | Q4 |
| 138 | HNB_FUY2018_3 | Pt/C | [55] | 11 | 6.97 | Q4 |
| 139 | HNB_SHA2006_1 | Meso Ni–B | [84] | 9 | 6.95 | Q4 |
| 140 | HNB_SHA2000_1 | Pd-B/SiO2 (fresh) | [85] | 9 | 6.91 | Q4 |
| 141 | HNB_SHA2000_2 | Pd-B/SiO2 (473 K) | [85] | 9 | 6.91 | Q4 |
| 142 | HNB_DAL2015_1 * | Pd/AM | [82] | 11 | 6.90 | Q4 |
| 143 | HNB_NAN2014_5 | Pt/TiO2 | [80] | 10 | 6.90 | Q4 |
| 144 | HNB_SHA2000_3 | Pd-B/SiO2 (673 K) | [85] | 9 | 6.88 | Q4 |
| 145 | HNB_QIN2016_2 | Ni-Fe-1/SiO2 | [83] | 10 | 6.77 | Q4 |
| 146 | HNB_QIN2016_3 | Ni-Fe-2/SiO2 | [83] | 10 | 6.76 | Q4 |
| 147 | HNB_SHA2000_6 | Pd/SiO2 (fresh) | [85] | 9 | 6.66 | Q4 |
| 148 | HNB_SHA2000_4 | Pd-B/SiO2 (873 K) | [85] | 9 | 6.54 | Q4 |
| 149 | HNB_SHA2000_5 | Pd-B/SiO2 (973 K) | [85] | 9 | 6.48 | Q4 |
| 150 | HNB_SHA2006_2 | Regular Ni–B | [84] | 9 | 6.41 | Q4 |
| 151 | HNB_DAL2015_2 * | Pd/CNF/monolith | [82] | 11 | 6.39 | Q4 |
| 152 | HNB_NAN2014_6 | Pt/MCM-41 | [80] | 10 | 6.34 | Q4 |
| 153 | HNB_SHA2000_7 | Pd-B | [83] | 8 | 5.78 | Q4 |
| 154 | HNB_QIN2016_1 | Fe/SiO2 | [83] | 9 | 5.71 | Q4 |
5. Summary and Conclusions
Author Contributions
Funding
Data Availability Statement
Acknowledgments
Conflicts of Interest
References
- Friend, C.M.; Xu, B. Heterogeneous Catalysis: A Central Science for a Sustainable Future. Acc. Chem. Res. 2017, 50, 517–521. [Google Scholar] [CrossRef] [PubMed]
- Perego, C.; Villa, P. Catalyst preparation methods. Catal. Today 1997, 34, 281–305. [Google Scholar] [CrossRef]
- Mittasch, A.; Frankenburg, W. Early Studies of Multicomponent Catalysts. Adv. Catal. 1950, 2, 81–104. [Google Scholar] [CrossRef]
- Mittasch, A.; Frankenburger, W. The historical development and theory of ammonia synthesis. J. Chem. Educ. 1929, 6, 2097–2098. [Google Scholar] [CrossRef]
- Schlögl, R. Catalytic Synthesis of Ammonia—A “Never-Ending Story”? Angew. Chem. Int. Ed. 2003, 42, 2004–2008. [Google Scholar] [CrossRef]
- Boudart, M. Model catalysts: Reductionism for understanding. Top. Catal. 2000, 13, 147–149. [Google Scholar] [CrossRef]
- Günay, M.E.; Yıldırım, R. Recent advances in knowledge discovery for heterogeneous catalysis using machine learning. Catal. Rev. 2021, 63, 120–164. [Google Scholar] [CrossRef]
- Stanislaus, A.; Cooper, B.H. Aromatic Hydrogenation Catalysis: A Review. Catal. Rev. 1994, 36, 75–123. [Google Scholar] [CrossRef]
- Medford, A.J.; Kunz, M.R.; Ewing, S.M.; Borders, T.; Fushimi, R. Extracting Knowledge from Data through Catalysis Informatics. ACS Catal. 2018, 8, 7403–7429. [Google Scholar] [CrossRef]
- Prezhdo, O.V. Advancing Physical Chemistry with Machine Learning. J. Phys. Chem. Lett. 2020, 11, 9656–9658. [Google Scholar] [CrossRef]
- Dral, P.O. Quantum Chemistry in the Age of Machine Learning. J. Phys. Chem. Lett. 2020, 11, 2336–2347. [Google Scholar] [CrossRef] [PubMed]
- Carleo, G.; Cirac, I.; Cranmer, K.; Daudet, L.; Schuld, M.; Tishby, N.; Vogt-Maranto, L.; Zdeborová, L. Machine learning and the physical sciences. Rev. Mod. Phys. 2019, 91, 045002. [Google Scholar] [CrossRef] [Green Version]
- McCoy, J.; Auret, L. Machine learning applications in minerals processing: A review. Miner. Eng. 2019, 132, 95–109. [Google Scholar] [CrossRef]
- Libbrecht, M.; Noble, W.S. Machine learning applications in genetics and genomics. Nat. Rev. Genet. 2015, 16, 321–332. [Google Scholar] [CrossRef] [Green Version]
