Abstract
Polyolefins are the most consumed polymeric materials extensively used in our daily life and are usually generated by coordination polymerization in the polyolefin industry. Olefin polymerization catalysts containing transition metal–organic compound combinations are undoubtedly crucial for the development of the polyolefin industry. The nitrogen donor atom has attracted considerable interest and is widely used in combination with the transition metal for the fine-tuning of the chemical environment around the metal center. In addition to widely reported olefin polymerization catalysts with imine and amide donors (sp2 hybrid N), late transition metal catalysts with chelating amine donors (sp3 hybrid N) for olefin polymerization have never been reviewed. In this review paper, we focus on late transition metal (Ni, Pd, Fe, and Co) catalysts with chelating amines for olefin polymerization. A variety of late transition metal catalysts bearing different neutral amine donors are surveyed for olefin polymerization, including amine–imine, amine–pyridine, α-diamine, and [N, N, N] tridentate ligands with amine donors. The relationship between catalyst structure and catalytic performance is also encompassed. This review aims to promote the design of late transition metal catalysts with unique chelating amine donors for the development of high-performance polyolefin materials.
1. Introduction
Polyolefins are the most consumed polymeric materials extensively used in our daily life, and they are usually generated by coordination polymerization in the polyolefin industry [1]. With the rapid development of modern society, the development of new and/or advanced polymer materials is constantly required. Olefin polymerization catalysts are undoubtedly crucial for the development of the polyolefin industry. The development of a new generation of catalysts for olefin polymerization undoubtedly promotes the progress of the polyolefin industry [2,3].
In 1963, Ziegler and Natta won the Nobel Prize in chemistry for their discovery of heterogeneous titanium halide/alkyl aluminum catalysts (Ziegler–Natta catalysts) applied to ethylene and propylene polymerizations [4,5]. Subsequent contributions in olefin polymerization catalysis led to a huge polyolefin industry and therefore to humans entering the “plastic” age. Currently, the annual production of polyolefins exceeds 216 million tons, which is more than 60% of the global plastics production [6]. In the 1980s, Kaminsky developed metallocene catalysts based on the discovery of a methylaluminoxane (MAO) cocatalyst [7]. Single-sited metallocene catalysts show high activity and stereo-selectivity and can produce narrowly distributed polyolefins. Constrained geometry catalysts (CGCs) with linked cyclopentadienyl amido ligands have been commercially applied to synthesize polyolefin elastomers (POEs) [8]. Non-metallocene early transition metal catalysts have attracted considerable attention; they consist of organic ligands and early transition metals (Ti, Zr, Hf, and Cr). A promising new class of non-metallocene pyridylamido hafnium catalysts has been developed by Dow Chemical and Symyx Technologies for isotactic polymerization of propylene [9]. Subsequently, Dow Chemical has successfully realized industrial-scale production of olefin block copolymers (OBCs) as a new generation of POE by chain shuttling ethylene/1-octene polymerization [10,11,12,13].
Late transition metal (nickel and palladium) catalysis has played a substantial role in olefin polymerization catalysis. The famous “nickel effect”, ethylene dimerization catalyzed by a trace of nickel salts and alkylaluminum compounds, is regarded as the starting point of Ziegler catalysts. Late transition metal catalysts are often used in ethylene oligomerization in the early stage. An industrial example is the Shell higher olefin process (SHOP), yielding linear α-olefins by [P, O] ligated nickel-catalyzed ethylene oligomerization [14]. In 1995, Brookhart developed axially bulky α-diimine nickel and palladium catalysts, which produced high-molecular-weight polyolefins [15]. Since the significant breakthrough in late transition metal-catalyzed olefin polymerization, nickel and palladium catalysts have been a topic of interest in academia and shown great potential in preparing polyolefins containing various types of branches and polar functional groups because of their low oxophilicity and unique chain walking [16,17,18,19,20,21,22,23,24,25,26,27,28,29,30,31,32,33,34,35,36,37,38,39,40,41,42,43,44,45,46,47,48]. Differently, late transition iron catalysts bearing bis(imine) pyridine ligands are highly active for ethylene polymerization, affording highly linear polyethylene (PE) or linear ethylene oligomers [49,50,51,52].
Olefin polymerization catalysts often contain transition metal–organic compound combinations. For example, famous Ziegler–Natta catalysts contain the interactions of titanium halide and internal donors. Metallocene catalysts, non-metallocene early transition metal catalysts, and late transition metal catalysts are composed of organic ligands and metal centers. Several main donor atoms such as N, O, P, and S are often used in combination with the metal center for the fine-tuning of the chemical environment around the metal center. Compared to other donor atoms, the nitrogen donor atom has attracted much more considerable interest and has been widely used in combination with the transition metal. Generally, there are three types of combination modes between the transition metal and the nitrogen donor ligands: N(imine)–metal (C=N→M, Figure 1A) (including nitrogen heterocycles such as pyridine) [16,42,53,54,55,56,57,58,59,60,61], N(amide)–metal (C–(R)N–M, Figure 1B) [62,63,64,65,66], and N(amine)–metal (C–(R1)(R2)N→M, Figure 1C) [67,68,69,70,71,72,73,74]. In addition, four kinds of auxiliary ligands (C≡N→M (Figure 1D) [27,31,32], C=N—M (Figure 1E) [75], C–N2−=M (Figure 1F) [76,77], and RR’R’’N→M (Figure 1F) [78]) are also observed in olefin polymerization organometallic catalysts. In comparison with nitrogen auxiliary ligands, nitrogen ligand donors receive more attention in the design of olefin polymerization catalysts because of their large number of varieties. Olefin polymerization catalysts with imine and amide donors have been widely reported, and there have been several reviews about imine- and amine-ligated catalysts [79,80,81,82,83,84,85,86,87,88,89]. Compared to N(imine)–metal and N(amide)–metal combination fashions, the coordination of amine donors featuring sp3 N and transition metal (N(amine)–metal) is relatively little applied to olefin polymerization catalysts. The reported examples have proved that olefin polymerization catalysts with chelating amine donors are very useful and unique for catalytic polymerization [67,68,69,70,71,72,73,74].
Figure 1.
Combination modes (A–G) between the nitrogen donor atom and the transition metal.
Since the initial discovery of α-diimine nickel and palladium catalysts by Brookhart, late transition metal catalysts have been a topic of interest in the olefin polymerization field [45,47]. Late transition metal catalysts can produce new polyolefin materials which are hardly produced with early transition metal catalysts [90]. For example, α-diimine nickel and palladium catalysts can often catalyze olefin polymerization to produce branched/highly branched polyolefins by a chain walking mechanism [91]. In addition, nickel and palladium catalysts also directly copolymerize ethylene with polar comonomers to produce functional polyolefins because of their excellent tolerance toward polar groups [46,92,93]. In this review, we focus on late transition metal catalysts with chelating amines (Figure 1C) for olefin polymerization. In addition to widely reported olefin polymerization catalysts with imine and amide donors (sp2 hybrid N), late transition metal catalysts with chelating amines (sp3 hybrid N) for olefin polymerization have never been reviewed. Although a few Ru- and Rh-based catalysts are reported to be active for olefin polymerization, there is no report on Ru- and Rh-based olefin polymerization catalysts with amine ligands to date. Furthermore, a variety of late transition metal (Ni, Pd, Fe, and Co) catalysts bearing amine–imine, amine–pyridine, α-diamine, and diamine–pyridine ligands and tridentate [N, N, N] amine–imine–pyridine are surveyed for olefin polymerization. The relationship between catalyst structure and catalytic performance is also encompassed.
2. Late Transition Metal Catalysts with Amine Donors
2.1. Nickel and Palladium Catalysts with Amine–Imine Ligands
Chen and coworkers reported a series of amine–imine ligands possessing a dialkyl-substituted amine and an aryl-substituted imine and their nickel and palladium complexes [94,95,96]. The synthetic route of these amine–imine ligands is shown in Scheme 1. The amine moiety was prepared by the substitution reaction of brominated derivatives and the secondary amine, while the imine moiety was obtained by the condensation reaction of the aldehyde group and the primary amine [94].
Scheme 1.
Synthetic route of amine–imine ligands.
These amine–imine ligands (Scheme 1) can ligate the nickel metal in an unsymmetric bidentate motif through amine donor and imine donor, which show comparable trans influence. Density functional theory (DFT) calculations of the energy differences between the trans and cis isomers show that the trans form is more favorable [94]. After the activation by MAO cocatalyst, these nickel complexes 1 (Figure 2) are highly active for ethylene polymerization (up to 106 g PE·(mol M·h)−1) to generate moderately branched to highly branched PEs (62~152/1000C) with high molecular weight (Mn = 12~393 kg/mol). The ligand steric effects on ethylene polymerization were further studied (Figure 2) [95]. Increasing steric hindrance of ortho-substituents (R3) on the imine donor significantly improves ethylene polymerization activity, which is consistent with the α-diimine catalytic systems. On the contrary, the steric effects of the amine donor show an opposite trend. Reducing steric hindrance of the substituents (R1 and R2) on the amine donor leads to an increase in polymerization activity. In addition, these amine–imine nickel catalysts with cycloalkyl substituents on the amine donor exhibit much higher polymerization activity than those with linear alkyl substituents.
Figure 2.
Amine–imine nickel complexes with different substituents.
The corresponding neutral chloromethylpalladium complexes 2 and cationic palladium complexes 3 (Figure 3) bearing amine–imine ligands were also synthesized [94,96]. After the CO was inserted into Pd–methyl complexes, cationic acetylnorbornyl complexes 4 were formed. All the prepared palladium derivatives show a single geometrical isomer of the trans configuration. The imine donor is supposed to be more tolerant of the steric strain than the amine donor of N(sp3). Therefore, the bulky ligands prefer to coordinate trans to the amine group rather than the imine group.
