Abstract
In the past few decades, N-heterocyclic carbenes (NHCs) have opened the new field of organocatalysis in synthetic organic chemistry. This review highlights the dramatic progress in the field of NHC-catalyzed C–O bond formation based on the activation of aldehyde C(sp2)–H bonds. The oxidative and redox transformations for the synthesis of various molecules with structural diversity and complexity are summarized. Furthermore, new methods and strategies for NHC catalysis are emerging continuously; thus, cooperative catalysis with Brønsted acid, hydrogen-bonding catalyst, transition-metal catalyst, and photocatalyst are also described.
1. Introduction
N-Heterocyclic carbenes (NHCs) have gained increasing attention as powerful and versatile organocatalysts in organic synthesis since the first isolation of stable carbene in 1991 [1]. The NHC catalysis leads to the novel approach for activating the aldehyde C(sp2)–H bonds via the formation of the Breslow intermediates. In particular, reversing the reactivity of aldehydes via the “umpolung of aldehydes” opens the new field of organocatalysis [2,3,4,5,6,7,8,9].
In recent years, the use of chiral NHCs has attracted substantial attention for the enantioselective synthesis of various molecules with structural diversity and complexity [10,11,12,13,14,15,16,17,18,19,20,21,22]. Furthermore, new methods and strategies for NHC catalysis are emerging continuously, leading to the remarkable progress in the cooperative catalysis with Lewis acid, Brønsted acid, hydrogen-bonding organocatalyst, and transition-metal catalyst [23,24,25,26,27]. More recently, the NHC catalysis has been expanded by its combination with photocatalysis, as well as radical catalysis [28,29,30,31,32,33]. In this review article, we overview the progress in the NHC-catalyzed C–O bond formation of aldehydes by showing the representative reactions.
2. Oxidative Esterification of Aldehydes
2.1. Esterification of Aldehydes under Oxidation Conditions
The NHC-catalyzed esterification of aldehydes was widely investigated under the oxidation conditions as an important approach to achieve the dehydrogenative reaction of aldehydes with alcohols [34,35,36,37,38,39,40,41,42,43]. Oxidative NHC catalysis was achieved by using MnO2 or azobenzene as an oxidant (Scheme 1) [34,35]. In the presence of NHC generated from the triazolium-based NHC precursor A1 (10 mol%) and DBU (1.1 equiv.), the dehydrogenative reaction of aldehyde 1 with alcohols was performed in CH2Cl2 at room temperature under the oxidative conditions using MnO2 [34]. The corresponding ester 2 was obtained in good yields. The oxidative esterification of benzaldehyde 3 using the precursor A2 and azobenzene as stoichiometric oxidants gave the ester 4 [35]. These transformations are initiated by the formation of the Breslow intermediate, which is oxidized to acyl azolium by an oxidant. Finally, the reaction of acyl azolium with ROH results in the release of free NHC catalyst and the formation of ester. Furthermore, 3,3,5,5-t-butyldiphenoqinone (DQ), phenazine, CCl3CN, phenazine, and tert-butyl hydroperoxide (TBHP) are used as an oxidant for the esterification of aldehydes [36,37,38,39,40,41,42,43,44,45,46]. The aerobic or electrochemical oxidations are also used in conjunction with NHC-catalyzed esterification of aldehydes [47,48,49,50,51,52]. Additionally, the oxidative esterification of aldehydes has been studied using boronic acids, 2,2,6,6-tetramethylpiperidine 1-oxyl (TEMPO) and alkyl halides [53,54,55,56].
Scheme 1.
Dehydrogenative reaction of aldehydes with alcohols.
Chiral NHCs have gained increasing attention as organocatalysts for enantioselective synthesis. The enantioselective synthesis of β-hydroxyl esters from enals was achieved under the oxidation conditions using chiral NHC catalysts (Scheme 2) [57,58]. Employing 4-nitropyridine N-oxide as an oxidant with chiral NHC generated from the precursor A3 (10 mol%) and NaOAc, the β-hydroxylation of cinnamaldehyde 5 took place to generate β-hydroxyl ester 6 in 45% yield with 92% ee [57]. In this reaction, β-hydroxyl group is introduced by the oxygen transfer from nitro group of an oxidant through the radical pathway. The enantioselective synthesis of α-fluoro esters from aldehydes was reported [59]. In the presence of the precursor (5aS,10bR)-A4a, K2CO3 and N-fluorobenzenesulfonimide (NFSI), the oxidative functionalization of aliphatic aldehyde 7 proceeded to give α-fluoro ester 8 with good enantioselectivity. In this reaction, NFSI serves not only as the electrophilic fluorination reagent but also an oxidant. Chiral NHC catalyst was used for the atroposelective synthesis of axially chiral styrenes [60]. When the precursor (5aS,10bR)-A5 with a bulkier N-tricyclohexylphenyl substituent was employed under the oxidation conditions using DQ as an oxidant, the reaction of ynal 9 with sulfinic acid and 2-methoxyphenol afforded the styrene 10 bearing a chiral axis in 91% yield with >99:1 er and >20:1 E/Z selectivity. This transformation proceeds through the 1,4-addition of sulfinic anion to acetylenic acyl azolium intermediate, followed by E-selective protonation, to set up the chiral axis. Furthermore, the chiral NHC-catalyzed oxidative coupling of enals with carboxylic acids was developed by employing hypervalent iodine-(III) reagent [61]. Additionally, chiral NHCs were used for the regioselective functionalization of carbohydrates [62,63]. The oxidative esterification of carbohydrates proceeded with excellent regioselectivities when 2,6-dichloro-benzaldehyde or 2-fluoro-6-iodo-benzaldehyde was employed as an acylation precursor [62].
Scheme 2.
Enantioselective functionalization of aldehydes.
2.2. Kinetic Resolution
Chiral NHC-catalyzed oxidative esterification has been used for achieving kinetic resolution [64,65,66,67,68,69,70,71,72]. The kinetic resolution of racemic 3-hydroxy oxindole rac-11 was examined using chiral NHC generated from (5aS,10bR)-A6b (Scheme 3) [64]. In the presence of Mg(OTf)2 and NaBF4, the use of MnO2 as an external oxidant effectively induced the reaction between rac-11 and cinnamaldehyde 5 to give the ester 12 in 52% yield and 87% ee, accompanied with the recovered 11 in 45% yield and 98% ee. The dynamic kinetic resolution of racemic 3-hydroxyphthalide 13 was achieved via NHC-catalyzed acylation [67]. In the presence of chiral NHC generated from (5aS,10bR)-A4a (20 mol%) and i-Pr2NEt (1 equiv.), the acylation of 13 with aldehyde 14 was performed in EtOAc at room temperature under oxidative conditions using DQ (1.2 equiv.) as an oxidant. The corresponding ester 15 was obtained in 96% yield with 98:2 er.
Scheme 3.
Kinetic resolution via oxidative esterification.
The NHC-catalyzed dynamic kinetic resolution was applied to the synthesis of axially chiral compounds (Scheme 4) [70,71]. The atroposelective dynamic kinetic resolution of racemic biaryl aldehyde 16 was developed using oxidative NHC catalysis [70]. In the presence of NHC, generated from the precursor (5aR,10bS)-A7b, and DQ oxidant, the esterification of aldehyde 16 with benzyl alcohol gave chiral biaryl amino ester 17 in 90% yield with 96.5:3.5 er. The one-pot synthesis of the axially chiral binaphthyl compound 21 from racemic ketone 18 was also developed [71]. Initially, the NHC-catalyzed atroposelective acylation of ketone oxygen atom on 18 with aldehyde 19 gave the enol ester intermediate 20 via dynamic kinetic resolution. The subsequent one-pot oxidation of 20 using 2,3-dichloro-5,6-dicyano-1,4-benzoquinone (DDQ) as an oxidant led to the chiral binaphthyl compound 21.
Scheme 4.
Atroposelective dynamic kinetic resolution.
2.3. Desymmetrization
The desymmetrization of diols based on the chiral NHC-catalyzed oxidative esterification of aldehydes was studied [73,74,75]. The desymmetrization reaction of triarylmethane-bisphenol 22 with benzaldehyde 3 was performed under the conditions using the precursor (5aR,10bS)-A4b, 1,4-diazobicyclo(2.2.2)octane (DABCO, and DQ) as oxidants in 1,2-dimethoxyethane at 0 °C (Scheme 5) [74]. The desymmetrization product 23 was obtained at a 98% yield with 97.2:2.8 er.
Scheme 5.
Desymmetrization of diols via oxidative esterification.
The chiral NHC-catalyzed oxidative esterification of dialdehydes was studied [76,77,78,79,80]. The NHC-catalyzed atroposelective esterification of biaryl dialdehyde 24 was reported (Scheme 6) [77]. In the presence of the precursor (5aS,10bR)-A4b, Cs2CO3 and DQ, the selective esterification of 24 proceeded to give the axially chiral ester 25 at a 81% yield with 96% ee. The mechanistic studies indicate that the highly enantioselective transformation is achieved through the NHC-catalyzed desymmetrization of dialdehyde 24 and the further kinetic resolution via the second esterification of the undesired enantiomer of ester 25. The atroposelective esterification of dialdehyde 26 was also studied [79,80]. The NHC-catalyzed desymmetrization of prochiral dialdehyde 26 gave the axially chiral diaryl ether 27 with the excellent enantioselectivity. The enantioselectivity of 27 was also improved by the kinetic resolution leading to diether.
Scheme 6.
Desymmetrization of dialdehydes.
3. Oxidative Cyclization and Annulation
3.1. Cyclization
Several examples of oxidative cyclization were reported [81,82,83,84,85]. The NHC-catalyzed aerobic oxidation of ynamide-tethered benzaldehyde 28 was studied (Scheme 7) [84]. The regioselective synthesis of (Z)-3-aminomethylenephthalide 29 was achieved by using NEt3 as a base, whereas the use of i-Pr2NEt led to the 6-end cyclization giving 3-aminoisocoumarin 30. Initially, the carboxylic acid intermediate was generated through the aerobic oxidation of the Breslow intermediate. Next, the base-promoted regioselective cyclization of carboxylic acid toward the ynamide moiety afforded 29 or 30. Furthermore, chiral NHC-catalyzed macrocyclization was developed for the atroposelective synthesis of planar-chiral indoles [85].
Scheme 7.
Regioselective oxidative cyclization.
3.2. [3 + 3] Annulation
In the NHC catalysis, the α,β-unsaturated acyl azoliums are Michael acceptors acting as a C3 synthon for [3 + 3] annulation [86,87,88,89,90,91,92,93,94,95,96,97,98]. The oxidative reactions of β-cyano-substituted α, β-unsaturated aldehyde 31 and ethyl acetoacetate 32 were studied (Scheme 8) [90]. Under the optimized conditions using the precursor (5aR,10bS)-A4a (20 mol%), DMAP (20 mol%), LiCl (1 equiv.) and DQ (1.5 equiv.) as oxidants, dihydropyran-4-carbonitrile 33 bearing a quaternary carbon center was obtained at a 90% yield with 97:3 er. In this reaction, both the reaction efficiency and stereoselectivity were improved by the use of LiCl as an additive. This annulation was initiated by the generation of a Breslow intermediate, which was oxidated into the α,β-unsaturated acyl azolium. Next, the Michael addition of 32 to acyl azolium intermediate and the subsequent lactonization provide the annulation product 33, accompanied by the liberation of the NHC catalyst. The asymmetric synthesis of axially chiral molecules was achieved via oxidative [3 + 3] annulation [97]. The chiral NHC-catalyzed oxidative annulation of cinnamaldehyde 5 and indole-1-pyruvate ester 34 gave the N-arylindole 35 with a C–N chiral axis.
Scheme 8.
Oxidative [3 + 3] annulation.
The NHC-catalyzed oxidative esterification of α,β-unsaturated aldehydes with 2-naphthols was applied to the enantioselective [3 + 3] annulation reaction via merging with Claisen rearrangement (Scheme 9) [99]. The chiral NHC-catalyzed annulation reaction of α,β-unsaturated aldehyde 36 and 3-phenyl 2-naphthol 37 gave the enantioenriched product 38 via the route involving oxidative esterification and the subsequent Claisen rearrangement.
Scheme 9.
NHC-catalyzed annulation via Claisen rearrangement.
3.3. [3 + 2] Annulation
Oxidative [3 + 2] annulation between cinnamaldehyde 5 and 4-hydroxy oxindole 39 was reported by Biju’s and Ye’s groups, respectively (Scheme 10) [100,101,102]. In the presence of the precursor (5aR,10bS)-A4a (10 mol%), DBU (20 mol%), LiCl (50 mol%) and DQ (1 equiv.) as oxidants, the reaction of aldehyde 5 with oxindole 39 was carried out in DME, affording spirooxindole-γ-lactone 40 at a 78% yield with 90:10 er [100]. In this reaction, the α,β-unsaturated acyl azolium is the Michael acceptor acting as a C3 synthon for [3 + 2] annulation; thus, the enolate, generated from 39 under basic conditions, added to α,β-unsaturated acyl azolium in a 1,4 fashion. When aldehyde 5 and oxindole 39 were treated with the precursor (5aS,10bR)-A4b (20 mol%), DBU (20 mol%), DABCO (1 equiv.) and nitrobenzene (NB, 2 equiv.) as a single electron oxidant in toluene, the annulation product ent-40 was obtained in 78% yield with 95% ee [101]. Since both radicals from enolate and homoenolate were observed via EPR spectra. a radical/radical cross-coupling pathway is proposed as a possible reaction mechanism. The reaction of homoenolate radical generated from 5 with the radical generated from 39 leads to the cross-coupling intermediate, which is further converted to the final product ent-40 via tautomerization and lactonization.
Scheme 10.
Oxidative [3 + 2] annulation.
Oxidative [3 + 2] annulation reactions involving the activation of the nitrogen atoms of the aromatic π-rings were investigated [103,104,105]. In the presence of chiral NHC generated from the precursor (5aR,10bS)-A12a and DQ, the annulation between indole aldehyde 41 and isatin 42 proceeded smoothly to give the cyclic product 43 (Scheme 11) [103]. In this catalytic cycle, a key step was the formation of aza-fulvene intermediate from acyl azolium under the basic conditions. The nucleophilic addition of nitrogen atom on aza-fulvene to isatin 42, followed by the intramolecular ester formation, would lead the annulation product 43.
Scheme 11.
Oxidative [3 + 2] annulation using acyl azolium.
3.4. [4 + 2] Annulation
The NHC-linked vinyl enolates (dienolates) act as a C4 synthon for [4 + 2] annulation (Scheme 12) [106,107,108,109,110]. The oxidative γ-functionalization of α,β-unsaturated aldehydes with trifluoroacetophenone 45 was studied under NHC catalysis [106]. The high enantioselectivities were achieved via the NHC- and Sc/Mg-based Lewis acid cooperative catalysis. In the presence of the precursor (5aR,10bS)-A4b, Sc(OTf)3, Mg(OTf)2, K2CO3 and DQ as oxidants, α,β-unsaturated aldehyde 44 reacted with ketone 45 to give δ-lactone 46 at a 81% yield with 94% ee. In this reaction, a key step was the activation of γ-carbon of α,β-unsaturated acyl azolium. The γ-CH deprotonation of α,β-unsaturated acyl azolium led to the NHC-linked vinyl enolate bearing a nucleophilic γ-carbon, which added to ketone 45 by coordinating of scandium Lewis acid with the reaction partners. Similarly, treatment of aldehyde 44 with ketoester 47 in the presence of the precursor (5aR,10bS)-A13b, Sc(OTf)3, CsOAc and DQ led to the formation of δ-lactone 48 in 75% yield with 94% ee [107]. As the relative examples, the [4 + 2] annulation reactions via NHC-linked ortho-quinine methide intermediate or the formal [10+2] cycloaddition reaction via NHC-linked 12π species were reported [111,112,113,114]. Additionally, the [4 + 2] annulation using azolium enolate as a C2 synthon was also developed [115,116].
Scheme 12.
Oxidative [4 + 2] annulation using NHC-linked vinyl enolates.
3.5. [4 + 3] Annulation
The NHC–Lewis acid cooperatively catalyzed formal [4 + 3] annulation was developed (Scheme 13) [117]. In the presence of the precursor (5aR,10bS)-A12ba, Bi(OTf)3, Cs2CO3 and DQ, the reaction of indole-2-carboxaldehyde 49 with 2-hydroxy phenyl p-quinone methide 50 was carried out in toluene, affording tetracyclic ε-lactone 50 in 72% yield with 95:5 er. Initially, the Lewis acidic Bi(OTf)3 promotes the addition of indole-2-carboxaldehyde 49 to p-quinone methide 50, in situ generating the Friedel–Crafts adduct as a racemic intermediate. Subsequently, chiral NHC and Bi(OTf)3 catalyzed the oxidative lactonization of the racemic Friedel–Crafts adduct with good enantioselectivity via the dynamic kinetic resolution process.
Scheme 13.
NHC–Lewis acid cooperative-catalyzed [4 + 3] annulation.
3.6. Cascade Annulation
Cascade annulation reactions using chiral NHC catalyst have been studied [118,119,120,121,122,123]. The enantioselective cascade reaction of cinnamaldehyde 5 with malonates or β-diketone 52 was developed (Scheme 14) [118]. Under the optimized conditions using the precursor (5aR,10bS)-A4a (5 mol%), LiCl (50 mol%), DQ (1 equiv.) and DBU (1.2 equiv.), the lactones 53 were obtained with excellent diastereo- and enantioselectivities. In NHC catalysis, the Michael addition of anions, generated from 52, to α,β-unsaturated acyl azolium led to intermediate enolates. The lactones 53 were formed from enolates via the concerted, asynchronous formal [2 + 2] aldol lactonization process or the two-step sequence involving an intramolecular aldol reaction and subsequent intramolecular lactonization.
Scheme 14.
Cascade annulation through oxidative NHC catalysis.
Employing the precursor (5aS,10bR)-A12b, LiCl, DQ and DBU for the reaction of cinnamaldehyde 5 with malonate 54, the bicyclic product 55 was obtained at a 86% yield with 99% ee (Scheme 15) [121]. This cascade annulation is also initiated via the oxidation of the Breslow intermediate to α,β-unsaturated acyl azolium. The bicyclic product 55 is formed via the Michael addition of malonate 54 to α,β-unsaturated acyl azolium, the subsequent intermolecular aldol reaction and the final lactonization step.
