Catalyzed Methods to Synthesize Pyrimidine and Related Heterocyclic Compounds
Abstract
1. Introduction
2. Strategies to Compose the Pyrimidine Core
2.1. Two-Component Cycloadditions
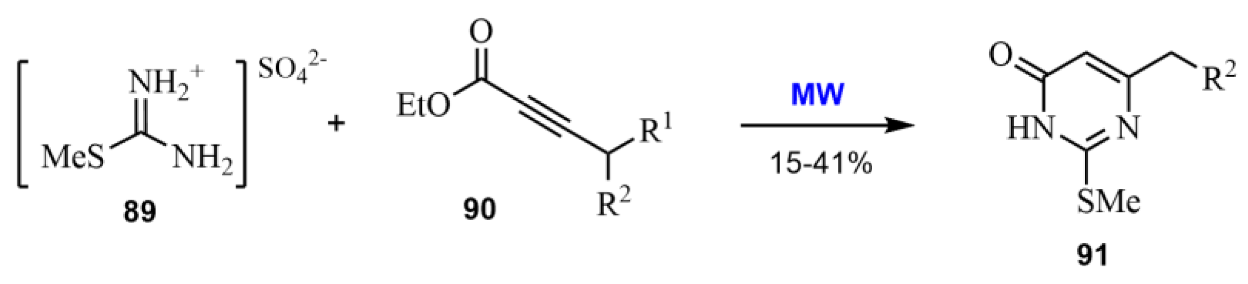
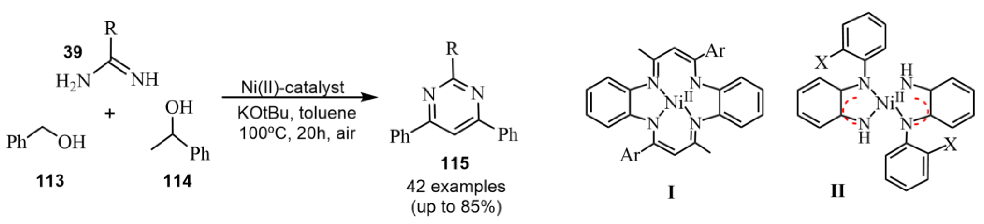
2.1.1. [5+1] Cycloadditions
2.1.2. [4+2] Cycloadditions
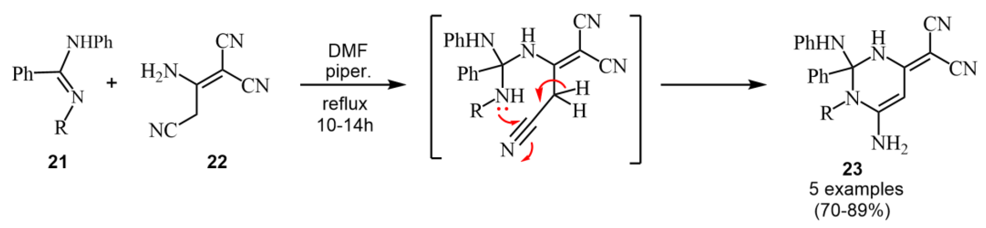
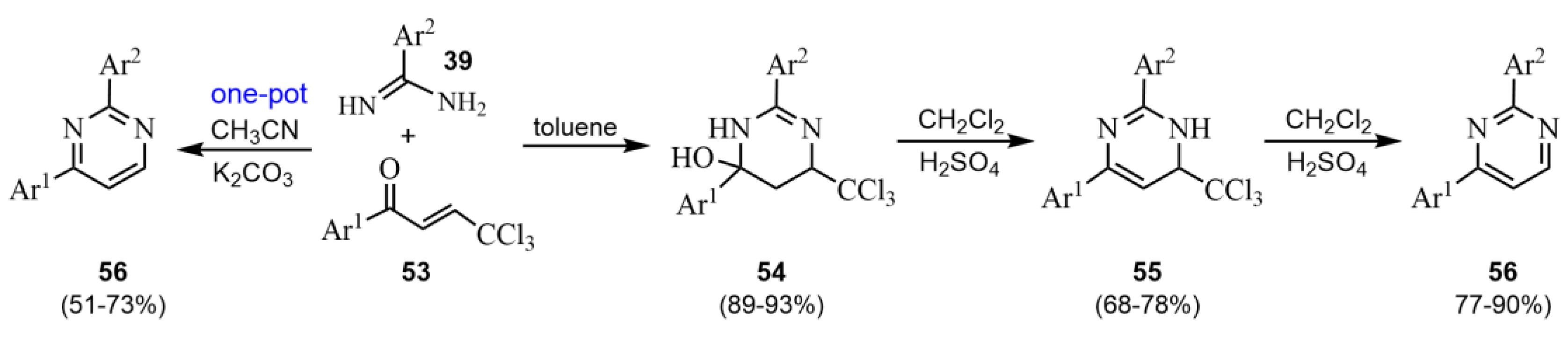
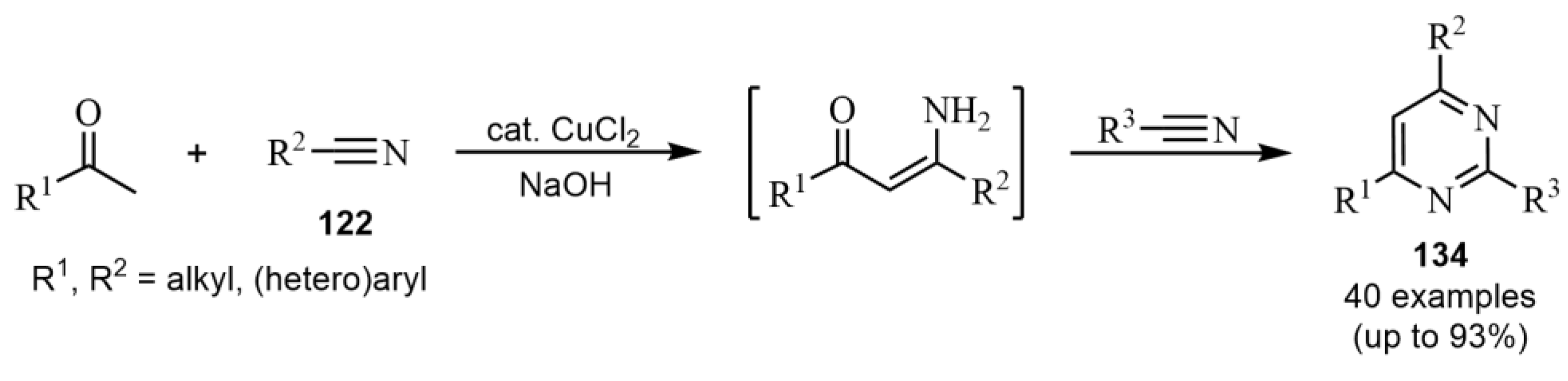
2.1.3. [3+3] Cycloadditions
2.2. Three-Component Cycloadditions
2.2.1. [4+1+1] Cycloadditions
2.2.2. [3+2+1] Cycloadditions
2.2.3. [2+2+2] Cycloadditions
2.3. Four-Component Cycloadditions
2.4. Pseudo Five-Component Cycloadditions
[2+1+1+1+1] Cycloadditions
2.5. Miscellaneous
3. Conclusions
Author Contributions
Funding
Data Availability Statement
Conflicts of Interest
References
- Kaur, R.; Caudhary, S.; Kumar, K.; Gupta, M.K.; Rawal, R.K. Recent synthetic and medicinal perspectives of dihydropyrimidinones: A review. Eur. J. Med. Chem. 2017, 132, 108–134. [Google Scholar] [CrossRef] [PubMed]
- Jubeen, F.; Iqbal, S.Z.; Shafiq, N.; Khan, M.; Parveen, S.; Iqbal, M.; Nazir, A. Eco-friendly synthesis of pyrimidines and its derivatives: A review on broad spectrum bioactive moiety with huge therapeutic profile. Synth. Commun. 2018, 48, 601–625. [Google Scholar] [CrossRef]
- Rashid, H.; Utrera-Martines, M.A.; Pereira-Duarte, A.; Jorge, J.; Rasool, S.; Muhammad, R.; Ahmad, N.; Umar, M.N. Research developments in the syntheses, antiinflammatory activities and structure–activity relationships of pyrimidines. RSC Adv. 2021, 11, 6060–6098. [Google Scholar] [CrossRef] [PubMed]
- Kumar, A.; Siwach, A.; Verma, P. An Overview of the Synthetic Route to the Marketed Formulations of Pyrimidine: A Review. Mini Rev. Med. Chem. 2022, 22, 884–903. [Google Scholar] [CrossRef] [PubMed]
- Narwal, S.; Kumar, S.; Verma, P.K. Design, synthesis and antimicrobial evaluation of pyrimidin-2-ol/thiol/amine analogues. Chem. Cent. J. 2017, 11, 52. [Google Scholar] [CrossRef]
- Zarenezhad, E.; Farjam, M.; Iraji, A. Synthesis and biological activity of pyrimidines-containing hybrids: Focusing on pharmacological application. J. Mol. Struct. 2021, 1230, 129833. [Google Scholar] [CrossRef]
- Sahu, M.; Siddiqui, N. A review on biological importance of pyrimidines in the new era. Int. J. Pharm. Pharm. Sci. 2016, 8, 8–21. [Google Scholar]
- Patil, S.B. Biological and medicinal significance of pyrimidines: A review. Int. J. Pharm. Sci. Res. 2018, 9, 44–52. [Google Scholar] [CrossRef]
- Verma, V.; Joshi, C.P.; Agarwal, A.; Soni, S.; Kataria, U. A Review on pharmacological aspects of pyrimidine derivatives. J. Drug Deliv. Ther. 2020, 10, 358–361. [Google Scholar] [CrossRef]