Figure 3.
Amine–imine palladium complexes with different substituents.
Unlike amine–imine ligands possessing a dialkyl-substituted amine, our group developed a series of amine–imine ligands with a monoaryl-substituted amine. Our initial work reports amine–imine nickel complexes 5 with different substituted anilines (Figure 4) [97], which have seemingly similar metal–ligand frameworks to classic α-diimine nickel complexes. These amine–imine ligands were easily synthesized by a reduction reaction of α-diimine compounds with trimethylaluminum (TMA) in high yields. Ethylene polymerization results show that reducing the steric hindrance of the substituent (R1) leads to an increasing catalytic activity, but polymers with a decreasing molecular weight and a slightly broadened distribution. Importantly, a bulky amine–imine nickel complex containing two 2,6-diisopropyl substituents (5c) after activation with MMAO or Et2AlCl can catalyze ethylene polymerization in a living mode. Merna also reported the ligand steric effect of amine–imine nickel and palladium catalysts [98], and the same trend of activity and PE molecular weight was also observed. In addition, decreasing the size of ortho-aryl substituents leads to the PE form with a more branched topology. Generally, amine–imine nickel catalyst 5c has lower ethylene polymerization activity but affords more branched PE with narrower distribution than the classic α-diimine nickel analog. Various branches of PE produced by the amine–imine nickel catalysts originate from the chain walking process involving a repetitive β-hydrogen elimination/reinsertion process, and the chain walking mechanism for amine–imine Ni-catalyzed ethylene polymerization is shown in Scheme 2.
Figure 4.
Amine–imine nickel complexes with different substituted anilines.
Scheme 2.
Chain walking mechanism for amine–imine Ni-catalyzed ethylene polymerization.
Living ethylene polymerization allows the synthesis of new block copolymers by sequential monomer addition. Under the conditions of living polymerization (−20 °C, Al(MAO)/Ni = 200), polyethylene-block-polyhexene copolymers (PE-b-PH) were also prepared using catalyst 5c by sequential copolymerization (Scheme 3) [97]. Furthermore, polyethylene-block-polynorbornene copolymers (PE-b-PNB) were synthesized using a strategy of slowing down the chain propagation rate of sequential monomers [99].
Scheme 3.
Synthesis of the PE-b-PH and PE-b-PNB block copolymers using catalyst 5c.
Living ethylene polymerization using catalyst 5c was also used to prepare end-functionalized PE. Well-defined hydroxyl-terminated polyethylene (PE–OH) was prepared by amine–imine nickel-catalyzed living ethylene polymerization and subsequent chain transfer to ZnEt2 (Scheme 4). The PE–OH was further used as a macroinitiator to prepare block copolymers by post-polymerization. Amphiphilic polyethylene-b-polyphosphoester block copolymers (PE-b-PPE) were synthesized by organocatalyzed ring-opening polymerization (ROP) of 2-ethyoxyl-2-oxo-1,3,2-dioxaphospholane or 2-methyl-2-oxo-1,3,2-dioxaphospholane [100]. In addition, the PE–OH could be converted into amino-terminated polyethylene (PE–NH2). The PE–NH2 as a macroinitiator was used to initiate the ROP of γ-benzyl-L-glutamate-N-carboxyanhydride (BLG–NCA) to form coil–helical polyethylene-block-poly(γ-benzyl-L-glutamate) diblock copolymers (PE-b-PBLG) [101].
Scheme 4.
Synthesis of the PE-b-PPE and PE-b-PBLG block copolymers using catalyst 5c.
Our sequential work was the further investigation of the backbone substituent effect of the amine–imine ligand (Figure 5) [74,102]. It was found that two nitrogen coordinating functionalities (imine N and amine N) show different effects on ethylene polymerization. Substituents on the bridging carbon of the imine moiety are located at a strategic place for ethylene polymerization activity, which is consistent with the α-diimine catalytic systems. Substituents on the bridging carbon of the amine moiety play a crucial role in the stability and the living nature of ethylene polymerization. A bulky amine–imine nickel catalyst with the tert-butyl on the carbon of amine moiety (6c) was discovered, and it could catalyze in living ethylene fashion at high temperatures of up to 65 °C [74]. Because the reaction temperature affected the branching structure of PE on the basis of the chain walking mechanism, di- and tri-block PEs featuring different branched segments were precisely synthesized by changing living polymerization temperatures (Scheme 5).
Figure 5.
Amine–imine nickel complexes with different backbone substituents.
Scheme 5.
Synthesis of block PE featuring different branched segments by sequential tuning of living polymerization temperature.
Substituents on the bridging carbon of the amine moiety are also found to have an influence on 1-hexene polymerization, and the ligand-directed regioselectivity involving insertion fashion and chain walking is clearly observed (Scheme 6) [102]. Catalyst 5c with two methyl substituents on the bridging carbon shows high regioselectivity of up to 90% involving high 2,1-insertion selectivity of 1-hexene and sequential precise chain walking to produce semicrystalline “PE”. However, catalyst 6c with a tert-butyl on the bridging carbon exhibit a conversed regioselectivity involving 1,2-insertion selectivity of 80% and sequential 2,6-enchainment (96%) to afford amorphous polyolefin.
Scheme 6.
Different enchainment pathways in 1-hexene polymerization using catalysts 5c and 6c.
Amine–imine palladium complexes were also developed by our group. Neutral palladium complexes need cocatalysts such as sodium tetrakis (3,5-bis(trifluoromethyl)phenyl) borate (NaBArF) for ethylene polymerization, while cationic palladium complexes 8a and 8b can polymerize ethylene without any cocatalysts (Scheme 7) [103]. In comparison with the α-diimine palladium analog, amine–imine palladium catalysts exhibit higher thermal stability and stronger chain walking ability, and they afford more narrowly distributed PE. Living ethylene polymerization is also achieved at 25 °C. For copolymerization of ethylene and methyl acrylate (MA), the amine–imine palladium catalyst shows higher tolerance toward MA comonomer than the α-diimine palladium analog, and 3-fold increased MA incorporation is observed. More importantly, both direct incorporation of an acrylate unit into the main chain (in-chain MA) and migratory incorporation of a terminal acrylate unit (side-chain MA) can simultaneously occur in amine–imine palladium-catalyzed copolymerization of ethylene and MA (Scheme 8) [103]. Mechanistic studies show that the MA is inserted into the Pd–Me bond with predominate 2,1-regiochemistry to yield 4-membered palladium complex Pd4. When ethylene insertion occurs, an in-chain MA unit is formed. When isomerization of a four-membered palladium complex takes place prior to ethylene insertion, five- or six-membered palladium complexes, which are palladium species for the form of terminal MA unit, are produced (Scheme 8).
Scheme 7.
Amine–imine palladium complexes.
Scheme 8.
Mechanism for amine–imine Pd-catalyzed copolymerization of ethylene and MA.
Recently, Chen and coworkers prepared the azobenzene-functionalized amine–imine nickel and palladium complexes 9 (Figure 6) [104]. These nickel and palladium complexes show trans and cis isomerization of the azobenzene group upon light irradiation. Under the irradiation of UV light, the amine–imine nickel catalysts with cis-azobenzene are mainly generated, and their polymerization activity is significantly increased while the molecular weight of the obtained PE is significantly reduced. Compared with the palladium-based catalyst, the nickel-based catalyst shows a more significant light effect.
Figure 6.
The azobenzene-functionalized amine–imine nickel and palladium catalysts.
2.2. Nickel, Palladium, and Iron Catalysts with Amine–Pyridine Ligands
Amine–pyridine ligands were easily prepared by a reduction reaction of imine–pyridine compounds with reduction agents. Amine–pyridine nickel and palladium complexes were obtained by coordination of amine–pyridine ligands. A bis(amine–pyridine) nickel complex 10 (Figure 7) was discovered by our group in 2008 [105]. This complex exists as a bis-ligand mono-metal structure with octahedral geometries in solid state. This catalyst without a substituent on the bridging methane exhibited lower catalytic activity (2.5 × 104 g PE·(mol M·h)−1) and simultaneously produced solid polymer and oligomer for ethylene polymerization.
Figure 7.
Nickel complexes containing neutral amine–pyridine ligand.
Subsequently, our groups developed bulky amine–pyridine nickel complexes with a mono-ligand by increasing the steric hindrance of the bridging carbon connecting the pyridine and amine moieties (11 in Figure 7) [106]. Bulky substituents on the bridging carbon atoms of the amine–pyridine complexes play a crucial role in the stability and activity of catalysts and the molecular weight of polymers. Compared to complex 11a, complex 11b produced PEs with higher molecular weight (Mn = 1.71 × 104 g·mol−1) and narrower molecular weight distributions (1.19–1.56). A 2,4,6-trimethylphenyl-substituted amine–pyridine nickel catalyst (11b) was discovered for longstanding living ethylene polymerization (6 h). A post-polymerization method further proved the stability of the catalyst, and the nickel active center could remain 12 h in the absence of reacting monomer. The diblock copolymer polyethylene-b-poly(1-hexene) was successfully prepared using catalyst 11b/MAO.
A crucial question, the nature of active species of amine–pyridine nickel/MAO system for ethylene polymerization, needs to be answered. It is reported that the amine group (C–(R)NH) can be deprotonated to produce the amide (C–(R)N−) group, and the amide−metal combination arrangement also generally occurs. Therefore, the “true” active species is either cation pyridine–amine nickel ([Py–CNRH]Ni+R) or neutral pyridine–amide nickel ([Py−CNR]NiR) when a hydrogen on the amine group is removed by the cocatalyst MAO. Comparisons of ethylene polymerizations using amide–pyridine nickel/MAO and amine–pyridine nickel/MAO systems support that the “true” active species is the cation pyridine–amine nickel ([Py–CNRH]Ni+P) because bulky steric hindrance may prohibit the deprotonation of the amine group [73].
