Abstract
Herein, the Ruthenium nanoparticles (NPs) with the size of 12 nm were decorated on the hexagonal prism silicalite-1 (Ru/S-1) by the gas bubbling-assisted membrane reduction method (GBMR). The adsorption/activation properties are improved for reactant molecules due to the formation of an interfacial structure that enhances the interaction between the Ru NPs and S-1. The Ru/S-1 catalyst displays the highest catalytic activity (T50 = 356 °C) and CO2 selectivity (SCO2m = 99.9%). Moreover, no obvious deactivation was observed over the Ru/S-1 catalyst even after five cycles, and the values of T50 and SCO2m after cycling five times are similar to the fresh catalyst. The Ru/S-1 catalyst with excellent catalytic performance can be compared with a series of noble metal catalysts for soot oxidation. The catalytic mechanism of the Ru/S-1 catalyst was revealed by in situ characterization for soot oxidation. The interfacial effect between Ru NPs and S-1 plays an important role in the conversion of NO to NO2 during soot oxidation. Preparation of Ru/S-1 catalyst provides a hopeful way to obtain considerably low-cost and highly stable auto-exhaust treatment catalysts.
1. Introduction
Nowadays, diesel engines have been extended applications due to their advantages of high thermal efficiency, good economy, low CO2 emission, and excellent dynamic performance [1,2,3]. Nevertheless, exhaust gaseous pollutants from diesel engines contain CH, NOx, CO, and soot, which pose direct harm to the environment and human health [4]. Among them, soot is a common air pollutant that is carcinogenic to the human body; thus, the relevant legislation imposes stringent soot emission standards [5]. The diesel particulate filter combined with efficient catalysts (CDPF) is a promising way to comply with emission requirements [6]. The normal temperature of diesel exhaust (<400 °C) is lower than the combustion of soot particles (>500 °C) [7]. Thus, the key point for CDPF is to construct good catalysts that can remove soot particles at lower temperatures.
To date, scientists have studied many catalytic materials for the removal of soot particles, such as noble metals [8,9,10], transition metals [11,12], alkaline and alkaline-earth metal oxides [13,14], perovskite-type oxides [15], ceria-based material [16,17], and so on. Noble metals usually exhibit good catalytic properties compared to other materials, so they have been used in commercial soot catalysts for many years. However, the high cost of noble metals limited their wide use. It is difficult to prepare highly efficient non-Pt/Pd catalysts with relatively low costs for soot oxidation. Ruthenium (Ru) metal is the primary active component, whose cost is only a third of Pt/Pd, and supported Ru catalyst has also been investigated in soot oxidation. For instance, Aouad et al. prepared Ru/CeO2 catalysts with Ru loading of 1–5 wt.% by wet impregnation and found that the values of T50 are 350 and 515 °C under tight and loose contact, respectively [18]. Zheng et al. applied Ru/CeO2 in soot oxidation and found that crystalline growth of CeO2 is remarkably alleviated and high dispersion of Ru particles is effectively maintained on Ru/CeO2 owing to the formation of Ru-O-Ce bonds [19]. It is very meaningful to design and prepare a stable and low-cost auto-exhaust Ru-based catalyst for the replacement of noble-metal catalysts.
Insight into the essence of soot reactions is a prerequisite for designing efficient catalysts. The site of decontamination of soot particles is located at the triple-phase interface, which contains the catalyst, soot, and gas reactants [20,21]. Therefore, there are two ways to construct efficient catalysts for soot oxidation, enhancing the solid–solid contact efficiency and intrinsic activity for activating reactants [22,23]. The former depends on the morphology of the catalyst; for instance, the ordered microporous structure of the catalysts can boost the mass transfer and diffusion of soot particles, which results in enhancing catalytic soot oxidation [24]. The latter is related to the atomic-scale microstructure and chemical state of surface-active components in the catalysts [25]. Silicalite-1 (S-1) is widely chosen as a support material for loading active noble metals, which can be attributed to its many excellent physicochemical properties, such as high selectivity, excellent thermal stability, and multiple types of pore structure [26,27]. However, S-1 as a support for catalytic soot oxidation has been rarely reported owing to the size of soot particles being bigger than the pore size of the S-1, leading it to be unable to provide effective contact with the catalyst. It is gratifying that all the molecules involved in the soot oxidation can enter the S-1 microporous structure participation oxidation. In view of this phenomenon, constructing noble metals as active sites on the S-1 surface for soot oxidation is a rational method to enhance catalytic performance.
In this study, the Ru/S-1 catalyst has been synthesized through the GBMR method for soot oxidation. The Ru NPs located on the S-1 surface can effectually boost the adsorption/activation of NO and O2 molecules. The Ru/S-1 catalyst shows excellent catalytic activity and high durability during catalytic soot removal. The results of in situ DRIFTS suggest that the formation of active oxygen species can accelerate NO2 after the introduction of Ru on the S-1 surface, which leads to quick oxidation between NO2 and soot. This work provides great significance in designing and constructing non-Pt/Pd catalysts for soot oxidation.
2. Results and Discussions
2.1. Structural Properties
From the XRD patterns shown in Figure 1, S-1 and Ru/S-1 catalysts show typical diffraction peaks of MFI zeolites, and five characterization diffraction peaks of MFI structure were found at 2θ = 7.96, 8.82, 23.27, 23.77, and 23.97° in S-1 and Ru/S-1 catalysts (Figure 1a), indicating that the MFI structure is maintained during the synthesis [28]. The intensity of diffraction of peaks (2θ = 7.96 and 8.82°) increases after the introduction of the Ru species, implying an enhanced crystallinity for S-1 and Ru/S-1. The Ru/SiO2 catalyst shows diffraction peaks about RuO2 species (Figure 1b), suggesting that the Ru species of the Ru/SiO2 catalyst shows poor dispersion. For the Ru/S-1 catalyst, no diffraction peaks attributed to the crystal structure of Ru or RuOx were detected, indicating that Ru species were highly dispersed in the Ru/S-1 catalyst.
Figure 1.
XRD patterns (a) and the magnified patterns of RuO2 peaks between 26 and 38° (b) of as-prepared catalysts.