- Filho, E.V.; Pinheiro, E.M.C.; Pinheiro, S.; Greco, S.J. Aminopyrimidines: Recent synthetic procedures and anticancer activities. Tetrahedron 2021, 92, 132256. [Google Scholar] [CrossRef]
- Basha, N.J.; Goudgaon, N.M. A comprehensive review on pyrimidine analogs-versatile scaffold with medicinal and biological potential. J. Mol. Struct. 2021, 1246, 131168. [Google Scholar] [CrossRef]
- Nerkar, A.U. Use of pyrimidine and its derivative in pharmaceuticals: A review. J. Adv. Chem. Sci. 2021, 7, 729–732. [Google Scholar] [CrossRef]
- Devi, M.; Jaiswal, S.; Jain, S.; Kaur, N.; Dwivedi, J. Synthetic and biological attributes of pyrimidine derivatives: A recent update. Curr. Org. Synth. 2021, 18, 790–825. [Google Scholar] [CrossRef] [PubMed]
- Neto, B.A.D.; Rocha, R.O.; Rodrigues, M.O. Catalytic Approaches to multicomponent reactions: A critical review and perspectives on the roles of catalysis. Molecules 2022, 27, 132. [Google Scholar] [CrossRef]
- Gore, R.P.; Rajput, A.P. A review on recent progress in multicomponent reactions of pyrimidine synthesis. Drug Invent. Today 2013, 5, 148–152. [Google Scholar] [CrossRef]
- Alvim, H.G.O.; da Silva Junior, E.N.; Neto, B.A.D. What do we know about multicomponent reactions? Mechanisms and trends for the Biginelli, Hantzsch, Mannich, Passerini and Ugi MCRs. RSC Adv. 2014, 4, 54282–54299. [Google Scholar] [CrossRef]
- Hantzsch, A. Ueber die Synthese pyridinartiger Verbindungen aus Acetessigäther und Aldehydammoniak. Justus Liebigs Ann. Chem. 1882, 215, 1. [Google Scholar] [CrossRef]
- Biginelli, P. Aldehyde-urea derivatives of aceto- and oxaloacetic acids. Gazz Chim. Ital. 1893, 23, 360–416. [Google Scholar]
- Kappe, C.O. 100 Years of the Biginelli dihydropyrimidine synthesis. Tetrahedron 1993, 49, 6937–6963. [Google Scholar] [CrossRef]
- Panda, S.S.; Khanna, P.; Khanna, L. Biginelli reaction: A green perspective. Curr. Org. Chem. 2012, 16, 507–520. [Google Scholar] [CrossRef]
- Sandhu, J.S. Past, present and future of the Biginelli reaction: A critical perspective. ARKIVOC 2012, i, 66–133. [Google Scholar] [CrossRef]
- Mohammadi, B.; Behbahani, F.K. Recent developments in the synthesis and applications of dihydropyrimidin-2(1H)-ones and thiones. Mol. Divers. 2018, 22, 405–446. [Google Scholar] [CrossRef] [PubMed]
- Kappe, C.O. Biologically active dihydropyrimidones of the Biginelli-type-A literature survey. Eur. J. Med. Chem. 2000, 35, 1043–1052. [Google Scholar] [CrossRef] [PubMed]
- Marinescu, M. Biginelli reaction mediated synthesis of antimicrobial pyrimidine derivatives and their therapeutic properties. Molecules 2021, 26, 6022. [Google Scholar] [CrossRef]
- Elkanzi, N.A.A.; Zahou, F.M. Mini review on synthesis of different pyrimidine derivatives and their biological activity. Heterocycl. Lett. 2020, 10, 131–151. [Google Scholar] [CrossRef]
