Abstract
The β-blocker (S)-esmolol, has been synthesized in 97% enantiomeric excess and 26% total yield in a four-step synthesis, with a transesterification step of the racemic chlorohydrin methyl 3-(4-(3-chloro-2-hydroxypropoxy)phenyl)propanoate, catalysed by lipase B from Candida antarctica from Syncozymes, Shanghai, China. The β-blocker (S)-penbutolol, has been synthesized in 99% enantiomeric excess and in 22% total yield. The transesterification step of the racemic chlorohydrin 1-chloro-3-(2-cyclopentylphenoxy)propan-2-ol was catalyzed by the same lipase as used for the esmolol building block. We have used different bases for the deprotonation step of the starting phenols, and vinyl butanoate as the acyl donor in the transesterification reactions. The reaction times for the kinetic resolution steps catalysed by the lipase varied from 23 to 48 h, and were run at 30–38 °C. Specific rotation values confirmed the absolute configuration of the enantiopure drugs, however, an earlier report of the specific rotation value of (S)-esmolol is not consistent with our measured specific rotation values, and we here claim that our data are correct. Compared to the previously reported syntheses of these two enantiopure drugs, we have replaced toluene or dichloromethane with acetonitrile, and replaced the flammable acetyl chloride with lithium chloride. We have also reduced the amount of epichlorohydrin and bases, and identified dimeric byproducts in order to obtain higher yields.
1. Introduction
We have previously developed efficient synthesis protocols for the syntheses of single enantiomers of several β-adrenergic receptor blockers and their chiral building blocks [1,2,3]. We present here the syntheses of enantiopure (S)-esmolol and (S)-penbutolol (Figure 1), with focus on green chemistry principles in every reaction step. By the use of kinetic resolution, high enantiomeric excess of the corresponding secondary alcohols as building blocks for such compounds can be obtained. The only drawback with this method is that the enantiopure product can only be obtained in a 50% yield. Dynamic kinetic resolution can be used to improve the yields of the kinetic resolutions, which will lower the amount of waste produced, and thus give an even greener synthesis of the enantiopure drugs [4].
Figure 1.
(S)-Esmolol (left) and (S)-penbutolol HCl salt (right).
We also give more in-depth information about these syntheses, which we have found to be missing in previous reports. This includes an accurate measurement of the specific rotation of (S)-esmolol and precursors of both (S)-esmolol and (S)-penbutolol, and also the characterisation of a dimeric by-product formed in the synthesis path to (S)-esmolol. To limit formation of by-products, knowledge of their identity is essential, which is why we also provide plausible mechanisms for the formation of these dimers.
Esmolol is a hydrophilic β1-adrenergic receptor blocker, which has a rapid onset and a short duration of action [5,6]. The drug is administered intravenously, and is widely used in the treatment of hypertension, cardiac arrhythmia, and angina pectoris. The most potent enantiomer (eutomer) of esmolol is (S)-esmolol [7]. The drug is manufactured as Brevibloc®, with a racemic active pharmaceutical ingredient (API). Two methods for the synthesis of (S)-esmolol have been reported. Narsaiah and Kumar obtained the epoxide (S)-methyl 3-(4-(oxiran-2-ylmethoxy)phenyl)propanoate in 94% enantiomeric excess (ee) by kinetic resolution of the racemic epoxide, catalysed by Jacobsens catalyst. Subsequent amination gave (S)-esmolol, however, the authors do not report any ee value of the product [8]. Banoth and Banerjee have reported a non-enzymatic and a chemo-enzymatic route to (S)-esmolol. Commercially available (R)-epichlorohydrin was used as a starting material, however, by this method, (S)-esmolol was obtained only in 93% ee. In a kinetic resolution of the chlorohydrin methyl 3-(4-(3-chloro-2-hydroxypropoxy)phenyl)-propanoate with vinyl acetate in toluene, lipase from Pseudomonas cepacia was used as the catalyst. The chlorohydrin was obtained in 98% ee and is reported to have R-configuration. Amination of the chlorohydrin gave (S)-esmolol in 98% ee [7]. Substituting toluene for a safer and more sustainable solvent in the enzymatic step is desired for a greener synthesis. Acetonitrile has lower toxicity and environmental impact than toluene, and would be a preferred alternative [9], however, Banoth and Banerjee did not find acetonitrile to give high enantioselectivity when using lipase from Pseudomonas cepacia [7].
Penbutolol is a non-selective β-blocker used in the treatment of hypertension. The drug inhibits both β1- and β2-adrenergic receptors in the heart and in the kidneys. Betapressin® is manufactured with the racemic API. Penbutolol sulphate is manufactured as Levatol® with enantiopure (S)-penbutolol sulphate as a prodrug giving (S)-penbutolol when it enters the body. There are several methods reported for the synthesis of (S)-penbutolol, however, many of these methods use expensive enzymes and resolving agents, and suffer from low yields and low enantiomeric purity. As early as 1984, Hamaguchi et al. obtained (S)-penbutolol in 100 % ee with lipase Amano 3 as a catalyst in the hydrolysis of the racemic building block 3-(tert-butyl)-5-(hydroxymethyl)oxazolidin-2-one. However, this method has many steps, and although the lipase is efficient, it is no longer listed on the market [10]. In a kinetic resolution of the corresponding chlorohydrin using lipase from Pseudomonas sp., Ader et al. obtained (S)-penbutolol, however, only in 91% ee [11]. (S)-Penbutolol has also been obtained in 95% ee by the use of Sharpless asymmetric dihydroxylation. The drawback of this protocol is the use of toxic and expensive catalysts, and the ee of the (S)-penbutolol obtained is not optimal. The authors also report an efficient synthesis of the starting material 2-cyclopentylphenol, which today is available from Merck, but is quite expensive. [12]. Klunder et al. reported in 1989, the synthesis of (S)-penbutolol in 86% ee by the addition of enantiopure (2S)-glycidyl tosylate to a penbutolol precursor [13]. Kan et al. have reported a synthesis of (S)-penbutolol hydrochloride from racemic 5-acyloxymethyl-3-alkyl-2-oxazolidinones resolved with lipases or microorganisms [14].