The morphology of S-1, SiO2, Ru/SiO2, and Ru/S-1 catalysts was evaluated by SEM and TEM technologies (Figure 2). The SEM image of the S-1 catalyst shows a uniform size and hexagonal prism morphology, and it shows a rough surface with a width and thickness of about 250 and 160 nm, respectively (Figure 2a). In Figure S1, the morphology of SiO2 shows the aggregation nanoparticles. Additionally, the morphology of the SiO2 catalyst remains unchanged after introducing Ru species (Figure S2). The uniform hexagonal prism shape of the S-1 catalyst can be observed from the TEM image (Figure 2b). The prominent lattice fringes in the TEM image indicate that the S-1 has a high crystallinity (Figure 2c). After introducing Ru species, the morphology and size of the Ru/S-1 catalysts were almost unchanged compared with S-1, indicating that the structure of S-1 is highly stable (Figure 2d). The black points can be observed on the surface of Ru/S-1, which can be assigned to Ru NPs. The size of Ru NPs is about 12 nm located at the S-1 surface (Figure 2d,e). The Ru NPs with high dispersion are located at the S-1 surface, forming an interface structure between Ru NPs and S-1 (Figure 2f).
Figure 2.
SEM (a) and TEM images (b,c) of the S-1 catalyst, and TEM (d,e) and HRTEM (f) images of the Ru/S-1 catalyst.
In Figure 3, the Raman spectra of the S-1 and Ru/S-1 catalysts show the characteristic Raman peaks of the MFI structure at 290, 378, 455, and 820 cm−1 [29]. The peak intensity of 455 cm−1 increases obviously after the introduction of the Ru species, which can be attributed to the intensification of the vibrations of the bonds in the MFI structure of S-1 after introducing the Ru species. The SiO2 catalyst shows the three main peaks located at 487, 602, and 974 cm−1, which are related to Si-O-Si rock, O-Si-O bending modes, and Si-O-2NBO stretching, respectively [30]. After the introduction of the Ru species, the two new peaks can be observed at 564 and 1090 cm−1, which are assigned to 3-fold rings and vibrational modes involving SiO4 units, respectively [31,32]. The weak peak at 323 cm−1 can be detected, which can be assigned to RuO2 species [33]. UV-Vis spectra profiles are shown in Figure S3. S-1 exhibits the characteristic adsorption region at about 290 nm, corresponding to the MFI structure of S-1 [34]. The Ru/S-1 catalyst displays much stronger adsorption in the range of 400–800 nm. It has been proved that the adsorption intensity can be enhanced by charge transfer, and the adsorption intensity is closely relative to the metal-carrier interaction [35]. The Ru/S-1 catalyst displays the largest adsorption intensity, implying that the Ru/S-1 catalyst has the strongest metal-support interaction.
Figure 3.
Raman spectra of as-prepared catalysts.
H2-TPR measurements were performed to investigate the reducibility of catalysts as well as the nature of the interaction between Ru and S-1. As shown in Figure 4, the reduction peaks of the S-1 catalyst are located at 398 and 813 °C, which belong to the reduction in surface adsorption oxygen and the framework oxygen, respectively. For Ru/S-1 and Ru/SiO2 catalysts, the reduction peak shifts to a low-temperature range (<150 °C). The Ru/SiO2 catalyst exhibits two peaks at 121 and 484 °C, which are related to the reduction in the well-dispersed RuOx species and RuO2 particles, respectively [36,37]. Ru/S-1 catalyst displays reduction peaks at 100, 403, and 642 °C, which are assigned to the reduction in well-dispersed RuOx species, RuO2 particles, and zeolite framework oxygen, respectively. Additionally, the reduction temperature of zeolite framework oxygen significantly shifts the lower temperature compared with the S-1 catalyst, indicating that the oxygen fluidity of the zeolite framework can be effectively improved by Ru-S-1 interaction. Ru/S-1 catalyst demonstrates outstanding oxidation capabilities among all as-prepared catalysts, which could be supposed to have high catalytic performance.
Figure 4.
H2-TPR profile of as-prepared catalysts.
XPS was applied to investigate the chemical states of surface elements. In Figure 5a, The Ru 3p spectra in Ru/SiO2 and Ru/S-1 catalysts can spin-orbit split into 3p3/2 and 3p1/2 components, corresponding to the binding energy (BE) of 462.2 and 484.1 eV [38]. The two BE pairs (461.4 and 485.2 eV; 464.9 and 490.5 eV) can be assigned to Ru0 and Run+ species, respectively [39]. The ratios of Run+/Ru0 are 0.63 and 1.05 for the Ru/SiO2 and Ru/S-1 catalysts, respectively. Figure S4 displays the Si 2p XPS signal. The peak is located at 102.8–103.8 eV, corresponding to the Si-O-Si bond of the Si 2p in SiO2 and S-1 [40]. The BE of the Ru/SiO2 catalyst is unchanged in comparison with SiO2. However, the Ru/S-1 catalyst shifts to the direction of the low BE region, indicating that the electron transfer between Ru and S-1 enhances the interaction. O 1s XPS signals are shown in Figure 5b; the peak located at 532.3 and 533 eV can be related to lattice oxygen (O2−) (Olat) and the chemisorbed oxygen species of Oads (O22− and O2−), respectively [41]. The peak area was calculated, and the content of Oads was further shown in Table S1. The Oads species can be active oxygen during catalytic soot oxidation. The formation of active oxygen can be promoted by introducing the Ru species. Therefore, the Ru/S-1 catalyst shows the highest Oads content (0.43), which could be supposed to possess excellent catalytic activity.
Figure 5.
XPS spectra of Ru 3p (a) and O 1s (b) of as-prepared catalysts.