In addition, the catalyst 11b with a 2,4,6-trimethylphenyl moiety on the bridging carbon was used for the copolymerization of ethylene and trimethylsilyl-protected 10-undecen-1-ol (Scheme 9). The branched polyethylenes with multiple hydroxyls (BPE–(OH)n) with narrow distributions were obtained in a controlled fashion. The BPE–(OH)n was further used to prepare the macro–chain transfer agents (macro-CTAs) by post-modification. The amphiphilic BPE-g-PNIPAM graft copolymers were synthesized by a RAFT polymerization with narrow distributions of ~1.2 [107].
Scheme 9.
Synthesis of the BPE-g-PNIPAM graft copolymer.
A series of amine–pyridine nickel complexes (Figure 8 and Table 1) with various substituents were further synthesized by our group to evaluate the ligand substituent effects on ethylene polymerization, including the steric effect of the pyridine ring, the steric effect of bridging carbon, and steric and electronic effects of the amine moiety [73]. Ethylene polymerization results clearly show the structure–activity relationship. For the steric effect of the pyridine ring, the installation of a bulky aryl group leads to a dramatic decrease in catalyst activity and PE molecular weight. Substituents on the bridging carbon are located at a strategic place for ethylene polymerization activity, living fashion, and PE molecular weight. Pyridine–amine nickel complexes with less bulky substituents on the bridging carbon are unstable in solution, and the abstraction reaction forming more stable bis(pyridine–amine) nickel complexes and NiBr2 often takes place. For the amine moiety, increasing steric hindrance leads to a reducing activity but an increasing PE molecular weight, as observed for the amine–imine nickel catalysts. A clear electronic effect of the amine moiety is that the electron-rich ligand enhanced ethylene polymerization activity and PE molecular weight because the introduction of electron-donating groups makes the catalyst more stable.
Figure 8.
Amine–pyridine nickel complexes with various ortho-aryl and backbone moieties.
Table 1.
The various substituents (R) of amine–pyridine nickel complexes (Figure 8).
The Zubris group also reported a tert-butyl-substituted amine–pyridine nickel complex with a 2,6-dimethylphenyl group. The bulky amine–pyridine nickel catalyst (13 in Figure 9) shows higher activity and produces higher molecular weight PE than the imine–pyridine nickel analog [108].
Figure 9.
Amine–pyridine nickel complex with a 2,6-dimethylphenyl group.
Chen reported a series of α- and β-amine–pyridine nickel complexes 14 and 15 (Figure 10) with alkyl/aryl substituents on the amine donor [109]. X-ray single-crystal diffractions of nickel complexes proves that α- and β-amine–pyridine nickel complexes also exist in four-coordinate mononuclear, five-coordinate dinuclear, and six-coordinate trinuclear and bis-ligation forms in the solid state (Figure 11). Such a variation in solid-state structures for the amine–pyridine-ligated dibromidonickel complexes suggested that there might be dynamic equilibria in solution.
Figure 10.
The α- and β-types of amine–pyridine nickel complexes.
Figure 11.
Various structural configurations (A–D) of the amine–pyridine nickel complexes.
The nickel complexes mentioned above were used in ethylene polymerization after activation by MAO. In comparison with α-amine–pyridine nickel catalysts, β-analogs show lower activity and afford lower molecular weight PE. The catalyst activity is significantly dependent on the α-amine–pyridine ligand. The α-amine–pyridine nickel catalysts with mono-alkyl substituents on the amine donor are more active than nickel catalysts with di-alkyl substituents. Catalyst activity increases with the steric bulkiness of the amino mono-alkyl substituents. In addition, mono-aryl substituents on the amine donor significantly enhance catalytic activity. The installation of the methyl substituent at the α-carbon of the α-amine–pyridine ligands also improved catalyst activity.
Amine–pyridine palladium complexes with the same α-type ligands were synthesized by the Chen group [110,111]. Neutral chloromethylpalladium complexes 16 and 17 (Scheme 10) existed in cis and trans forms in solution because of the dissociation and recoordination of amine. Neutral chloromethylpalladium complexes are inactive for olefin polymerization, whereas cationic amine–pyridine palladium complexes 18 and 19 show good activity toward copolymerization of ethylene and norbornene (NB) (up to 4.9 × 104 g (COC)·(mol M·h)−1). The obtained ethylene–norbornene copolymers have alternating microstructures, and the alternating feature of the copolymerization is attributed to the kinetic control. Kinetics and mechanism investigations of norbornene–ethylene (N-E) alternating copolymerization using cationic amine–pyridine palladium catalysts showed that the fundamental kinetics followed the order of kEN > kNE >> kNN and kEE and is affected by the monomer concentrations [111].
Scheme 10.
Neutral and cationic amine–pyridine palladium complexes.
In addition to nickel and palladium complexes, amine–pyridine iron complexes were also discovered by Wang for isoprene polymerization. A series of amine–pyridine iron complexes 20 (Figure 12) with mono-substituted amine donors were firstly synthesized. In the presence of MAO cocatalyst, iron catalyst activities are affected by the substituent of the amine donor. Generally, less bulky and electron-deficient iron catalysts have high activities for isoprene polymerization. Compared to imine–pyridine iron catalysts, amine–pyridine iron affords polyisoprenes with high 3,4-enchainment [112]. In addition, amine–pyridine iron catalysts should be inactive for ethylene polymerization, which is in contrast to amine–pyridine nickel catalysts.
Figure 12.
Amine–pyridine iron complexes with mono-substituted amine donors.
Amine–pyridine iron complexes 21 (Figure 13) with di-substituted amine donors were further synthesized for conjugated diene polymerization. Notably, amine–pyridine iron complexes with di-substituted amine donors can produce more narrowly distributed polymers than iron analogs with mono-substituted amine donors. With increasing steric hindrance of R, the catalyst activity increased. An isopropyl-substituted iron catalyst is thermally robust and can promote isoprene polymerization even at the high temperature of 100 °C [113].
Figure 13.
Amine–pyridine iron complexes with di-substituted amine donors.
2.3. Nickel and Palladium Complexes with α-Diamine Ligands
α-Diamine ligands were readily synthesized by a reduction reaction of the corresponding α-diimine compound with excessive reduction agents such as LiAlH4. α-Diamine nickel and palladium complexes 22 and 23 with various substituents (Scheme 11 and Scheme 12) were also synthesized for olefin polymerization [114,115,116]. Unlike the α-diimine nickel analogs, the α-diamine nickel catalysts have a nonplanar chelate ring because of two sp3 hybrid nitrogen donor atoms, which leads to different steric effects on ethylene polymerization. Increasing the steric hindrance of the α-diamine ligand leads to reduced catalytic activity and PE molecular weight, whereas catalyst thermal stability is significantly enhanced. Bulky α-diamine nickel catalyst with 2,6-diisopropylphenyl can realize living ethylene polymerization at 35 °C. In addition, α-diamine nickel catalysts produce branched PEs with higher branching densities than α-diimine nickel catalysts, and can tune the branching topology of the PE by changing polymerization temperature and ethylene pressure. Because of enhanced chain walking ability, α-diamine nickel catalyst 22c (Scheme 11) can polymerize α-olefins to afford semicrystalline polymers with obvious melting point (Tm > 100 °C) [115]. This is attributed to the high regioselectivity of 2,1-insertion of α-olefins. In addition, increasing the chain length of α-olefins from propylene, 1-hexene, and 1-octene to 1-dodecene led to the generation of more linear polyolefins.
Scheme 11.
α-Diamine nickel complexes.
Scheme 12.
α-Diamine palladium complexes.
α-Diamine dichloropalladium complexes 23 (Scheme 12) with different substituents were employed in the norbornene (NB) (co)polymerizations [116]. Upon activation with MAO, α-diamine palladium catalysts show a very high activity (up to 7.02 × 107 g PNB·(mol M·h)−1) for norbornene polymerization. Norbornene polymerization activity increases with the increasing steric bulk of α-diamine palladium catalysts. In addition, a clear backbone effect of α-diamine palladium catalysts on norbornene polymerization activity follows the order of acenaphthene > Me > H. α-Diamine palladium catalysts are also able to catalyze copolymerization of norbornene and polar norbornene comonomers, and 15.7 mol% comonomer incorporation is realized. In comparison with α-diimine and amine–imine palladium catalysts, α-diamine palladium catalysts exhibited the highest activity for norbornene polymerization. Variation of the two nitrogen donor atoms from the amine nitrogen to the imine nitrogen results in a decrease in palladium catalyst activity for homo- and copolymerization of norbornene.
2.4. Nickel, Iron, and Cobalt Catalysts Bearing [N, N, N] Tridentate Ligands with Amine Donors
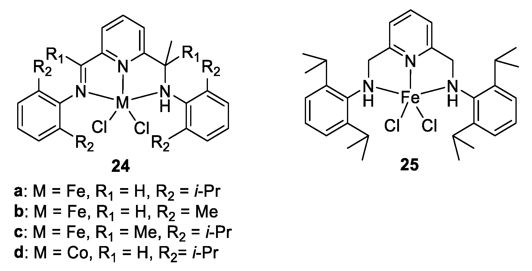
Bis(imine) pyridine iron complexes were previously discovered by Brookhart and Gibson [50,117]. Based on this work, Gibson developed [N, N, N] tridentate amine–pyridine–imine ligands by a reduction reaction of the imine of the bis(imine) pyridine compounds. The amine–pyridine–imine and bis(amine)pyridine-based iron and cobalt complexes 24 and 25 (Figure 14) were synthesized for ethylene polymerization [118]. The amine–pyridine–imine iron catalysts show moderate activity for ethylene polymerization, while the bis(amine)pyridine displays low activity. Generally, variation of the two nitrogen donor atoms from the imine nitrogen to the amine nitrogen resulted in a decrease in catalyst activity and PE molecular weight for ethylene polymerization. Possible reasons include weak amine–iron interaction and lack of conjugation.