2. Results and Discussion
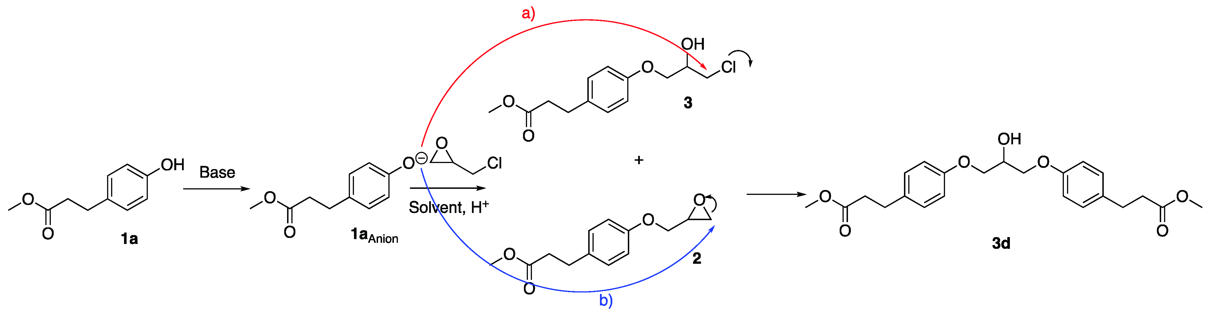
2.1. Synthesis of Racemic Chlorohydrin 3 (for Esmolol)
The chlorohydrin (R)-methyl 3-(4-(3-chloro-2-hydroxypropoxy)phenyl)-propanoate, (R)-3, which is a chiral building block in the synthesis of the β-blocker (S)-esmolol ((S)-5), has been synthesised in 97% ee (Scheme 1). A deprotonation of the commercial phenol methyl 3-(4-hydroxyphenyl)propanoate (1a) gave the corresponding alkoxide, which in reacting with epichlorohydrin, gave the chlorohydrin 3. A transesterification reaction of 3, catalysed by lipase B from Candida antarctica, gave the corresponding S-butanoate ester (S)-4 and the R-chlorohydrin (R)-3. From the reaction of (R)-3 with isopropylamine, (S)-esmolol was synthesised in 97% ee and 26 % overall yield. We have previously shown that the type and concentration of base used in the reaction of phenolic starting materials with epichlorohydrin strongly influences the ratio of epoxide vs. chlorohydrin, and also the ratio of by-products formed in these reactions [3]. In the synthesis of epoxide 2 and chlorohydrin 3, sodium hydroxide favors the formation of chlorohydrin 3 over the epoxide. However, full conversion of the starting material 1a was not obtained. We have previously used catalytic amounts of the base in the syntheses of similar compounds, but in the deprotonation of the phenolic starting material 1a, this did not give sufficient conversion. By the use of potassium carbonate, epoxide 2 was obtained in 68% yield and with the full conversion of 1a. Ring opening of epoxide 2 was performed by the protonation with acetic acid and opening with lithium chloride in acetonitrile to give chlorohydrin 3 in 96% yield for this step. We have managed to increase the yield from the previously reported 92% [7] in the epoxide ring opening, with the use of LiCl and acetic acid in acetonitrile instead of the highly flammable acetyl chloride and less preferable solvent dichloromethane, at the expense of slightly longer reaction times.
Scheme 1.
Building blocks (R)-3 and (R)-8 synthesised in 97-99% ee for use in synthesis of the (S)-enantiomers of the β-blockers (S)-esmolol ((S)-5) and (S)-penbutolol ((S)-10) with the same enantiopurity as the respective building blocks.
2.2. Synthesis of Racemic Chlorohydrin 8 (for Penbutolol)
Chlorohydrin (R)-1-chloro-3-(2-cyclopentylphenoxy)propan-2-ol, (R)-8, which is used as a chiral building block for the β-blocker (S)-penbutolol ((S)-10), was synthesised in 99% ee by a similar chemo-enzymatic method as for (R)-3 (Scheme 1). From the reaction of (R)-8 with isopropylamine, (S)-penbutolol was synthesised in 99% ee and 27% overall yield. The reaction between 2-cyclopentylphenol (1b) and epichlorohydrin gave the highest conversion of the starting material into the products epoxide 2-((2-cyclopentylphenoxy)methyl)oxirane (7) and the chlorohydrin 1-chloro-3-(2-cyclopentylphenoxy)propan-2-ol (8), when 1.5 equivalents of sodium hydroxide were used, and the reaction time was 48 h. 1H NMR analysis of the obtained mixture before opening of the epoxide 7 revealed the presence of around 13% of the starting material 2-cyclopentylphenol (1b), 36% of the epoxide 7 and 39% of chlorohydrin 8. Other impurities, most likely a dimer, similar to the by-product 3d described for esmolol synthesis, makes up approximately 12% of the reaction mixture. The by-products have not been further characterised. From this mixture, chlorohydrin 8 was obtained in 70% yield by the same method as described for the esmolol building block 3.
2.3. Characterisation of by-Products in Synthesis of Esmolol Precursors
A dimeric by-product was observed in the reaction between deprotonated phenol 1a, epichlorohydrin, and potassium carbonate to form epoxide 2 (Scheme 1 and Scheme 2). LC-MS analysis gave a peak with m/z = 439.2, molecular formula C23H28O7Na, which corresponds to 3,3′-(((2-hydroxypropane-1,3-diyl)bis(oxy))bis(4,1-phenylene))dipropanoate (3d) with a molecular mass of 416.45 g/mol. By purification of the reaction mixture using flash chromatography in order to obtain pure epoxide 2, dimer 3d was isolated in 6% yield with a purity of 99%. Characterisation of 3d was performed by 1H-, 13C-, H,H COSY-, HSQC- and HMBC NMR spectroscopy, with deuterated chloroform as the solvent. 1H- and 13C- NMR spectra for dimer 3d are given in the Supplementary Materials, in addition to the achiral HPLC chromatogram. We have observed the same type of dimers in the synthesis of similar β-blocker precursors [3], and here we propose plausible mechanisms for the 3d dimer formation, see Scheme 2. We suggest that using a larger amount of epichlorohydrin could limit the amount of dimer formed, as the alkoxide 1aAnion would have better access to epichlorohydrin as opposed to the products 2 and 3, which could improve the yield of the first reaction step. However, we have managed to reduce the epichlorohydrin from 5 equivalents in similar syntheses reported by Bevinakatti and Banerji in 1992 [15] to 2 equivalents, also used in our previous report on the syntheses of several β-blockers [3].