2.2. Catalytic Activity Performance
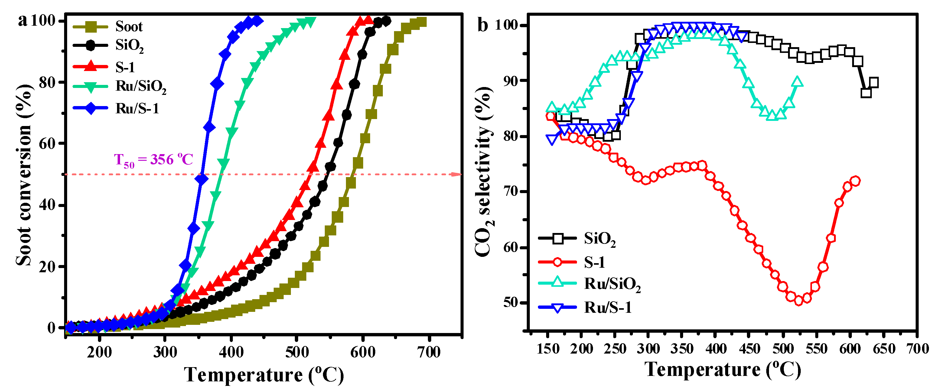
Soot-TPO results under a loose contact condition are shown in Figure 6 and Table 1. For comparison, soot oxidation was tested without catalysts, and the values of T10, T50, T90, and SCO2m are 458, 585, 642 °C, and 54.6%, respectively. In Figure 6a, the S-1 catalyst displays better soot oxidation activity in comparison with the SiO2 catalyst; the value of the T50 difference is 28 °C between S-1 and SiO2 catalysts. While the Ru species are introduced, the catalytic performance improves obviously during soot oxidation. Among as-prepared catalysts, the Ru/S-1 catalyst has the highest catalytic soot oxidation performance; the values of T50 and SCO2m are 356 °C and 99.9%. The CO2 selectivities of as-prepared catalysts are shown in Figure 6b, and the CO2 selectivity can be significantly improved for SiO2 and S-1 catalysts after introducing the Ru species. Ru/S-1 catalyst exhibits catalytic performance comparable to a series of noble metal catalysts (Table S2) [8,22,42,43,44,45,46,47,48].

Figure 6.
(a) Soot conversion percentage, (b) CO2 selectivity, (c) Stability test results of the Ru/S-1 catalyst, and (d) XRD patterns and TEM image of the used Ru/S-1 catalyst.
Table 1.
Catalytic activity and CO2 selectivity of catalysts for soot oxidation under loose contact.
The recycling soot-TPO measurements were used to evaluate catalyst stability, and the results are presented in Figure 6c. The values of T10, T50, T90, and SCO2m hardly changed during five-cycle experiments. In Figure 6d, the XRD pattern and morphology of the used Ru/S-1 catalyst are the same as that of fresh samples after five cycles of experiments, which suggests that the Ru/S-1 catalyst processes high stability during soot oxidation. To investigate the sintering of Ru during soot oxidation, the TEM test was conducted on the Ru/S-1 catalyst after the reaction. The Ru particle size statistics were carried out on the used Ru/S-1 catalyst, and the result is shown in Figure S5. The average size of Ru is 13.2 nm for Ru/S-1 catalyst after cycled reactions, whereas the average size of Ru NPs is 12 nm in fresh Ru/S-1 catalyst, indicating that the Ru NPs have undergone slight sintering agglomeration after the cycled reaction. Slight agglomeration has little effect on the stability of the Ru/S-1 catalyst and still maintains excellent catalytic activity and high stability. To further study the effect of water steam on catalytic activity and stability, water steam was added during the soot-TPO test. After the introduction of H2O into the reaction system, the T10, T50, and T90 values increase for Ru/SiO2 and Ru/S-1 catalysts (Figure S6). Whereas for the Ru/S-1 catalyst, the values of T10, T50, and T90 slightly increase compared with the absence of water steam, suggesting that the Ru/S-1 catalyst possesses excellent H2O-tolerance performance. Stability test results in the presence of water steam can be found that the soot conversion temperature (T50) and CO2 selectivity of the Ru/S-1 catalyst have been unchanged during five soot-TPO cycles (Figure S7). Additionally, the long-term catalytic stability evaluation was performed at 300 °C, and the instantaneous soot conversion amount and SCO2 of the Ru/S-1 catalyst during soot oxidation are unchanged at every moment, suggesting that the Ru/S-1 catalyst has excellent durable stability for soot oxidation (Figure S8). The high stability over the Ru/S-1 catalyst can be attributed to the following reasons: S-1 has a high stability crystal phase structure and mechanical stability, and then, the Ru-S-1 interaction can effectively inhibit the agglomeration and deactivation of Ru NPs.
2.3. In situ NO Oxidation DRIFTS
Previous studies have confirmed that NO2 can significantly improve the removal efficiency of soot particles. To investigate the surface intermediates during NO oxidation, in situ DRIFTS were performed at various temperatures. In Figure 7a and Table S3, these peaks can be observed on the surface of the S-1 catalyst at a relatively low temperature (50 °C), which contains N2O4 dimer (1767 cm−1), monodentate nitrite (1412 cm−1), monodentate nitrates (1364 cm−1), chelating bidentate NO3− (940 cm−1) and bending vibration of nitrates (834 cm−1) [49,50,51,52,53,54]. The intensity of two characteristic peaks at 1412 and 1364 cm−1 gradually weaken and form a new peak at 1380 cm−1 in the ranges of 50–300 °C. Meanwhile, the peak intensity of the N2O4 species and chelating bidentate NO3− increase. Meanwhile, the bending vibration of nitrates and ionic nitrates gradually weakens at the temperature range of 300–450 °C (Figure 7b), suggesting that the ionic nitrate species is a key intermediate species during NO oxidation. In situ NO oxidation DRIFTS of Ru/S-1 catalyst is shown in Figure 7c. At 50 °C, a series of peaks located at 1767, 1412, 1364, and 834 cm−1. The monodentate nitrite and monodentate nitrates gradually transform into ionic nitrate (1380 cm−1) in the range of 50–250 °C (Figure 7d). Therefore, the Ru/S-1 catalyst can promote the transformation from NO to ionic nitrate species at relatively low temperatures. With the further rising of the reaction temperature (above 350 °C), the formation of ionic nitrate gradually decomposes to gaseous NO2, which migrates to the surface of the soot with the reactant gas stream to oxidize it into CO2.
Figure 7.
In situ NO oxidation DRIFTS of the S-1 and Ru/S-1 exposed to 0.2 vol% NO + 5 vol% O2/N2 (a,c) and corresponding contour projection results for S-1 and Ru/S-1 catalysts (b,d).