Figure 14.
The amine–pyridine–imine and bis(amine)pyridine Fe/Co complexes.
A series of bis(benzimidazole)-amine cobalt dichloride complexes 26 (Figure 15) were synthesized by Gibson and Britovsek [119]. These cobalt complexes activated by MAO show high activity for butadiene polymerization, affording predominantly high-molecular-weight cis-1,4-polybutadiene with high selectivity. The central amine donor is related to the catalyst activity, and cobalt catalysts containing a central tertiary amine donor are more active.
Figure 15.
Bis(benzimidazole)-amine cobalt dichloride complexes.
The flexible aryl-substituted N-picolylethylenediamine and diethylenetriamine ligands were synthesized to ligate iron and cobalt chloride by Solan [120]. These iron and cobalt complexes 27 (Figure 16) activated by excess MAO showed moderate activities for ethylene oligomerization. Notably, the iron-based catalysts afforded linear α-olefins, while the cobalt-based catalysts produced mixtures of linear and branched products.
Figure 16.
Aryl-substituted N-picolylethylenediamine and diethylenetriamine Co/Fe complexes.
Pyrazolylpyridinamine and pyrazolylpyrroleamine ligands prepared by reducing the corresponding imine compounds were then reacted with (DME)NiBr2 (DME: ethylene glycol dimethyl ether) to yield the nickel complexes 28 and 29 (Figure 17). When activated with aluminum cocatalysts, all four nickel complexes are active for the reaction of ethylene. The reaction products are affected by the cocatalyst and solvent. When MAO was used as the cocatalyst, ethylene polymerization in toluene produced linear high-density PE with high molecular weight. However, nickel complexes activated by EtAlCl2 cocatalyst afforded ethylene oligomers in toluene and chlorobenzene [121].
Figure 17.
Pyrazolylpyridinamine and pyrazolylpyrroleamine nickel complexes.
The pyrrolide–imine ligands with pendant amine donors were used to ligate nickel metal to synthesize corresponding tridentate nickel complexes 30 (Figure 18). After activation with MAO cocatalyst, nickel complexes show moderate activity along with good selectivity towards 1-butene for ethylene oligomerization [122]. The amine–pyridine ligands with various pendant donors were discovered by Ojwach. These ligands reacted with NiBr2(DME) to give bis-ligation nickel complexes 31 and 32 (Scheme 13). In combination with EtAlCl2 or MAO, the nickel complexes had ethylene oligomerization activity to give mainly butenes (C4) [123].
Figure 18.
Pyrrolide–imine with pendant amine donor nickel complexes.
Scheme 13.
Amine–pyridine nickel complexes with various pendant donors.
The Sun group reported 2-methyl-2,4-bis(6-iminopyridin-2-yl)-1H-1,5-benzodiazepines ligands containing a bis(imine)pyridine ligand and an amine–pyridine–imine ligand. Bimetallic iron and cobalt complexes and heterometallic cobalt–nickel complexes 33 (Figure 19) were synthesized as precursors for ethylene oligomerization. In general, homometallic iron and cobalt catalysts show high activities for ethylene oligomerization, whereas heterometallic cobalt–nickel catalysts show relatively low activities because of the frustratingly synergic effect [124,125,126].
Figure 19.
Homo- and hetero-bimetallic iron and cobalt complexes.
3. Conclusions and Outlook
The neutral amine donors featuring sp3 nitrogen can be combined with the late transition metals to form late transition metal catalysts for olefin polymerization. A variety of late transition metal (Ni, Pd, Fe, Co) catalysts bearing amine–imine, amine–pyridine, α-diamine, and [N, N, N] tridentate ligands for (co)polymerization of ethylene, α-olefins, and dienes have been summarized. In general, amine–M interactions are weaker than imine–M interactions; the unique amine–late transition metal interactions lead to distinctive olefin polymerization properties and reactivity controls for olefin polymerization. Variation of the nitrogen coordinating functionalities from the imine nitrogen to the amine nitrogen results in a decrease in catalyst activity and polymer molecular weight but an increase in catalyst stability and reaction controllability. In addition, increasing steric hindrance of ortho-substituents on the amine donor often decreases polymerization activity for all four metal (Ni, Pd, Fe, Co) catalysts, which is in contrast to the steric effect of ortho-substituents on the imine donor. Currently, the reports of ligands containing amine donors are mainly focused on [N, N] bidentate and [N, N, N] tridentate ligands. The design of new [N, X] ligands (X is a donor atom such as O, P, or S) containing amine donors allows the discovery of new late transition metal catalysts for olefin polymerization. In addition, Fe- and Co-based olefin polymerization catalysts with chelating amines are worth further development.
Author Contributions
Writing—original draft preparation, H.D. and H.Z.; writing—review, H.G. (Heng Gao); writing—review and editing, L.P. and H.G. (Haiyang Gao); supervision, H.G. (Haiyang Gao); funding acquisition, L.P. and H.G. (Haiyang Gao). All authors have read and agreed to the published version of the manuscript.
Funding
This work was financially supported by the State Key Research Development Programme of China (Grant No. 2021YFB3800701), the National Natural Science Foundation of China (NSFC) (Projects 51873234 and 52173016), GuangDong Basic and Applied Basic Research Foundation (2019B1515120063 and 2020A1515010537), and PetroChina Projects.
Data Availability Statement
Not applicable.
Conflicts of Interest
The authors declare no conflict of interest.
Abbreviations
| MAO | Methylaluminoxane |
| CGC | Constrained geometry catalyst |
| POE | Polyolefin elastomers |
| OBCs | Olefin block copolymers |
| SHOP | Shell higher olefin process |
| DFT | Density functional theory |
| TMA | Trimethylaluminum |
| PE | Polyethylene |
| PH | Polyhexene |
| NB | Norbornene |
| PNB | Polynorbornene |
| PE–OH | Hydroxyl-terminated polyethylene |
| ROP | Ring-opening polymerization |
| PE–NH2 | Amino-terminated polyethylene |
| BLG–NCA | γ-Benzyl-L-glutamate-N-carboxyanhydride |
| NaBArF | Sodium tetrakis (3,5-bis(trifluoromethyl)phenyl)borate |
| MA | Methyl acrylate |
| BPE–(OH)n | Branched polyethylenes with multiple hydroxyls |
| NIPAM | N-isopropylacrylamide |
| PNIPAM | Poly (N-isopropylacrylamide) |
| Macro-CTAs | Macro–chain transfer agents |
| COC | Cyclic olefin copolymer |
| DME | Ethylene glycol dimethyl ether |
References
- Stürzel, M.; Mihan, S.; Mülhaupt, R. From multisite polymerization catalysis to sustainable materials and all-polyolefin composites. Chem. Rev. 2016, 116, 1398–1433. [Google Scholar] [CrossRef] [PubMed]
- Chadwick, J.C. Polyolefins—Catalyst and process innovations and their impact on polymer properties. Macromol. React. Eng. 2009, 3, 428–432. [Google Scholar] [CrossRef]
- Qiao, J.; Guo, M.; Wang, L.; Liu, D.; Zhang, X.; Yu, L.; Song, W.; Liu, Y. Recent advances in polyolefin technology. Polym. Chem. 2011, 2, 1611–1623. [Google Scholar] [CrossRef]
- Bahri-Laleh, N.; Hanifpour, A.; Mirmohammadi, S.A.; Poater, A.; Nekoomanesh-Haghighi, M.; Talarico, G.; Cavallo, L. Computational modeling of heterogeneous Ziegler-Natta catalysts for olefins polymerization. Prog. Polym. Sci. 2018, 84, 89–114. [Google Scholar] [CrossRef]
- Pelletier, J.D.A.; Basset, J.M. Catalysis by design: Well-defined single-site heterogeneous catalysts. Acc. Chem. Res. 2016, 49, 664–677. [Google Scholar] [CrossRef]
- Jehanno, C.; Alty, J.W.; Roosen, M.; De Meester, S.; Dove, A.P.; Chen, E.Y.X.; Leibfarth, F.A.; Sardon, H. Critical advances and future opportunities in upcycling commodity polymers. Nature 2022, 603, 803–814. [Google Scholar] [CrossRef]