Scheme 2.
Two suggested mechanistic pathways for the formation of dimer 3d. Reaction mechanism (a) shows a nucleophilic attack on chlorohydrin 3 by alkoxide 1aAnion, mechanism (b) shows a nucleophilic attack on epoxide 2 by alkoxide 1aAnion.
2.4. Lipase-Catalysed Kinetic Resolution of Chlorohydrins 3 and 8
Kinetic resolution of the chlorohydrins 3 and 8 was catalysed by lipase B from Candida antarctica (CALB) in dry acetonitrile with vinyl butanoate as the acyl donor. This gave E-values of 157 and 183, respectively (calculated by E&K Calculator, 2.1b0 PPC) [14] (Figure 2 and Figure 3, repectively), and ee-values of 87% for S-ester (S)-4 and 97-99% of the R-chlorohydrins (R)-3 and (R)-8, as described above. The ee-values were retained upon the conversion of the enantiopure chlorohydrins to the respective drugs, see Table 1. The reaction times for the transesterification reactions for obtaining (R)-3 and (R)-8 were 23 and 48 h, respectively. The use of acetonitrile as the solvent in these kinetic resolutions makes the syntheses greener than the previous reports using toluene [7], and here we have shown that acetonitrile gives high selectivity for CALB in the synthesis of R-chlorohydrins (R)-3 and (R)-8.
Figure 2.
Graphical representation of the kinetic resolution of chlorohydrin 3 with CALB in dry acetonitrile with vinyl butanoate as the acyl donor. Enantiomeric excess of the remaining substrate (eeS, red circles) and enantiomeric excess of the product ester (eeP, blue circles) is shown in percent plotted against conversion in percent. The red and the blue curves are generated from the experimental values of eeS and eeP, respectively. The E-value was calculated to be 157. E-values were calculated from E&K Calculator 2.1b0 PPC [16].
Figure 3.
Graphical representation of the kinetic resolution of chlorohydrin 8 with CALB in dry acetonitrile with vinyl butanoate as the acyl donor. eeS (blue squares) and eeP (red circles) in percent plotted against conversion in percent. The blue and the red curves are generated from the experimental values of eeS and eeP, respectively. The E-value was calculated to be 183. E-values were calculated from E&K Calculator 2.1b0 PPC [16].
Table 1.
E-values, ee values and yields of the enantiopure chlorohydrins (R)-3 and (R)-8, ester (S)-4, and the drugs (S)-5, (S)-10 and (S)-10∙HCl. The kinetic resolutions were catalysed by CALB from Syncozymes in dry acetonitrile. Specific rotations were determined at 20–23 °C in different solvents with c = 1. For additional parameters, see Materials and Methods. The yields for each compound in the table are for each reaction step. The overall yield for (S)-esmolol ((S)-5) is 26%, and for (S)-penbutolol hydrochloride ((S)-10∙HCl) the overall yield is 20%.
2.5. Synthesis of (S)-Esmolol ((S)-5)
The R-Chlorohydrin (R)-3 was converted to (S)-esmolol ((S)-5) in 92% yield by amination with isopropylamine in methanol. The ee was retained in the conversion. For the ee to be retained, it is important that the S-ester ((S)-4) and R-chlorohydrin (R)-3 are completely separated during the flash chromatography separation of the crude mixture from the enzymatic kinetic resolution step. If the separation was not complete, we observed a lowering of the ee. We suggest that this lowering of the ee could be a result of aminolysis of the S-ester, followed by amination of the resulting S-chlorohydrin to give the unwanted (R)-esmolol ((R)-5).
2.6. Synthesis of (S)-Penbutolol ((S)-10)
The R-Chlorohydrin (R)-8 was converted to (S)-penbutolol ((S)-10) in 82% yield by amination with tert-butylamine in methanol and with an ee of 99%.
2.7. Specific Rotation of Pure Enantiomers
Specific rotation values for the enantiopure chlorohydrin (R)-3 or the corresponding ester (S)-4 have not been reported previously. The absolute configuration of compounds (R)-3, (S)-4, and (S)-5 shown in Table 1 was determined by the known enantioselectivity of CALB towards similar compounds, which has been previously reported [3,17]. In 2011, Narsaiah and Kumar reported a specific rotation for the S-enantiomer of esmolol of = +4.50 (c 1, CHCl3) [8], while we report = –6.80 (c 1.04, CHCl3) for the S-enantiomer of esmolol ((S)-5) in 97% ee. Narsaiah and Kumar did not report the enantiomeric excess of their (S)-esmolol, nor how the absolute configuration was determined. We claim that our measurements are correct, and that (S)-esmolol is levorotatory. The specific rotation value of (R)-8 has not been reported previously. The absolute configuration of compound (R)-8 was determined by the enantioselectivity of CALB, which we have reported previously [3,17]. The specific rotation of (S)-penbutolol as a free base has been reported by Phukan and Sudalai to be = −10.90 (c 0.8, MeOH) in 95% ee. We here report = −14.00 (c 1.0, MeOH) for (S)-10 in 99% ee. The specific rotation of the hydrochloric salt of (S)-penbutolol ((S)-10∙HCl) has been reported by Kan et al. to be . We have synthesized (S)-10∙HCl from (S)-10 and hydrochloric acid in isopropanol, in 89% yield, with an ee of 99% and a specific rotation of = −23.00 (c 1.0, MeOH), which is consistent with Kan et al. [14].
3. Materials and Methods
3.1. Chemicals and Solvents
All chemicals used in this project are commercially available, of analytical grade and were purchased from either Sigma-Aldrich Norway AS (Oslo, Norway), or VWR International AS, Norway (Oslo, Norway). HPLC-grade solvents were used for the HPLC analyses. Dry MeCN was acquired from a solvent purifier, MBraun MD-SPS800 (München, Germany), and stored in a flask containing molecular sieves (4Å).
3.2. TLC Analyses and Column Chromatography
TLC analyses were performed on Merck silica 60 F254 and detection with UV at λ = 254 nm. Flash chromatography was performed using silica gel from Sigma-Aldrich Norway AS (Oslo, Norway) (pore size 60 Å, 230–400 mesh particle size, 40–63 μm particle size).
