Biosynthesis of 4-hydroxybenzylideneacetone by Whole-Cell Escherichia coli
Abstract
:1. Introduction
2. Results and Discussion
2.1. Effect of Reaction Media on the Biosynthesis of 4-HBA
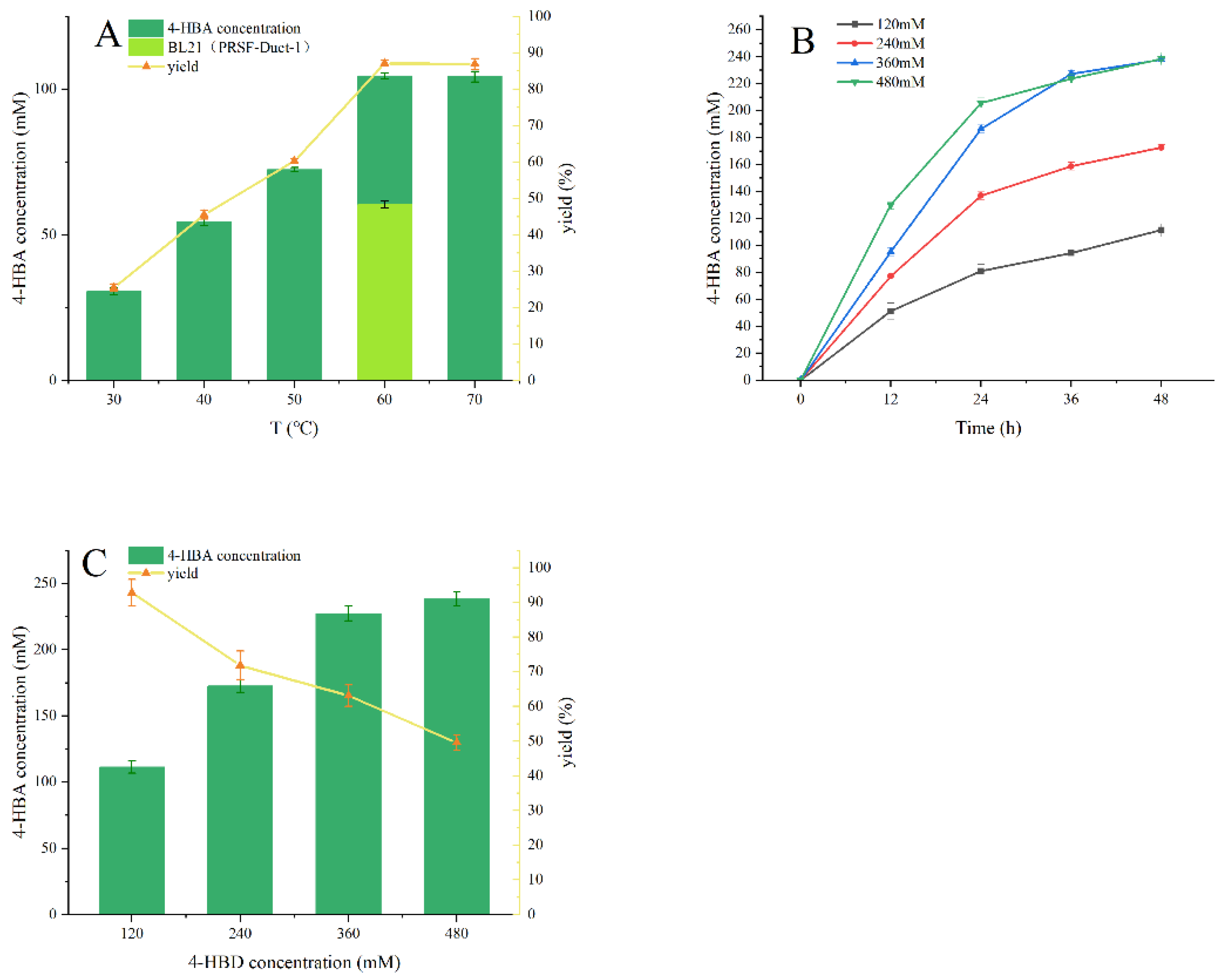
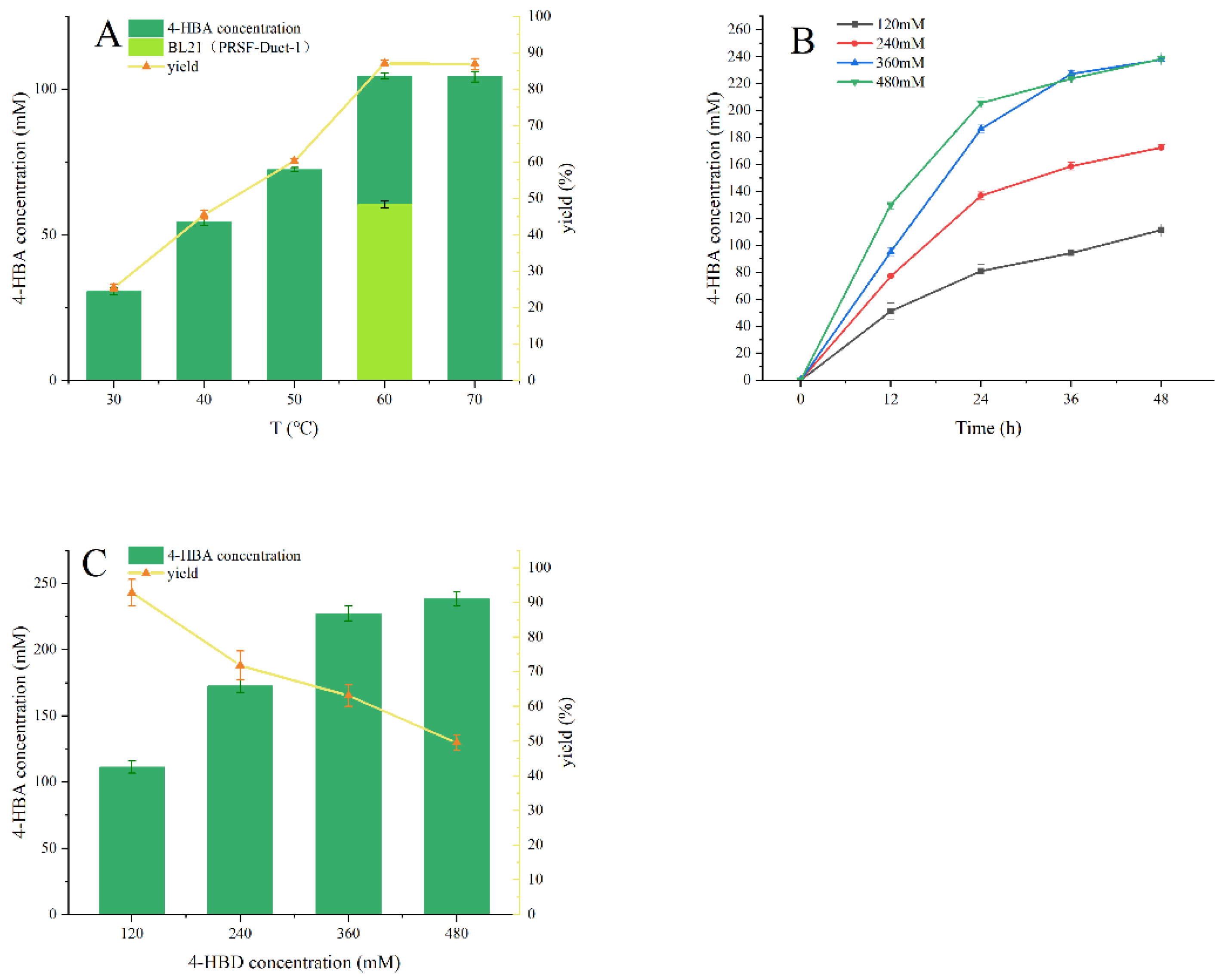
2.2. Biosythesis of 4-HBA from 4-HBD
2.3. Fed-Batch Strategy for Improved Biosynthesis of 4-HBA
2.4. Biosynthesis of 4-HBA by Immobilized Cells
3. Materials and Methods
3.1. Strains, Plasmids, Primers, and Chemicals
3.2. Construction of Gene Overexpression Plasmid
3.3. Preparation of Whole-Cell Biocatalysts
3.3.1. Medium and Culture Conditions
3.3.2. Preparation of Whole-Cell Biocatalysts
3.4. Biosynthesis of 4-HBA
Fed-Batch Biosynthesis of 4-HBA
3.5. Biosynthesis of 4-HBA by the Immobilized Cells
3.6. Analysis Method
4. Conclusions
5. Patents
Supplementary Materials
Author Contributions
Funding
Data Availability Statement
Conflicts of Interest
References
- Häkkinen, S.T.; Seppänen-Laakso, T.; Oksman-Caldentey, K.-M.; Rischer, H. Bioconversion to raspberry ketone is achieved by several non-related plant cell cultures. Front Plant Sci. 2015, 6, 1035. [Google Scholar] [CrossRef] [PubMed]
- Zhu, X.-X.; Li, Y.-J.; Yang, L.; Zhang, D.; Chen, Y.; Kmonickova, E.; Weng, X.-G.; Yang, Q.; Zídek, Z. Divergent immunomodulatory effects of extracts and phenolic compounds from the fern Osmunda japonica Thunb. Chin. J. Integr. Med. 2013, 19, 761–770. [Google Scholar] [CrossRef] [PubMed]
- Krings, U.; Berger, R. Biotechnological production of flavours and fragrances. Appl. Microbiol. Biot. 1998, 49, 1–8. [Google Scholar] [CrossRef] [PubMed]
- Chang, C.; Liu, B.; Bao, Y.; Tao, Y.; Liu, W. Efficient bioconversion of raspberry ketone in Escherichia coli using fatty acids feedstocks. Microb. Cell Fact. 2021, 20, 68. [Google Scholar] [CrossRef] [PubMed]