- Sasada, T.; Aoki, Y.; Ikeda, R.; Sakai, N.; Konakahara, T. Synthesis of tri- or tetrasubstituted pyrimidine derivatives through the [5+1] annulation of enamidines with either N,N-dimethylformamide dialkyl acetals or orthoesters and their application in a ring transformation of pyrimidines to pyrido[2,3-d]pyrimidin-5-one derivatives. Chem. Eur. J. 2011, 17, 9385–9394. [Google Scholar] [CrossRef] [PubMed]
- Santos Neto, J.S.; Zeni, G. Ten years of progress in the synthesis of six-membered N-heterocycle from alkynes and nitrogen sources. Tetrahedron 2020, 76, 130876. [Google Scholar] [CrossRef]
- Yavari, I.; Nematpour, M. Copper-Catalyzed Tandem Synthesis of Tetrasubstituted Pyrimidines from Alkynes, Sulfonyl Azides, Trichloroacetonitrile, and Tetramethylguanidine. Synlett 2013, 24, 165–168. [Google Scholar] [CrossRef]
- Medina-Mercado, I.; Zaragoza-Galicia, I.; Olivo, H.F.; Romero-Ortega, M. 2-Trifluoromethyl-1,3-diazabutadienes as useful intermediates for the construction of 2-trifluoromethylpyrimidine derivatives. Synthesis 2018, 50, 4133–4139. [Google Scholar] [CrossRef]
- Zhang, F.-G.; Chen, Z.; Tang, X.; Ma, J.-A. Triazines: Syntheses and inverse electron-demand Diels-Alder reactions. Chem. Rev. 2021, 121, 14555–14593. [Google Scholar] [CrossRef]
- Yang, G.; Jia, Q.; Chen, L.; Du, Z.; Wang, J. Direct access to pyrimidines through organocatalytic inverse-electron-demand Diels-Alder reaction of ketones with 1,3,5-triazine. RSC Adv. 2015, 5, 76759–76763. [Google Scholar] [CrossRef]
- Yang, K.; Dang, Q.; Cai, P.-J.; Gao, Y.; Yu, Z.-X.; Bai, X. Reaction of aldehydes/ketones with electron-deficient 1,3,5-triazines leading to functionalized pyrimidines as Diels-Alder/Retro-Diels-Alder reaction products: Reaction development and mechanistic studies. J. Org. Chem. 2017, 82, 2336–2344. [Google Scholar] [CrossRef] [PubMed]
- Guo, W.; Zhao, M.; Tan, W.; Zheng, L.; Tao, K.; Fan, X. Developments towards synthesis of N-heterocycles from amidines via C-N/C-C bond formation. Org. Chem. Front. 2019, 6, 2120–2141. [Google Scholar] [CrossRef]
- Aly, A.A.; Bräse, S.; Gomaa, M.A.-M. Amidines: Their synthesis, reactivity, and applications in heterocycle synthesis. ARKIVOC 2018, 6, 85–138. [Google Scholar] [CrossRef]
- Elkanzi, N.A.A.; Aly, A.A.; Shawky, A.M.; El-Sheref, E.A.; Morsy, N.M.; El-Reedy, A.A.M. Amination of malononitrile dimer to amidines: Synthesis of 6-aminopyrimidines. J. Heterocycl. Chem. 2016, 53, 1941–1944. [Google Scholar] [CrossRef]
- Oberg, K.M.; Rovis, T. Enantioselective Rhodium-Catalyzed [4+2] Cycloaddition of α,β-Unsaturated Imines and Isocyanates. J. Am. Chem. Soc. 2011, 133, 4785–4787. [Google Scholar] [CrossRef]