3.3. Enzymes
Candida antarctica Lipase B (CALB) (activity ≥ 10,000 PLU/g, lot#20170315) immobilised on highly hydrophobic macro porous resin, and produced in fermentation with genetically modified Pichia pastoris, was a gift from SyncoZymes Co. Ltd. (Shanghai, China). The enzyme reactions were performed in a New Brunswick G24 Environmental Incubator Shaker from New Brunswick Co. (Edison, NJ, USA).
3.4. Chiral HPLC Analyses
All chiral analyses were performed on Agilent 1100 and 1200 HPLC systems using a manual injector (Rheodyne 77245i/Agilent 10 mL loop (Agilent 1100), an autosampler (Agilent 1200), and a variable wavelength detector (VWD) set to 254 nm). Separations of enantiomers were performed on a Chiralcel OD-H column (250 mm 4.6 mm ID, 5 µm particle size, Daicel, Chiral Technologies Europe, Gonthier d’Andernach, Illkirch, France). Chlorohydrin 3 enantiomers: (n-hexane:i-PrOH, 80:20), flow 1 mL/min, 10 µL injection, tR((S)-3) = 9.4 min, tR((R)-3) = 10.3 min, Rs((S)/(R)-3) = 1.86. Ester 4 enantiomers: (n-hexane:i-PrOH, 97:3), flow 1 mL/min, 10 µL injection, tR((S)-4) = 15.6 min, tR((R)-4) = 17.3 min, Rs((S)/(R)-4) = 2.08. Esmolol (5) enantiomers: (n-hexane:i-PrOH:Et2NH (80:19.6:0.4), flow 1 mL/min, 10 µL injection, tR((R)-5) = 5.8 min and tR((R)-5) = 9.3 min, Rs((S)/(R)-5) = 11.5. Chlorohydrin 8 enantiomers: (hexane:i-PrOH, 90:10), flow 1 mL/min, 10 µL injection. tR((S)-8) = 6.63 min and tR((R)-8) = 7.31 min. Rs((S)/(R)-8) = 2.41. Ester 9 enantiomers: (hexane:i-PrOH, 99.4:0.6), flow 1 mL/min, 10 µL injection. tR((S)-9) = 8.05 min and tR((R)-9) = 9.37 min. Rs((S)/(R)-9) = 1.56. Penbutolol 10 enantiomers: (hexane:i-PrOH:Et2NH, 90:9.8:0.2), flow 1 mL/min, 10 µL injection.((R)-10∙HCl) = 4.67 min and tR((S)-10∙HCl) = 7.39 min.((S)/(R)-10∙HCl) = 10.5.
3.5. Achiral HPLC Analysis of Dimer 3d
Achiral HPLC analysis of dimer 3d was performed on an Agilent 1290 system from Matriks AS (Oslo, Norway), equipped with an auto injector (4 µL). Detection was performed by a diode array detector (DAD, λ = 254 nm). Also used was an ACE Excel 5 C18 column from Matriks AS (Oslo, Norway) (150 mm × 4.6 mm ID; 5 µm particle size), with an isocratic eluent (H2O:MeCN, 50:50) over 12 min, flow = 1 mL/min. Dimer 3d tR = 9.1 min.
3.6. Liquid Chromatography-Mass Spectroscopy (LC-MS) of Esmolol Dimer 3d
LC-MS analysis of by-product 3d was performed on an AQUITY UPLC I-Class system (Waters, Milford, CT, USA) coupled to a quadrupole time-of-flight mass analyzer (QTOF; SYNAPT-G2S) with a ZSpray EIS ion source (Waters, Milford, CT, USA). A AQUITY UPLC BEH C18 column (100 mm × 2.1 mm ID, 130Å, 1.7 µm particle size) with a mobile phase composition of H2O and MeCN, both with 0.1% formic acid. Method: Isocratic (H2O:MeCN, 80:20) over 12 min, then gradient (100% MeCN) from 12-13.5 min, and then back to (H2O:MeCN, 80:20) for 15 min, flow 0.25 mL/min. Molecular mass of 3d 3,3′-(((2-hydroxypropane-1,3-diyl)bis(oxy))bis(4,1-phenylene))dipropanoate is 416.45 g/mol. LC-MS analysis gave a peak with m/z = 439.2, molecular formula C23H28O7Na.
3.7. Mass Spectrometry Analysis of by-Product 3d
Exact mass of 3d was determined with a Synapt G2-S Q-TOF mass spectrometer from WatersTM (Waters Norway, Oslo, Norway). Ionization of the sample was performed with an ASAP probe (APCI), and the calculation of exact masses and spectra processing were performed with WatersTM Software (Masslynxs V4.1 SCN871). See Supplementary Materials for spectra.
3.8. Optical Rotation
Optical rotation values were performed with an Anton Paar MCP 5100 polarimeter from Dipl.Ing. Houm AS (Oslo, Norway), and a wavelength of 589 nm (D), for values, see single enantiomers for specific rotation values.
3.9. Absolute Configurations
The absolute configuration of (S)-esmolol ((S)-5) was determined by the enantioselectivity of CALB which we have reported previously [3,17]. We report here a specific rotation of (S)-esmolol ((S)-5), disputing the previously reported value [8]. Specific rotation values of (R)-3, (S)-4 and (R)-8 have not been reported previously and were determined by the enantioselectivity of CALB, which we have reported previously [3,17]. The absolute configuration of (S)-penbutolol (S)-10 and (S)-10∙HCl were determined by comparing the specific rotation with previously reported data [12,14].
3.10. NMR Analyses
NMR analyses were recorded on a Bruker 400 MHz Avance III HD instrument equipped with a 5 mm SmartProbe Z-gradient probe operating at 400 MHz for 1H and 100 MHz for 13C, respectively, or on a Bruker 600 MHz Avance III HD instrument equipped with a 5 mm cryogenic CP-TCI Z-gradient probe operating at 600 MHz for 1H and 150 MHz for 13C (Bruker, Rheinstetten, Germany). Chemical shifts are in ppm relative to TMS (or CHCl3 shift), and coupling constants are in hertz (Hz). 1H- and 13C NMR spectra can be found in the Supplementary Materials.