- McCullough, K.; Williams, T.; Mingle, K.; Jamshidi, P.; Lauterbach, J. High-throughput experimentation meets artificial intelligence: A new pathway to catalyst discovery. Phys. Chem. Chem. Phys. 2020, 22, 11174–11196. [Google Scholar] [CrossRef] [PubMed]
- Tran, K.; Neiswanger, W.; Broderick, K.; Xing, E.; Schneider, J.; Ulissi, Z.W. Computational catalyst discovery: Active classification through myopic multiscale sampling. J. Chem. Phys. 2021, 154, 124118. [Google Scholar] [CrossRef]
- Williams, T.; McCullough, K.; Lauterbach, J.A. Enabling Catalyst Discovery through Machine Learning and High-Throughput Experimentation. Chem. Mater. 2019, 32, 157–165. [Google Scholar] [CrossRef]
- Takahashi, L.; Ohyama, J.; Nishimura, S.; Takahashi, K. Representing the Methane Oxidation Reaction via Linking First-Principles Calculations and Experiment with Graph Theory. J. Phys. Chem. Lett. 2021, 12, 558–568. [Google Scholar] [CrossRef]
- Takasao, G.; Wada, T.; Thakur, A.; Chammingkwan, P.; Terano, M.; Taniike, T. Machine Learning-Aided Structure Determination for TiCl4–Capped MgCl2 Nanoplate of Heterogeneous Ziegler–Natta Catalyst. ACS Catal. 2019, 9, 2599–2609. [Google Scholar] [CrossRef]
- Li, X.; Chiong, R.; Hu, Z.; Cornforth, D.; Page, A.J. Improved Representations of Heterogeneous Carbon Reforming Catalysis Using Machine Learning. J. Chem. Theory Comput. 2019, 15, 6882–6894. [Google Scholar] [CrossRef]
- Toyao, T.; Maeno, Z.; Takakusagi, S.; Kamachi, T.; Takigawa, I.; Shimizu, K.-I. Machine Learning for Catalysis Informatics: Recent Applications and Prospects. ACS Catal. 2019, 10, 2260–2297. [Google Scholar] [CrossRef]
- Takigawa, I.; Shimizu, K.-I.; Tsuda, K.; Takakusagi, S. Machine Learning Predictions of Factors Affecting the Activity of Heterogeneous Metal Catalysts. In Nanoinformatics; Springer: Singapore, 2018; pp. 45–64. [Google Scholar] [CrossRef] [Green Version]
- Rothenberg, G. Data mining in catalysis: Separating knowledge from garbage. Catal. Today 2008, 137, 2–10. [Google Scholar] [CrossRef]
- Pirro, L.; Mendes, P.; Paret, S.; Vandegehuchte, B.D.; Marin, G.B.; Thybaut, J.W. Descriptor–property relationships in heterogeneous catalysis: Exploiting synergies between statistics and fundamental kinetic modelling. Catal. Sci. Technol. 2019, 9, 3109–3125. [Google Scholar] [CrossRef]
- SciFinder®, (n.d.). Available online: https://scifinder.cas.org (accessed on 13 April 2022).
- Global Nitrobenzene Market Size | Industry Report, 2020–2027, (n.d.). Available online: https://www.grandviewresearch.com/industry-analysis/nitrobenzene-market (accessed on 21 June 2021).
- Nitro Aromatics Market—Global Industry Analysis 2016–2020 and Opportunity Assessment 2021–2031, (n.d.). Available online: https://www.persistencemarketresearch.com/market-research/nitro-aromatics-market.asp (accessed on 25 April 2021).
- Tafesh, A.M.; Weiguny, J. A Review of the Selective Catalytic Reduction of Aromatic Nitro Compounds into Aromatic Amines, Isocyanates, Carbamates, and Ureas Using CO. Chem. Rev. 1996, 96, 2035–2052. [Google Scholar] [CrossRef]
- Handbook of Heterogeneous Catalytic Hydrogenation for Organic Synthesis|Wiley, (n.d.). Available online: https://www.wiley.com/en-us/Handbook+of+Heterogeneous+Catalytic+Hydrogenation+for+Organic+Synthesis-p-9780471396987 (accessed on 25 April 2021).
