Abstract
Nickel-based catalysts promoted by Mo-oxo species have been proven to be quite promising for transformation of triglycerides into green diesel. The selection of the support for such catalysts is crucial. In the present study, pyrolyzed rice husk subjected to acid and/or alkaline post-treatment was studied as support for the aforementioned catalysts. Biochar produced by slow pyrolysis of raw material at 850 °C for 5 h under limited-oxygen conditions exhibited the most promising textural characteristics. These were substantially improved by alkaline post-treatment. Thus, the corresponding MoNi catalysts proved the most efficient for upgrading used cooking oil (UCO) to green diesel via a solvent-free hydrotreatment process, performed in a semi-batch reactor (at 310 °C, 40 bar, 100 mL/min H2, 100 mL UCO and 1 g of catalyst). The enhanced catalytic performance (complete conversion of UCO and 32 wt.% green diesel yield) of MoNi catalysts supported on biochar subjected at least to an alkaline post-treatment step has been attributed to their high SSA, suitable pore size distribution (enhanced mesoporosity), and acidity (enhanced population of acid sites with moderate strength), as well as to the high dispersion of the active phase.
1. Introduction
Currently, humanity is facing an energy crisis, either due to the depletion of fossil energy sources worldwide or due to wars involving countries with large reserves. To tackle this perplexing problem, renewable resources and especially fatty biomass could be considered as the most suitable, clean, and sustainable energy production alternative to the fossil sources. In the frame of the circular economy and environmental protection, the exploitation of residual fatty biomass, which does not compete with food, is urgently needed in our effort to reduce the greenhouse gas (GHG) emissions more than 90% and reach net zero by 2050. One of these residual fatty biomasses with large quantities worldwide is used cooking oil (UCO). Cognitive Market Research shows the global UCO market size to be USD 5226.2 million this year [1]. Fatty biomass could be upgraded to transportation fuels (green diesel and sustainable aviation fuels) by hydrotreatment [2].
Green diesel biorefineries that exploit fatty biomass are constantly growing worldwide. Despite the high production cost of pure hydrotreated vegetable oil (HVO) and the implementation difficulty of the stand-alone process compared to co-processing or regular biodiesel production from trans-esterification, all these companies have decided to invest in pure HVO production plants instead of trying co-processing. This is because, in the long run, pure HVO production gives more possibilities. More precisely, HVO, apart from being used on its own as drop-in or jet fuel, can be also blended with petro-diesel to improve the latter’s parameters in any proportion. This is not the case with co-processing, where the product is already mixed at the production stage [3].
Concerning the application of the stand-alone process, the development of suitable catalysts is a key factor [4,5]. For the time being, the traditional diesel hydrotreatment catalysts ((Ni or Co)MoS) are used in many biorefineries. The use of such catalysts presents many drawbacks that make the process complicated, because of the fact that a sulfur-containing compound should be added in the feed to retain the catalyst in sulfide form. Noble metal catalysts have been studied and showed interesting results; however, their cost is unaffordable for industrial applications. Base metal catalysts, especially Ni-based catalysts, have proven quite promising [4,6].
In our lab, several Ni-based catalysts have been studied [7,8,9,10]. The support of these catalysts influences their performance in regulating the active phase dispersion and catalysts acidity. The performance of Ni-based catalysts can be substantially improved by introducing a promoter, like Mo, W, Cu, Zn, or Fe. Mo was found to be one of the most promoting elements when it is used in a certain very small percentage. More specifically, it has been shown that the promoting action of Mo in the nickel catalysts is due to the significant increase in the metallic Ni active phase surface, the suitable regulation of surface acidity, and the creation of surface oxygen vacancies being useful for the adsorption of reaction intermediate species [5].
Rice husk (RH) is the hard protective covering of the rice grain and an important agricultural waste, which is rich in silica. It has been calculated that each kg of milled rice results in 280 g of RH, which means that >220 billion pounds of RH are generated per year globally and should be managed. For the time being, most of this waste is burned, creating dense smog, thus accelerating climate change, while the rest is discarded to landfills, continuing to emit greenhouse gases [11]. The exploitation of such waste is in accordance with the principles of the circular economy and environmental protection. A way to ameliorate RH-supporting properties is its conversion to biochar via slow pyrolysis in the absence of oxygen or in an oxygen-limited environment [12]. Pyrolysis of RH in controlled temperature and oxygen atmosphere conditions leads to the decomposition of the initial organic matter, accompanied by evaporation of volatile compounds produced, leaving behind a carbon rich porous material. This material exhibits a very high specific surface area (SSA) [13]. The latter characteristic, in combination with the abundant functional groups (-OH, C=O, -COOH, -NH2, etc.) on the surface of biochar, make it a promising material to be used as a catalytic material (catalyst or catalytic support) [10,14,15,16,17] and adsorbent [14,18,19,20,21,22]. Recently, Ravindran et al. [23] reviewed the research concerning carbon-based catalysts for biofuel production, focusing on topics related to the synthesis of such catalysts and their use in biofuel production. They presented advantages, disadvantages, and future prospects of carbon as a support for biofuel production processes.
In the present study, we exploited two wastes, RH and UCO, to produce hydrocarbons in the diesel range via the selective deoxygenation process (SDO). More precisely, we developed Ni catalysts promoted by Mo and supported on biochar produced via slow pyrolysis of RH. To improve the characteristics of the biochar produced, we post-treated it either by an acid (H3PO4) or by an alkali (NaOH), or by successive post-treatment combinations (acidic–alkaline and vice versa). The prepared catalysts were tested in the stand-alone process, using UCO in solvent-free conditions to produce renewable diesel. Slow pyrolysis and post-treatment transform RH into a cheap catalytic support for Ni-based catalysts, satisfying the principles of the circular economy. Finally, the use of waste and renewable materials either as catalyst support or in the feed increases the sustainability of the process following the green chemistry principles.
2. Results and Discussion
2.1. Biochar Production
Previous studies have shown that high pyrolysis temperatures (750–900 °C) result in biochar with a higher surface area and porosity compared to those obtained at lower temperatures (300–600 °C) [18,24,25]. Important studies have been published recently concerning the pyrolysis mechanism of biomass and the physicochemical characteristics of the biochar obtained [17,26,27]. In the present study, we adopted the high temperature of 850 °C and we studied the influence of the pyrolysis duration on the textural characteristics of the biochar produced by slow pyrolysis of the RH in a limited-oxygen atmosphere. Figure 1 presents the influence of pyrolysis time on the specific surface area (SSA) and external surface area (External SA) of biochar. As can be observed, a pyrolysis duration equal to 5 h leads to biochar with enhanced SSA and external SA, characteristics that are favorable for catalyst support.