Scheme 15.
Oxidative cascade annulation.
4. External Oxidant-Free Redox Esterification
4.1. Esterification of Aldehydes under Redox Conditions
Redox esterification can be achieved via the incorporation of a reducible functionality into aldehyde substrates. In the absence of oxidants, the esterification of α,β-epoxy aldehydes or α-haloaldehydes takes place due to the simultaneous reduction of epoxy moiety or halogen substituent on substrate [124,125,126,127,128,129,130].
The NHC-catalyzed external oxidant-free esterification of α,β-epoxy aldehyde 56 led to the formation of β-hydroxy ester 57 in good yields (Scheme 16) [124]. This transformation proceeded via the formation of the Breslow intermediate, followed by the epoxide-opening step, leading to acyl azolium. The subsequent reaction with alcohols provides ester 57, accompanied by the regeneration of NHC catalyst.
Scheme 16.
Redox esterification of α,β-epoxy aldehyde.
The enantioselective oxidant-free esterification of α,α-dichloroaldehydes was studied using the chiral NHC catalyst (Scheme 17) [126]. Employing the chiral NHC precursor (5aS,10bR)-A6b, the reaction of α,α-dichloroaldehyde 58 with phenol gave α-chloroester 59 at a 79% yield with 93% ee. Initially, aldehyde 58 reacts with NHC catalyst to give the Breslow intermediate. The subsequent dehalogenation and stereoselective α-protonation of chiral α-chloroenolate led to chiral α-chloroester 59. The oxidant-free esterification of α-bromoenals proceeds because α-bromoenals react with NHC catalyst to afford α,β-unsaturated acyl azoliums in the absence of oxidants via debromination [129,130]. The NHC-catalyzed three-component tandem β-sulfonylation/esterification of α-bromoenals was developed [129]. Under the optimized conditions and using the precursor A10, the three-component reaction of α-bromoenal 60 with sodium sulfinate and alcohols gave sulfone ester 61. The addition of NHC to α-bromoenal 60 led to the formation of the Breslow intermediate, which is transformed into α,β-unsaturated acyl azolium through tautomerization and debromination. The proposed reaction mechanism involves the 1,4-addition of sodium sulfinate to α,β-unsaturated acyl azolium. Additionally, redox esterification was also achieved by using the aldehydes with cyclopropyl moiety or leaving the group as a reducible functionality [131,132,133].
Scheme 17.
Redox esterification of α-haloaldehydes.
The α,β-unsaturated aldehydes are widely used as reducible substrates for oxidant-free esterification [134,135,136,137,138,139,140]. In the absence of an oxidant, the NHC catalysis of α,β-unsaturated aldehydes leads to redox esterification accompanying the reduction of the C=C bond to a C–C bond or the C≡C bond to a C=C bond.
Interestingly, the combined use of 2-phenyl-indol-3-one 62 as a reducible substrate with simple aldehydes led to the oxidant-free redox esterification (Scheme 18) [141]. In the presence of the precursor A15 and Cs2CO3, the hydroacylation of 62 with benzaldehyde 3 proceeded effectively to give 1H-indol-3-yl ester 63 at a yield of 80%. The proposed reaction mechanism involves a reductive hydride transfer from an NHC-linked tetrahedral intermediate to the carbonyl of 62.
Scheme 18.
Redox esterification involving the hydride transfer process.
4.2. Cascade Redox Esterification of Aldehydes
The cascade oxidant-free esterification of enals was achieved via the pathway involving the reaction of NHC-linked homoenolate intermediates with electrophiles [142,143,144,145,146,147,148,149]. In the presence of chiral NHC generated from the precursor A3, the reaction of cinnamaldehyde 5 with (E)-1-nitrobut-1-ene 64 was performed in EtOH at 23 °C to generate δ-nitroester 65 in 70% yield with 93% ee (Scheme 19) [143]. This transformation was initiated by the formation of the NHC-linked homoenolate from cinnamaldehyde 5. Next, the 1,4-addition of homoenolate to nitroalkene 64 generated the acyl azolium. Finally, δ-nitroester 65 was obtained via the esterification of acyl azolium with EtOH. Ender’s group developed the cascade reaction using isatin-derived ketimines as an electrophile toward NHC-linked homoenolate intermediates [144]. The chiral NHC-catalyzed reaction of cinnamaldehyde 5 with isatin ketimine 66 gave the highly functionalized oxindole-γ-amino ester 67 at a 86% yield with 95% ee. Recently, the NHC-catalyzed reactions involving radical intermediates were developed [150,151]. The asymmetric β-pyridylation of cinnamaldehyde 5 with pyridinium salt 68 was reported [151]. In the presence of the chiral precursor (5aS,10bR)-A16, β-pyridylation of 5 proceeded effectively under the irradiation of visible light using blue LED to give the adduct 68 in 67% yield with 96:4 er. In this reaction, the use of hexafluorobenzene as a solvent was the key to achieving excellent enantioselectivity. The proposed mechanism involved the formation of homoenolate radical from NHC-linked homoenolate via single-electron transfer (SET). The final product 69 was obtained via the addition of homoenolate radical to the C4 position of pyridinium salt 68.
Scheme 19.
Cascade redox esterification via NHC-linked homoenolate intermediates.
Furthermore, cascade oxidant-free redox esterification reactions were developed using NHC-linked dienolates (vinylogous NHC-linked enolates) [152], NHC-linked enolate [153], and NHC-linked p-quinodimethane [154].
4.3. Kinetic Resolution
The kinetic resolution has been studied via chiral NHC-catalyzed oxidant-free redox esterification [155,156,157,158,159,160]. The kinetic resolution of racemic anilide rac-70 was achieved via redox esterification using alkynal 71 as a reducible substrate (Scheme 20) [155]. In the presence of (5aR,10bS)-A17b and NaOAc, the enantioselective acylation of rac-70 gave the ester 72 in 52% yield with 85% ee, accompanied with the enantioenriched (S)-70 in 46% yield with 93% ee. Chiral NHC-catalyzed redox esterification was used for achieving the dynamic kinetic resolution of racemic pyranones [156]. The acylation of 73 with cinnamaldehyde 5 was performed in toluene at 0 °C under optimized conditions using (5aS,10bR)-A18b (10 mol%) and PhCO2Na (40 mol%). The corresponding ester 74 was obtained at a 90% yield with 95:5 er.
Scheme 20.
Kinetic resolution via redox esterification.
4.4. Desymmetrization
The chiral NHC-catalyzed desymmetrization of the cyclohexadienone-tethered enals was studied (Scheme 21) [161,162]. The oxidant-free cyclization of enal-tethered cyclohexadienone 75 was achieved via the esterification of the formyl group [161]. The treatment of 75 with the precursor (5aR,10bS)-A12b (10 mol%) and NaOAc (1 equiv.) in t-butyl methyl ether/MeOH (10:1, v/v) at 0 °C led to the cyclized product 76 at a 83% yield with 96% ee. This transformation involves the asymmetric Michael addition of NHC-linked homoenolate intermediate to the prochiral cyclohexadienone moiety. Similarly, the asymmetric desymmetrization of the cyclohexadienone-tethered enal 77 was achieved [162].
Scheme 21.
Desymmetrization using redox esterification.
4.5. Dearomatization
The chiral NHC-catalyzed dearomatization of prochiral aromatic compounds is the powerful strategy for preparing the chiral compounds. The dearomatizing annulation of isoquinolinium bromide 79 with cinnamaldehyde 5 was developed (Scheme 22) [163]. The employment of the precursor (5aR,10bS)-A19b, KOAc and EtOH in CH2Cl2 allowed for the asymmetric dearomatization of 79 to give the substituted tropane derivative 80 with four contiguous stereocenters at a 67% yield with 93% ee. The reaction was initiated by the catalytical generation of NHC-linked homoenolate from the Breslow intermediate. The subsequent double Mannich addition of homoenolate to 79 led to the formation of tropane derivative 80.
Scheme 22.
NHC-catalyzed dearomatizing annulation reaction.
Asymmetric induction into the prochiral alkyl pyridinium 82 was achieved via chiral NHC-catalyzed dearomatization based on the addition of NHC-linked homoenolate (Scheme 23) [164]. Under the optimized conditions using the precursor A20, the dearomatization of pyridinium 82 with enal 81 gave 1,4-dihydropyridine 83 with 85% ee as a major product, accompanied with 1,4-dihydropyridine 84 as a regioisomer.
Scheme 23.
Dearomatizing reaction of prochiral aromatic nitrogen-heterocycle.
5. Redox Cyclization and Annulation
5.1. Cyclization
Several redox cyclization reactions were reported [151,152,153,165]. In the presence of the precursor A21, Cs2CO3 and H2O, the treatment of 85 with tosyl chloride in toluene at 45 °C gave the cyclized product 86 at a 90% yield with 98% ee (Scheme 24) [165]. As a proposed reaction mechanism, this transformation involves the oxidation of the Breslow intermediate by tosyl chloride, leading to the formation of tosylated intermediate. Next, the tosylated intermediate was converted into acyl azolium and tosyl anion. Finally, the enantioselective 1,4-addition of tosyl anion, followed by lactonization, affords the product 86. Since the overall reaction is a redox-neutral process, we classified this reaction as redox cyclization. However, tosyl chloride behaves not only as a nucleophile but also as an oxidant; thus, this reaction may also be considered one of oxidative cyclization.
Scheme 24.
Redox cyclization of enal-tethered cyclohexadienone.
5.2. [3 + 3] Annulation
In the NHC-catalyzed oxidant-free redox [3 + 3] annulation, the α,β-unsaturated acyl azoliums are the Michael acceptors acting as C3 synthons [166,167,168,169]. In the absence of an oxidant, the [3 + 3] annulation of ynals proceeds via the formation of α,β-unsaturated acyl azolium intermediates (Scheme 25) [166]. The ynal 71 is used as a reducible substrate for redox transformation. Under the optimized conditions using the precursor (5aR,10bS)-A4a, the reaction of ynal 71 with ethyl pyruvate 87 gave the annulation product 88. As a possible mechanism, the pathway involving the Claisen rearrangement was proposed. This catalysis was initiated via the formation of α,β-unsaturated acyl azolium from ynal 71 and NHC. Next, pyruvic ester 87 isomerizes to enol, which undergoes the 1,2-addition to α,β-unsaturated acyl azolium. The [3 + 3] product 88 is formed through the Claisen rearrangement, tautomerization, and lactamization.
Scheme 25.
NHC-catalyzed redox [3 + 3] annulation.
Furthermore, redox [3 + 3] annulation using α-bromoenals was developed because α-bromoenals react with the NHC catalyst to afford α,β-unsaturated acyl azoliums in the absence of an oxidant via debromination [167,168,169].
5.3. [3 + 2] Annulation
For oxidant-free redox [3 + 2] annulation, the reducible aldehydes are employed [170,171,172,173,174,175,176,177,178,179,180]. The NHC-linked homoenolate derivatives act as a C3 synthon for [3 + 2] annulation [170,171,172,173,174,175,176,177,178]. The NHC-linked homoenolate, generated from α,β-unsaturated aldehyde 44 and NHC catalyst, reacts as a C3 synthon (Scheme 26) [170]. Employing the precursor A22 (10 mol%), K3PO4 (50 mol%) and o-fluorobenzoic acid (one equiv.) as the Brønsted acid, the [3 + 2] annulation of aldehyde 44 with N-methyl isatin 89 led to the formation of spirooxindole 90 at a 83% yield with 92:8 er. The reactivity and diastereo- and enantioselectivity were dependent on the acid cocatalyst; thus, the Brønsted acid would promote the addition of homoenolate to isatin 89 by hydrogen bonds. The [3 + 2] annulation reaction between alkynal 91 and isatin 89 was developed [179]. In the presence of the precursor (5aS,10bR)-A12b (20 mol%) and K3PO4 (50 mol%), the reaction of alkynal 91 with isatin 89 was performed in MeOH at 0 °C, leading to the allene product 92. The allene product 92 could be converted to spirooxindole 93 via the treatment of the reaction mixture with K3PO4 (two equiv.) as an additional base at 60 °C. This transformation is initiated by the formation of azolium cumulenolate intermediate from alkynal 91. The subsequent addition of the α-carbon on cumulenolate to isatin 89 affords the allene product 92. Additionally, the NHC-linked enolate was used as a C2 synthon for [3 + 2] annulation [180].
Scheme 26.
NHC-catalyzed redox [3 + 2] annulation reactions.
5.4. [4 + 2] Annulation
The NHC-linked enolates act as a C2 synthon for oxidant-free redox [4 + 2] annulation [181,182,183,184,185,186,187,188,189,190,191,192,193]. In the presence of the precursor (5aR,10bS)-A4a (10 mol%) and Et3N (1.6 equiv.), the [4 + 2] annulation reaction of α-chloroaldehyde 94 with N-phenyl-N’-benzoyl-diazene 95 proceeded effectively to give 1,3,4-oxadiazin-6-one 96 at a 75% yield with 98% ee via the generation of the NHC-linked enolate from α-chloroaldehyde 94 (Scheme 27) [181]. The [4 + 2] annulation of cinnamaldehyde 5 with nitroalkene 97 was studied [182]. Under the optimized reaction conditions using the precursor (5aR,10bS)-A13b, the desired dihydrocoumarin 98 was obtained at a 90% yield with 99% ee. The reaction was initiated via the formation of homoenolate, which was converted to azolium enolate via proton transfer. This NHC-linked enolate reacted as a C2 synthon with nitroalkene 97 to give the annulation product 98.
Scheme 27.
Redox [4 + 2] annulation reactions using NHC-linked enolate.
The oxidant-free redox [4 + 2] annulation using the NHC-linked dienolate (vinyl enolate) as a C4 synthon was developed (Scheme 28) [194]. In the presence of chiral NHC catalyst generated from the precursor (5aS,10bR)-A6b, 2-bromo-2-enal 99 reacted with N-methylisatin 89 to give the [4 + 2] annulation product 100. Initially, the Breslow intermediate was formed by the addition of NHC to enal 99. The Breslow intermediate was transformed to α,β-unsaturated acyl azolium via debromination. The subsequent deprotonation at γ-H on α,β-unsaturated acyl azolium led to the NHC-linked dienolate (vinyl enolate), which undergoes nucleophilic addition to N-methylisatin 89. Similarly, [4 + 2] annulation between 2-(chloromethyl)furan-3-carbaldehyde 101 and N-benzylisatin 42 gave the cycloadduct 102 via the formation of the NHC-linked dienolate via the dearomative 1,4-elimination of HCl [195].
Scheme 28.
Redox [4 + 2] annulation using NHC-linked dienolate.
Annulation using the NHC-linked aza-dienolate as a C4 synthon was reported (Scheme 29) [196,197]. In the presence of the precursor A23 and Cs2CO3, the treatment of 2H-azirine-2-carbaldehyde 103 with ketone 45 in THF gave the cyclized product 104 at a 81% yield [196]. This transformation involves the formation of NHC-linked aza-dienolate from the Breslow intermediate of aldehyde 103.
Scheme 29.
Annulation using NHC-linked aza-dienolate.
5.5. [4 + 3] Annulation
The NHC-linked homoenolate intermediates are used as a C3 synthon for oxidant-free redox [4 + 3] annulation [198,199,200,201,202,203,204]. The enantioselective reaction of isatin-derived enal 105 with o-hydroxyphenyl-substituted p-quinone methide 50 was reported (Scheme 30) [202]. In the presence of the precursor A23 (20 mol%) and Et3N (1.5 equiv.), the treatment of enal 105 with p-quinone methide 50 in CHCl3 at 0 °C gave the oxindole-ε-lactone 106 at a 84% yield with 94:6 er. This annulation proceeded via the 1,6-addition of NHC-linked homoenolate, generated from enal 105, to the hydroxy donor–1,6-Michael acceptor 50, followed by lactonization, leading to ε-lactone 106.
Scheme 30.
Redox [4 + 3] annulation using NHC-linked homoenolate.
5.6. [2 + 2] Annulation
The NHC-linked enolate was used as a C2 synthon for oxidant-free redox [2 + 2] annulation (Scheme 31) [205]. The chiral NHC-catalyzed formal [2 + 2] cycloaddition between α-aroyloxyaldehyde 107 and ketone 45 afforded the unstable β-lactone product 108. Thus, β-trifluoromethyl-β-hydroxyamide 109 was isolated as a stable product after ring opening with allylamine. The elimination of p-nitrobenzoate from the Breslow intermediate led to azolium enol. Subsequent deprotonation gave enolate, which underwent formal [2 + 2] cycloaddition with ketone 45. Additionally, similar oxidative [2 + 2] annulation was reported [115].
Scheme 31.
Formal [2 + 2] cycloaddition using NHC-linked enolate.
5.7. Cascade Annulation
The NHC-catalyzed cascade reactions were widely investigated under the redox conditions [206,207,208,209,210,211,212,213,214,215,216,217]. The α,β-unsaturated acyl azoliums were Michael acceptors acting as a C2 synthon for the cascade annulation reactions [206,207,208,209,210,211]. Under the optimized conditions using the precursor (5aR,10bS)-A4a (7.5 mol%) and DABCO (1.65 equiv.), the cascade reaction of α-bromocinnamaldehyde 60 with 2-aminophenylenone110 gave the cyclized product 111 at a 98% yield with 97.2% ee (Scheme 32) [207]. In these reactions, α,β-unsaturated acyl azolium was initially formed from the Breslow intermediate via bromide elimination. The subsequent aza-Michael addition of 110 to α,β-unsaturated acyl azolium provided enolate, which underwent intramolecular Michael addition. Finally, the cyclized product 111 was obtained via lactonization. The cascade reaction between α-bromocinnamaldehyde 60 and imine 112 with the benzylic carbon of 4-nitrobenyl group was achieved [208]. The tetrahydrochromeno [4,3-b]pyrrole derivative 113 was obtained at a 82% yield with 98:2 er under redox catalysis using the precursor (5aR,10bS)-A4b and DABCO. The cyclized product 113 was obtained through the Michael addition of anion of imine 112 to α,β-unsaturated acyl azolium.
Scheme 32.
Cascade reactions using α,β-unsaturated acyl azoliums as a Michael acceptor.