- Aubakirov, Y.; Sassykova, L.; Subramanian, S.; Bhaskar, K.; Otzhan, U.; Amangeldi, M.; Abildin, T.; Zhumakanova, A.; Zhussupova, A.; Zharkyn, M. Hydrogenation of aromatic nitro-compounds of a different structure in a liquid phase. J. Chem. Technol. Metall. 2019, 54, 522–530. [Google Scholar]
- Wegener, G.; Brandt, M.; Duda, L.; Hofmann, J.; Klesczewski, B.; Koch, D.; Kumpf, R.-J.; Orzesek, H.; Pirkl, H.-G.; Six, C.; et al. Trends in industrial catalysis in the polyurethane industry. Appl. Catal. A Gen. 2001, 221, 303–335. [Google Scholar] [CrossRef]
- Kahl, T.; Schröder, K.-W.; Lawrence, F.R.; Marshall, W.J.; Höke, H.; Jäckh, R. Ullmann’s Encyclopedia of Industrial Chemistry; Wiley-VCH Verlag GmbH & Co. KGaA: Weinheim, Germany, 2000. [Google Scholar] [CrossRef]
- Nieto-Márquez, A.; Gil, S.; Romero, A.; Valverde, J.L.; Gómez-Quero, S.; Keane, M.A. Gas phase hydrogenation of nitrobenzene over acid treated structured and amorphous carbon supported Ni catalysts. Appl. Catal. A Gen. 2009, 363, 188–198. [Google Scholar] [CrossRef]
- Turáková, M.; Salmi, T.; Eränen, K.; Wärnå, J.; Murzin, D.Y.; Králik, M. Liquid phase hydrogenation of nitrobenzene. Appl. Catal. A Gen. 2015, 499, 66–76. [Google Scholar] [CrossRef]
- Song, J.; Huang, Z.-F.; Pan, L.; Li, K.; Zhang, X.; Wang, L.; Zou, J.-J. Review on selective hydrogenation of nitroarene by catalytic, photocatalytic and electrocatalytic reactions. Appl. Catal. B Environ. 2018, 227, 386–408. [Google Scholar] [CrossRef]
- Yanji, Z.; Zhou, J. Synergistic catalysis by a hybrid nanostructure Pt catalyst for high-efficiency selective hydrogenation of nitroarenes. J. Catal. 2021, 395, 445–456. [Google Scholar]
- Höller, V.; Wegricht, D.; Yuranov, I.; Kiwi-Minsker, L.; Renken, A. Three-Phase Nitrobenzene Hydrogenation over Supported Glass Fiber Catalysts: Reaction Kinetics Study. Chem. Eng. Technol. 2000, 23, 251–255. [Google Scholar] [CrossRef]
- Burge, H.D.; Collins, D.J.; Davis, B.H. Intermediates in the Raney Nickel Catalyzed Hydrogenation of Nitrobenzene to Aniline. Ind. Eng. Chem. Prod. Res. Dev. 1980, 19, 389–391. [Google Scholar] [CrossRef]
- Figueras, F.; Coq, B. Hydrogenation and hydrogenolysis of nitro-, nitroso-, azo-, azoxy- and other nitrogen-containing compounds on palladium. J. Mol. Catal. A Chem. 2001, 173, 223–230. [Google Scholar] [CrossRef]
- Gelder, E.A.; Jackson, S.D.; Lok, C.M. The hydrogenation of nitrobenzene to aniline: A new mechanism. Chem. Commun. 2004, 522–524. [Google Scholar] [CrossRef] [PubMed]
- Mahata, A.; Rai, R.K.; Choudhuri, I.; Singh, S.K.; Pathak, B. Direct vs. indirect pathway for nitrobenzene reduction reaction on a Ni catalyst surface: A density functional study. Phys. Chem. Chem. Phys. 2014, 16, 26365–26374. [Google Scholar] [CrossRef]
- Fayyad, U.; Piatetsky-shapiro, G.; Smyth, P. From data mining to knowledge discovery in databases. AI Mag. 1996, 17, 37–54. [Google Scholar] [CrossRef]
- Neeli, C.K.P.; Puthiaraj, P.; Lee, Y.-R.; Chung, Y.-M.; Baeck, S.-H.; Ahn, W.-S. Transfer hydrogenation of nitrobenzene to aniline in water using Pd nanoparticles immobilized on amine-functionalized UiO-66. Catal. Today 2018, 303, 227–234. [Google Scholar] [CrossRef]
- Nie, S.; Yang, S.; Zhang, P. Solvent-free synthesis of mesoporous platinum-aluminum oxide via mechanochemistry: Toward selective hydrogenation of nitrobenzene to aniline. Chem. Eng. Sci. 2020, 220, 115619. [Google Scholar] [CrossRef]
- Sangeetha, P.; Shanthi, K.; Rao, K.R.; Viswanathan, B.; Selvam, P. Hydrogenation of nitrobenzene over palladium-supported catalysts—Effect of support. Appl. Catal. A Gen. 2009, 353, 160–165. [Google Scholar] [CrossRef]
- Venkateshwarlu, V.; Mohan, V.; Rao, M.V.; Nagaiah, P.; Raju, B.D.; Rao, K.R. Advantage of carbon coverage over Al2O3 as support for Ni/C-Al2O3 catalyst in vapour phase hydrogenation of nitrobenzene to aniline. Catal. Commun. 2016, 86, 1–4. [Google Scholar] [CrossRef]