3. Experimental Sections
3.1. Materials
Tetraethyl orthosilicate (TEOS), tetrapropylammonium hydroxide solution (TPAOH, 25 wt.%), and polyvinyl pyrrolidone were obtained from Sinopharm Chemical Reagent Co., Ltd. (Shanghai, China). Ruthenium chloride hydrate was purchased from J&K Scientific Ltd. (San Jose, CA, USA). Column-layer chromatographic silica gel (SiO2) was purchased from Shanghai Boer Chemical Reagent Co., Ltd. (Shanghai, China). Ethanol and Sodium borohydride were obtained from Tianjin Fuchen Chemicals Reagent Factory (Beichen, Tianjin, China).
3.2. Preparation Methods
3.2.1. Synthesis of S-1 Catalyst
In a typical process [55], 8.32 g TEOS, 13 g TPAOH (25 wt.%), and 19.875 g water were mixed. After stirring for 5 h under room temperature, the above mixture was transferred to a Teflon-lined stainless autoclave at 170 °C for 72 h. The precipitate was centrifuged with water. Finally, the product was dried at 80 °C for 12 h, followed by calcination at 550 °C in the air for 6 h to remove the organic template.
3.2.2. Synthesis of Ru/S-1 and Ru/SiO2 Catalysts
The synthesis of Ru/S-1 is shown in Scheme S1. The S-1 supporting Ru NPs catalyst was synthesized by gas bubbling-assisted membrane reduction (GBMR) method [56]. 0.5 g S-1 support was dispersed into 400 mL deionized water under magnetic stirring vigorously at room temperature for 30 min. Then, 2.588 mL RuCl3·3H2O solution (0.01 g mL−1) was dropwise added into the above white slurry. The theoretical load of the Ru species is 2 wt.%, and a stabilizer polyvinylpyrrolidone (PVP) solution ([PVPunit]/[Ru] = 20) was added to the above solution dropwise (denoted as Beaker I). As a protective agent, polyvinylpyrrolidone can prevent Ru agglomerating when it is reduced, which will affect the catalytic performance. A peristaltic pump with a rotation speed of 200 rpm was developed to form a tubal cycling flow of the above solution mixture between the membrane reactor and Beaker I at a flow rate of 360 mL min−1. In the membrane reactor, the mixture solution flowed in the glass tube and outside the ceramic tubes. NaBH4 solution as the reductant (30 mL, molar ratio of [NaBH4]/[Ru] of 5) was introduced into the above solution by a constant flow pump at a flow rate of 0.2 mL min−1. When NaBH4 solution infiltrated through the abundant holes (d = 40 nm) on the walls of two ceramic tubes (Ø 3 mm × 120 mm) into the glass tube, the reduction in Ru ions occurred immediately. Finally, the 30 mL NaBH4 solution was completely consumed. The product was filtered, washed with DI water, and dried at 80 °C for 12 h to obtain a solid product. Finally, the product was calcined at 500 °C for 4 h in the air, denoted as Ru/S-1 catalyst. For comparison, the column-layer chromatographic silica gel (SiO2) supporting the Ru NPs catalyst was synthesized by a similar method. Finally, the Ru/SiO2 catalyst can be obtained and denoted as Ru/SiO2 catalyst.
3.3. Catalysts Characterization
The structural and physical phases were analyzed by powder X-ray diffraction (XRD) using a D8 Focus (Bruker AXS) from 5 to 90° with a scanning rate of 4° min−1 (Bruker, Germany). Scanning electron microscope (SEM, SU8010) observed the surface morphology of as-prepared catalysts (Hitachi, Japan). The morphology and Ru NP size were observed by transmission electron microscope (TEM; JEOL JEM 2100 LaB6) (Japan Electronics Co., Ltd., Nagoya, Japan). Raman spectra were performed on a Raman spectrometer (inVia Reflex-Renishaw spectrometer) with a 532 nm laser (Renishaw, Britain). UV-Vis diffuse reflectance (UV-Vis DR)) spectra measurements were recorded (UV-2600i, Shimadzu, Japan), and BaSO4 was used as the internal standard. The temperature programmed reduction of hydrogen (H2-TPR) was carried out on the HUASI DAS-7200 instrument. X-ray photoelectron spectroscopy (XPS) was recorded on a Thermo Scientific K-Alpha. In situ, diffuse reflectance infrared Fourier transform spectra (In situ DRIFTS) experiments were recorded using a SHIMADZU infrared spectrometer (IRTracer-100) over a range of 4000–400 cm−1. The catalyst (20 mg) was pretreated in N2 for 30 min at 300 °C. Additionally, the IR cell was cooled to 50 °C, and the background spectrum can be obtained by heating the IR cell from 50 to 450 °C with an N2 atmosphere. Subsequently, the pretreated catalyst was exposed to a 5% O2/0.1% NO/N2 (50 mL min−1) mixture from 50 to 450 °C. The IR spectrum can be obtained at different temperatures.
3.4. Evaluation of Catalytic Activity
The catalytic activities and CO2 selectivity for soot oxidation over the catalysts were measured by temperature-programmed oxidation tests of soot (soot-TPO). The Printex-U carbon (diameter 25 nm, surface area 100 m2 g−1) as the model soot was obtained from Degussa. The soot-TPO test was carried out at loose contact mode, which can be obtained by using a spatula to mix soot (10 mg)-catalyst (100 mg). The reactor was heated, which is performed from 150 to 700 °C at a programmed rate of 2 °C min−1 in a stream of 0.2 vol% NO and 5 vol% O2 /N2 (50 mL min−1). The concentration of CO and CO2 formed by the oxidation of soot can be detected by online gas chromatography (GC 9890B, Shanghai). The values of T10, T50, and T90 can be used as indices of catalytic activity for soot oxidation, which are the temperature of soot conversion at 10%, 50%, and 90%. The CO2 selectivity (SCO2) was defined as:
SCO2 = CCO2/(CCO + CCO2)
Here, the CCO2 represents the CO2 outlet concentration, and CCO represents the CO concentration. The SCO2m was defined as SCO2 at the maximum CO2 concentration.