Figure 1.
Influence of pyrolysis time on the specific surface area (SSA) and external surface area (External SA) of biochar.
2.2. Post-Treatment of Biochar
In order to ameliorate further the physicochemical characteristics of the biochar obtained after pyrolysis at 850 °C for 5 h (BioRH), we post-treated it either by an acidic solution (H3PO4, 2Ν at 80 °C for 4 h) to remove metal (Na, K, Ca, Mg, etc.) oxides (BioRH-H) or by an alkaline solution (NaOH, 2N at 80 °C for 4 h) to remove silica or the remaining lignin fraction from the BioRH structure (BioRH-OH). We applied also successive post-treatments by acidic and alkaline solutions (BioRH-H-OH) and vice versa (BioRH-OH-H). Thus, the post-treated biochar samples are symbolized as BioRH-X-Y, where X stands for the first post-treatment process and Y for the second one, if any. Post-treatment resulted in a weight loss of BioRH. This was very small (<2%) in the case of acidic treatment, in agreement with the very low concentration of alkaline and alkaline earth metals in BioRH [18]. On the contrary, high weight loss (~35%) was observed after alkaline treatment because of the high percentage of silica dissolution in BioRH [18].
It is well known that the organic fraction of biomass mainly consists of cellulose, hemicellulose, and lignin. Thus, its pyrolysis product (biochar) contains residues of these components, the concentration of which depends on the pyrolysis conditions (temperature and time). Alkali post-treatment dissolves the lignin and lignin derivatives, while acid post-treatment can affect the fraction of the rest of the components [13,28].
The textural characteristics of the obtained biochar samples were determined by N2 adsorption–desorption isotherms (presented in Figure S1) and are summarized in Table 1. The isotherms obtained are of Type IVa, showing an H4 hysteresis loop. This means that all the samples are micro-mesoporous materials [29].
Table 1.
Physicochemical characteristics of biochar samples studied (SSA: specific surface area; PV: pore volume; PD: mean pore diameter; and pzc: point of zero charge).
The optimum textural characteristics (SSA: 985–1067 m2·g−1 and PV: 0.75–0.82 cm3 g−1) were obtained when an alkaline post-treatment was performed independently of the post-treatment combinations. This becomes obvious from the pore size distribution curves shown in Figure 2. As it can be observed the acidic treatment slightly increases the population of small mesopores (<8 nm), and this is reflected in the slight increase in the SSA and PV, which is mainly due to the increase in mesopore volumes (Table 1). In contrast, alkaline treatment almost triples the total pore volume, increasing slightly the PD values (Table 1) but increasing drastically the population of both micro- and mesopores, and also increasing slightly that of macropores (>50 nm).
Figure 2.
Pore size distribution curves BioRH samples treated by various methods.
Figure 3 presents the XRD patterns of biochar samples studied. The pattern of the parent biochar, BioRH, exhibits only a broad XRD peak in the 2theta range 18–27°, indicating that this sample is mainly amorphous. This peak seems to consist of two individual peaks centered at ~21.5°, which is attributed to amorphous SiO2 (JCPDS no. 29-0085), and at ~25°, which is attributed to the graphite phase (JCPDS no. 75-0033) of biochar.
Figure 3.
XRD patterns of the BioRH samples without treatment and treated by various methods.
The acidic post-treatment leaves the crystal structure of BioRH unaffected. On the other hand, alkali post-treatment reduces the SiO2 content and, of course, the intensity of the corresponding peak. This results in a shift in the peak overlapping the two aforementioned peaks towards higher 2theta values. A new peak rising at 43.8° after alkaline treatment indicates that the graphite phase is predominant in the corresponding samples [30]. The high graphitization degree of the alkali post-treated samples is also an indication that residual lignin phase components are removed [31].
FTIR spectra were used to determine the functional groups of the parent biochar and the post-treatment-derived samples. Figure 4 shows that in all FTIR spectra, seven absorption peaks can be observed [32]. The peak appearing in the range 3600–3300 cm−1 is attributed to O–H stretching of alcoholic and phenolic hydroxyl groups. The intensity of this band increases in the spectra of post-treated samples, indicating that the hydrothermal treatment of BioRH adds hydroxyl groups on their surfaces. The peak at about 1700 cm−1 is attributed to C=O stretching of the –COOH group. The peak at ~1600 cm−1 corresponds to C=C and C=O stretching bands for conjugated aromatic rings. The peak appearing at 1400 cm−1 suggests the existence of O–H and C–O groups of phenol. The peaks at 1084 cm−1 and 460 cm−1, appearing only in the spectra of BioRH and BioRH-H samples, are attributed to the Si–O–Si stretching band. The latter peaks have almost vanished in the spectra of alkali-treated biochar samples. This indicates that extended desilication takes place upon such a treatment. Finally, the band at 800 cm−1, attributed to C-H stretching, disappears from the spectra of alkali-treated biochar samples (BioRH-OH, BioRH-H-OH, and BioRH-OH-H), probably due to extended delignification caused by alkali treatment, in accordance with the XRD results.
Figure 4.
FTIR spectra of the BioRH samples without treatment and treated by various methods.
In order to examine the thermal stability of the biochar samples prepared, TGA studies were performed under inert and air atmosphere. Figure 5a shows the TGA curves obtained under N2. The samples subjected to alkali treatment seem to be more sensitive to gasification than the parent and acidic-treated ones (BioRH and BioRH-H). This could be explained by considering that the latter samples are rich in silica, which is stable under the temperatures studied. Figure 5b shows the TGA curves of biochar samples studied in air atmosphere. The weight loss of BioRH and BioRH-H samples does not exceed 35%, indicating that their silica percentage is equal to 65% and the acid post-treatment does not affect the SiO2 content. In contrast, a complete burning of alkali-treated biochar samples is observed, verifying that this treatment leads to complete desilication, in accordance with the XRD and FTIR results presented above. However, Figure 5b reveals that the sequence of post-treatments affects the resistance of biochar samples to combustion.
Figure 5.
TGA analysis of the BioRH samples without treatment and treated by various methods: (a) in N2 atmosphere; (b) in air atmosphere.