- Wang, Y.; Deng, Y.; Shi, F. Active palladium catalyst preparation for hydrogenation reactions of nitrobenzene, olefin and aldehyde derivatives. J. Mol. Catal. A Chem. 2014, 395, 195–201. [Google Scholar] [CrossRef]
- Xu, Y.; Lv, X.-J.; Chen, Y.; Fu, W.-F. Highly selective reduction of nitroarenes to anilines catalyzed using MOF-derived hollow Co3S4 in water under ambient conditions. Catal. Commun. 2017, 101, 31–35. [Google Scholar] [CrossRef]
- Zhao, Y.; Zhang, H.; Huang, C.; Chen, S.; Liu, Z. Pt/titania/reduced graphite oxide nanocomposite: An efficient catalyst for nitrobenzene hydrogenation. J. Colloid Interface Sci. 2012, 374, 83–88. [Google Scholar] [CrossRef] [PubMed]
- Prekob, A.; Hajdu, V.; Muránszky, G.; Fiser, B.; Sycheva, A.; Ferenczi, T.; Viskolcz, B.; Vanyorek, L. Application of carbonized cellulose-based catalyst in nitrobenzene hydrogenation. Mater. Today Chem. 2020, 17, 100337. [Google Scholar] [CrossRef]
- Diao, S.; Qian, W.; Luo, G.; Wei, F.; Wang, Y. Gaseous catalytic hydrogenation of nitrobenzene to aniline in a two-stage fluidized bed reactor. Appl. Catal. A Gen. 2005, 286, 30–35. [Google Scholar] [CrossRef]
- Couto, C.S.; Madeira, L.M.; Nunes, C.P.; Araújo, P. Commercial catalysts screening for liquid phase nitrobenzene hydrogenation. Appl. Catal. A Gen. 2016, 522, 152–164. [Google Scholar] [CrossRef]
- Wang, J.; Yuan, Z.; Nie, R.; Hou, Z.; Zheng, X. Hydrogenation of Nitrobenzene to Aniline over Silica Gel Supported Nickel Catalysts. Ind. Eng. Chem. Res. 2010, 49, 4664–4669. [Google Scholar] [CrossRef]
- Easterday, R.; Sanchez-Felix, O.; Losovyj, Y.; Pink, M.; Stein, B.D.; Morgan, D.G.; Rakitin, M.; Doluda, V.Y.; Sulman, M.G.; Mahmoud, W.E.; et al. Design of ruthenium/iron oxide nanoparticle mixtures for hydrogenation of nitrobenzene. Catal. Sci. Technol. 2015, 5, 1902–1910. [Google Scholar] [CrossRef]
- Gao, R.; Guo, H.; Wang, B.; Qiu, P.; Sun, M.; Chen, L. Co based N, S co-doped carbon hybrids for catalytic hydrogenation: Role of cobalt salt and doped S. Appl. Catal. A Gen. 2019, 579, 99–105. [Google Scholar] [CrossRef]
- Garg, G.; Foltran, S.; Favier, I.; Pla, D.; Medina-González, Y.; Gómez, M. Palladium nanoparticles stabilized by novel choline-based ionic liquids in glycerol applied in hydrogenation reactions. Catal. Today 2020, 346, 69–75. [Google Scholar] [CrossRef]
- Hu, A.; Lu, X.; Cai, D.; Pan, H.; Jing, R.; Xia, Q.; Zhou, D.; Xia, Y. Selective hydrogenation of nitroarenes over MOF-derived Co@CN catalysts at mild conditions. Mol. Catal. 2019, 472, 27–36. [Google Scholar] [CrossRef]
- Lang, Y.; Wang, Q.; Xing, J.; Zhang, B.; Liu, H. Preparation of magnetic γ-Al2O3supported palladium catalyst for hydrogenation of nitrobenzene. AIChE J. 2008, 54, 2303–2309. [Google Scholar] [CrossRef]
- Dong, B.; Li, Y.; Ning, X.; Wang, H.; Yu, H.; Peng, F. Trace iron impurities deactivate palladium supported on nitrogen-doped carbon nanotubes for nitrobenzene hydrogenation. Appl. Catal. A Gen. 2017, 545, 54–63. [Google Scholar] [CrossRef]
- Sun, Z.; Zhao, Y.; Xie, Y.; Tao, R.; Zhang, H.; Huang, C.; Liu, Z. The solvent-free selective hydrogenation of nitrobenzene to aniline: An unexpected catalytic activity of ultrafine Pt nanoparticles deposited on carbon nanotubes. Green Chem. 2010, 12, 1007–1011. [Google Scholar] [CrossRef]
- Zhao, Y.; Li, C.-H.; Yu, Z.-X.; Yao, K.-F.; Ji, S.-F.; Liang, J. Effect of microstructures of Pt catalysts supported on carbon nanotubes (CNTs) and activated carbon (AC) for nitrobenzene hydrogenation. Mater. Chem. Phys. 2007, 103, 225–229. [Google Scholar] [CrossRef]
- Zhang, Q.; Bu, J.-H.; Wang, J.; Sun, C.; Zhao, D.; Sheng, G.; Xie, X.; Sun, M.; Yu, L. Highly Efficient Hydrogenation of Nitrobenzene to Aniline over Pt/CeO2 Catalysts: The Shape Effect of the Support and Key Role of Additional Ce3+ Sites. ACS Catal. 2020, 10, 10350–10363. [Google Scholar] [CrossRef]