The atropo-enantioselective synthesis of bridged biaryls was achieved via the NHC-catalyzed cascade reaction (Scheme 33) [212]. Employing the precursor (5aS,10bR)-A4b and i-Pr2Net, the cascade reaction of α,β-unsaturated aldehyde 114 with triol 115 led to the formation of bridged biaryl 116 with an eight-membered lactone at a 85% yield with 99% ee. This NHC-catalyzed transformation proceeded through the propargylic substitution of propargylic alcohol 115 with NHC-linked enolate. Furthermore, redox cascade reactions using NHC-linked homoenolates were also developed [213,214,215,216].
Scheme 33.
Cascade reaction using NHC-linked enolate.
6. Cooperative Catalysis with Brønsted Acid and a Hydrogen-Bonding Catalyst
6.1. Cooperative Catalysis Using Brønsted Acid
Since Rovis’s group reported cooperative NHC catalysis using the Brønsted acid [218], the use of the Brønsted acid has widely been demonstrated in the NHC-catalyzed activation of aldehyde C(sp2)–H bonds for C–O bond formation [170,219,220,221,222,223].
In the presence of the NHC precursor (5aR,10bS)-A12b (15 mol%), Cs2CO3 (1.0 equiv.) and DQ (1.4 equiv.), the oxidative [3 + 2] annulation of cinnamaldehyde 5 with the N-T amino ketone 117 gave the cyclized product 118 with β-lactone moiety at a 74% yield with 96:4 er (Scheme 34) [220]. The enantioselectivity of this transformation was improved by employing sulfonyl amide (10 mol%) as an additive. In this reaction, α,β-unsaturated acyl azolium is a Michael acceptor acting as C3 synthon.
Scheme 34.
Oxidative [3 + 2] annulation using acyl azoliums.
The combined use of the chiral Brønsted acid in NHC catalysis has gained increasing attention as a novel method to improve enantioselectivity. The NHC-catalyzed enantioselective synthesis of medium-ring lactones was developed [221]. The desymmetrization of prochiral 1,3-diol 119 was studied under oxidative conditions using DQ (1.2 equiv.) as an oxidant (Scheme 35). In the presence of the precursor (5aR,10bS)-A24b (20 mol%), 2,6-lutidine (20 mol%) and chiral phosphoric acid (20 mol%), the reaction of 119 was carried out to give the nine-membered-ring lactone 120 at a 75% yield with 98:2 er. In this reaction, chiral spiro-phosphoric acid was employed as a cocatalyst to enhance the enantioselectivity and catalytic performance. This NHC-catalyzed macrolactonization proceeded via the oxidation of the Breslow intermediate to acyl azolium.
Scheme 35.
Medium-ring lactone synthesis via desymmetrization of 1,3-diol.
Glorius’s group developed [4 + 2] the annulation of ketone 45 with 2-(bromomethyl)-benzaldehyde 121 as a substrate with a leaving group at the ortho-benzylic position (Scheme 36) [222]. However, the use of chiral NHC led to only moderate enantioselectivity for product 122. Later, Rovis’s group achieved the highly enantioselective [4 + 2] annulation of identical starting materials by using chiral phosphoric acid and chiral NHC [223]. In the presence of the precursor (5aR,10bS)-A6b (20 mol%), KOAc (2.0 equiv.) and chiral phosphoric acid (10 mol%), the reaction of 121 with 45 gave the product 122 at a 68% yield with 95% ee. In this reaction, the extrusion of the bromide within the Breslow intermediate led to dienolate, which underwent [4 + 2] annulation with ketone 45.
Scheme 36.
[4 + 2] Annulation using chiral phosphoric acid.
6.2. Cooperative Catalysis Using a Hydrogen-Bonding Catalyst
The dual catalysis using NHC and a hydrogen-bonding catalyst was developed [224]. The cooperative catalysis using cinchonine as chiral bifunctional organocatalyst with achiral NHC catalyst was reported [225]. In the presence of the achiral NHC precursor A25 (20 mol%) and cinchonine (40 mol%), the domino oxidation/oxa–Michael addition reaction of aldehydes 123 proceeded without an additional base to give the phthalides 124 with good enantioselectivities (Scheme 37). This reaction was initiated via the NHC-catalyzed oxidation reaction of aldehydes 123, leading to carboxylic acids as a key intermediate. Next, the intramolecular oxa–Michael addition reaction of carboxylic acids was promoted by cinchonine to give the products 124 in an enantioselective manner. In this process, the hydrogen bond donor (OH) and tertiary amine (quinuclidine) of cinchonine would activate and orient the nucleophile and electrophile, respectively.
Scheme 37.
Use of cinchonine as chiral hydrogen-bonding catalyst.
The cooperative catalysis using the chiral NHC catalyst and H-bond doner catalyst (HBD) was reported to achieve the enantioselective β-protonation in the oxidant-free esterification of α,β-unsaturated aldehydes (Scheme 38) [226]. In the presence of the precursor A26 (10 mol%), H-bond doner catalyst (HBD, 30 mol%), DMAP (5 mol%) and i-Pr2NEt (0.4 equiv.), the reaction of β-ethyl ester 125 with ethanol was performed at 0 °C. The saturated bis-ester 126 was obtained at a 85% yield with 94:6 er. The coordination of HBD to the β-ethyl ester group would enhance enantioselectivity via the steric interactions near the β-position of 125.
Scheme 38.
Reaction catalysis using chiral NHC catalyst and H-bond doner catalyst.
Thiourea catalysts have been used in NHC catalysis for the C–O bond formation of aldehydes [227,228,229,230]. The NHC-catalyzed annulation of enals and α-ketoesters was studied (Scheme 39) [227]. In this reaction, the combined use of Ca(OMe)2 as a Lewis acid and thiourea B1 as a H-bond doner catalyst enhanced the enantioselectivities and yields of products. Under the optimized conditions using the chiral precursor A27, the annulation between cinnamaldehyde 5 and α-ketoester 127 proceeded with the modest diastereoselectivity (2:1 dr) to give the major diastereomer 128 with 92% ee. This reaction promoted the addition of homoenolate, generated from 5 and NHC, to α-ketoester 127.
Scheme 39.
Reactions using the thiourea catalyst and Lewis acid.
The sequential three-component reaction of nitroalkene 129, 3-phenylpropanal 1, and cinnamaldehyde 5 was achieved via a one-pot procedure (Scheme 40) [228]. The use of two different NHC catalysts, generated from the achiral precursor A10 and the chiral precursor (5aR,10bS)-A4a, led to the enantioselective formation of dihydropyranones 130. In the presence of presence of A10, thiourea B2 and K2CO3, the reaction of nitroalkene 129 and aldehyde 1 led to the in situ generation of enone intermediates via the nitro-Stetter/elimination sequence [229]. Next, the chiral presence (5aR,10bS)-A4a and cinnamaldehyde 5 (2+1 equiv.) were employed with K2CO3, acetic acid and 4 Å molecular sieves for annulation. The dihydropyranone 130 was obtained via the Michael addition of chiral NHC-linked enol to β-unsubstituted enones, followed by lactonization.
Scheme 40.
Sequential NHC-catalyzed reaction.
7. Cooperative Catalysis with Transition-Metal Catalyst
7.1. Cooperative Catalysis Using a Palladium Catalyst
Scheidt’s group reported the cooperative catalysis involving the simultaneous activation of substrates using the NHC catalyst and palladium catalyst (Scheme 41) [231]. In the presence of the NHC precursor A15 and palladium catalyst, generated from Pd2(dba)3 and dppf ligand, the carbonate 131 was converted to the allylated dihydrocoumarin 133. To improve the chemical yield, allyl carbonate 132 was used as an additive for increasing the concentration of the π-allyl palladium intermediate. The substrate 131 reacted with the NHC catalyst and palladium catalyst to give the Breslow intermediate and π-allyl palladium. This cooperative transformation was based on the addition of enol, generated from the Breslow intermediate, into the π-allyl palladium intermediate.
Scheme 41.
Cooperation between NHC and palladium catalyst.
The palladium-catalyzed allylic substitution was applied to the enantioselective cooperative catalysis by using chiral NHC catalyst [232,233,234,235,236,237,238]. Glorius’s group reported enantioselective catalysis using the combination of chiral NHC, generated from the precursor (5aS,10bR)-A13b, and chiral palladium catalyst, generated from Pd2(dba)3 and ligand L1 (Scheme 42) [234]. Under the optimized conditions, the [5 + 2] annulation reaction between phenyl vinylethylene carbonate 134 and cinnamaldehyde 5 gave the annulation product 135 with excellent enantioselectivity. NHCs are known to act as a ligand for transition-metals; thus, the use of a bidentate phosphine ligand L1 is crucial to prevent the coordination of NHC to the active Pd catalyst. The proposed catalytic cycle involves the NHC-catalyzed activation of cinnamaldehyde 5, followed by Pd-catalyzed allylic substitution. Initially, the palladium-catalyzed decarboxylation of 134 gives the π-allyl palladium(II) complex, which reacts with enol generated from 5 and NHC. The subsequent cyclization provides the cyclized product 135 accompanied by the regeneration of the NHC catalyst.
Scheme 42.
Enantioselective cooperative catalysis.
Recently, the [3 + 2] annulation reaction for the synthesis of enantioenriched α,β-disubstituted γ-butyrolactones was reported by using chiral NHC and chiral iridium catalysts [235,236]. Furthermore, the umpolung allylic and propargylic substitution reactions of enals were achieved by using chiral NHC and nickel catalysts [237,238].
The umpolung 1,4-addition of aryl iodides or vinyl bromides to enals was carried out under the cooperative NHC/palladium reaction conditions [239,240]. The 1,4-addition of iodobenzene to cinnamaldehyde 5 was promoted via the combination of NHC, generated from the precursor A28, and palladium catalyst, generated from Pd2(dba)3 and ligand L2, to give methyl β,β-diphenyl propanoate 136 at a 71% yield (Scheme 43) [239]. Initially, the homoenolate equivalent was generated from cinnamaldehyde 5 and NHC. Next, the nucleophilic homoenolate reacted with the activated PhPdI(Ln), which was generated via the oxidative addition of the palladium catalyst to iodobenzene. The subsequent reductive elimination provided the NHC-bonding intermediate, which reacted with MeOH to afford methyl β,β-diphenyl propanoate 136. Additionally, 1,4-addition of vinyl bromides to enals was studied under similar reaction conditions [240].
Scheme 43.
Cooperative catalysis for umpolung 1,4-addition to cinnamaldehyde.
7.2. Cooperative Catalysis Using a Copper Catalyst
The copper catalysts were used for the cooperative NHC catalysis [241,242]. In the presence of the precursor A29 (10 mol%), Cu(CH3CN)4PF6 (5 mol%) and Et3N (one equiv.), [3 + 3] annulation between the isatin-derived enal 105 and ethynylethylene carbonate 137 led to the formation of the spirooxindole δ-lactones 138 with >95:5 dr and 99% ee (Scheme 44) [242]. Initially, copper acetylide was generated from 137 under basic conditions. The decarboxylation of copper acetylide leads to copper allenylidene. Subsequently, enals 105 react with NHC to form homoenolates, which undergo formal [3 + 3] cycloaddition with copper allenylidene to afford δ-lactones 138. Since NHC serves as a ligand of copper, the chiral Cu(I)–NHC complex would participate in the control of stereochemistry, together with the chiral NHC catalyst.
Scheme 44.
Cooperative catalysis with copper catalyst.
7.3. Cooperative Catalysis Using a Rhodium Catalyst
The one-pot reactions involving NHC catalysis and rhodium(III) catalysis were reported, although these sequential reactions cannot be strictly classified as types of cooperative catalysis (Scheme 45) [243]. Initially, the aerobic oxidation of benzaldehyde 3 proceeded smoothly under the conditions using NHC generated from the precursor A15 and DBU to give benzoic acid intermediate. The subsequent addition of ethyl acrylate, [Cp*RhCl2]2 and AgOAc to the reaction mixture induced the rhodium(III)-catalyzed oxidative coupling/annulation of benzoic acid with ethyl acrylate. The phthalide 139 was obtained at a 60% yield. When 1,2-diphenylethyne was used for the second step, the isocoumarin 140 was obtained at a 74% yield. In this case, Cu(OAc)2·H2O performed better than AgOAc as an oxidant in rhodium(III) catalysis. More recently, NHC/Rh cooperative catalysis for the asymmetric [3 + 3] annulation of oxabicyclic alkenes with enals was developed [244].
Scheme 45.
Sequential reactions via NHC catalysis and rhodium(III) catalysis.
7.4. Cooperative Catalysis Using a Ruthenium Catalyst
The combination of NHC catalysis and ruthenium redox catalysis was investigated [245,246,247]. The oxidative esterification of aldehydes was achieved by using the NHC precursor A30b and Ru(bpz)3(PF6)2 (bpz=2,2′-bipyrazine) as a ruthenium(II) redox catalyst under the mild aerobic conditions (Scheme 46) [245]. The catalytic ruthenium cycle involved the oxidation of the Ru(I) complex to Ru(II) complex by molecular oxygen to give the superoxide radical anion. Initially, the Ru(I)-catalyzed oxidation of the Breslow intermediate generated from aldehyde 141 led to the radical cation, which would be further oxidized to the acyl azolium via the tertiary radical.
Scheme 46.
Cooperative catalysis with ruthenium catalyst.
Cooperative NHC/ruthenium redox catalysis was used for oxidative [3 + 3] annulation (Scheme 47) [246]. The oxidation of the Breslow intermediate led to the formation of α,β-unsaturated acyl azolium acting as a C3 synthon. In the presence of chiral NHC generated from the precursor (5aR,10bS)-A4b, RuCl3 and O2, the oxidative reaction of cinnamaldehyde 5 with 2,4-pentanedione 143 was performed in 1,4-dioxane, affording lactone 144 at a 98% yield with 93% ee. The proposed reaction mechanism involved the oxidation of the Breslow intermediate, generated from NHC and enal 5, by SET from RuCl3. A second oxidation of radical cation intermediate by RuCl3 gave α,β-unsaturated acyl azolium, which underwent [3 + 3] annulation with 2,4-pentanedione 143. In this catalysis, Ru(III) was regenerated through the oxidation of Ru(II) by molecular oxygen.
Scheme 47.
Oxidative [3 + 3] annulation using ruthenium catalyst.
7.5. Cooperative Catalysis Using a Gold Catalyst
The enantioselective gold and NHC relay catalysis was reported (Scheme 48) [248]. The cascade annulation between α-amino-ynone 145 and cinnamaldehyde 5 was performed under oxidative conditions using DQ as an oxidant. Initially, pyrrolin-4-one intermediate was obtained via gold catalysis. The anion of pyrrolin-4-one added to α,β-unsaturated acyl azolium to produce pyrrole-fused lactone 146 with excellent enantioselectivity.
Scheme 48.
Relay catalysis with gold catalyst.
8. Cooperative Catalysis with Photocatalysts
In 2012, DiRocco and Rovis reported the first reaction involving NHC catalysis and photoredox Ru catalysis [249]. In recent years, cooperative NHC catalysis with photocatalyst has gained increasing attention as a novel form of redox catalysis [28,29,30,31].
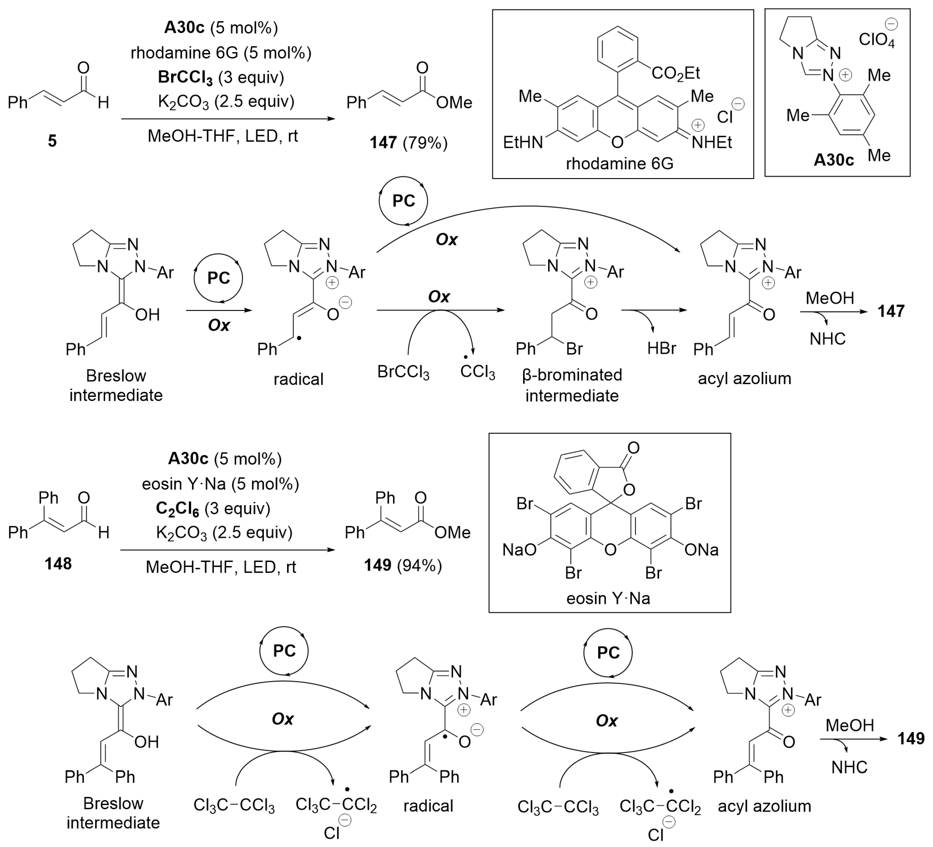
The combined use of NHC and photocatalyst was applied to the oxidative transformation of aldehydes to the corresponding esters [250,251,252,253,254,255,256,257]. The oxidative esterification of aldehydes through the oxidation of the Breslow intermediates was achieved via dual organocatalysis based on the cooperation between NHC and an organophotocatalyst such as rhodamine 6G or eosin Y·Na (Scheme 49) [250,251]. In the presence of the triazolium precursor A30c (5 mol%) and rhodamine 6G (5 mol%), the use of BrCCl3 (three equiv.) as a co-oxidant promoted the reaction of cinnamaldehyde 5 to give ester 147 at a 79% yield [250]. Initially, it was assumed that the electron-rich Breslow intermediate was photocatalytically oxidized to acyl azolium via the radical intermediate, whereas co-oxidant BrCCl3 would act as a quencher toward the activated photocatalyst species with the reduction property to turn the catalytic photoredox cycle. After the detailed research conducted in [251], it was shown that BrCCl3 promotes the second oxidation as a brominating reagent toward the radical intermediate to give the β-brominated intermediate. The acyl azolium was formed via the elimination of HBr from the β-brominated intermediate. The use of C2Cl6 as a co-oxidant was an effective method for oxidative esterification, because the oxidation steps are promoted by two pathways associated with the activated photocatalyst and C2Cl6 [251]. In the presence of the precursor A30c (5 mol%) and eosin Y·Na (5 mol%), the reaction of 3,3-diphenylacrylaldehyde 148 was studied. Although BrCCl3 was less effective for the oxidative esterification of 148, the use of C2Cl6 (three equiv.) led to the formation of ester 149 at a 94% yield.