- Kaminsky, W. The discovery of metallocene catalysts and their present state of the art. J. Polym. Sci. Part A Polym. Chem. 2004, 42, 3911–3921. [Google Scholar] [CrossRef]
- Batistini, A. New polyolefin plastomers and elastomers made with Insite™ technology: Structure-property relationship and benefits in flexible thermoplastic applications. Macromol. Symp. 1995, 100, 137–142. [Google Scholar] [CrossRef]
- Boussie, T.R.; Diamond, G.M.; Goh, C.; Hall, K.A.; LaPointe, A.M.; Leclerc, M.K.; Murphy, V.; Shoemaker, J.A.W.; Turner, H.; Rosen, R.K.; et al. Nonconventional catalysts for isotactic propene polymerization in solution developed by using high-throughput-screening technologies. Angew. Chem. 2006, 118, 3356–3361. [Google Scholar] [CrossRef]
- Arriola, D.J.; Carnahan, E.M.; Hustad, P.D.; Kuhlman, R.L.; Wenzel, T.T. Catalytic production of olefin block copolymers via chain shuttling polymerization. Science 2006, 312, 714–721. [Google Scholar] [CrossRef]
- Wang, S.; Wang, L.; Zhong, L.; Xu, R.; Wang, X.; Kang, W.; Gao, H.Y. C1-Symmetric tert-butyl substituted pyridylamido hafnium complex for ethylene, α-olefin, and styrene polymerizations. Eur. Polym. J. 2020, 131, 109709. [Google Scholar] [CrossRef]
- Wang, L.; Li, D.; Ren, H.; Wang, Y.; Wu, W.; Gao, Y.; Wang, X.; Gao, H.Y. Isoselective 4-methylpentene polymerization by pyridylamido hafnium catalysts. Polym. Chem. 2021, 12, 3556–3563. [Google Scholar] [CrossRef]
- Wang, L.Z.; Ni, X.Q.; Ren, H.; Gao, Y.X.; Gao, H.Y. Homo- and copolymerization of 4-methyl-1-pentene and 1-hexene with pyridylamido hafnium catalyst. Acta Polym. Sin. 2021, 52, 1481–1487. [Google Scholar]
- Kuhn, P.; Semeril, D.; Matt, D.; Chetcuti, M.J.; Lutz, P. Structure-reactivity relationships in SHOP-type complexes: Tunable catalysts for the oligomerisation and polymerisation of ethylene. Dalton Trans. 2007, 5, 515–528. [Google Scholar] [CrossRef]
- Johnson, L.K.; Killian, C.M.; Brookhart, M. New Pd(II)- and Ni(II)-based catalysts for polymerization of ethylene and α-olefins. J. Am. Chem. Soc. 1995, 117, 6414–6415. [Google Scholar] [CrossRef]
- Liu, F.S.; Hu, H.B.; Xu, Y.; Guo, L.H.; Zai, S.B.; Song, K.M.; Gao, H.Y.; Zhang, L.; Zhu, F.M.; Wu, Q. Thermostable α-diimine nickel(II) catalyst for ethylene polymerization: Effects of the substituted backbone structure on catalytic properties and branching structure of polyethylene. Macromolecules 2009, 42, 7789–7796. [Google Scholar] [CrossRef]
- Gao, H.Y.; Liu, X.; Tang, Y.; Pan, J.; Wu, Q. Living/controlled polymerization of 4-methyl-1-pentene with α-diimine nickel-diethylaluminium chloride: Effect of alkylaluminium cocatalysts. Polym. Chem. 2011, 2, 1398–1403. [Google Scholar] [CrossRef]
- Gao, H.Y.; Pan, J.; Guo, L.H.; Xiao, D.; Wu, Q. Polymerization of 4-methyl-1-pentene catalyzed by α-diimine nickel catalysts: Living/controlled behavior, branch structure, and mechanism. Polymer 2011, 52, 130–137. [Google Scholar] [CrossRef]
- Guo, L.H.; Gao, H.Y.; Li, L.; Wu, Q. Complex branched polyolefin generated from quasi-living polymerization of 4-methyl-1-pentene catalyzed by α-diimine palladium catalyst. Macromol. Chem. Phys. 2011, 212, 2029–2035. [Google Scholar] [CrossRef]
- Guo, L.H.; Gao, H.Y.; Guan, Q.R.; Hu, H.B.; Deng, J.; Liu, J.; Liu, F.S.; Wu, Q. Substituent effects of the backbone in α-diimine palladium catalysts on homo- and copolymerization of ethylene with methyl acrylate. Organometallics 2012, 31, 6054–6062. [Google Scholar] [CrossRef]
- Liu, F.S.; Gao, H.Y.; Hu, Z.; Hu, H.B.; Zhu, F.M.; Wu, Q. Poly(1-hexene) with long methylene sequences and controlled branches obtained by a thermostable α-diimine nickel catalyst with bulky camphyl backbone. J. Polym. Sci. Part A Polym. Chem. 2012, 50, 3859–3866. [Google Scholar] [CrossRef]
- Shi, X.; Zhao, Y.; Gao, H.Y.; Zhang, L.; Zhu, F.M.; Wu, Q. Synthesis of hyperbranched polyethylene amphiphiles by chain walking polymerization in tandem with RAFT polymerization and supramolecular self-assembly vesicles. Macromol. Rapid Commun. 2012, 33, 374–379. [Google Scholar] [CrossRef] [PubMed]
- Gao, H.Y.; Liu, F.S.; Hu, H.B.; Zhu, F.M.; Wu, Q. Synthesis of bimodal polyethylene with unsymmetrical α-diimine nickel complexes: Influence of ligand backbone and unsym-substituted aniline moiety. Chin. J. Polym. Sci. 2013, 31, 563–573. [Google Scholar] [CrossRef]
- Lian, K.; Zhu, Y.; Li, W.; Dai, S.; Chen, C. Direct synthesis of thermoplastic polyolefin elastomers from nickel catalyzed ethylene polymerization. Macromolecules 2017, 50, 6074–6080. [Google Scholar] [CrossRef]
- Liu, J.; Chen, D.; Wu, H.; Xiao, Z.; Gao, H.Y.; Zhu, F.M.; Wu, Q. Polymerization of α-olefins using a camphyl α-diimine nickel catalyst at elevated temperature. Macromolecules 2014, 47, 3325–3331. [Google Scholar] [CrossRef]
- Zhong, L.; Li, G.L.; Liang, G.D.; Gao, H.Y.; Wu, Q. Enhancing thermal stability and living fashion in α-diimine–nickel-catalyzed (co)polymerization of ethylene and polar monomer by increasing the steric bulk of ligand backbone. Macromolecules 2017, 50, 2675–2682. [Google Scholar] [CrossRef]
- Zhong, S.H.; Tan, Y.X.; Zhong, L.; Gao, J.; Liao, H.; Jiang, L.; Gao, H.Y.; Wu, Q. Precision synthesis of ethylene and polar monomer copolymers by palladium-catalyzed living coordination copolymerization. Macromolecules 2017, 50, 5661–5669. [Google Scholar] [CrossRef]
- Chen, X.L.; Gao, J.; Liao, H.; Gao, H.Y.; Wu, Q. Synthesis, characterization, and catalytic ethylene oligomerization of pyridine-imine palladium complexes. Chin. J. Polym. Sci. 2018, 36, 176–184. [Google Scholar] [CrossRef]
- Gao, J.; Ying, Z.H.; Zhong, L.; Liao, H.; Gao, H.Y.; Wu, Q. Regioselective living polymerization of allylcyclohexane and precise synthesis of hydrocarbon block copolymers with cyclic units. Polym. Chem. 2018, 9, 1109–1115. [Google Scholar] [CrossRef]
- Pei, L.X.; Liu, F.S.; Liao, H.; Gao, J.; Zhong, L.; Gao, H.Y.; Wu, Q. Synthesis of polyethylenes with controlled branching with α-diimine nickel catalysts and revisiting formation of long-chain branching. ACS Catal. 2018, 8, 1104–1113. [Google Scholar] [CrossRef]
- Xiao, Z.F.; Zheng, H.D.; Du, C.; Zhong, L.; Liao, H.; Gao, J.; Gao, H.Y.; Wu, Q. Enhancement on alternating copolymerization of carbon monoxide and styrene by dibenzobarrelene-based α-diimine palladium catalysts. Macromolecules 2018, 51, 9110–9121. [Google Scholar] [CrossRef]
- Du, C.; Zhong, L.; Gao, J.; Zhong, S.H.; Liao, H.; Gao, H.Y.; Wu, Q. Living (co)polymerization of ethylene and bio-based furfuryl acrylate using dibenzobarrelene derived α-diimine palladium catalysts. Polym. Chem. 2019, 10, 2029–2038. [Google Scholar] [CrossRef]
- Gao, J.; Zhang, L.; Zhong, L.; Du, C.; Liao, H.; Gao, H.Y.; Wu, Q. Living isomerization polymerizations of alkenylcyclohexane with camphyl α-diimine nickel catalysts. Polymer 2019, 164, 26–32. [Google Scholar] [CrossRef]
- Zhong, L.; Du, C.; Liao, G.F.; Liao, H.; Zheng, H.D.; Wu, Q.; Gao, H.Y. Effects of backbone substituent and intra-ligand hydrogen bonding interaction on ethylene polymerizations with α-diimine nickel catalysts. J. Catal. 2019, 375, 113–123. [Google Scholar] [CrossRef]
- Du, C.; Chu, H.; Xiao, Z.F.; Zhong, L.; Zhou, Y.S.; Qin, W.; Liang, G.D.; Gao, H.Y. Alternating vinylarene–carbon monoxide copolymers: Simple and efficient nonconjugated luminescent macromolecules. Macromolecules 2020, 53, 9337–9344. [Google Scholar] [CrossRef]
- Liao, G.F.; Xiao, Z.F.; Chen, X.L.; Du, C.; Zhong, L.; Cheung, C.S.; Gao, H.Y. Fast and regioselective polymerization of para-alkoxystyrene by palladium catalysts for precision production of high-molecular-weight polystyrene derivatives. Macromolecules 2020, 53, 256–266. [Google Scholar] [CrossRef]