- Huang, L.; Lv, Y.; Wu, S.; Liu, P.; Xiong, W.; Hao, F.; Luo, H. Activated carbon supported bimetallic catalysts with combined catalytic effects for aromatic nitro compounds hydrogenation under mild conditions. Appl. Catal. A Gen. 2019, 577, 76–85. [Google Scholar] [CrossRef]
- Vanyorek, L.; Prekob, A.; Sikora, E.; Reizer, E.; Muránszky, G.; Kristály, F.; Viskolcz, B.; Fiser, B. Application of carbon nanotube coated aluminosilicate beads as “support on support” catalyst for hydrogenation of nitrobenzene. J. Ind. Eng. Chem. 2019, 79, 307–313. [Google Scholar] [CrossRef]
- Du, W.; Chen, G.; Nie, R.; Li, Y.; Hou, Z. Highly dispersed Pt in MIL-101: An efficient catalyst for the hydrogenation of nitroarenes. Catal. Commun. 2013, 41, 56–59. [Google Scholar] [CrossRef]
- Li, J.; Li, X.; Ding, Y.; Wu, P. Pt nanoparticles entrapped in ordered mesoporous carbons: An efficient catalyst for the liquid-phase hydrogenation of nitrobenzene and its derivatives. Chin. J. Catal. 2015, 36, 1995–2003. [Google Scholar] [CrossRef]
- Fan, G.; Wang, Y.; Wang, C. One-pot synthesis of aluminum oxyhydroxide matrix-entrapped Pt nanoparticles as an excellent catalyst for the hydrogenation of nitrobenzene. RSC Adv. 2014, 4, 10997–11002. [Google Scholar] [CrossRef]
- Gelder, E.A.; Jackson, S.D.; Lok, C.M. A Study of Nitrobenzene Hydrogenation Over Palladium/Carbon Catalysts. Catal. Lett. 2002, 84, 205–208. [Google Scholar] [CrossRef]
- Du, B.; Su, H.; Wang, S. Palladium supported on carbon nanofiber coated monoliths for three-phase nitrobenzene hydrogenation: Influence of reduction temperature and oxidation pre-treatment. J. Ind. Eng. Chem. 2015, 21, 997–1004. [Google Scholar] [CrossRef]
- Sun, X.; Du, F. Synthesis and higher catalytic property of the novel bimetallic Ni–Fe/SiO2 microspheres with mesoporous structure. J. Mater. Res. 2017, 32, 766–774. [Google Scholar] [CrossRef]
- Li, H.; Zhao, Q.; Wan, Y.; Dai, W.; Qiao, M. Self-assembly of mesoporous Ni–B amorphous alloy catalysts. J. Catal. 2006, 244, 251–254. [Google Scholar] [CrossRef]
- Yu, X.; Wang, M.; Li, H. Study on the nitrobenzene hydrogenation over a Pd-B/SiO2 amorphous catalyst. Appl. Catal. A Gen. 2000, 202, 17–22. [Google Scholar] [CrossRef]
- Wang, Z.; Liu, H.; Chen, L.; Chou, L.; Wang, X. Green and facile synthesis of carbon nanotube supported Pd nanoparticle catalysts and their application in the hydrogenation of nitrobenzene. J. Mater. Res. 2013, 28, 1326–1333. [Google Scholar] [CrossRef]
- Li, C.-H.; Yu, Z.-X.; Yao, K.-F.; Ji, S.-F.; Liang, J. Nitrobenzene hydrogenation with carbon nanotube-supported platinum catalyst under mild conditions. J. Mol. Catal. A Chem. 2005, 226, 101–105. [Google Scholar] [CrossRef]
- Zhou, P.; Li, D.; Jin, S.; Chen, S.; Zhang, Z. Catalytic transfer hydrogenation of nitro compounds into amines over magnetic graphene oxide supported Pd nanoparticles. Int. J. Hydrogen Energy 2016, 41, 15218–15224. [Google Scholar] [CrossRef]
- Chary, K.V.R.; Srikanth, C.S. Selective Hydrogenation of Nitrobenzene to Aniline over Ru/SBA-15 Catalysts. Catal. Lett. 2009, 128, 164–170. [Google Scholar] [CrossRef]
- Zhang, F.; Zhao, C.; Chen, S.; Li, H.; Yang, H.; Zhang, X.-M. In situ mosaic strategy generated Co-based N-doped mesoporous carbon for highly selective hydrogenation of nitroaromatics. J. Catal. 2017, 348, 212–222. [Google Scholar] [CrossRef]
- Zhao, F.; Ikushima, Y.; Arai, M. Hydrogenation of nitrobenzene with supported platinum catalysts in supercritical carbon dioxide: Effects of pressure, solvent, and metal particle size. J. Catal. 2004, 224, 479–483. [Google Scholar] [CrossRef]
- Qu, R.; Macino, M.; Iqbal, S.; Gao, X.; He, Q.; Hutchings, G.J.; Sankar, M. Supported Bimetallic AuPd Nanoparticles as a Catalyst for the Selective Hydrogenation of Nitroarenes. Nanomaterials 2018, 8, 690. [Google Scholar] [CrossRef] [PubMed] [Green Version]