- Chapman, J.; Ismail, A.E.; Dinu, C.Z. Industrial applications of enzymes: Recent advances, techniques, and outlooks. Catalysts 2018, 8, 238. [Google Scholar] [CrossRef]
- Machajewski, T.D.; Wong, C.H. The catalytic asymmetric aldol reaction. Angew. Chem. Int. Ed. 2000, 39, 1352–1375. [Google Scholar] [CrossRef]
- Branneby, C.; Carlqvist, P.; Magnusson, A.; Hult, K.; Brinck, T.; Berglund, P. Carbon-carbon bonds by hydrolytic enzymes. J. Am. Chem. Soc. 2003, 125, 874–875. [Google Scholar] [CrossRef]
- Li, C.; Feng, X.-W.; Wang, N.; Zhou, Y.-J.; Yu, X.-Q. Biocatalytic promiscuity: The first lipase-catalysed asymmetric aldol reaction. Green Chem. 2008, 10, 616–618. [Google Scholar] [CrossRef]
- Voutilainen, S.; Heinonen, M.; Andberg, M.; Jokinen, E.; Maaheimo, H.; Pääkkönen, J.; Hakulinen, N.; Rouvinen, J.; Lähdesmäki, H.; Kaski, S. Substrate specificity of 2-deoxy-D-ribose 5-phosphate aldolase (DERA) assessed by different protein engineering and machine learning methods. Appl. Microbiol. Biot. 2020, 104, 10515–10529. [Google Scholar]
- Ošlaj, M.; Cluzeau, J.; Orkić, D.; Kopitar, G.; Mrak, P.; Časar, Z. A highly productive, whole-cell DERA chemoenzymatic process for production of key lactonized side-chain intermediates in statin synthesis. PLoS ONE 2013, 8, e62250. [Google Scholar]
- DeSantis, G.; Liu, J.; Clark, D.P.; Heine, A.; Wilson, I.A.; Wong, C.-H. Structure-based mutagenesis approaches toward expanding the substrate specificity of D-2-deoxyribose-5-phosphate aldolase. Bioorganic Med. Chem. 2003, 11, 43–52. [Google Scholar] [CrossRef]
- Fei, H.; Zheng, C.-C.; Liu, X.-Y.; Li, Q. An industrially applied biocatalyst: 2-Deoxy-d-ribose-5-phosphate aldolase. Process Biochem. 2017, 63, 55–59. [Google Scholar] [CrossRef]