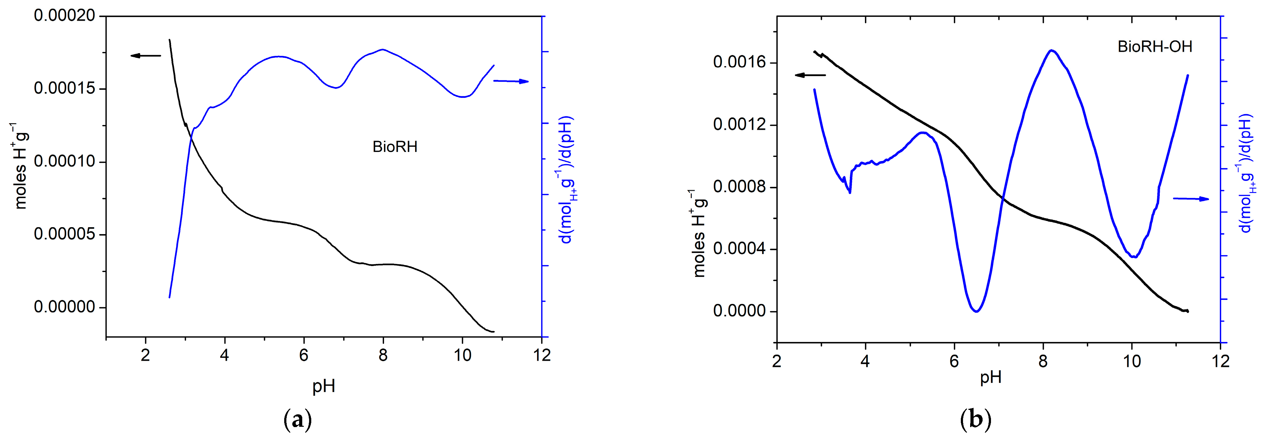
The acid–base properties of biochar samples were studied by determining their point of zero charge (pzc) values (Table 1 and Figure S2) [33] and the relevant fractions of acid sites (Figure 6) [34]. The pzc values appearing in Table 1 were determined by the cross-section point of each potentiometric titration curve with the corresponding curve of a blank solution (without biochar). These values, being higher than 7, show that all biochar samples have low acidity. However, the post-treatment affects the population and strength of their acid sites.

Figure 6.
H+ consumed on the biochar surface upon potentiometric titration of (a) BioRH; (b) BioRH-OH; (c) BioRH-H; (d) BioRH-OH-H; and (e) BioRH-H-OH. The corresponding differential potentiometric titration curves are also presented.
Figure 6 shows the proton consumption on the surface of each biochar sample studied (black lines) upon potentiometric titration experiments, calculated from data presented in Figure S2. Differentiation of these curves (Figure 6, blue lines) reveals the relevant analogy between strong, moderate, and weak acid sites [34]. The area of the inverse peaks in the pH ranges lower than 4, between 4 and 7, and higher than 7 could be taken as a measure of the strong, moderate, and weak acid sites, respectively [34]. Inspection of Figure 6 shows that the relevant population of acid sites with various strength depends on the post-treatment performed. More precisely, (a) the untreated biochar exhibits mainly strong acid sites; (b) these sites have been diminished after alkali post-treatment, making the moderate and weak acid sites predominant; (c) the population of weak acid sites increases considerably after acidic post-treatment of BioRH; (d) strong and moderate acid sites become predominant after successive alkali and acid post-treatment; and (e) in contrast to the latter, successive acid and alkali post-treatment results in enhancement of moderate and weak acid sites, presenting a similar profile as that obtained after a single alkali post-treatment.
Taking into account the physicochemical characteristics of the biochar samples studied, we considered that the BioRH-OH-H is the most promising to be used as support for the preparation of Mo-Ni catalysts, suitable for selective deoxygenation of UCO. Indeed, this carrier presents the highest SSA and PV and the lowest pzc (Table 1), as well as having predominant acid sites of strong and moderate strengths.
2.3. Characterization of MoNi Supported on BioRH-OH-H Catalysts
Using the selected support (BioRH-OH-H), three Mo-Ni catalysts were prepared by wet impregnation, containing 10, 20, and 30 wt.% metals, keeping the atomic ratio constant and equal to 0.9, and using citric acid in the impregnation solution as a chelating reagent to improve the metal’s dispersion. The corresponding samples were characterized by H2-TPR after calcination in inert atmosphere (Ar) and by N2 physisorption, XRD, and CO chemisorption after reduction.
N2 adsorption–desorption analysis (see the corresponding isotherms in Figure S3) revealed that although the metal deposition on the BioRH-OH-H surface doesn’t change the isotherm type, it decreases the SSA from 1067 m2g−1 to values in the range of 991–695 m2g−1, and the PV from 0.82 cm3g−1 to 0.74–0.53 cm3g−1 (Table 1 and Table 2). Although these changes become more intense with the increase in metal loading, considering the catalyst fraction consisted of the support in each catalyst, it can be concluded that the observed decrease is apparent. This, in combination with the almost constant PD values (Table 2), is evidence that a good dispersion of deposited phases is achieved.
Table 2.
Textural and structural characteristics of the catalysts (SSA: specific surface area; PV: pore volume; PD: mean pore diameter; MCSNi0: mean crystal size of metallic nickel; SANi0: specific surface area of metallic nickel; CO chem.: CO chemisorbed on metallic nickel surface; uMCSNi0: mean crystal size of metallic nickel of used catalyst).
The pore size distribution curves presented in Figure 7a show that the catalysts prepared exhibit micro- and mesoporous textures. The latter is crucial for lowering the triglycerides’ mass-transfer resistance upon SDO of UCO.
Figure 7.
Pore size distribution curves: (a) 10, 20, and 30NiMo/BioRH-OH-H catalysts; (b) 20MoNi/BioRH-X-Y catalysts.