- Liu, P.; Chang, W.-T.; Liang, X.-Y.; Wang, J.; Li, Y.-X. Small amorphous and crystalline Ni–P particles synthesized in glycol for catalytic hydrogenation of nitrobenzene. Catal. Commun. 2016, 76, 42–45. [Google Scholar] [CrossRef]
- Li, X.; Qi, T.; Wang, J.; She, W.; Mao, G.; Yan, P.; Li, W.; Li, G. Enhanced catalytic performance of nitrogen-doped carbon supported FeOx-based catalyst derived from electrospun nanofiber crosslinked N, Fe-containing MOFs for efficient hydrogenation of nitroarenes. Mol. Catal. 2019, 477, 110544. [Google Scholar] [CrossRef]
- Miao, H.; Hu, S.; Ma, K.; Sun, L.; Wu, F.; Wang, H.; Li, H. Synthesis of PtCo nanoflowers and its catalytic activity towards nitrobenzene hydrogenation. Catal. Commun. 2018, 109, 33–37. [Google Scholar] [CrossRef]
- Mahata, N.; Cunha, A.F.; Órfão, J.; Figueiredo, J. Hydrogenation of nitrobenzene over nickel nanoparticles stabilized by filamentous carbon. Appl. Catal. A Gen. 2008, 351, 204–209. [Google Scholar] [CrossRef]
- Lv, J.; Liu, Z.; Dong, Z. Iron oxide modified N-doped porous carbon derived from porous organic polymers as a highly-efficient catalyst for reduction of nitroarenes. Mol. Catal. 2020, 498, 111249. [Google Scholar] [CrossRef]
- OriginLab—Origin and OriginPro—Data Analysis and Graphing Software, (n.d.). Available online: https://www.originlab.com/ (accessed on 5 May 2021).
- Costentin, C.; Drouet, S.; Robert, M.; Savéant, J.-M. Turnover Numbers, Turnover Frequencies, and Overpotential in Molecular Catalysis of Electrochemical Reactions. Cyclic Voltammetry and Preparative-Scale Electrolysis. J. Am. Chem. Soc. 2012, 134, 11235–11242. [Google Scholar] [CrossRef]
- Umpierre, A.P.; de Jesús, E.; Dupont, J. Turnover Numbers and Soluble Metal Nanoparticles. ChemCatChem 2011, 3, 1413–1418. [Google Scholar] [CrossRef]
- Kozuch, S.; Martin, J.M.L. “Turning Over” Definitions in Catalytic Cycles. ACS Catal. 2012, 2, 2787–2794. [Google Scholar] [CrossRef]
- Boudart, M.; Aldag, A.; Benson, J.; Dougharty, N.; Harkins, C.G. On the specific activity of platinum catalysts. J. Catal. 1966, 6, 92–99. [Google Scholar] [CrossRef] [Green Version]
- Cornils, B.; Herrmann, W.A.; Wong, C.; Zanthoff, H. (Eds.) Catalysis from A to Z; Wiley: Hoboken, NJ, USA, 2013. [Google Scholar] [CrossRef]
- Suttiponparnit, K.; Jiang, J.; Sahu, M.; Suvachittanont, S.; Charinpanitkul, T.; Biswas, P. Role of Surface Area, Primary Particle Size, and Crystal Phase on Titanium Dioxide Nanoparticle Dispersion Properties. Nanoscale Res. Lett. 2010, 6, 27. [Google Scholar] [CrossRef] [PubMed] [Green Version]
- Brinkmann, A.; Chen, M.; Couillard, M.; Jakubek, Z.; Leng, T.; Johnston, L.J. Correlating Cellulose Nanocrystal Particle Size and Surface Area. Langmuir 2016, 32, 6105–6114. [Google Scholar] [CrossRef] [Green Version]
- Rioux, R.M.; Song, H.; Hoefelmeyer, J.D.; Yang, A.P.; Somorjai, G.A. High-Surface-Area Catalyst Design: Synthesis, Characterization, and Reaction Studies of Platinum Nanoparticles in Mesoporous SBA-15 Silica. J. Phys. Chem. B 2005, 109, 2192–2202. [Google Scholar] [CrossRef]
- Ganesan, P. Particle size distribution function of supported metal catalysts by X-ray diffraction. J. Catal. 1978, 52, 310–320. [Google Scholar] [CrossRef]
- Matyi, R.J.; Schwartz, L.H.; Butt, J.B. Particle Size, Particle Size Distribution, and Related Measurements of Supported Metal Catalysts. Catal. Rev. 1987, 29, 41–99. [Google Scholar] [CrossRef]
- Datye, A.K.; Xu, Q.; Kharas, K.C.; McCarty, J.M. Particle size distributions in heterogeneous catalysts: What do they tell us about the sintering mechanism? Catal. Today 2006, 111, 59–67. [Google Scholar] [CrossRef]
- Scimago Journal & Country Rank, (n.d.). Available online: https://www.scimagojr.com/ (accessed on 5 May 2021).