Scheme 49.
Cooperation between NHC and organophotocatalyst.
The alkylation and esterification reaction of enal derivatives was achieved via a route involving the radical addition to dienolate derivatives generated from the Breslow intermediates (Scheme 50) [252,253,254,255]. When the racemic precursor racemic A4b was used in the presence of Ru(bpy)3(PF6)2 as a photocatalyst, the reaction of γ-oxidized enal 150 with iodoacetonitrile and MeOH gave the γ-alkylated ester 151 at a 86% yield with exclusive γ-regioselectivity [252]. In these reactions, iodoacetonitrile acted not only as an oxidant for Ru-photocatalysis but also as a radical source giving a cyanomethyl radical. Cyanomethyl radical added to the dienolate intermediate to afford the homoenolate radical. The following photocatalytic oxidation of this radical led to acyl azolium. This reaction was expanded to ε-functionalization by using the enal 152 bearing a vinyl substituent at γ-position. Under similar reaction conditions, the reaction of enal 152 gave the γ-cyanomethylated ester 153 at a 56% yield with exclusive ε-selectivity. The alkylation and esterification reaction also proceeded by using the dienolate generated from cyclopropane enal 154 via NHC-catalyzed ring opening [253,254]. In the presence of several alcohols, the photo/NHC catalysis of 154 and diethyl 2-bromo-2-methylmalonate afforded the corresponding γ-alkylated ester 155.
Scheme 50.
Alkylation and esterification reaction.
The esterification of aldehydes based on oxidative Smiles rearrangement was developed (Scheme 51) [256]. The oxidative Smiles rearrangement of O-aryl salicylaldehyde 156 was performed under the cooperative catalysis conditions, using NHC and 9-mesityl-10-methyl-acridin-10-ium as organophotocatalysts. In the presence of NaI (10 mol%) as an additive to facilitate electron transfer, the reaction of 156 proceeded effectively to give the aryl salicylate 157 in 79% yield. The continuous oxidation of the Breslow intermediate by the activated photocatalyst and hydroperoxide radical, in situ generated from molecular oxygen, led to acyl azolium. The acid intermediate was generated via the hydrolysis of acyl azolium. Subsequently, the photocatalytic oxidation of acid intermediate promoted Smiles rearrangement to give a phenoxy radical via the spirocyclic intermediate. Finally, the reduction of this radical via photocatalysis gave the aryl salicylate 157. In the absence of a photocatalyst, the combined use of NHC catalysis and the photoredox reaction has gained increasing attention as a novel catalysis [257]. Under similar reaction conditions, the intramolecular reaction of tetrahydroisoquinoline-derived benzaldehyde 158 was investigated. The oxidative cyclization of aldehyde 158 proceeded effectively, even in the absence of a photocatalyst under blue LED irradiation, to give the cyclized product 159 at a 77% yield. In this reaction, a photo-excited Breslow intermediate was proposed for explaining the photooxidation process.
Scheme 51.
Oxidative Smiles rearrangement.
9. Conclusion and Outlook
N-Heterocyclic carbenes are the highly reactive organocatalysts that induce synthetically valuable chemical transformations. Furthermore, enantioselective NHC catalysis has attracted substantial attention, since highly functionalized compounds with multiple stereo-centers can be synthesized. The oxidative reaction of aldehyde C(sp2)–H bonds with alcohol O–H bonds has been recognized as a straightforward and atom-economical cross-dehydrogenative coupling reaction [258,259]. Furthermore, the oxidative C–O bond-forming reactions have been used for the synthesis of biomass-derived compounds as a sustainable alternative to petroleum compounds [260,261,262,263]. As summarized above, the various synthetic strategies and methodologies have been developed as a cooperative catalysis. The recent dramatic progress in NHC-induced catalysis offers opportunities for further exploration with intriguing possibilities in organocatalysis for synthetic organic chemistry.
Author Contributions
Y.Y.: writing—original draft preparation and editing, H.M.: writing—original draft preparation and editing. All authors have read and agreed to the published version of the manuscript.
Funding
This research received no external funding.
Data Availability Statement
The data presented in this study are available.
Conflicts of Interest
The authors declare no conflicts of interest.
References
- Arduengo, A.J., III; Harlow, R.L.; Kline, M. A Stable Crystalline Carbene. J. Am. Chem. Soc. 1991, 113, 361–363. [Google Scholar] [CrossRef]
- Enders, D.; Niemeier, O.; Henseler, A. Organocatalysis by N-Heterocyclic Carbenes. Chem. Rev. 2007, 107, 5606–5655. [Google Scholar] [CrossRef]
- Biju, A.T.; Kuhl, N.; Glorius, F. Extending NHC-Catalysis: Coupling Aldehydes with Unconventional Reaction Partners. Acc. Chem. Soc. 2011, 44, 1182–1195. [Google Scholar] [CrossRef]
- Bugaut, X.; Glorius, F. Organocatalytic umpolung: N-heterocyclic carbenes and beyond. Chem. Soc. Rev. 2012, 41, 3511–3522. [Google Scholar] [CrossRef]
- Vora, H.U.; Wheeler, P.; Rovis, T. Exploiting Acyl and Enol Azolium Intermediates via N-Heterocyclic Carbene-Catalyzed Reactions of α-Reducible Aldehydes. Adv. Synth. Catal. 2012, 354, 1617–1639. [Google Scholar] [CrossRef]
- Knappke, C.E.I.; Imami, A.; Jacobi von Wangelin, A. Oxidative N-Heterocyclic Carbene Catalysis. ChemCatChem 2012, 4, 937–941. [Google Scholar] [CrossRef]
- De Sarkar, D.; Biswas, A.; Samanta, R.C.; Studer, A. Catalysis with N-Heterocyclic Carbenes under Oxidative Conditions. Chem. Eur. J. 2013, 19, 4664–4678. [Google Scholar] [CrossRef]
- Heravi, M.M.; Zadsirjan, V.; Kafshdarzadeh, K.; Amiri, Z. Recent Advances in Stetter Reaction and Related Chemistry: An update. Asian J. Org. Chem. 2020, 9, 1999–2034. [Google Scholar] [CrossRef]
- Barik, S.; Biju, A.T. N-Heterocyclic carbene (NHC) organocatalysis using aliphatic aldehydes. Chem. Commun. 2020, 56, 15484–15495. [Google Scholar] [CrossRef]
- Mahatthananchai, J.; Bode, J.W. On the Mechanism of N-Heterocyclic Carbene-Catalyzed Reactions Involving Acyl Azoliums. Acc. Chem. Res. 2014, 47, 696–707. [Google Scholar] [CrossRef] [PubMed]
- Flanigan, D.M.; Romanov-Michailidis, F.; White, N.A.; Rovis, T. Organocatalytic Reactions Enabled by N-Heterocyclic Carbenes. Chem. Rev. 2015, 115, 9307–9387. [Google Scholar] [CrossRef]
- Zhang, C.; Hooper, J.F.; Lupton, D.W. N-Heterocyclic Carbene Catalysis via the α,β-Unsaturated Acyl Azolium. ACS Catal. 2017, 7, 2583–2596. [Google Scholar] [CrossRef]
- Chen, X.-Y.; Liu, Q.; Chauhan, P.; Enders, D. N-Heterocyclic Carbene Catalysis via Azolium Dienolates: An Efficient Strategy for Remote Enantioselective Functionalizations. Angew. Chem. Int. Ed. 2018, 57, 3862–3873. [Google Scholar] [CrossRef] [PubMed]
- Dzieszkowski, K.; Rafiński, Z. N-Heterocyclic Carbene Catalysis under Oxidizing Conditions. Catalysts 2018, 8, 549. [Google Scholar] [CrossRef]
- Mondal, S.; Yetra, S.R.; Mukherjee, S.; Biju, A.T. NHC-Catalyzed Generation of α,β-Unsaturated Acylazoliums for the Enantioselective Synthesis of Heterocycles and Carbocycles. Acc. Chem. Res. 2019, 52, 425–436. [Google Scholar] [CrossRef]
- Das, T.K.; Biju, A.T. Imines as acceptors and donors in N-heterocyclic carbene (NHC) organocatalysis. Chem. Commun. 2020, 56, 8537–8552. [Google Scholar] [CrossRef]
- Chen, X.; Wang, H.; Jin, Z.; Chi, Y.R. N-Heterocyclic Carbene Organocatalysis: Activation Modes and Typical Reactive Intermediates. Chin. J. Chem. 2020, 38, 1167–1202. [Google Scholar] [CrossRef]
- Ghosh, A.; Biju, A.T. Revealing the Similarities of α,β-Unsaturated Iminiums and Acylazoliums in Organocatalysis. Angew. Chem. Int. Ed. 2021, 60, 13712–13724. [Google Scholar] [CrossRef]
- Gao, J.; Feng, J.; Du, D. Generation of azolium dienolates as versatile nucleophilic synthons via N-heterocyclic carbene catalysis. Org. Chem. Front. 2021, 8, 6138–6166. [Google Scholar] [CrossRef]
- Pavithra, T.; Devi, E.S.; Maheswari, C.U. Recent Advances in N-Heterocyclic Carbene Catalyzed Oxidative Cyclization for the Formation of Heterocycles. Asian J. Org. Chem. 2021, 10, 1861–1883. [Google Scholar] [CrossRef]
- Nie, G.; Li, T. NHC-Catalyzed Cascade Reactions for the Construction of Fused Cycles via LUMO Activation of α,β-Unsaturated Carbonyls. Asian J. Org. Chem. 2023, 12, e202200680. [Google Scholar] [CrossRef]
- De Risi, C.; Brandolese, A.; Di Carmine, G.; Ragno, D.; Massi, A.; Bortolini, O. Oxidative N-Heterocyclic Carbene Catalysis. Chem. Eur. J. 2023, 29, e202202467. [Google Scholar] [CrossRef] [PubMed]
- Cohen, D.T.; Scheidt, K.A. Cooperative Lewis acid/N-heterocyclic carbene catalysis. Chem. Sci. 2012, 3, 53–57. [Google Scholar] [CrossRef] [PubMed]
- Wang, M.H.; Scheidt, K.A. Cooperative catalysis and activation with N-heterocyclic carbenes. Angew. Chem. Int. Ed. 2016, 55, 14912–14922. [Google Scholar] [CrossRef] [PubMed]
- Chen, X.-Y.; Gao, Z.-H.; Ye, S. Bifunctional N-Heterocyclic Carbenes Derived from L-Pyroglutamic Acid and Their Applications in Enantioselective Organocatalysis. Acc. Chem. Res. 2020, 53, 690–702. [Google Scholar] [CrossRef] [PubMed]
- Ohmiya, H. N-Heterocyclic Carbene-Based Catalysis Enabling Cross-Coupling Reactions. ACS Catal. 2020, 10, 6862–6869. [Google Scholar] [CrossRef]
- Wang, Q.; Meng, Y.; Wu, L.; Li, E.-Q. Recent advances in annulations enabled by nucleophilic Lewis base/metal dual catalysis. Chin. Chem. Lett. 2023, 34, 108544. [Google Scholar] [CrossRef]
- Liu, Q.; Chen, X.-Y. Dual N-heterocyclic carbene/photocatalysis: A new strategy for radical processes. Org. Chem. Front. 2020, 7, 2082–2087. [Google Scholar] [CrossRef]
- Liu, J.; Xing, X.-N.; Huang, J.-H.; Lu, L.-Q.; Xiao, W.-J. Light opens a new window for N-heterocyclic carbene catalysis. Chem. Sci. 2020, 11, 10605–10613. [Google Scholar] [CrossRef]
- Wang, X.; Wu, S.; Yang, R.; Song, H.; Liu, Y.; Wang, Q. Recent advances in combining photo- and N-heterocyclic carbene catalysis. Chem. Sci. 2023, 14, 13367–13383. [Google Scholar] [CrossRef]
- Xu, G.-Q.; Wang, W.D.; Xu, P.-F. Photocatalyzed Enantioselective Functionalization of C(sp3)−H Bonds. J. Am. Chem. Soc. 2024, 146, 1209–1223. [Google Scholar] [CrossRef]
- Ishii, T.; Nagao, K.; Ohmiya, H. Recent advances in N-heterocyclic carbene-based radical catalysis. Chem. Sci. 2020, 11, 5630–5636. [Google Scholar] [CrossRef]
- Li, Q.-Z.; Zeng, R.; Han, B.; Li, J.-L. Single-Electron Transfer Reactions Enabled by N-Heterocyclic Carbene Organocatalysis. Chem. Eur. J. 2021, 27, 3238–3250. [Google Scholar] [CrossRef]
- Maki, B.E.; Scheidt, K.A. N-Heterocyclic Carbene-Catalyzed Oxidation of Unactivated Aldehydes to Esters. Org. Lett. 2008, 10, 4331–4334. [Google Scholar] [CrossRef] [PubMed]
- Noonan, C.; Baragwanath, L.; Connon, S.J. Nucleophilic carbene-catalysed oxidative esterification reactions. Tetrahedron Lett. 2008, 49, 4003–4006. [Google Scholar] [CrossRef]
- De Sarkar, S.; Grimme, S.; Studer, A. NHC Catalyzed Oxidations of Aldehydes to Esters: Chemoselective Acylation of Alcohols in Presence of Amines. J. Am. Chem. Soc. 2010, 132, 1190–1191. [Google Scholar] [CrossRef]
- Samanta, R.C.; Studer, A. N-heterocyclic carbene catalysed oxidative esterification of aliphatic aldehydes. Org. Chem. Front. 2014, 1, 936–939. [Google Scholar] [CrossRef]
- Berry, M.T.; Castrejon, D.; Hein, J.E. Oxidative Esterification of Aldehydes Using Mesoionic 1,2,3-Triazolyl Carbene Organocatalysts. Org. Lett. 2014, 16, 3676–3679. [Google Scholar] [CrossRef]
- Li, W.; Ajitha, M.J.; Lang, M.; Huang, K.-W.; Wang, J. Catalytic Intermolecular Cross-Couplings of Azides and LUMO Activated Unsaturated Acyl Azoliums. ACS Catal. 2017, 7, 2139–2144. [Google Scholar] [CrossRef]
- Chun, S.; Chung, Y.K. Transition-Metal-Free Poly(thiazolium) Iodide/1,8-Diazabicyclo [5.4.0]undec-7-ene/Phenazine-Catalyzed Esterification of Aldehydes with Alcohols. Org. Lett. 2017, 19, 3787–3790. [Google Scholar] [CrossRef] [PubMed]
- Wu, Z.; Jiang, D.; Wang, J. Carbene-catalyzed oxidative acylation promoted by an unprecedented oxidant CCl3CN. Org. Chem. Front. 2019, 6, 688–693. [Google Scholar] [CrossRef]
- Di Carmine, G.; Ragno, D.; Massi, A.; D’Agostino, C. Oxidative Coupling of Aldehydes with Alcohol for the Synthesis of Esters Promoted by Polystyrene-Supported N-Heterocyclic Carbene: Unraveling the Solvent Effect on the Catalyst Behavior Using NMR Relaxation. Org. Lett. 2020, 22, 4927–4931. [Google Scholar] [CrossRef]
- Harnying, W.; Sudkaow, P.; Biswas, A.; Berkessel, A. N-Heterocyclic Carbene/Carboxylic Acid Co-Catalysis Enables Oxidative Esterification of Demanding Aldehydes/Enals, at Low Catalyst Loading. Angew. Chem. Int. Ed. 2021, 60, 19631–19636. [Google Scholar] [CrossRef]
- Sun, C.; Nong, Y.; Pang, C.; Zhang, S.; Li, T. Carbene-Catalyzed Regioselective Addition of Oxindoles to Ynals for Quick Access to Allenes. Synlett 2023, 34, 1997–2000. [Google Scholar] [CrossRef]
- Zhang, X.; Chen, Q.; Song, R.; Xu, J.; Tian, W.; Li, S.; Jin, Z.; Chi, Y.R. Carbene-Catalyzed α,γ-Deuteration of Enals under Oxidative Conditions. ACS Catal. 2020, 10, 5475–5482. [Google Scholar] [CrossRef]
- Singh, A.; Narula, A.K. N-Heterocyclic carbene (NHC) catalyzed amidation of aldehydes with amines via the tandem N-hydroxysuccinimide ester formation. New J. Chem. 2021, 45, 7486–7490. [Google Scholar] [CrossRef]