XRD patterns of the catalysts with various metal loadings are presented in Figure 8a. The main characteristic diffraction peak of the support at 2theta ~25° (Figure 3) is observed in all patterns. The second XRD peak of the support at 43.8° is overlapped by the main peak of metallic nickel at 2theta 44.6°. The existence of metallic nickel is confirmed by the whole sequence of XRD peaks at 2theta 44.6, 51.8, and 76.3° (JCPDS no. 03-1051). As the nickel loading increases, the XRD peaks become sharper and more intense. Using Scherrer’s equation and the full-width at half maximum of the peak at 51.8° instead of the more intense peak at 44.6°, the mean crystal size of metallic nickel (Ni0) was calculated. This was done to avoid any error due to probable contribution in the latter peak from the support (see Figure 3) or the presence of NiO crystals (most intense peak at 2theta equal to 43.3°). The corresponding values (MCSNi0) presented in Table 2, being lower than 8 nm, prove that good dispersion of nickel phase has been achieved. Although the catalyst with lower metal loading exhibits higher dispersion of nickel, the increase in metal loading slightly decreases the dispersion of deposited Ni. This decrease is compensated by the increase in metal loading, which results in an increase in Ni0 surface area (SANi0), depicted also by the CO chemisorption results (Table 2). Regarding the Mo phase, no peak attributed to metallic or Mo-oxo species was observed, probably due to its low loading or/and its very high dispersion.
Figure 8.
XRD patterns: (a) 10, 20, and 30NiMo/BioRH-OH-H catalysts; (b) 20MoNi/BioRH-X-Y catalysts.
In order to determine the reduction temperature necessary for the activation of the samples, H2-TPR experiments were performed. Figure 9a shows the H2-TPR curves of the calcined samples containing 10, 20, and 30 wt. % metals, as well as that of the support. It is obvious that the bare support consumes hydrogen at temperatures higher than 450 °C, with a maximum at 650 °C, due to reduction of oxygen-containing functional groups and gasification, in accordance with our previous results [10]. The deposition of metals seems to facilitate the reduction of the support, probably due to the H2 activation by metallic species formed at lower temperatures. The catalyst’s precursor sample containing 10 wt.% of metals exhibits three H2-TPR peaks at 160, 310–320, and 470–480 °C. The first peak is attributed to the reduction of NiO weakly interacting with the support surface. The second peak corresponds to Ni species well dispersed at the external support surface (meso- and macropores), moderately interacting with biochar’s surface, while the third peak can be assigned to the reduction of Ni species interacting strongly with or confined to the microporous surface of BioRH-OH-H. In the last peak, the contribution of Mo-oxo species and biochar reduction could not be excluded. As the metal loading increases, the H2-TPR peak attributed to NiO, weakly interacting with the support surface, disappears (see blue and red curves of Figure 9a). Two reduction peaks appear at 310–320 and 470–480 °C in the H2-TPR curves of the samples containing 20 and 30 wt. % metals, indicating that Ni species moderately and strongly interacting with the biochar surface are predominant. Considering the H2-TPR results, the reduction temperature of 450 °C was selected for the catalyst’s activation in the present study. This temperature ensures that the gasification of the support is avoided, and complete reduction of metals could be achieved because of the time that the catalyst precursors spend at this temperature (2.5 h).
Figure 9.
H2-TPR profiles of the calcined samples at 400 °C under Ar flow: (a) 10, 20, and 30NiMo/BioRH-OH-H; (b) 20MoNi/BioRH-X-Y.
2.4. Evaluation of MoNi Catalysts with Various Metal Loadings Supported on BioRH-OH-H
The catalysts prepared using BioRH-OH-H as support were evaluated for upgrading of UCO towards green diesel, via SDO in a semi-batch high pressure reactor, working at 310 °C, 40 bar pressure, 100 mL/min H2 flow rate, and 1000 rpm, and loaded with 100 mL of UCO and 1 g of catalyst. UCO is a difficult feedstock, as it consists mainly of triglycerides and their fry-derivatives (di-, monoglycerides, free fatty acids (FFAs), and polymerization products), and contains small quantities of water, polysaccharides, and proteins coming from cooked foods [7]. The conversion of UCO and the composition of liquid product obtained after 9 h of reaction are presented in Figure 10a. Inspection of this figure shows that the catalyst with 10 wt.% metal loading achieved a UCO conversion higher than 90%, resulting in 9% n-hydrocarbons in the diesel range (C15-C18). Comparing these values with those obtained previously (conversion 70% and hydrocarbons yield 2%) [10] using the same support loaded with 10 wt.% Ni, the promoting action of Mo addition is manifested one more time [5]. By increasing the MoNi loading to 20 wt.%, complete conversion of UCO was achieved and the hydrocarbon yield almost tripled, reaching 29 wt.% in the liquid product. The further increase in MoNi loading to 30 wt.%, although resulting in complete UCO conversion, resulted in a decrease in the hydrocarbon yield (19 wt.% in liquid product). It should be noted that under the experimental conditions adopted for catalyst evaluation, a too-low concentration of cracking products (<1 wt.% in the liquid phase) was obtained.
Figure 10.
Liquid product distributions obtained upon the SDO of UCO over the catalysts studied: (a) 10, 20, and 30NiMo/BioRH-OH-H; (b) 20MoNi/BioRH-X-Y. Reaction conditions: oil/catalyst ratio = 100 mL/g, pressure = 40 bar, temperature = 310 °C, H2 flow rate = 100 mL/min, and time = 9 h.
The improvement in catalytic performance with the increase in metal loading from 10 to 20 wt.% is easily explained by taking into account the corresponding increase in the active surface area (SANi0 and CO chem. values in Table 2). As the latter increased further with the increase in MoNi loading up to 30 wt.%, the decrease in the n-hydrocarbon yield over the latter catalyst was not expected. To explain this strange behavior, we must consider that there is a decrease in SSA and PV with the increase in metal loading from 20 to 30 wt. %. On the other hand, apart from the fact that the population of active sites (SANi0 value in Table 2) increases, it seems that a fraction of these sites are trapped inside the support micropores, and are thus inaccessible to the high-molecular-weight compounds involved in the UCO upgrading mechanism. This fact is confirmed by the increase in PD values from 5.7 nm to 6.6 nm, accompanying the increase in metal loading from 20 to 30 wt. %, indicating that a part of micropores is blocked. To study further the reasons for the unexpected behavior of the latter catalyst, we performed XRD analysis of the used samples. The corresponding XRD patterns are presented in Figure S4. Comparison of these patterns with those of Figure 8a reveals that a sharpening of XRD peaks assigned to Ni0 takes place upon the catalytic tests, which is reflected in an increase in Ni0 crystal size (Table 2). The latter increase follows the increase in metal loading, becoming more significant in the u30MoNi/BioRH-OH-H catalyst. Thus, the reduction in catalytic performance of the 30NiMo/BioRH-OH-H catalyst can be attributed to the aforementioned factors.