- Bethune, D.S.; Kiang, C.H.; De Vries, M.S.; Gorman, G.; Savoy, R.; Vazquez, J.; Beyers, R. Cobalt-catalysed growth of carbon nanotubes with single-atomic-layer walls. Nature 1993, 363, 605–607. [Google Scholar] [CrossRef]
- Iijima, S.; Ichihashi, T. Single-shell carbon nanotubes of 1-nm diameter. Nature 1993, 363, 603–605. [Google Scholar] [CrossRef]
- Serp, P. Carbon nanotubes and nanofibers in catalysis. Appl. Catal. A Gen. 2003, 253, 337–358. [Google Scholar] [CrossRef]
- Hareesh, H.N.; Minchitha, K.U.; Venkatesh, K.; Nagaraju, N.; Kathyayini, N. Environmentally benign selective hydrogenation of α,β-unsaturated aldehydes and reduction of aromatic nitro compounds using Cu based bimetallic nanoparticles supported on multiwalled carbon nanotubes and mesoporous carbon. RSC Adv. 2016, 6, 82359–82369. [Google Scholar] [CrossRef]
- Tomkins, P.; Gebauer-Henke, E.; Leitner, W.; Müller, T.E. Concurrent Hydrogenation of Aromatic and Nitro Groups over Carbon-Supported Ruthenium Catalysts. ACS Catal. 2014, 5, 203–209. [Google Scholar] [CrossRef]
- Göksu, H.; Zengin, N.; Burhan, H.; Cellat, K.; Şen, F. A Novel Hydrogenation of Nitroarene Compounds with Multi Wall Carbon Nanotube Supported Palladium/Copper Nanoparticles (PdCu@MWCNT NPs) in Aqueous Medium. Sci. Rep. 2020, 10, 8043. [Google Scholar] [CrossRef]












| Identification the aim of KDD | 1 | Identification of the aim of MIRA21 and the application domain |
| Creating target data set | 2 | Determination of primary selection criteria of scientific publications |
| Data cleaning | 3 | Filter out of journal articles that does not complying with the terms |
| Data integration | 4 | Creating MIRA21 data warehouse |
| Data selection | 5 | Selection of useful attributes to characterize catalytic performance |
| Data transformation | 6 | Transforming of data into forms appropriate for data mining |
| Data mining | 7 | Searching for patterns from data set of catalysis database |
| Pattern evaluation | 8 | Determination of catalyst ranking and development directions |
| Knowledge presentation | 9 | Documentation and reporting discovered knowledge in a review article |
| Test Parameters | Scoring | ||||||||
|---|---|---|---|---|---|---|---|---|---|
| Categories | No. | Notation | Name | Unit | Definition | FROM | TO | ||
| Quantifiable parameters | Catalyst performance | I. | 1. | XNBmax | Maximum conversion Equation (1) | mol% | Maximum nitrobenzene conversion achieved on a given catalyst | 1 | 10 |
| 2. | YAN | Aniline Yield Equation (2) | mol% | Aniline yield for maximum conversion | 1 | 10 | |||
| 3. | SAN | Product Selectivity Equation (3) | mol% | Aniline selectivity for maximum conversion | 1 | 10 | |||
| 4. | TONAN | Turnover Number Equation (4) | - | Number of moles of aniline formed per 1 mol active metal when the maximum conversion reached | 1 | 10 | |||
| Reaction conditions | II. | 5. | Tmax.conv. | Temperature | K | Reaction temperature for maximum conversion | 2.5 | 7.5 | |
| 6. | Pmax.conv. | Pressure | atm | Reaction pressure for maximum conversion | 2.5 | 7.5 | |||
| 7. | tmax.conv. | Time | min | Time required to reach maximum conversion | 2.5 | 7.5 | |||
| 8. | ncat. | Molar amount of initial catalyst | mol | The molar amount of the active metal involved in the reaction—in case of several metals, the sum of molar numbers | 2.5 | 7.5 | |||
| 9. | nNB | Molar amount of initial nitrobenzene | mol | The initial amount of nitrobenzene involved in the reaction | 2.5 | 7.5 | |||