The catalytic stability of the catalyst for soot oxidation was investigated by recycling soot-TPO tests. The catalyst was recycled after the first of soot-TPO. The detailed process is as follows: the used catalyst was taken out from the reaction quartz tube and then cleaned off the quartz cotton on the surface (this process loses about 2% of the catalyst mass each time). For the regeneration, a gas stream with 50 mL min−1 nitrogen and 50 mL min−1 air was used. The used catalyst was heated from 30 to 650 °C with a ramp of 5 °C min−1 and a 1 h dwell at 650 °C. After that, the reactor was turned off and left closed to cool down. Next, the used catalyst is mixed with soot particles using a spatula for 10 min to simulate loose contact (the mass ratio of catalyst to soot was kept at 10:1 during each test), and the next activity test (soot-TPO) is performed, which can obtain the values of T10, T50, T90, and SCO2m for the catalyst. The above experimental process repeated operation five times, and finally, five groups of activity data can be obtained. Additionally, the long-term catalytic stability was evaluated at 300 °C (<T10). The instantaneous soot conversion amount (IC) was calculated as follows: IC (μmol gcat−1) = C·Q/22,400 m. Here, the C represents the sum concentration of CO2 and CO measured by isothermal reactions at some time, the Q represents the gas flow rate (mL min−1), and the m represents the catalyst weight (g).
4. Conclusions
In this study, the Ru/S-1 catalyst was successfully built through a GBMR method. The Ru NPs with the size of 12 nm were supported on the hexagonal prism surface of the S-1 nanocrystal. The introduction of Ru species can promote the adsorption and activation of O2 molecules. Additionally, the Ru/S-1 catalyst with a unique pore structure displays efficient performance in activation molecules. Therefore, the Ru/S-1 catalyst shows high catalytic soot oxidation performance. It also exhibits excellent stability with no deactivation after five cycles. Combined with the characterization results of in situ DRIFTS, the reaction mechanism can further reveal that adsorbed NO can form an intermediate of ionic nitrate species, and it decomposed to form NO2 at a higher temperature range. The formation of highly oxidizing NO2 will be adsorbed on the surface of the soot and oxidized to form CO2. This work provides a promising avenue to obtaining considerably low-cost and highly stable auto-exhaust treatment catalysts.
Supplementary Materials
The following supporting information can be downloaded at: https://www.mdpi.com/article/10.3390/catal13081167/s1, Scheme S1: Schematic of processes for the preparation of Ru/S-1 catalyst; Figure S1: SEM images of SiO2 catalyst; Figure S2. SEM images of Ru/SiO2 catalyst; Figure S3. UV-Vis spectra profiles of all as-prepared catalysts; Figure S4. (a) XPS spectra of Si 2p and (b) magnified XPS of all as-prepared catalysts; Figure S5. TEM image and corresponding size distribution of Ru/S-1 catalyst after cycled reactions; Figure S6. Profiles of soot conversion over as-prepared catalysts under the condition of loose contact (5 vol% O2, 0.2 vol% NO, 5 vol% H2O/N2, 50 mL min−1); Figure S7. Stability test and CO2 selectivity of Ru/S-1 catalysts for soot oxidation under the condition of loose contact (5 vol% O2, 0.2 vol% NO, 5 vol% H2O/N2, 50 mL min−1); Figure S8. Long-term catalytic stability evaluation at 300 oC for Ru/S-1 catalyst under loose contact conditions with 5 vol% O2 + 0.2 vol% NO + 5 vol% H2O+ N2 (50 mL min−1); Table S1. XPS date of all as-prepared catalysts; Table S2. Comparison of soot oxidation catalyst system, reaction condition, catalytic activity (T50) and corresponding reference (Loose contact: L; Tight contact: T).
Author Contributions
Conceptualization, Y.W. and Y.L.; writing—review and editing, Y.L.; methodology, H.G. and J.X.; software, P.Z. and Y.M.; formal analysis, S.Z. and X.L.; project administration, Y.W. All authors have read and agreed to the published version of the manuscript.
Funding
This work was financially supported by the National Key Research and Development Program of China (2022YFB3504100), the National Natural Science Foundation of China (21972166, 22208373), and the Beijing Natural Science Foundation (2202045).
Data Availability Statement
Data is contained within the article or Supplementary Materials.
Conflicts of Interest
The authors declare no conflict of interest.
References
- Tsai, Y.-C.; Kwon, E.; Park, Y.-K.; Nhat Huy, N.; Lisak, G.; Hsu, P.-S.; Hu, C.; Lin, K.-Y.A. Broccoli-like CeO2 with hierarchical/porous structures, and promoted oxygen vacancy as an enhanced catalyst for catalytic diesel soot elimination. Sep. Purif. Technol. 2022, 281, 119867. [Google Scholar] [CrossRef]
- Sellers-Antón, B.; Bailón-García, E.; Cardenas-Arenas, A.; Davó-Quiñonero, A.; Lozano-Castelló, D.; Bueno-López, A. Enhancement of the generation and transfer of active oxygen in Ni/CeO2 catalysts for soot combustion by controlling the Ni–Ceria contact and the three-dimensional structure. Environ. Sci. Technol. 2020, 54, 2439–2447. [Google Scholar] [CrossRef] [PubMed]