- Gayon, E.; Szymczyk, M.; Gérard, H.; Vrancken, E.; Campagne, J.M. Stereoselective and catalytic access to β-enaminones: An entry to pyrimidines. J. Org. Chem. 2012, 77, 9205–9220. [Google Scholar] [CrossRef] [PubMed]
- Pucheta, J.E.H.; Candy, M.; Colin, O.; Requet, A.; Bourdreux, F.; Galmiche-Loire, E.; Gaucher, A.; Thomassigny, C.; Prim, D.; Mahfoudh, M.; et al. Understand, elucidate and rationalize the coordination mode of pyrimidylmethylamines: An intertwined study combining NMR and DFT methods. Phys. Chem. Chem. Phys. 2015, 17, 8740–8749. [Google Scholar] [CrossRef]
- Anderson, E.D.; Boger, D.L. Inverse electron demand Diels-Alder reactions of 1,2,3-triazines: Pronounced substituent effects on reactivity and cycloaddition scope. J. Am. Chem. Soc. 2011, 133, 12285–12292. [Google Scholar] [CrossRef]
- Glinkerman, C.M.; Boger, D.L. Cycloadditions of 1,2,3-Triazines bearing C5-electron donating substituents: Robust pyrimidine synthesis. Org. Lett. 2015, 17, 4002–4005. [Google Scholar] [CrossRef]
- Pinner, A.; Klein, F. Umwandlung der Nitrile in Imide. Ber. Dtsch. Chem. Ges. 1877, 10, 1889–1897. [Google Scholar] [CrossRef]
- Vidal, M.; Arriagada, M.G.; Rezende, M.C.; Domínguez, M. Ultrasoundpromoted synthesis of 4 pyrimidinols and their tosyl derivatives. Synlett 2016, 48, 4246–4252. [Google Scholar] [CrossRef]
- Mahfoudh, M.; Abderrahim, R.; Leclerc, E.; Campagne, J.M. Recent approaches to the synthesis of pyrimidine derivatives. Eur. J. Org. Chem. 2017, 20, 2856–2865. [Google Scholar] [CrossRef]
- Jiao, Y.; Ho, S.L.; Cho, C.S. Copper-powder-catalyzed synthesis of pyrimidines from β-bromo α,β-unsaturated ketones and amidine hydrochlorides. Synlett 2015, 26, 1081–1084. [Google Scholar] [CrossRef]
- Ho, S.L.; Cho, C.S. Microwave-assisted copper-powder-catalyzed synthesis of pyrimidinones from β-bromo α,β-unsaturated carboxylic acids and amidines. Synlett 2013, 24, 2705–2708. [Google Scholar] [CrossRef]
- Vadagaonkar, K.S.; Kalmode, H.P.; Prakash, S.; Chaskar, A.C. Greener [3+3] tandem annulation-oxidation approach towards the synthesis of substituted pyrimidines. New J. Chem. 2015, 39, 3639–3645. [Google Scholar] [CrossRef]
- Hu, M.; Wu, J.; Zhang, Y.; Qiu, F.; Yu, Y. Synthesis of polysubstituted 5-aminopyrimidines from α-azidovinyl ketones and amidines. Tetrahedron 2011, 67, 2676–2680. [Google Scholar] [CrossRef]
- Guirado, A.; Alarcon, E.; Vicente, Y.; Andreu, R.; Bautista, D.; Gálvez, J. A new convenient synthetic approach to diarylpyrimidines. Tetrahedron 2016, 72, 3922–3929. [Google Scholar] [CrossRef]
- Romanov, A.R.; Rulev, A.Y.; Popov, A.V.; Kondrashov, E.V.; Zinchenko, S.V. Reaction of Bromoenones with Amidines: A Simple Catalyst-Free Approach to Trifluoromethylated Pyrimidines. Synthesis 2020, 52, 1512–1522. [Google Scholar] [CrossRef]