- Zhong, L.; Zheng, H.D.; Du, C.; Du, W.B.; Liao, G.F.; Cheung, C.S.; Gao, H.Y. Thermally robust α-diimine nickel and palladium catalysts with constrained space for ethylene (co)polymerizations. J. Catal. 2020, 384, 208–217. [Google Scholar] [CrossRef]
- Du, C.; Cheung, C.S.; Zheng, H.D.; Li, D.H.; Du, W.B.; Gao, H.; Liang, G.D.; Gao, H.Y. Bathochromic-shifted emissions by postfunctionalization of nonconjugated polyketones. ACS Appl. Mater. Interfaces 2021, 13, 59288–59297. [Google Scholar] [CrossRef]
- Ruan, J.J.; Zheng, H.D.; Jiang, Y.; Wang, L.B.; Wang, S.H.; Gao, H.Y. Synthesis and catalytic performance of α-diimine nickel and palladium complexes for oligomerization of decene mixture. Acta Polym. Sin. 2021, 52, 1603–1610. [Google Scholar]
- Xiao, Z.F.; Zhong, L.; Du, C.; Du, W.B.; Zheng, H.D.; Cheung, C.S.; Wang, L.B.; Gao, H.Y. Unprecedented steric and positioning effects of comonomer substituents on α-diimine palladium-catalyzed vinyl arene/co copolymerization. Macromolecules 2021, 54, 687–695. [Google Scholar] [CrossRef]
- Zheng, H.D.; Zhong, L.; Du, C.; Du, W.B.; Cheung, C.S.; Ruan, J.J.; Gao, H.Y. Combining hydrogen bonding interactions with steric and electronic modifications for thermally robust α-diimine palladium catalysts toward ethylene (co)polymerization. Catal. Sci. Technol. 2021, 11, 124–135. [Google Scholar] [CrossRef]
- Du, W.B.; Zheng, H.D.; Li, Y.W.; Cheung, C.S.; Li, D.H.; Gao, H.; Deng, H.Y.; Gao, H.Y. Neutral tridentate α-sulfonato-β-diimine nickel catalyst for (co)polymerizations of ethylene and acrylates. Macromolecules 2022, 55, 3096–3105. [Google Scholar] [CrossRef]
- Zheng, H.D.; Li, Y.W.; Du, W.B.; Cheung, C.S.; Li, D.H.; Gao, H.; Deng, H.Y.; Gao, H.Y. Unprecedented square-planar α-diimine dibromonickel complexes and their ethylene polymerizations modulated by Ni–phenyl interactions. Macromolecules 2022, 55, 3533–3540. [Google Scholar] [CrossRef]
- Tan, C.; Chen, C. Emerging palladium and nickel catalysts for copolymerization of olefins with polar monomers. Angew. Chem. Int. Ed. 2019, 58, 7192–7200. [Google Scholar] [CrossRef]
- Wang, F.; Chen, C. A continuing legend: The Brookhart-type α-diimine nickel and palladium catalysts. Polym. Chem. 2019, 10, 2354–2369. [Google Scholar] [CrossRef]
- Mu, H.; Zhou, G.; Hu, X.; Jian, Z. Recent advances in nickel mediated copolymerization of olefin with polar monomers. Coord. Chem. Rev. 2021, 435, 213802. [Google Scholar] [CrossRef]
- Qasim, M.; Bashir, M.S.; Iqbal, S.; Mahmood, Q. Recent advancements in α-diimine-nickel and -palladium catalysts for ethylene polymerization. Eur. Polym. J. 2021, 160, 110783. [Google Scholar] [CrossRef]
- Zhou, G.; Cui, L.; Mu, H.; Jian, Z. Custom-made polar monomers utilized in nickel and palladium promoted olefin copolymerization. Polym. Chem. 2021, 12, 3878–3892. [Google Scholar] [CrossRef]
- Ittel, S.D.; Johnson, L.K.; Brookhart, M. Late-metal catalysts for ethylene homo- and copolymerization. Chem. Rev. 2000, 100, 1169–1204. [Google Scholar] [CrossRef]
- Gibson, V.C.; Redshaw, C.; Solan, G.A. Bis(imino)pyridines: Surprisingly reactive ligands and a gateway to new families of catalysts. Chem. Rev. 2007, 107, 1745–1776. [Google Scholar] [CrossRef]
- Wang, Z.; Solan, G.A.; Zhang, W.; Sun, W.H. Carbocyclic-fused N,N,N-pincer ligands as ring-strain adjustable supports for iron and cobalt catalysts in ethylene oligo-/polymerization. Coord. Chem. Rev. 2018, 363, 92–108. [Google Scholar] [CrossRef]
- Han, M.; Zhang, Q.; Oleynik, I.I.; Suo, H.; Oleynik, I.V.; Solan, G.A.; Ma, Y.; Liang, T.; Sun, W.H. Adjusting ortho-cycloalkyl ring size in a cycloheptyl-fused N,N,N-iron catalyst as means to control catalytic activity and polyethylene properties. Catalysts 2020, 10, 1002. [Google Scholar] [CrossRef]
- Zhang, J.; Ke, Z.F.; Bao, F.; Long, J.M.; Gao, H.Y.; Zhu, F.M.; Wu, Q. Ethylene polymerization and oligomerization catalyzed by bulky β-diketiminato Ni(II) and β-diimine Ni(II) complexes/methylaluminoxane systems. J. Mol. Catal. A Chem. 2006, 249, 31–39. [Google Scholar] [CrossRef]
- Azoulay, J.D.; Rojas, R.S.; Serrano, A.V.; Ohtaki, H.; Galland, G.B.; Wu, G.; Bazan, G.C. Nickel α-keto-beta-diimine initiators for olefin polymerization. Angew. Chem. Int. Ed. Engl. 2009, 48, 1089–1092. [Google Scholar] [CrossRef]
- Azoulay, J.D.; Schneider, Y.; Galland, G.B.; Bazan, G.C. Living polymerization of ethylene and α-olefins using a nickel α-keto-beta-diimine initiator. Chem. Commun. 2009, 41, 6177–6179. [Google Scholar] [CrossRef]
- Eckert, N.A.; Bones, E.M.; Lachicotte, R.J.; Holland, P.L. Nickel complexes of a bulky β-diketiminate ligand. Inorg. Chem. 2003, 42, 1720–1725. [Google Scholar] [CrossRef]
- Zhang, J.; Gao, H.Y.; Ke, Z.F.; Bao, F.; Zhu, F.M.; Wu, Q. Investigation of 1-hexene isomerization and oligomerization catalyzed with β-diketiminato Ni(II) bromide complexes/methylaluminoxane system. J. Mol. Catal. A Chem. 2005, 231, 27–34. [Google Scholar] [CrossRef]
- Matsui, S.; Mitani, M.; Saito, J.; Tohi, Y.; Makio, H.; Tanaka, H.; Fujita, T. Post-metallocenes: A new bis(salicylaldiminato) zirconium complex for ethylene polymerization. Chem. Lett. 1999, 28, 1263–1264. [Google Scholar] [CrossRef]
- Matsui, S.; Tohi, Y.; Mitani, M.; Saito, J.; Makio, H.; Tanaka, H.; Nitabaru, M.; Nakano, T.; Fujita, T. New bis(salicylaldiminato) titanium complexes for ethylene polymerization. Chem. Lett. 1999, 28, 1065–1066. [Google Scholar] [CrossRef]
- Bianchini, C.; Giambastiani, G.; Luconi, L.; Meli, A. Olefin oligomerization, homopolymerization and copolymerization by late transition metals supported by (imino)pyridine ligands. Coord. Chem. Rev. 2010, 254, 431–455. [Google Scholar] [CrossRef]
- Small, B.L.; Brookhart, M.; Bennett, A.M.A. Highly active iron and cobalt catalysts for the polymerization of ethylene. J. Am. Chem. Soc. 1998, 120, 4049–4050. [Google Scholar] [CrossRef]
- Gao, H.Y.; Pei, L.X.; Song, K.; Wu, Q. Styrene polymerization with novel anilido–imino nickel complexes/MAO catalytic system: Catalytic behavior, microstructure of polystyrene and polymerization mechanism. Eur. Polym. J. 2007, 43, 908–914. [Google Scholar] [CrossRef]
- Gao, H.Y.; Chen, Y.; Zhu, F.M.; Wu, Q. Copolymerization of norbornene and styrene catalyzed by a novel anilido–imino nickel complex/methylaluminoxane system. J. Polym. Sci. Part A Polym. Chem. 2006, 44, 5237–5246. [Google Scholar] [CrossRef]
- Gao, H.Y.; Wang, G.; Bao, F.; Gui, G.Q.; Zhang, J.K.; Zhu, F.M.; Wu, Q. Synthesis, molecular structure, and solution-dependent behavior of nickel complexes chelating anilido-imine donors and their catalytic activity toward olefin polymerization. Organometallics 2004, 23, 6273–6280. [Google Scholar] [CrossRef]
- Gao, H.Y.; Ke, Z.F.; Pei, L.X.; Song, K.; Wu, Q. Drastic ligand electronic effect on anilido–imino nickel catalysts toward ethylene polymerization. Polymer 2007, 48, 7249–7254. [Google Scholar] [CrossRef]
- Gao, H.Y.; Zhang, J.; Chen, Y.; Zhu, F.M.; Wu, Q. Vinyl-polymerization of norbornene with novel anilido–imino nickel complexes/methylaluminoxane: Abnormal influence of polymerization temperature on molecular weight of polynorbornenes. J. Mol. Catal. A Chem. 2005, 240, 178–185. [Google Scholar] [CrossRef]
- Hu, W.Q.; Sun, X.L.; Wang, C.; Gao, Y.; Tang, Y.; Shi, L.P.; Xia, W.; Sun, J.; Dai, H.L.; Li, X.Q.; et al. Synthesis and characterization of novel tridentate [NOP] titanium complexes and their application to copolymerization and polymerization of ethylene. Organometallics 2004, 23, 1684–1688. [Google Scholar] [CrossRef]