- Reddy, R.S.; Rosa, J.N.; Veiros, L.F.; Caddick, S.; Gois, P.M.P. NHC/Iron cooperative catalysis: Aerobic oxidative esterification of aldehydes with phenols. Org. Biomol. Chem. 2011, 9, 3126–3129. [Google Scholar] [CrossRef] [PubMed]
- Delany, E.G.; Fagan, C.-L.; Gundala, S.; Mari, A.; Broja, T.; Zeitler, K.; Connon, S.J. NHC-catalysed aerobic aldehyde-esterifications with alcohols: No additives or cocatalysts required. Chem. Commun. 2013, 49, 6510–6512. [Google Scholar] [CrossRef] [PubMed]
- Delany, E.G.; Fagan, C.-L.; Gundala, S.; Zeitler, K.; Connon, S.J. Aerobic oxidation of NHC-catalysed aldehyde esterifications with alcohols: Benzoin, not the Breslow intermediate, undergoes oxidation. Chem. Commun. 2013, 49, 6513–6515. [Google Scholar] [CrossRef] [PubMed]
- Ta, L.; Axelsson, A.; Sundén, H. Attractive aerobic access to the α,β-unsaturated acyl azolium intermediate: Oxidative NHC catalysis via multistep electron transfer. Green Chem. 2016, 18, 686–690. [Google Scholar] [CrossRef]
- Luo, X.-L.; Ge, D.; Yu, Z.-L.; Chu, X.-Q.; Xu, P. Vitamin B1-catalyzed aerobic oxidative esterification of aromatic aldehydes with alcohols. RSC Adv. 2021, 11, 30937–30942. [Google Scholar] [CrossRef]
- Finney, E.E.; Ogawa, K.A.; Boydston, A.J. Organocatalyzed Anodic Oxidation of Aldehydes. J. Am. Chem. Soc. 2012, 134, 12374–12377. [Google Scholar] [CrossRef]
- Arde, P.; Ramanjaneyulu, B.T.; Reddy, V.; Saxena, A.; Anand, R.V. N-Heterocyclic carbene catalysed aerobic oxidation of aromatic aldehydes to aryl esters using boronic acids. Org. Biomol. Chem. 2012, 10, 848–851. [Google Scholar] [CrossRef]
- Meng, J.-J.; Gao, M.; Wei, Y.-P.; Zhang, W.-Q. N-Heterocyclic Carbene-Catalyzed Aerobic Oxidative Direct Esterification of Aldehydes with Organoboronic Acids. Chem. Asian J. 2012, 7, 872–875. [Google Scholar] [CrossRef]
- Guin, J.; De Sarkar, S.; Grimme, S.; Studer, A. Biomimetic Carbene-Catalyzed Oxidations of Aldehydes Using TEMPO. Angew. Chem. Int. Ed. 2008, 47, 8727–8730. [Google Scholar] [CrossRef]
- Xin, Y.-C.; Shi, S.-H.; Xie, D.-D.; Hui, X.-P.; Xu, P.-F. N-Heterocyclic Carbene-Catalyzed Oxidative Esterification Reaction of Aldehydes with Alkyl Halides under Aerobic Conditions. Eur. J. Org. Chem. 2011, 2011, 6527–6531. [Google Scholar] [CrossRef]
- White, N.A.; Rovis, T. Enantioselective N-Heterocyclic Carbene-Catalyzed β-Hydroxylation of Enals Using Nitroarenes: An Atom Transfer Reaction That Proceeds via Single Electron Transfer. J. Am. Chem. Soc. 2014, 136, 14674–14677. [Google Scholar] [CrossRef]
- Zhang, Y.; Du, Y.; Huang, Z.; Xu, J.; Wu, X.; Wang, Y.; Wang, M.; Yang, S.; Webster, R.D.; Chi, Y.R. N-Heterocyclic Carbene-Catalyzed Radical Reactions for Highly Enantioselective β-Hydroxylation of Enals. J. Am. Chem. Soc. 2015, 137, 2416–2419. [Google Scholar] [CrossRef] [PubMed]
- Dong, X.; Yang, W.; Hu, W.; Sun, J. N-Heterocyclic Carbene Catalyzed Enantioselective α-Fluorination of Aliphatic Aldehydes and α-Chloro Aldehydes: Synthesis of α-Fluoro Esters, Amides, and Thioesters. Angew. Chem. Int. Ed. 2015, 54, 660–669. [Google Scholar] [CrossRef] [PubMed]
- Yan, J.-L.; Maiti, R.; Ren, S.-C.; Tian, W.; Li, T.; Xu, J.; Mondal, B.; Jin, Z.; Chi, Y.R. Carbene-catalyzed atroposelective synthesis of axially chiral styrenes. Nat. Commun. 2022, 13, 84. [Google Scholar] [CrossRef] [PubMed]
- Xu, Y.-Y.; Gao, Z.-H.; Li, C.-B.; Ye, S. Enantioselective N-Heterocyclic Carbene Catalyzed α-Oxidative Coupling of Enals with Carboxylic Acids Using an Iodine(III) Reagent. Angew. Chem. Int. Ed. 2023, 62, e202218362. [Google Scholar] [CrossRef]
- Cramer, D.L.; Bera, S.; Studer, A. Exploring Cooperative Effects in Oxidative NHC Catalysis: Regioselective Acylation of Carbohydrates. Chem. Eur. J. 2016, 22, 7403–7407. [Google Scholar] [CrossRef] [PubMed]
- Lv, J.; Zou, J.; Nong, Y.; Song, J.; Shen, T.; Cai, H.; Mou, C.; Lyu, W.; Jin, Z.; Chi, Y.R. Catalytic Regioselective Acylation of Unprotected Nucleosides for Quick Access to COVID and Other Nucleoside Prodrugs. ACS Catal. 2023, 13, 9567–9576. [Google Scholar] [CrossRef]
- Lu, S.; Poh, S.B.; Siau, W.-Y.; Zhao, Y. Kinetic Resolution of Tertiary Alcohols: Highly Enantioselective Access to 3-Hydroxy-3-Substituted Oxindoles. Angew. Chem. Int. Ed. 2013, 52, 1731–1734. [Google Scholar] [CrossRef] [PubMed]
- Huang, Z.; Huang, X.; Li, B.; Mou, C.; Yang, S.; Song, B.A.; Chi, Y.R. Access to P-Stereogenic Phosphinates via N-Heterocyclic Carbene-Catalyzed Desymmetrization of Bisphenols. J. Am. Chem. Soc. 2016, 138, 7524–7527. [Google Scholar] [CrossRef] [PubMed]
- Liu, B.; Yan, J.; Huang, R.; Wang, W.; Jin, Z.; Zanoni, G.; Zheng, P.; Yang, S.; Chi, Y.R. Kinetic Resolution of 1,2-Diols via NHC-Catalyzed Site-Selective Esterification. Org. Lett. 2018, 20, 3447–3450. [Google Scholar] [CrossRef]
- Liu, Y.; Majhi, P.K.; Song, R.; Mou, C.; Hao, L.; Chai, H.; Jin, Z.; Chi, Y.R. Carbene-Catalyzed Dynamic Kinetic Resolution and Asymmetric Acylation of Hydroxyphthalides and Related Natural Products. Angew. Chem. Int. Ed. 2020, 59, 3859–3863. [Google Scholar] [CrossRef]
- Porey, A.; Mondal, B.D.; Guin, J. Hydrogen-Bonding Assisted Catalytic Kinetic Resolution of Acyclic β-Hydroxy Amides. Angew. Chem. Int. Ed. 2021, 60, 8786–8791. [Google Scholar] [CrossRef]
- Gao, Y.-Y.; Zhang, C.-L.; Dai, L.; Han, Y.-F.; Ye, S. Dynamic Kinetic Resolution of α-Trifluoromethyl Hemiaminals without α-Hydrogen via NHC-Catalyzed O-Acylation. Org. Lett. 2021, 23, 1361–1366. [Google Scholar] [CrossRef]
- Guo, D.; Peng, Q.; Zhang, B.; Wang, J. Atroposelective Dynamic Kinetic Resolution via In Situ Hemiaminals Catalyzed by N-Heterocyclic Carbene. Org. Lett. 2021, 23, 7765–7770. [Google Scholar] [CrossRef]
- Mondal, B.; Chen, H.; Maiti, R.; Wang, H.; Cai, H.; Mou, C.; Hao, L.; Chai, H.; Chi, Y.R. Carbene-Catalyzed Direct O-Functionalization of Ketone: Atroposelective Access to Non-C2-Symmetric Binaphthyls. Org. Lett. 2023, 25, 8252–8257. [Google Scholar] [CrossRef]
- Hu, D.; Poh, S.B.; Liu, F.; Tu, Z.; Wang, X.; Lu, S.; Zhao, Y. Anion effect on enantioselective oxidative NHC catalysis: Highly efficient kinetic resolution of tertiary alcohols and beyond. Org. Chem. Front. 2023, 10, 416–421. [Google Scholar] [CrossRef]
- Li, B.-S.; Wang, Y.; Proctor, R.S.J.; Jin, Z.; Chi, Y.R. Carbene-catalyzed desymmetrization of 1,3-diols: Access to optically enriched tertiary alkyl chlorides. Chem. Commun. 2016, 52, 8313–8316. [Google Scholar] [CrossRef]
- Li, S.; Liu, B.; Chen, L.; Li, X.; Cheng, J.-P. N-Heterocyclic carbene promoted enantioselective desymmetrization reaction of diarylalkane-bisphenols. Org. Chem. Front. 2018, 5, 1101–1107. [Google Scholar] [CrossRef]
- Dutta, S.; Porey, A.; Guin, J. N-Heterocyclic carbene catalyzed desymmetrization of diols: Access to enantioenriched oxindoles having a C3-quaternary stereocenter. Chem. Commun. 2023, 59, 5771–5774. [Google Scholar] [CrossRef] [PubMed]
- Di Carmine, G.; Ragno, D.; Brandolese, A.; Bortolini, O.; Pecorari, D.; Sabuzi, F.; Mazzanti, A.; Massi, A. Enantioselective Desymmetrization of 1,4-Dihydropyridines by Oxidative NHC Catalysis. Chem. Eur. J. 2019, 25, 7469–7474. [Google Scholar] [CrossRef] [PubMed]
- Wu, Y.; Li, M.; Sun, J.; Zheng, G.; Zhang, Q. Synthesis of Axially Chiral Aldehydes by N-Heterocyclic-Carbene-Catalyzed Desymmetrization Followed by Kinetic Resolution. Angew. Chem. Int. Ed. 2022, 61, e202117340. [Google Scholar] [CrossRef]
- Liu, H.; Zhou, H.; Chen, X.; Xu, J. N-Heterocyclic Carbene-Catalyzed Desymmetrization of Siladials to Access Silicon-Stereogenic Organosilanes. J. Org. Chem. 2022, 87, 16127–16137. [Google Scholar] [CrossRef]
- Zhou, B.-A.; Li, X.-N.; Zhang, C.-L.; Wang, Z.-X.; Ye, S. Enantioselective Synthesis of Axially Chiral Diaryl Ethers via NHC Catalyzed Desymmetrization and Following Resolution. Angew. Chem. Int. Ed. 2023, 62, e202314228. [Google Scholar] [CrossRef]
- Shee, S.; Ranganathappa, S.S.; Gadhave, M.S.; Gogoi, R.; Biju, A.T. Enantioselective Synthesis of C−O Axially Chiral Diaryl Ethers by NHC-Catalyzed Atroposelective Desymmetrization. Angew. Chem. Int. Ed. 2023, 62, e202311709. [Google Scholar] [CrossRef]
- Rose, C.A.; Zeitler, K. Efficient Catalytic, Oxidative Lactonization for the Synthesis of Benzodioxepinones Using Thiazolium-Derived Carbene Catalysts. Org. Lett. 2010, 12, 4552–4555. [Google Scholar] [CrossRef] [PubMed]
- Ghosh, A.; Barik, S.; Barik, S.; Shee, S.; Biju, A.T. Oxidative N-heterocyclic carbene (NHC) catalysis for the rapid access to functionalized pyrrolo-oxazinones. Tetrahedron 2021, 94, 132330. [Google Scholar] [CrossRef]
- Deng, Q.; Mu, F.; Qiao, Y.; Wei, D. N-Heterocyclic Carbene-Catalyzed Asymmetric C−O Bond Construction between Benzoic Acid and o-Phthalaldehyde: Mechanism and Origin of Stereoselectivity. Chem Asian J. 2021, 16, 2346–2350. [Google Scholar] [CrossRef] [PubMed]
- Choi, I.-S.; Kim, P.-S.; Ha, W.; Kim, Y.H.; Yoo, H.J.; Lee, J.; Youn, S.W. Harnessing NHC/Base-Catalyzed Regiodivergent Oxidative Cyclization for Versatile Aminolactone Synthesis. ACS Catal. 2023, 13, 15939–15947. [Google Scholar] [CrossRef]
- Yang, G.; He, Y.; Wang, T.; Li, Z.; Wang, J. Atroposelective Synthesis of Planar-Chiral Indoles via Carbene Catalyzed Macrocyclization. Angew. Chem. Int. Ed. 2024, 63, e202316739. [Google Scholar] [CrossRef]
- De Sarkar, S.; Studer, A. NHC-Catalyzed Michael Addition to α,β-Unsaturated Aldehydes by Redox Activation. Angew. Chem. Int. Ed. 2010, 49, 9266–9269. [Google Scholar] [CrossRef]
- Rong, Z.-Q.; Jia, M.-Q.; You, S.-L. Enantioselective N-Heterocyclic Carbene-Catalyzed Michael Addition to α,β-Unsaturated Aldehydes by Redox Oxidation. Org. Lett. 2011, 13, 4080–4083. [Google Scholar] [CrossRef]
- Mo, J.; Shen, L.; Chi, Y.R. Direct β-Activation of Saturated Aldehydes to Formal Michael Acceptors through Oxidative NHC Catalysis. Angew. Chem. Int. Ed. 2013, 52, 8588–8591. [Google Scholar] [CrossRef]
- Axelsson, A.; Hammarvid, E.; Ta, L.; Sundeń, H. Asymmetric aerobic oxidative NHC-catalysed synthesis of dihydropyranones utilising a system of electron transfer mediators. Chem. Commun. 2016, 52, 11571–11574. [Google Scholar] [CrossRef]
- Wu, Q.; Li, C.; Wang, W.; Wang, H.; Pan, D.; Zheng, P. NHC-catalyzed enantioselective synthesis of dihydropyran-4-carbonitriles bearing all-carbon quaternary centers. Org. Chem. Front. 2017, 4, 2323–2326. [Google Scholar] [CrossRef]
- Zheng, P.; Li, C.; Mou, C.; Pan, D.; Wu, S.; Xue, W.; Jin, Z.; Chi, Y.R. Efficient Access to 2-Pyrones via Carbene-Catalyzed Oxidative [3 + 3] Reactions between Enals and Nitrogen Ylides. Asian J. Org. Chem. 2019, 8, 1067–1070. [Google Scholar] [CrossRef]
- Wu, Y.-T.; Zhang, R.; Duan, X.-Y.; Yu, H.-F.; Sun, B.-Y.; Qi, J. Access to dihydropyrano[3,2-b]pyrrol-5-ones skeletons by N-heterocyclic carbene-catalyzed [3+3] annulations. Chem. Commun. 2020, 56, 9854–9857. [Google Scholar] [CrossRef] [PubMed]
- Wang, Z.-Y.; Yang, T.; Wang, K.-K.; Chen, R.; Liu, M.; Liu, H. Oxidative N-heterocyclic carbene-catalyzed [3 + 3] annulation reaction of enals with benzofuran-3-ones: Efficient access to benzofuran-fused δ-lactones. Org. Chem. Front. 2020, 7, 1011–1015. [Google Scholar] [CrossRef]
- Wang, Z.-Y.; Liu, Q.; Wang, K.-K.; Liu, M.; Han, Y.; Sun, A.; Ma, X. NHC-Catalyzed Oxidative Annulation of α,β-unsaturated Aldehydes with Benzyl Ketones: Direct Access to 4,5,6-Trisubstituted Dihydropyranones. Asian J. Org. Chem. 2021, 10, 766–770. [Google Scholar] [CrossRef]
- Axelsson, A.; Westerlund, M.; Zacharias, S.C.; Runemark, A.; Haukka, M.; Sundén, H. Asymmetric Synthesis of Dihydropyranones with Three Contiguous Stereocenters by an NHC-Catalyzed Kinetic Resolution. Eur. J. Org. Chem. 2021, 25, 3657–3661. [Google Scholar] [CrossRef]
- Jiang, C.; Dong, Z.; Wang, J.; Zhao, C. N-Heterocyclic Carbene-Catalyzed [3 + 3] Annulation of Alkynyl Acyl Azolium with β-Keto Ester for the Synthesis of Tri-Substituted α-Pyranones. Asian J. Org. Chem. 2023, 12, e202300371. [Google Scholar] [CrossRef]
- Zhang, L.; Wu, Q.; Ren, M.; Zhang, H.; Zhang, X.; Liu, J.; Fu, Z. N-Heterocyclic Carbene-Catalyzed Atroposelective Synthesis of 5-Indo-1-yl Pyran-2-ones with an N−C axis from Enals. Adv. Synth. Catal. 2023, 365, 3467–3472. [Google Scholar] [CrossRef]
- Zhang, S.-C.; Liu, S.; Wang, X.; Wang, S.-J.; Yang, H.; Li, L.; Yang, B.; Wong, M.W.; Zhao, Y.; Lu, S. Enantioselective Access to Triaryl-2-pyrones with Monoaxial or Contiguous C−C Diaxes via Oxidative NHC Catalysis. ACS Catal. 2023, 13, 2565–2575. [Google Scholar] [CrossRef]
- Li, G.-T.; Gu, Q.; You, S.-L. Enantioselective annulation of enals with 2-naphthols by triazolium salts derived from L-phenylalanine. Chem. Sci. 2015, 6, 4273–4278. [Google Scholar] [CrossRef] [PubMed]
- Mukherjee, S.; Joseph, S.; Bhunia, A.; Gonnade, R.G.; Yetra, S.R.; Biju, A.T. Enantioselective synthesis of spiro γ-butyrolactones by N-heterocyclic carbene (NHC)-catalyzed formal [3 + 2] annulation of enals with 3-hydroxy oxindoles. Org. Biomol. Chem. 2017, 15, 2013–2019. [Google Scholar] [CrossRef] [PubMed]
- Chen, X.-Y.; Chen, K.-Q.; Sun, D.-Q.; Ye, S. N-Heterocyclic carbene-catalyzed oxidative [3 + 2] annulation of dioxindoles and enals: Cross coupling of homoenolate and enolate. Chem. Sci. 2017, 8, 1936–1941. [Google Scholar] [CrossRef]