- Feron, G.; Mauvais, G.; Martin, F.; Semon, E.; Blin-Perrin, C. Microbial production of 4-hydroxybenzylidene acetone, the direct precursor of raspberry ketone. Lett. Appl. Microbiol. 2007, 45, 29–35. [Google Scholar] [CrossRef] [PubMed]
- Lin, B.; Tao, Y. Whole-cell biocatalysts by design. Microb. Cell Factories 2017, 16, 106. [Google Scholar] [CrossRef] [PubMed]
- Wachtmeister, J.; Mennicken, P.; Hunold, A.; Rother, D. Modularized Biocatalysis: Immobilization of Whole Cells for Preparative Applications in Microaqueous Organic Solvents. Chemcatchem 2016, 8, 607–614. [Google Scholar] [CrossRef]
- Wachtmeister, J.; Rother, D. Recent advances in whole cell biocatalysis techniques bridging from investigative to industrial scale. Curr. Opin. Biotechnol. 2016, 42, 169–177. [Google Scholar] [CrossRef]
- Rüdiger, J.; Schwab, W. Improving an Escherichia coli-based biocatalyst for terpenol glycosylation by variation of the expression system. J. Ind. Microbiol. Biotechnol. 2019, 46, 1129–1138. [Google Scholar] [CrossRef]
- Rouvinen, J.; Andberg, M.; Pääkkönen, J.; Hakulinen, N.; Koivula, A. Current state of and need for enzyme engineering of 2-deoxy-D-ribose 5-phosphate aldolases and its impact. Appl. Microbiol. Biot. 2021, 105, 6215–6228. [Google Scholar] [CrossRef]
- Haridas, M.; Abdelraheem, E.M.; Hanefeld, U. 2-Deoxy-d-ribose-5-phosphate aldolase (DERA): Applications and modifications. Appl. Microbiol. Biotechnol. 2018, 102, 9959–9971. [Google Scholar] [CrossRef]
- Chambre, D.; Guérard-Hélaine, C.; Darii, E.; Mariage, A.; Petit, J.-L.; Salanoubat, M.; de Berardinis, V.; Lemaire, M.; Hélaine, V. 2-Deoxyribose-5-phosphate aldolase, a remarkably tolerant aldolase towards nucleophile substrates. Chem. Commun. 2019, 55, 7498–7501. [Google Scholar] [CrossRef]