- Lamberti, M.; Bortoluzzi, M.; Paolucci, G.; Pellecchia, C. Synthesis and olefin polymerization activity of (quinolin-8-ylamino)phenolate and (quinolin-8-ylamido)phenolate Group 4 metal complexes. J. Mol. Catal. A Chem. 2011, 351, 112–119. [Google Scholar] [CrossRef]
- Press, K.; Cohen, A.; Goldberg, I.; Venditto, V.; Mazzeo, M.; Kol, M. Salalen titanium complexes in the highly isospecific polymerization of 1-hexene and propylene. Angew. Chem. Int. Ed. 2011, 50, 3529–3532. [Google Scholar] [CrossRef]
- Tshuva, E.Y.; Goldberg, I.; Kol, M.; Weitman, H.; Goldschmidt, Z. Novel zirconium complexes of amine bis(phenolate) ligands. Remarkable reactivity in polymerization of hex-1-ene due to an extra donor arm. Chem. Commun. 2000, 5, 379–380. [Google Scholar] [CrossRef]
- Bisz, E.; Białek, M.; Zarychta, B. Synthesis, characterization and catalytic properties for olefin polymerization of two new dimeric zirconium(IV) complexes having diamine-bis(phenolate) and chloride ligands. Appl. Catal. A 2015, 503, 26–33. [Google Scholar] [CrossRef]
- Tshuva, E.Y.; Goldberg, I.; Kol, M.; Goldschmidt, Z. Living polymerization and block copolymerization of α-olefins by an amine bis(phenolate) titanium catalyst. Chem. Commun. 2001, 20, 2120–2121. [Google Scholar] [CrossRef] [PubMed]
- Zai, S.B.; Gao, H.Y.; Huang, Z.; Hu, H.B.; Wu, H.; Wu, Q. Substituent effects of pyridine-amine nickel catalyst precursors on ethylene polymerization. ACS Catal. 2012, 2, 433–440. [Google Scholar] [CrossRef]
- Hu, H.B.; Zhang, L.; Gao, H.Y.; Zhu, F.M.; Wu, Q. Design of thermally stable amine-imine nickel catalyst precursors for living polymerization of ethylene: Effect of ligand substituents on catalytic behavior and polymer properties. Chem. Eur. J. 2014, 20, 3225–3233. [Google Scholar] [CrossRef]
- Nomura, K.; Fukuda, H.; Katao, S.; Fujiki, M.; Kim, H.J.; Kim, D.H.; Zhang, S. Effect of ligand substituents in olefin polymerisation by half-sandwich titanium complexes containing monoanionic iminoimidazolidide ligands-MAO catalyst systems. Dalton. Trans. 2011, 40, 7842–7849. [Google Scholar] [CrossRef]
- Wang, W.; Yamada, J.; Fujiki, M.; Nomura, K. Effect of aryloxo ligand for ethylene polymerization by (arylimido)(aryloxo)vanadium(V) complexes–MAO catalyst systems: Attempt for polymerization of styrene. Catal. Commun. 2003, 4, 159–164. [Google Scholar] [CrossRef]
- Qian, J.; Comito, R.J. A robust vanadium(v) tris(2-pyridyl)borate catalyst for long-lived high-temperature ethylene polymerization. Organometallics 2021, 40, 1817–1821. [Google Scholar] [CrossRef]
- Kim, Y.; Han, Y.; Do, Y. New half-sandwich metallocene catalysts for polyethylene and polystyrene. J. Organomet. Chem. 2001, 634, 19–24. [Google Scholar] [CrossRef]
- Yuan, S.F.; Yan, Y.; Solan, G.A.; Ma, Y.; Sun, W.H. Recent advancements in N-ligated Group 4 molecular catalysts for the (co)polymerization of ethylene. Coord. Chem. Rev. 2020, 411, 213254. [Google Scholar] [CrossRef]
- Mitchell, N.E.; Long, B.K. Recent advances in thermally robust, late transition metal-catalyzed olefin polymerization. Polym. Int. 2019, 68, 14–26. [Google Scholar] [CrossRef]
- Chirik, P.J. Iron- and cobalt- catalyzed alkene hydrogenation: Catalysis with both redox-active and strong field ligands. Acc. Chem. Res. 2015, 48, 1687–1695. [Google Scholar] [CrossRef]
- Makio, H.; Kashiwa, N.; Fujita, T. FI Catalysts: A new family of high performance catalysts for olefin polymerization. Adv. Synth. Catal. 2002, 344, 477–493. [Google Scholar] [CrossRef]
- Matsui, S.; Mitani, M.; Saito, J.; Tohi, Y.; Makio, H.; Matsukawa, N.; Takagi, Y.; Tsuru, K.; Nitabaru, M.; Nakano, T.; et al. A family of zirconium complexes having two phenoxy-imine chelate ligands for olefin polymerization. J. Am. Chem. Soc. 2001, 123, 6847–6856. [Google Scholar] [CrossRef]
- Soshnikov, I.E.; Bryliakov, K.P.; Antonov, A.A.; Sun, W.H.; Talsi, E.P. Ethylene polymerization of nickel catalysts with α-diimine ligands: Factors controlling the structure of active species and polymer properties. Dalton Trans. 2019, 48, 7974–7984. [Google Scholar] [CrossRef]
- Hu, H.B.; Gao, H.Y.; Wu, Q. Recent progress in late transition metal catalysts for controlled/living olefin polymerization. Acta Polym. Sin. 2011, 9, 965–972. [Google Scholar] [CrossRef]
- Hu, H.B.; Gao, H.Y.; Zhu, F.M.; Wu, Q. Olefin polymerization catalyzed by nickel complexes bearing [N,N]-bidentate ligands. Sci.China Chem. 2012, 42, 628–635. [Google Scholar]
- Zheng, H.D.; Gao, H.Y.; Du, C.; Wang, L.; Zhong, L.; Gao, H.Y.; Wu, Q. Bulky backbone strategy in α-diimine nickel and palladium catalyzed-olefin polymerization. Polym. Bull. 2021, 6, 81–93. [Google Scholar]
- Cheung, C.S.; Shi, X.; Pei, L.X.; Du, C.; Gao, H.Y.; Qiu, Z.L.; Gao, H.Y. Alternating copolymerization of carbon monoxide and vinyl arenes using [N,N] bidentate palladium catalysts. J. Polym. Sci. 2022, 60, 1448–1467. [Google Scholar] [CrossRef]
- Wang, Z.; Liu, Q.; Solan, G.A.; Sun, W.H. Recent advances in Ni-mediated ethylene chain growth: Nimine-donor ligand effects on catalytic activity, thermal stability and oligo-/polymer structure. Coord. Chem. Rev. 2017, 350, 68–83. [Google Scholar] [CrossRef]
- Tan, C.; Zou, C.; Chen, C. Material properties of functional polyethylenes from transition-metal-catalyzed ethylene–polar monomer copolymerization. Macromolecules 2022, 55, 1910–1922. [Google Scholar] [CrossRef]
- Guo, L.; Dai, S.; Sui, X.; Chen, C. Palladium and nickel catalyzed chain walking olefin polymerization and copolymerization. ACS Catal. 2016, 6, 428–441. [Google Scholar] [CrossRef]
- Berkefeld, A.; Mecking, S. Coordination copolymerization of polar vinyl monomers H2C=CHX. Angew. Chem. Int. Ed. 2008, 47, 2538–2542. [Google Scholar] [CrossRef] [PubMed]
- Chen, Z.; Brookhart, M. Exploring ethylene/polar vinyl monomer copolymerizations using Ni and Pd α-diimine catalysts. Acc. Chem. Res. 2018, 51, 1831–1839. [Google Scholar] [CrossRef] [PubMed]
- Lee, J.J.; Yang, F.Z.; Lin, Y.F.; Chang, Y.C.; Yu, K.H.; Chang, M.C.; Lee, G.H.; Liu, Y.H.; Wang, Y.; Liu, S.T.; et al. Unsymmetrical bidentate ligands of α-aminoaldimines leading to sterically controlled selectivity of geometrical isomerism in square planar coordination. Dalton Trans. 2008, 43, 5945–5956. [Google Scholar] [CrossRef]
- Yang, F.Z.; Chen, Y.C.; Lin, Y.F.; Yu, K.H.; Liu, Y.H.; Wang, Y.; Liu, S.T.; Chen, J.T. Nickel catalysts bearing bidentate α-aminoaldimines for ethylene polymerization—independent and cooperative structure/reactivity relationship resulting from unsymmetric square planar coordination. Dalton Trans. 2009, 7, 1243–1250. [Google Scholar] [CrossRef]
- Yang, F.Z.; Wang, Y.H.; Chang, M.C.; Yu, K.H.; Huang, S.L.; Liu, Y.H.; Wang, Y.; Liu, S.T.; Chen, J.T. Kinetic and mechanistic studies of geometrical isomerism in neutral square-planar methylpalladium complexes bearing unsymmetrical bidentate ligands of α-aminoaldimines. Inorg. Chem. 2009, 48, 7639–7644. [Google Scholar] [CrossRef]
- Gao, H.Y.; Hu, H.B.; Zhu, F.M.; Wu, Q. A thermally robust amine-imine nickel catalyst precursor for living polymerization of ethylene above room temperature. Chem. Commun. 2012, 48, 3312–3314. [Google Scholar] [CrossRef]
- Mundil, R.; Hermanová, S.; Peschel, M.; Lederer, A.; Merna, J. On the topology of highly branched polyethylenes prepared by amine−imine nickel and palladium complexes: The effect of ortho-aryl substituents. Polym. Int. 2018, 67, 946–956. [Google Scholar] [CrossRef]
- Gao, H.Y.; Liu, Y.; Li, G.; Xiao, Z.F.; Liang, G.D.; Wu, Q. Catalytic synthesis of polyethylene-block-polynorbornene copolymers using a living polymerization nickel catalyst. Polym. Chem. 2014, 5, 6012–6018. [Google Scholar] [CrossRef]