- Mori, K.; Jida, H.; Kuwahara, Y.; Yamashita, H. CoOx-decorated CeO2 heterostructures: Effects of morphology on their catalytic properties in diesel soot combustion. Nanoscale 2020, 12, 1779–1789. [Google Scholar] [CrossRef]
- Cui, B.; Zhou, L.; Li, K.; Liu, Y.-Q.; Wang, D.; Ye, Y.; Li, S. Holey Co-Ce oxide nanosheets as a highly efficient catalyst for diesel soot combustion. Appl. Catal. B 2020, 267, 118670. [Google Scholar] [CrossRef]
- Chen, Z.; Chen, L.; Jiang, M.; Gao, X.; Huang, M.; Li, Y.; Ren, L.; Yang, Y.; Yang, Z. Controlled synthesis of CeO2 nanorods and their promotional effect on catalytic activity and aging resistibility for diesel soot oxidation. Appl. Surf. Sci. 2020, 510, 145401. [Google Scholar] [CrossRef]
- Yu, X.; Wang, L.; Chen, M.; Fan, X.; Zhao, Z.; Cheng, K.; Chen, Y.; Sojka, Z.; Wei, Y.; Liu, J. Enhanced activity and sulfur resistance for soot combustion on three-dimensionally ordered macroporous-mesoporous MnxCe1-xOδ/SiO2 catalysts. Appl. Catal. B 2019, 254, 246–259. [Google Scholar] [CrossRef]
- Yang, Z.; Zhang, N.; Xu, H.; Li, Y.; Ren, L.; Liao, Y.; Chen, Y. Boosting diesel soot catalytic combustion via enhancement of solid(catalyst)-solid(soot) contact by tailoring micrometer scaled sheet-type agglomerations of CeO2-ZrO2 catalyst. Combust. Flame 2022, 235, 111700. [Google Scholar] [CrossRef]
- Li, Y.; Zhang, P.; Xiong, J.; Wei, Y.; Chi, H.; Zhang, Y.; Lai, K.; Zhao, Z.; Deng, J. Facilitating catalytic purification of auto-exhaust carbon particles via the Fe2O3{113} facet-dependent effect in Pt/Fe2O3 catalysts. Environ. Sci. Technol. 2021, 55, 16153–16162. [Google Scholar] [CrossRef]
- Lee, J.H.; Jo, D.Y.; Choung, J.W.; Kim, C.H.; Ham, H.C.; Lee, K.-Y. Roles of noble metals (M = Ag, Au, Pd, Pt and Rh) on CeO2 in enhancing activity toward soot oxidation: Active oxygen species and DFT calculations. J. Hazard. Mater. 2021, 403, 124085. [Google Scholar] [CrossRef]
- He, L.; Zhang, Y.; Zang, Y.; Liu, C.; Wang, W.; Han, R.; Ji, N.; Zhang, S.; Liu, Q. Promotion of A-site Ag-doped perovskites for the catalytic oxidation of soot: Synergistic catalytic effect of dual active sites. ACS Catal. 2021, 11, 14224–14236. [Google Scholar] [CrossRef]
- Yu, Q.; Xiong, J.; Li, Z.; Mei, X.; Zhang, P.; Zhang, Y.; Wei, Y.; Zhao, Z.; Liu, J. Optimal exposed crystal facets of α-Mn2O3 catalysts with enhancing catalytic performance for soot combustion. Catal. Today 2021, 376, 229–238. [Google Scholar] [CrossRef]
- Li, Y.; Li, K.; Wang, Y.; Zhou, K.; Zhao, M.; Hu, M.; Liu, Y.-Q.; Qin, L.; Cui, B. Fe-doped porous Co3O4 nanosheets with highly efficient catalytic performance for soot oxidation. Chem. Eng. J. 2022, 431, 133248. [Google Scholar] [CrossRef]
- Castoldi, L.; Matarrese, R.; Lietti, L.; Forzatti, P. Intrinsic reactivity of alkaline and alkaline-earth metal oxide catalysts for oxidation of soot. Appl. Catal. B 2009, 90, 278–285. [Google Scholar] [CrossRef]
- Carrascull, A.L.; Ponzi, M.I.; Ponzi, E.N. Catalytic combustion of soot on KNO3/ZrO2 catalysts. Effect of potassium nitrate loading on activity. Ind. Eng. Chem. Res. 2003, 42, 692–697. [Google Scholar] [CrossRef]
- Fang, F.; Feng, N.; Wang, L.; Meng, J.; Liu, G.; Zhao, P.; Gao, P.; Ding, J.; Wan, H.; Guan, G. Fabrication of perovskite-type macro/mesoporous La1-xKxFeO3-δ nanotubes as an efficient catalyst for soot combustion. Appl. Catal. B 2018, 236, 184–194. [Google Scholar] [CrossRef]
- Liu, S.; Wu, X.; Liu, W.; Chen, W.; Ran, R.; Li, M.; Weng, D. Soot oxidation over CeO2 and Ag/CeO2: Factors determining the catalyst activity and stability during reaction. J. Catal. 2016, 337, 188–198. [Google Scholar] [CrossRef]
- Li, Y.; Qin, T.; Ma, Y.; Xiong, J.; Zhang, P.; Lai, K.; Liu, X.; Zhao, Z.; Liu, J.; Chen, L. Revealing active edge sites induced by oriented lattice bending of Co-CeO2 nanosheets for boosting auto-exhaust soot oxidation. J. Catal. 2023, 421, 351–364. [Google Scholar] [CrossRef]
- Aouad, S.; Abi-Aad, E.; Aboukaïs, A. Simultaneous oxidation of carbon black and volatile organic compounds over Ru/CeO2 catalysts. Appl. Catal. B 2009, 88, 249–256. [Google Scholar] [CrossRef]
- Zheng, C.; Mao, D.; Xu, Z.; Zheng, S. Strong Ru-CeO2 interaction boosts catalytic activity and stability of Ru supported on CeO2 nanocube for soot oxidation. J. Catal. 2022, 411, 122–134. [Google Scholar] [CrossRef]
- Wei, Y.; Zhang, P.; Xiong, J.; Yu, Q.; Wu, Q.; Zhao, Z.; Liu, J. SO2-tolerant catalytic removal of soot particles over 3D ordered macroporous Al2O3-supported binary Pt-Co oxide catalysts. Environ. Sci. Technol. 2020, 54, 6947–6956. [Google Scholar] [CrossRef]
- Wang, M.; Zhang, Y.; Yu, Y.; Shan, W.; He, H. Synergistic effects of multicomponents produce outstanding soot oxidation activity in a Cs/Co/MnOx catalyst. Environ. Sci. Technol. 2021, 55, 240–248. [Google Scholar] [CrossRef] [PubMed]