Considering the above discussed results, a MoNi loading equal to 20 wt. % was selected as the most promising for preparing corresponding catalysts supported on the rest of the BioRH-X-Y supports. These catalysts were characterized by the same physicochemical methods adopted for the characterization of the MoNi samples supported on BioRH-OH-H.
2.5. Characterization and Evaluation of 20MoNi Supported on BioRH-X-Y Catalysts
Catalyst samples containing 20 wt.% MoNi supported on BioRH-X-Y supports are compared in this section. N2 adsorption–desorption isotherms of these catalysts are presented in Figure S5. Inspection of this figure shows that all the isotherms are of Type IVa with an H4 hysteresis loop, indicating that all the catalysts studied are micro-mesoporous materials. Table 2 shows that the texture of the catalyst prepared on the single acid post-treated support (20MoNi/BioRH-H) slightly differs from that of the catalyst prepared on the parent biochar (20MoNi/BioRH). This is confirmed also by the similarity of the pore size distribution curves of these catalysts shown in Figure 7b. In contrast, the catalysts prepared on the BioRH that underwent at least one alkaline post-treatment step (20MoNi/BioRH-OH, 20MoNi/BioRH-OH-H, and 20MoNi/BioRH-H-OH) exhibit similar textural properties, having high SSA (769–798 m2g−1), PV (0.57–0.60 cm3g−1), and PD (5.7–6.5 nm), as well as the same pore size distribution curves, indicating that these catalysts have a high pore volume fraction, which belongs to mesopores. These textural characteristics are expected to be favorable for the SDO performance of these catalysts, as they facilitate the mass transfer of the high-molecular-weight compounds involved in the UCO. In conclusion, it is obvious that the texture of each catalyst prepared is mainly governed by the texture of the corresponding support.
XRD patterns of the catalysts containing 20 wt.% metals are presented in Figure 8b. These patterns demonstrate that metallic nickel is the only detectable crystalline phase of active components, while the graphite and SiO2 (where it is present) phases of the supports are also confirmed by the wide peak in the 2theta range 18–27°. Using the XRD peak at 2theta equal to 51.8° and Scherrer’s equation, the mean crystal size of Ni0 was found to be very small (4.6 to 7.9 nm) in all cases. The 20MoNi/BioRH-OH catalyst exhibits the highest nickel dispersion (smallest MCSNi0: 4.62 nm). This is also confirmed by the corresponding CO chemisorption value (75.88 μmol g−1) (Table 2).
H2-TPR curves presented in Figure 9a and 9b show that the above catalyst sample also exhibits the maximum H2 consumption. Thus, based on the above characteristics, the best catalytic performance is attained by this catalyst. Indeed, this is confirmed by the catalytic activity results presented in Figure 10b. Inspection of this figure shows that all catalysts containing 20 wt.% metals achieve complete conversion of UCO. However, only the catalysts that have undergone an alkali post-treatment exhibit a significant n-hydrocarbon yield in the diesel range (29–32 wt.% in the liquid product).
The enhanced catalytic performance of the alkali post-treated catalysts could be attributed to their high SSA and PV (N2 physisorption results); their high dispersion of the active phase (XRD and CO chemisorption results); and their enhanced H2 consumption upon H2-TPR (Figure 9). Moreover, it should be stressed that the corresponding supports offer a high population of acid sites of moderate strength (potentiometric titration results, Figure 6). The latter is very important for SDO mechanism [4].
Trying to investigate further the catalytic performance of the catalysts studied, we washed the used catalysts with n-hexane under ultrasonic irradiation to remove organic molecules entrapped in their pores and then we recorded their XRD patterns (Figure S6). The XRD analysis of the used catalysts revealed that the uMCSNi0 values are higher than the corresponding values of fresh catalysts. This means a small amount of sintering of the active phase takes place upon SDO of UCO.
2.6. Comparison of the Performance of Catalysts Studied with Other Biochar-Supported Catalysts
Searching the scientific literature, we found some interesting research works aiming to exploit agricultural wastes as catalytic supports and transforming them into biochar samples. In the present subsection, some recent works targeting the preparation of SDO catalysts for upgrading fatty biomass to green diesel are discussed (Table 3). Ido et al. [35] studied Ni catalysts supported on rice husk biochar containing 20 wt. % Ni for the hydrotreatment of Scenedesmus obliquus oil in a temperature range of 150–350 °C, pressure of 10–50 bar, and dodecane-to-bio-oil ratio of 2–6 at 500 rpm for a 6 h reaction time. They found that a hydrocarbon yield of about 70% can be achieved at 250 °C, pressure of 38 bar, and dodecane-to-bio-oil ratio of 4. This yield is superior to that obtained in our case. However, it should be noted that in contrast to our solvent-free conditions, the use of dodecane positively affects the hydrotreatment process by reducing the viscosity of the feedstock oil. Moreover, the use of such a solvent is not attractive for industrial applications. de Barros Dias Moreira et al. [36] compared the efficiencies of Co catalysts supported on commercial active carbon and activated biochar from macauba endocarp (EAC) for upgrading macauba oil to bio-hydrocarbons. They also obtained a high deoxygenation degree (98.4 %wt, at 4 h, 30 bar H2, 350 °C) using dodecane as a solvent. Kaewtrakulchai et al. [37] used palm-fiber-activated biochar (PFAC—activation agent: KOH) to prepare Ni-P and Fe-P supported catalysts and evaluated these catalysts for upgrading of palm oil to green diesel in a trickle bed down flow reactor working at LHSV 1 h−1; H2 pressure 50 bar; H2 flow 100 mL/min; and temperature range 340–400 °C. They found that their catalysts exhibited significant catalytic performance. The Ni-P catalyst achieved liquid hydrocarbon yield of about 78%, of which 49% concerns green diesel at a reaction temperature of 360 °C. The corresponding Fe-P catalyst achieved a 76% hydrocarbon yield, of which 56.2% is green diesel. The high reaction temperatures used (especially, temperatures > 360 °C) in the latter study accelerated the cracking reactions, thus decreasing the green diesel yield. However, considering the high reaction temperatures used in this study and the fact that a relatively low LHSV value has been adopted, the results obtained are comparable with our results (green diesel yield of 32%) at a lower reaction temperature (310 °C) and reaction time (9 h), which corresponds to an LHSV equal to 11 h−1.
Table 3.
Outline of the contributions concerning green diesel production over biochar-supported catalysts via hydrotreatment.