- Chu, X.Q.; Cao, W.B.; Xu, X.P.; Ji, S.J. Iron catalysis for modular pyrimidine synthesis through β-ammoniation/cyclization of saturated carbonyl compounds with amidines. J. Org. Chem. 2017, 82, 1145–1154. [Google Scholar] [CrossRef]
- Yu, Q.; Liu, Y.; Wan, J.P. Transition metal-free synthesis of 3-trifluoromethyl chromones via tandem C-H trifluoromethylation and chromone annulation of enaminones. Org. Chem. Front. 2020, 7, 2770–2775. [Google Scholar] [CrossRef]
- Schmitt, E.; Commare, B.; Panossian, A.; Vors, J.P.; Pazenok, S.; Leroux, F.R. Synthesis of mono- and bis(fluoroalkyl)pyrimidines from FARs, fluorinated acetoacetates, and malononitrile provides easy access to novel highvalue pyrimidine scaffolds. Chemistry 2018, 24, 1311–1316. [Google Scholar] [CrossRef] [PubMed]
- Wang, Z.W.; Zheng, Y.; Qian, Y.E.; Guan, J.P.; Lu, W.D.; Yuan, C.P.; Xiao, J.A.; Chen, K.; Xiang, H.Y.; Yang, H. Photoredox-catalyzed cascade of o-hydroxyarylenaminones to access 3-aminated chromones. J. Org. Chem. 2022, 87, 1477–1484. [Google Scholar] [CrossRef]
- Dabholkar, V.V.; Ansari, F.Y. Ultrasound irradiated synthesis of bispyrimidine derivative in aqueous media. Synth. Commun. 2012, 42, 2423–2431. [Google Scholar] [CrossRef]
- Schreiner, E.; Braun, S.; Kwasnitschka, C.; Frank, W.; Müller, T.J. Consecutive Three-Component Synthesis of 2,6-Disubstituted Pyrimid-4(3H)-ones and 1,5-Disubstituted 3-Hydroxypyrazoles Initiated by Copper(I)-Catalyzed Carboxylation of Terminal Alkynes. Adv. Synth. Catal. 2014, 356, 3135–3147. [Google Scholar] [CrossRef]
- Lin, M.; Chen, Q.Z.; Zhu, Y.; Chen, X.L.; Cai, J.J.; Pan, Y.M.; Zhan, Z.P. Copper(II)-catalyzed synthesis of pyrimidines from propargylic alcohols and amidine: A propargylation–cyclization–oxidation tandem reaction. Synlett 2011, 1179–1183. [Google Scholar] [CrossRef]
- Xing, Y.; Cheng, B.; Wang, J.; Lu, P.; Wang, Y. Copper-catalyzed three-component synthesis of 3-aminopyrazoles and 4-iminopyrimidines via β-alkynyl-N-sulfonyl ketenimine intermediates. Org. Lett. 2014, 16, 4814–4817. [Google Scholar] [CrossRef]
- Sharma, N.; Chundawat, T.; Mohapatra, S.; Bhagat, S. Synthesis of novel fluorinated multisubstituted pyrimidines and 1,5-benzodiazepines via fluorinated N,S-acetals. Synthesis 2016, 48, 4495–4508. [Google Scholar] [CrossRef]
- Radi, M.; Casaluce, G.; Botta, M. A domino microwave-assisted protocol for the synthesis of 2,6-disubstituted pyrimidinones. Synlett 2011, 22, 1997–2000. [Google Scholar] [CrossRef]
- Zhou, Y.; Tang, Z.; Song, Q. Lewis Acid-mediated [3+3] annulation for the construction of substituted pyrimidine and pyridine derivatives. Adv. Synth. Catal. 2017, 359, 952–958. [Google Scholar] [CrossRef]