3.11. Synthesis Protocols
3.11.1. Methyl 3-(4-(Oxiran-2-ylmethoxy)phenyl)propanoate (2)
To a stirred solution of methyl 3-(4-hydroxyphenyl)propanoate (1a) (0.25 g, 2.84 mmol) in dry MeCN (30 mL), K2CO3 (1.01 g, 7.40 mmol) and epichlorohydrin (0.44 mL, 5.68 mmol) were added. The mixture was heated under reflux for 45 h. Full conversion was detected by TLC (CH2Cl2:MeCN, 11:1, v/v), Rf (1a) = 0.39, Rf (2) = 0.66. The reaction mixture was filtered, and the filtrate was concentrated under reduced pressure. EtOAc (25 mL) was added, and the resulting solution was washed with distilled H2O (10 mL). The water phase was extracted with EtOAc (3 × 15 mL). The organic phases were combined, washed with saturated NaCl solution (20 mL) and dried over MgSO4. The crude mixture (0.62 g) was purified by flash chromatography (CH2Cl2:MeCN, 11:1, v/v) to afford 2 as a clear liquid in 68% yield (0.45 g, 1.92 mmol) and 99% purity (1H NMR). 1H NMR (600 MHz, CDCl3) δ: 7.10–7.12 (m, 2H, Ar-H), 6.83–6.86 (m, 2H, Ar-H), 4.19 (dd, 1H, 2J = 11.01 Hz, 3J = 3.20 Hz, CH2-O), 3.94 (dd, 1H, 2J = 11.01 Hz, 3J = 5.65 Hz, CH2-O), 3.66 (s, 3H, CH3), 3.34 (ddt, 1H, 2J = 2.70 Hz, 3J = 3.20 Hz, 3J = 5.65 Hz, CH-O), 2.88–2.91 (m, 3H, Ar-CH2/CH2-O), 2.75 (dd, 1H, 2J = 4.94, 3J = 2.70, CH2-O), 2.59 (t, 2H, CH2COOR). 13C NMR (150 MHz, CDCl3) δ: 173.4, 157.0, 133.2, 129.3, 114.7, 68.8, 51.6, 50.2, 44.7, 35.9, 30.1.
3.11.2. Methyl 3-(4-(3-Chloro-2-hydroxypropoxy)phenyl)propanoate (3)
To a stirred solution of methyl 3-(4-(oxiran-2-ylmethoxy)phenyl)propanoate (2) (0.44 g, 1.86 mmol) and LiCl (0.16 g, 3.72 mmol) in MeCN (10 mL), glacial AcOH (350 µL, 9.30 mmol) was added. The solution was stirred at rt for 47 h. The reaction was monitored by TLC (CH2Cl2:MeCN, 11:1, v/v), Rf (2) = 0.66, Rf (3) = 0.44. The reaction was quenched with Na2CO3 (aq) and extracted with CH2Cl2 (3 × 20 mL). The organic phase was washed with saturated NaCl solution (10 mL) and dried over MgSO4 before the solvent was removed under reduced pressure. Chlorohydrin 3 was obtained as a light-yellow oil in 96% yield (0.49 g, 1.79 mmol) and 96% purity (1H NMR). 1H NMR (600 MHz, CDCl3) δ: 7.11–7.14 (m, 2H, Ar-H), 6.83–6.85 (m, 2H, Ar-H), 4.18–4.23 (m, 1H, CH-OH), 4.04–4.09 (m, 2H, CH2-O), 3.71–3.79 (m, 2H, CH2-Cl), 3.66 (s, 3H, CH3), 2.90 (t, 2H, 3J = 7.92 Hz, CH2-Ar), 2.60 (t, 2H, 3J = 7.92 Hz, CH2COOR), 2.49–2.52 (m, 1H, -OH). 13C NMR (150 MHz, CDCl3) δ: 173.4, 156.8, 133.5, 129.4, 114.7, 68.9, 68.6, 51.6, 46.0, 36.0, 30.1.
3.11.3. 3,3′-(((2-Hydroxypropane-1,3-diyl)bis(oxy))bis(4,1-phenylene))dipropanoate (3d)
By the purification of epoxide 2 by flash chromatography (CH2Cl2:MeCN, 11:1, v/v), dimer 3d was isolated in 6% yield (33.2 mg, 0.08 mmol), purity 99% (HPLC). 1H NMR (600 MHz, CDCl3) δ: 7.10–7.13 (m, 4H, Ar-H), 6.84–6.89 (m, 4H, Ar-H), 4.34–4.37 (quint., 1H, 3J = 5.40 Hz), 4.09–4.15 (m, 4H, -CH2-O) 3.66 (s, 6H, -CH3), 2.88–2.91 (t, 4H, 3J = 7.85 Hz, -CH2-), 2.58–2.61 (t, 4H, 3J = 7.85 Hz, CH2), 2.55-2.56 (d, 1H, 3J = 5.10 Hz, -OH). 13C NMR (150 MHz, CDCl3) δ: 173.4 (2C), 156.0 (2C), 133.2 (2C), 129.4 (4C), 114.6 (4C), 68.9 (4C), 68.8 (1C), 51.6 (2C), 36.0 (4C), 30.1 (4C).
3.11.4. Synthesis of Chlorohydrin (R)-3 and Ester (S)-4 by CALB Catalysed Kinetic Resolution of Methyl 3-(4-(3-Chloro-2-hydroxypropoxy)phenyl)propanoate (3)
To a solution of methyl 3-(4-(3-chloro-2-hydroxypropoxy)phenyl)propanoate (3) (0.13 g, 0.49 mmol) in dry MeCN (10 mL) containing activated 4Å molecular sieves, vinyl butanoate (249 µL, 1.96 mmol) and CALB (150 mg) was added. The reaction vial was capped and placed in an incubator at 37 °C and stirred at 200 rpm for 48 h. The reaction mixture was filtered and the solvent was removed under reduced pressure before the separation of (R)-methyl 3-(4-(3-chloro-2-hydroxypropoxy)phenyl)propanoate ((R)-3) and (S)-1-chloro-3-(4-(3-methoxy-3-oxopropyl)phenoxy)propan-2-yl butanoate ((S)-4) by flash chromatography (n-pentane:EtOAc, 4:1, v/v). TLC (n-pentane:EtOAc, 4:1, v/v): Rf (3) = 0.15, Rf (4) = 0.51. Chlorohydrin (R)-3 was isolated as a clear oil in 43% yield (57 mg, 0.21 mmol), 99% purity (1H NMR) and 97% ee (HPLC), . (c 1.6, i-PrOH), (1H NMR of (R)-3 as for 3). Ester (S)-4 was obtained as a clear oil in 41% yield (68 mg, 0.20 mmol), 99% purity (1H NMR) and 87% ee, (c 1.4, i-PrOH). (S)-4: 1H-NMR (600 MHz, CDCl3) δ: 7.13–7.11 (m, 2H, Ar-H), 6.85–6.82 (m, 2H, Ar-H), 5.35–5.31 (quint., 1H, 3J = 5.16 Hz, CH), 4.16-4.11 (m, 2H, CH2-O-), 3.86–3.76 (m, 2H, CH2-Cl), 3.66 (s, 3H, CH3), 2.90–2.88 (t, 2H, 3J = 7.77 Hz, CH2-Ar), 2.61–2.58 (t, 2H, 3J = 7.77 Hz, CH2-CO2-), 2.34–2.32 (m, 2H, CH2-CO2), 1.71–1.64 (m, 2H, CH2-CH3), 0.99–0.95 (m, 3H, CH3); 13C NMR (150 MHz CDCl3) δ: 173.4, 172.9, 156.8, 133.5, 129.4 (2C), 114.7 (2C), 70.9, 66.2, 51.6, 42.6, 36.1, 36.0, 30.1, 13.6, 18.4.