3. Materials and Methods
3.1. Materials
The chemicals used were nickel nitrate (Ni(NO3)26H2O, Alpha Aesar, Karlsruhe, Germany), ammonium heptamolybdate tetrahydrate ((NH4)6Mo7O24 4H2O, Merck, Darmstadt, Germany), citric acid (C6H8O7·H2O, Panreac Química SLU, Polígono Pla de la Bruguera, Castellar del Vallès, Barcelona, Spain), H3PO4 (85%, Penta chemicals, Radiová, Prague, Czech Republic), NaOH (Merck, Darmstadt, Germany), HNO3 (≥69%, Sigma-Aldrich Co., St. Louis, MO, USA), NaNO3 (Panreac Química SLU, Polígono Pla de la Bruguera, Castellar del Vallès, Barcelona, Spain), and tri-distilled water. Rice husk (RH) was obtained from the local company AGRINO SA, Agrinio, Greece. As a feedstock for the catalytic experiments, UCO was used, which was kindly offered by Collectoil, a local company of Patras, Greece. Its characteristics were presented in a previous study [7].
3.2. Biochar Sample Production
RH was dried at 50 °C overnight and a dried weighted amount was placed in a custom-made ceramic saggar box, closed with a cap to prevent oxygen from entering the vessel. Pyrolysis of RH takes place under limited-oxygen conditions in an electric furnace (Type Nabertherm, Controller B 180, Lilienthal, Germany) at 850 °C with a heating rate of 10 °C/min for various pyrolysis durations (from 1 to 8 h). After pyrolysis, the sample was allowed to cool down to room temperature and the biochar collected was ground to a powder granulometry.
3.3. Biochar Post-Treatment
The biochar sample prepared by pyrolysis for 5 h was chosen as the parent material and is symbolized as BioRH.
Acidic post-treatment of BioRH was performed by a hydrothermal method. More precisely, a measured amount of fine powder of BioRH and the acid aqueous solution (H3PO4, 2N) were mixed in a round-bottomed flask (solid-mass-to-solution-volume ratio 1 g/20 mL), which was immersed in an oil bath and retained at 80 °C for 4 h under stirring, followed by cooling at room temperature. The suspension was vacuum filtered (Büchner funnel sintered disc with porosity 2: 40−90 μm) and then the solid was washed with hot distilled water (65 °C) several times. The obtained solid was then dried at 110 °C overnight and symbolized as BioRH-H.
Alkali post-treatment of BioRH was performed by using the above-described method, altering the acid solution by an alkali aqueous solution (NaOH, 2N). The corresponding sample was symbolized as BioRH-OH. We also applied successive post-treatments by acidic and alkaline solutions (BioRH-H-OH) and vice versa (BioRH-OH-H).
3.4. Catalysts’ Preparation
MoNi catalysts supported on rice husk biochar samples were prepared by the wet impregnation method. An aqueous solution of 100 mL, containing accounted amounts of the metal precursor salts (Ni(NO3)2·6H2O and (NH4)6Mo7O24·4H2O) and retaining a constant atomic ratio equal to 0.9, was stirred at room temperature for 1h. Afterwards, a precisely weighted amount of citric acid to obtain a molar ratio equal to 1 was added to the solution and stirred for 1 more hour. An appropriate mass of dried biochar sample and the prepared solution were transferred to a spherical flask of a rotary evaporator. The suspension was left under rotation, at a temperature of 50 °C and pressure of 35 ± 3 mbar until the solvent evaporated. The solids obtained were dried overnight at 110 °C and activated with H2 (30 mL/min) at 450 °C for 2.5 h. Following this preparation process, catalysts containing 10, 20, and 30 wt.% metals were synthesized on BioRH-OH-H support and catalysts containing 20 wt.% metals were synthesized on the rest of the supports studied in the present work.
3.5. Samples’ Characterization
Textural characteristics of the samples were determined using N2 physisorption. The acid–base properties of biochar samples were studied by potentiometric titrations. X-ray powder diffraction (XRD) was used to identify crystal phases of the samples. Reducibility of the catalyst precursors was studied using temperature-programmed reduction with H2 (H2-TPR). Thermogravimetric analysis was used to determine the thermal stability of the samples. The functional groups of the biochar samples were identified using Fourier transformed infrared spectroscopy (FTIR). The determination of the catalysts’ metallic surface was performed by CO chemisorption. Experimental details and setups used are provided in Supplementary Materials.
3.6. Catalysts’ Evaluation
Catalyst performance was evaluated in the absence of any solvent in a high-pressure (40 bar) semi-batch reactor fed with H2 (100 mL/min) at 310 °C, for 9 h. For more details, see Supplementary Materials.
4. Conclusions
Rice husk biochar with favorable supporting properties was successfully prepared by slow pyrolysis of raw material at 850 °C for 5 h under limited-oxygen conditions. The post-treatment of the parent biochar with alkaline solution improved notably its supporting characteristics, increasing SSA and PV and enhancing the moderate acidity by removing the silica fraction. The so-obtained support was used for preparing inexpensive Ni-based catalysts, satisfying the principles of the circular economy. The catalysts containing 20 wt.% MoNi, with a Ni/(Ni+Mo) atomic ratio equal to 0.9, supported on alkali post-treated rice husk biochar, proved to be quite active for the upgrading of UCO to green diesel via a stand-alone hydrotreatment process. The enhanced catalytic performance (29–32 wt.% green diesel in the liquid product, without cracking products at 310 °C, 40 bar pressure, 100 mL/min H2 flow rate, and reaction time corresponding to LHSV = 11 h−1) of these catalysts was attributed to their high SSA, suitable pore size distribution (enhanced mesoporosity), and acidity (enhanced population of acid sites with moderate strength), as well as to their high dispersion of the active phase.
Supplementary Materials
The following supporting information can be downloaded at: https://www.mdpi.com/article/10.3390/catal14120865/s1, Figure S1: N2 adsorption–desorption isotherms of the biochar samples studied; Figure S2: Potentiometric titration curves of biochar samples studied and the blank solution; Figure S3: N2 adsorption–desorption isotherms of the 10, 20, and 30MoNi/BioRH-OH-H catalysts; Figure S4: XRD patterns of used 10, 20, 30MoNi/BioRH-OH-H catalysts; Figure S5: N2 adsorption–desorption isotherms of the 20MoNi/BioRH-X-Y catalysts; Figure S6: XRD patterns of used 20MoNi/BioRH-X-Y catalysts.