- El-Sayed, I.W.A.; Zeid, F.; Morsi, E.M.; Tawfek, N.; Yousif, N.M.; Yahia, S.; Abdel-Rahman, A.A.H. Synthesis and anticancer activity of new substituted pyrimidines, Their bicyclic and thioglycoside derivatives. Life Sci. J. 2015, 12, 63–70. [Google Scholar]
- Burgula, L.N.; Radhakrishnan, K.; Kundu, M.L. Synthesis of modified uracil and cytosine nucleobases using a microwave-assisted method. Tetrahedron Lett. 2012, 53, 2639–2642. [Google Scholar] [CrossRef]
- Tejedor, D.; Lopez-Tosco, S.; García-Tellado, F. Synthesis of fully substituted pyrimidines. J. Org. Chem. 2013, 78, 3457–3463. [Google Scholar] [CrossRef] [PubMed]
- Hosamani, K.M.; Reddy, D.S.; Devarajegowda, H.C. Microwave-assisted synthesis of new fluorinated coumarin-pyrimidine hybrids as potent anticancer agents, their DNA cleavage and X-ray crystal studies. RSC Adv. 2015, 5, 11261–11271. [Google Scholar] [CrossRef]
- Singh, B.D.; Pandey, J.; Khanam, H.; Singh, S. Lewis acid catalyzed [3+3] annulation/aldol condensation in water: One pot synthesis of (E,E)-4,6-bis(styryl)-pyrimidines. Asian J. Org. Chem. 2022, 11, e202200479. [Google Scholar] [CrossRef]
- Yuan, J.; Li, J.; Wang, B.; Sun, S.; Cheng, J. Base-promoted formal [4+1+1] annulation of aldehyde, N-benzyl amidine and DMSO toward 2,4,6-triaryl pyrimidines. Tetrahedron Lett. 2017, 58, 4783–4785. [Google Scholar] [CrossRef]
- Chakraborty, G.; Sikari, R.; Mondal, R.; Mandal, S.; Paul, N.D. Nickel-catalyzed synthesis of pyrimidines via dehydrogenative functionalization of alcohols. Asian J. Org. Chem. 2020, 9, 431–436. [Google Scholar] [CrossRef]
- Maji, M.; Borthakur, I.; Guria, S.; Singha, S.; Kundu, S. Direct access to 2-(N-alkylamino)pyrimidines via ruthenium catalyzed tandem multicomponent annulation/N-alkylation. J. Catal. 2021, 402, 37–51. [Google Scholar] [CrossRef]
- Qin, Z.; Ma, Y.; Li, F. Construction of a pyrimidine framework through [3+2+1] annulation of amidines, ketones, and N,N-dimethylaminoethanol as one carbon donor. J. Org. Chem. 2021, 86, 13734–13743. [Google Scholar] [CrossRef]
- Chun, Y.S.; Kim, J.H.; Choi, S.Y.; Ko, Y.O.; Lee, S.G. Cu(OAc)2-catalyzed tandem Blaise/Pinner-type reaction for one-pot synthesis of pyrimidin-4-ones. Org. Lett. 2012, 14, 6358–6361. [Google Scholar] [CrossRef]
- Chang, M.Y.; Lin, C.Y.; Chen, S.M. Synthesis of 1-aryl isoquinolinones or o-diaryl pyrimidines via bismuth triflate-mediated intermolecular annulation of arylacetic acids with nitroarylaldehydes or trimethoxybenzene in the presence of acetonitrile. Adv. Synth. Catal. 2022, 364, 2629–2641. [Google Scholar] [CrossRef]
- Karad, S.N.; Liu, R.S. Regiocontrolled gold-catalyzed [2+2+2] cycloadditions of ynamides with two discrete nitriles to construct 4-aminopyrimidine cores. Angew. Chem. Int. Ed. Engl. 2014, 53, 9072–9076. [Google Scholar] [CrossRef] [PubMed]