- Gao, H.Y.; Tan, Y.; Guan, Q.; Cai, T.; Liang, G.D.; Wu, Q. Synthesis, characterization and micellization of amphiphilic polyethylene-b-polyphosphoester block copolymers. RSC Adv. 2015, 5, 49376–49384. [Google Scholar] [CrossRef]
- Gao, H.Y.; Li, G.; Hu, Z.; Xiao, Z.F.; Liang, G.D.; Wu, Q. Synthesis of amphiphilic polyethylene-b-poly(l-glutamate) block copolymers with vastly different solubilities and their stimuli-responsive polymeric micelles in aqueous solution. Polymer 2014, 55, 4593–4600. [Google Scholar] [CrossRef]
- Hu, H.B.; Gao, H.Y.; Chen, D.; Li, G.L.; Tan, Y.; Liang, G.D.; Zhu, F.M.; Wu, Q. Ligand-directed regioselectivity in amine–imine nickel-catalyzed 1-hexene polymerization. ACS Catal. 2014, 5, 122–128. [Google Scholar] [CrossRef]
- Hu, H.B.; Chen, D.; Gao, H.Y.; Zhong, L.; Wu, Q. Amine–imine palladium catalysts for living polymerization of ethylene and copolymerization of ethylene with methyl acrylate: Incorporation of acrylate units into the main chain and branch end. Polym. Chem. 2016, 7, 529–537. [Google Scholar] [CrossRef]
- Peng, D.; Chen, C. Photoresponsive palladium and nickel catalysts for ethylene polymerization and copolymerization. Angew. Chem. Int. Ed. 2021, 60, 22195–22200. [Google Scholar] [CrossRef]
- Huang, Z.F.; Song, K.; Liu, F.S.; Long, J.M.; Hu, H.B.; Gao, H.Y.; Wu, Q. Synthesis and characterization of a series of 2-aminopyridine nickel(II) complexes and their catalytic properties toward ethylene polymerization. J. Polym. Sci. Part A Polym. Chem. 2008, 46, 1618–1628. [Google Scholar] [CrossRef]
- Zai, S.B.; Liu, F.S.; Gao, H.Y.; Li, C.; Zhou, G.Y.; Cheng, S.; Guo, L.H.; Zhang, L.; Zhu, F.M.; Wu, Q. Longstanding living polymerization of ethylene: Substituent effect on bridging carbon of 2-pyridinemethanamine nickel catalysts. Chem. Commun. 2010, 46, 4321–4323. [Google Scholar] [CrossRef]
- Zhao, Y.; Gao, H.Y.; Liang, G.D.; Zhu, F.M.; Wu, Q. Synthesis of well-defined amphiphilic branched polyethylene-graft-poly (N-isopropylacrylamide) copolymers by coordination copolymerization in tandem with RAFT polymerization and their self-assembled vesicles. Polym. Chem. 2014, 5, 962–970. [Google Scholar] [CrossRef]
- Lovett, D.M.; Thierer, L.M.; Santos, E.E.P.; Hardie, R.L.; Dougherty, W.G.; Piro, N.A.; Kassel, W.S.; Cromer, B.M.; Coughlin, E.B.; Zubris, D.L. Structural analysis of imino- and amino-pyridine ligands for Ni(II):Precatalysts for the polymerization of ethylene. J. Organomet. Chem. 2018, 863, 44–53. [Google Scholar] [CrossRef]
- Lin, Y.C.; Yu, K.H.; Lin, Y.F.; Lee, G.H.; Wang, Y.; Liu, S.T.; Chen, J.T. Synthesis, structures of (aminopyridine)nickel complexes and their use for catalytic ethylene polymerization. Dalton Trans. 2012, 41, 6661–6670. [Google Scholar] [CrossRef]
- Lin, Y.C.; Yu, K.H.; Huang, S.L.; Liu, Y.H.; Wang, Y.; Liu, S.T.; Chen, J.T. Alternating ethylene-norbornene copolymerization catalyzed by cationic organopalladium complexes bearing hemilabile bidentate ligands of α-amino-pyridines. Dalton Trans. 2009, 41, 9058–9067. [Google Scholar] [CrossRef]
- Yu, K.H.; Huang, S.L.; Liu, Y.H.; Wang, Y.; Liu, S.T.; Cheng, Y.C.; Lin, Y.F.; Chen, J.T. Kinetics, Mechanism and theoretical studies of norbornene-ethylene alternating copolymerization catalyzed by organopalladium(II) complexes bearing hemilabile α-amino–pyridine. Molecules 2017, 22, 1095. [Google Scholar] [CrossRef]
- Jing, C.; Wang, L.; Mahmood, Q.; Zhao, M.; Zhu, G.; Zhang, X.; Wang, X.; Wang, Q. Synthesis and characterization of aminopyridine iron (II) chloride catalysts for isoprene polymerization: Sterically controlled monomer enchainment. Dalton Trans. 2019, 48, 7862–7874. [Google Scholar] [CrossRef]
- Jing, C.; Wang, L.; Zhu, G.; Hou, H.; Zhou, L.; Wang, Q. Enhancing thermal stability in aminopyridine iron(II)-catalyzed polymerization of conjugated dienes. Organometallics 2020, 39, 4019–4026. [Google Scholar] [CrossRef]
- Liao, H.; Zhong, L.; Xiao, Z.F.; Zheng, T.; Gao, H.Y.; Wu, Q. α-Diamine nickel catalysts with nonplanar chelate rings for ethylene polymerization. Chem. Eur.J. 2016, 22, 14048–14055. [Google Scholar] [CrossRef]
- Liao, H.; Gao, J.; Zhong, L.; Gao, H.Y.; Wu, Q. Regioselective polymerizations of α-olefins with an α-diamine nickel catalyst. Chin. J. Polym. Sci. 2019, 37, 959–965. [Google Scholar] [CrossRef]
- Zheng, T.; Liao, H.; Gao, J.; Zhong, L.; Gao, H.Y.; Wu, Q. Synthesis and characterization of α-diamine palladium complexes and insight into hybridization effects of nitrogen donor atoms on norbornene (co)polymerizations. Polym. Chem. 2018, 9, 3088–3097. [Google Scholar] [CrossRef]
- Brooke, L.; Small, M.B. Polymerization of propylene by a new generation of iron catalysts: Mechanisms of chain initiation, propagation, and termination. Macromolecules 1999, 32, 2120–2130. [Google Scholar]
- Britovsek, G.; Gibson, V.; Mastroianni, S.; Oakes, D.; Redshaw, C.; Solan, G.; White, A.; Williams, D. Imine versus amine donors in iron-based ethylene polymerization catalysts. Eur. J. Inorg. Chem. 2001, 2001, 431–437. [Google Scholar] [CrossRef]
- Cariou, R.; Chirinos, J.J.; Gibson, V.C.; Jacobsen, G.; Tomov, A.K.; Britovsek, G.J.; White, A.J. The effect of the central donor in bis(benzimidazole)-based cobalt catalysts for the selective cis-1,4-polymerisation of butadiene. Dalton Trans. 2010, 39, 9039–9045. [Google Scholar] [CrossRef]
- Cowdell, R.; Davies, C.J.; Hilton, S.J.; Marechal, J.D.; Solan, G.A.; Thomas, O.; Fawcett, J. Flexible N,N,N-chelates as supports for iron and cobalt chloride complexes; synthesis, structures, DFT calculations and ethylene oligomerization studies. Dalton Trans. 2004, 20, 3231–3240. [Google Scholar] [CrossRef]
- Obuah, C.; Omondi, B.; Nozaki, K.; Darkwa, J. Solvent and co-catalyst dependent pyrazolylpyridinamine and pyrazolylpyrroleamine nickel(II) catalyzed oligomerization and polymerization of ethylene. J. Mol. Catal. A Chem. 2014, 382, 31–40. [Google Scholar] [CrossRef]
- Pinheiro, A.C.; Virgili, A.H.; Roisnel, T.; Kirillov, E.; Carpentier, J.F.; Casagrande, O.L. Ni(II) complexes bearing pyrrolide-imine ligands with pendant N-, O- and S-donor groups: Synthesis, structural characterization and use in ethylene oligomerization. RSC Adv. 2015, 5, 91524–91531. [Google Scholar] [CrossRef]
- Nyamato, G.S.; Ojwach, S.O.; Akerman, M.P. Ethylene oligomerization studies by nickel(II) complexes chelated by (amino)pyridine ligands: Experimental and density functional theory studies. Dalton Trans. 2016, 45, 3407–3416. [Google Scholar] [CrossRef] [PubMed]
- Zhang, S.; Xing, Q.; Sun, W.H. Frustratingly synergic effect of cobalt–nickel heterometallic precatalysts on ethylene reactivity: The cobalt and its heteronickel complexes bearing 2-methyl-2,4-bis(6-aryliminopyridin-2-yl)-1H-1,5-benzodiazepines. RSC Adv. 2016, 6, 72170–72176. [Google Scholar] [CrossRef]
- Zhang, S.; Vystorop, I.; Tang, Z.H.; Sun, W.H. Bimetallic (iron or cobalt) complexes bearing 2-methyl-2,4-bis (6-iminopyridin-2-yl)-1h-1,5-benzodiazepines for ethylene reactivity. Organometallics 2007, 26, 2456–2460. [Google Scholar] [CrossRef]
- Zhang, S.; Sun, W.H.; Kuang, X.; Vystorop, I.; Yi, J. Unsymmetric bimetal(II) complexes: Synthesis, structures and catalytic behaviors toward ethylene. J. Organomet. Chem. 2007, 692, 5307–5316. [Google Scholar] [CrossRef]
Publisher’s Note: MDPI stays neutral with regard to jurisdictional claims in published maps and institutional affiliations. |
© 2022 by the authors. Licensee MDPI, Basel, Switzerland. This article is an open access article distributed under the terms and conditions of the Creative Commons Attribution (CC BY) license (https://creativecommons.org/licenses/by/4.0/).