Author Contributions
Conceptualization, E.K., K.B. and C.K.; methodology, E.K.; software, J.Z. and E.K.; validation, E.K. and C.K.; investigation, P.-I.V., N.M., J.Z. and E.K.; resources, C.K. and K.B.; data curation, E.K.; writing—original draft preparation, E.K.; writing—review and editing, C.K. and K.B.; visualization, C.K.; supervision, C.K.; project administration, E.K. All authors have read and agreed to the published version of the manuscript.
Funding
This research received no external funding.
Data Availability Statement
All data supporting the reported results can be found in the published article.
Conflicts of Interest
The authors declare no conflicts of interest.
References
- Phagare, M. Used Cooking Oil Market Report 2024 (Global Edition). Report ID: CMR844666. Available online: https://www.cognitivemarketresearch.com/used-cooking-oil-market-report (accessed on 17 October 2024).
- Zhou, Y.; Remón, J.; Jiang, Z.; Matharu, A.S.; Hu, C. Tuning the selectivity of natural oils and fatty acids/esters deoxygenation to biofuels and fatty alcohols: A review. Green Energy Environ. 2023, 8, 722–743. [Google Scholar] [CrossRef]
- Available online: https://greenea.com/publication/new-players-join-the-hvo-game/ (accessed on 18 October 2024).
- Kordulis, C.; Bourikas, K.; Gousi, M.; Kordouli, E.; Lycourghiotis, A. Development of nickel based catalysts for the transformation of natural triglycerides and related compounds into green diesel: A critical review. Appl. Catal. B 2016, 181, 156–196. [Google Scholar] [CrossRef]
- Lycourghiotis, S.; Kordouli, E.; Bourikas, K.; Kordulis, C.; Lycourghiotis, A. The role of promoters in metallic nickel catalysts used for green diesel production: A critical review. Fuel Process. Technol. 2023, 244, 107690. [Google Scholar] [CrossRef]
- Hongloi, N.; Prapainainar, P.; Prapainainar, C. Review of green diesel production from fatty acid deoxygenation over Ni-based catalysts. Mol. Catal. 2022, 523, 111696. [Google Scholar] [CrossRef]
- Lycourghiotis, S.; Kordouli, E.; Sygellou, L.; Bourikas, K.; Kordulis, C. Nickel catalysts supported on palygorskite for transformation of waste cooking oils into green diesel. Appl. Catal. B 2019, 259, 118059. [Google Scholar] [CrossRef]
- Lycourghiotis, S.; Kordouli, E.; Kordulis, C.; Bourikas, K. Transformation of residual fatty raw materials into third generation green diesel over a nickel catalyst supported on mineral palygorskite. Renew. Energy 2021, 180, 773–786. [Google Scholar] [CrossRef]
- Fani, K.; Lycourghiotis, S.; Bourikas, K.; Kordouli, E. Biodiesel Upgrading to Renewable Diesel over Nickel Supported on Natural Mordenite Catalysts. Ind. Eng. Chem. Res. 2021, 60, 18695–18706. [Google Scholar] [CrossRef]
- Nikolopoulos, I.; Kordouli, E.; Mourgkogiannis, N.; Karapanagioti, H.K.; Lycourghiotis, A.; Kordulis, C. Valorization of Pyrolyzed Biomass Residues for the Transformation of Waste Cooking Oil into Green Diesel. Catalysts 2023, 13, 1004. [Google Scholar] [CrossRef]
- AboDalam, H.; Devra, V.; Ahmed, F.K.; Li, B.; Abd-Elsalam, K.A. Chapter 29—Rice wastes for green production and sustainable nanomaterials: An overview. In Nanobiotechnology for Plant Protection, Agri-Waste and Microbes for Production of Sustainable Nanomaterials; Abd-Elsalam, K.A., Periakaruppan, R., Rajeshkumar, S., Eds.; Elsevier: Amsterdam, The Netherlands, 2022; pp. 707–728. [Google Scholar] [CrossRef]
- Bushra, B.; Remya, N. Biochar from pyrolysis of rice husk biomass—Characteristics, modification and environmental application. Biomass Conv. Bioref. 2024, 14, 5759–5770. [Google Scholar] [CrossRef]
- Kottis, T.; Soursos, N.; Govatsi, K.; Sygellou, L.; Vakros, J.; Manariotis, I.D.; Mantzavinos, D.; Lianos, P. Biochar from olive tree twigs and spent malt rootlets as electrodes in Zn-air batteries. J. Colloid Interface Sci. 2024, 665, 10–18. [Google Scholar] [CrossRef]
- Yameen, M.Z.; Naqvi, S.R.; Juchelková, D.; Khan, M.N.A. Harnessing the power of functionalized biochar: Progress, challenges, and future perspectives in energy, water treatment, and environmental sustainability. Biochar 2024, 6, 25. [Google Scholar] [CrossRef]
- Kalampaliki, D.; Jayasinghe, G.D.T.M.; Avramiotis, E.; Manariotis, I.D.; Venieri, D.; Poulopoulos, S.G.; Szpunar, J.; Vakros, J.; Mantzavinos, D. Application of a KOH-activated biochar for the activation of persulfate and the degradation of sulfamethoxazole. Chem. Eng. Res. Des. 2023, 194, 306–317. [Google Scholar] [CrossRef]
- Giannakopoulos, S.; Vakros, J.; Frontistis, Z.; Manariotis, I.D.; Venieri, D.; Poulopoulos, S.G.; Mantzavinos, D. Biochar from Lemon Stalks: A Highly Active and Selective Carbocatalyst for the Oxidation of Sulfamethoxazole with Persulfate. Catalysts 2023, 13, 233. [Google Scholar] [CrossRef]
- Lu, Y.W.; Fan, Y.H.; Chen, M. Synthesis of invasive plant biochar catalyst with carbon nitride structure for peroxymonosulfate activation toward efficient ciprofloxacin degradation. Biochar 2024, 6, 25. [Google Scholar] [CrossRef]
- Mourgkogiannis, N.; Nikolopoulos, I.; Kordouli, E.; Lycourghiotis, A.; Kordulis, C.; Karapanagioti, H.K. The Influence of Biowaste Type on the Physicochemical and Sorptive Characteristics of Corresponding Biochar Used as Sustainable Sorbent. Sustainability 2024, 16, 2889. [Google Scholar] [CrossRef]