| Catalyst conditions | III. | 10. | CPZ | Catalyst Particle Size | nm | Average particle size of the catalyst | 4 | 6 | |
| 11. | CSA | Catalyst Surface Area | m2/g | Catalyst (active metal + support) surface area | 4 | 6 | |||
| Does the publication contains information about these subjects? | MIN | MAX | |||||||
| Non-quantifiable parameters | Sustainability parameters | IV. | 12. | Rea | Information about Reactivation | - | Reactivation means the physical process by which the activity of the catalyst used returns to or near the original activity level. | 2.5 | 7.5 |
| 13. | Stab | Information about stability of catalyst | - | Stability means preservation of catalytic activity | 2.5 | 7.5 | |||
| 14. | Care | Information about catalyst carrier effect | - | Carrier effect means that the catalyst support influences the catalytic reaction | 2.5 | 7.5 | |||
| 15. | Catalyst carrier effect | - | Nature of the effect (positive, no effect, negative) | 2.5 | 7.5 | ||||
| RANK | CATALYST ID | CAT. Name in Journal | Reference | KNOWN Parameters | MIRA21 Number | Class. |
|---|---|---|---|---|---|---|
| 1 | HNB_XIA2021_1 | 0.07%Pt/@-ZrO2/SBA-15 | [36] | 15 | 12.22 | D1 |
| 2 | HNB_BRA2015_1 | Pd/C | [34] | 15 | 12.22 | D1 |
| 3 | HNB_TAI2017_3 | Co@NMC-800 | [77] | 15 | 12.13 | D1 |
| 4 | HNB_MIS2019_1 | Pd/N-BCNT | [64] | 15 | 12.04 | D1 |
| 5 | HNB_SHA2015_1 | Pt/CMK-3 | [66] | 15 | 11.92 | D1 |
| 6 | HNB_MIS2020_1 | 5 w/w% Pd-CC | [50] | 15 | 11.84 | D1 |
| 7 | HNB_SHA2020_1 | Pt/meso-Al2O3 | [44] | 15 | 11.83 | D1 |
| 8 | HNB_BEI2013_2 | Pd/MWCNT-SA-4.3 | [73] | 15 | 11.79 | D1 |
| 9 | HNB_GUA2017_4 | Pd/N@CNTs-1.5 h | [59] | 15 | 11.77 | D1 |
| 10 | HNB_GUA2020_2 | Pt CeO2-R-600 | [62] | 15 | 11.72 | D1 |
| 11 | HNB_HAN2013_1 | Pt@MIL-101 | [65] | 15 | 11.69 | D1 |
| 12 | HNB_LAN2020_3 | γ-Fe2O3/NPC-800 | [84] | 15 | 11.65 | D1 |
Publisher’s Note: MDPI stays neutral with regard to jurisdictional claims in published maps and institutional affiliations. |
© 2022 by the authors. Licensee MDPI, Basel, Switzerland. This article is an open access article distributed under the terms and conditions of the Creative Commons Attribution (CC BY) license (https://creativecommons.org/licenses/by/4.0/).
Share and Cite
Jakab-Nácsa, A.; Sikora, E.; Prekob, Á.; Vanyorek, L.; Szőri, M.; Boros, R.Z.; Nehéz, K.; Szabó, M.; Farkas, L.; Viskolcz, B. Comparison of Catalysts with MIRA21 Model in Heterogeneous Catalytic Hydrogenation of Aromatic Nitro Compounds. Catalysts 2022, 12, 467. https://doi.org/10.3390/catal12050467
Jakab-Nácsa A, Sikora E, Prekob Á, Vanyorek L, Szőri M, Boros RZ, Nehéz K, Szabó M, Farkas L, Viskolcz B. Comparison of Catalysts with MIRA21 Model in Heterogeneous Catalytic Hydrogenation of Aromatic Nitro Compounds. Catalysts. 2022; 12(5):467. https://doi.org/10.3390/catal12050467
Chicago/Turabian StyleJakab-Nácsa, Alexandra, Emőke Sikora, Ádám Prekob, László Vanyorek, Milán Szőri, Renáta Zsanett Boros, Károly Nehéz, Martin Szabó, László Farkas, and Béla Viskolcz. 2022. "Comparison of Catalysts with MIRA21 Model in Heterogeneous Catalytic Hydrogenation of Aromatic Nitro Compounds" Catalysts 12, no. 5: 467. https://doi.org/10.3390/catal12050467
APA StyleJakab-Nácsa, A., Sikora, E., Prekob, Á., Vanyorek, L., Szőri, M., Boros, R. Z., Nehéz, K., Szabó, M., Farkas, L., & Viskolcz, B. (2022). Comparison of Catalysts with MIRA21 Model in Heterogeneous Catalytic Hydrogenation of Aromatic Nitro Compounds. Catalysts, 12(5), 467. https://doi.org/10.3390/catal12050467