- Song, Z.-Y.; Chen, K.-Q.; Chen, X.-Y.; Ye, S. Diastereo- and Enantioselective Synthesis of Spirooxindoles with Contiguous Tetrasubstituted Stereocenters via Catalytic Coupling of Two Tertiary Radicals. J. Org. Chem. 2018, 83, 2966–2970. [Google Scholar] [CrossRef]
- Liu, Y.; Luo, G.; Yang, X.; Jiang, S.; Xue, W.; Chi, Y.R.; Jin, Z. Carbene-Catalyzed Enantioselective Aromatic N-Nucleophilic Addition of Heteroarenes to Ketones. Angew. Chem. Int. Ed. 2020, 59, 442–448. [Google Scholar] [CrossRef]
- Wang, C.; Li, Z.; Zhang, J.; Hui, X.-P. Asymmetric N-alkylation of indoles with isatins catalyzed by N-heterocyclic carbene: Efficient synthesis of functionalized cyclic N,O-aminal indole derivatives. Org. Chem. Front. 2020, 7, 1647–1652. [Google Scholar] [CrossRef]
- Balanna, K.; Madica, K.; Mukherjee, S.; Ghosh, A.; Poisson, T.; Besset, T.; Jindal, G.; Biju, A.T. N-Heterocyclic Carbene-Catalyzed Formal [6 + 2] Annulation Reaction via Cross-Conjugated Aza-Trienolate Intermediates. Chem. Eur. J. 2020, 26, 818–822. [Google Scholar] [CrossRef] [PubMed]
- Mo, J.; Chen, X.; Chi, Y.R. Oxidative γ-Addition of Enals to Trifluoromethyl Ketones: Enantioselectivity Control via Lewis Acid/N-Heterocyclic Carbene Cooperative Catalysis. J. Am. Chem. Soc. 2012, 134, 8810–8813. [Google Scholar] [CrossRef] [PubMed]
- Wu, Z.; Li, F.; Wang, J. Intermolecular Dynamic Kinetic Resolution Cooperatively Catalyzed by an N-Heterocyclic Carbene and a Lewis Acid. Angew. Chem. Int. Ed. 2015, 54, 1629–1633. [Google Scholar] [CrossRef] [PubMed]
- Liu, R.; Yu, C.; Xiao, Z.; Li, T.; Wang, X.; Xie, Y.; Yao, C. NHC-catalyzed oxidative γ-addition of α,β-unsaturated aldehydes to isatins: A high-efficiency synthesis of spirocyclic oxindole-dihydropyranones. Org. Biomol. Chem. 2014, 12, 1885–1891. [Google Scholar] [CrossRef] [PubMed]
- Zhou, P.; Li, W.; Lan, J.; Zhu, T. Electroredox carbene organocatalysis with iodide as promoter. Nat. Commun. 2022, 13, 3827. [Google Scholar] [CrossRef] [PubMed]
- Sarkar, D.; Barik, S.; Shee, S.; Gonnade, R.G.; Biju, A.T. NHC-Catalyzed Enantioselective Synthesis of Tetracyclic δ-Lactones by (4 + 2) Annulation of ortho-Quinodimethanes with Activated Ketones. Org. Lett. 2023, 25, 7852–7857. [Google Scholar] [CrossRef] [PubMed]
- Chen, X.; Wang, H.; Doitomi, K.; Ooi, C.Y.; Zheng, P.; Liu, W.; Guo, H.; Yang, S.; Song, B.-A.; Hirao, H.; et al. A reaction mode of carbene-catalysed aryl aldehyde activation and induced phenol OH functionalization. Nat. Commun. 2017, 8, 15598. [Google Scholar] [CrossRef] [PubMed]
- Yang, X.; Luo, G.; Zhou, L.; Liu, B.; Zhang, X.; Gao, H.; Jin, Z.; Chi, Y.R. Enantioselective Indole N−H Functionalization Enabled by Addition of Carbene Catalyst to Indole Aldehyde at Remote Site. ACS Catal. 2019, 9, 10971–10976. [Google Scholar] [CrossRef]
- Singh, A.; Narula, A.K. Substituted, Bicyclic 3-Benzoyl Flavanones Synthesis by Highly Efficient N-Heterocyclic Carbene (NHC) Catalysis. ChemistrySelect 2021, 6, 7794–7798. [Google Scholar] [CrossRef]
- Ji, H.; Zou, J.; Mou, C.; Liu, Y.; Ren, S.-C.; Chi, Y.R. NHC-catalyzed [12 + 2] reaction of polycyclic arylaldehydes for access to indole derivatives. Chem. Commun. 2023, 59, 6351–6354. [Google Scholar] [CrossRef] [PubMed]
- Mo, J.; Yang, R.; Chen, X.; Tiwari, B.; Chi, Y.R. Direct α-Functionalization of Simple Aldehydes via Oxidative N-Heterocyclic Carbene Catalysis. Org. Lett. 2013, 15, 50–53. [Google Scholar] [CrossRef] [PubMed]
- Liu, Q.; Teng, K. Facile Approach for the Oxidative Enolate Activation of Aliphatic Aldehydes. J. Org. Chem. 2023, 88, 2404–2414. [Google Scholar] [CrossRef] [PubMed]
- Balanna, K.; Barik, S.; Shee, S.; Gonnade, R.G.; Biju, A.T. Dynamic kinetic resolution of γ,γ-disubstituted indole 2-carboxaldehydes via NHC-Lewis acid cooperative catalysis for the synthesis of tetracyclic ɛ-lactones. Chem. Sci. 2022, 13, 11513–11518. [Google Scholar] [CrossRef]
- Bera, S.; Samanta, R.C.; Daniliuc, C.G.; Studer, A. Asymmetric Synthesis of Highly Substituted β-Lactones through Oxidative Carbene Catalysis with LiCl as Cooperative Lewis Acid. Angew. Chem. Int. Ed. 2014, 53, 9622–9626. [Google Scholar] [CrossRef]
- Bera, S.; Daniliuc, C.G.; Studer, A. Enantioselective Synthesis of Substituted δ-Lactones by Cooperative Oxidative N-Heterocyclic Carbene and Lewis Acid Catalysis. Org. Lett. 2015, 17, 4940–4943. [Google Scholar] [CrossRef]
- Liang, Z.-Q.; Wang, D.-L.; Zhang, H.-M.; Ye, S. Enantioselective Synthesis of Bicyclic δ-Lactones via N-Heterocyclic Carbene-Catalyzed Cascade Reaction. Org. Lett. 2015, 17, 5140–5143. [Google Scholar] [CrossRef]
- Liu, Q.; Chen, X.-Y.; Puttreddy, R.; Rissanen, K.; Enders, D. N-Heterocyclic Carbene Catalyzed Quadruple Domino Reactions: Asymmetric Synthesis of Cyclopenta[c]chromenones. Angew. Chem. Int. Ed. 2018, 57, 17100–17103. [Google Scholar] [CrossRef] [PubMed]
- Ghosh, A.; Barik, S.; Shee, S.; Biju, A.T. Enantioselective synthesis of tetra-substituted tetralines and tetrahydro-indolizines by NHC-catalyzed azolium–enolate cascade. Chem. Commun. 2021, 57, 7794–7797. [Google Scholar] [CrossRef] [PubMed]
- Fan, G.; Wang, Q.; Xu, J.; Zheng, P.; Chi, Y.R. Carbene-catalyzed chemoselective reaction of unsymmetric enedials for access to Furo[2,3-b]pyrroles. Nat. Commun. 2023, 14, 4243. [Google Scholar] [CrossRef] [PubMed]
- Chow, K.Y.-K.; Bode, J.W. Catalytic Generation of Activated Carboxylates: Direct, Stereoselective Synthesis of β-Hydroxyesters from Epoxyaldehydes. J. Am. Chem. Soc. 2004, 126, 8126–8127. [Google Scholar] [CrossRef] [PubMed]
- Reynolds, N.T.; Read de Alaniz, J.; Rovis, T. Conversion of α-Haloaldehydes into Acylating Agents by an Internal Redox Reaction Catalyzed by Nucleophilic Carbenes. J. Am. Chem. Soc. 2004, 126, 9518–9519. [Google Scholar] [CrossRef] [PubMed]
- Reynolds, N.T.; Rovis, T. Enantioselective Protonation of Catalytically Generated Chiral Enolates as an Approach to the Synthesis of α-Chloroesters. J. Am. Chem. Soc. 2005, 127, 16406–16407. [Google Scholar] [CrossRef]
- Vora, H.U.; Rovis, T. N-Heterocyclic Carbene Catalyzed Asymmetric Hydration: Direct Synthesis of α-Protio and α-Deuterio α-Chloro and α-Fluoro Carboxylic Acids. J. Am. Chem. Soc. 2010, 132, 2860–2861. [Google Scholar] [CrossRef]
- Gelat, F.; Patra, A.; Pannecoucke, X.; Biju, A.T.; Poisson, T.; Besset, T. N-Heterocyclic Carbene-Catalyzed Synthesis of α-Trifluoromethyl Esters. Org. Lett. 2018, 20, 3897–3901. [Google Scholar] [CrossRef]
- Jin, S.; Fang, S.; Ma, R.; Liang, Z.; Xu, Y.; Lu, T.; Du, D. β-Sulfonylation of α-bromoenals enabled by N-heterocyclic carbene catalysis. Org. Chem. Front. 2019, 6, 3392–3396. [Google Scholar] [CrossRef]
- Barik, S.; Shee, S.; Ghosh, A.; Biju, A.T. Catalytic, enantioselective C2-functionalization of 3-aminobenzofurans using N-heterocyclic carbenes. Org. Lett. 2020, 22, 3865–3869. [Google Scholar] [CrossRef] [PubMed]
- Qiu, Y.; Dai, L.; Gao, Z.-H.; Ye, S. Distal p-benzylic deuteration via N-heterocyclic carbene catalyzed ring opening of p-cyclopropylbenzaldehydes. Org. Biomol. Chem. 2023, 21, 4750–4754. [Google Scholar] [CrossRef] [PubMed]
- Soeta, T.; Kaneta, K.; Hatanaka, Y.; Ida, T.; Ukaji, Y. N-Heterocyclic Carbene-Catalyzed Chemoselective Monoacylation of 1,n-Linear Diols. Org. Lett. 2021, 23, 8138–8142. [Google Scholar] [CrossRef] [PubMed]
- Gao, Y.-Y.; Zhang, C.-L.; Jin, M.-L.; Gao, Z.-H.; Ye, S. Bifunctional NHC-Catalyzed Remote Enantioselective Mannich-type Reaction of 5-(Chloromethyl) furfural via Trienolate Intermediates. Angew. Chem. Int. Ed. 2023, 62, e202301126. [Google Scholar] [CrossRef]
- Chan, A.; Scheidt, K.A. Conversion of α,β-Unsaturated Aldehydes into Saturated Esters: An Umpolung Reaction Catalyzed by Nucleophilic Carbenes. Org. Lett. 2005, 7, 905–908. [Google Scholar] [CrossRef]
- Sohn, S.S.; Bode, J.W. Catalytic Generation of Activated Carboxylates from Enals: A Product-Determining Role for the Base. Org. Lett. 2005, 7, 3873–3876. [Google Scholar] [CrossRef]
- Zeitler, K. Stereoselective Synthesis of (E)-α‚β-Unsaturated Esters via Carbene-Catalyzed Redox Esterification. Org. Lett. 2006, 8, 637–640. [Google Scholar] [CrossRef]
- Feroci, M.; Chiarotto, I.; Orsini, M.; Pelagalli, R.; Inesi, A. Umpolung reactions in an ionic liquid catalyzed by electrogenerated N-heterocyclic carbenes. Synthesis of saturated esters from activated α,β-unsaturated aldehydes. Chem. Commun. 2012, 48, 5361–5363. [Google Scholar] [CrossRef] [PubMed]
- Enders, D.; Grossmann, A.; Craen, D.V. N-Heterocyclic carbene catalyzed synthesis of oxime esters. Org. Biomol. Chem. 2013, 11, 138–141. [Google Scholar] [CrossRef]
- Wang, M.H.; Barsoum, D.; Schwamb, C.B.; Cohen, D.T.; Goess, B.C.; Riedrich, M.; Chan, A.; Maki, B.E.; Mishra, R.K.; Scheidt, K.A. Catalytic, Enantioselective β-Protonation through a Cooperative Activation Strategy. J. Org. Chem. 2017, 82, 4689–4702. [Google Scholar] [CrossRef]
- Yatham, V.R.; Harnying, W.; Kootz, D.; Neudörfl, J.-M.; Schlörer, N.E.; Berkessel, A. 1,4-Bis-Dipp/Mes-1,2,4-Triazolylidenes: Carbene Catalysts That Efficiently Overcome Steric Hindrance in the Redox Esterification of α- and β-Substituted α,β-Enals. J. Am. Chem. Soc. 2016, 138, 2670–2677. [Google Scholar] [CrossRef]
- Zhu, J.; Fang, S.; Sun, K.; Fang, C.; Lu, T.; Du, D. N-Heterocyclic Carbene-Catalyzed Formal Conjugate Hydroacylation: An Atom-Economic Synthesis of 1H-Indol-3-yl Esters. J. Org. Chem. 2018, 83, 10430–10435. [Google Scholar] [CrossRef] [PubMed]
- Nair, V.; Sinu, C.R.; Babu, B.P.; Varghese, V.; Jose, A.; Suresh, E. Novel Nucleophilic Heterocyclic Carbene Mediated Stereoselective Conjugate Addition of Enals to Nitrostyrenes via Homoenolate. Org. Lett. 2009, 11, 5570–5573. [Google Scholar] [CrossRef] [PubMed]
- White, N.A.; DiRocco, D.A.; Rovis, T. Asymmetric N-Heterocyclic Carbene Catalyzed Addition of Enals to Nitroalkenes: Controlling Stereochemistry via the Homoenolate Reactivity Pathway to Access δ-Lactams. J. Am. Chem. Soc. 2013, 135, 8504–8507. [Google Scholar] [CrossRef] [PubMed]
- Chen, X.-Y.; Xiong, J.-W.; Liu, Q.; Li, S.; Sheng, H.; von Essen, C.; Rissanen, K.; Enders, D. Control of N-Heterocyclic Carbene Catalyzed Reactions of Enals: Asymmetric Synthesis of Oxindole-γ-Amino Acid Derivatives. Angew. Chem. Int. Ed. 2018, 57, 300–304. [Google Scholar] [CrossRef]
- Zhang, C.-L.; Han, Y.-F.; Ye, S. N-Heterocyclic carbene-catalyzed β-addition of enals to 3-alkylenyloxindoles: Synthesis of oxindoles with all-carbon quaternary stereocenters. Chem. Commun. 2019, 55, 7966–7969. [Google Scholar] [CrossRef]
- Dzieszkowski, K.; Słotwiński, M.; Rafińska, K.; Muzioł, T.M.; Rafiński, Z. NHC-catalyzed enantioselective C2-functionalization of 3-hydroxychromenones via α,β-unsaturated acyl azoliums. Chem. Commun. 2021, 57, 9999–10002. [Google Scholar] [CrossRef] [PubMed]
- Dyguda, M.; Skrzyńska, A.; Sieroń, L.; Albrecht, Ł. Dearomative Michael addition involving enals and 2-nitrobenzofurans realized under NHC-catalysis. Chem. Commun. 2022, 58, 5367–5370. [Google Scholar] [CrossRef] [PubMed]
- Shukla, P.M.; Pratap, A.; Maji, B. N-Heterocyclic carbene-catalysed homoenolate addition reaction to 3-cyano-2-imino-2H-chromenes: Synthesis of C4-functionalized 2-amino-3-cyano-4H-chromene. Org. Biomol. Chem. 2022, 20, 8203–8208. [Google Scholar] [CrossRef]
- Li, E.; Tang, K.; Ren, Z.; Liao, X.; Liu, Q.; Huang, Y.; Chen, J. Enantioselective SN2 Alkylation of Homoenolates by N-Heterocyclic Carbene Catalysis. Adv. Sci. 2023, 10, 2303517. [Google Scholar] [CrossRef]
- Li, Z.; Huang, M.; Zhang, X.; Chen, J.; Huang, Y. N-Heterocyclic Carbene-Catalyzed Four-Component Reaction: Chemoselective Cradical-Cradical Relay Coupling Involving the Homoenolate Intermediate. ACS Catal. 2021, 11, 10123–10130. [Google Scholar] [CrossRef]
- Choi, H.; Mathi, G.R.; Hong, S.; Hong, S. Enantioselective functionalization at the C4 position of pyridinium salts through NHC catalysis. Nat. Commun. 2022, 13, 1776. [Google Scholar] [CrossRef] [PubMed]
- Dong, X.; Sun, J. Catalytic Asymmetric α-Aldol Reaction of Vinylogous N-Heterocyclic Carbene Enolates: Formation of Quaternary and Labile Tertiary Stereocenters. Org. Lett. 2014, 16, 2450–2453. [Google Scholar] [CrossRef] [PubMed]
- Xu, J.; Chen, X.; Wang, M.; Zheng, P.; Song, B.-A.; Chi, Y.R. Aminomethylation of Enals through Carbene and Acid Cooperative Catalysis: Concise Access to β2-Amino Acids. Angew. Chem. Int. Ed. 2015, 54, 5161–5165. [Google Scholar] [CrossRef] [PubMed]
- Dai, L.; Ye, S. NHC-Catalyzed ε-Umpolung via p-Quinodimethanes and Its Nucleophilic Addition to Ketones. ACS Catal. 2020, 10, 994–998. [Google Scholar] [CrossRef]
- Bie, J.; Lang, M.; Wang, J. Enantioselective N-Heterocyclic Carbene-Catalyzed Kinetic Resolution of Anilides. Org. Lett. 2018, 20, 5866–5871. [Google Scholar] [CrossRef]
- Zhao, C.; Li, F.; Wang, J. N-Heterocyclic Carbene Catalyzed Dynamic Kinetic Resolution of Pyranones. Angew. Chem. Int. Ed. 2016, 55, 1820–1824. [Google Scholar] [CrossRef] [PubMed]
- Zhao, C.; Wang, J. Divergent Synthesis of Dihydropyranone Stereoisomers via N-Heterocyclic Carbene Catalysis. Adv. Synth. Catal. 2019, 361, 1668–1672. [Google Scholar] [CrossRef]