- Jia, X.; Yin, T.; Wang, Y.; Zhou, S.; Zhao, X.; Chen, W.; Hu, G. Porous honeycomb cork biochar for efficient and highly selective removal of phosphorus from wastewater. Biochar 2023, 5, 84. [Google Scholar] [CrossRef]
- Zhang, W.; Chen, R.; Li, J.; Huang, T.; Wu, B.; Ma, J.; Wen, Q.; Tan, J.; Huang, W. Synthesis optimization and adsorption modeling of biochar for pollutant removal via machine learning. Biochar 2023, 5, 25. [Google Scholar] [CrossRef]
- Elkatory, M.R.; Yılmaz, M.; Hassaan, M.A.; Nemr, A.E. Fabrication of date palm kernel biochar-sulfur (DPKB-S) for super adsorption of methylene blue dye from water. Sci. Rep. 2024, 14, 6830. [Google Scholar] [CrossRef]
- Phiri, Z.; Moja, N.T.; Nkambule, T.T.I.; de Kock, L.A. Utilization of biochar for remediation of heavy metals in aqueous environments: A review and bibliometric analysis. Heliyon 2024, 10, e25785. [Google Scholar] [CrossRef]
- Ravindran, M.X.Y.; Asikin-Mijan, N.; AbdulKareem-Alsultan, G.; Ong, H.C.; Nurfarhana, M.M.; Lee, H.V.; Kurniawan, T.A.; Derawi, D.; Yusoff, S.F.M.; Lokman, I.M.; et al. A review of carbon-based catalyst for production of renewable hydrocarbon rich fuel. J. Environ. Chem. Eng. 2024, 12, 112330. [Google Scholar] [CrossRef]
- Manariotis, I.D.; Fotopoulou, K.N.; Karapanagioti, H.K. Preparation and characterization of biochar sorbents produced from malt spent rootlets. Ind. Eng. Chem. Res. 2015, 54, 9577–9584. [Google Scholar] [CrossRef]
- Avramiotis, E.; Frontistis, Z.; Manariotis, I.D.; Vakros, J.; Mantzavinos, D. Oxidation of Sulfamethoxazole by Rice Husk Biochar-Activated Persulfate. Catalysts 2021, 11, 850. [Google Scholar] [CrossRef]
- Jiang, S.-F.; Sheng, G.-P.; Jiang, H. Advances in the Characterization Methods of Biomass Pyrolysis Products. ACS Sustain. Chem. Eng. 2019, 7, 12639–12655. [Google Scholar] [CrossRef]
- Chen, D.; Xu, J.; Ling, P.; Fang, Z.; Ren, Q.; Xu, K.; Jiang, L.; Wang, Y.; Su, S.; Hu, S.; et al. Formation and evolution mechanism of persistent free radicals in biochar during biomass pyrolysis: Insights from biochar′s element composition and chemical structure. Fuel 2024, 357, 129910. [Google Scholar] [CrossRef]
- Ntaflou, M.; Vakros, J. Transesterification activity of modified biochars from spent malt rootlets using triacetin. J. Clean. Prod. 2020, 259, 120931. [Google Scholar] [CrossRef]
- Thommes, M.; Kaneko, K.; Neimark, A.V.; Olivier, J.P.; Rodriguez-Reinoso, F.; Rouquerol, J.; Sing, K.S.W. Physisorption of gases, with special reference to the evaluation of surface area and pore size distribution (IUPAC Technical Report). Pure Appl. Chem. 2015, 87, 1051–1069. [Google Scholar] [CrossRef]
- Castelo-Quibén, J.; Bailón-García, E.; Moral-Rodríguez, A.I.; Carrasco-Marín, F.; Pérez-Cadenas, A.F. Recycling and valorization of LDPE: Direct transformation into highly ordered doped-carbon materials and their application as electro-catalysts for the oxygen reduction reaction. Catal. Sci. Technol. 2022, 12, 1187–1201. [Google Scholar] [CrossRef]
- Kandylis, P.; Dimitrellou, D.; Gousi, M.; Kordouli, E.; Kanellaki, M. Effect of Immobilization Support and Fermentation Temperature on Beer and Fermented Milk Aroma Profiles. Beverages 2021, 7, 47. [Google Scholar] [CrossRef]
- Fu, H.; Wang, S.; Zhang, H.; Dai, Z.; He, G.; Li, G.; Ding, D. Remediation of uranium-contaminated acidic red soil by rice husk biochar. Environ. Sci. Pollut. Res. 2022, 29, 77839–77850. [Google Scholar] [CrossRef]
- Vakros, J.; Kordulis, C.; Lycourghiotis, A. Potentiometric mass titrations: A quick scan for determining the point of zero charge. Chem. Commun. 2002, 17, 1980–1981. [Google Scholar] [CrossRef]
- Bourikas, K.; Kordulis, C.; Lycourghiotis, A. Differential Potentiometric Titration: Development of a Methodology for Determining the Point of Zero Charge of Metal (Hydr)oxides by One Titration Curve. Environ. Sci. Technol. 2005, 39, 4100–4108. [Google Scholar] [CrossRef] [PubMed]
- Ido, A.L.; de Luna, M.D.G.; Ong, D.C.; Capareda, S.C. Upgrading of Scenedesmus obliquus oil to high-quality liquid-phase biofuel by nickel-impregnated biochar catalyst. J. Clean. Prod. 2019, 209, 1052–1060. [Google Scholar] [CrossRef]
- de Barros Dias Moreira, J.; de Rezende, D.B.; Pasa, V.M.D. Deoxygenation of Macauba acid oil over Co-based catalyst supported on activated biochar from Macauba endocarp: A potential and sustainable route for green diesel and biokerosene production. Fuel 2020, 269, 117253. [Google Scholar] [CrossRef]
- Kaewtrakulchai, N.; Fuji, M.; Eiad-Ua, A. Catalytic deoxygenation of palm oil over metal phosphides supported on palm fiber waste derived activated biochar for producing green diesel fuel. RSC Adv. 2022, 12, 26051. [Google Scholar] [CrossRef] [PubMed]
Disclaimer/Publisher’s Note: The statements, opinions and data contained in all publications are solely those of the individual author(s) and contributor(s) and not of MDPI and/or the editor(s). MDPI and/or the editor(s) disclaim responsibility for any injury to people or property resulting from any ideas, methods, instructions or products referred to in the content. |
© 2024 by the authors. Licensee MDPI, Basel, Switzerland. This article is an open access article distributed under the terms and conditions of the Creative Commons Attribution (CC BY) license (https://creativecommons.org/licenses/by/4.0/).