3.11.5. Esmolol (5)
Methyl 3-(4-(3-chloro-2-hydro-xypropoxy)phenyl)propanoate (3) (24.7 mg, 0.09 mmol) was dissolved in MeOH (3 mL) and i-PrNH2 (157 µL, 1.84 mmol) was added. The mixture was stirred under reflux for 24 h. The reaction was monitored by TLC (CH2Cl2:MeCN, 11:1, v/v), Rf (5) = 0.16. The solvent was removed under reduced pressure, and the residue was diluted with EtOAc (50 mL) and washed with distilled H2O (2 × 20 mL) and NaHCO3 (aq). The organic phase was dried over MgSO4 and the solvent was removed under reduced pressure to afford racemic esmolol (5) as a pale-yellow solid in 86% yield (23.4 mg, 0.08 mmol), 88% purity (1H NMR). 1H NMR (600 MHz, CDCl3) δ: 7.08–7.10 (m, 2H, Ar-H), 6.82–6.84 (m, 2H, Ar-H), 3.98–4.00 (m, 1H, CH-OH), 3.92–3.96 (m, 1H, CH2O), 3.65 (s, 3H, CH3), 2.85–2.89 (m, 3H, CH2-Ar, CH-NH), 2.81 (p, 1H, 3J = 6.30 Hz, CHMe2), 2.70 (dd, 1H, 3J = 8.03 Hz, 2J = 12.14, CH-NH), 2.58 (t, 2H, 3J = 7.60, CH2COOR), 1.07 (d, 6H, 3J = 6.30 Hz, CH3). 13C NMR (150 MHz, CDCl3) δ: 173.5, 157.3, 133.0, 129.3, 114.7, 70.7, 68.6, 51.7, 49.5, 49.0, 36.0, 30.2, 23.2, 23.1.
3.11.6. (S)-Esmolol ((S)-5)
Following the procedure described above, and purification by preparative TLC (CH2Cl2:MeCN, 11:1, v/v), (R)-methyl 3-(4-(3-chloro-2-hydroxypropoxy)phenyl)propanoate ((R)-3) (38.0 mg, 0.14 mmol, 97% ee) was converted to (S)-esmolol (S)-5, as a clear oil in 92% yield (37.9 mg, 0.13 mmol), 99% purity (1H NMR) and 97% ee (HPLC), = −6.80 (c 1.03, CHCl3). (1H NMR, as for 5).
3.11.7. 1-Chloro-3-(2-cyclopentylphenoxy)propan-2-ol (8)
To a solution of NaOH (160 mg, 4.00 mmol) in distilled H2O (4 mL), was added 2-cyclopentylphenol (1b) (432 mg, 2.66 mmol). The reaction mixture was stirred for 1 min, and 2-(chloromethyl)oxirane (epichlorohydrin) (431 μL, 509 mg, 5.50 mmol) was added. The mixture was stirred at rt for 48 h. Distilled H2O (10 mL) was then added and the product was extracted with EtOAc (3 × 10 mL). The combined organic phases were washed with a saturated NaCl solution (10 mL), dried over anhydrous MgSO4, and the solvent was removed under reduced pressure, yielding 619 mg of a mixture of 2-cyclopentylphenol (1), 2-((2-cyclopentylphenoxy)methyl)oxirane (7) and 1-chloro-3-(2-cyclopentylphenoxy)propan-2-ol (8), as a slightly-yellow oil. A mixture of 7/8 (570 mg) was dissolved in THF (3 mL). AcOH (409 μL, 429 mg, 7.14 mmol) and LiCl (303 mg, 7.15 mmol) were added. The reaction mixture was stirred at rt for 24 h. The solution was then concentrated under reduced pressure. The obtained product was dissolved in EtOAc (10 mL) and washed with distilled H2O (10 mL). The aqueous phase was extracted with EtOAc (10 mL). The combined organic phases were washed with a saturated NaCl solution (10 mL), dried over anhydrous MgSO4, and the solvent was removed under reduced pressure. The product was purified by flash chromatography (n-pentane:EtOAc, 9:1, v/v), yielding chlorohydrin 8 as a colourless oil (435 mg, 1.71 mmol, 70% yield, 93% (1H NMR)). TLC (n-pentane:EtOAC, 9:1, v/v) Rf = 0.34 for product 8. 1H NMR (600 MHz, CDCl3) δ 7.24 (m, 1H, Ar-H), 7.16 (m, 1H, Ar-H), 6.96 (m, 1H, Ar-H), 6.86 (m, 1H, Ar-H), 4.25 (h, 3J = 5.3 Hz, 1H, CH-OH), 4.13 (dd, 2J = 9.4, 3J = 5.1 Hz, 1H, CH2O), 4.09 (dd, 2J = 9.4, 3J = 5.4 Hz, 1H, CH2O), 3.82 (dd, 2J = 11.2, 3J = 5.2 Hz, 1H, CH2Cl), 3.76 (dd, 2J = 11.2, 3J = 5.6 Hz, 1H, CH2Cl), 3.35–3.26 (m, 1H, CH), 2.48 (d, 3J = 6.2 Hz, 1H, OH), 2.04–1.56 (m, 8H). 13C NMR (151 MHz, CDCl3) δ 156.01, 134.89, 127.05, 126.84, 121.52, 111.67, 70.20, 68.79, 46.35, 39.19, 33.12, 25.62.