- Milker, S.; Pätzold, M.; Bloh, J.; Holtmann, D. Comparison of deep eutectic solvents and solvent-free reaction conditions for aldol production. Mol. Catal. 2019, 466, 70–74. [Google Scholar] [CrossRef]
- Dick, M.; Weiergräber, O.H.; Classen, T.; Bisterfeld, C.; Bramski, J.; Gohlke, H.; Pietruszka, J. Trading off stability against activity in extremophilic aldolases. Sci. Rep. 2016, 6, 17908. [Google Scholar] [CrossRef] [PubMed] [Green Version]
- Wang, C.C.; Zheng, P.; Chen, P.C. Construction of synthetic pathways for raspberry ketone production in engineered Escherichia coli. Appl. Microbiol. Biot. 2019, 103, 3715–3725. [Google Scholar] [CrossRef] [PubMed]





Publisher’s Note: MDPI stays neutral with regard to jurisdictional claims in published maps and institutional affiliations. |
© 2022 by the authors. Licensee MDPI, Basel, Switzerland. This article is an open access article distributed under the terms and conditions of the Creative Commons Attribution (CC BY) license (https://creativecommons.org/licenses/by/4.0/).
Share and Cite
Zhu, X.; Chen, P.; Zheng, P. Biosynthesis of 4-hydroxybenzylideneacetone by Whole-Cell Escherichia coli. Catalysts 2022, 12, 997. https://doi.org/10.3390/catal12090997
Zhu X, Chen P, Zheng P. Biosynthesis of 4-hydroxybenzylideneacetone by Whole-Cell Escherichia coli. Catalysts. 2022; 12(9):997. https://doi.org/10.3390/catal12090997
Chicago/Turabian StyleZhu, Xingmiao, Pengcheng Chen, and Pu Zheng. 2022. "Biosynthesis of 4-hydroxybenzylideneacetone by Whole-Cell Escherichia coli" Catalysts 12, no. 9: 997. https://doi.org/10.3390/catal12090997
APA StyleZhu, X., Chen, P., & Zheng, P. (2022). Biosynthesis of 4-hydroxybenzylideneacetone by Whole-Cell Escherichia coli. Catalysts, 12(9), 997. https://doi.org/10.3390/catal12090997