- You, X.; Yu, S.; Liu, Y. Reactions of zirconocene butadiyne or monoyne complexes with nitriles: Straightfoward synthesis of functionalized pyrimidines. Organometallics 2013, 32, 5273–5276. [Google Scholar] [CrossRef]
- Low, C.H.; Rosenberg, J.N.; Lopez, M.A.; Agapie, T. Oxidative coupling with Zr(IV) supported by a noninnocent anthracene-based ligand: Application to the catalytic cotrimerization of alkynes and nitriles to pyrimidines. J. Am. Chem. Soc. 2018, 140, 11906–11910. [Google Scholar] [CrossRef] [PubMed]
- Satoh, Y.; Yasuda, K.; Obora, Y. Strategy for the synthesis of pyrimidine derivatives: NbCl5-Mediated cycloaddition of alkynes and nitriles. Organometallics 2012, 31, 5235. [Google Scholar] [CrossRef]
- Su, L.; Sun, K.; Pan, N.; Liu, L.; Sun, M.; Dong, J.; Zhou, Y.; Yin, S.-F. Cyclization of ketones with nitriles under base: A general and economical synthesis of pyrimidines. Org. Lett. 2018, 20, 3399–3402. [Google Scholar] [CrossRef]
- Babaoglu, E.; Harms, K.; Hilt, G. Indium-mediated Blaise-type reaction of bromomalonates with nitriles and isocyanates. Synlett 2016, 27, 1820–1823. [Google Scholar] [CrossRef]
- Jadhav, S.D.; Singh, A. Oxidative annulations involving DMSO and formamide: K2S2O8 mediated syntheses of quinolines and pyrimidines. Org. Lett. 2017, 19, 5673–5676. Available online: https://pubs.acs.org/10.1021/acs.orglett.7b02838 (accessed on 5 October 2017). [CrossRef]
- Deibl, N.; Ament, K.; Kempe, R. A sustainable multicomponent pyrimidine synthesis. J. Am. Chem. Soc. 2015, 137, 12804–12807. [Google Scholar] [CrossRef]
- Deibl, N.; Kempe, R. Manganese-catalyzed multicomponent synthesis of pyrimidines from alcohols and amidines. Angew. Chem. Int. Ed. 2017, 56, 1663–1666. [Google Scholar] [CrossRef]
- Chowrasia, R.; Katla, R.; Darbem, M.P.; Branquinho, T.A.; de Oliveira, A.R.; Manjari, P.S.; Domingues, N.L.C. Novel multi-component syntheses of pyrimidines using β-CD in aqueous medium. Tetrahedron Lett. 2016, 57, 1656–1660. [Google Scholar] [CrossRef]
- Adib, M.; Mahmoodi, N.; Mahdavi, M.; Bijanzadeh, H.R. Microwave-assisted simple, one-pot, four-component synthesis of 2,4,6-triarylpyrimidines under solvent-free conditions. Tetrahedron Lett. 2006, 47, 9365–9368. [Google Scholar] [CrossRef]
- Guo, W.; Liao, J.; Liu, D.; Li, J.; Ji, F.; Wu, W.; Jiang, H. A Four-Component Reaction Strategy for Pyrimidine Carboxamide Synthesis. Angew. Chem. Int. Ed. Engl. 2017, 56, 1289–1293. [Google Scholar] [CrossRef] [PubMed]
- Ding, Y.; Ma, R.; Hider, R.C.; Ma, Y. Acid-catalyzed pseudo five-component annulation for a general one-pot synthesis of 2,4,6-triaryl pyrimidines. Asian J. Org. Chem. 2020, 9, 242–246. [Google Scholar] [CrossRef]