- Wang, Y.; Yamauchi, A.; Hashimoto, K.; Fujiwara, T.; Inokuma, T.; Mitani, Y.; Ute, K.; Kuwano, S.; Yamaoka, Y.; Takasu, K.; et al. Enhanced Molecular Recognition through Substrate−Additive Complex Formation in N-Heterocyclic-Carbene-Catalyzed Kinetic Resolution of α-Hydroxythioamides. ACS Catal. 2022, 12, 6100–6107. [Google Scholar] [CrossRef]
- Yamada, K.; Yamauchi, A.; Fujiwara, T.; Hashimoto, K.; Wang, Y.; Kuwano, S.; Inokuma, T. Kinetic Resolution of α-Hydroxyamide via N-Heterocyclic Carbene-Catalyzed Acylation. Asian J. Org. Chem. 2022, 11, e202200452. [Google Scholar] [CrossRef]
- An, H.; Liu, S.; Wang, S.-J.; Yu, X.; Shi, C.; Lin, H.; Poh, S.B.; Yang, H.; Wong, M.W.; Zhao, Y.; et al. Kinetic Resolution of Acyclic Tertiary Propargylic Alcohols by NHC-Catalyzed Enantioselective Acylation. Org. Lett. 2024, 26, 702–707. [Google Scholar] [CrossRef]
- Shu, T.; Li, S.; Chen, X.-Y.; Liu, Q.; von Essen, C.; Rissanen, K.; Enders, D. Asymmetric synthesis of functionalized tetrahydrofluorenones via an NHC-catalyzed homoenolate Michael addition. Chem. Commun. 2018, 54, 7661–7664. [Google Scholar] [CrossRef] [PubMed]
- Wang, Y.-J.; Wang, Y.-F.; Kang, W.-Y.; Lu, W.-Y.; Wang, Y.-H.; Tian, P. A Highly Enantioselective Homoenolate Michael Addition/Esterification Sequence of Cyclohexadienone-Tethered Enals via NHC Catalysis. Org. Lett. 2023, 25, 630–635. [Google Scholar] [CrossRef] [PubMed]
- Xu, J.-H.; Zheng, S.-C.; Zhang, J.-W.; Liu, X.-Y.; Tan, B. Construction of Tropane Derivatives by the Organocatalytic Asymmetric Dearomatization of Isoquinolines. Angew. Chem. Int. Ed. 2016, 55, 11834–11839. [Google Scholar] [CrossRef] [PubMed]
- Flanigan, D.M.; Rovis, T. Enantioselective N-heterocyclic carbene-catalyzed nucleophilic dearomatization of alkyl pyridiniums. Chem. Sci. 2017, 8, 6566–6569. [Google Scholar] [CrossRef] [PubMed]
- Deng, R.; Wu, S.; Mou, C.; Liu, J.; Zheng, P.; Zhang, X.; Chi, Y.R. Carbene-Catalyzed Enantioselective Sulfonylation of Enone Aryl Aldehydes: A New Mode of Breslow Intermediate Oxidation. J. Am. Chem. Soc. 2022, 144, 5441–5449. [Google Scholar] [CrossRef] [PubMed]
- Mahatthananchai, J.; Kaeobamrung, J.; Bode, J.W. Chiral N-Heterocyclic Carbene-Catalyzed Annulations of Enals and Ynals with Stable Enols: A Highly Enantioselective Coates−Claisen Rearrangement. ACS Catal. 2012, 2, 494–503. [Google Scholar] [CrossRef]
- Yetra, S.R.; Roy, T.; Bhunia, A.; Porwal, D.; Biju, A.T. Synthesis of Functionalized Coumarins and Quinolinones by NHC-Catalyzed Annulation of Modified Enals with Heterocyclic C−H Acids. J. Org. Chem. 2014, 79, 4245–4251. [Google Scholar] [CrossRef]
- Xu, J.; Zhang, W.; Liu, Y.; Zhu, S.; Liu, M.; Hua, X.; Chen, S.; Lu, T.; Du, D. Formal [3 + 3] annulation of isatin-derived 2-bromoenals with 1,3-dicarbonyl compounds enabled by Lewis acid/N-heterocyclic carbene cooperative catalysis. RSC Adv. 2016, 6, 18601–18606. [Google Scholar] [CrossRef]
- Luo, C.; Xu, X.; Xu, J.; Chen, X. Oxidant free synthesis of α-pyrones via an NHC catalyzed [3 + 3] annulation of bromoenals with 2-chloro-1,3-diketones. Org. Biomol. Chem. 2022, 20, 9298–9301. [Google Scholar] [CrossRef]
- Li, J.-L.; Sahoo, B.; Daniliuc, C.-G.; Glorius, F. Conjugate Umpolung of β,β-Disubstituted Enals by Dual Catalysis with an N-Heterocyclic Carbene and a Brønsted Acid: Facile Construction of Contiguous Quaternary Stereocenters. Angew. Chem. Int. Ed. 2014, 53, 10515–10519. [Google Scholar] [CrossRef]
- Zhang, Y.; Lu, Y.; Tang, W.; Lu, T.; Du, D. Cooperative N-heterocyclic carbene (NHC)–Lewis acid-mediated regioselective umpolung formal [3 + 2] annulations of alkynyl aldehydes with isatins. Org. Biomol. Chem. 2014, 12, 3009. [Google Scholar] [CrossRef] [PubMed]
- Nie, G.; Huang, X.; Wang, Z.; Pan, D.; Zhang, J.; Chi, Y.R. Umpolung of donor–acceptor cyclopropanes via N-heterocyclic carbene organic catalysis. Org. Chem. Front. 2021, 8, 5105–5111. [Google Scholar] [CrossRef]
- Kyan, R.; Kitagawa, Y.; Ide, R.; Sato, K.; Mase, N.; Narumi, T. β,γ-trans-selective γ-butyrolactone formation via homoenolate cross-annulation of enals and aldehydes catalyzed by sterically hindered N-heterocyclic carbene. Tetrahedron 2021, 91, 132191. [Google Scholar] [CrossRef]
- Wang, G.; Wu, J.; Cheng, H.; Zhong, C.; He, Z.-L. N-Heterocyclic Carbene Catalyzed [3 + 2] Annulations of β-Halocycloenals with Isatins and Mechanism Study. Eur. J. Org. Chem. 2021, 6, 983–989. [Google Scholar] [CrossRef]
- Gil-Ordóñez, M.; Maestro, A.; Ortega, P.; Jambrina, P.G.; Andrés, J.M. NHC-catalysed [3 + 2]-asymmetric annulation between pyrazolin-4,5-diones and enals: Synthesis of novel spirocyclic pyrazolone γ-butyrolactones and computational study of mechanism and stereoselectivity. Org. Chem. Front. 2022, 9, 420–427. [Google Scholar] [CrossRef]
- Liu, W.; Zhang, L.; Liao, X.; Chen, J.; Huang, Y. An NHC-catalyzed [3 + 2] cyclization of β-disubstituted enals with benzoyl cyanides. Chem. Commun. 2022, 58, 9742–9745. [Google Scholar] [CrossRef]
- Gil-Ordóñez, M.; Maestro, A.; Andrés, J.M. Access to Spiropyrazolone-butenolides through NHC-Catalyzed [3 + 2]-Asymmetric Annulation of 3-Bromoenals and 1H-Pyrazol-4,5-diones. J. Org. Chem. 2023, 88, 6890–6900. [Google Scholar] [CrossRef]
- Liang, Z.; Li, J.; Liu, C.; Zhu, Y.; Du, D. N-heterocyclic carbene-catalyzed enantioselective synthesis of spirocyclic ketones bearing gemdifluoromethylenes. Org. Chem. Front. 2023, 10, 3027–3032. [Google Scholar] [CrossRef]
- Xie, Y.; Yang, X.; Xu, J.; Chai, H.; Liu, H.; Zhang, J.; Song, J.; Gao, Y.; Jin, Z.; Chi, Y.R. Access to Allene-Containing Molecules via Enantioselective Reactions of Azolium Cumulenolate Intermediates. Angew. Chem. Int. Ed. 2021, 60, 14817–14823. [Google Scholar] [CrossRef]
- Viveki, A.B.; Pol, M.D.; Halder, P.; Sonavane, S.R.; Mhaske, S.B. Annulation of Enals with Carbamoylpropiolates via NHC-Catalyzed Enolate Pathway: Access to Functionalized Maleimides/Isomaleimides and Synthesis of Aspergillus FH-X-213. J. Org. Chem. 2021, 86, 9466–9477. [Google Scholar] [CrossRef]
- Yang, L.; Wang, F.; Lee, R.; Lv, Y.; Huang, K.-W.; Zhong, G. Asymmetric NHC-Catalyzed Aza-Diels−Alder Reactions: Highly Enantioselective Route to α-Amino Acid Derivatives and DFT Calculations. Org. Lett. 2014, 16, 3872–3875. [Google Scholar] [CrossRef] [PubMed]
- Wu, Z.; Wang, X.; Li, F.; Wu, J.; Wang, J. Chemoselective N-Heterocyclic Carbene-Catalyzed Cascade of Enals with Nitroalkenes. Org. Lett. 2015, 17, 3588–3591. [Google Scholar] [CrossRef] [PubMed]
- Chen, X.; Song, R.; Liu, Y.; Ooi, C.Y.; Jin, Z.; Zhu, T.; Wang, H.; Hao, L.; Chi, Y.R. Carbene and Acid Cooperative Catalytic Reactions of Aldehydes and o-Hydroxybenzhydryl Amines for Highly Enantioselective Access to Dihydrocoumarins. Org. Lett. 2017, 19, 5892–5895. [Google Scholar] [CrossRef]
- Prieto, L.; Sánchez-Díez, E.; Uria, U.; Reyes, E.; Carrillo, L.; Vicario, J.L. Catalytic Generation of Donor-Acceptor Cyclopropanes under N-Heterocyclic Carbene Activation and their Stereoselective Reaction with Alkylideneoxindoles. Adv. Synth. Catal. 2017, 359, 1678–1683. [Google Scholar] [CrossRef]
- Verma, R.S.; Khatana, A.K.; Mishra, M.; Kumar, S.; Tiwari, B. Access to enantioenriched 4-phosphorylated δ-lactones from β-phosphorylenones and enals via carbene organocatalysis. Chem. Commun. 2020, 56, 7155–7158. [Google Scholar] [CrossRef] [PubMed]
- Peng, X.; Xu, J.; Li, T.; Chi, Y.R.; Jin, Z. Chemo-selective cross reaction of two enals via carbene-catalyzed dual activation. Chem. Sci. 2020, 11, 12533–12539. [Google Scholar] [CrossRef]
- Liu, L.; Guo, D.; Wang, J. NHC-Catalyzed Asymmetric α-Regioselective [4 + 2] Annulation to Construct α-Alkylidene-δ-lactones. Org. Lett. 2020, 22, 7025–7029. [Google Scholar] [CrossRef]
- Wang, Y.; Qiao, Y.; Lan, Y.; Wei, D. Predicting the origin of selectivity in NHC catalyzed ring opening of formylcyclopropane: A theoretical investigation. Catal. Sci. Technol. 2021, 11, 332–337. [Google Scholar] [CrossRef]
- Khatana, A.K.; Singh, V.; Gupta, M.K.; Tiwari, B. Carbene Catalyzed Access to 3,6-Disubstituted α-Pyrones via Michael Addition/Lactonization/Elimination Cascade. Adv. Synth. Catal. 2021, 363, 4862–4866. [Google Scholar] [CrossRef]
- Verma, R.S.; Talukdar, R.; Azaz, T.; Tiwari, B. Carbene Catalyzed Asymmetric Synthesis of Selenylated δ-Lactones via [4 + 2] Annulation of Selenyl Vinyl Ketones and Enals. Adv. Synth. Catal. 2022, 364, 4031–4035. [Google Scholar] [CrossRef]
- Yang, X.; Sun, J.; Huang, X.; Jin, Z. Asymmetric Synthesis of Structurally Sophisticated Spirocyclic Pyrano[2,3-c]pyrazole Derivatives Bearing a Chiral Quaternary Carbon Center. Org. Lett. 2022, 24, 5474–5479. [Google Scholar] [CrossRef] [PubMed]
- Nong, Y.; Pang, C.; Teng, K.; Zhang, S.; Liu, Q. NHC-Catalyzed Chemoselective Reactions of Enals and Cyclopropylcarbaldehydes for Access to Chiral Dihydropyranone Derivatives. J. Org. Chem. 2023, 88, 13535–13543. [Google Scholar] [CrossRef] [PubMed]
- Nam, Y.; Tam, A.T.; Miller, E.R.; Scheidt, K.A. A Platform for the Synthesis of Corynantheine-Type Corynanthe Alkaloids. J. Am. Chem. Soc. 2024, 146, 118–124. [Google Scholar] [CrossRef] [PubMed]
- Xiao, Z.; Yu, C.; Li, T.; Wang, X.-S.; Yao, C. N-Heterocyclic Carbene/Lewis Acid Strategy for the Stereoselective Synthesis of Spirocyclic Oxindole−Dihydropyranones. Org. Lett. 2014, 16, 3632–3635. [Google Scholar] [CrossRef] [PubMed]
- Przydacz, A.; Topolska, A.; Skrzyńska, A.; Albrecht, Ł. NHC-Catalyzed 1,4-Elimination in the Dearomative Activation of 3-Furaldehydes towards (4 + 2)-Cycloadditions. Adv. Synth. Catal. 2022, 364, 1434–1439. [Google Scholar] [CrossRef]
- Peng, Q.; Zhang, B.; Xie, Y.; Wang, J. Carbene-Catalyzed [4 + 2] Annulation of 2H-Azirine-2-carboxaldehydes with Ketones via Azolium Aza-Dienolate Intermediate. Org. Lett. 2018, 20, 7641–7644. [Google Scholar] [CrossRef] [PubMed]
- Li, Y.; Zhang, Z. A DFT study on NHC-catalyzed [4 + 2] annulation of 2H-azirines with ketones: Mechanism and selectivity. Int J Quantum Chem. 2021, 121, e26557. [Google Scholar] [CrossRef]
- Izquierdo, J.; Orue, A.; Scheidt, K.A. A Dual Lewis Base Activation Strategy for Enantioselective Carbene-Catalyzed Annulations. J. Am. Chem. Soc. 2013, 135, 10634–10637. [Google Scholar] [CrossRef]
- Wang, M.; Rong, Z.-Q.; Zhao, Y. Stereoselective synthesis of ε-lactones or spiro-heterocycles through NHC-catalyzed annulation: Divergent reactivity by catalyst control. Chem. Commun. 2014, 50, 15309–15312. [Google Scholar] [CrossRef]
- Liang, Z.-Q.; Gao, Z.-H.; Jia, W.-Q.; Ye, S. Bifunctional N-Heterocyclic Carbene Catalyzed [3 + 4] Annulation of Enals and Aurones. Chem. Eur. J. 2015, 21, 1868–1872. [Google Scholar] [CrossRef] [PubMed]
- Liang, Z.-Q.; Yi, L.; Chen, K.-Q.; Ye, S. N-Heterocyclic Carbene-Catalyzed [3 + 4] Annulation of Enals and Alkenyl Thiazolones: Enantioselective Synthesis of Thiazole-Fusedε-Lactones. J. Org. Chem. 2016, 81, 4841–4846. [Google Scholar] [CrossRef]
- Liu, Q.; Li, S.; Chen, X.-Y.; Rissanen, K.; Enders, D. Asymmetric Synthesis of Spiro-oxindole-ε-lactones through N-Heterocyclic Carbene Catalysis. Org. Lett. 2018, 20, 3622–3626. [Google Scholar] [CrossRef]
- Li, W.; Yuan, H.; Liu, Z.; Zhang, Z.; Cheng, Y.; Li, P. NHC-Catalyzed Enantioselective [4 + 3] Cycloaddition of Ortho-Hydroxyphenyl Substituted Para-Quinone Methides with Isatin-Derived Enals. Adv. Synth. Catal. 2018, 360, 2460–2464. [Google Scholar] [CrossRef]
- Li, Y.; Li, Z.; Zhang, Z. Mechanistic study on the NHC-catalyzed [3 + 4] annulation of enals and thiazolones. New J. Chem. 2021, 45, 12129–12137. [Google Scholar] [CrossRef]
- Davies, A.T.; Greenhalgh, M.D.; Slawin, A.M.Z.; Smith, A.D. NHC-catalyzed enantioselective synthesis of β-trifluoromethyl-β-hydroxyamides. Beilstein J. Org. Chem. 2020, 16, 1572–1578. [Google Scholar] [CrossRef] [PubMed]
- Du, D.; Hu, Z.; Jin, J.; Lu, Y.; Tang, W.; Wang, B.; Lu, T. N-Heterocyclic Carbene-Catalyzed Three-Component Domino Reaction of Alkynyl Aldehydes with Oxindoles. Org. Lett. 2012, 14, 1274–1277. [Google Scholar] [CrossRef] [PubMed]
- Zhang, H.-R.; Dong, Z.-W.; Yang, Y.-J.; Wang, P.-L.; Hui, X.-P. N-Heterocyclic Carbene-Catalyzed Stereoselective Cascade Reaction: Synthesis of Functionalized Tetrahydroquinolines. Org. Lett. 2013, 15, 4750–4753. [Google Scholar] [CrossRef]
- Li, T.; Wang, J.; Xu, J.; Jin, J.; Chi, Y.R.; Jin, Z. Enantio- and Diastereoselective Synthesis of Chromeno[4,3-b]pyrrole Derivatives Bearing Tetrasubstituted Chirality Centers through Carbene Catalyzed Cascade Reactions. Org. Lett. 2020, 22, 326–330. [Google Scholar] [CrossRef]
- Shee, S.; Mukherjee, S.; Gonnade, R.G.; Biju, A.T. Enantioselective Synthesis of Tricyclic β-Lactones by NHC-Catalyzed Desymmetrization of Cyclic 1,3-Diketones. Org. Lett. 2020, 22, 5407–5411. [Google Scholar] [CrossRef]
- Wang, Z.-Y.; Shen, F.; Yang, T.; Zhang, J.-K.; Chen, R.; Wang, K.-K.; Liu, H. Carbene-Catalyzed Three-Component Cascade Reaction of Benzofuran-2-ones and Enals: Construction of Spirobenzofuranone-δ-lactones. Asian J. Org. Chem. 2021, 10, 3293–3296. [Google Scholar] [CrossRef]
- Wang, Z.-Y.; Yang, T.; Liu, D.; Chen, R.; Wang, N.; Liu, H.; Li, J.; Wang, K.-K.; Liu, H. Catalyst-Controlled Selectivity Switch in Three-Component Reaction: An NHC-Catalyzed Strategy for the Synthesis of δ-Lactone-Fused Spirobenzofuran-3-ones. Molecules 2022, 27, 5952. [Google Scholar] [CrossRef]