- Xiong, J.; Mei, X.; Liu, J.; Wei, Y.; Zhao, Z.; Xie, Z.; Li, J. Efficiently multifunctional catalysts of 3D ordered meso-macroporous Ce0.3Zr0.7O2-supported PdAu@CeO2 core-shell nanoparticles for soot oxidation: Synergetic effect of Pd-Au-CeO2 ternary components. Appl. Catal. B 2019, 251, 247–260. [Google Scholar] [CrossRef]
- Wei, Y.; Zhao, Z.; Li, T.; Liu, J.; Duan, A.; Jiang, G. The novel catalysts of truncated polyhedron Pt nanoparticles supported on three-dimensionally ordered macroporous oxides (Mn, Fe, Co, Ni, Cu) with nanoporous walls for soot combustion. Appl. Catal. B 2014, 146, 57–70. [Google Scholar] [CrossRef]
- Zhang, C.; Yu, D.; Peng, C.; Wang, L.; Yu, X.; Wei, Y.; Liu, J.; Zhao, Z. Research progress on preparation of 3DOM-based oxide catalysts and their catalytic performances for the combustion of diesel soot particles. Appl. Catal. B 2022, 319, 121946. [Google Scholar] [CrossRef]
- Liu, X.; Meng, J.; Zhu, J.; Huang, M.; Wen, B.; Guo, R.; Mai, L. Comprehensive understandings into complete reconstruction of precatalysts: Synthesis, applications, and characterizations. Adv. Mater. 2021, 33, 2007344. [Google Scholar] [CrossRef]
- Liu, J.; Liu, Y.; Liu, H.; Fu, Y.; Chen, Z.; Zhu, W. Silicalite-1 Supported ZnO as an efficient catalyst for direct propane dehydrogenation. ChemCatChem 2021, 13, 4780–4786. [Google Scholar] [CrossRef]
- Zhang, S.; Zhang, X.; Dong, L.; Zhu, S.; Yuan, Y.; Xu, L. In situ synthesis of Pt nanoparticles encapsulated in silicalite-1 zeolite via a steam-assisted dry-gel conversion method. CrystEngComm 2022, 24, 2697–2704. [Google Scholar] [CrossRef]
- Li, Y.; Zhang, Q.; Fu, S.; Kondratenko, V.A.; Otroshchenko, T.; Bartling, S.; Zhang, Y.; Zanina, A.; Wang, Y.; Cui, G.; et al. Active species and fundamentals of their creation in Co-containing catalysts for efficient propane dehydrogenation to propylene. Chem. Eng. J. 2023, 460, 141778. [Google Scholar] [CrossRef]
- Bi, M.; Song, S.; Li, Z.; Zhang, B.; Zhao, L.; Guo, K.; Li, J.; Chen, L.; Zhao, Q.; Cheng, W.; et al. In situ encapsulated molybdovanaphosphodic acid on modified nanosized TS-1 zeolite catalyst for deep oxidative desulfurization. Microporous Mesoporous Mater. 2022, 335, 111799. [Google Scholar] [CrossRef]
- Aguiar, H.; Serra, J.; González, P.; León, B. Structural study of sol–gel silicate glasses by IR and Raman spectroscopies. J. Non-Cryst. Solids 2009, 355, 475–480. [Google Scholar] [CrossRef]
- González, P.; Serra, J.; Liste, S.; Chiussi, S.; León, B.; Pérez-Amor, M. Raman spectroscopic study of bioactive silica based glasses. J. Non-Cryst. Solids 2003, 320, 92–99. [Google Scholar] [CrossRef]
- Bahtat, M.; Mugnier, J.; Bovier, C.; Roux, H.; Serughetti, J. Waveguide Raman spectroscopy of TiO2:SiO2 thin films. J. Non-Cryst. Solids 1992, 147–148, 123–126. [Google Scholar] [CrossRef]
- Liu, J.; Zeng, L.; Xu, X.; Xu, J.; Fang, X.; Bian, Y.; Wang, X. Elucidating Ru distribution state of Ru-promoted Pr2Sn2O7 pyrochlore and its effect on the catalytic performance for toluene deep oxidation. ChemCatChem 2022, 14, e202101969. [Google Scholar] [CrossRef]
- Wu, L.; Ren, Z.; He, Y.; Yang, M.; Yu, Y.; Liu, Y.; Tan, L.; Tang, Y. Atomically dispersed Co2+ sites incorporated into a Silicalite-1 zeolite framework as a high-performance and coking-resistant catalyst for propane nonoxidative dehydrogenation to propylene. ACS Appl. Mater. Interfaces 2021, 13, 48934–48948. [Google Scholar] [CrossRef]
- Chang, S.; Jia, Y.; Zeng, Y.; Qian, F.; Guo, L.; Wu, S.; Lu, J.; Han, Y. Effect of interaction between different CeO2 plane and platinum nanoparticles on catalytic activity of Pt/CeO2 in toluene oxidation. J. Rare Earths 2022, 40, 1743–1750. [Google Scholar] [CrossRef]
- Yan, Q.G.; Wu, T.H.; Weng, W.Z.; Toghiani, H.; Toghiani, R.K.; Wan, H.L.; Pittman, C.U. Partial oxidation of methane to H2 and CO over Rh/SiO2 and Ru/SiO2 catalysts. J. Catal. 2004, 226, 247–259. [Google Scholar] [CrossRef]
- Pereira, E.B.; Homs, N.; Martí, S.; Fierro, J.L.G.; Ramírez de la Piscina, P. Oxidative steam-reforming of ethanol over Co/SiO2, Co–Rh/SiO2 and Co–Ru/SiO2 catalysts: Catalytic behavior and deactivation/regeneration processes. J. Catal. 2008, 257, 206–214. [Google Scholar] [CrossRef]
- Wu, D.; Wang, Q.; Safonova, O.V.; Peron, D.V.; Zhou, W.; Yan, Z.; Marinova, M.; Khodakov, A.Y.; Ordomsky, V.V. Lignin compounds to monoaromatics: Selective cleavage of C−O bonds over a brominated ruthenium catalyst. Angew. Chem. Int. Ed. 2021, 60, 12513–12523. [Google Scholar] [CrossRef]
- Wang, Z.; Huang, Z.; Brosnahan, J.T.; Zhang, S.; Guo, Y.; Guo, Y.; Wang, L.; Wang, Y.; Zhan, W. Ru/CeO2 catalyst with optimized CeO2 support morphology and surface facets for propane combustion. Environ. Sci. Technol. 2019, 53, 5349–5358. [Google Scholar] [CrossRef]