- Kalogirou, A.S.; Manoli, M.; Koutentis, P.A. Two-step conversion of 3,4,4,5-tetrachloro-4H-1,2,6-thiadiazine into 4,5,6-trichloropyrimidine-2-carbonitrile. Tetrahedron Lett. 2017, 58, 2618–2621. [Google Scholar] [CrossRef]
- Wang, A.; Lu, M.; Xie, X.; Liu, Y. Gold(III) or Gold(I)/Lewis-Acid-Catalyzed Substitution/Cyclization/1,2-Migration Reactions of Propargyl Alcohols with 3-Amino-benzo[d]isoxazoles: Synthesis of Pyrimidine Derivatives. Org. Lett. 2022, 24, 2944–2949. [Google Scholar] [CrossRef]
- Dofe, V.S.; Sarkate, A.P.; Shaikh, Z.M.; Jadhav, C.K.; Nipte, A.S.; Gill, C.H. Ultrasound-assisted synthesis of novel pyrazole and pyrimidine derivatives as antimicrobial agents. J. Heterocycl. Chem. 2018, 55, 756–762. [Google Scholar] [CrossRef]
- Unger, L.; Accorsi, M.; Eidamshaus, C.; Reich, D.; Zimmer, R.; Reissig, H.-U. Preparation and reactions of trichloromethyl-substituted pyridine and pyrimidine derivatives. Synthesis 2018, 50, 4071–4080. [Google Scholar] [CrossRef]






















































| Disclaimer/Publisher’s Note: The statements, opinions and data contained in all publications are solely those of the individual author(s) and contributor(s) and not of MDPI and/or the editor(s). MDPI and/or the editor(s) disclaim responsibility for any injury to people or property resulting from any ideas, methods, instructions or products referred to in the content. | 
© 2023 by the authors. Licensee MDPI, Basel, Switzerland. This article is an open access article distributed under the terms and conditions of the Creative Commons Attribution (CC BY) license (https://creativecommons.org/licenses/by/4.0/).
Share and Cite
Díaz-Fernández, M.; Calvo-Losada, S.; Quirante, J.-J.; Sarabia, F.; Algarra, M.; Pino-González, M.-S. Catalyzed Methods to Synthesize Pyrimidine and Related Heterocyclic Compounds. Catalysts 2023, 13, 180. https://doi.org/10.3390/catal13010180
Díaz-Fernández M, Calvo-Losada S, Quirante J-J, Sarabia F, Algarra M, Pino-González M-S. Catalyzed Methods to Synthesize Pyrimidine and Related Heterocyclic Compounds. Catalysts. 2023; 13(1):180. https://doi.org/10.3390/catal13010180
Chicago/Turabian StyleDíaz-Fernández, Marcos, Saturnino Calvo-Losada, J.-Joaquín Quirante, Francisco Sarabia, Manuel Algarra, and M.-Soledad Pino-González. 2023. "Catalyzed Methods to Synthesize Pyrimidine and Related Heterocyclic Compounds" Catalysts 13, no. 1: 180. https://doi.org/10.3390/catal13010180
APA StyleDíaz-Fernández, M., Calvo-Losada, S., Quirante, J.-J., Sarabia, F., Algarra, M., & Pino-González, M.-S. (2023). Catalyzed Methods to Synthesize Pyrimidine and Related Heterocyclic Compounds. Catalysts, 13(1), 180. https://doi.org/10.3390/catal13010180
 
        

 
                                                