3.11.8. Synthesis of Chlorohydrin (R)-8 by CALB-Catalysed Kinetic Resolution of 1-Chloro-3-(2-cyclopentylphenoxy)propan-2-ol (8)
To a solution of 1-chloro-3-(2-cyclopentylphenoxy)propan-2-ol (8) (163 mg, 0.63 mmol) dissolved in dry MeCN (20 mL) activated molecular sieves (4Å), vinyl butanoate (408 μL, 364 mg, 3.18 mmol) and CALB (280 mg) were added. The mixture was placed in an incubator shaker (38 °C, 200 rpm) for 23 h. The enzymes and molecular sieves were filtered off and solvents were removed under reduced pressure. The obtained product was dissolved in EtOAc (10 mL) and was washed with distilled H2O (3 × 15 mL) and a saturated NaCl solution (10 mL). The solution was dried over anhydrous MgSO4, and the solvent was removed under reduced pressure. (R)-8 and (S)-9 were separated by flash chromatography (n-pentane:EtOAc, 9:1, v/v). (R)-8 was obtained as a colourless oil (63 mg, 0.243 mmol, 39% yield, 95% purity (1H NMR), ee = 99% (chiral HPLC)). = −14.00 (c 1.0, MeOH).
3.11.9. (S)-Penbutolol ((S)-10)
To a mixture of (R)-1-chloro-3-(2-cyclopentylphenoxy)propan-2-ol ((R)-8) (31 mg, 0.12 mmol) in MeOH (2 mL), was added tert-butylamine (0.18 mL, 0.13 g, 1.71 mmol). The mixture was stirred under reflux for 24 h, then concentrated under reduced pressure. The obtained product was dissolved in EtOAc (10 mL) and washed with distilled H2O (5 mL). The organic phase was dried over anhydrous MgSO4, and the solvent was removed under reduced pressure to give (S)-penbutolol ((S)-10) as a white solid (29 mg, 82% yield, 93% purity (1H NMR), ee = 99% (chiral HPLC)). = −14.00 (c 1.0, MeOH). 1H NMR (600 MHz, CDCl3) δ 7.22 (m, 1H, Ar-H), 7.17–7.11 (m, 1H, Ar-H), 6.92 (m, 1H, Ar-H), 6.85 (m, 1H, Ar-H), 4.05–4.00 (m, 1H, CH-OH), 3.97 (m, 2H, CH2O), 3.35–3.28 (m, 1H, CH), 2.88 (dd, 2J = 11.9, 3J = 3.7 Hz, 1H, CH2NH), 2.78–2.72 (m, 1H, CH2NH), 2.07–1.53 (m, 8H), 1.12 (s, 9H). 13C NMR (151 MHz, CDCl3) δ 156.48, 134.62, 126.78, 126.62, 120.84, 111.39, 70.61, 68.78, 50.32, 44.78, 39.30, 32.94, 32.87, 29.14, 25.46, 25.45.
3.11.10. (S)-Penbutolol Hydrochloride ((S)-10∙HCl)
(S)-Penbutolol ((S)-10) (10.0 mg) was dissolved in i-PrOH (40 μL), and a solution of HCl in i-PrOH (5 %, 80 μL) was added. The reaction was run for 1 h, and the solvent was removed under reduced pressure to give (S)-penbutolol∙HCl ((S)-10∙HCl) as a colourless solid (10.0 mg, 30.4 μmol, 89% yield, 93% purity (1H-NMR), ee = 99% (chiral HPLC)). = −23.00 (c 1.0, MeOH). 1H NMR (600 MHz, CDCl3) δ 9.81 (s, 1H), 8.32 (s, 1H), 7.22 (m, 1H, Ar-H), 7.13 (m, 1H, Ar-H), 6.93 (m, 1H, Ar-H), 6.80 (m, 1H, Ar-H), 4.69–4.60 (m, 1H, CH-OH), 4.12 (dd, 2J = 9.5, 3J = 4.3 Hz, 1H, CH2O), 3.98 (dd, 2J = 9.6, 3J = 6.4 Hz, 1H, CH2O), 3.34 (m, 2H, CH2NH), 3.11 (m, 1H, CH), 2.04–1.54 (m, 8H), 1.50 (s, 9H). 13C NMR (151 MHz, CDCl3) δ 155.98, 134.55, 126.74, 126.70, 121.19, 111.33, 69.66, 65.83, 57.57, 45.92, 39.15, 32.89, 32.88, 25.90, 25.32.
4. Conclusions
A four-step synthesis of (S)-esmolol ((S)-5) in 26% overall yield and 97% ee has been performed from the starting materials methyl 3-(4-hydroxyphenyl)propanoate and epichlorohydrin. We have reported a specific rotation for (S)-esmolol ((S)-5) of = −6.80 (c 1.03, CHCl3), disputing the previously reported positive specific rotation value. A five-step synthesis of (S)-penbutolol ((S)-10) in 99% ee and (S)-penbutolol hydrochloride ((S)-10∙HCl) in 20% overall yield and 99% ee have been performed. Both specific rotation values for (S)-penbutolol ((S)-10) and (S)-penbutolol hydrochloride ((S)-10∙HCl) have been determined and are consistent with previously reported data. CALB-catalysed kinetic resolution of chlorohydrin precursors 3 and 8 in acetonitrile is an efficient method to obtain the enantiopure building blocks (R)-3 and (R)-8. The yield of these compounds is limited to 50% due to the kinetic resolution step, but it could be further increased up to 100% by using special techniques, such as dynamic kinetic resolution [4]. We have shown that the thorough monitoring of these processes, with a focus on reducing reaction chemicals and replacing hazardous chemicals, leads to greener processes. We have previously shown that CALB can be reused up to six times with no loss of activity or selectivity [18].
Supplementary Materials
The following supporting information can be downloaded at: https://www.mdpi.com/article/10.3390/catal12090980/s1; 1H and 13C NMR spectra, relevant MS spectra and chiral HPLC chromatograms.
Author Contributions
Investigation, writing, original draft preparation, E.E.J.; supervision and writing, review and editing, E.E.J.; investigation, data curation and partly writing of manuscript S.H.T., L.B., A.L.T., K.K. All authors have read and agreed to the published version of the manuscript.