- Lu, S.; Ong, J.-Y.; Yang, H.; Poh, S.B.; Liew, X.; Seow, C.S.D.; Wong, M.W.; Zhao, Y. Diastereo- and Atroposelective Synthesis of Bridged Biaryls Bearing an Eight-Membered Lactone through an Organocatalytic Cascade. J. Am. Chem. Soc. 2019, 141, 17062–17067. [Google Scholar] [CrossRef]
- Bhunia, A.; Patra, A.; Puranik, V.G.; Biju, A.T. NHC-Catalyzed Reaction of Enals with Hydroxy Chalcones: Diastereoselective Synthesis of Functionalized Coumarins. Org. Lett. 2013, 15, 1756–1759. [Google Scholar] [CrossRef]
- Wang, G.; Wang, Z.-Y.; Niu, S.-S.; Rao, Y.; Cheng, Y. The Reaction of 2-Aroylvinylcinnamaldehydes with Aromatic Aldehydes by Dual Catalysis with a Chiral N-Heterocyclic Carbene and a Lewis Acid: Enantioselective Construction of Tetrahydroindeno[1,2-c]furan-1-ones. J. Org. Chem. 2016, 81, 8276–8286. [Google Scholar] [CrossRef]
- Wang, Z.-Y.; Ding, Y.-L.; Li, S.-N.; Cheng, Y. N-Heterocyclic Carbene/Lewis Acid Dual Catalysis for the Divergent Construction of Enantiopure Bridged Lactones and Fused Indenes. J. Org. Chem. 2016, 81, 11871–11881. [Google Scholar] [CrossRef] [PubMed]
- Niu, Y.; Yao, L.; Zhao, H.; Tang, X.; Zhao, Q.; Wu, Y.; Han, B.; Huang, W.; Zhan, G. Construction of Cyclopentanes Consisting of Five Stereocenters via NHC-Catalyzed Cascade Reactions of Enals with Oxindole-Dienones. Org. Lett. 2023, 25, 8445–8450. [Google Scholar] [CrossRef] [PubMed]
- Dang, H.-Y.; Wang, Z.-T.; Cheng, Y. Changing Reaction Pathways of the Dimerization of 2-Formylcinnamates by N-Heterocyclic Carbene/Lewis Acid Cooperative Catalysis: An Unusual Cleavage of the Carbon−Carbon Bond. Org. Lett. 2014, 16, 5520–5523. [Google Scholar] [CrossRef] [PubMed]
- Zhao, X.; DiRocco, D.A.; Rovis, T. N-Heterocyclic Carbene and Brønsted Acid Cooperative Catalysis: Asymmetric Synthesis of trans-γ-Lactams. J. Am. Chem. Soc. 2011, 133, 12466–12469. [Google Scholar] [CrossRef] [PubMed]
- Lin, Y.; Yang, L.; Deng, Y.; Zhong, G. Cooperative catalysis of N-heterocyclic carbene and Brønsted acid for a highly enantioselective route to unprotected spiro-indoline-pyrans. Chem. Commun. 2015, 51, 8330–8333. [Google Scholar] [CrossRef] [PubMed]
- Wu, X.; Hao, L.; Zhang, Y.; Rakesh, M.; Reddi, R.N.; Yang, S.; Song, B.-A.; Chi, Y.R. Construction of Fused Pyrrolidines and β-Lactones by Carbene-Catalyzed C−N, C−C, and C−O Bond Formations. Angew. Chem. Int. Ed. 2017, 56, 4201–4205. [Google Scholar] [CrossRef] [PubMed]
- Wu, Z.; Wang, J. Enantioselective Medium-Ring Lactone Synthesis through an NHC-Catalyzed Intramolecular Desymmetrization of Prochiral 1,3-Diols. ACS Catal. 2017, 7, 7647–7652. [Google Scholar] [CrossRef]
- Janssen-Meller, D.; Singha, S.; Olyschläger, T.; Daniliuc, C.G.; Glorius, F. Annulation of o-Quinodimethanes through N-Heterocyclic Carbene Catalysis for the Synthesis of 1-Isochromanones. Org. Lett. 2016, 18, 4444–4447. [Google Scholar] [CrossRef] [PubMed]
- Chen, D.-F.; Rovis, T. N-Heterocyclic Carbene and Chiral Brønsted Acid Cooperative Catalysis for a Highly Enantioselective [4 + 2] Annulation. Synthesis 2017, 49, 293–298. [Google Scholar] [CrossRef] [PubMed]
- Wang, H.; Chi, Y.R.; Huang, X. Enantioselective Dual Catalysis of N-Heterocyclic Carbene and Hydrogen-Bond Donor Organocatalysts. Eur. J. Org. Chem. 2022, 27, e202200548. [Google Scholar] [CrossRef]
- Youn, S.W.; Song, H.S.; Park, J.H. Asymmetric Domino Multicatalysis for the Synthesis of 3-Substituted Phthalides: Cinchonine/NHC Cooperative System. Org. Lett. 2014, 16, 1028–1031. [Google Scholar] [CrossRef] [PubMed]
- Wang, M.H.; Cohen, D.T.; Schwamb, C.B.; Mishra, R.K.; Scheidt, K.A. Enantioselective β-Protonation by a Cooperative Catalysis Strategy. J. Am. Chem. Soc. 2015, 137, 5891–5894. [Google Scholar] [CrossRef] [PubMed]
- Murauski, K.J.R.; Walden, D.M.; Cheong, P.H.-Y.; Scheidt, K.A. A Cooperative Ternary Catalysis System for Asymmetric Lactonizations of α-Ketoesters. Adv. Synth. Catal. 2017, 359, 3713–3719. [Google Scholar] [CrossRef] [PubMed]
- Fuchs, P.J.W.; Zeitler, K. An N-Heterocyclic Carbene-Mediated, Enantioselective and Multicatalytic Strategy to Access Dihydropyranones in a Sequential Three-Component One-Pot Reaction. Org. Lett. 2017, 19, 6076–6079. [Google Scholar] [CrossRef] [PubMed]
- Fuchs, P.J.W.; Zeitler, K. Nitroalkenes as Latent 1,2-Biselectrophiles—A Multicatalytic Approach for the Synthesis of 1,4-Diketones and Their Application in a Four-Step One-Pot Reaction to Polysubstituted Pyrroles. J.Org. Chem. 2017, 82, 7796–7805. [Google Scholar] [CrossRef]
- Shee, S.; Barik, S.; Ghosh, A.; Biju, A.T. Synthesis of Functionalized Dihydrocoumarins by NHC-Catalyzed [3 + 3] Annulation of Enals with 2-Substituted Naphthoquinones. Org. Lett. 2021, 23, 8039–8044. [Google Scholar] [CrossRef]
- Liu, K.; Hovey, M.T.; Scheidt, K.A. A cooperative N-heterocyclic carbene/palladium catalysis system. Chem. Sci. 2014, 5, 4026–4031. [Google Scholar] [CrossRef]
- Guo, C.; Fleige, M.; Janssen-Müller, D.; Daniliuc, C.G.; Glorius, F. Cooperative N-Heterocyclic Carbene/Palladium-Catalyzed Enantioselective Umpolung Annulations. J. Am. Chem. Soc. 2016, 138, 7840–7843. [Google Scholar] [CrossRef]
- Guo, C.; Janssen-Müller, D.; Fleige, M.; Lerchen, A.; Daniliuc, C.G.; Glorius, F. Mechanistic Studies on a Cooperative NHC Organocatalysis/Palladium Catalysis System: Uncovering Significant Lessons for Mixed Chiral Pd(NHC)(PR3) Catalyst Design. J. Am. Chem. Soc. 2017, 139, 4443–4451. [Google Scholar] [CrossRef]
- Singha, S.; Patra, T.; Daniliuc, C.G.; Glorius, F. Highly Enantioselective [5 + 2] Annulations through Cooperative N-Heterocyclic Carbene (NHC) Organocatalysis and Palladium Catalysis. J. Am. Chem. Soc. 2018, 140, 3551–3554. [Google Scholar] [CrossRef]
- Singha, S.; Serrano, E.; Mondal, S.; Daniliuc, C.G.; Glorius, F. Diastereodivergent synthesis of enantioenriched α,β-disubstituted γ-butyrolactones via cooperative N-heterocyclic carbene and Ir catalysis. Nat. Catalysis 2020, 3, 48–54. [Google Scholar] [CrossRef]
- Bhaskararao, B.; Rotella, M.E.; Kim, D.Y.; Kee, J.-M.; Kim, K.S.; Kozlowski, M.C. Ir and NHC Dual Chiral Synergetic Catalysis: Mechanism and Stereoselectivity in γ-Butyrolactone Formation. J. Am. Chem. Soc. 2022, 144, 16171–16183. [Google Scholar] [CrossRef] [PubMed]
- Fan, T.; Song, J.; Gong, L.-Z. Asymmetric Redox Allylic Alkylation to Access 3,3′-Disubstituted Oxindoles Enabled by Ni/NHC Cooperative Catalysis. Angew. Chem. Int. Ed. 2022, 61, e202201678. [Google Scholar] [CrossRef] [PubMed]
- Peng, L.; Wang, M.; Huang, J.; Guo, C.; Gong, L.-Z.; Song, J. Enantio- and Diastereodivergent N-Heterocyclic Carbene/Nickel Dual-Catalyzed Umpolung Propargylic Substitutions of Enals. J. Am. Chem. Soc. 2023, 145, 28085–28095. [Google Scholar] [CrossRef] [PubMed]
- Yang, W.; Ling, B.; Hu, B.; Yin, H.; Mao, J.; Walsh, P.J. Synergistic N-Heterocyclic Carbene/Palladium-Catalyzed Umpolung 1,4-Addition of Aryl Iodides to Enals. Angew. Chem. Int. Ed. 2020, 59, 161–166. [Google Scholar] [CrossRef] [PubMed]
- Ling, B.; Yang, W.; Wang, Y.-E.; Mao, J. Cooperative N-Heterocyclic Carbene/Palladium-Catalyzed Umpolung 1,4-Addition of Vinyl Bromides to Enals. Org. Lett. 2020, 22, 9603–9608. [Google Scholar] [CrossRef] [PubMed]
- Namitharan, K.; Zhu, T.; Cheng, J.; Zheng, P.; Li, X.; Yang, S.; Song, B.-A.; Chi, Y.R. Metal and carbene organocatalytic relay activation of alkynes for stereoselective reactions. Nat. Commun. 2014, 5, 3982. [Google Scholar] [CrossRef]
- Zhang, Z.-J.; Zhang, L.; Geng, R.-L.; Song, J.; Chen, X.-H.; Gong, L.-Z. N-Heterocyclic Carbene/Copper Cooperative Catalysis for the Asymmetric Synthesis of Spirooxindoles. Angew. Chem. Int. Ed. 2019, 58, 12190–12194. [Google Scholar] [CrossRef] [PubMed]
- Youn, S.W.; Yoo, H.J. One-Pot Sequential N-Heterocyclic Carbene/Rhodium(III) Catalysis: Synthesis of Fused Polycyclic Isocoumarins. Adv. Synth. Catal. 2017, 359, 2176–2183. [Google Scholar] [CrossRef]
- Wen, Y.-H.; Yang, F.; Li, S.; Yao, X.; Song, J.; Gong, L.-Z. Diastereodivergent Desymmetric Annulation to Access Spirooxindoles: Chemical Probes for Mitosis. J. Am. Chem. Soc. 2023, 145, 4199–4207. [Google Scholar] [CrossRef] [PubMed]
- Zhao, J.; Mück-Lichtenfeld, C.; Studer, A. Cooperative N-Heterocyclic Carbene (NHC) and Ruthenium Redox Catalysis: Oxidative Esterification of Aldehydes with Air as the Terminal Oxidant. Adv. Synth. Catal. 2013, 355, 1098–1106. [Google Scholar] [CrossRef]
- Wang, Q.; Chen, J.; Huang, Y. Aerobic Oxidation/Annulation Cascades through Synergistic Catalysis of RuCl3 and N-Heterocyclic Carbenes. Chem. Eur. J. 2018, 24, 12806–12810. [Google Scholar] [CrossRef]
- Li, S.; Wen, Y.-H.; Song, J.; Gong, L.-Z. Asymmetric redox benzylation of enals enabled by NHC/Ru cooperative catalysis. Sci. Adv. 2023, 9, eadf5606. [Google Scholar] [CrossRef] [PubMed]
- Jiang, J.; Wang, X.; Liu, S.; Zhang, S.; Yang, B.; Zhao, Y.; Lu, S. Enantioselective Cascade Annulation of α-Amino-ynones and Enals Enabled by Gold and Oxidative NHC Relay Catalysis. Angew. Chem. Int. Ed. 2022, 61, e202115464. [Google Scholar] [CrossRef]
- DiRocco, D.A.; Rovis, T. Catalytic Asymmetric α-Acylation of Tertiary Amines Mediated by a Dual Catalysis Mode: N-Heterocyclic Carbene and Photoredox Catalysis. J. Am. Chem. Soc. 2012, 134, 8094–8097. [Google Scholar] [CrossRef]
- Yoshioka, E.; Inoue, M.; Nagoshi, Y.; Kobayashi, A.; Mizobuchi, R.; Kawashima, A.; Kohtani, S.; Miyabe, H. Oxidative Functionalization of Cinnamaldehyde Derivatives: Control of Chemoselectivity by Organophotocatalysis and Dual Organocatalysis. J. Org. Chem. 2018, 83, 8962–8970. [Google Scholar] [CrossRef] [PubMed]
- Yoshioka, E.; Takahashi, H.; Kubo, A.; Ohno, M.; Watanabe, F.; Shiono, R.; Miyazaki, Y.; Miyabe, H. N-Heterocyclic Carbene Catalyzed Cross Dehydrogenative Coupling of Aldehydes with Methanol: Combined Use of Eosin Y and Hexachloroethane. Synthesis 2022, 54, 5520–5528. [Google Scholar] [CrossRef]
- Dai, L.; Xia, Z.-H.; Gao, Y.-Y.; Gao, Z.-H.; Ye, S. Visible-Light-Driven N-Heterocyclic Carbene Catalyzed γ- and ε-Alkylation with Alkyl Radicals. Angew. Chem. Int. Ed. 2019, 58, 18124–18130. [Google Scholar] [CrossRef] [PubMed]
- Dai, L.; Ye, S. Photo/N-Heterocyclic Carbene Co-catalyzed Ring Opening and γ-Alkylation of Cyclopropane Enal. Org. Lett. 2020, 22, 986–990. [Google Scholar] [CrossRef]
- Dai, L.; Xu, Y.-Y.; Xia, Z.-H.; Ye, S. γ-Difluoroalkylation: Synthesis of γ-Difluoroalkyl-α,β-Unsaturated Esters via Photoredox NHC-Catalyzed Radical Reaction. Org. Lett. 2020, 22, 8173–8177. [Google Scholar] [CrossRef]
- Xu, Y.-Y.; Dai, L.; Gao, Z.-H.; Ye, S. ε-Benzylation via Cooperative Photoredox and N-Heterocyclic Carbene Catalysis. J. Org. Chem. 2022, 87, 14970–14974. [Google Scholar] [CrossRef]
- Xia, Z.-H.; Dai, L.; Gao, Z.-H.; Ye, S. N-Heterocyclic carbene/photo-cocatalyzed oxidative smiles rearrangement: Synthesis of aryl salicylates from O-aryl salicylaldehydes. Chem. Commun. 2020, 56, 1525–1528. [Google Scholar] [CrossRef] [PubMed]
- Gao, Z.-H.; Xia, Z.-H.; Dai, L.; Ye, S. N-Heterocyclic Carbene Catalyzed Photooxidation: Intramolecular Cross Dehydrogenative Coupling of Tetrahydroisoquinoline-Tethered Aldehydes. Adv. Synth. Catal. 2020, 362, 1819–1824. [Google Scholar] [CrossRef]
- Krylov, I.B.; Vil’, V.A.; Terent’ev, A.O. Cross-dehydrogenative coupling for the intermolecular C–O bond formation. Beilstein J. Org. Chem. 2015, 11, 92–146. [Google Scholar] [CrossRef]
- Qin, Y.; Zhu, L.; Luo, S. Organocatalysis in Inert C−H Bond Functionalization. Chem. Rev. 2017, 117, 9433–9520. [Google Scholar] [CrossRef] [PubMed]
- Axelsson, A.; Antoine-Michard, A.; Sundén, H. Organocatalytic valorisation of glycerol via a dual NHC-catalysed telescoped reaction. Green Chem. 2017, 19, 2477–2481. [Google Scholar] [CrossRef]
- Ragno, D.; Brandolese, A.; Urbani, D.; Di Carmine, G.; De Risi, C.; Bortolini, O.; Giovannini, P.P.; Massi, A. Esterification of glycerol and solketal by oxidative NHC-catalysis under heterogeneous batch and flow conditions. React. Chem. Eng. 2018, 3, 816–825. [Google Scholar] [CrossRef]
- Brandolese, A.; Ragno, D.; Di Carmine, G.; Bernardi, T.; Bortolini, O.; Giovannini, P.P.; Pandoli, O.G.; Altomare, A.; Massi, A. Aerobic oxidation of 5-hydroxymethylfurfural to 5-hydroxymethyl-2-furancarboxylic acid and its derivatives by heterogeneous NHC-catalysis. Org. Biomol. Chem. 2018, 16, 8955–8964. [Google Scholar] [CrossRef] [PubMed]
- Ragno, D.; Di Carmine, G.; Vannini, M.; Bortolini, O.; Perrone, D.; Buoso, S.; Bertoldo, M.; Massi, A. Organocatalytic synthesis of poly (hydroxymethylfuroate) via ring-opening polymerization of 5-hydroxymethylfurfural-based cyclic oligoesters. Polym. Chem. 2022, 13, 1350–1358. [Google Scholar] [CrossRef]
Disclaimer/Publisher’s Note: The statements, opinions and data contained in all publications are solely those of the individual author(s) and contributor(s) and not of MDPI and/or the editor(s). MDPI and/or the editor(s) disclaim responsibility for any injury to people or property resulting from any ideas, methods, instructions or products referred to in the content. |
© 2024 by the authors. Licensee MDPI, Basel, Switzerland. This article is an open access article distributed under the terms and conditions of the Creative Commons Attribution (CC BY) license (https://creativecommons.org/licenses/by/4.0/).


















