- Xie, G.; Wang, L.; Zhu, Q.; Xu, L.; Song, K.; Yu, Z. Modification of SiO2 nanoparticle-decorated TiO2 nanocomposites with silane coupling agents for enhanced opacity in blue light-curable Ink. ACS Appl. Nano Mater. 2022, 5, 9678–9687. [Google Scholar] [CrossRef]
- Ruan, H.; Zhang, X.; Yu, M.; Deng, W.; Huang, D.; Hadj Henni, I.; Guo, L. Bimetallic catalysts Ag-K(Cs)/ZSM-5 for efficient soot oxidation via synergistically regulating active species and support of catalyst. Fuel 2023, 351, 128846. [Google Scholar] [CrossRef]
- Guillén-Hurtado, N.; García-García, A.; Bueno-López, A. Active oxygen by Ce–Pr mixed oxide nanoparticles outperform diesel soot combustion Pt catalysts. Appl. Catal. B 2015, 174–175, 60–66. [Google Scholar] [CrossRef]
- Liu, S.; Wu, X.; Weng, D.; Li, M.; Fan, J. Sulfation of Pt/Al2O3 catalyst for soot oxidation: High utilization of NO2 and oxidation of surface oxygenated complexes. Appl. Catal. B 2013, 138–139, 199–211. [Google Scholar] [CrossRef]
- Xiong, J.; Wu, Q.; Mei, X.; Liu, J.; Wei, Y.; Zhao, Z.; Wu, D.; Li, J. Fabrication of spinel-type PdxCo3–xO4 binary active sites on 3D ordered meso-macroporous Ce-Zr-O2 with enhanced activity for catalytic soot oxidation. ACS Catal. 2018, 8, 7915–7930. [Google Scholar] [CrossRef]
- Wu, Q.; Xiong, J.; Zhang, Y.; Mei, X.; Wei, Y.; Zhao, Z.; Liu, J.; Li, J. Interaction-induced self-assembly of Au@La2O3 core–shell nanoparticles on La2O2CO3 nanorods with enhanced catalytic activity and stability for soot oxidation. ACS Catal. 2019, 9, 3700–3715. [Google Scholar] [CrossRef]
- Andana, T.; Piumetti, M.; Bensaid, S.; Veyre, L.; Thieuleux, C.; Russo, N.; Fino, D.; Quadrelli, E.A.; Pirone, R. Nanostructured equimolar ceria-praseodymia for NOx-assisted soot oxidation: Insight into Pr dominance over Pt nanoparticles and metal–support interaction. Appl. Catal. B 2018, 226, 147–161. [Google Scholar] [CrossRef]
- Zhang, P.; Xiong, J.; Wei, Y.; Li, Y.; Zhang, Y.; Tang, J.; Song, W.; Zhao, Z.; Liu, J. Exposed {001} facet of anatase TiO2 nanocrystals in Ag/TiO2 catalysts for boosting catalytic soot combustion: The facet-dependent activity. J. Catal. 2021, 398, 109–122. [Google Scholar] [CrossRef]
- Zhang, H.; Yuan, S.; Wang, J.; Gong, M.; Chen, Y. Effects of contact model and NOx on soot oxidation activity over Pt/MnOx-CeO2 and the reaction mechanisms. Chem. Eng. J. 2017, 327, 1066–1076. [Google Scholar] [CrossRef]
- Niu, H.; Li, K.; Chu, B.; Su, W.; Li, J. Heterogeneous reactions between toluene and NO2 on mineral particles under simulated atmospheric conditions. Environ. Sci. Technol. 2017, 51, 9596–9604. [Google Scholar] [CrossRef]
- Ji, Y.; Bai, S.; Xu, D.; Qian, D.; Wu, Z.; Song, Y.; Pace, R.; Crocker, M.; Wilson, K.; Lee, A.; et al. Pd-promoted WO3-ZrO2 for low temperature NOx storage. Appl. Catal. B 2020, 264, 118499. [Google Scholar] [CrossRef]
- Wu, X.; Lin, F.; Xu, H.; Weng, D. Effects of adsorbed and gaseous NOx species on catalytic oxidation of diesel soot with MnOx–CeO2 mixed oxides. Appl. Catal. B 2010, 96, 101–109. [Google Scholar] [CrossRef]
- Xin, Y.; Cheng, L.; Lv, Y.; Jia, J.; Han, D.; Zhang, N.; Wang, J.; Zhang, Z.; Cao, X.-M. Experimental and theoretical insight into the facet-dependent mechanisms of NO oxidation catalyzed by structurally diverse Mn2O3 nanocrystals. ACS Catal. 2022, 12, 397–410. [Google Scholar] [CrossRef]
- Li, X.; Li, K.; Ding, D.; Yan, J.; Wang, C.; Carabineiro, S.A.C.; Liu, Y.; Lv, K. Effect of oxygen vacancies on the photocatalytic activity of flower-like BiOBr microspheres towards NO oxidation and CO2 reduction. Sep. Purif. Technol. 2023, 309, 123054. [Google Scholar] [CrossRef]
- Cao, F.; Xiang, J.; Su, S.; Wang, P.; Sun, L.; Hu, S.; Lei, S. The activity and characterization of MnOx–CeO2–ZrO2/γ-Al2O3 catalysts for low temperature selective catalytic reduction of NO with NH3. Chem. Eng. J. 2014, 243, 347–354. [Google Scholar] [CrossRef]
- Wang, N.; Sun, Q.; Bai, R.; Li, X.; Guo, G.; Yu, J. In situ confinement of ultrasmall Pd clusters within nanosized silicalite-1 zeolite for highly efficient catalysis of hydrogen generation. J. Am. Chem. Soc. 2016, 138, 7484–7487. [Google Scholar] [CrossRef]
- Wei, Y.; Zhao, Z.; Jiao, J.; Liu, J.; Duan, A.; Jiang, G. Facile synthesis of three-dimensionally ordered macroporous LaFeO3-supported gold nanoparticle catalysts with high catalytic activity and stability for soot combustion. Catal. Today 2015, 245, 37–45. [Google Scholar] [CrossRef]
Disclaimer/Publisher’s Note: The statements, opinions and data contained in all publications are solely those of the individual author(s) and contributor(s) and not of MDPI and/or the editor(s). MDPI and/or the editor(s) disclaim responsibility for any injury to people or property resulting from any ideas, methods, instructions or products referred to in the content. |
© 2023 by the authors. Licensee MDPI, Basel, Switzerland. This article is an open access article distributed under the terms and conditions of the Creative Commons Attribution (CC BY) license (https://creativecommons.org/licenses/by/4.0/).