Funding
This work was financially supported by The Education, Scholarship, Apprenticeships and Youth Entrepreneurship Programmer—EEA Grants 2014-2021, Project No. 18-Cop-0041.
Data Availability Statement
The data presented in this study are available online.
Acknowledgments
This publication was realised with the EEA Financial Mechanism 2014–2021 financial support, project no 18-COP-0041. Its content (text, photos, videos) does not reflect the official opinion of the Programme Operator, the National Contact Point and the Financial Mechanism Office. Responsibility for the information and views expressed therein lies entirely with the authors. Syncozymes Co LTD, Shanghai, China is thanked for gift of CALB.
Conflicts of Interest
The authors declare no conflict of interest.
References
- Lund, I.T.; Bøckmann, P.L.; Jacobsen, E.E. Highly enantioselective CALB-catalyzed kinetic resolution of building blocks for β-blocker atenolol. Tetrahedron 2016, 72, 7288–7292. [Google Scholar] [CrossRef]
- Blindheim, F.H.; Hansen, M.B.; Evjen, S.; Zhu, W.; Jacobsen, E.E. Chemoenzymatic Synthesis of Synthons as Precursors for Enantiopure Clenbuterol and Other β2-Agonists. Catalysts 2018, 8, 516. [Google Scholar] [CrossRef]
- Gundersen, M.A.; Austli, G.B.; Løvland, S.S.; Hansen, M.B.; Rødseth, M.; Jacobsen, E.E. Lipase Catalyzed Synthesis of Enantiopure Precursors and Derivatives for β-Blockers Practolol, Pindolol and Carteolol. Catalysts 2021, 11, 503. [Google Scholar] [CrossRef]
- Verho, O.; Bäckvall, J.-E. Chemoenzymatic Dynamic Kinetic Resolution: A Powerful Tool for the Preparation of Enantiomerically Pure Alcohols and Amines. J. Am. Chem. Soc. 2015, 137, 3996–4009. [Google Scholar] [CrossRef] [PubMed]
- Maisel, W.H.; Friedman, P.L. Esmolol and Other Intravenous Beta-Blockers. Card. Electrophysiol. Rev. 2000, 4, 240–242. [Google Scholar] [CrossRef]
- Esmolol. Available online: https://www.legemiddelhandboka.no (accessed on 1 August 2022).
- Banoth, L.; Banerjee, U.C. New chemical and chemo-enzymatic synthesis of (RS)-, (R)-, and (S)-esmolol. Arab. J. Chem. 2017, 10, S3603–S3613. [Google Scholar] [CrossRef]
- Narsaiah, A.V.; Kumar, J.K. Novel Asymmetric Synthesis of (S)-Esmolol Using Hydrolytic Kinetic Resolution. Synth. Commun. 2011, 41, 1603–1608. [Google Scholar] [CrossRef]
- Byrne, F.P.; Jin, S.; Paggiola, G.; Petchey, T.H.M.; Clark, J.H.; Farmer, T.J.; Hunt, A.J.; McElroy, C.R.; Sherwood, J. Tools and techniques for solvent selection: Green solvent selection guides. Sustain. Chem. Process. 2016, 4, 7. [Google Scholar] [CrossRef]
- Hamaguchi, S.; Asada, M.; Hasegawa, J.; Watanabe, K. Asymmetric hydrolysis of racemic 2-oxazolidinone esters with lipases. Agric. Biol. Chem. 1984, 48, 2331–2337. [Google Scholar] [CrossRef]
- Ader, U.; Schneider, M.P. Enzyme assisted preparation of enantiomerically pure β-adrenergic blockers III. Optically active chlorohydrin derivatives and their conversion. Tetrahedron Asymmetry 1992, 3, 521–524. [Google Scholar] [CrossRef]
- Phukan, P.; Sudalai, A. Regioselective alkylation of phenol with cyclopentanol over montmorillonite k10: An efficient synthesis of 1-(2-cyclopentylphenoxy)-3-[(1,1-dimethylethyl) amino] propan-2-ol {(S)-penbutolol}. J. Chem. Soc. Perkin Trans. 1999, 20, 3015–3018. [Google Scholar] [CrossRef]
- Klunder, J.M.; Onami, T.; Sharpless, K.B. Arenesulfonate derivatives of homochiral glycidol: Versatile chiral building blocks for organic synthesis. J. Org. Chem. 1989, 54, 1295–1304. [Google Scholar] [CrossRef]
- Kan, K.; Miyama, A.; Hamaguchi, S.; Ohashi, T.; Watanabe, K. Synthesis of (S)-β-Blockers from (S)-5-Hydroxymethyl-3-tert butyl-2-oxazolidinone or (S)-5-Hydroxymethyl-3-isopropyl-2-oxazolidinone. Agric. Biol. Chem. 1985, 49, 207–210. [Google Scholar] [CrossRef]
- Bevinakatti, H.S.; Banerji, A.A. Lipase Catalysis in Organic Solvents. Application to the Synthesis of (R)- and (S)-Atenolol. J. Org. Chem. 1992, 57, 6003–6005. [Google Scholar] [CrossRef]
- Anthonsen, H.W.; Hoff, B.H.; Anthonsen, T. Calculation of enantiomer ratio and equilibrium constants in biocatalytic ping-pong bi-bi resolutions. Tetrahedron Asymmetry 1996, 7, 2633–2638. [Google Scholar] [CrossRef]
- Jacobsen, E.E.; Hoff, B.H.; Anthonsen, T. Enantiopure derivatives of 1,2-alkanediols: Substrate requirements of lipase B from Candida antarctica. Chirality 2000, 12, 654–659. [Google Scholar] [CrossRef]
- Moen, A.R.; Hoff, B.H.; Hansen, L.K.; Anthonsen, T.; Jacobsen, E.E. Absolute configurations of monoesters produced by enz-yme catalyzed hydrolysis of diethyl 3-hydroxyglutarate. Tetrahedron Asymmetry 2004, 15, 1551–1554. [Google Scholar] [CrossRef]
Publisher’s Note: MDPI stays neutral with regard to jurisdictional claims in published maps and institutional affiliations. |
© 2022 by the authors. Licensee MDPI, Basel, Switzerland. This article is an open access article distributed under the terms and conditions of the Creative Commons Attribution (CC BY) license (https://creativecommons.org/licenses/by/4.0/).




